«Գրանցված է»
ՀՀ արդարադատության
նախարարության կողմից
4 ապրիլի 2005 թ.
Պետական գրանցման թիվ 11605147
ՀԱՅԱՍՏԱՆԻ ՀԱՆՐԱՊԵՏՈՒԹՅԱՆ
ՏՐԱՆՍՊՈՐՏԻ ԵՎ ԿԱՊԻ ՆԱԽԱՐԱՐ
31 մարտի 2005 թ. |
N 106-Ն |
Հ Ր Ա Մ Ա Ն
ՍԱԿԱԳՆԵՐ ՀԱՍՏԱՏԵԼՈՒ ՄԱՍԻՆ
Համաձայն Հայաստանի Հանրապետության կառավարության 2004 թվականի նոյեմբերի 3-ի ««ԱրմենԹել» ՀՁ» փակ բաժնետիրական ընկերության թիվ 60 լիցենզիայի վերախմբագրված և լրացված տարբերակը հաստատելու մասին» թիվ 1465-Ն որոշմամբ հաստատված «Արմենիա Տելեֆոն Կոմպանի» համատեղ ձեռնարկությանը տրամադրված թիվ 60 լիցենզիայի լրացված և վերահաստատված տարբերակի 6-րդ կետի
1. Հաստատել՝
ա) 2048 կբ/վ E-1 (R1, R2, ISDN ազդանշանով) թողունակության հանրային հեռախոսային ցանցին միանալու հնարավորությամբ թվային կապուղիների տեղական խոսակցությունների և ինտերնետ հասանելիության ծառայությունների սակագները՝ համաձայն N 1 հավելվածի,
բ) հանրային ինտերնետի միջոցով ձայնի փոխանցման ծառայության սակագները՝ համաձայն N 2 հավելվածի:
2. Սահմանել, որ սույն հրամանի 1-ին կետի «ա» ենթակետով հաստատված սակագները ուժի մեջ են մտնում 2005 թվականի մայիսի 1-ից, իսկ «բ» ենթակետով հաստատված սակագները՝ սույն հրամանի պաշտոնական հրապարակմանը հաջորդող օրվանից:
ՀՀ տրանսպորտի և կապի նախարար` |
Ա. Մանուկյան |
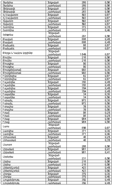
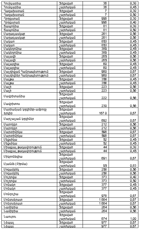
Հավելված N 1 |
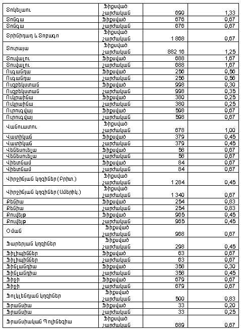
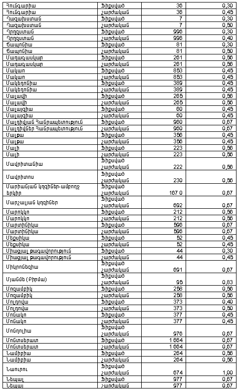
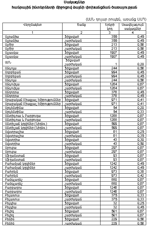
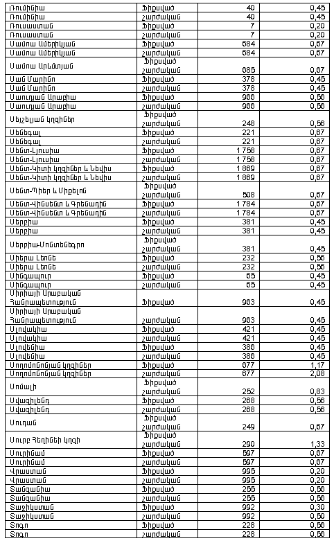
Սակագներ
2048 կբ/վ E-1 (R1, R2, ISDN ազդանշանով) թողունակության հանրային հեռախոսային ցանցին միանալու հնարավորությամբ թվային կապուղիների տեղական խոսակցությունների ինտերնետ հասանելիության ծառայության
Անվճար տեղական խոսակցությունների և ինտերնետ հասանելիության ծառայության չափաքանակը րոպե/ամսական | 10800 | |||
Ծառայության անվանումը |
Սակագին |
ԱԱՀ | Սակագին (ԱԱՀ-ով) | |
1. |
1 րոպե տեղական խոսակցության վարձ՝ դրամ | |||
10801 րոպեից մինչև 67500 րոպե ամսական տևողության դեպքում, դրամ |
3.33 |
0.67 |
4.0 | |
ամսական 67501 րոպե և ավելի տևողության դեպքում, դրամ |
6.66 |
1.33 |
8.0 | |
2. | ամսական 10801 րոպե և ավելի տևողության դեպքում ինտերնետ հասանելիության ծառայության 1 րոպեի վարձ, դրամ |
0.83 |
0.17 |
1.0 |
ՀՀ նախարարության աշխատակազմի ղեկավար |
Վ. Մարության |
Հավելված N 2 |
Բոլոր վճարումները կատարվում են ազգային դրամով, հիմք ընդունելով նախորդ ամսվա վերջին օրվա դրությամբ Հայաստանի Հանրապետության Կենտրոնական բանկի կողմից սահմանված հաշվարկային փոխարժեքը:
Ծառայությունը մատուցվելու է կանխավճարային հեռախոսաքարտերի միջոցով: Կանխավճարային հեռախոսաքարտերը հնարավոր չի լինի օգտագործել ավտոմատ միջազգային և միջքաղաքային ելքի հնարավորություն չունեցող ավտոմատ հեռախոսակայաններից և սկավառակային հեռախոսներից:
Ծառայությունը մատուցվելու է անվճար հեռախոսահամարների (toll-free numbers) միջոցով:
Կանխավճարային հեռախոսաքարտերը ունենալու են հետևյալ անվանական արժեքները` 2500, 5000 և 10000 Հայաստանի Հանրապետության դրամ, ներառյալ ԱԱՀ:
Կանխավճարային հեռախոսաքարտերի սպառման ժամկետը պետք է լինի առաջին օգտագործումից սկսած 2 ամսից ոչ պակաս:
ՀՀ տրանսպորտի և կապի նախարարության աշխատակազմի ղեկավար |
Վ. Մարության |
