«Վավերացնում եմ»
Հայաստանի Հանրապետության
Նախագահ Ռ. Քոչարյան
19 նոյեմբերի 2005 թ.
ՀԱՅԱՍՏԱՆԻ ՀԱՆՐԱՊԵՏՈՒԹՅԱՆ ԿԱՌԱՎԱՐՈՒԹՅՈՒՆ
Ո Ր Ո Շ ՈՒ Մ
6 հոկտեմբերի 2005 թվականի N 1909-Ն
ՀԱՅԱՍՏԱՆԻ ՀԱՆՐԱՊԵՏՈՒԹՅԱՆ ՍՅՈՒՆԻՔԻ ՄԱՐԶԻ ԼՈՐԻ ԳՅՈՒՂԱԿԱՆ ՀԱՄԱՅՆՔԻ ՎԱՐՉԱԿԱՆ ՍԱՀՄԱՆՆԵՐԻ ՆԿԱՐԱԳԻՐԸ ՀԱՍՏԱՏԵԼՈՒ ԵՎ ԼՈՐԻ ԳՅՈՒՂԱԿԱՆ ՀԱՄԱՅՆՔԻ ՎԱՐՉԱԿԱՆ ՍԱՀՄԱՆՆԵՐՈՒՄ ԳՏՆՎՈՂ` ՊԵՏԱԿԱՆ ՍԵՓԱԿԱՆՈՒԹՅՈՒՆ ՀԱՆԴԻՍԱՑՈՂ ՀՈՂԱՄԱՍԵՐՆ ԱՆՀԱՏՈՒՅՑ ՍԵՓԱԿԱՆՈՒԹՅԱՆ ԻՐԱՎՈՒՆՔՈՎ ՀԱՄԱՅՆՔԻՆ ՓՈԽԱՆՑԵԼՈՒ ՄԱՍԻՆ
Հայաստանի Հանրապետության հողային օրենսգրքի 34-րդ ու 56-րդ, «Տեղական ինքնակառավարման մասին» Հայաստանի Հանրապետության օրենքի 6-րդ, 47-րդ ու 84-րդ և «Հայաստանի Հանրապետության վարչատարածքային բաժանման մասին» Հայաստանի Հանրապետության օրենքի 6-րդ հոդվածների պահանջներին համապատասխան` Հայաստանի Հանրապետության կառավարությունը որոշում է.
1. Հաստատել Հայաստանի Հանրապետության Սյունիքի մարզի Լորի գյուղական համայնքի վարչական սահմանների նկարագիրը` համաձայն NN 1 և 2 հավելվածների:
2. Հայաստանի Հանրապետության Սյունիքի մարզի Լորի գյուղական համայնքի վարչական սահմաններում գտնվող՝ պետական սեփականություն հանդիսացող 1656.41 հեկտար հողամասերից 1599.8 հեկտարը, որից՝ գյուղատնտեսական նշանակության 1589.14 հեկտար, բնակավայրերի հողերի՝ 7.13 հեկտար, արդյունաբերության, ընդերքօգտագործման և այլ արտադրական նշանակության օբյեկտների՝ 1.86 հեկտար, էներգետիկայի, տրանսպորտի, կապի և կոմունալ ենթակառուցվածքների օբյեկտների՝ 0.032 հեկտար, հատուկ պահպանվող տարածքների 1.64 հեկտար անհատույց սեփականության իրավունքով փոխանցել Լորի գյուղական համայնքին՝ համաձայն NN 3, 4, 5 և 6 հավելվածների:
3. Սահմանել, որ Հայաստանի Հանրապետության հողային օրենսգրքի 60-րդ հոդվածի պահանջներին համապատասխան`
ա) Հայաստանի Հանրապետության Սյունիքի մարզի Լորի գյուղական համայնքին անհատույց սեփականության իրավունքով փոխանցվող 1599.8 հեկտար հողերից 12.77 հեկտարը մասնավորեցման ենթակա չէ.
բ) Հայաստանի Հանրապետության Սյունիքի մարզի Լորի գյուղական համայնքի վարչական սահմաններում գտնվող հողերից 56.61 հեկտարը համարվում է պետական սեփականություն` համաձայն N 7 հավելվածի:
4. Ընդունել ի գիտություն Հայաստանի Հանրապետության Սյունիքի մարզի Լորի գյուղական համայնքի հողային ֆոնդի առկայության և բաշխման մասին հաշվետվությունը` 2005 թվականի հունվարի 1-ի դրությամբ` համաձայն NN 8 և 9 հավելվածների:
5. Հայաստանի Հանրապետության կառավարությանն առընթեր անշարժ գույքի կադաստրի պետական կոմիտեի նախագահին` սահմանված կարգով ապահովել սկզբնական հաշվառման նյութերի տրամադրումը Հայաստանի Հանրապետության Սյունիքի մարզի Լորի գյուղական համայնքի ղեկավարին` հողերի ընթացիկ հաշվառումն անցկացնելու և համայնքի հողային հաշվեկշիռը կազմելու համար:
6. Թույլատրել Հայաստանի Հանրապետության կառավարությանն առընթեր անշարժ գույքի կադաստրի պետական կոմիտեի նախագահին` Հայաստանի Հանրապետության պետական գեոդեզիական ցանցի հավասարակշռման արդյունքների հիման վրա Հայաստանի Հանրապետության վարչատարածքային միավորների սահմանանիշերի կոորդինատների ժողովածուի հրատարակումից հետո հողային ֆոնդի ընթացիկ հաշվառման ժամանակ Հայաստանի Հանրապետության Սյունիքի մարզի Լորի գյուղական համայնքի հողային հաշվեկշռում սահմանված կարգով կատարել համապատասխան փոփոխություններ:
7. Հայաստանի Հանրապետության Սյունիքի մարզպետին` Հայաստանի Հանրապետության կառավարության 2000 թվականի հոկտեմբերի 23-ի N 656 որոշմամբ սահմանված կարգով` սկզբնական հաշվառման տվյալների հիման վրա ապահովել մարզի տարածքում ընթացիկ հաշվառման աշխատանքների իրականացումը:
8. Սույն որոշումն ուժի մեջ է մտնում պաշտոնական հրապարակմանը հաջորդող օրվանից։
Հայաստանի Հանրապետության |
Ա. Մարգարյան |
|
Հավելված N 1 | |
| |
Հայաստանի Հանրապետության կառավարության աշխատակազմի ղեկավար-նախարար |
Մ. Թոփուզյան |
| |
Լոր գյուղական համայնքը գտնվում է մարզի հյուսիս-արևելյան մասում։ Հեռավորությունը մարզկենտրոն ք. Կապանից 142 կմ է։ Համայնքը հյուսիսից «Ա»-«Բ» հատվածով սահմանակից է Գետաթաղ գյուղական համայնքին, հյուսիս-արևելքից «Բ»-«Գ» հատվածով` Լծեն գյուղական համայնքին, արևելքից «Գ»-«Դ» հատվածով` մարզի համայնքների վարչական սահմաններից դուրս գտնվող հողերին, հարավ-արևելքից «Դ»-«Ե» հատվածով` Տաթև գյուղական համայնքին, հարավից «Ե»-«Զ» հատվածով` Շենաթաղ գյուղական համայնքին, հարավ-արևմուտքից «Զ»-«է» հատվածով` մարզի համայնքների վարչական սահմաններից դուրս գտնվող հողերին, հարավ-արևմուտքից «Է»-«Ը» հատվածով` Դաստակերտ քաղաքային համայնքին, արևմուտքից «Ը»-«Թ» հատվածով` Տորունիք գյուղական համայնքին և հյուսիս-արևմուտքից «Թ»-«Ա» հատվածով` Ախլաթյան գյուղական համայնքի հողերին։ ԼՈՐ-ԳԵՏԱԹԱՂ ՍԱՀՄԱՆԱԳԻԾԸ` «Ա»-«Բ» Լոր, Ախլաթյան, Գետաթաղ համայնքների տարածքների բաժանման «Ա» հանգուցային սահմանակետից, սահմանագիծը թեքվում է դեպի հյուսիս-արևելք,–անցնում 934.5 մ, հատում դաշտային ճանապարհը և հասնում է թիվ 1 սահմանակետը, ապա այնուհետև լանջով թեքվում է դեպի հարավ-արևելք, հատում ձորեր և թիվ 2 սահմանակետով անցնելով 483.7 մ` հասնում է թիվ 3 սահմանակետը։ Թիվ 3 սահմանակետից սահմանագիծը կրկին թեքվում է դեպի հյուսիս-արևելք, հատում ջրբաժանը, ձորը, դաշտամիջյան ճանապարհները և ջրբաժանային սահմանով, թիվ 4-7 սահմանակետերով անցնելով 1777.7 մ` հասնում է թիվ 8 սահմանակետը: Թիվ 8 սահմանակետից սահմանագիծը կրկին թեքվում է դեպի հյուսիս-արևելք և թիվ 9-19 սահմանակետերով անցնելով 2334.2 մ` ջրբաժանային սահմանով և սարալանջով հասնում է թիվ 20 սահմանակետը, ապա թեքվում է դեպի արևելք, հատում միջհամայնքային ճանապարհը, Շենատակ գետը և թիվ 21-23 սահմանակետերով անցնելով 602.8 մ` հասնում է դաշտային ճանապարհի եզրին գտնվող թիվ 24 սահմանակետը։ Թիվ 24 սահմանակետից սահմանագիծը թեքվում է դեպի հյուսիս-արևելք, թիվ 25, 26 սահմանակետերով անցնում 588.1 մ, հասնում է ջրատար առվի ափին տեղադրված թիվ 27 սահմանակետը, որտեղից թեքվում է նույն ուղղությամբ, անցնում 1164.6 մ, հասնում է Լոր, Լծեն, Գետաթաղ համայնքների տարածքների բաժանման «Բ» հանգուցային սահմանակետը։ «Ա»-«Բ» սահմանագծի ընդհանուր երկարությունը 7885.9 մ է։ ԼՈՐ-ԼԾԵՆ ՍԱՀՄԱՆԱԳԻԾԸ` «Բ»-«Գ» Լոր, Լծեն, Գետաթաղ համայնքների տարածքների բաժանման «Բ» հանգուցային սահմանակետից սահմանագիծը թեքվում է դեպի հարավ-արևելք, թիվ 1 սահմանակետով անցնում 672.1 մ և ջրբաժանային սահմանով հասնում է Լոր, Լծեն համայնքների տարածքների, մարզի համայնքների վարչական սահմաններից դուրս գտնվող հողերի բաժանման «Գ» հանգուցային սահմանակետը։ «Բ»-«Գ» սահմանագծի ընդհանուր երկարությունը 672.10 մ է։ ԼՈՐ-ՄԱՐԶԻ ՀԱՄԱՅՆՔՆԵՐԻ ՎԱՐՉԱԿԱՆ ՍԱՀՄԱՆՆԵՐԻՑ ԴՈՒՐՍ ԳՏՆՎՈՂ ՀՈՂԵՐ ՍԱՀՄԱՆԱԳԻԾԸ` «Գ»-«Դ» Լոր, Լծեն համայնքների տարածքների, մարզի համայնքների վարչական սահմաններից դուրս գտնվող հողերի բաժանման «Գ» հանգուցային սահմանակետից սահմանագիծը թեքվում է դեպի հարավ-արևելք, ապա առվով, թիվ 1-8 սահմանակետերով անցնում 1671.92 մ, հասնում է թիվ 9 սահմանակետը, որտեղից թեքվում է նույն ուղղությամբ և թիվ 10-13 սահմանակետերով անցնելով 938.71 մ` հասնում է Լոր, Տաթև համայնքների տարածքների, մարզի համայնքների վարչական սահմաններից դուրս գտնվող հողերի բաժանման «Դ» հանգուցային սահմանակետը։ «Գ»-«Դ» սահմանագծի ընդհանուր երկարությունը 2610.63 մ է։ ԼՈՐ-ՏԱԹԵՎ ՍԱՀՄԱՆԱԳԻԾԸ` «Դ»-«Ե» Լոր, Տաթև համայնքների տարածքների, մարզի համայնքների վարչական սահմաններից դուրս գտնվող հողերի բաժանման «Դ» հանգուցային սահմանակետից սահմանագիծը թեքվում է դեպի հարավ, անցնում 243.7 մ, հասնում Է թիվ 1 սահմանակետը, ապա թեքվում Է հարավ-արևմուտք, թիվ 2-3 սահմանակետերով, լեռնագագաթներով անցնում 644.4 մ, հասնում Է թիվ 4 սահմանակետը։ Թիվ 4 սահմանակետից սահմանագիծը թեքվում Է դեպի հարավ, հատում դաշտային ճանապարհները և թիվ 5-8 սահմանակետերով անցնելով 512.3 մ` հասնում Է թիվ 9 սահմանակետը։ Թիվ 9 սահմանակետից սահմանագիծը թեքվում Է դեպի հարավ, անցնում 113.3 մ, հասնում Է թիվ 10 սահմանակետը, ապա թեքվում Է հարավ-արևմուտք և թիվ 11 սահմանակետով անցնելով 222.0 մ` հասնում Է Լոր, Տաթև, Շենաթաղ համայնքների տարածքների բաժանման «Ե» հանգուցային սահմանակետը։ «Դ»-«Ե» սահմանագծի ընդհանուր երկարությունը 1735.62 մ Է։ ԼՈՐ-ՇԵՆԱԹԱՂ ՍԱՀՄԱՆԱԳԻԾԸ` «Ե»-«Զ» Լոր, Շենաթաղ համայնքների տարածքների և մարզի համայնքների վարչական սահմաններից դուրս գտնվող հողերի բաժանման «Զ» հանգուցային սահմանակետից սահմանագիծը թեքվում է դեպի հյուսիս-արևելք, թիվ 1-2 սահմանակետերով անցնում 1631.2 մ, հասնում է թիվ 3 սահմանակետը, ապա կտրուկ թեքվում Է դեպի հյուսիս-արևմուտք, հատում դաշտային ճանապարհները, ջրբաժան առուները և թիվ 4-7 սահմանակետերով անցնելով 2317.8 մ` հասնում Է թիվ 8 սահմանակետը, որը գտնվում Է ճանապարհի և ջրբաժանի հատման խաչմերուկում։ Թիվ 8 սահմանակետից սահմանագիծը դաշտային ճանապարհով թեքվում Է դեպի հյուսիս-արևելք, թիվ 9-12 սահմանակետերով անցնելով 905.9 մ` հասնում է թիվ 13 սահմանակետը, ապա ջրբաժան առվով, թիվ 14-20 սահմանակետերով անցնելով 1474.1 մ` հասնում Է թիվ 21 սահմանակետը: Թիվ 21 սահմանակետից սահմանագիծը կտրուկ թեքվում Է դեպի հյուսիս, անցնում 305.1 մ, հասնում Է թիվ 22 սահմանակետը, ապա թեքվում Է դեպի հյուսիս-արևելք, անցնում 331.4 մ, ապա թեքվում Է արևելք և թիվ 23 սահմանակետով անցնելով 475.4 մ` հասնում Է թիվ 24 սահմանակետը, որտեղից թեքվում Է դեպի հարավ-արևելք, թիվ 25 սահմանակետով անցնում 440.8 մ, հասնում Է թիվ 26 սահմանակետը։ Թիվ 26 սահմանակետից սահմանագիծը թեքվում Է դեպի արևելք, անցնում 501.0 մ, ապա թեքվում Է հարավ-արևելք և թիվ 27-31 սահմանակետերով` անցնելով 1414.2 մ` հասնում Է Շենաթաղ-Լոր միջհամայնքային ճանապարհի և գետի հատման խաչմերուկում գտնվող թիվ 32 սահմանակետը։ Թիվ 32 սահմանակետից սահմանագիծը թեքվում Է հյուսիս-արևելք, անցնում 222.8 մ, հասնում Է Շենատակ գետին, ապա թիվ 34 սահմանակետից կտրուկ թեքվում Է դեպի հարավ, անցնում 184.0 մ, հասնում Է թիվ 35 սահմանակետը։ Թիվ 35 սահմանակետից սահմանագիծը թեքվում Է դեպի հարավ-արևելք և հատելով փլվածքներ` անցնում Է 046.0 մ, հասնում թիվ 36 սահմանակետը, ապա ջրբաժան առվով և թիվ 37-44 սահմանակետերով անցնելով 2016.6 մ հասնում Է Լոր, Տաթև, Շենաթաղ համայնքների տարածքների բաժանման «Ե» հանգուցային սահմանակետը։ «Ե»-«Զ» սահմանագծի ընդհանուր երկարությունը 13066.18 մ է։ ԼՈՐ-ՄԱՐԶԻ ՀԱՄԱՅՆՔՆԵՐԻ ՎԱՐՉԱԿԱՆ ՍԱՀՄԱՆՆԵՐԻՑ ԴՈՒՐՍ ԳՏՆՎՈՂ ՀՈՂԵՐ ՍԱՀՄԱՆԱԳԻԾԸ` «Զ»-«է» Լոր գյուղական և Դաստակերտ քաղաքային համայնքների տարածքների, մարզի համայնքների վարչական սահմաններից դուրս գտնվող հողերի բաժանման «է» հանգուցային սահմանակետից սահմանագիծը թեքվում է դեպի հարավ-արևելք և ջրբաժան առվով անցնելով 543.57 մ` հասնում Է Լոր, Շենաթաղ համայնքների տարածքների, մարզի համայնքների վարչական սահմաններից դուրս գտնվող հողերի բաժանման «Զ» հանգուցային սահմանակետը։ «Զ»-«է» սահմանագծի ընդհանուր երկարությունը 543.57 մ Է։ ԼՈՐ-ԴԱՍՏԱԿԵՐՏ ՍԱՀՄԱՆԱԳԻԾԸ` «է»-«Ը» Լոր, Տորունիք գյուղական և Դաստակերտ քաղաքային համայնքների տարածքների բաժանման «Ը» հանգուցային սահմանակետից սահմանագիծն առվով թեքվում Է դեպի հարավ-արևելք, անցնում 854.76 մ, հասնում Է Լոր գյուղական և Դաստակերտ քաղաքային համայնքների տարածքների, մարզի համայնքների վարչական սահմաններից դուրս գտնվող հողերի բաժանման «Է» հանգուցային սահմանակետը։ «Է»-«Ը» սահմանագծի ընդհանուր երկարությունը 854.76 մ է։ ԼՈՐ-ՏՈՐՈՒՆԻՔ ՍԱՀՄԱՆԱԳԻԾԸ` «Ը»-«Թ» Լոր, Տորունիք, Ախլաթյան համայնքների տարածքների բաժանման «Թ» հանգուցային սահմանակետից սահմանագիծը թեքվում է դեպի հարավ-արևելք, առվով, թիվ 1, 2 սահմանակետերով անցնում 1110.29 մ, հասնում է թիվ 3 սահմանակետը, ապա թեքվում է հարավ, թիվ 4 սահմանակետով անցնում 621.37 մ, հասնում է Լոր, Տորունիք գյուղական և Դաստակերտ քաղաքային համայնքների տարածքների բաժանման «Ը» հանգուցային սահմանակետը։ «Ը»-«Թ» սահմանագծի ընդհանուր երկարությունը 1731.66 մ է։ ԼՈՐ-ԱԽԼԱԹՅԱՆ ՍԱՀՄԱՆԱԳԻԾԸ` «Թ»-«Ա» Լոր, Ախլաթյան, Գետաթաղ համայնքների տարածքների բաժանման «Ա» հանգուցային սահմանակետից սահմանագիծը ջրբաժանով, թեքվում է հարավ-արևմուտք, թիվ 1 սահմանակետով անցնում 594.93 մ, հասնում Է Լոր, Տորունիք, Ախլաթյան համայնքների տարածքների բաժանման «Թ» հանգուցային սահմանակետը։ «Թ»-«Ա» սահմանագծի ընդհանուր երկարությունը` 594.93 մ Է։ | |
Հայաստանի Հանրապետության կառավարության աշխատակազմի ղեկավար-նախարար |
Մ. Թոփուզյան |
| |
| |
Հայաստանի Հանրապետության կառավարության աշխատակազմի ղեկավար-նախարար |
Մ. Թոփուզյան |
| |
ՀԱՅԱՍՏԱՆԻ ՀԱՆՐԱՊԵՏՈՒԹՅԱՆ ՍՅՈՒՆԻՔԻ ՄԱՐԶԻ ԼՈՐԻ ԳՅՈՒՂԱԿԱՆ ՀԱՄԱՅՆՔԻ ՎԱՐՉԱԿԱՆ ՍԱՀՄԱՆՆԵՐՈՒՄ ԳՏՆՎՈՂ` ՊԵՏԱԿԱՆ ՍԵՓԱԿԱՆՈՒԹՅՈՒՆ ՀԱՆԴԻՍԱՑՈՂ ՀՈՂԵՐԻՑ ԼՈՐ ԳՅՈՒՂԱԿԱՆ ՀԱՄԱՅՆՔԻՆ ԱՆՀԱՏՈՒՅՑ ՓՈԽԱՆՑՎՈՂ ՀՈՂԵՐԻ | |
Հայաստանի Հանրապետության կառավարության աշխատակազմի ղեկավար-նախարար |
Մ. Թոփուզյան |
| |
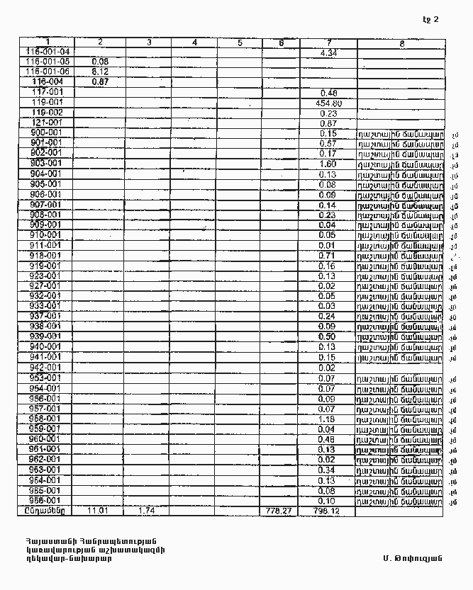
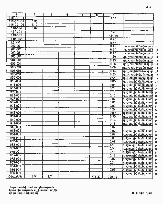
ՀԱՅԱՍՏԱՆԻ ՀԱՆՐԱՊԵՏՈՒԹՅԱՆ ՍՅՈՒՆԻՔԻ ՄԱՐԶԻ ԼՈՐԻ ԳՅՈՒՂԱԿԱՆ ՀԱՄԱՅՆՔԻ ՎԱՐՉԱԿԱՆ ՍԱՀՄԱՆՆԵՐՈՒՄ ԳՏՆՎՈՂ` ՊԵՏԱԿԱՆ ՍԵՓԱԿԱՆՈՒԹՅՈՒՆ ՀԱՆԴԻՍԱՑՈՂ ՀՈՂԵՐԻՑ ԼՈՐ ԳՅՈՒՂԱԿԱՆ ՀԱՄԱՅՆՔԻՆ ԱՆՀԱՏՈՒՅՑ ՓՈԽԱՆՑՎՈՂ ՀՈՂԵՐԻ | |
Հայաստանի Հանրապետության կառավարության աշխատակազմի ղեկավար-նախարար |
Մ. Թոփուզյան |
| |
ՀԱՅԱՍՏԱՆԻ ՀԱՆՐԱՊԵՏՈՒԹՅԱՆ ՍՅՈՒՆԻՔԻ ՄԱՐԶԻ ԼՈՐԻ ԳՅՈՒՂԱԿԱՆ ՀԱՄԱՅՆՔԻ ՎԱՐՉԱԿԱՆ ՍԱՀՄԱՆՆԵՐՈՒՄ ԳՏՆՎՈՂ` ՊԵՏԱԿԱՆ ՍԵՓԱԿԱՆՈՒԹՅՈՒՆ ՀԱՆԴԻՍԱՑՈՂ ՀՈՂԵՐԻՑ ԼՈՐԻ ԳՅՈՒՂԱԿԱՆ ՀԱՄԱՅՆՔԻՆ ԱՆՀԱՏՈՒՅՑ ՓՈԽԱՆՑՎՈՂ ՀՈՂԵՐԻ (ԸՍՏ ՆՊԱՏԱԿԱՅԻՆ ՆՇԱՆԱԿՈՒԹՅԱՆ) | |
Հայաստանի Հանրապետության |
Մ. Թոփուզյան |
| |
ՀԱՅԱՍՏԱՆԻ ՀԱՆՐԱՊԵՏՈՒԹՅԱՆ ՍՅՈՒՆԻՔԻ ՄԱՐԶԻ ԼՈՐԻ ԳՅՈՒՂԱԿԱՆ ՀԱՄԱՅՆՔԻ ՎԱՐՉԱԿԱՆ ՍԱՀՄԱՆՆԵՐՈՒՄ ԳՏՆՎՈՂ` ՊԵՏԱԿԱՆ ՍԵՓԱԿԱՆՈՒԹՅՈՒՆ ՀԱՆԴԻՍԱՑՈՂ ՀՈՂԵՐԻ (ԸՍՏ ՆՊԱՏԱԿԱՅԻՆ ՆՇԱՆԱԿՈՒԹՅԱՆ) | |
Հայաստանի Հանրապետության կառավարության աշխատակազմի ղեկավար-նախարար |
Մ. Թոփուզյան |
| |
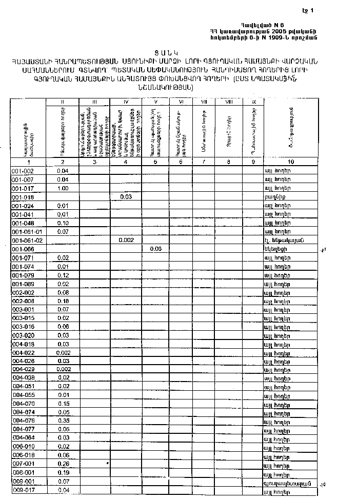
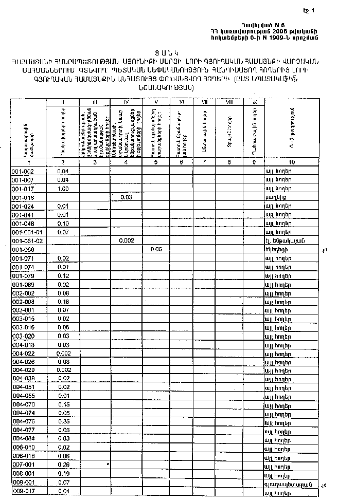
ՀԱՅԱՍՏԱՆԻ ՀԱՆՐԱՊԵՏՈՒԹՅԱՆ ՍՅՈՒՆԻՔԻ ՄԱՐԶԻ ԼՈՐԻ ԳՅՈՒՂԱԿԱՆ ՀԱՄԱՅՆՔԻ ՀՈՂԱՅԻՆ ՖՈՆԴԻ ԱՌԿԱՅՈՒԹՅԱՆ ԵՎ ԲԱՇԽՄԱՆ ՄԱՍԻՆ | |
Հայաստանի Հանրապետության կառավարության աշխատակազմի ղեկավար-նախարար |
Մ. Թոփուզյան |
| |
ՀԱՅԱՍՏԱՆԻ ՀԱՆՐԱՊԵՏՈՒԹՅԱՆ ՍՅՈՒՆԻՔԻ ՄԱՐԶԻ ԼՈՐԻ ԳՅՈՒՂԱԿԱՆ ՀԱՄԱՅՆՔԻ ՈՌՈԳՎՈՂ ՀՈՂԵՐԻ ԱՌԿԱՅՈՒԹՅԱՆ ԵՎ ԲԱՇԽՄԱՆ ՄԱՍԻՆ | |
Հայաստանի Հանրապետության կառավարության աշխատակազմի ղեկավար-նախարար |
Մ. Թոփուզյան |
