ԵՎՐԱՍԻԱԿԱՆ ՏՆՏԵՍԱԿԱՆ ՀԱՆՁՆԱԺՈՂՈՎ
ԽՈՐՀՈՒՐԴ
Ո Ր Ո Շ ՈՒ Մ
|
23 մայիսի 2025 թվականի |
թիվ 38 |
քաղ. Մոսկվա |
«ՏՐԱՆՍՊՈՐՏԱՅԻՆ ՓՈԽԱԴՐՄԱՆ ԵՎ (ԿԱՄ) ՕԳՏԱԳՈՐԾՄԱՆ ՀԱՄԱՐ ՆԱԽԱՊԱՏՐԱՍՏՎԱԾ ԲՆԱԿԱՆ ԱՅՐՎՈՂ ԳԱԶԻ ԱՆՎՏԱՆԳՈՒԹՅԱՆ ՄԱՍԻՆ» ԵՎՐԱՍԻԱԿԱՆ ՏՆՏԵՍԱԿԱՆ ՄԻՈՒԹՅԱՆ ՏԵԽՆԻԿԱԿԱՆ ԿԱՆՈՆԱԿԱՐԳՈՒՄ (ԵԱՏՄ ՏԿ 046/2018) ՓՈՓՈԽՈՒԹՅՈՒՆՆԵՐ ԿԱՏԱՐԵԼՈՒ ՄԱՍԻՆ
«Եվրասիական տնտեսական միության մասին» 2014 թվականի մայիսի 29-ի պայմանագրի 52-րդ հոդվածին, Եվրասիական տնտեսական բարձրագույն խորհրդի 2014 թվականի դեկտեմբերի 23-ի թիվ 98 որոշմամբ հաստատված՝ Եվրասիական տնտեսական հանձնաժողովի աշխատանքի կանոնակարգի թիվ 1 հավելվածի 29-րդ կետին և Եվրասիական տնտեսական հանձնաժողովի խորհրդի 2012 թվականի հունիսի 20-ի թիվ 48 որոշմամբ հաստատված՝ Եվրասիական տնտեսական միության տեխնիկական կանոնակարգերի մշակման, ընդունման, փոփոխությունների կատարման և չեղարկման կարգի 46-րդ կետին համապատասխան՝ Եվրասիական տնտեսական հանձնաժողովի խորհուրդը որոշեց.
1. Եվրասիական տնտեսական հանձնաժողովի խորհրդի 2018 թվականի սեպտեմբերի 14-ի թիվ 74 որոշմամբ ընդունված՝ «Տրանսպորտային փոխադրման և (կամ) օգտագործման համար նախապատրաստված բնական այրվող գազի անվտանգության մասին» Եվրասիական տնտեսական միության տեխնիկական կանոնակարգում (ԵԱՏՄ ՏԿ 046/2018) կատարել փոփոխություններ՝ հավելվածի համաձայն։
2. Սույն որոշումն ուժի մեջ է մտնում դրա պաշտոնական հրապարակման օրվանից 180 օրացուցային օրը լրանալուց հետո։
Եվրասիական տնտեսական հանձնաժողովի խորհրդի անդամներ`
|
Հայաստանի Հանրապետությունից |
Բելառուսի Հանրապետությունից |
Ղազախստանի Հանրապետությունից |
Ղրղզստանի Հանրապետությունից՝ |
Ռուսաստանի Դաշնությունից՝ |
|
Մ. Գրիգորյան |
Ն. Պետկևիչ |
Ս. Ժումանգարին |
Դ. Ամանգելդիև |
Ա. Օվերչուկ |
|
ՀԱՎԵԼՎԱԾ Եվրասիական տնտեսական հանձնաժողովի խորհրդի 2025 թվականի մայիսի 23-ի թիվ 38 որոշման |
ՓՈՓՈԽՈՒԹՅՈՒՆՆԵՐ
«Տրանսպորտային փոխադրման և (կամ) օգտագործման համար նախապատրաստված բնական այրվող գազի անվտանգության մասին» Եվրասիական տնտեսական միության տեխնիկական կանոնակարգում (ԵԱՏՄ ՏԿ 046/2018) կատարվող
1. 2-րդ կետում՝
ա) «ինչպես նաև Միության մաքսային տարածքի սահմաններից դուրս արտահանվող արտադրանքի վրա» բառերը փոխարինել «արտադրողի կողմից բացառապես սեփական կարիքների համար օգտագործվող արտադրանքի, Միության մաքսային տարածքի սահմաններից դուրս արտահանվող արտադրանքի, ինչպես նաև Միության մաքսային տարածքով երրորդ պետությունների սպառողներին տրանսպորտային փոխադրման ենթարկվող օտարերկրյա արտադրողների արտադրանքի վրա»,
բ) լրացնել հետևյալ բովանդակությամբ պարբերությամբ՝
«Oտարերկրյա արտադրողների` տրանսպորտային փոխադրման համար նախապատրաստված բնական այրվող գազի համար թույլատրվում է Միության մաքսային տարածքով տրանսպորտային փոխադրումը՝ պայմանով, որ տրանսպորտային փոխադրման ընթացքում Միության մաքսային տարածքում շրջանառության մեջ գտնվող արտադրանքի վրա ազդեցությունը չի հանգեցնում նշված արտադրանքի ցուցանիշների անհամապատասխանությանը սույն տեխնիկական կանոնակարգի պահանջներին։»։
2. 4-րդ կետում՝
ա) առաջին պարբերությունը շարադրել հետևյալ խմբագրությամբ՝
«4. Սույն տեխնիկական կանոնակարգի կիրառման նպատակներով օգտագործվում են հասկացություններ, որոնք սահմանված են «Եվրասիական տնտեսական միության շրջանակներում տեխնիկական կանոնակարգման մասին» արձանագրությամբ («Եվրասիական տնտեսական միության մասին» 2014 թվականի մայիսի 29-ի պայմանագրի թիվ 9 հավելված), Եվրասիական տնտեսական հանձնաժողովի խորհրդի 2018 թվականի ապրիլի 18-ի թիվ 44 որոշմամբ հաստատված՝ համապատասխանության գնահատման տիպային սխեմաներով (այսուհետ՝ տիպային սխեմաներ), ինչպես նաև հասկացություններ, որոնք ունեն հետևյալ իմաստը՝»․
բ) երկրորդ պարբերությունը հանել.
գ) յոթերորդ պարբերությունը շարադրել հետևյալ խմբագրությամբ՝
«հեղուկացված բնական այրվող գազ» (ՀԲԳ)՝ հեղուկ վիճակի բերված բնական այրվող գազ՝ տրանսպորտային փոխադրման, պահման և որպես վառելիք օգտագործման նպատակով․»․
դ) ութերորդ պարբերությունը հանել.
ե) տասներորդ պարբերությունը «խմբաքանակ» բառից առաջ լրացնել «արտադրանքի» բառով․
զ) տասնմեկերորդ պարբերությունը շարադրել հետևյալ խմբագրությամբ՝
«արտադրանքի որակի անձնագիր»՝ փաստաթուղթ, որը պարունակում է տեղեկություններ շրջանառության մեջ բաց թողնվող և շրջանառության մեջ գտնվող արտադրանքի մասին և սահմանում է փորձարկումների (չափումների) արդյունքում ստացված արտադրանքի ցուցանիշների արժեքների համապատասխանությունը սույն տեխնիկական կանոնակարգի և այն փաստաթղթի պահանջներին, որին համապատասխան արտադրվել է արտադրանքը (առկայության դեպքում).»․
է) տասնմեկերորդ պարբերությունից հետո լրացնել հետևյալ բովանդակությամբ պարբերությամբ՝
«չափումների միջոց հոսքային»՝ չափումների միջոց, որը համապատասխանում է չափումների միասնականության ապահովման ոլորտում Միության անդամ պետությունների օրենսդրությամբ սահմանված պահանջներին, նախատեսված է հոսքում շարժման մեջ գտնվող արտադրանքի ցուցանիշների անընդհատ չափումներ կատարելու համար ավտոմատ ռեժիմով․»․
ը) տասներեքերորդ և տասնչորսերորդ պարբերությունները հանել․
3. Լրացնել հետևյալ բովանդակությամբ 51 կետով.
«51. Սույն տեխնիկական կանոնակարգի VI բաժնի համաձայն՝ Միության մաքսային տարածքի մի մասում արտադրված և համապատասխանության գնահատման ընթացակարգերն անցած՝ Միության անդամ չհանդիսացող պետությունների տարածքներով Միության մաքսային տարածքի մյուս մաս մատակարարվող արտադրանքի համար՝ նախքան այն շրջանառության մեջ բաց թողնելը, լրացուցիչ համապատասխանության գնահատում չի իրականացվում»։
4. 6-րդ կետում՝
ա) «վաճառողը» բառից հետո լրացնել «(ներմուծողը)» բառով․
բ) «սույն տեխնիկական կանոնակարգի պահանջներին» բառերը հանել, «հայտարարագրի և» բառերը փոխարինել «հայտարարագրի և (կամ)» բառերով։
5. 7-րդ կետը շարադրել հետևյալ խմբագրությամբ՝
«7. Չի թույլատրվում Միության շուկայում շրջանառության միասնական նշանով չմակնշված արտադրանքի շրջանառությունը։»։
6. 12-րդ կետում՝
ա) առաջին պարբերության մեջ «Շրջանառության մեջ բաց թողնվող և (կամ) շրջանառության մեջ գտնվող» բառերը հանել․
բ) «դ» ենթակետը «արտադրողի կողմից լիազորված անձի» բառերից հետո լրացնել «կամ ներմուծողի» բառերով․
գ) «զ» ենթակետում «փորձարկումների փաստացի արդյունքները» բառերը փոխարինել «լաբորատոր փորձարկումների (չափումների) կամ չափումների հոսքային միջոցների օգտագործմամբ ստացված չափումների արդյունքները» բառերով։
7. Լրացնել հետևյալ բովանդակությամբ 121-124-րդ կետերով՝
«121. Տրանսպորտային փոխադրման համար նախապատրաստված բնական այրվող գազի, արդյունաբերական և կոմունալ-կենցաղային նշանակության բնական այրվող գազի, սերիական արտադրության սեղմված բնական այրվող գազի որակի անձնագիրը ձևակերպվում է պարբերաբար կրկնվող յուրաքանչյուր խմբաքանակի համար՝ ամսական առնվազն մեկ անգամ։
Ղազախստանի Հանրապետության տարածքում սույն տեխնիկական կանոնակարգի 171-րդ կետին համապատասխան՝ շրջանառության մեջ բաց թողնվող արդյունաբերական և կոմունալ-կենցաղային նշանակության բնական այրվող գազի որակի անձնագրի ձևակերպումն իրականացվում է յուրաքանչյուր խմբաքանակի համար առնվազն 6 ամիսը մեկ անգամ։
122. Արտադրանքի խմբաքանակի ընդունման (հանձնման) ժամանակ փորձարկումների (չափումների) անցկացումը, ինչպես նաև դրանց պարբերականության սահմանումն իրականացվում են սույն տեխնիկական կանոնակարգի 15-րդ կետում նշված ստանդարտներին համապատասխան։
123. Սեղմված բնական այրվող գազի որակի անձնագրում թույլատրվում է մուտքագրել սույն տեխնիկական կանոնակարգի պահանջներին համապատասխանող՝ սեղմման համար ստացվող բնական այրվող գազի որակի անձնագրում նշված փորձարկումների (չափումների) արդյունքները։
124. Հեղուկացված բնական այրվող գազի ռեգազիֆիկացման ընթացքում ստացվող արդյունաբերական և կոմունալ-կենցաղային նշանակության բնական այրվող գազի որակի անձնագրում թույլատրվում են մուտքագրել սույն տեխնիկական կանոնակարգի պահանջներին համապատասխանող՝ սկզբնական հեղուկացված բնական այրվող գազի փորձարկման արդյունքները:»։
8. 13-րդ կետում «Շրջանառության մեջ բաց թողնվող,» բառերը հանել։
9. 15-րդ կետում «հետազոտությունների (փորձարկումների) մեթոդները» բառերը փոխարինել «հետազոտությունների (չափումների) մեթոդները և պարբերականությունը, ընդունման (հանձնման) կանոնները» բառերով։
10. 16-րդ կետի երրորդ նախադասության մեջ «արտադրող կամ վաճառող կամ արտադրողի կողմից լիազորված անձ» բառերը փոխարինել «արտադրող (արտադրողի կողմից լիազորված անձ) կամ վաճառող (ներմուծող)» բառերով։
11. 17-րդ կետը շարադրել հետևյալ խմբագրությամբ՝
«17. Սույն տեխնիկական կանոնակարգի պահանջներին արտադրանքի համապատասխանության հայտարարագրումն իրականացվում է տիպային սխեմաներին համապատասխան՝ հաշվի առնելով սույն տեխնիկական կանոնակարգով սահմանված առանձնահատկությունները՝
ա) տրանսպորտային փոխադրման համար նախապատրաստված բնական այրվող գազի, արդյունաբերական և կոմունալ-կենցաղային նշանակության բնական այրվող գազի և սերիաներով շրջանառության մեջ բաց թողնվող սեղմված բնական այրվող գազի համար՝ 1հ, կամ Зհ, կամ 6հ սխեմայով․
բ) Միության տարածքում խմբաքանակներով շրջանառության մեջ բաց թողնվող՝ արդյունաբերական և կոմունալ-կենցաղային նշանակության բնական այրվող գազի և սեղմված բնական այրվող գազի համար՝ 4հ սխեմայով.
գ) սերիաներով թողարկվող հեղուկացված բնական այրվող գազի համար՝ Зհ կամ 6հ սխեմայով․
դ) Միության տարածքում խմբաքանակներով շրջանառության մեջ բաց թողնվող՝ տրանսպորտային փոխադրման համար նախապատրաստված բնական այրվող գազի և հեղուկացված բնական այրվող գազի համար՝ 2հ սխեմայով։»։
12. Լրացնել հետևյալ բովանդակությամբ 171-173 կետերով՝
«171. Բնական այրվող գազից արտադրված՝ մայրուղային գազատարներով փոխադրվող արդյունաբերական և կոմունալ-կենցաղային նշանակության բնական այրվող գազի համար թույլատրվում է՝ նախքան շրջանառության մեջ բաց թողնելը, իրականացնել համապատասխանության գնահատում փորձարկումների ձևով՝ որակի անձնագրի ձևակերպմամբ:
172. Մայրուղային գազատարներով փոխադրվող բնական այրվող գազից արտադրված արդյունաբերական և կոմունալ-կենցաղային նշանակության բնական այրվող գազի համապատասխանության գնահատումն իրականացվում է անդամ պետության օրենսդրությանը համապատասխան՝ դրա տարածքում գրանցված հայտատուի (իրավաբանական անձի կամ որպես անհատ ձեռնարկատեր գրանցված ֆիզիկական անձի) կողմից, որը մայրուղային գազատարներով փոխադրվող բնական այրվող գազից արտադրված արդյունաբերական և կոմունալ-կենցաղային նշանակության բնական այրվող գազի վաճառող է։
173. Մայրուղային գազատարներով փոխադրվող բնական այրվող գազից արտադրված արդյունաբերական և կոմունալ-կենցաղային նշանակության բնական այրվող գազի փորձարկումներն անցկացվում են սույն տեխնիկական կանոնակարգի թիվ 2 հավելվածով նախատեսված պահանջներին համապատասխանության մասով և իրենց մեջ ներառում են՝
ա) նմուշներ (փորձանմուշներ) վերցնելը.
բ) նմուշների (փորձանմուշների) փորձարկումների (չափումների) անցկացնելը սեփական փորձարկման լաբորատորիայում կամ հայտատուի կամ մայրուղային գազատարներով տրանսպորտային փոխադրում իրականացնող կազմակերպության հոսքի չափումների միջոցների օգտագործմամբ կամ Միության համապատասխանության գնահատման մարմինների միասնական ռեեստրում ընդգրկված հավատարմագրված փորձարկման լաբորատորիայում (կենտրոնում)․
գ) մայրուղային գազատարներով փոխադրվող բնական այրվող գազից արտադրված արդյունաբերական և կոմունալ-կենցաղային նշանակության բնական այրվող գազի փորձարկումների (չափումների) արդյունքները և սույն տեխնիկական կանոնակարգի պահանջներին համապատասխանության եզրակացությունը որակի անձնագրում ներառելը:»։
13. 18-րդ կետում՝
ա) առաջին պարբերությունը «փաստաթղթերի» բառից հետո լրացնել «և տեղեկությունների» բառերով․
բ) «բ» ենթակետը «փորձարկումների» բառից հետո լրացնել «(չափումների)» բառով.
գ) «ե» ենթակետը շարադրել հետևյալ խմբագրությամբ՝
«ե) արտադրանքի խմբաքանակի մատակարարման պայմանագիրը
և արտադրանքի խմբաքանակը, այդ թվում՝ չափը նույնականացնող ապրանքաուղեկից փաստաթղթերը (առկայության դեպքում) (2հ և 4հ սխեմաներով հայտարարագրելու դեպքում):
14. 19-րդ կետի չորրորդ պարբերությունը շարադրել հետևյալ խմբագրությամբ՝
«2հ և 4հ սխեմաներով հայտարարագրման դեպքում ժամկետ չի սահմանվում․»։
15. 20-րդ կետում՝
ա) առաջին պարբերությունը շարադրել հետևյալ խմբագրությամբ՝
«20. Սույն տեխնիկական կանոնակարգի 18-րդ կետով նախատեսված փաստաթղթերի և տեղեկությունների լրակազմը պետք է պահվի՝»․
բ) երրորդ պարբերությունը «վաճառողի» բառից հետո լրացնել «կամ ներմուծողի» բառերով.
գ) չորրորդ պարբերությունը «փաստաթղթերի» բառից հետո լրացնել «և տեղեկությունների» բառերով․
դ) լրացնել հետևյալ բովանդակությամբ պարբերությամբ՝
«Փաստաթղթերի և տեղեկությունների լրակազմը թույլատրվում է պահել էլեկտրոնային տեսքով՝ անդամ պետությունների օրենսդրությանը համապատասխան։»։
16. 21-23-րդ կետերը շարադրել հետևյալ խմբագրությամբ՝
«21. Շրջանառության մեջ գտնվող տրանսպորտային փոխադրման համար նախապատրաստված բնական այրվող գազը տնտեսավարող սուբյեկտների միջև հանձնման ժամանակ ենթակա է համապատասխանության գնահատման՝ փորձարկումների ձևով՝ որակի անձնագրի ձևակերպմամբ։
22. Սույն տեխնիկական կանոնակարգի 21-րդ կետում նշված փորձարկումներն իրականացվում են սույն տեխնիկական կանոնակարգի թիվ 1-ին հավելվածով նախատեսված պահանջներին համապատասխանության մասով՝ մայրուղային գազատարներով արտադրանքի պահպանման և (կամ) տրանսպորտային փոխադրում իրականացնող կազմակերպությունների կողմից։
23. Սույն տեխնիկական կանոնակարգի 21-րդ կետով նախատեսված փորձարկումների անցկացման կարգն իր մեջ է ներառում՝
ա) նմուշներ (փորձանմուշներ) վերցնելը.
բ) նմուշների (փորձանմուշների) փորձարկումներ (չափումներ) անցկացնելը սեփական փորձարկման լաբորատորիայում կամ պահեստավորում և (կամ) մայրուղային գազատարներով տրանսպորտային փոխադրում իրականացնող կազմակերպության չափումների հոսքայինի միջոցների օգտագործմամբ, կամ Միության համապատասխանության գնահատման մարմինների միասնական ռեեստրում ընդգրկված՝ հավատարմագրված փորձարկման լաբորատորիայում (կենտրոնում)․
գ) արտադրանքի որակի անձնագրում ներառելը՝ փորձարկումների (չափումների) արդյունքները և եզրակացությունն այն մասին, որ տրանսպորտային փոխադրման համար նախապատրաստված բնական այրվող գազը շարունակում է համապատասխանել սույն տեխնիկական կանոնակարգի պահանջներին։»։
17. 24-րդ կետում «համապատասխանության հավաստման» բառերը փոխարինել «համապատասխանության հայտարարագրման ձևով՝ համապատասխանության գնահատման կամ փորձարկումների ձևով՝ որակի անձնագրի ձևակերպմամբ» բառերով։
18. 25-րդ կետն ուժը կորցրած ճանաչել:
19. 26-րդ կետում «(արտադրանքի որակի անձնագրում)» բառերը փոխարինել «(արտադրանքի համապատասխանության հայտարարագրում և (կամ) արտադրանքի որակի անձնագրում)» բառերով։
20. Լրացնել հետևյալ բովանդակությամբ 28-31-րդ կետերով՝
«28. Թույլատրվում է սույն տեխնիկական կանոնակարգի պահանջներին համապատասխանող և սույն տեխնիկական կանոնակարգի VI բաժնի համաձայն՝ համապատասխանության գնահատման ընթացակարգն անցած տրանսպորտային փոխադրման համար նախապատրաստված բնական այրվող գազը տրանսպորտային փոխադրում և (կամ) պահում իրականացնող կազմակերպությունների սեփական կարիքների համար օգտագործել որպես արդյունաբերական նշանակության վառելիք:
29. Թույլատրվում է տրանսպորտային փոխադրման համար նախապատրաստված, սույն տեխնիկական կանոնակարգի պահանջներին համապատասխանող և սույն տեխնիկական կանոնակարգի VI բաժնի համաձայն՝ համապատասխանության գնահատման ընթացակարգն անցած բնական այրվող գազի մատակարարումը մայրուղային գազատարից անմիջապես սպառողին՝ որպես արդյունաբերական նշանակության հումք և (կամ) վառելիք:
30. Թույլատրվում է ներքին այրման շարժիչների համար սույն տեխնիկական կանոնակարգի պահանջներին համապատասխանող և սույն տեխնիկական կանոնակարգի VI բաժնի համաձայն՝ համապատասխանության գնահատման ընթացակարգն անցած վերագազիֆիկացված հեղուկացված բնական գազի (Բ մակնիշ) մանրածախ իրացումը՝ որպես սեղմված բնական այրվող գազ։
31. Թույլատրվում է սույն տեխնիկական կանոնակարգի պահանջներին համապատասխանող և սույն տեխնիկական կանոնակարգի VI բաժնի համաձայն՝ համապատասխանության գնահատման ընթացակարգն անցած վերագազիֆիկացված հեղուկացված բնական գազի մատակարարումը էներգիական կայանքների համար (Վ մակնիշ)՝ որպես արդյունաբերական նշանակության հումք և (կամ) վառելիք։»։
21. Նշված տեխնիկական կանոնակարգի թիվ 1-4 հավելվածները շարադրել հետևյալ խմբագրությամբ՝
|
«ՀԱՎԵԼՎԱԾ ԹԻՎ 1 «Տրանսպորտային փոխադրման և (կամ) օգտագործման համար նախապատրաստված բնական այրվող գազի անվտանգության մասին» Եվրասիական տնտեսական միության տեխնիկական կանոնակարգի (ԵԱՏՄ ՏԿ 046/2018) (Եվրասիական տնտեսական հանձնաժողովի խորհրդի 2025 թվականի մայիսի 23-ի թիվ 38 որոշման խմբագրությամբ) |
ՊԱՀԱՆՋՆԵՐ
մայրուղային գազատարներով տրանսպորտային փոխադրման համար նախապատրաստված բնական այրվող գազին ներկայացվող
|
Համարը՝ ը/կ |
Ցուցանիշի անվանումը |
Չափման միավորը |
Նորմը | |
|
նվազա-գույն |
առավելա-գույն | |||
|
1 |
Թթվածնի մոլային բաժինը |
% |
- |
0․020 |
|
2 |
Ածխածնի երկօքսիդի մոլային բաժինը |
% |
- |
2․5 |
|
3 |
Ծծմբաջրածնի զանգվածային կոնցենտրացիան |
գ/մ3 |
- |
0․007 |
|
4 |
Մերկապտանային ծծմբի զանգվածային կոնցենտրացիան |
գ/մ3 |
- |
0․016 |
|
5 |
Ընդհանուր ծծմբի զանգվածային կոնցենտրացիան |
գ/մ3 |
- |
0․030 |
|
6 |
Այրման ամենացածր ծավալային ջերմությունը |
ՄՋ/մ3 (կկալ/մ3) |
31,80 (7600) |
- |
|
7 |
Ցողի կետի ջերմաստիճանն ըստ ջրի՝ չափավոր կլիմայի համար՝ ձմեռային ժամանակաշրջան ամառային ժամանակաշրջան սառը կլիմայի համար՝ ձմեռային ժամանակաշրջան ամառային ժամանակաշրջան |
°C |
- |
-10․0 (-5․0) -10․0 (-3․0) -20․0 -14․0 (-10,0) |
|
8 |
Ցողի կետի ջերմաստիճանն ըստ ածխաջրածինների՝ չափավոր կլիմայի համար՝ ձմեռային ժամանակաշրջան ամառային ժամանակաշրջան սառը կլիմայի համար՝ ձմեռային ժամանակաշրջան ամառային ժամանակաշրջան |
°C |
- |
-2․0 (0․0) -2․0 (0․0) -10․0 -5․0 |
|
9 |
Մեխանիկական խառնուկների զանգվածային կոնցենտրացիան |
գ/մ3 |
- |
0․001 |
| Ծանոթագրություններ՝ |
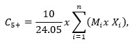
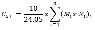
1. Ամառային ժամանակաշրջան՝ մայիսի 1-ից մինչև սեպտեմբերի 30-ը: Ձմեռային ժամանակաշրջան՝ հոկտեմբերի 1-ից մինչև ապրիլի 30-ը: Ժամանակաշրջանները կարող են ճշգրտվել՝ Եվրասիական տնտեսական միության անդամ պետությունների միջև համաձայնեցմամբ: 2. 3-6-րդ և 9-րդ ցուցանիշների նորմերը սահմանված են 101․325 կՊա ստանդարտ ճնշման և 20.0 °С ստանդարտ ջերմաստիճանի պայմաններում: Այրման ծավալային ջերմությունը հաշվարկելիս այրման ստանդարտ ջերմաստիճանը կազմում է 25.0 °С: 3. Մինչև 2030 թվականի հունվարի 1-ը Ղազախստանի Հանրապետության տարածքում թույլատրվում է շրջանառության մեջ դնել տրանսպորտային փոխադրման համար նախապատրաստված բնական այրվող գազ՝ 3-րդ և 4-րդ ցուցանիշների այն նորմերով, որոնք չեն գերազանցում հետևյալ արժեքները Ղազախստանի Հանրապետության տարածքում սահմանված պահանջներին համապատասխան՝ պայմանով, որ այն շրջանառվի բացառապես Ղազախստանի Հանրապետության տարածքում՝ ծծմբաջրածնի զանգվածային կոնցենտրացիան՝ գ/մ3, 0․020-ից ոչ ավելի․ մերկապտանային ծծմբի զանգվածային կոնցենտրացիան՝ գ/մ3, 0․036-ից ոչ ավելի։ 4. 5-րդ ցուցանիշը Ղազախստանի Հանրապետության տարածքում գործողության մեջ է դրվում 2030 թվականի հունվարի 1-ից։ 5. 6-րդ ցուցանիշը հաշվարկելիս ընդունում են 1 կալորիա, որը հավասար է 4․1868 Ջ: 6. 7-րդ ցուցանիշի նորմերը սահմանված են 3.92 ՄՊա բացարձակ ճնշման պայմաններում: 7. Ընդունող կողմի հետ համաձայնությամբ և մինուս 20 °C-ից ոչ բարձր 7-րդ ցուցանիշի պարտադիր նորմավորման պայմանով՝ թույլատրվում է մինչև 2030 թվականի հունվարի 1-ը շրջանառության մեջ դնել և Ռուսաստանի Դաշնության տարածքում շրջանառել այրվող բնական գազը՝ մինչև 3․2 % ածխածնի երկօքսիդի մոլային բաժնով։ 8. 7-րդ և 8-րդ ցուցանիշների համար փակագծերում բերված նորմերը կիրառվում են մատակարարող և ընդունող կողմերի միջև համաձայնեցմամբ՝ հանքավայրերի և ստորգետնյա պահեստարանների համար, որոնք գործողության մեջ են դրվել մինչև 2000 թվականը (Ղազախստանի Հանրապետությունում՝ մինչև 2005 թվականը) ներառյալ: Ռուսաստանի Դաշնության հանքավայրերի համար, որոնք տեղակայված են մեղմ կլիմա ունեցող շրջաններում և գործողության մեջ են դրվել մինչև 2000 թվականը, 7-րդ և 8-րդ ցուցանիշների նորմը թույլատրվում է սահմանել մատակարարող և ընդունող կողմերի համաձայնությամբ, սակայն նմուշառման կետում աշխատանքային ճնշման տակ գազի ջերմաստիճանի արժեքից ոչ բարձր՝ պայմանով, որ այն շրջանառվի բացառապես Ռուսաստանի Դաշնության տարածքում։ 9. 8-րդ ցուցանիշի նորմերը սահմանված են նմուշառման կետում աշխատանքային ճնշման պայմաններում: 10. Բնական այրվող գազի համար, որում С5 + ածխաջրածինների կոնցենտրացիան չի գերազանցում 1․0 գ/մ3-ը, 8-րդ ցուցանիշի սահմանում չի կատարվում: С5 +, գ/մ3, ածխաջրածինների զանգվածային կոնցենտրացիան հաշվարկվում է բնական այրվող գազի բաղադրիչների մոլային բաժնի չափված արժեքների հիման վրա հետևյալ բանաձևով՝ որտեղ՝ 10-ը՝ տոկոսների վերահաշվարկի գործակիցն է բաժիններով և դմ3-ով, մ3-ով, դմ3/-ով/(մ3.%) 24․05-ը ՝ բնական այրվող գազի (իդեալական համարվող) 1 մոլի ծավալն է ստանդարտ պայմաններում (20․0 °C և 101․325 կՊա), դմ3/մոլ․ Мi-ն՝ բնական այրվող գազի i-րդ բաղադրիչի մոլային զանգվածն է, գ/մոլ․ Xi-ն ՝ բնական այրվող գազի մեջ i-րդ բաղադրիչի մոլային բաժինն է, %․ i -ն՝ С5 + ածխաջրածինների զանգվածային կոնցենտրացիան հաշվարկելու համար օգտագործվող՝ բնական այրվող գազի բաղադրիչների գումարման ինդեքսն է․ n-ը՝ С5 + ածխաջրածինների զանգվածային կոնցենտրացիան հաշվարկելու համար օգտագործվող՝ բնական այրվող գազի բաղադրիչների քանակն է. Բնական այրվող գազի ածխաջրածնային բաղադրիչները՝ մինչև С6 + կեղծ բաղադրիչը չափելու դեպքում, С5 + ածխաջրածինների զանգվածային կոնցենտրացիան հաշվարկելու ժամանակ օգտագործում են պենտանների և С6 + կեղծ բաղադրիչի մոլային բաժինները։ |
|
ՀԱՎԵԼՎԱԾ ԹԻՎ 2 «Տրանսպորտային փոխադրման և (կամ) օգտագործման համար նախապատրաստված բնական այրվող գազի անվտանգության մասին» Եվրասիական տնտեսական միության տեխնիկական կանոնակարգի (ԵԱՏՄ ՏԿ 046/2018) (Եվրասիական տնտեսական հանձնաժողովի խորհրդի 2025 թվականի մայիսի 23-ի թիվ 38 որոշման խմբագրությամբ) |
ՊԱՀԱՆՋՆԵՐ
արդյունաբերական և կոմունալ-կենցաղային նշանակության բնական այրվող գազին ներկայացվող
|
Համարը՝ ը/կ |
Ցուցանիշի անվանումը |
Չափման միավորը |
Նորմը | |
|
նվազագույն |
առավելագույն | |||
|
1 |
Թթվածնի մոլային բաժինը |
% |
- |
0․050 |
|
2 |
Ածխածնի երկօքսիդի մոլային բաժինը |
% |
- |
2․5 |
|
3 |
Ծծմբաջրածնի զանգվածային կոնցենտրացիան |
գ/մ3 |
- |
0․020 |
|
4 |
Մերկապտանային ծծմբի զանգվածային կոնցենտրացիան |
գ/մ3 |
- |
0․036 |
|
5 |
Այրման ամենացածր ծավալային ջերմությունը |
ՄՋ/մ3 (կկալ/մ3) |
31․80 (7600) |
- |
|
6 |
Վոբբեի առավելագույն թիվը |
ՄՋ/մ3 (կկալ/մ3) |
41․20 (9840) |
54․50 (13020) |
|
7 |
Ցողի կետի ջերմաստիճանն ըստ ջրի |
°C |
նմուշառման կետում գազի ջերմաստիճանից ցածր | |
|
8 |
Ցողի կետի ջերմաստիճանն ըստ ածխաջրածինների |
°C |
նմուշառման կետում գազի ջերմաստիճանից ցածր | |
|
9 |
Մեխանիկական խառնուկների զանգվածային կոնցենտրացիան |
գ/մ3 |
- |
0․001 |
|
10 |
Հոտի ինտենսիվությունը |
բալ |
3 |
- |
| Ծանոթագրություններ. |
1. 3-6-րդ և 9-րդ ցուցանիշների նորմերը սահմանված են 101,325 կՊա ստանդարտ ճնշման և 20,0 °С ստանդարտ ջերմաստիճանի պայմաններում: Այրման ծավալային ջերմությունը հաշվարկելիս այրման ստանդարտ ջերմաստիճանը կազմում է 25․0 °С:»։ 2. 5-րդ և 6-րդ ցուցանիշները հաշվարկելիս ընդունում են 1 կալորիա, որը հավասար է 4.1868 Ջ: 3. 5-րդ և 6-րդ ցուցանիշները տարածվում են միայն որպես վառելիք օգտագործվող բնական այրվող գազի վրա։ 4. 7-րդ և 8-րդ ցուցանիշների նորմերը ճնշման պայմաններում սահմանված են նմուշառման կետում: 5. Բնական այրվող գազի համար, որում С5 + ածխաջրածինների կոնցենտրացիան չի գերազանցում 1.0 գ/մ3-ը, 8-րդ ցուցանիշի սահմանում չի կատարվում: С5 +, գ/մ3, ածխաջրածինների զանգվածային կոնցենտրացիան հաշվարկվում է բնական այրվող գազի բաղադրիչների մոլային բաժնի չափված արժեքների հիման վրա հետևյալ բանաձևով՝ որտեղ՝ 10-ը՝ տոկոսների վերահաշվարկի գործակիցն է բաժիններով և դմ3-ով, մ3-ով, դմ3/-ով/(մ3.%). 24․05-ը՝ բնական այրվող գազի (իդեալական համարվող) 1 մոլի ծավալն է ստանդարտ պայմաններում (20.0 °C և 101․325 կՊա), դմ3/մոլ. Mi-ն՝ բնական այրվող գազի i-րդ բաղադրիչի մոլային զանգվածն է, գ/մոլ․ Xi-ն՝ բնական այրվող գազի մեջ i-րդ բաղադրիչի մոլային բաժինն է, %․ i-ն՝ С5 + ածխաջրածինների զանգվածային կոնցենտրացիան հաշվարկելու համար օգտագործվող՝ բնական այրվող գազի բաղադրիչների գումարման ինդեքսն է. n-ը՝ С5 + ածխաջրածինների զանգվածային կոնցենտրացիան հաշվարկելու համար օգտագործվող՝ բնական այրվող գազի բաղադրիչների քանակն է: Բնական այրվող գազի ածխաջրածնային բաղադրիչները՝ մինչև С6 + կեղծ բաղադրիչը չափելու դեպքում, С5 + ածխաջրածինների զանգվածային կոնցենտրացիան հաշվարկելու ժամանակ օգտագործում են պենտանների և С6 + կեղծ բաղադրիչի մոլային բաժինները։ 6. 10-րդ ցուցանիշի նորմը սահմանված է այն գազաօդային խառնուրդի համար, որում բնական այրվող գազի ծավալային բաժինը հավասար է 1 %-ի: 10-րդ ցուցանիշը տարածվում է միայն կոմունալ-կենցաղային նշանակության բնական այրվող գազի (այդ թվում՝ ՀԲԳ-ի վերագազիֆիկացումից հետո ստացվողի) վրա։ Արդյունաբերական նշանակության բնական այրվող գազի (այդ թվում՝ ՀԲԳ-ի վերագազիֆիկացումից հետո ստացվողի) համար դրա հոտավորման և նորմավորման անհրաժեշտությունը 10 ցուցանիշով սահմանում են ընդունող կողմի հետ համաձայնությամբ։ Սպառողի հետ համաձայնեցմամբ և 7-րդ ցուցանիշի նորմավորվող արժեքի պարտադիր ապահովման պայմանով թույլատրվում է մինչև 4 % թթվածնի երկօքսիդի մոլային բաժնով բնական այրվող գազի մատուցումը բացառապես դեպի տվյալ սպառողը տանող գազատարներով: 7. ՀԲԳ-ի վերագազիֆիկացման արդյունքում ստացված արդյունաբերական և կոմունալ-կենցաղային նշանակության բնական այրվող գազի համար սահմանման ենթակա են միայն 4-րդ և 10-րդ ցուցանիշները՝ դրա հոտավորման դեպքում։ Արդյունաբերական և կոմունալ-կենցաղային նշանակության բնական այրվող գազի որակի անձնագրում թույլատրվում է գրանցել «Տրանսպորտային փոխադրման և (կամ) օգտագործման համար նախապատրաստված բնական այրվող գազի անվտանգության մասին» Եվրասիական տնտեսական միության տեխնիկական կանոնակարգի (ԵԱՏՄ ՏԿ 046/2018) թիվ 4 հավելվածի պահանջներին համապատասխանող՝ սկզբնական ՀԲԳ-ի փորձարկումների արդյունքները։ |
|
ՀԱՎԵԼՎԱԾ ԹԻՎ 3 «Տրանսպորտային փոխադրման և (կամ) օգտագործման համար նախապատրաստված բնական այրվող գազի անվտանգության մասին» Եվրասիական տնտեսական միության տեխնիկական կանոնակարգի (ԵԱՏՄ ՏԿ 046/2018) (Եվրասիական տնտեսական հանձնաժողովի խորհրդի 2025 թվականի մայիսի 23-ի թիվ 38 որոշման խմբագրությամբ) |
ՊԱՀԱՆՋՆԵՐ
բնական սեղմված այրվող գազին ներկայացվող
|
Համարը՝ ը/կ |
Ցուցանիշի անվանումը |
Չափման միավորը |
Նորմը | |
|
նվազա-գույն |
առավելա-գույն | |||
|
1 |
Այրման ամենացածր ծավալային ջերմությունը |
ՄՋ/մ3 |
31․80 |
- |
|
2 |
Հարաբերական խտությունն օդի նկատմամբ |
- |
0․55 |
0․70 |
|
3 |
Մեթանի հաշվարկային թիվը |
- |
70 |
- |
|
4 |
Ծծմբաջրածնի զանգվածային կոնցենտրացիան |
գ/մ3 |
- |
0․02 |
|
5 |
Մերկապտանային ծծմբի զանգվածային կոնցենտրացիան |
գ/մ3 |
- |
0․036 |
|
6 |
Չայրվող բաղադրիչների մոլային (գումարային) բաժինը |
% |
- |
7․0 |
|
7 |
Թթվածնի մոլային բաժինը |
% |
- |
1․0 |
|
8 |
Ջրի գոլորշիների զանգվածային կոնցենտրացիան |
գ/մ3 |
- |
0․009 |
|
9 |
Մեխանիկական խառնուկների զանգվածային կոնցենտրացիան |
գ/մ3 |
- |
0․001 |
| Ծանոթագրություններ՝ |
1. 1-ին, 4-րդ, 5-րդ, 8-րդ և 9-րդ ցուցանիշների արժեքները սահմանված են 101․325 կՊա ստանդարտ ճնշման և 20․0 °С ստանդարտ ջերմաստիճանի պայմաններում: Այրման ծավալային ջերմությունը հաշվարկելիս այրման ստանդարտ ջերմաստիճանը կազմում է 25․0 °С: 2. Ներքին այրման շարժիչների համար ՀԲԳ-ից (Բ մակնիշ) ստացված՝ սեղմված բնական այրվող գազի համար 8-րդ և 9-րդ ցուցանիշները չեն սահմանվում։ 3. Սեղմված բնական այրվող գազի որակի անձնագրում 1-7-րդ և 9-րդ ցուցանիշների մասով թույլատրվում է գրանցել սեղմման համար ստացվող բնական այրվող գազի որակի անձնագրում նշված փորձարկումների (չափումների) արդյունքները, որոնք համապատասխանում են «Տրանսպորտային փոխադրման և (կամ) օգտագործման համար նախապատրաստված բնական այրվող գազի անվտանգության մասին» Եվրասիական տնտեսական միության տեխնիկական կանոնակարգի (ԵԱՏՄ ՏԿ 046/2018) թիվ 1 հավելվածի և թիվ 12 հավելվածի պահանջներին։ |
|
ՀԱՎԵԼՎԱԾ ԹԻՎ 4 «Տրանսպորտային փոխադրման և (կամ) օգտագործման համար նախապատրաստված բնական այրվող գազի անվտանգության մասին» Եվրասիական տնտեսական միության տեխնիկական կանոնակարգի (ԵԱՏՄ ՏԿ 046/2018) (Եվրասիական տնտեսական հանձնաժողովի խորհրդի 2025 թվականի մայիսի 23-ի թիվ 38 որոշման խմբագրությամբ) |
ՊԱՀԱՆՋՆԵՐ
հեղուկացված բնական այրվող գազին ներկայացվող
|
Համարը՝ ը/կ |
Ցուցանիշի անվանումը |
Չափման միավորը |
Նորմը | |||||
|
ՀԲԳ՝ ավիացիոն գազատուրբինային շարժիչների համար (Ա մակնիշ) |
ՀԲԳ՝ ներքին այրման շարժիչների համար (Բ մակնիշ)* |
ՀԲԳ՝ էներգիական կայանքների համար (Գ մակնիշ)** | ||||||
|
նվազա- գույն |
առա- վելա- գույն |
նվազա-գույն |
առա-վելա-գույն |
նվազա-գույն |
առա-վելա-գույն | |||
|
1 |
Մեթանի մոլային բաժինը |
% |
99․0 |
- |
80․0 |
- |
75․0 |
- |
|
2 |
Վոբբեի առավելագույն թիվը |
ՄՋ/մ3 |
47․2 |
49․2 |
- |
41․2 |
54․5 | |
|
3 |
Այրման ամենացածր ծավալային ջերմությունը |
ՄՋ/մ3 |
- |
31․8 |
- |
31․8 |
- | |
|
4 |
Ազոտի մոլային բաժինը |
% |
- |
- |
5․0 |
- |
5․0 | |
|
5 |
Ածխածնի երկօքսիդի մոլային բաժինը |
% |
- |
0․005 |
- |
0․015 |
- |
0․030 |
|
6 |
Թթվածնի մոլային բաժինը |
% |
- |
0․020 |
- |
0․020 |
- |
0․020 |
|
7 |
Ծծմբաջրածնի զանգվածային կոնցենտրացիան |
գ/մ3 |
- |
0․020 |
- |
0․020 |
- |
0․020 |
|
8 |
Մերկապտանային ծծմբի զանգվածային կոնցենտրացիան |
գ/մ3 |
0․036 |
0․036 |
0․036 | |||
|
9 |
Մեթանի հաշվարկային թիվը |
- |
- |
70 |
- |
- | ||
* Այդ թվում ներքին այրման շարժիչների համար՝ վերագազիֆիկացումից և սեղմումից հետո որպես վառելիք օգտագործելու նպատակով։
** Այդ թվում՝ վերագազիֆիկացումից հետո որպես արդյունաբերական վառելիք և կոմունալ-կենցաղային նշանակության գազի արտադրության համար հումք օգտագործելու նպատակով։
| Ծանոթագրություն՝ |
2-րդ, 3-րդ, 7-րդ և 8-րդ ցուցանիշների նորմերը սահմանված են 101․325 կՊա ստանդարտ ճնշման և 20․0 °С ստանդարտ ջերմաստիճանի պայմաններում: Այրման ծավալային ջերմությունը հաշվարկելիս այրման ստանդարտ ջերմաստիճանը կազմում է 25․0 °С:»։ |
Պաշտոնական հրապարակման օրը՝ 18 նոյեմբերի 2025 թվական: