ՀԱՅԱՍՏԱՆԻ ՀԱՆՐԱՊԵՏՈՒԹՅՈՒՆ
ՎԻՃԱԿԱԳՐՈՒԹՅԱՆ ՊԵՏԱԿԱՆ ԽՈՐՀՈՒՐԴ
8 փետրվարի 2022 թվականի |
թիվ 03-Ն |
Ո Ր Ո Շ ՈՒ Մ
«ԿԱԶՄԱԿԵՐՊՈՒԹՅԱՆ (ԱՆՀԱՏ ՁԵՌՆԱՐԿԱՏԻՐՈՋ) ԱՐԴՅՈՒՆԱԲԵՐԱԿԱՆ ԱՐՏԱԴՐԱՆՔԻ ԳՆԻ ՄԱՍԻՆ» ՁԵՎ 1-ԳԻՆ (ԱՐՏԱԴՐԱՆՔ) (ԱՄՍԱԿԱՆ) ՎԻՃԱԿԱԳՐԱԿԱՆ ՀԱՇՎԵՏՎՈՒԹՅԱՆ ՁԵՎԸ ԵՎ ԼՐԱՑՄԱՆ ՀՐԱՀԱՆԳԸ ՀԱՍՏԱՏԵԼՈՒ ԵՎ ՀԱՅԱՍՏԱՆԻ ՀԱՆՐԱՊԵՏՈՒԹՅԱՆ ՎԻՃԱԿԱԳՐՈՒԹՅԱՆ ՊԵՏԱԿԱՆ ԽՈՐՀՐԴԻ 2019 ԹՎԱԿԱՆԻ ՆՈՅԵՄԲԵՐԻ 20-Ի ԹԻՎ 46-Ն ՈՐՈՇՈՒՄՆ ՈՒԺԸ ԿՈՐՑՐԱԾ ՃԱՆԱՉԵԼՈՒ ՄԱՍԻՆ
Ղեկավարվելով «Պաշտոնական վիճակագրության մասին» օրենքի 10-րդ հոդվածի 3-րդ մասի 1-ին կետի և 18-րդ հոդվածի 4-րդ մասի, ինչպես նաև «Նորմատիվ իրավական ակտերի մասին» օրենքի 37-րդ հոդվածի 1-ին մասի դրույթներով` Հայաստանի Հանրապետության վիճակագրության պետական խորհուրդը որոշում է.
1. Հաստատել «Կազմակերպության (անհատ ձեռնարկատիրոջ) արդյունաբերական արտադրանքի գնի մասին» Ձև 1-ԳԻՆ (արտադրանք) (ամսական) վիճակագրական հաշվետվության ձևը՝ համաձայն հավելված 1-ի:
2. Հաստատել «Կազմակերպության (անհատ ձեռնարկատիրոջ) արդյունաբերական արտադրանքի գնի մասին» Ձև 1-ԳԻՆ (արտադրանք) (ամսական) վիճակագրական հաշվետվության լրացման հրահանգը՝ համաձայն հավելված 2-ի:
3. Ուժը կորցրած ճանաչել Հայաստանի Հանրապետության վիճակագրության պետական խորհրդի 2019 թվականի նոյեմբերի 20-ի ««Կազմակերպության արդյունաբերական արտադրանքի գնի մասին» Ձև 1-ԳԻՆ (ԱՐՏԱԴՐԱՆՔ) (ԱՄՍԱԿԱՆ) վիճակագրական հաշվետվության ձևն ու լրացման հրահանգը հաստատելու և Հայաստանի Հանրապետության վիճակագրության պետական խորհրդի 2009 թվականի դեկտեմբերի 23-ի թիվ 46-Ն որոշումն ուժը կորցրած ճանաչելու մասին» թիվ 46-Ն որոշումը:
4. Սույն որոշումն ուժի մեջ է մտնում պաշտոնական հրապարակմանը հաջորդող օրվանից:
Նախագահ |
Ս. Մնացականյան |
Հավելված 1 Հայաստանի Հանրապետության վիճակագրության պետական խորհրդի 2022 թվականի փետրվարի 8-ի թիվ 03-Ն որոշման |
Տողի համա-րը |
Արտադրված արտադրանքի (ծառայության) անվանումը, բնութագիրը (մոդելը, քաշը, մակնիշը, հզորությունը, չափսը, բաղադրությունը, տարայավորումը և այլն) |
Իրացման տեսակը (01-ներքին շուկա, 02-արտաքին շուկա) |
Արտադրանքի |
Գնի փոփոխության պատճառը (ծածկագիրը` 01-11) | ||||
ծածկագիրն ըստ ԱԱԴԳՏ-ի |
չափի |
քանակը |
մեկ միավորի գինը (առանց ԱԱՀ և ակցիզային հարկի), դրամ | |||||
հաշվետու ամսում |
հաշվետու ամսում |
նախորդ ամսում | ||||||
Հ/հ |
1 |
2 |
3 |
4 |
5 |
6 |
7 |
8 |
1. |
||||||||
2. |
||||||||
3. |
||||||||
4. |
||||||||
5. |
||||||||
6. |
||||||||
7. |
||||||||
8. |
||||||||
9. |
||||||||
10. |
||||||||
11. |
||||||||
12. |
||||||||
13. |
||||||||
14. |
||||||||
... |
Ղեկավար/Անհատ ձեռնարկատեր |
_____________________________ | ____________________________ | |
(Ազգանուն, անուն) |
|
(Ստորագրություն) | |
Լրացնող (գլխավոր հաշվապահ կամ այլ լիազորված անձ) |
_____________________________ | ____________________________ | |
(Ազգանուն, անուն) |
(Ստորագրություն) | ||
(լրացման ամսաթիվը) |
Հավելված 2 Հայաստանի Հանրապետության վիճակագրության պետական խորհրդի 2022 թվականի փետրվարի 8-ի թիվ 03-Ն որոշման |
Հ Ր Ա Հ Ա Ն Գ
«ԿԱԶՄԱԿԵՐՊՈՒԹՅԱՆ (ԱՆՀԱՏ ՁԵՌՆԱՐԿԱՏԻՐՈՋ) ԱՐԴՅՈՒՆԱԲԵՐԱԿԱՆ ԱՐՏԱԴՐԱՆՔԻ ԳՆԻ ՄԱՍԻՆ» ՁԵՎ 1-ԳԻՆ (ԱՐՏԱԴՐԱՆՔ) (ԱՄՍԱԿԱՆ) ՎԻՃԱԿԱԳՐԱԿԱՆ ՀԱՇՎԵՏՎՈՒԹՅԱՆ ԼՐԱՑՄԱՆ
1. ԸՆԴՀԱՆՈՒՐ ԴՐՈՒՅԹՆԵՐ
1. Սույն հրահանգը սահմանում է «Կազմակերպության (անհատ ձեռնարկատիրոջ) արդյունաբերական արտադրանքի գնի մասին» Ձև 1-ԳԻՆ (արտադրանք) (ամսական) վիճակագրական հաշվետվության (այսուհետ` Հաշվետվություն) լրացման կարգի հետ կապված հարաբերությունները:
2. Հաշվետվությունը ներկայացնում են արտադրական գործունեությամբ զբաղվող իրավաբանական անձինք և անհատ ձեռնարկատերերը (այսուհետ՝ Կազմակերպություն), որոնք այդ մասին նախապես իրազեկվում են Հայաստանի Հանրապետության վիճակագրության պետական խորհրդի 2016 թվականի հունիսի 20-ի թիվ 05-Ն որոշմամբ հաստատված կարգի դրույթներին համապատասխան:
3. Տեղեկատվության հավաքագրման նպատակն արդյունաբերողների արտադրանքի գների ինդեքսի (գների մակարդակի փոփոխության) հաշվարկն է արդյունաբերության ոլորտի բազային կազմակերպությունների կողմից թողարկած արտադրանքների գների գրանցման հիման վրա, ինչը կիրառվում է արդյունաբերական արտադրանքի ծավալների և համախառն ներքին արդյունքի անփոփոխ գներով գնահատման համար:
4. Հաշվետվությունը ներկայացվում է ամսական պարբերականությամբ՝ հաշվետու և նախորդ ժամանակաշրջանների համար: Սույն հրահանգի իմաստով հաշվետու ժամանակաշրջան է համարվում ընթացիկ ամիսը, իսկ նախորդ ժամանակաշրջան` նախորդ ամիսը:
5. Հաշվետվության տվյալները լրացվում են ազգային արժույթով (դրամով), ստորակետից հետո մեկ տասնորդական նիշով:
6. Դիտարկմանը ներառված արտադրանքների (մատուցված ծառայությունների) տվյալների (քանակ և (կամ) գին) բացակայության դեպքում համապատասխան դաշտ(եր)ում լրացվում է զրո (0) և կազմակերպության կողմից ստորագրված Հաշվետվությունը ներկայացվում է սահմանված կարգով:
7. Հաշվետվությունը ներկայացվում է Հայաստանի Հանրապետության վիճակագրական կոմիտե՝ Հաշվետվության ձևի վրա նշված ժամկետում և պարբերականությամբ:
8. Հաշվետվության դիմային էջի «Փաստացի գործունեության հիմնական տեսակի» ծածկագիրը լրացվում է համաձայն «Տնտեսական գործունեության տեսակների դասակարգչիե (այսուհետ՝ ՏԳՏԴ) 5 նիշ խմբավորման:
9. Հաշվետվությունը ստորագրում է կազմակերպության ղեկավարը (անհատ ձեռնարկատիրոջ դեպքում՝ անհատ ձեռնարկատերը), ինչպես նաև նշվում է կատարողի (գլխավոր հաշվապահ կամ դրա համար լիազորված այլ աշխատակից) անունը, ազգանունն ու հեռախոսի համարը:
10. Հաշվետվությունը սահմանված ժամկետում չներկայացնելու կամ սահմանված կարգի խախտումով (ոչ արժանահավատ տվյալներ, դրանց ոչ ամբողջական արտացոլում և այլ աղավաղումներ) ներկայացնելու (անկախ ժամկետից) դեպքում վիճակագրական հաշվետվություններ ներկայացնողները ենթարկվում են պատասխանատվության` օրենքով սահմանված կարգով:
11. Հաշվետվության ներկայացման հետ կապված այլ հարաբերությունները կարգավորվում են Հայաստանի Հանրապետության օրենսդրությամբ սահմանված կարգով:
2. ՄԵԹՈԴԱԲԱՆԱԿԱՆ ՊԱՐԶԱԲԱՆՈՒՄՆԵՐ
12. Հաշվետվությունը նախատեսված է ՏԳՏԴ-ի հանքագործական արդյունաբերության և բաց հանքերի շահագործման, մշակող արդյունաբերության, էլեկտրաէներգիայի, գազի, գոլորշու և լավորակ օդի մատակարարման, ջրամատակարարման, կոյուղու, թափոնների կառավարման և վերամշակման բաժիններին համապատասխան տնտեսական գործունեություն իրականացնող կազմակերպությունների համար:
13. Ըստ սույն հրահանգի .
1) բազային կազմակերպությունների ընտրանքային համախումբը արտադրողների գների դիտարկման անցկացման նպատակով կազմակերպությունների գլխավոր համախմբից ընտրված կազմակերպությունների ենթախումբն է,
2) արդյունաբերության ոլորտի բազային կազմակերպություն է համարվում արտադրողների գների հավաքագրման համար ընտրանքային կարգով ընտրված արդյունաբերական կազմակերպությունը,
3) թողարկված պատրաստի արտադրանք են համարվում արտադրված այն պատրաստի կիսաֆաբրիկատներն, ապրանքներն ու մատուցված ծառայությունները, որոնք նախատեսված են իրացվելու այլ կազմակերպությունների ներքին շուկայում և (կամ) արտաքին շուկայում,
4) արտադրանքի գինը դա արտադրանքի բացթողման գինն է առանց ավելացված արժեքի, ակցիզային և այլ հարկերի, որոնք ներառված չեն ինքնարժեքի մեջ, առանց մինչև գնորդը փոխադրման արժեքի, առաքման կայարանից մինչև նշանակման կայարան տրանսպորտային ծախսերի, մաքսատուրքերի և սուբսիդիաների:
14. Բազային կազմակերպությունների համախումբը ձևավորվում է այնպես, որ արտացոլի Հայաստանի Հանրապետության ողջ տարածքում արդյունաբերական արտադրության ամբողջականությունն ու գոյություն ունեցող տնտեսական գործունեությունների յուրահատկությունը։
15. Հաշվետվության ձևում պահանջվող տվյալները՝ արտադրված արտադրանքի փաստացի քանակը բնաիրային արտահայտությամբ և բացթողման միջին կշռված գինը, յուրաքանչյուր արտադրանքի համար ներկայացվում են հաշվետու ամսվա 1-ից մինչև նույն ամսվա վերջին օրը ներառյալ:
16. Թողարկված արտադրանքի ընտրանքն ու գների դիտարկումն իրականացվում են ելնելով դրանց ներկայացուցչականության ապահովման սկզբունքներից: Ճիշտ և ներկայացուցչական ընտրանքից մեծապես կախված է հաշվարկվող արտադրանքների գների ամփոփ ինդեքսների ճշգրտության աստիճանն ագրեգացման բոլոր մակարդակներում:
17. Արտադրանքների գների դիտարկումը բնութագրերի մանրամասն նկարագրությամբ թույլ է տալիս բացառել որակական փոփոխությունների ազդեցությունը և արտացոլել զուտ գների փոփոխությունը:
18. Գների դիտարկման համար կազմակերպության կողմից արտադրանքներն ընտրվում են ելնելով հետևյալ սկզբունքներից.
1) արտադրանքի արտադրությունը պետք է նախատեսված լինի երկարատև ժամանակով և ներկայացուցչական լինի տվյալ կազմակերպության արտադրության ընդհանուր ծավալում,
2) գների գրանցման ժամանակ որպես առանձին արտադրանք պետք է հաշվի առնել ինչպես տեսականու նշանակությունը (օրինակ` կոշիկ-մանկական, կանանց, տղամարդկանց, ճտքավոր, կիսաճտքավոր, ամառային, ձմեռային), այնպես էլ օգտագործված հումքի տեսակը` բնական կաշվից, արհեստական կաշվից և այլն,
3) արտադրանքի նորացման բարձր մակարդակ կամ տեսականու մեծ բազմազանություն ունեցող արտադրություններում (օրինակ՝ հագուստի, կոշկեղենի արտադրություն) թույլատրվում է ներկայացուցչական արտադրանքների ցանկում ներառել միատարր արտադրանքի խմբեր, որոնց մեջ մտնող արտադրանքներն ըստ նշանակության ունեն նույն հատկանիշները, չափի միավորները և դրանց միջև գների փոփոխությունները կազմում են մինչև ±5%,
4) մատուցված ներկայացուցչական ծառայության միջին գինը որոշվում է կատարված ծախսերի արժեքը բաժանելով վճարման համար հիմք հանդիսացող պայմանագրով նախատեսած չափի միավորով (օրինակ՝ ժամ, կարատ, հատ և այլն) մատուցվող ծառայության քանակի վրա: Որտեղ հումքի արժեքը, որի օգտագործմամբ մատուցվում է ծառայությունը, չպետք է հաշվի առնվի:
19. Ընտրված ներկայացուցչական արտադրանքների գին և քանակ ցուցանիշների հիման վրա հաշվարկվող արտադրության ծավալների հանրագումարը պետք է կազմի տվյալ կազմակերպության թողարկած արտադրանքի ընդհանուր ծավալի առնվազն 60%-ը:
20. Եթե հաշվետու տարվա ընթացքում սկսվում է երկարատև ժամանակով և թողարկման մեծ ծավալով նոր արտադրանքի արտադրություն, ապա անհրաժեշտ է այն ընդգրկել ներկայացուցչական արտադրանքների ցանկում և ներառել Հաշվետվությունում:
21. Ընտրված արտադրանքների գների գրանցումը կատարվում է մշտապես, ամբողջ տարվա ընթացքում, անվանացանկին խիստ համապատասխան: Նախորդ ամիսների տվյալների ճշգրտման դեպքում Հաշվետվությանը կից տրվում են պարզաբանումներ:
22. Հաշվետվության լրացման համար հիմք են հանդիսանում հաշվետու ժամանակաշրջանում արտադրանքների վերաբերյալ (առաջնային հաշվապահական փաստաթղթերում, հաշիվ-ապրանքագրերում) կամ դրանց առաքման պայմանագրերով նախատեսված արտադրողի փաստացի բացթողման գների մասին տեղեկությունները:
23. Այն դեպքում, երբ միևնույն ներկայացուցչական արտադրանքի (մատուցված ծառայության) միջին գինը նույնը չէ տարբեր խմբերի գնորդների համար, ապա միջին գները արտացոլվում են հիմնական գնորդների յուրաքանչյուր կատեգորիայի համար:
24. Ամբողջությամբ կամ մասամբ պատվիրատուի հումքով աշխատող (ծառայություն մատուցող) կազմակերպությունները գների գրանցումն իրականացնում են հումքի մշակման ծառայության մասով, որպես առանձին արտադրանքներ (օրինակ՝ հացաթխման, կարի, ադամանդի մշակման ծառայություն):
25. Երկարատև ցիկլով արտադրանքների արտադրության համար, որոնց բեռնառաքումը մի քանի ամսվա ընթացքում չի կատարվում, Հաշվետվությունը լրացվում է առաքման համար կնքված փաստաթղթերում առկա գների մասին տվյալների հիման վրա: Առաքման կամ այլ պայմանագրերով նախատեսված գների փոփոխման պարագայում Հաշվետվության մեջ լրացվում է փոփոխված գինը:
26. Արտադրողի արտադրանքի գնի մեջ տարայի արժեքը հաշվի է առնվում, եթե այն սեփական արտադրության է և չվերադարձվող, և չի ներառվում, եթե այն գնվում է պատվիրատուի կողմից կամ վերադարձվում է արտադրողին:
27. Գների գրանցման պարագայում հաշվետու ժամանակաշրջանում թողարկված, բայց չիրացված արտադրանքների գինը որոշվում է հաշվետու ժամանակաշրջանում նմանատիպ արտադրանքի բացթողման գնով:
3. ԼՐԱՑՄԱՆ ԿԱՐԳԸ
28. «Տողի համարը»՝ Հ/հ սյունակում լրացվում է գների գրանցման համար ընտրված արտադրանքի (մատուցված ծառայության) հերթական համարը։
29. «Արտադրված արտադրանքի (ծառայության) անվանումը, բնութագիրը (մակնիշը, հզորությունը, չափը, բաղադրությունը, տարայավորումը և այլն)»՝ 1-ին սյունակում լրացվում է արտադրանքի կամ ծառայության ամբողջական անվանումը, մանրամասն բնութագիրը:
30. «Իրացման տեսակը (01-ներքին շուկա, 02-արտաքին շուկա)»՝ 2-րդ սյունակում լրացվում է արտադրանքի իրացման տեսակի ծածկագիրը` համապատասխանաբար՝ 01-ներքին շուկա, 02-արտաքին շուկա: Եթե նույն արտադրանքը նախատեսվում է իրացնել և' ներքին և' արտաքին (արտահանվում է) շուկաներում, ապա դրանք պետք է տարանջատվեն որպես երկու առանձին արտադրանքներ:
31. «Արտադրանքի ծածկագիրն ըստ ԱԱԴԳՏ-ի»՝ 3-րդ սյունակում լրացվում է արտադրանքի ծածկագիրն ըստ «Արդյունաբերական արտադրանքի դասակարգում ըստ գործունեության տեսակների» (ԱԱԴԳՏ) (9 նիշ մակարդակ) դասակարգչի:
32. «Արտադրանքի չափի միավորն ըստ ԱԱԴԳՏ-ի»՝ 4-րդ սյունակում լրացվում է արտադրանքի չափի միավորն ըստ պահանջվող ԱԱԴԳՏ ծածկագրի, իսկ մատուցված ծառայության դիմաց` վճարման համար հիմք հանդիսացող պայմանագրով նախատեսած չափի միավորը (օրինակ՝ բաճկոնի կարի ծառայություն` հատ, կոշիկի երեսամասի նախապատրաստում` զույգ, հացաթխման ծառայություն` կգ, ադամանդի մշակման ծառայություն՝ կարատ և այլն):
33. «Արտադրանքի քանակը հաշվետու ամսում»՝ 5-րդ սյունակում լրացվում է հաշվետու ամսում արտադրված արտադրանքի փաստացի քանակը բնաիրային արտահայտությամբ (էներգետիկ ոլորտի կազմակերպությունների համար` օգտակար առաքման քանակը):
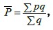
34. «Արտադրանքի մեկ միավորի գինը առանց (ԱԱՀ և ակցիզային հարկի), դրամ»՝ 6-րդ (հաշվետու ամսում), 7-րդ (նախորդ ամսում) սյունակներում յուրաքանչյուր արտադրանքի համար գրանցվում է տվյալ ամսվա (հաշվետու, նախորդ) 1-ից մինչև նույն ամսվա ներառյալ վերջին օրը ձևավորված արտադրողի փաստացի բացթողման միջին կշռված գինը, ինչը հաշվարկվում է հետևյալ բանաձևով.
որտեղ՝
–ն արտադրանքի միջին կշռված գինն է,
–ն արտադրանքի տարբեր խմբաքանակների արժեքների գումարն է հաշվետու ժամանակաշրջանում,
–ն արտադրանքի տարբեր խմբաքանակների գումարն է հաշվետու ժամանակաշրջանում:
35. Գնի մակարդակը տրվում է չափի մեկ միավորի համար (հատ, կգ, մետր և այլն): Եթե փաստաթղթերում արտադրանքների գների և քանակների վերաբերյալ տեղեկատվությունն արտացոլվում է չափի միավորներով, որոնք տարբերվում են արտադրանքի տեսականու համար նախատեսված անվանացանկում (ԱԱԴԳՏ) նշված չափի միավորներից և հայտնի են պահանջվող չափի միավորներին անցման վերահաշվարկի գործակիցները, ապա Հաշվետվությունում պետք է դրվեն ըստ ԱԱԴԳՏ-ի չափի միավորների վերահաշվարկված ցուցանիշները:
36. «Գնի փոփոխության պատճառը (ծածկագիրը)»՝ 8-րդ սյունակում լրացվում է նախորդ ամսվա համեմատ գնի էական փոփոխության (ավելի քան 5%) հիմնական պատճառի ծածկագիրը. 01 - հումքի, նյութերի և կիսաֆաբրիկատների վրա կատարած ծախքերի փոփոխություն, 02 - ֆիզիկական բաղադրության փոփոխություն, 03 - մրցակցային գործոն, 04 - վաճառքի պայմանների փոփոխություն, 05 - էլեկտրաէներգիայի, գազի, ջրի, վառելիքի գնի (սակագնի) փոփոխություն, 06 - արտարժույթի փոխարժեքի փոփոխություն, 07 - աշխատուժի վարձավճարի փոփոխություն, 08 - մշտական պատվիրատուին? տրամադրվող զեղչերի ազդեցություն կամ դրանց չափի փոփոխություն, 09 - խմբաքանակի չափի փոփոխություն, 10 - արտադրության ծավալի փոփոխություն, 11-այլ պատճառներ (նշել պատճառի տեսակը):
Պաշտոնական հրապարակման օրը՝ 10 փետրվարի 2022 թվական:
