ՀԱՅԱՍՏԱՆԻ ՀԱՆՐԱՊԵՏՈՒԹՅԱՆ ԿԱՌԱՎԱՐՈՒԹՅՈՒՆ
Ո Ր Ո Շ ՈՒ Մ
22 փետրվարի 2018 թվականի N 193-Ն
ՀԱՅԱՍՏԱՆԻ ՀԱՆՐԱՊԵՏՈՒԹՅԱՆ ԿԱՌԱՎԱՐՈՒԹՅԱՆ 2012 ԹՎԱԿԱՆԻ ՄԱՅԻՍԻ 17-Ի N 629-Ն ՈՐՈՇՄԱՆ ՄԵՋ ՓՈՓՈԽՈՒԹՅՈՒՆՆԵՐ ԵՎ ԼՐԱՑՈՒՄ ԿԱՏԱՐԵԼՈՒ ՄԱՍԻՆ
Հայաստանի Հանրապետության կառավարությունը որոշում է.
1. Հայաստանի Հանրապետության կառավարության 2012 թվականի մայիսի 17-ի «Կենսաթոշակային ֆոնդի մասնակիցներին մասնակիցների ռեեստրը վարողի կողմից տարեկան մեկ անգամ անվճար՝ մասնակցի կենսաթոշակային հաշվում արտացոլված նախորդ օրացուցային տարվա տվյալների մասին տեղեկատվությունը ներկայացնելու ձևը, բովանդակությունը և կարգը, ինչպես նաև այդ տեղեկատվության ստացման տարբերակների ընտրության, տեղեկատվության ստացման դադարեցման ու տեղեկատվության ստացման վերականգնման կարգը, դիմումի ձևը և բովանդակությունը սահմանելու մասին» N 629-Ն որոշման մեջ կատարել հետևյալ փոփոխությունները և լրացումը՝
1) որոշման N 1 հավելվածում՝
ա. հավելվածի 3-րդ կետը շարադրել հետևյալ խմբագրությամբ.
«3. Մասնակիցների ռեեստրը վարողը տարեկան մեկ անգամ անվճար՝ մասնակցին ներկայացնում է կենսաթոշակային հաշվի մասին հետևյալ տեղեկատվությունը`
1) կենսաթոշակային հաշիվը, բացման ամսաթիվը և հաշվետու տարին.
2) մասնակցի անձնական և կոնտակտային տվյալները՝ մասնակցի անունը, ազգանունը, ծննդյան օրը, ամիսը, տարեթիվը, հանրային ծառայության համարանիշը կամ հանրային ծառայության համարանիշ չստանալու վերաբերյալ տեղեկանքի համարը, հասցեն, էլեկտրոնային փոստի հասցեն (առկայության դեպքում).
3) մասնակիցների ռեեստրը վարողի կոնտակտային տվյալները` մասնակիցների ռեեստրը վարողի գտնվելու վայրը (փոստային հասցեն), հեռախոսահամարը, ինտերնետային կայքի հասցեն, էլեկտրոնային փոստի հասցեն.
4) ամփոփ տեղեկատվություն ֆոնդի, ֆոնդի կառավարչի, ֆոնդի տարեկան եկամտաբերության, հաշվետու տարվա վերջի դրությամբ մասնակցի կենսաթոշակային հաշվի մնացորդի և հաշվետու տարվա ընթացքում մասնակցի կուտակումների վերաբերյալ.
5) տվյալ մասնակցի օգտին հաշվետու տարվա ընթացքում կատարված յուրաքանչյուր սոցիալական վճարի չափը և այն կատարող գործատուի անվանումը, պետության կողմից մասնակցի օգտին հատկացված միջոցների չափը, մասնակցի օգտին հատկացում կատարողի կողմից վճարված տույժի չափը, մասնակցի համար կուտակային հատկացման գումարը մասնակցի կենսաթոշակային հաշվին մուտք լինելու օրը, ամիսը, տարեթիվը և այն ամիսն ու տարեթիվը, որի համար կատարվել է հատկացումը, ինչպես նաև տվյալ ժամանակաշրջանի համար կատարված վճարումների հաշվին ձեռք բերված փայերը թողարկող ֆոնդի անվանումը և տեսակը` ըստ «Կուտակային կենսաթոշակների մասին» Հայաստանի Հանրապետության օրենքի 37-րդ հոդվածի 1-ին մասի.
6) հաշվետու տարվա սկզբի և վերջի դրությամբ մասնակցի հաշվում առկա` կենսաթոշակային ֆոնդի (ֆոնդերի) փայերի քանակը, յուրաքանչյուր ֆոնդի փայի արժեքը և փայերի ընդհանուր արժեքը, յուրաքանչյուր ֆոնդի տարեկան եկամտաբերությունը.
7) հաշվետու ժամանակաշրջանի ընթացքում ֆոնդի (ֆոնդերի) փայերի հետ կապված գործարքները (փայերի ձեռքբերումը, փոխանակումը կամ մարումը), այդ թվում`
ա. ֆոնդի անվանումը, որի փայերը ձեռք են բերվել կամ մարվել են հաշվետու տարվա ընթացքում, և տեսակը` ըստ «Կուտակային կենսաթոշակների մասին» Հայաստանի Հանրապետության օրենքի 37-րդ հոդվածի 1-ին մասի,
բ. գործարքի կատարման ամսաթիվը,
գ. գործարքի տեսակը,
դ. գործարքի հիմքը,
ե. յուրաքանչյուր ֆոնդի փայի գործարքի գինը (գործարքի միջնորդավճարի և փայի արժեքի հանրագումարը), փայերի քանակը, ինչպես նաև յուրաքանչյուր գործարքի ընդհանուր գումարը,
զ. յուրաքանչյուր գործարքի համար գանձված վճարը:»,
բ. հավելվածը 3-րդ կետից հետո լրացնել հետևյալ բովանդակությամբ նոր՝ 3.1-ին կետով.
«3.1. Սույն կարգի 3-րդ կետում նշված տեղեկատվությունը մասնակցին տրամադրվում է Հայաստանի Հանրապետության կառավարության 2012 թվականի մայիսի 17-ի N 629-Ն որոշման N 2 հավելվածի աղյուսակների տեսքով, ընդ որում, մասնակցին տրամադրվում են նաև Հայաստանի Հանրապետության կառավարության 2012 թվականի մայիսի 17-ի N 629-Ն որոշման N 2 հավելվածի աղյուսակների` որոշ հասկացությունների վերաբերյալ բացատրությունները:».
2) որոշման N 2 հավելվածը շարադրել նոր խմբագրությամբ՝ համաձայն հավելվածի:
2. Սույն որոշումն ուժի մեջ է մտնում պաշտոնական հրապարակման օրվան հաջորդող տասներորդ օրը:
Հայաստանի Հանրապետության |
Կ. Կարապետյան |
|
Հավելված ՀՀ կառավարության 2018 թվականի փետրվարի 22-ի N 193 -Ն որոշման |
«Հավելված N 2 ՀՀ կառավարության 2012 թվականի մայիս ի 17-ի N 629-Ն որոշման |
Ձև
Տ Ե Ղ Ե Կ Ա Տ Վ ՈՒ Թ Յ ՈՒ Ն
ԿԵՆՍԱԹՈՇԱԿԱՅԻՆ ՀԱՇՎԻ ՄԱՍԻՆ
Հարցերի դեպքում՝ Հայաստանի կենտրոնական դեպոզիտարիա Հասցեն՝ , հեռ.՝ , կայք՝ |
ՁԵՐ ՏՎՅԱԼՆԵՐԸ
1. Անունը, ազգանունը |
|
2. Ծննդյան ամսաթիվը (օրը, ամիսը, տարեթիվը) |
|
3. Հանրային ծառայության համարանիշը կամ հանրային ծառայության համարանիշ չունենալու մասին տեղեկանքի համարը |
|
4. Հասցեն |
|
5. Էլեկտրոնային փոստի հասցեն |
|
6. Կենսաթոշակային հաշիվը |
|
7. Կենսաթոշակային հաշվի բացման ամսաթիվը (օրը, ամիսը, տարեթիվը) |
|
8. Հաշվետու տարին |
Անձնական տվյալներում սխալների հայտնաբերման դեպքում անհրաժեշտ է ներկայացնել անձնական տվյալները փոփոխելու մասին դիմում՝ այցելելով հաշվի օպերատորներին կամ մուտք գործելով www.epension.am կայքի Իմ հաշիվը հավելվածը: |
Աղյուսակ N 1
ԱՄՓՈՓ ՏԵՂԵԿԱՏՎՈՒԹՅՈՒՆ
Ձեր Ֆոնդը |
|||
Ձեր ֆոնդի կառավարիչը |
|||
Ձեր Ֆոնդի տարեկան եկամտաբերությունը |
% | ||
Ձեր հաշվի մնացորդը՝ տարվա վերջի դրությամբ կազմել է |
|||
Հաշվետու տարվա ընթացքում կուտակումները կազմել են (1+2+3) |
դրամ | ||
մասնակիցը |
պետությունը |
եկամուտը | |
(1) |
(2) |
(3) | |
Աղյուսակ N 2
ՁԵՐ ԿՈՒՏԱԿԱՅԻՆ ՀԱՏԿԱՑՈՒՄՆԵՐԸ
Մուտք հաշվին (օրը, ամիսը, |
Ամիսը, որի համար կատարվել է հատկացումը |
Հատկացումը |
Գործատուն |
Գործատուի կողմից վճարված տույժը |
Ընդամենը՝ հատկա- |
Ֆոնդը | |
մասնակիցը |
պետությունը | ||||||
(1) |
(2) |
(3) |
(4) |
(5) |
(6) |
(7) |
(8) |
Ընդամենը |
Աղյուսակ N 3
ՁԵՐ ՖՈՆԴԵՐԻ ԵԿԱՄՏԱԲԵՐՈՒԹՅՈՒՆԸ
Ֆոնդը |
Ֆոնդերի փայերի քանակը (հատ) |
Փայի արժեքը (դրամ) |
Փայերի ընդհանուր արժեքը (դրամ) |
Ֆոնդի տարեկան եկամտաբերությունը | ||||
տարվա սկիզբը |
տարվա վերջը |
տարվա սկիզբը |
տարվա վերջը |
տարվա սկիզբը (2x4) |
տարվա վերջը (3x5) |
նախորդ տարին |
հաշվետու տարին | |
(1) |
(2) |
(3) |
(4) |
(5) |
(6) |
(7) |
(8) |
(9) |
% |
% | |||||||
Ընդամենը |
Աղյուսակ N 4
ՓԱՅԵՐԻ ՀԵՏ ԿԱՊՎԱԾ ԳՈՐԾԱՐՔՆԵՐԸ
Ֆոնդը |
|||||||
ամսաթիվը |
գործարքի տեսակը |
Գործարքի հիմքը |
Գործարքի գինը |
Գործարքի միջնորդա- |
Փայի արժեքը |
Փայերի քանակը (հատ) |
Գործարքի գումարը (դրամ) |
(1) |
(2) |
(3) |
(4) |
(5) |
(6) |
(7) |
(8) |
Որոշ հասկացությունների մասին
1. Ֆոնդ՝ ֆոնդի անվանում և տեսակ, որի փայերը ձեռք են բերվել տվյալ տարվա համար կատարված կուտակային հատկացման գումարով: Դրանք են՝
1.1. FIX` կայուն եկամտային կենսաթոշակային ֆոնդ (ֆոնդի միջոցներն ամբողջությամբ` 100 տոկոսով, ներդրվում են կայուն եկամուտ ապահովող և ցածր ռիսկային ֆինանսական գործիքներում (օրինակ` ավանդ, պարտատոմս և այլն).
1.2. CON՝ պահպանողական կենսաթոշակային ֆոնդ (ֆոնդի միջոցները, բացի կայուն եկամուտ ապահովող ֆինանսական գործիքներից, որոշ չափով (մինչև 25 տոկոս) ներդրվում են համեմատաբար ռիսկային ֆինանսական գործիքներում` օրինակ՝ բաժնետոմսերում).
1.3. BAL՝ հավասարակշռված կենսաթոշակային ֆոնդ (ֆոնդի միջոցները, բացի կայուն եկամուտ ապահովող ֆինանսական գործիքներից, կարող են մինչև 50 տոկոսի չափով ներդրվել համեմատաբար ռիսկային ֆինանսական գործիքներում):
2. Ֆոնդի կառավարիչ՝ Ձեր կամ ծրագրի միջոցով ընտրված կենսաթոշակային ֆոնդի կառավարիչ, որն իրականացնում է կենսաթոշակային ֆոնդի կառավարում: Ներկայումս գործում են երկու կենսաթոշակային ֆոնդի կառավարիչներ՝ «Ամունդի-Ակբա Ասեթ Մենեջմենթ» ՓԲԸ (AM) և « Ցե-Կվադրատ Ամպեգա Ասեթ Մենեջմենթ Արմենիա» ՍՊԸ (CQ):
3. Գործատուի կողմից վճարված տույժ՝ գումար, որն օրենքի համաձայն վճարում է գործատուն Ձեզ համար ժամանակին չմուծված կուտակային հատկացման գումարի 0.075 տոկոսի չափով:
4. Ֆոնդի փայ` կենսաթոշակային ֆոնդին կատարված հատկացումների հաշվին ձեռք բերված փայեր: Օրինակ, եթե հատկացումների մեծությունը 15 000 դրամ է, իսկ մեկ փայի արժեքը 1500 դրամ, ապա Դուք ձեռք կբերեք 10 փայ:
5. Փայի արժեք՝ Ձեզ համար ձեռք բերված կամ մարված մեկ փայի արժեքը՝
Փայի արժեք = | ֆոնդի ակտիվներ-ֆոնդի պարտավորություններ |
ֆոնդի փայերի քանակը |
6. Գործարքի տեսակ` կենսաթոշակային հաշվով կատարված գործարքները լինում են երկու տեսակ՝ փայերի ձեռքբերում և փայերի մարում:
7. Գործարքի հիմք` փայերի ձեռքբերումը կամ մարումը կատարվում է տարբեր հիմքերով: Օրինակ` փայերի ձեռքբերման գործարքի համար հիմք կարող է հանդիսանալ կուտակային հատկացումը: Փայերի մարման հիմք կարող է հանդիսանալ, օրինակ՝ հաշմանդամությունը:
8. Գործարքի միջնորդավճար՝ միջնորդավճար, որը գանձվում է միայն ժառանգության ստացման (ժառանգած գումարի 2 տոկոս) և մասնակցի կողմից տարվա ընթացքում մեկից ավելի անգամ կառավարչի փոփոխություն կատարելու (փոխանցվող գումարի մեկ տոկոսի) դեպքում:
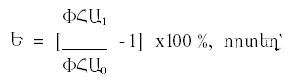
9. Ֆոնդի տարեկան եկամտաբերությունը հաշվարկվում է հետևյալ բանաձևով՝
1) ՓՀԱ0 -ն հաշվարկվող ժամանակահատվածի առաջին օրվան նախորդող առաջին աշխատանքային օրվա համար հաշվարկված փայի արժեքն է.
2) ՓՀԱ1 -ը հաշվարկվող ժամանակահատվածի վերջին օրվա համար հաշվարկված փայի արժեքն է:»:
Հայաստանի Հանրապետության |
Վ. Ստեփանյան |
