ՀԱՅԱՍՏԱՆԻ ՀԱՆՐԱՊԵՏՈՒԹՅԱՆ ԿԱՌԱՎԱՐՈՒԹՅՈՒՆ
Ո Ր Ո Շ ՈՒ Մ
20 հուլիսի 2017 թվականի N 860-Ն
ՀԱՅԱՍՏԱՆԻ ՀԱՆՐԱՊԵՏՈՒԹՅԱՆ ՏԱՐԱԾՔՈՒՄ ՇԱՀԱԳՈՐԾՎՈՂ ԱՎՏՈՏՐԱՆՍՊՈՐՏԱՅԻՆ ՄԻՋՈՑՆԵՐԻ ԱՐՏԱՆԵՏՈՒՄՆԵՐԻ ՍԱՀՄԱՆԱՅԻՆ ԹՈՒՅԼԱՏՐԵԼԻ ՄԱԿԱՐԴԱԿՆԵՐԸ ՍԱՀՄԱՆԵԼՈՒ ԵՎ ՀԱՅԱՍՏԱՆԻ ՀԱՆՐԱՊԵՏՈՒԹՅԱՆ ԿԱՌԱՎԱՐՈՒԹՅԱՆ 2006 ԹՎԱԿԱՆԻ ՀՈՒՆԻՍԻ 22-Ի N 965-Ն ՈՐՈՇՈՒՄՆ ՈՒԺԸ ԿՈՐՑՐԱԾ ՃԱՆԱՉԵԼՈՒ ՄԱՍԻՆ
Համաձայն «Մթնոլորտային օդի պահպանության մասին» Հայաստանի Հանրապետության օրենքի 5-րդ հոդվածի` Հայաստանի Հանրապետության կառավարությունը որոշում է.
1. Սահմանել Հայաստանի Հանրապետության տարածքում շահագործվող ավտոտրանսպորտային միջոցների արտանետումների սահմանային թույլատրելի մակարդակները` համաձայն հավելվածի:
2. Ուժը կորցրած ճանաչել Հայաստանի Հանրապետության կառավարության 2006 թվականի հունիսի 22-ի «Հայաստանի Հանրապետության տարածքում շահագործվող ավտոտրանսպորտային միջոցների էկոլոգիական անվտանգության տեխնիկական կանոնակարգը հաստատելու մասին» N 965-Ն որոշումը:
3. Սույն որոշումն ուժի մեջ է մտնում պաշտոնական հրապարակման օրվան հաջորդող տասներորդ օրը:
Հայաստանի Հանրապետության |
Կ. Կարապետյան |
2017 թ. հուլիսի 24 Երևան |
Հավելված |
ՀԱՅԱՍՏԱՆԻ ՀԱՆՐԱՊԵՏՈՒԹՅԱՆ ՏԱՐԱԾՔՈՒՄ ՇԱՀԱԳՈՐԾՎՈՂ ԱՎՏՈՏՐԱՆՍՊՈՐՏԱՅԻՆ ՄԻՋՈՑՆԵՐԻ ԱՐՏԱՆԵՏՈՒՄՆԵՐԻ ՍԱՀՄԱՆԱՅԻՆ ԹՈՒՅԼԱՏՐԵԼԻ ՄԱԿԱՐԴԱԿՆԵՐԸ
I. Կիրառման ոլորտը
1. Սույն իրավական ակտը սահմանում է Հայաստանի Հանրապետության տարածքում շահագործվող (շրջանառության մեջ դրվող և շահագործման մեջ գտնվող) ավտոտրանսպորտային միջոցների շարժիչներից արտանետվող բանած գազերում պարունակվող աղտոտող նյութերի արտանետումների սահմանային թույլատրելի մակարդակները (նորմերը)՝ ըստ ավտոտրանսպորտային միջոցների խմբերի, ենթախմբերի, էկոլոգիական դասի, օգտագործվող վառելիքի տեսակի, ավտոտրանսպորտային միջոցի թողարկման տարեթվի և բանած գազերի չեզոքացման համակարգի առկայության:
2. Սույն ակտի պահանջները տարածվում են Հայաստանի Հանրապետության տարածքում շրջանառության մեջ դրվող և շահագործման մեջ գտնվող մարդատար` Մ(M), բեռնատար` Ն (N) խմբերի ավտոտրանսպորտային միջոցների և Տ(T) խմբի (դիզելային շարժիչով ինքնագնա գյուղատնտեսական, ճանապարհաշինարարական, արտադրական մեքենաներ), գյուղատնտեսական, արտադրական, անտառարտադրական և անտառտնտեսական դիզելային տրակտորների, սահմանափակ և անսահմանափակ օդափոխությամբ վայրերում շահագործվող այլ անիվավոր կամ թրթուրավոր տրանսպորտային միջոցների վրա:
II. Հասկացություններ
3. Սույն ակտում օգտագործվում են հետևյալ հասկացությունները՝
1) ավտոտրանսպորտային միջոցներ` ավտոմոբիլային ճանապարհներով ուղևորներ և բեռներ փոխադրելու, ինչպես նաև տրանսպորտային աշխատանքներ կատարելու համար սարքավորված անիվավոր տրանսպորտային միջոցներ.
2) ավտոտրանսպորտային միջոցների ենթախմբեր`
ա. Մ1 (M1)` ուղևորների փոխադրման համար նախատեսված թեթև մարդատար ավտոտրանսպորտային միջոցներ, որոնք, բացի վարորդի տեղից, ունեն ութից ոչ ավելի նստատեղ,
բ. Մ2 (M2)` ուղևորների փոխադրման համար նախատեսված ավտոտրանսպորտային միջոցներ (ներքին այրման շարժիչներով ավտոբուսներ), որոնք, բացի վարորդի տեղից, ունեն ութից ավելի նստատեղ, և որոնց առավելագույն զանգվածը չի գերազանցում 5 տ,
գ. Մ3 (M3)` ուղևորների փոխադրման համար նախատեսված ավտոտրանսպորտային միջոցներ (ներքին այրման շարժիչներով ավտոբուսներ), որոնք, բացի վարորդի տեղից, ունեն ութից ավելի նստատեղ, և որոնց առավելագույն զանգվածը գերազանցում է 5 տ,
դ. Ն1 (N1)` բեռների փոխադրման համար նախատեսված ավտոտրանսպորտային միջոցներ, որոնց առավելագույն զանգվածը չի գերազանցում 3,5 տ,
ե. Ն2 (N2)` բեռների փոխադրման համար նախատեսված, 3,5 տ–ից ավելի, բայց ոչ ավելի քան 12 տ առավելագույն զանգված ունեցող ավտոտրանսպորտային միջոցներ,
զ. Ն3 (N3)` բեռների փոխադրման համար նախատեսված, 12 տ–ից ավելի առավելագույն զանգված ունեցող ավտոտրանսպորտային միջոցներ,
է. Տ (T)` նոր թողարկված կամ հիմնովին վերանորոգված տրակտորներ և ինքնագնա գյուղատնտեսական դիզելային մեքենաներ, գյուղատնտեսական, արտադրական, անտառարտադրական և անտառտնտեսական դիզելային տրակտորներ, այդ թվում` որպես հիմք ծառայող ճանապարհաշինարարական մեքենաների և կոմունալ ու անտառտնտեսության մեջ օգտագործվող այլ մեքենաների համար, դիզելային շարժիչով ինքնագնա գյուղատնտեսական մեքենաներ, սահմանափակ և անսահմանափակ օդափոխությամբ վայրերում շահագործվող մեքենաներ և տրակտորներ.
3) շահագործման մեջ գտնվող ավտոտրանսպորտային միջոցներ` սահմանված կարգով հաշվառված ավտոտրանսպորտային միջոցներ.
4) շրջանառության մեջ դրվող ավտոտրանսպորտային միջոցներ` նոր թողարկվող և շրջանառության մեջ դրվող ու Հայաստանի Հանրապետության մաքսային տարածք մուտք գործող ավտոտրանսպորտային միջոցներ.
5) ավտոտրանսպորտային միջոցի առավելագույն զանգված` ավտոտրանսպորտային միջոցներ արտադրող կազմակերպության կողմից սահմանված տրանսպորտային միջոցի առավելագույն զանգվածը.
6) շարժիչային վառելիք` շարժիչի աշխատանքի համար անհրաժեշտ վառելիք, որի տեսակներն են` բենզինը, սեղմված բնական գազը (ՍԲԳ), հեղուկացված նավթային գազը (ՀՆԳ) և դիզելային վառելիքը.
7) շարժիչի ծնկաձև լիսեռի պտտման նոմինալ հաճախություն` շարժիչի պտույտների թիվը լրիվ ծանրաբեռնվածությամբ աշխատելու դեպքում` (պտ/րոպ), որը սահմանված է ավտոտրանսպորտային միջոցներ արտադրող կազմակերպության կողմից.
8) շարժիչի ծնկաձև լիսեռի պտտման առավելագույն հաճախություն (nբարձ)` ծնկաձև լիսեռի պտտման հաճախությունը պարապ ընթացքի ռեժիմում` վառելիքի մատուցման ոտնակի մինչև վերջ սեղմման դեպքում (պտ/րոպ).
9) շարժիչի ծնկաձև լիսեռի պտտման նվազագույն հաճախություն (nնվազ)` ծնկաձև լիսեռի պտտման հաճախությունը պարապ ընթացքի ռեժիմում (վառելիքի մատուցման ոտնակը չսեղմելու դեպքում) (պտ/րոպ).
10) առավելագույն ոլորող մոմենտ` շարժիչի ոլորող մոմենտի առավելագույն արժեքը` սահմանված ավտոտրանսպորտային միջոցներ արտադրող կազմակերպության կողմից (Ն.մ).
11) վնասակար արտանետումներ` շարժիչից արտանետվող բանած գազերում պարունակվող աղտոտող նյութեր, որոնք լինում են`
ա. գազերի ձևով` ածխածնի օքսիդ (CO), ածխաջրածիններ (CmHn), ազոտի օքսիդներ (NOx, արտահայտված երկօքսիդի (ն) հաշվարկով կամ համարժեք): Կախված վառելիքի տեսակից` ածխաջրածինների m և n գործակիցներն ընդունում են`
CH1,85` բենզինի համար (m =1, n =1,85)
CH1,86` դիզելային վառելիքի համար (m =1, n =1,86)
CH2,525` հեղուկացված նավթային գազի համար (m =1, n = 2,525)
CH4` բնական գազի համար (m =1, n = 4),
բ. տեսանելի աղտոտող նյութերի ձևով` դիսպերս մասնիկներ, որոնք արտազատվում են սեղմումից առաջացած ինքնաբռնկումով աշխատող շարժիչների աշխատանքի հետևանքով.
12) շարժիչի աշխատանքային ծավալ` ներքին այրման շարժիչների համար` գլանների գումարային ծավալը.
13) գազային շարժիչ` հիմնական վառելիքի փոխարեն նաև հեղուկացված նավթային, կամ սեղմված բնական գազով աշխատելու համար նախատեսված սարքավորմամբ լրակազմված ներքին այրման շարժիչ.
14) կայծային բռնկումով աշխատող շարժիչ` բենզինով կամ գազով աշխատող հարկադիր բռնկման սկզբունքով աշխատող շարժիչ.
15) դիզելային շարժիչ` ճնշման հետևանքով բռնկման սկզբունքով աշխատող շարժիչ.
16) հաստատված ռեժիմ` դիզելի աշխատանքի ռեժիմ, որի դեպքում շարժիչի ոլորող մոմենտի, հովացնող հեղուկի և յուղի ջերմաստիճանն ու ծնկաձև լիսեռի պտտման հաճախությունը չեն փոփոխվում.
17) ազատ արագացման ռեժիմ` առանց արտաքին բեռնվածության, շարժիչի ծնկաձև լիսեռի պտույտների հաճախության բարձրացումը նվազագույնից մինչև առավելագույնը` վառելիքի մատուցման կառավարման ոտնակի մինչև հենումը տեղափոխման դեպքում.
18) ծխայնություն` բանած գազերի որոշակի երկարություն ունեցող սյան կողմից լուսային հոսքի կլանման աստիճանը բնութագրող ցուցանիշ.
19) ծխաչափ` ավտոտրանսպորտային միջոցների բանած գազերում լույսի կլանման գործակիցը չափելու սարք.
20) լույսի կլանման գործակից (k, մ-1)` ծխաչափով չափված ծխայնության արժեքն ըստ հիմնական սանդղակի` 0-ից մինչև անսահմանություն (∞) տիրույթում.
21) լույսի թուլացման գործակից (N, %)` ծխաչափով չափված ծխայնության արժեքն ըստ օժանդակ գծային սանդղակի` 0-ից մինչև 100% տիրույթում.
22) ծխայնություն` ազատ արագացման ռեժիմում լույսի կլանման գործակցի (մ-1) առավելագույն արժեքը՝ չափված ազատ արագացման ռեժիմում.
23) օդի ավելցուկի λ գործակից` չափողականություն չունեցող մեծություն, որն իրենից ներկայացնում է շարժիչի գլանի մեջ մուտք գործող օդի զանգվածի հարաբերությունը գլան մուտք գործող վառելիքի լրիվ այրման համար տեսականորեն անհրաժեշտ օդի զանգվածին: Հաշվարկվում է բանած գազերի անալիզի արդյունքներով.
24) էկոլոգիական դաս` դասակարգման կոդ, որը բնութագրում է ավտոտրանսպորտային միջոցները՝ կախված աղտոտող նյութերի արտանետումների մակարդակից.
25) ՄԱԿ-ի ԵՏՀ-ի կանոններ` Միացյալ ազգերի կազմակերպության եվրոպական տնտեսական հանձնաժողովի միօրինակ կարգադրագրեր` տրված VIII բաժնում.
III. Ավտոտրանսպորտային միջոցների էկոլոգիական դասակարգումը
4. Շրջանառության մեջ դրվող ավտոտրանսպորտային միջոցները, համաձայն ՄԱԿ-ի ԵՏՀ-ի կանոնների, բաժանված են 1-6 էկոլոգիական դասերի, ինչը համապատասխանում է եվրո-1-ից մինչև եվրո-6 դասերի պահանջներին: Էկոլոգիական յուրաքանչյուր դասը բնութագրվում է ՄԱԿ-ի ԵՏՀ համապատասխան կանոններով սահմանված արտանետումների մակարդակներով կամ արտանետումների տեխնիկական նորմատիվներով` ելնելով ավտոտրանսպորտային միջոցների ենթախմբերից ու շարժիչի տեսակից, որոնք ներկայացված են N 1 աղյուսակում: Վնասակար արտանետումների սահմանային թույլատրելի մակարդակները սույն իրավական ակտով, կամ Միացյալ ազգերի կազմակերպության (այսուհետ` ՄԱԿ) եվրոպական տնտեսական հանձնաժողովի (այսուհետ` ԵՏՀ) կանոններով սահմանված աղտոտող նյութերի արտանետումների թույլատրելի սահմանային քանակական և որակական նորմեր են`
1) սահմանված ՄԱԿ-ի ԵՏՀ N 83 կանոններով (կախված օգտագործվող վառելիքի տեսակից)`
ա. Ա (A) մակարդակ` էթիլացված բենզինով աշխատող ավտոտրանսպորտային միջոցների շարժիչներից արտանետվող աղտոտող նյութերի համար սահմանվող սահմանափակումներ,
բ. Բ (B) մակարդակ՝ ոչ էթիլացված բենզինով, սեղմված բնական, կամ հեղուկացված նավթային գազով աշխատող ավտոտրանսպորտային միջոցների շարժիչներից արտանետվող բանած գազերում աղտոտող նյութերի համար սահմանվող սահմանափակումներ,
գ. Ց (C) մակարդակ` դիզելային վառելիքով աշխատող ավտոտրանսպորտային միջոցների շարժիչներից արտանետվող բանած գազերում աղտոտող նյութերի համար սահմանվող սահմանափակումներ,
դ. Դ(D) մակարդակ` սեղմված բնական կամ հեղուկացված նավթային գազով աշխատող ավտոտրանսպորտային միջոցների շարժիչներից արտանետվող բանած գազերում աղտոտող նյութերի համար սահմանվող սահմանափակումներ.
2) սահմանված ՄԱԿ-ի ԵՏՀ N 49 կանոններով (կախված շարժիչի տեսակից)`
ա. Ա (A) մակարդակ` ճնշման հետևանքով բռնկման սկզբունքով (դիզելային), ինչպես նաև սեղմված բնական կամ հեղուկացված նավթային գազով աշխատող շարժիչներ ունեցող ավտոտրանսպորտային միջոցներին վերաբերող սահմանափակումների 1-ին մակարդակ` ընդունված 1992 թվականի հուլիսի 1-ին,
բ.(B) մակարդակ` ճնշման հետևանքով բռնկման սկզբունքով (դիզելային), ինչպես նաև սեղմված բնական կամ հեղուկացված նավթային գազով աշխատող շարժիչներ ունեցող ավտոտրանսպորտային միջոցներին վերաբերող սահմանափակումների 2-րդ մակարդակ` ընդունված 1995 թվականի հոկտեմբերի 1-ին:
Աղյուսակ N 1 |
Ավտոտրանսպոր-տային միջոցների էկոլոգիական դասը |
Ավտոտրանսպորտային միջոցների ենթախմբերը և շարժիչների տեսակները |
ՄԱԿ-ի ԵՏՀ կանոնները և դրանցով սահմանված արտանետումների մակարդակները, կամ արտանետումների տեխնիկական նորմատիվները, գ/կՎտ.ժ |
1 |
Մ1, Ն1` 3,5 տ-ից ոչ ավելի առավելագույն զանգվածով, բենզինային շարժիչներով |
ՄԱԿ-ի ԵՏՀ N 83-02 կանոններով սահմանված Ա(A) մակարդակ |
Մ1` 3,5 տ-ից ավելի առավելագույն զանգվածով, Մ2, Մ3, Ն1, Ն2, Ն3` դիզելային շարժիչներով |
ՄԱԿ-ի ԵՏՀ N 49-01 կանոններ | |
Մ1` 3,5 տ-ից ավելի առավելագույն զանգվածով, Մ2, Մ3, Ն2, Ն3` բենզինային շարժիչներով |
CO` 85գ/կՎտ.ժ, CmHn` 5 գ/կՎտ.ժ NOx` 17 գ/կՎտ.ժ | |
2 |
Մ1,Ն1` 3,5 տ-ից ոչ ավելի առավելագույն զանգվածով, բենզինային և դիզելային շարժիչներով |
ՄԱԿ-ի ԵՏՀ N 83-02 կանոններով սահմանված Բ(B) և Ց(C) մակարդակներ |
Մ1` 3,5 տ-ից ավելի առավելագույն զանգվածով, Մ2, Մ3, Ն1, Ն2, Ն3` գազային և դիզելային շարժիչներով |
ՄԱԿ-ի ԵՏՀ N 49-02 կանոններով սահմանված Ա(A) մակարդակ (01.07.1992թ.) | |
Մ1` 3,5 տ-ից ավելի առավելագույն զանգվածով, Մ2, Մ3, Ն2, Ն3` բենզինային շարժիչներով |
CO` 72գ/կՎտ.ժ, CmHn` 4 գ/կՎտ.ժ NOx` 14 գ/կՎտ.ժ | |
3 |
Մ1, Ն1` 3,5 տ-ից ոչ ավելի առավելագույն զանգվածով, կայծային բռնկումով շարժիչներով (բենզինային,գազային) և դիզելային շարժիչներով |
ՄԱԿ-ի ԵՏՀ N 83-04 կանոններով սահմանված Բ(B), Ց(C) և Դ(D) մակարդակներ |
Մ1` 3,5 տ-ից ավելի առավելագույն զանգվածով, Մ2, Մ3, Ն1, Ն2, Ն3` գազային և դիզելային շարժիչներով |
ՄԱԿ-ի ԵՏՀ N 49-02 կանոններով սահմանված Բ(B) մակարդակ (01.10.1995թ.) | |
Մ1` 3,5 տ-ից ավելի առավելագույն զանգվածով, Մ2, Մ3, Ն2, Ն3` բենզինային շարժիչներով |
CO` 55 գ/կՎտ.ժ, CmHn` 2,4 գ/կՎտ.ժ NOx` 10,0 գ/կՎտ.ժ | |
4 |
Մ1, Ն1` 3,5 տ-ից ոչ ավելի առավելագույն զանգվածով, կայծային բռնկումով շարժիչներով (բենզինային, գազային) և դիզելային շարժիչներով |
ՄԱԿ-ի ԵՏՀ N 83-05 կանոններով սահմանված Բ(B) մակարդակ |
Մ1` 3,5 տ-ից ավելի առավելագույն զանգվածով, Մ2, Մ3, Ն1, Ն2, Ն3` գազային և դիզելային շարժիչներով |
ՄԱԿ-ի ԵՏՀ N 49-04 կանոններով սահմանված Ա(A) մակարդակ (01.07.1992թ.) | |
Մ1` 3,5 տ-ից ավելի առավելագույն զանգվածով, Մ 2, Մ 3, Ն1, Ն2,Ն3` բարձր անցողականությամբ, դիզելային շարժիչներով |
ՄԱԿ-ի ԵՏՀ N 96-01 կանոններ | |
Մ1` 3,5 տ-ից ավելի առավելագույն զանգվածով, Մ2, Մ3, Ն2, Ն3` բենզինային շարժիչներով |
CO` 20գ/կՎտ.ժ, CmHn` 1,1 գ/կՎտ.ժ NOx` 7 գ/կՎտ.ժ | |
5 |
Մ1,Ն1` 3,5 տ-ից ոչ ավելի առավելագույն զանգվածով, կայծային բռնկումով շարժիչներով (բենզինային, գազային) և դիզելային շարժիներով |
ՄԱԿ-ի ԵՏՀ N 83-05 կանոններով սահմանված Բ(B) և Ց(C) մակարդակներ |
Մ1` 3,5 տ-ից ավելի առավելագույն զանգվածով, Մ2, Մ3, Ն1, Ն2, Ն3` գազային և դիզելային շարժիչներով |
ՄԱԿ-ի ԵՏՀ N 49-04 կանոններով սահմանված Բ(B) մակարդակ (01.10.1995թ.) | |
Մ1` 3,5 տ-ից ավելի առավելագույն զանգվածով, Մ2, Մ3, Ն2, Ն3` բենզինային շարժիչներով |
CO`4 գ/կՎտ.ժ, CmHn` 0,55 գ/կՎտ.ժ NOx` 2 գ/կՎտ.ժ | |
6 |
Մ1` 3,5 տ-ից ավելի առավելագույն զանգվածով, Մ2, Մ3, Ն1, Ն2, Ն3` գազային և դիզելային շարժիչներով |
ՄԱԿ-ի ԵՏՀ N 49-04 կանոններով սահմանված Բ(B) մակարդակ (01.10.1995թ.) |
Արտանետումների մակարդակներն արտացոլում են արտանետումների առավելագույն թույլատրելի զանգվածը` ավտոտրանսպորտային միջոցների կողմից կատարված միավոր աշխատանքի հաշվարկով (գ/կՎտ.ժ):
IV. Տեխնիկական պահանջները
5. Շրջանառության մեջ դրվող ավտոտրանսպորտային միջոցների և դրանց վրա տեղադրված ներքին այրման շարժիչների համար սահմանված են տեխնիկական պահանջներ` ըստ ավտոտրանսպորտային միջոցների ենթախմբերի և շարժիչի տեսակների, որոնք նշված են N 2 աղյուսակում:
Աղյուսակ N 2 |
Ավտոտրանս-պորտային միջոցների էկոլոգիական դասը |
Ավտոտրանսպորտային միջոցների ենթախմբերը և շարժիչի տեսակները |
ՄԱԿ-ի ԵՏՀ կանոններով նախատեսված արտանետումների տեխնիկական բնութագրերը |
3 |
Մ1,Ն1` 3,5 տ-ից ոչ ավելի առավելագույն զանգվածով, կայծային բռնկումով շարժիչներով (բենզինային, գազային) և դիզելային շարժիչներով |
ՄԱԿ-ի ԵՏՀ N 83-04 կանոններով սահմանված Բ(B), Ց(C) և Դ(D) մակարդակներ |
Մ1`3,5 տ-ից ավելի առավելագույն զանգվածով, Մ2, Մ3, Ն1, Ն2, Ն3` գազային և դիզելային շարժիչներով |
ՄԱԿ-ի ԵՏՀ N 49-02 կանոններով սահմանված Բ(B) մակարդակ | |
Մ1` 3,5 տ-ից ավելի առավելագույն զանգվածով, Մ2, Մ3, Ն2, Ն3` բենզինային շարժիչներով |
ՄԱԿ-ի ԵՏՀ N 49-03 կանոններով սահմանված CO`55գ/կՎտ.ժ, | |
4 |
Մ1, Ն1` 3,5 տ-ից ոչ ավելի առավելագույն զանգվածով, կայծային բռնկումով շարժիչներով (բենզինային, գազային) և դիզելային շարժիչներով |
ՄԱԿ-ի ԵՏՀ N 83-05 կանոններով սահմանված Բ(B) մակարդակ |
Մ1`3,5 տ-ից ավելի առավելագույն զանգվածով, Մ2, Մ3, Ն1, Ն2, Ն3` գազային և դիզելային շարժիչներով |
ՄԱԿ-ի ԵՏՀ N 49-04 կանոններով սահմանված Ա(A) մակարդակ | |
Մ1` 3,5 տ-ից ավելի առավելագույն զանգվածով, Մ2, Մ3, Ն2, Ն3` բենզինային շարժիչներով |
CO` 20գ/կՎտ.ժ, CmHn` 1,1 գ/կՎտ.ժ, NOx` 7 գ/կՎտ.ժ | |
Մ1` 3,5 տ-ից ավելի առավելագույն զանգվածով, Մ2, Մ3, Ն1, Ն2, Ն3` բարձր անցողականությամբ, դիզելային շարժիչներով |
ՄԱԿ-ի ԵՏՀ N 96-01 կանոնների 1-ին և 2-րդ լրացումներ | |
5 |
Մ1, Ն1` 3,5 տ-ից ոչ ավելի առավելագույն զանգվածով, կայծային բռնկումով շարժիչներով (բենզինային,գազային) և դիզելային շարժիչներով |
ՄԱԿ-ի ԵՏՀ N 83-05 (1-3 ուղղումներով և 1-5 լրացումներով) կանոններով սահմանված Բ(B) մակարդակ ՄԱԿ-ի ԵՏՀ N 24-03 կանոնների 1-ին լրացում (միայն դիզելային շարժիչների համար) |
Մ1` 3,5 տ-ից ավելի առավելագույն զանգվածով, Մ2, Մ3, Ն1, Ն2, Ն3` գազային և դիզելային շարժիչներով |
ՄԱԿ-ի ԵՏՀ N 49-04 կանոններով սահմանված Բ(B) մակարդակ | |
Մ1` 3,5 տ-ից ավելի առավելագույն զանգվածով, Մ2, Մ3, Ն1, Ն2, Ն 3` |
CO` 4 գ/կՎտ.ժ, CmHn` 0,55 գ/կՎտ.ժ , NOx` 2 գ/կՎտ.ժ | |
6 |
Մ1` 3,5 տ-ից ավելի առավելագույն զանգվածով, Մ2, Մ3, Ն1, Ն2, Ն3` գազային և դիզելային շարժիչներով |
ՄԱԿ-ի ԵՏՀ N 49-04 կանոններով սահմանված Բ(B) մակարդակ |
V. Շահագործման մեջ գտնվող ավտոտրանսպորտային միջոցների բանած գազերում պարունակվող վնասակար նյութերի արտանետումների նորմերը
6. Բենզինային շարժիչներով Մ և Ն խմբերի բոլոր ենթախմբերի ավտոտրանսպորտային միջոցների բանած գազերում (ավտոտրանսպորտային միջոցների շարժիչների համակարգից արտանետվող, դեպի մթնոլորտ արտազատվող գազեր) պարունակվող ածխածնի օքսիդի և ածխաջրածինների նորմերը սահմանվում են ավտոտրանսպորտային միջոցների շարժիչների պարապ ընթացքի 2 ռեժիմների` ծնկաձև լիսեռի պտտման նվազագույն հաճախության (nնվազ ) և առավելագույն հաճախության (nբարձ.=0,8n նոմ) համար: Ծնկաձև լիսեռի պտտման հաճախությունը պարապ ընթացքի դեպքում` nնվազ և nբարձ սահմանվում են ավտոտրանսպորտային միջոցն արտադրող կազմակերպության կողմից: Եթե ավտոտրանսպորտային միջոցն արտադրող կազմակերպության կողմից սահմանված տվյալները բացակայում են, ապա`
1) nնվազ. -ի արժեքը չպետք է գերազանցի 1100 պտ/րոպ` Մ1, Ն1 ենթախմբերի համար, 900 պտ/րոպ` մյուս բոլոր ենթախմբերի համար.
2) nբարձ.–ի արժեքը պետք է լինի` 2500–3500պտ/րոպ` չեզոքացուցման համակարգ չունեցող Մ1, Ն1 ենթախմբերի համար, 2000–3500 պտ/րոպ` չեզոքացման համակարգ ունեցող Մ1, Ն1 ենթախմբերի համար, 2000–2800 պտ/րոպ`մյուս բոլոր ենթախմբերի համար:
7. Տվյալ ավտոտրանսպորտային միջոցն արտադրող կազմակերպության կողմից ավտոտրանսպորտային միջոցի շահագործման փաստաթղթերում սահմանվում են նաև ածխածնի օքսիդի, ածխաջրածինների սահմանային թույլատրելի նորմերը բանած գազերում և եռաբաղադրիչ չեզոքացման համակարգ ունեցող միջոցների համար` օդի ավելցուկի λ գործակցի արժեքների թույլատրելի տիրույթը: Եթե շահագործման փաստաթղթերում օդի ավելցուկի λ գործակցի վերաբերյալ տվյալները բացակայում են, ապա λ գործակիցը պետք է լինի` 0,97-ից մինչև 1,03:
8. Բենզինային շարժիչներով ավտոտրանսպորտային միջոցների բանած գազերում ածխածնի օքսիդի և ածխաջրածինների պարունակությունները, ըստ շարժիչի ծնկաձև լիսեռի պտտման հաճախության, պետք է լինեն արտադրող կազմակերպության կողմից սահմանված նորմերի սահմաններում, բայց ոչ ավելի, քան N 3 աղյուսակում ներկայացված նորմերը:
Աղյուսակ N 3 |
Ավտոտրանսպորտային միջոցների ենթախմբերը |
Շարժիչի ծնկաձև լիսեռի պտտման հաճախությունը |
Ածխածնի օքսիդի ծավալային բաժինը |
Ածխաջրածինների |
Մ1, Մ2, Մ3, Ն1, Ն 2, Ն3` արտադրված մինչև 1986 թ. հոկտեմբերի 10-ը |
n նվազ |
4,5 |
- |
Մ1 և Ն1` չեզոքացման համակարգ չունեցող |
n նվազ |
3,5 |
1200 |
n բարձ |
2,0 |
600 | |
Մ2, Մ3, Ն2, Ն3` չեզոքացման համակարգ չունեցող |
n նվազ |
3,5 |
2500 |
n բարձ |
2,0 |
100 | |
Մ1 և Ն1` երկբաղադրիչ չեզոքացման համակարգ ունեցող |
n նվազ |
1,0 |
400 |
n բարձ |
0,6 |
200 | |
Մ2, Մ3, Ն 2, Ն3 երկբաղադրիչ չեզոքացման համակարգ ունեցող |
n նվազ |
1,0 |
600 |
n բարձ |
0,6 |
300 | |
Մ1 և Ն1` եռաբաղադրիչ չեզոքացման համակարգ ունեցող |
n նվազ |
0,5 |
100 |
n բարձ |
0,3 |
100 | |
Մ2, Մ3, Ն2, Ն3` եռաբաղադրիչ չեզոքացման համակարգ ունեցող |
n նվազ |
0,5 |
200 |
n բարձ |
0,3 |
200 |
9. Բանած գազերի չեզոքացման համակարգը շարժիչի տարբեր ռեժիմներում աշխատելու ընթացքում առաջացած բանած գազերում պարունակվող աղտոտող նյութերի արտանետումների նվազեցումն ապահովող սարքավորումների ամբողջություն է, որը ներառում է կատալիտիկ չեզոքացուցիչ և դրա հետ գործնականորեն կապված տվիչներ ու կառավարման համակարգեր: Չեզոքացման համակարգերը լինում են`
1) երկբաղադրիչ` հիմնականում ածխածնի օքսիդի և ածխաջրածինների արտանետումների նվազեցումն ապահովող չեզոքացման համակարգ.
2) եռաբաղադրիչ` ածխածնի օքսիդի, ածխաջրածինների և ազոտի օքսիդների արտանետումների նվազեցումն ապահովող հետադարձ կապով (ըստ օդի ավելցուկի l գործակցի) չեզոքացման համակարգ:
10. Մինչև 3000 կմ վազք ունեցող ավտոտրանսպորտային միջոցների բանած գազերում պարունակվող ածխածնի օքսիդի և ածխաջրածինների նորմատիվները սահմանվում են արտադրող կազմակերպության տեխնոլոգիական նորմերում:
11. Գազային շարժիչներով աշխատող Մ և Ն խմբերի բոլոր ենթախմբերի ավտոտրանսպորտային միջոցների բանած գազերում ածխածնի օքսիդի և ածխաջրածինների պարունակությունները` ըստ վառելիքի տեսակի և շարժիչի աշխատանքային ծավալի, չպետք է գերազանցեն N 4 աղյուսակում սահմանված նորմերը:
Աղյուսակ N 4 |
Շարժիչի ծնկաձև լիսեռի պտտման հաճախությունը |
Ածխածնի օքսիդի |
Ածխաջրածինների |
Ածխածնի օքսիդի |
Ածխաջրածինների | ||||||||
ՀՆԳ |
ՍԲԳ |
շարժիչի աշխատանքային ծավալը, դմ3 |
ՀՆԳ |
ՍԲԳ |
շարժիչի աշխատանքային ծավալը, դմ3 | |||||||
մինչև 3 |
3-ից բարձր |
մինչև 3 |
3-ից բարձր | |||||||||
ՀՆԳ |
ՍԲԳ |
ՀՆԳ |
ՍԲԳ |
ՀՆԳ |
ՍԲԳ |
ՀՆԳ |
ՍԲԳ | |||||
մինչև 2000 թ. հուլիսի 1-ը թողարկված |
2000 թ. հուլիսի 1-ից հետո թողարկված | |||||||||||
n նվազ |
3,0 |
3,0 |
1000 |
800 |
2200 |
2000 |
3,0 |
2,0 |
1000 |
700 |
2200 |
1800 |
n բարձ |
2,0 |
2,0 |
600 |
500 |
900 |
850 |
2,0 |
1,5 |
600 |
400 |
900 |
750 |
12. Ծնկաձև լիսեռի պտտման հաճախությունը պարապ ընթացքի դեպքում` nնվազ և nբարձ սահմանված են լինում ավտոտրանսպորտային միջոցի շահագործման հրահանգում: Եթե դրանք սահմանված չեն, ապա ստուգումների ժամանակ ընդունում են`
nնվազ = (800 ± 50) պտ/րոպ, nբարձ = (3000± 10) պտ/րոպ
13. NN 3 և 4 աղյուսակներով սահմանված ծավալային տոկոսներով արտահայտված նորմերը կշռային միավորով արտահայտելու համար և հակառակը, վերահաշվարկը կատարվում է 1-4-րդ բանաձևերով.
1 մլն-1 = 0,0001 ծավալային բաժին (%) |
(1) |
1 ծավալային բաժին(%) = 10000 մլն-1 |
(2) |
MP |
(3) |
1 ծավալային բաժին(%) = _________ ,մգ/մ3 |
|
0,006236T |
|
MP |
|
1մլն-1 = ________ , մգ/մ3 |
(4) |
62,36T |
|
որտեղ` |
M` տվյալ նյութի մոլեկուլային կշիռն է |
P` մթնոլորտային ճնշումն է (մմ սնդիկի սյուն) |
T` բացարձակ ջերմաստիճանն է 0 Կ: |
14. Դիզելային շարժիչներով Մ և Ն խմբերի ավտոտրանսպորտային միջոցների բանած գազերում ազոտի օքսիդների, ածխածնի օքսիդի և աշխաջրածինների պարունակությունները չպետք է գերազանցեն N 5 աղյուսակում նշված նորմերը:
Աղյուսակ N 5 |
Ազոտի օքսիդներ |
Ածխածնի օքսիդ |
Ածխաջրածիններ |
9,0 |
4,9 |
1,23 |
15. Ածխածնի օքսիդի, ածխաջրածինների և ազոտի օքսիդների արտանետումները` արտահայտված զանգվածով (գ/ժ), հաշվարկվում են 5-7 –րդ բանաձևերով`
GCO = 0,000966WCO FCO (GT + GB ) (5)
GCH = 0,000478WCH (GT + GB ) (6)
GN0x= 0,001587 WN0x FN0x (GT + GB ) (7)
որտեղ`
GCO, GCH, GN0x` համապատասխանաբար ածխածնի օքսիդի, ածխաջրածինների և ազոտի օքսիդների արտանետումներն են` արտահայտված զանգվածով (գ/ ժ)
WCO,WCH,WN0x` համապատասխանաբար ածխածնի օքսիդի, ածխաջրածինների, ազոտի օքսիդների կոնցենտրացիաներն են (մլն-1)
GT` դիզելային վառելիքի ծախսն է` կգ/ժ
GB` դիզելի գլանների մեջ մտնող օդի ծախսն է` կգ/ժ
FCO, FN0x` խոնավության ուղղման գործակիցներն են` համապատասխանաբար ածխածնի օքսիդի և ազոտի օքսիդների համար, հաշվարկված 8 և 9-րդ բանաձևերով.
(9)
որտեղ`
d` ջրային գոլորշինների պարունակությունն է օդի ծավալը չափող սարքավորման մուտքում, գ/կգ, հաշվարկված 10-րդ բանաձևով
Tշրջ` շրջակա օդի ջերմաստիճանն է, 0 Կ
որտեղ`
φ
շրջ` շրջակա օդի հարաբերական խոնավությունն է, %PS` ջրային հագեցած գոլորշու մասնակի ճնշումն է օդի տվյալ ջերմաստիճանում, կՊա
Bշրջ` մթնոլորտային ճնշումն է, կՊա:
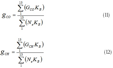
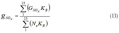
16. Ածխածնի օքսիդի, ածխաջրածինների և ազոտի օքսիդների տեսակարար արտանետումները համապատասխանաբար` gCO, gCH, gN0x (գ/կՎտ.ժ) հաշվարկվում են NN 11-13 բանաձևերով.
որտեղ`
KB` դիզելային շարժիչի ռեժիմների կշռային գործակիցն է
Ne` արտանետումների որոշման համար դիզելային շարժիչի հզորությունն է` N 6 աղյուսակով սահմանված ռեժիմներին համապատասխան (կՎտ.ժ):
17. Արտանետումները որոշվում են N 6 աղյուսակում ներկայացված 13 ռեժիմների դեպքում:
Աղյուսակ N 6 |
Ռեժիմի |
Դիզելային շարժիչի ծնկաձև լիսեռի պտտման հաճախությունը |
Արագության տվյալ ռեժիմում վառելիքի լրիվ մատակարարման դեպքում ոլորման մոմենտը |
Ռեժիմի կշռային գործակիցը |
1. |
Նվազագույն հաստատուն |
0 |
0,0833 |
2. |
Ոլորման առավելագույն մոմենտին համապատասխանող |
10 |
0,0800 |
3. |
Ոլորման առավելագույն մոմենտին համապատասխանող |
25 |
0,0800 |
4. |
Ոլորման առավելագույն մոմենտին համապատասխանող |
50 |
0,0800 |
5. |
Ոլորման առավելագույն մոմենտին համապատասխանող |
75 |
0,0800 |
6. |
Ոլորման առավելագույն մոմենտին համապատասխանող |
100 |
0,2501 |
7. |
Նվազագույն հաստատուն |
0 |
0,0833 |
8. |
Նոմինալ |
100 |
0,1000 |
9. |
Նոմինալ |
75 |
0,0200 |
10. |
Նոմինալ |
50 |
0,0200 |
11. |
Նոմինալ |
25 |
0,0200 |
12. |
Նոմինալ |
10 |
0,0200 |
13. |
Նվազագույն հաստատուն |
0 |
0,0833 |
18. Դիզելային շարժիչներով ավտոտրանսպորտային միջոցների բանած գազերի ծխայնության նորմերը սահմանվում են բոլոր ենթախմբերի համար, ազատ արագացման ռեժիմում` կախված բանած գազերի պայմանական ծախսից: Բանած գազերի պայմանական ծախսը` Gբ.գ., հաշվարկվում է 14-15-րդ բանաձևերով՝
Vh . n | |||
Gբ.գ. |
= | ______ | , երկտակտանի դիզելների համար (14) |
60
|
Vh . n | |||
Gբ.գ. |
= | ______ | , չորստակտանի դիզելների համար (15) |
120 |
Vh` դիզելային շարժիչի գլանների աշխատանքային ծավալն է (դմ3)
n` ծնկաձև լիսեռի պտտման հաճախությունն է ( պտ/րոպ):
19. Դիզելային շարժիչներով ավտոտրանսպորտային միջոցների ծխայնության նորմերը չպետք է գերազանցեն N 7 աղյուսակում սահմանված նորմերը՝
Աղյուսակ N 7 |
Բանած գազերի պայմանական ծախսը |
Ծխայնության սահմանային թույլատրելի նորմը (լույսի կլանման գործակիցը), |
Բանած գազերի պայմանական ծախսը |
Ծխայնության սահմանային թույլատրելի նորմը (լույսի կլանման գործակիցը), |
42 և դրանից պակաս |
2,260 |
125 |
1,345 |
45 |
2,190 |
130 |
1,320 |
50 |
2,080 |
135 |
1,300 |
55 |
1,985 |
140 |
1,270 |
60 |
1,900 |
145 |
1,250 |
65 |
1,840 |
150 |
1,225 |
70 |
1,775 |
155 |
1,205 |
75 |
1,720 |
160 |
1,190 |
80 |
1,665 |
165 |
1,170 |
85 |
1,620 |
170 |
1,155 |
90 |
1,575 |
175 |
1,140 |
95 |
1,535 |
180 |
1,125 |
100 |
1,495 |
185 |
1,110 |
105 |
1,465 |
190 |
1,095 |
110 |
1,425 |
195 |
1,080 |
115 |
1,395 |
200 և ավելի |
1,065 |
120 |
1,370 |
20. Սույն կետի N 7 աղյուսակով սահմանված ծխայնության միջանկյալ նորմերը որոշվում են գծային միջարկման (ինտերպոլյացիայի) սկզբունքով: Օրինակ` եթե բանած գազերի պայմանական
ծախսը կազմում է 52,5դմ3/վ` |
50+55 |
, ապա ծխայնության սահմանային թույլատրելի նորմը, | |||
2 |
հաշվարկած միջարկման սկզբունքով, կլինի` |
2,08+1.985 |
=2.0325մ-1: |
2 |
22. Փորձավարում չանցած ավտոտրանսպորտային միջոցների ծխայնությունը չպետք է գերազանցի լույսի կլանման գործակցի սահմանված արժեքն ավելի, քան 0,5մ-1–ով:
23. Եթե շահագործման հրահանգում ծխայնության նորմը նշված չէ, ապա ազատ արագացման ռեժիմում այն չպետք է գերազանցի` 2,5 մ-1 -ը` առանց ներմղման աշխատող շարժիչներով ավտոտրանսպորտային միջոցների համար, 3,0 մ-1-ը` ներմղումով աշխատող շարժիչներով ավտոտրանսպորտային միջոցների համար:
24. Ավտոտրանսպորտային միջոցների շարժիչների սնուցման համար օգտագործվող վառելիքի տեսակներին ներկայացվող պահանջները սահմանված են Հայաստանի Հանրապետության կառավարության 2004 թվականի նոյեմբերի 11-ի N 1592 -Ն որոշմամբ:
25. Լույսի կլանման գործակցի (k) և լույսի թուլացման գործակցի (N) փոխհարաբերությունը բնութագրվում է հետևյալ բանաձևով՝
որտեղ`
N` լույսի թուլացման գործակիցն է, %
k` լույսի կլանման գործակիցն է, մ-1
Լ` ծխաչափի արդյունարար բազան է, մ
«Ծխաչափի արդյունարար բազան» ծխաչափի աշխատանքային խողովակի մեջ լցված բանած գազերի միջով անցնող լույսի ճառագայթների հետագծի երկարությունն է, որը նշված է լինում ծխաչափի վրա:
26. Լույսի կլանման գործակցի (k, մ-1) վերահաշվարկը լույսի թուլացման գործակցի (N,%) (0.43մ արդյունարար բազա ունեցող ծխաչափի համար) ներկայացված է N 8 աղյուսակում`
Աղյուսակ N 8 |
k ,մ-1 |
0,0 |
0,1 |
0,2 |
0,3 |
0.4 |
0,5 |
0,55 |
0,6 |
0,65 |
k ,մ-1 |
0,7 |
0,75 |
0,8 |
0,85 |
0,9 |
0,95 |
1,0 |
1,05 |
1,1 |
k ,մ-1 |
1,15 |
1,2 |
1,25 |
1,3 |
1,35 |
1,4 |
1,45 |
1,5 |
1,55 |
k ,մ-1 |
1,6 |
1,65 |
1,7 |
1,75 |
1,8 |
1,85 |
1,9 |
1,95 |
2,0 |
k ,մ-1 |
2,05 |
2,1 |
2,15 |
2,2 |
2,25 |
2,3 |
2,35 |
2,4 |
2,45 |
k ,մ-1 |
2,5 |
2,55 |
2,6 |
2,65 |
2,7 |
2,75 |
2,8 |
2,85 |
2,9 |
k ,մ-1 |
3,0 |
3,05 |
3,1 |
3,15 |
3,2 |
3,25 |
3,3 |
3,35 |
3,4 |
k ,մ-1 |
3,45 |
3,5 |
3,55 |
3,6 |
3,65 |
3,7 |
3,75 |
3,8 |
3,85 |
k ,մ-1 |
3,9 |
3,95 |
4,0 |
4,05 |
4,1 |
4,15 |
4,2 |
4,25 |
∞ |
27. Տ խմբի տրանսպորտային միջոցների բանած գազերում ազոտի օքսիդների, ածխածնի օքսիդի և աշխաջրածինների պարունակությունները չպետք է գերազանցեն NN 9 և 10 աղյուսակներով ներկայացված նորմերը:
1) ածխածնի օքսիդի, ածխաջրածինների և ազոտի օքսիդների սահմանային թույլատրելի նորմերը նոր թողարկված և վերանորոգված դիզելային շարժիչներով միջոցների բանած գազերում անսահմանափակ օդափոխությամբ վայրեր` դաշտեր, մարգագետիններ, այգիներ, բնակավայրերի տարածքներ և այլն, սահմանափակ օդափոխությամբ վայրեր` փակ կամ կիսափակ վայրեր:
Աղյուսակ N 9 |
Աղտոտող նյութի |
Տեսակարար արտանետումներն ըստ օդափոխության վայրերի | |
անսահմանափակ |
սահմանափակ | |
Ածխածնի օքսիդ |
10,0 |
4,0 |
Ածխաջրածիններ |
3,0 |
1,5 |
Ազոտի օքսիդներ |
18,0 |
9,0 |
2) ածխածնի օքսիդի, ածխաջրածինների և ազոտի օքսիդների սահմանային թույլատրելի նորմերը շահագործման մեջ գտնվող դիզելային շարժիչներով միջոցների բանած գազերում
Աղյուսակ N 10 |
Աղտոտող նյութի անվանումը |
Տեսակարար արտանետումներն ըստ օդափոխության վայրերի | |
անսահմանափակ |
սահմանափակ | |
Ածխածնի օքսիդ |
14,0 |
5,6 |
Ածխաջրածիններ |
4,5 |
2,2 |
Ազոտի օքսիդներ |
18,0 |
9,0 |
28. Տ խմբի տրանսպորտային միջոցների բանած գազերի ծխայնության նորմերը սահմանվում են` կախված օդի պայմանական ծախսից` Q, հաշվարկված 17-18-րդ բանաձևերով և օդափոխության տեսակից.
Vh . n | |||
Q |
= | ______ | , չորստակտանի դիզելների համար, (17) |
120
|
Vh . n | |||
Q |
= | ______ | , երկտակտանի դիզելների համար, (18) |
60 |
որտեղ`
Vh` դիզելային շարժիչի գլանների աշխատանքային ծավալն է, դմ3
n` ծնկաձև լիսեռի պտտման հաճախությունն է, պտ/ րոպ:
29. Տ խմբի տրանսպորտային միջոցների բանած գազերի ծխայնության նորմերը, կախված օդի պայմանական ծախսից և օդափոխության տեսակից, չպետք է գերազանցեն N 11 աղյուսակում սահմանված նորմերը:
Աղյուսակ N 11 |
Օդի պայմանա- |
Ծխայնության սահմանային թույլատրելի նորմը (լույսի կլանման գործակիցը` k), ոչ ավելի , մ -1 |
Օդի |
Ծխայնության սահմանային թույլատրելի նորմը (լույսի կլանման գործակիցը` k), ոչ ավելի , մ -1 (N, %) | ||
անսահմանափակ |
սահմանափակ |
անսահմանափակ |
սահմանափակ | ||
42 և դրանից պակաս |
2,260(62,2) |
1,760 (53,1) |
125 |
1,345 (43,9) |
0,845 (30,5) |
45 |
2,190 (61,0) |
1,690 (51,6) |
130 |
1,320 (43,3) |
0,820 (29,7) |
50 |
2,080 (59,1) |
1,580 (49,3) |
135 |
1,300 (42,8) |
0,800 (29,1) |
55 |
1,985 (57,4) |
1,485 (47,2) |
140 |
1,270 (42,1) |
0,770 (28,2) |
60 |
1,900 (55,8) |
1,400 (45,2) |
145 |
1,250 (41,6) |
0,750 (27,6﴿ |
65 |
1,840 (54,7) |
1,340 (43,8) |
150 |
1,225 (40,9) |
0,725 (26,8) |
70 |
1,775 (53,4) |
1,275 (42,2) |
155 |
1,205 (40,4) |
0,705 (26,2) |
75 |
1,720 (52,3) |
1,220 (40,8) |
160 |
1,190 (40,1) |
0,690 (25,7) |
80 |
1,665 (51,1) |
1,165 (39,4) |
165 |
1,170 (39,5) |
0,670 (25,0) |
85 |
1,620 (50,2) |
1,120 (38,2) |
170 |
1,155 (39,1) |
0,655 (24,5) |
90 |
1,575 (49,2) |
1,075 (37,0) |
175 |
1,140 (38,7) |
0,640 (24,1﴿ |
95 |
1,535 (48,3) |
1,035 (35,9) |
180 |
1,125 (38,4) |
0,625 (23,6) |
100 |
1,495 (47,4) |
0,995 (34,8) |
185 |
1,110 (38,0) |
0,610 (23,1) |
105 |
1,465 (46,7) |
0,965 (33,8) |
190 |
1,095 (37,6) |
0,595 (22,6) |
110 |
1,425 (45,8) |
0,925 (32,8) |
195 |
1,080 (37,1) |
0,580 (22,1) |
115 |
1,395 (45,1) |
0,895 (31,9) |
200 և ավելի |
1,065 (36,7) |
0,565 (21,6) |
120 |
1,370 (44,5) |
0,870 (31,2) |
30. Սույն կետի N 11 աղյուսակով սահմանված ծխայնության սահմանային թույլատրելի միջանկյալ նորմերը որոշվում են գծային միջարկման սկզբունքով:
VI. Չափումների միասնականության ապահովումը
31. Ավտոտրանսպորտային միջոցների բանած գազերում պարունակվող աղտոտող նյութերի չափումների միասնականության ապահովումը պետք է իրականացվի Հայաստանի Հանրապետության օրենքով սահմանված կարգով:
VII. Պետական վերահսկողությունը
32. Ավտոտրանսպորտային միջոցների բանած գազերում պարունակվող վնասակար նյութերի սահմանային թույլատրելի նորմերի պահպանման նկատմամբ պետական վերահսկողությունն իրականացվում է Հայաստանի Հանրապետության օրենքով սահմանված կարգով:
VIII. ՄԱԿ-ի ԵՏՀ-Ի Կանոնների անվանումները
33. ՄԱԿ-ի ԵՏՀ-ի կանոններ N 24 (24-03` 1-ին լրացում միայն դիզելների համար).
Միօրինակ կարգադրագրեր, որոնք վերաբերում են՝
1) սեղմումային բոցավառումով շարժիչների պաշտոնապես հայտարարագրմանը՝ արտանետվող աղտոտող նյութերի արտանետումների մասով.
2) ավտոտրանսպոտային միջոցների պաշտոնապես հայտարարագրմանը` սեղմումային բոցավառումով շարժիչների տեղադրման մասով.
3) սեղմումային բոցավառումով շարժիչներով ավտոտրանսպորտային միջոցների պաշտոնապես հայտարարագրմանը` տեսանելի աղտոտող նյութերի արտանետումների մասով.
4) սեղմումային բոցավառումով շարժիչների հզորության չափմանը:
34. ՄԱԿ-ի ԵՏՀ-ի կանոններ N 49 (49-01,49-02, 49-03, 49-04).
Միօրինակ կարգադրագրեր` որոնք վերաբերում են պաշտոնապես հայտարարագրված սեղմումային բոցավառումով շարժիչներին, բնական գազով աշխատող շարժիչներին, հեղուկացված նավթային գազով (ՀՆԳ) աշխատող շարժիչներին, հարկադրական վառումով շարժիչներին, ինչպես նաև սեղմումային բոցավառումով (դիզելային), բնական գազով և հարկադրական վառումով հեղուկացված նավթային գազով աշխատող շարժիչներ ունեցող միջոցներին, դրանցից արտազատված աղտոտող նյութերի մասով:
35. ՄԱԿ-ի ԵՏՀ-ի կանոններ N 83 (83-02, 83-03, 83-04, 83-05 (1-3-րդ ուղղումներ և 1-5-րդ լրացումներ).
Միօրինակ կարգադրագրեր, որոնք վերաբերում են պաշտոնապես հայտարարագրված տրանսպորտային միջոցների շարժիչներին` աղտոտող նյութերի արտանետումների մասով, կախված դրանց համար անհրաժեշտ վառելիքի տեսակից:
36. ՄԱԿ-ի ԵՏՀ-ի կանոններ N 96 (96-01` 1-2-րդ լրացումներ).
Միօրինակ կարգադրագրեր, որոնք վերաբերում են պաշտոնապես հայտարարագրված գյուղատնտեսական տեխնիկայի և ամենագնաց տեխնիկայի վրա տեղադրված սեղմումային բոցավառումով շարժիչներին` դրանցից արտանետվող աղտոտող նյութերի մասով:
Հայաստանի Հանրապետության |
Վ. Ստեփանյան |
