«ԳՐԱՆՑՎԱԾ Է»
ՀՀ ԱՐԴԱՐԱԴԱՏՈՒԹՅԱՆ
ՆԱԽԱՐԱՐՈՒԹՅԱՆ ԿՈՂՄԻՑ
9 սեպտեմբերի 2004 Թ.
ՊԵՏԱԿԱՆ ԳՐԱՆՑՄԱՆ ԹԻՎ 05004225
ՀԱՅԱՍՏԱՆԻ ՀԱՆՐԱՊԵՏՈՒԹՅԱՆ
ԿԵՆՏՐՈՆԱԿԱՆ ԲԱՆԿԻ ԽՈՐՀՈՒՐԴ
30 մարտի 2004 թ. |
N 75-Ն |
Ո Ր Ո Շ ՈՒ Մ
«ՀԱՅԱՍՏԱՆԻ ՀԱՆՐԱՊԵՏՈՒԹՅԱՆ ՊԵՏԱԿԱՆ ՊԱՐՏԱՏՈՄՍԵՐԻ ԱՌԱՋՆԱՅԻՆ ՏԵՂԱԲԱՇԽՄԱՆ, ԹԵՐՏԵՂԱԲԱՇԽՎԱԾ ՊԱՐՏԱՏՈՄՍԵՐԻ ՏԵՂԱԲԱՇԽՄԱՆ, ՀԵՏԳՆՄԱՆ ԿԱԶՄԱԿԵՐՊՄԱՆ ԵՎ ՄԱՐՄԱՆ ՍՊԱՍԱՐԿՄԱՆ», «ՀԱՅԱՍՏԱՆԻ ՀԱՆՐԱՊԵՏՈՒԹՅԱՆ ՊԵՏԱԿԱՆ ՊԱՐՏԱՏՈՄՍԵՐԻ ՊԱՀԱՌՈՒԹՅԱՆ ԳՈՐԾՈՒՆԵՈՒԹՅԱՆ ՄԱՍԻՆ», «ՀԱՅԱՍՏԱՆԻ ՀԱՆՐԱՊԵՏՈՒԹՅԱՆ ՊԵՏԱԿԱՆ ՊԱՐՏԱՏՈՄՍԵՐԻ ԳՐԱՎԻ ՀԵՏ ԿԱՊՎԱԾ ԳՈՐԾԱՌՆՈՒԹՅՈՒՆՆԵՐԻ ԻՐԱԿԱՆԱՑՄԱՆ ՄԱՍԻՆ», «ՊԵՏԱԿԱՆ ԱՐԺԵԹՂԹԵՐԻ ՀԱՇՎԱՌՄԱՆ ԵՎ ՀԱՇՎԱՐԿՆԵՐԻ ՀԱՄԱԿԱՐԳՈՒՄ ԿԻՐԱՌՎՈՂ ՀԱՇՎԵՀԱՄԱՐՆԵՐԻ ԿՈԴԱՎՈՐՄԱՆ», «ՀԱՅԱՍՏԱՆԻ ՀԱՆՐԱՊԵՏՈՒԹՅԱՆ ՊԵՏԱԿԱՆ ՊԱՐՏԱՏՈՄՍԵՐԻ ԵՐԿՐՈՐԴԱՅԻՆ ՇՈՒԿԱՅՈՒՄ ՇՐՋԱՆԱՌՈՒԹՅԱՆ», «ՊԵՏԱԿԱՆ ՊԱՐՏԱՏՈՄՍԵՐՈՎ ԳՈՐԾԱՌՆՈՒԹՅՈՒՆՆԵՐՈՒՄ ԿԻՐԱՌՎՈՂ ՓԱՍՏԱԹՂԹԵՐԻ ՆՎԱԶԱԳՈՒՅՆ ՎԱՎԵՐԱՊԱՅՄԱՆՆԵՐԻ ՄԱՍԻՆ» ԿԱՐԳԵՐԸ ՀԱՍՏԱՏԵԼՈՒ ՄԱՍԻՆ
Հիմք ընդունելով «Հայաստանի Հանրապետության կենտրոնական բանկի մասին» Հայաստանի Հանրապետության օրենքի 20-րդ հոդվածի «իգ.1» կետը և «Իրավական ակտերի մասին» Հայաստանի Հանրապետության օրենքի 16-րդ հոդվածի 4-րդ մասը, ինչպես նաև Հայաստանի Հանրապետության ֆինանսների և էկոնոմիկայի նախարարության գրավոր համաձայնությունը` Հայաստանի Հանրապետության կենտրոնական բանկի խորհուրդը որոշում է.
1. Հաստատել «Հայաստանի Հանրապետության պետական պարտատոմսերի առաջնային տեղաբաշխման, թերտեղաբաշխված պարտատոմսերի տեղաբաշխման, հետգնման կազմակերպման և մարման սպասարկման» կարգը` համաձայն հավելված 1-ի (կցվում է):
2. Հաստատել «Հայաստանի Հանրապետության պետական պարտատոմսերի պահառության գործունեության մասին» կարգը` համաձայն հավելված 2-ի (կցվում է):
3. Հաստատել «Հայաստանի Հանրապետության պետական պարտատոմսերի գրավի հետ կապված գործառնությունների իրականացման մասին» կարգը` համաձայն հավելված 3-ի (կցվում է):
4. Հաստատել «Պետական արժեթղթերի հաշվառման և հաշվարկների համակարգում կիրառվող հաշվեհամարների կոդավորման» կարգը` համաձայն հավելված 4-ի (կցվում է):
5. Հաստատել «Հայաստանի Հանրապետության պետական պարտատոմսերի երկրորդային շուկայում շրջանառության» կարգը` համաձայն հավելված 5-ի (կցվում է):
6. Հաստատել «Պետական պարտատոմսերով գործառնություններում կիրառվող փաստաթղթերի նվազագույն վավերապայմանների մասին» կարգը` համաձայն հավելված 6-ի (կցվում է):
7. Սույն որոշումն ուժի մեջ է մտնում հրապարակմանը հաջորդող տասներորդ օրվանից:
ՀՀ կենտրոնական բանկի |
Ա. Ջավադյան |
2004 թ. ապրիլի 2 |
Հավելված 1 |
Կ Ա Ր Գ
ՀԱՅԱՍՏԱՆԻ ՀԱՆՐԱՊԵՏՈՒԹՅԱՆ ՊԵՏԱԿԱՆ ՊԱՐՏԱՏՈՄՍԵՐԻ ԱՌԱՋՆԱՅԻՆ ՏԵՂԱԲԱՇԽՄԱՆ, ԹԵՐՏԵՂԱԲԱՇԽՎԱԾ ՊԱՐՏԱՏՈՄՍԵՐԻ ՏԵՂԱԲԱՇԽՄԱՆ, ՀԵՏԳՆՄԱՆ ԿԱԶՄԱԿԵՐՊՄԱՆ ԵՎ ՄԱՐՄԱՆ ՍՊԱՍԱՐԿՄԱՆ
Գ Լ ՈՒ Խ 1
ԸՆԴՀԱՆՈՒՐ ԴՐՈՒՅԹՆԵՐ
1. Սույն կարգը սահմանում է Հայաստանի Հանրապետության պետական պարտատոմսերի տեղաբաշխման, ինչպես նաև թերտեղաբաշխված պարտատոմսերի տեղաբաշխման (հետագայում` աճուրդ), հետգնման կազմակերպման և մարման սպասարկման կարգը:
2. Սույն կարգում կիրառվող հիմնական հասկացություններն են.
2.1 Բանկ` Հայաստանի Հանրապետության կենտրոնական բանկ:
2.2 Թողարկող` Հայաստանի Հանրապետության ֆինանսների և էկոնոմիկայի նախարարություն:
2.3 Պարտատոմս` Հայաստանի Հանրապետության ֆինանսների և էկոնոմիկայի նախարարության կողմից թողարկվող կարճաժամկետ, միջին ժամկետայնության մասնակի մարումներով արժեկտրոնային և միջին ժամկետայնության արժեկտրոնային պարտատոմսեր, ինչպես նաև հետագայում թողարկվող և շրջանառվող պետական այլ պարտատոմսեր, եթե տվյալ տեսակի պարտատոմսի շրջանառությունը կանոնակարգող իրավական ակտերով սահմանված կլինի, որ սույն կարգը տարածվում է տվյալ պարտատոմսի վրա:
2.4 Աճուրդ` պարտատոմսերի թողարկումների առաջնային տեղաբաշխման (թերտեղաբաշխված պարտատոմսերի տեղաբաշխման) նպատակով կազմակերպվող մրցութային գործընթաց, որին պարտատոմս ձեռք բերելու նպատակով գնորդները ներկայացնում են հայտեր:
2.5 Պահառու` պարտատոմսերի տեղաբաշխման, շրջանառության և մարման սպասարկման պարտավորությունները կրող, պահառուական գործունեություն իրականացնող ենթակառուցվածք: Պահառուի գործառույթներն իրականացնում է բանկը:
2.6 Ենթապահառու` պահառուական գործունեություն իրականացնող ենթակառուցվածք, որում հաշվառվում են ներդրողներին սեփականության իրավունքով պատկանող պարտատոմսերը` ըստ առանձին սեփականատերերի: Ենթապահառուի գործառույթներ իրականացնում են գործակալները, դիլերները և գանձապետական պահառուն:
2.7 Գործակալ` թողարկողի և բանկի հետ Հայաստանի Հանրապետության պետական պարտատոմսերի շուկայում գործակալի գործառույթների կատարման մասին պայմանագիր կնքած իրավաբանական անձ:
2.8 Դիլեր` թողարկողի և բանկի հետ Հայաստանի Հանրապետության պետական պարտատոմսերի շուկայում դիլերի գործառույթների կատարման մասին պայմանագիր կնքած իրավաբանական անձ:
2.9 Ներդրող` յուրաքանչյուր իրավաբանական կամ ֆիզիկական անձ, որը սեփականության իրավունքով ձեռք է բերում պարտատոմսեր և չի հանդիսանում գործակալ (դիլեր): Գործակալը (դիլերը), Հայաստանի Հանրապետության տարածքում գործող գործակալ (դիլեր) չհանդիսացող բանկերը աճուրդի ժամանակ կարող են հանդես գալ որպես ներդրող:
2.10 Գանձապետական պահառու` Հայաստանի Հանրապետության Կառավարության լիազոր մարմնի կողմից պարտատոմսերի անմիջական վաճառքի, ներդրողներին պատկանող պարտատոմսերի հաշվառման և սպասարկման համակարգ:
2.11 Աճուրդի մասնակիցներ` թողարկողի և բանկի հետ պարտատոմսերի շուկայում համապատասխան պայմանագիր կնքած իրավաբանական անձինք` գործակալ, դիլեր, պարտատոմսերի թողարկման հիմնական պայմաններով և կարգերով նախատեսված դեպքերում` նաև գանձապետական պահառուն:
2.12 Աշխատանքային խումբ` աճուրդի և հետգնման անցկացման նպատակով թողարկողի և բանկի մեկական ներկայացուցիչներից կազմված խումբ, որի իրավասությունները և կազմը հաստատում է բանկի նախագահը:
(2.12 կետը լրաց. 15.03.05 N 114-Ն)
2.13 Պետական պարտատոմսերի աճուրդային հանձնաժողով` թողարկողի և բանկի ներկայացուցիչներից կազմված հանձնաժողով, որի իրավասությունները և կազմը սահմանվում են թողարկողի և բանկի համատեղ որոշմամբ:
Գ Լ ՈՒ Խ 2
ՀԱՅԱՍՏԱՆԻ ՀԱՆՐԱՊԵՏՈՒԹՅԱՆ ՊԵՏԱԿԱՆ ՊԱՐՏԱՏՈՄՍԵՐԻ ԱՌԱՋՆԱՅԻՆ ՏԵՂԱԲԱՇԽՈՒՄ, ԹԵՐՏԵՂԱԲԱՇԽՎԱԾ ՊԱՐՏԱՏՈՄՍԵՐԻ ՏԵՂԱԲԱՇԽՈՒՄ` ԱՃՈՒՐԴ
Առաջնային տեղաբաշխում
3. Բանկը, որպես Հայաստանի Հանրապետության Կառավարության ֆինանսական գործակալ, հիմք ընդունելով պարտատոմսերի թողարկման վերաբերյալ թողարկողի հրամանը, կազմակերպում է պարտատոմսերի առաջնային տեղաբաշխումը փակ աճուրդի միջոցով:
4. Աճուրդի մասնակիցները նախորդ աշխատանքային օրվա ժամը 15.00-ից մինչև աճուրդի օրվա ժամը 10.30-ը ներկայացնում են պարտատոմսերի ձեռքբերման երկու տեսակի հայտ: Առաջին հայտն ընդգրկում է պարտատոմսերի գնման վերաբերյալ աճուրդի մասնակիցների սեփական առաջարկությունները, երկրորդ հայտը` ներդրողների ամփոփված առաջարկությունները: Աճուրդի անցկացման օրը, ժամը 10.30-ից հետո ներկայացված հայտերը չեն ընդունվում:
5. Աճուրդին ներկայացված հայտերն ընդգրկում են մրցակցային և ոչ մրցակցային առաջարկություններ:
5.1 Հայաստանի Հանրապետության պետական կարճաժամկետ պարտատոմսերի աճուրդին ներկայացվող մրցակցային առաջարկության մեջ նշվում է պարտատոմսերի այն ծավալը, որը մասնակիցը ցանկանում է ձեռք բերել աճուրդի ժամանակ և այն գումարը, որով մասնակիցը պատրաստ է ձեռք բերել պարտատոմսերի այդ ծավալը:
5.2 Հայաստանի Հանրապետության պետական միջին ժամկետայնության արժեկտրոնային մասնակի մարումներով և միջին ժամկետայնության արժեկտրոնային պարտատոմսերի աճուրդին ներկայացվող մրցակցային առաջարկության մեջ նշվում է պարտատոմսերի այն ծավալը, որը մասնակիցը ցանկանում է ձեռք բերել աճուրդի ժամանակ և այն եկամտաբերությունը, որով մասնակիցը պատրաստ է ձեռք բերել պարտատոմսերի այդ ծավալը:
5.3 Պարտատոմսերի գնման ծավալները պետք է բազմապատիկ լինեն տվյալ պարտատոմսի համար սահմանված քայլին: Բոլոր գումարները նշվում են մեկ դրամի ճշտությամբ: Հայտերի ոչ մրցակցային առաջարկության մեջ նշվում է այն ծավալը, որի չափով աճուրդի մասնակիցը ցանկանում է պարտատոմսեր ձեռք բերել աճուրդում ձևավորված միջին կշռված եկամտաբերությամբ:
6. Հայտերն աճուրդին ներկայացվում են էլեկտրոնային հաղորդագրությունների միջոցով` աճուրդի մասնակցի մոտ տեղակայված ՍիԲիԷյՆեթ համակարգի աշխատանքային կայանից, բանկի կողմից սահմանված ֆորմատներով. ընդ որում, յուրաքանչյուր տեսակի հայտի համար (սեփական, ներդրողի) կազմվում է առանձին հաղորդագրություն` համաձայն հավելված 1.1-ի և 1.2-ի: Աճուրդի նույն մասնակցից երկու միատեսակ հայտ ստանալու դեպքում ընդունվում է պետական արժեթղթերի հաշվառման և հաշվարկների իրականացման համակարգի (այսուհետև` համակարգ) կողմից առաջինն ընդունված հայտը: Համակարգ մուտքագրված հայտը չի կարող հետ կանչվել, և դրանում փոփոխություններ չեն կարող կատարվել:
7. Աճուրդի մասնակիցների հայտերը համակարգ մուտքագրվելու պահին անմիջապես ստուգվում են համակարգի կողմից: Աճուրդի պայմանների և/կամ առանձին հայտին ներկայացվող սահմանափակումների խախտման դեպքում հայտը մերժվում է, ինչի մասին աճուրդի մասնակիցը տեղեկացվում է հատուկ հաղորդագրության միջոցով: Հայտը մերժված լինելու դեպքում աճուրդի մասնակիցը կարող է մինչև հայտերի ընդունման համար սահմանված ժամի ավարտը ներկայացնել նոր հայտ:
8. Եթե աճուրդի մասնակիցը տարբեր տեսակի վթարների հետևանքով (կապի խզում, մասնակցի հսկողության ներքո գործող տեխնիկածրագրային ապահովման անսարքություն և այլն) բանկի կողմից սահմանված համակարգով հայտերն ուղարկելու հնարավորություն չունի, ապա այդ մասին տեղեկացնում է բանկի կողմից լիազորված աշխատակիցներին և հայտը (հայտերը) մուտքագրում է բանկում տեղադրված հատուկ աշխատանքային կայանից մինչև ժամը 10.30-ը:
9. Եթե աճուրդի օրը, մինչև ժամը 10.20-ը, աճուրդի պոտենցիալ մասնակիցների 30%-ը սույն կարգի 8-րդ կետում սահմանված կարգով բանկին տեղեկացրել է հայտերի ուղարկման անհնարինության մասին, ապա աշխատանքային խումբը դադարեցնում է աճուրդային գործընթացն ու այդ մասին անմիջապես տեղեկացնում պետական պարտատոմսերի աճուրդային հանձնաժողովին: Աճուրդի մասնակիցներին անմիջապես հայտարարվում է աճուրդային հանձնաժողովի ընդունած որոշումը (աճուրդը վերսկսել, տեղափոխել հաջորդ օրը կամ չեղյալ հայտարարել):
10. Աճուրդի օրը, ժամը 10.30-ին, համակարգը ավտոմատ եղանակով դադարեցնում է հայտերի ընդունումը: Մինչև համակարգի կողմից հայտերի ընդունման ավարտը հայտերը չեն կարող դիտարկվել:
11. Համակարգը հաշվում է տեղաբաշխվող պարտատոմսերի ծավալն ըստ աճուրդի մասնակցի, ինչպես նաև թողարկողին փոխանցվելիք դրամական միջոցները` հաշվի առնելով աճուրդի մասնակցի դեպո հաշիվներում (սեփական և ամփոփ ներդրողների) աճուրդի օրը մարման ենթակա պարտատոմսերի ծավալի առկայությունը և կատարում է դրամական ու դեպո հաշիվներին համապատասխան ծավալով դրամական միջոցների և պարտատոմսերի փոխանցումները: Հաշվարկների հիման վրա աճուրդի անցկացման օրվա մինչև ժամը 12.30-ը հայտարարվում են աճուրդի արդյունքները` համաձայն հավելված 2.1-ի, հավելված 2.2-ի, իսկ աճուրդի մասնակիցները հատուկ հաղորդագրությունների միջոցով տեղեկացվում են աճուրդին իրենց կողմից ներկայացված հայտերի վերաբերյալ:
12. Հայտերի ընդունման դադարեցման պահից համակարգի կողմից իրականացվում է ընդունված հայտերի ստուգումն ըստ թողարկման հրամանով առանձին մասնակցին ներկայացվող պահանջների:
13. Համակարգը ստուգում է աճուրդի մասնակցի դրամական հաշվում բավարար միջոցների առկայությունը` հաշվի առնելով նրա համապատասխան հաշվում առկա միջոցների և դեպո հաշվում աճուրդի օրը մարման ենթակա պարտատոմսերի ծավալի հանրագումարը, բացառությամբ գրավադրված և արգելադրված պարտատոմսերի: Համապատասխան միջոցների առկայության դեպքում համակարգն ապահովում է դրանց օգտագործման սահմանափակումը հաշվետիրոջ այլ գործառնությունների համար:
14. Աճուրդի պայմաններից շեղումներով լրացված կամ բավարար միջոցներով չապահովված հայտերն աճուրդից հանվում են, իսկ աճուրդի համապատասխան մասնակիցներն այդ մասին տեղեկացվում են հատուկ հաղորդագրությունների միջոցով:
15. Հայտերի հավաքագրման արդյունքներով կազմվում է հավաքական տեղեկագիր` համաձայն հավելված 3-ի, որը վավերացվում է աշխատանքային խմբի կողմից: Հավաքական տեղեկագիրը թողարկողին է տրամադրվում ՍիԲիԷյՆեթ համակարգի միջոցով, իսկ ՍիԲիԷյՆեթ համակարգի խափանման դեպքում` թղթային եղանակով, մինչև ժամը 11.00-ը:
16. Ոչ ուշ, քան աճուրդի անցկացման օրվա ժամը 12.00-ը, թողարկողը որոշում է պարտատոմսերի տեղաբաշխման սահմանային եկամտաբերությունը և միջին կշռված տարեկան եկամտաբերությունը` ստորակետից հետո չորս նիշի ճշտությամբ, որից հետո թողարկողի հանձնարարագրի հիման վրա, համաձայն հավելված 4-ի, որը բանկին է փոխանցվում ՍիԲիԷյՆեթ համակարգի միջոցով, իսկ ՍիԲիԷյՆեթ համակարգի խափանման դեպքում` թղթային եղանակով, սույն կետով նշված չափանիշները մուտքագրվում են համակարգ:
17. Սույն կարգի 16-րդ կետում նշված չափանիշները համակարգ մուտքագրվելուց հետո սկսվում է առաջարկությունների բավարարումը: Աճուրդին գանձապետական պահառուի մասնակցելու պարագայում առաջինը բավարարվում է գանձապետական պահառուի կողմից ներկայացված հայտը թողարկման հրամանում նշված սահմաններում, այնուհետև` մնացած մասնակիցների կողմից ներկայացված ոչ մրցակցային առաջարկությունները: Եթե գործակալների կողմից ներկայացված ոչ մրցակցային առաջարկությունների գումարային ծավալը գերազանցում է թողարկման ծավալի 20%-ը, ապա այդ առաջարկությունները բավարարվում են համամասնորեն` թողարկման ծավալի 20%-ի սահմաններում: Ոչ մրցակցային առաջարկությունների բավարարումից հետո սկսվում է մրցակցային առաջարկությունների բավարարումն ամենացածր եկամտաբերությամբ առաջարկություններից սկսած մինչև սահմանային եկամտաբերությամբ որոշված ծավալը: Եթե սահմանային եկամտաբերությամբ բավարարման ենթակա պարտատոմսերի ծավալը զիջում է տվյալ եկամտաբերությամբ առաջարկությունների ծավալը, կատարվում է համամասնական տեղաբաշխում, հակառակ դեպքում բավարարվում է տվյալ սահմանային եկամտաբերությամբ մրցակցային առաջարկությունների ողջ ծավալը: Համամասնական բաշխման արդյունքում գոյացած պարտատոմսերի չբաշխվող ծավալի տեղաբաշխման համար կիրառվում է պատահական ընտրության սկզբունքը` ստացված պատահական թվերի գեներատորի միջոցով:
18. Եթե սույն կարգով սահմանված ժամանակահատվածում թողարկողը չի սահմանում աճուրդի գնային պայմանները, ապա բանկն իրավունք ունի աճուրդի անցկացման օրվա ժամը 12.30-ին աճուրդը հայտարարել չեղյալ, որի մասին աճուրդի մասնակիցները տեղեկացվում են հատուկ հաղորդագրությունների միջոցով:
19. Աճուրդի մասնակիցները ոչ ուշ, քան հաջորդ աշխատանքային օրվա սկիզբը, ստանում են քաղվածք իրենց դեպո հաշիվներից` համաձայն հավելված 5-ի:
20. Աճուրդին ներկայացվող պետական կարճաժամկետ պարտատոմսերի մրցակցային առաջարկության եկամտաբերությունը հաշվարկվում է համաձայն հավելված 6-ի, միջին ժամկետայնության մասնակի մարումներով արժեկտրոնային պարտատոմսերի գնման գինը` համաձայն հավելված 7-ի, իսկ միջին ժամկետայնության և երկարաժամկետ արժեկտրոնային պարտատոմսերի գնման գինը` համաձայն հավելված 8-ի: 20.1 Աճուրդի համամասնական տեղաբաշխումն իրականացվում է համաձայն հավելված 9-ի:
21. Պարտատոմսերի տեղաբաշխման աճուրդի օրը բանկը հաշվետվություններ է ներկայացնում թողարկողին համաձայն հավելված 2.1-ի, 2.2-ի, 10-ի, 11-ի և 12-ի:
22. Աճուրդին գործակալ (դիլեր) չհանդիսացող առևտրային բանկերի մասնակցությունն ապահովվում է սահմանված կարգի համաձայն գործակալին (դիլերին) հայտ ներկայացնելու միջոցով: Գործակալ (դիլեր) չհանդիսացող առևտրային բանկերի համար գործակալի (դիլերի) միջոցով ձեռք բերված պարտատոմսերի հետ կապված դրամական պարտավորությունները կարգավորվում են կողմերի համաձայնությամբ:
22.1 Գործակալ (դիլեր) չհանդիսացող առևտրային բանկերը ենթապահառու չեն, և նրանց սեփականության իրավունքով պատկանող պարտատոմսերից բխող իրավունքները ենթակա են գրանցման անմիջապես պահառուի մոտ:
23. Համակարգի կամ կապուղիների երկարատև խափանման (երկու օր և ավելի) դեպքում աճուրդներին հայտերը կարող են ներկայացվել թղթային եղանակով` փակ ծրարով` համաձայն հավելված 13-ի, ընդ որում, յուրաքանչյուր մասնակցից ընդունվում է միատեսակ մեկ (սեփական և/կամ ներդրողի) հայտ: Թղթային եղանակով հայտերը կարող են ընդունվել աճուրդի օրը, 9.30-ից մինչև 10.30-ը: Մինչև հայտերի ընդունման ավարտը հայտերը չեն կարող դիտարկվել: Ժամը 10.30-ին աշխատանքային խումբը դադարեցնում է հայտերի ընդունումը և սկսում է աճուրդի կազմակերպման գործընթացը: Աճուրդի կազմակերպման հետագա քայլերն իրականացվում են վերոհիշյալ կանոնների համաձայն:
Թերտեղաբաշխված թողարկման պարտատոմսերի տեղաբաշխում
24. Աճուրդի արդյունքում պարտատոմսերի մասնակիորեն տեղաբաշխման դեպքում տվյալ թողարկման պարտատոմսերը համարվում են թերտեղաբաշխված թողարկման պարտատոմսեր և հետագայում կարող են տեղաբաշխվել սույն կարգով նախատեսված եղանակով: Բանկը, որպես ֆինանսական գործակալ, թերտեղաբաշխված պարտատոմսերի տեղաբաշխումն իրականացնում է փակ աճուրդի միջոցով` թողարկողի կողմից տրված հանձնարարականի հիման վրա` համաձայն հավելված 14-ի:
25. Թերտեղաբաշխված պարտատոմսերի տեղաբաշխումն իրականացվում է համաձայն բանկի կողմից սահմանված առաջնային տեղաբաշխման կանոնների, որին մասնակցում են միայն գործակալները` ներկայացնելով միայն մրցակցային առաջարկություններ: Թերտեղաբաշխված պարտատոմսերի տեղաբաշխմանը կարող են մասնակցել նաև դիլերները, եթե դա նախատեսված է պարտատոմսերի թողարկման հիմնական պայմաններով և կարգերով:
Գ Լ ՈՒ Խ 3
ՊԱՐՏԱՏՈՄՍԵՐԻ ՀԵՏԳՆՄԱՆ ԿԱԶՄԱԿԵՐՊՈՒՄ
26. Թողարկողի կողմից տրված հանձնարարականի հիման վրա, համաձայն հավելված 15-ի, բանկը կազմակերպում է շրջանառության մեջ եղած պարտատոմսերի հետգնում: Հետգնման առարկա կարող են լինել միայն ազատ պարտատոմսերը:
27. Հետգնմանը կարող են մասնակցել միայն գործակալները` ներկայացնելով սույն կարգով նախատեսված երկու տեսակի հայտ: Հետգնման համար կարող են ներկայացվել առաջարկություններ` նշելով վաճառքի ենթակա պարտատոմսերը միայն թողարկողի կողմից նախապես հայտարարված եկամտաբերությամբ: Յուրաքանչյուր թողարկման պարտատոմսերի հետգնման եկամտաբերությունը սահմանվում է թողարկողի կողմից տրված հանձնարարագրում:
28. Հետգնման օրվա մինչև ժամը 10.30-ը թողարկողը իր դրամական հաշվում կուտակում է գնման համար նախատեսված պարտատոմսերի ծավալին համարժեք դրամական միջոցներ:
29. Հետգնման օրվա մինչև ժամը 10.30-ը հետգնմանը մասնակցող գործակալները պարտավոր են իրենց դեպո հաշվի ազատ պարտատոմսեր հաշվում ունենալ հետգնման համար նախատեսվող անհրաժեշտ ծավալով պարտատոմսեր:
30. Հետգնման հայտերի ներկայացման, արդյունքների ամփոփման, թողարկողին հավաքական տեղեկագրի փոխանցման, թողարկողի հանձնարարագիրը բանկին փոխանցման և բանկի կողմից տեղեկատվության տրամադրման գործընթացը կատարվում է սույն կարգի գլուխ 2-ի դրույթներին համապատասխան:
(30-րդ կետը փոփ. 15.03.05 N 114-Ն)
31. Պարտատոմսերի հետգնմանը կարող են մասնակցել նաև դիլերները, եթե դա նախատեսված է պարտատոմսերի թողարկման հիմնական պայմաններով և կարգերով:
Գ Լ ՈՒ Խ 4
ՊԱՐՏԱՏՈՄՍԵՐԻ ՄԱՐՄԱՆ ՍՊԱՍԱՐԿՈՒՄ
32. Պարտատոմսերի մարմանը նախորդող աշխատանքային օրը թողարկողի կողմից տրված վճարման հանձնարարագրի հիման վրա բանկն իրականացնում է պարտատոմսերի մարումը (ազատ, գրավադրված և արգելադրված պարտատոմսերով):
33. Բանկը սահմանափակում է թողարկողից ստացված հանձնարարականի հիման վրա թողարկողի դրամական հաշվից մարմանն ուղղված բյուջետային միջոցների օգտագործման հնարավորությունը:
34. Եթե պարտատոմսերի մարման օրը չկա այլ պարտատոմսերի տեղաբաշխման կամ թերտեղաբաշխված պարտատոմսերի աճուրդ, ապա պահառուի կարգադրությամբ համակարգում ավտոմատ ձևով իրականացվում է մարումը` կատարվում են դրամական և դեպո հաշիվներին համապատասխան ծավալով դրամական միջոցների և պարտատոմսերի փոխանցումները, որոնց արդյունքում մարվող պարտատոմսերի ամբողջ ծավալը դեպո հաշիվներից փոխանցվում է թողարկողի մարված պարտատոմսերի դեպո հաշվին, և միաժամանակ իրականացվում են մարվող ծավալի չափով դրամական միջոցների համապատասխան փոխանցումները:
35. Միջին ժամկետայնության մասնակի մարումներով արժեկտրոնային և միջին ժամկետայնության արժեկտրոնային պարտատոմսերի պարագայում արժեկտրոնի գումարները ևս փոխանցվում են դեպո հաշվետերերի` բանկում վարվող համապատասխան դրամական հաշիվներին:
36. Եթե պարտատոմսերի մարման օրը կա այլ պարտատոմսերի տեղաբաշխման կամ թերտեղաբաշխված պարտատոմսերի աճուրդ, ապա մարման և աճուրդի գործառնությունները կարող են կատարվել միաժամանակ` հաշվանցման սկզբունքով: Համակարգը հաշվում է ըստ յուրաքանչյուր մասնակցի տեղաբաշխվող պարտատոմսերի ծավալը, ինչպես նաև թողարկողին փոխանցվելիք դրամական միջոցները` հաշվի առնելով աճուրդի մասնակիցների դեպո հաշիվներում (գործակալի (դիլերի) դեպքում` տարանջատված որպես սեփական և ամփոփ ներդրողների) այդ օրը աճուրդի հետ միաժամանակ մարման ենթակա պարտատոմսերի ծավալի առկայությունը և կատարում է դեպո և դրամական հաշիվներին անհրաժեշտ փոխանցումներ:
37. Պարտատոմսերի մարման ժամանակ թողարկողի հաշվին գտնվող համապատասխան թողարկման թերտեղաբաշխված և հետ գնված ծավալները նույնպես ենթակա են մարման:
37.1 Պարտատոմսերի մասնակի մարում իրականացնելիս թողարկողի կողմից մարման ենթակա թողարկման թերտեղաբաշխված և հետ գնված պարտատոմսերի անվանական արժեքը նվազեցվում է համապատասխան չափով:
38. Եթե պարտատոմսերի մարման օրը Հայաստանի Հանրապետության գործող օրենսդրության համաձայն ոչ աշխատանքային է, ապա պարտատոմսերի մարումն իրականացվում է առաջիկա աշխատանքային օրը:
ՀՀ պետական պարտատոմսերի առաջնային տեղաբաշխման, թերտեղաբաշխված պարտատոմսերի տեղաբաշխման, հետգնման կազմակերպման և մարման սպասարկման կարգի | |
Հավելված 1.1 |
(Առաջնային տեղաբաշխման աճուրդի սեփական հայտ)
ՀՏ503
Ա Ճ ՈՒ Ր Դ Ի Հ Ա Յ Տ
Գործառնության համար | :20: | |
Հայտի տեսակը | :23: | սեփական առաջարկներ |
Հայտի համար/հերթական համար | :28: | |
Արժեթղթերի իդենտիֆիկատոր | :35: «Բ»: | |
Ծավալ | :35: «Ա»: | մրցակցային ծավալ ոչ մրցակցային ծավալ |
Առաջարկվող գինը | :37: | Այս դաշտում նշվում է առաջարկության գինը (տվյալ դաշտը լրացվում է միջին ժամկետայնության մրցակցային պարտատոմսերի դեպքում) |
Եկամտաբերությունը | :37: «Ա»: | Այս դաշտում նշվում է առաջարկության եկամտաբերությունը (տվյալ դաշտը լրացվում է միջին ժամկետայնության մրցակցային պարտատոմսերի դեպքում) |
Հավելված 1.2 |
(Առաջնային տեղաբաշխման աճուրդի ներդրողների հայտ)
ՀՏ503
Ա Ճ ՈՒ Ր Դ Ի Հ Ա Յ Տ
Գործառնության համար | :20: | |
Հայտի տեսակը | :23: | ներդրողների առաջարկներ |
Հայտի համար/հերթական համար | :28: | |
Արժեթղթերի իդենտիֆիկատոր | :35: «Բ»: | |
Ծավալ | :35: «Ա»: | մրցակցային ծավալ ոչ մրցակցային ծավալ |
Առաջարկվող գինը | :37: | այս դաշտում նշվում է առաջարկության գինը (տվյալ դաշտը լրացվում է միջին ժամկետայնության մրցակցային պարտատոմսերի դեպքում) |
Եկամտաբերությունը | :37: «Ա»: | այս դաշտում նշվում է առաջարկության եկամտաբերությունը (տվյալ դաշտը լրացվում է միջին ժամկետայնության մրցակցային պարտատոմսերի դեպքում) |
ՀՀ պետական պարտատոմսերի առաջնային տեղաբաշխման, թերտեղաբաշխված պարտատոմսերի տեղաբաշխման, հետգնման կազմակերպման և մարման սպասարկման կարգի | |
Հավելված 2.1 |
Հ Ա Յ Տ Ա Ր Ա Ր ՈՒ Թ Յ ՈՒ Ն
Պարտատոմսերի աճուրդի արդյունքների վերաբերյալ
● Աճուրդի անցկացման հասցեն և ամսաթիվը,
● աճուրդին մասնակցած գործակալների քանակը,
● աճուրդին մասնակցած դիլերների քանակը,
● ներկայացված առաջարկությունների ընդհանուր ծավալը (դրամ),
● գործակալների կողմից ներկայացված ոչ մրցակցային առաջարկությունների ծավալը,
● գանձապետական պահառուի կողմից ներկայացված ոչ մրցակցային առաջարկությունների ծավալը,
● բավարարված առաջարկությունների ընդհանուր ծավալը (դրամ),
● տեղաբաշխված պարտատոմսերի սահմանային եկամտաբերությունը,
● տեղաբաշխված պարտատոմսերի միջին կշռված եկամտաբերությունը:
ՀՀ պետական պարտատոմսերի առաջնային տեղաբաշխման, թերտեղաբաշխված պարտատոմսերի տեղաբաշխման, հետգնման կազմակերպման և մարման սպասարկման կարգի | |
Հավելված 2.2 |
Հ Ա Շ Վ Ե Տ Վ ՈՒ Թ Յ ՈՒ Ն
Պարտատոմսերի աճուրդի արդյունքների վերաբերյալ
● Աճուրդի անցկացման հասցեն և ամսաթիվը,
● աճուրդին մասնակցած գործակալների քանակը,
● աճուրդին մասնակցած դիլերների քանակը,
● ներկայացված առաջարկությունների ընդհանուր ծավալը (դրամ),
● ներկայացված ոչ մրցակցային առաջարկությունների ծավալը,
● բավարարված առաջարկությունների ընդհանուր ծավալը (դրամ),
● տեղաբաշխված պարտատոմսերի սահմանային եկամտաբերությունը,
● տեղաբաշխված պարտատոմսերի միջին կշռված եկամտաբերությունը:
ՀՀ պետական պարտատոմսերի առաջնային տեղաբաշխման, թերտեղաբաշխված պարտատոմսերի տեղաբաշխման, հետգնման կազմակերպման և մարման սպասարկման կարգի | |
Հավելված 3 |
______________________ թողարկման
թողարկման համարը
պարտատոմսերի տեղաբաշխման աճուրդին
թույլատրված հայտերի հավաքական տեղեկագիր
Պարտատոմսերի ձեռքբերման |
Նշված ծավալի դիմաց առաջարկվող գումարը(դրամ) |
Պարտատոմսերի տարեկան եկամտաբերությունը (%) |
|
Պարտատոմսերի տեղաբաշխման ենթակա ծավալը
Պարտատոմսերի թողարկման ամսաթիվը
Պարտատոմսերի մարման ամսաթիվը
Պարտատոմսերի ձեռքբերման (պահանջվող) ընդհանուր ծավալը
Պարտատոմսերի տեղաբաշխվող (բավարարվող) ընդհանուր ծավալը
Պարտատոմսերի սահմանային տարեկան եկամտաբերությունը
Պարտատոմսերի միջին կշռված տարեկան եկամտաբերությունը
Պարտատոմսերի շրջանառության ժամկետը
Մրցակցային առաջարկությունների ընդհանուր ծավալը
Գործակալների սեփական մրցակցային առաջարկությունների ընդհանուր ծավալը
Դիլերների սեփական մրցակցային առաջարկությունների ընդհանուր ծավալը
Գործակալների և դիլերների ներդրողների մրցակցային առաջարկությունների ընդհանուր ծավալը
Ոչ մրցակցային առաջարկությունների ընդհանուր ծավալը
Գանձապետական պահառուի ծավալը
Գործակալների սեփական ոչ մրցակցային առաջարկությունների ընդհանուր ծավալը
Ներդրողների ոչ մրցակցային առաջարկությունների ընդհանուր ծավալը
Աշխատանքային խմբի անդամներ` |
1. ------------------------------- 2. ------------------------------- |
___ _________________ թ.
ՀՀ պետական պարտատոմսերի առաջնային տեղաբաշխման, թերտեղաբաշխված պարտատոմսերի տեղաբաշխման, հետգնման կազմակերպման և մարման սպասարկման կարգի | |
Հավելված 4 |
ՀԱՅԱՍՏԱՆԻ ՀԱՆՐԱՊԵՏՈՒԹՅԱՆ ԿԵՆՏՐՈՆԱԿԱՆ ԲԱՆԿ
Հ Ա Ն Ձ Ն Ա Ր Ա Ր Ա Գ Ի Ր
__ _______________ 200 թ. աճուրդի ընթացքում ______________________ թողարկման պարտատոմսերի |
Սույնով թողարկողը բանկին հանձնարարում է. ● վաճառել _________________ պարտատոմսերն այն անձանց, որոնք ներկայացրել են թողարկման համարը այդ պարտատոմսերի գնման մրցակցային առաջարկություններ, և հայտերում նշված եկամտաբերությունը __________________ % բարձր չէ, ● մերժել մյուս բոլոր մրցունակ առաջարկությունները, ● վաճառել _________________ պարտատոմսերն այն անձանց, որոնք ներկայացրել են թողարկման համարը այդ պարտատոմսերի գնման ոչ մրցակցային առաջարկությունները, աճուրդի միջին կշռված եկամտաբերությամբ` __________________ %:
ՀՀ ֆինանսների և էկոնոմիկայի նախարարության կողմից (Ա.Ա.Հ.) ______________________________________________________
Հանձնարարագիրն ստացվել է __ _______________ 200 թ. ժամը __________
ՀՀ կենտրոնական բանկի կողմից (Ա.Ա.Հ.) |
ՀՀ պետական պարտատոմսերի առաջնային տեղաբաշխման, թերտեղաբաշխված պարտատոմսերի տեղաբաշխման, հետգնման կազմակերպման և մարման սպասարկման կարգի | |
Հավելված 5 |
ՀՀ կենտրոնական բանկ, արժեթղթերի հաշվառման և հաշվարկների էլեկտրոնային համակարգ
---------------------------------------------------------------------------------------------------------
Ք Ա Ղ Վ Ա Ծ Ք Դ Ե Պ Ո Հ Ա Շ Վ Ի Ց
| |||||||||||||||||||||||||||||||||||||||
| |||||||||||||||||||||||||||||||||||||||
|
------------------------------------------------------------------------------------------------------
Կազմվել է օր/ամիս/տարի ժամ:րոպե:վայրկյան
ՀՀ պետական պարտատոմսերի առաջնային տեղաբաշխման, թերտեղաբաշխված պարտատոմսերի տեղաբաշխման, հետգնման կազմակերպման և մարման սպասարկման կարգի | |
Հավելված 6 |
Բ Ա Ն Ա Ձ Ե Վ
Հայաստանի Հանրապետության պետական (գանձապետական) կարճաժամկետ պարտատոմսերի տարեկան եկամտաբերության հաշվարկման
(((ԱԱ-ԳԳ)/ԳԳ)*360/Օ)*100%
որտեղ`
ԱԱ - անվանական արժեք,
ԳԳ - գնման գին,
Օ - մինչև մարում օրերի քանակը,
360 - տարվա օրերի թիվը` ընդունված պայմանականորեն:
ԳԳ ≤ ԱԱ
ՀՀ պետական պարտատոմսերի առաջնային տեղաբաշխման, թերտեղաբաշխված պարտատոմսերի տեղաբաշխման, հետգնման կազմակերպման և մարման սպասարկման կարգի | |
Հավելված 7 |
Բ Ա Ն Ա Ձ Ե Վ
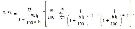
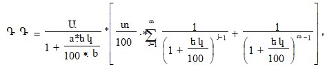
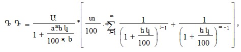
Հայաստանի Հանրապետության պետական (գանձապետական) միջին ժամկետայնության մասնակի մարումներով արժեկտրոնային պարտատոմսերի գնի (ձեռքբերման գնի) հաշվարկման
որտեղ` ԳԳ- պարտատոմսի գնման գին,
տ - արժեկտրոնի փուլային եկամտաբերություն,
Ա - գործարքի պահին պարտատոմսի անվանական արժեքը,
b - տվյալ փուլի փաստացի տևողությունն օրերով,
a - մինչև առաջիկա մարում օրերի թիվը,
m - այդ պահին մնացած մասնակի մարումների (արժեկտրոնների վճարումների) թիվը,
եկ - փուլի եկամտաբերություն,
որտեղ` տ=((1+Տ/100)(1/k աստ.)-1)*100;
եկ=((1+ԵԿ/100)(1/k աստ.)-1)*100
Տ - արժեկտրոնի տարեկան եկամտաբերություն,
ԵԿ - տարեկան եկամտաբերություն,
k - մեկ տարում մասնակի մարումների և արժեկտրոնների վճարումների թիվը:
Բանաձևում արժեկտրոնի և պարտատոմսերի փուլային եկամտաբերությունները կլորացվում են չորս նիշի ճշտությամբ:
ՀՀ պետական պարտատոմսերի առաջնային տեղաբաշխման, թերտեղաբաշխված պարտատոմսերի տեղաբաշխման, հետգնման կազմակերպման և մարման սպասարկման կարգի | |
Հավելված 8 |
Բ Ա Ն Ա Ձ Ե Վ
ՀՀ պետական (գանձապետական) միջին ժամկետայնության և երկարաժամկետ արժեկտրոնային պարտատոմսերի գնի (ձեռքբերման գնի) հաշվարկման
որտեղ`
ԳԳ - պարտատոմսի գնման գին,
տ - արժեկտրոնի փուլային եկամտաբերություն,
Ա - պարտատոմսի անվանական արժեքը,
a - մինչև առաջիկա արժեկտրոնի վճարումը մնացած փաստացի օրերի թիվը,
b - փուլի տևողությունը օրերով,
m - այդ պահին մնացած արժեկտրոնների վճարումների թիվը,
եկ - փուլային եկամտաբերություն,
տ=((1+Տ/100)1/k)-1)*100
եկ=((1+ԵԿ/100)1/k)-1)*100
Տ - արժեկտրոնի տարեկան եկամտաբերություն
k - արժեկտրոնների վճարումների թիվը
ԵԿ - տարեկան եկամտաբերություն
Բանաձևում արժեկտրոնի փուլային եկամտաբերությունները կլորացվում են չորս նիշի ճշտությամբ:
ՀՀ պետական պարտատոմսերի առաջնային տեղաբաշխման, թերտեղաբաշխված պարտատոմսերի տեղաբաշխման, հետգնման կազմակերպման և մարման սպասարկման կարգի | |
Հավելված 9 |
1. Համամասնության բաշխման սկզբունքը
Հաշվարկվում են A մեծության հետևյալ արժեքները`
A = Cs - ∑R
A = Vncs- ∑R
Cs - հավաքական տեղեկագրի n-րդ սահմանային տողի բավարարվող ծավալն է
Vncs - աճուրդի մասնակիցների համար ոչ մրցակցային առաջարկություններով ձեռքբերման բավարարվող առավելագույն ծավալն է
Եթե A=0, ապա կլորացված R ծավալները բաշխվում են առանց մնացորդի:
Եթե A<0, ապա պատահական թվերի գեներատորի (ՊԹԳ-ի) միջոցով ընտրվում են աճուրդի մասնակիցների այն առաջարկությունները, որոնց R ծավալները կնվազեն քայլի չափով:
Եթե A>0, ապա ՊԹԳ-ի միջոցով ընտրվում են մասնակիցների այն առաջարկությունները, որոնց R ծավալները կավելանան քայլի չափով:
Օրինակ`
A1, A2, A3 և A4 աճուրդի մասնակիցները ներկայացրել են պարտատոմսերի ձեռքբերման համապատասխանաբար V1, V2, V3 և V4 պահանջվող ծավալների ոչ մրցակցային առաջարկություններ, V-ոչ մրցակցային առաջարկություններով տեղաբաշխման ենթակա պարտատոմսերի առավելագույն ծավալն է, որը պետք է համամասնորեն բաշխվի A1, A2, A3, A4 աճուրդի մասնակիցների միջև` V<(V1+V2+V3+V4):
ա) Ենթադրենք, շրջանառության ժամկետը 28 օր է, V=500000AMD, միջին կշռված եկամտաբերությունը 46.6321%, քայլը` 1000AMD
N | Պահանջվող ծավալ | Եկամտաբե-րություն | Բավարարվող ծավալ | Բավարարված ծավալը` քայլի ճշտությամբ | Վճարվող գումարը (հաշվարկվում է համաձայն 3-րդ կետում բերված բանաձևի) մեկ դրամի ճշտությամբ |
A1 | 70`000 | 46.6321 | 42`682.93 | 43000 | 41`495 |
A2 | 150`000 | 46.6321 | 91`463.41 | 91000 | 87`815 |
A3 | 200`000 | 46.6321 | 121`951.20 | 122000 | 117`730 |
A4 | 400`000 | 46.6321 | 243`902.40 | 244000 | 235`460 |
Ընդ. | 820`000 | 500`000 |
բ) Ենթադրենք, V=98000AMD
N | Պահանջվող ծավալ | Եկամտաբե- րություն | Բավարարվող ծավալ | Բավարարված ծավալը` քայլի ճշտությամբ | Բավարարված ծավալը` պատահական թվերի գեներատորի կիրառմամբ |
A1 | 200`000 | 46.6321 | 24500 | 25000 | 24000* |
A2 | 200`000 | 46.6321 | 24500 | 25000 | 25000 |
A3 | 200`000 | 46.6321 | 24500 | 25000 | 24000* |
A4 | 200`000 | 46.6321 | 24500 | 25000 | 25000 |
Ընդ. | 800`000 | 98000 | 100`000 | 98000 |
● - ՊԹԳ-ի միջոցով ընտրվել են 1-ին և 3-րդ աճուրդի մասնակիցների առաջարկությունները, որոնց մասնակիորեն բավարարված ծավալները պակասեցվել են 1000 դրամով` բավարարված ընդհանուր ծավալը V-ին համապատասխանեցնելու համար
գ) Ենթադրենք, V=385000AMD
N | Պահանջվող ծավալ | Եկամտաբե- րություն | Բավարարվող ծավալ | Բավարարված ծավալը` քայլի ճշտությամբ | Բավարարված ծավալը` պատահական թվերի գեներատորի կիրառմամբ |
A1 | 100`000 | 46.6321 | 96250 | 96000 | 96000 |
A2 | 100`000 | 46.6321 | 96250 | 96000 | 97000* |
A3 | 100`000 | 46.6321 | 96250 | 96000 | 96000 |
A4 | 100`000 | 46.6321 | 96250 | 96000 | 96000 |
Ընդ. | 400`000 | 385000 | 100`000 | 385000 |
● - ՊԹԳ-ի միջոցով ընտրվել է 2-րդ աճուրդի մասնակցի առաջարկությունը, որի մասնակիորեն բավարարված ծավալը ավելացվել է 1000 դրամով` բավարարված ընդհանուր ծավալը V-ին համապատասխանեցնելու համար:
Եթե պարտատոմսերի ծավալների դիմաց յուրաքանչյուր մասնակցի գծով վճարվող գումարների հաշվարկները տեխնիկական և/կամ համակարգչային այլ միջոցներով իրականացնելիս ստացված արդյունքները տարբերվում են համակարգի միջոցով հաշվարկված տվյալներից մինչև 1000 դրամով, ապա համակարգի կողմից հաշվարկները համարվում են ճիշտ:
ՀՀ պետական պարտատոմսերի առաջնային տեղաբաշխման, թերտեղաբաշխված պարտատոմսերի տեղաբաշխման, հետգնման կազմակերպման և մարման սպասարկման կարգի | |
Հավելված 10 |
ՀՀ կենտրոնական բանկ, արժեթղթերի հաշվառման և հաշվարկների էլեկտրոնային համակարգ R001
------------------------------------------------------------------------------------------------------------------
Հ Ա Շ Վ Ե Տ Վ ՈՒ Թ Յ ՈՒ Ն
Պարտատոմսերի (n-րդ) աճուրդի արդյունքների վերաբերյալ
Սույն բանկը տեղեկացվում է պարտատոմսերի տեղաբաշխման արդյունքների մասին
1. Թողարկման տեղաբաշխման աճուրդը կայացել է
Պարտատոմսերը կմարվեն
Աճուրդի մասնակիցների քանակը |
Ներկայացված ծավալները (դրամ) | |
Դիլեր | ||
Գործակալ | ||
Գանձապետական պահառու | ||
Ընդամենը |
2. Աճուրդի ընթացքում պարտատոմսերի ձեռքբերման բավարարված առաջարկությունների ընդհանուր ծավալը կազմել է`
3. Թողարկողի կողմից սահմանվել է մրցակցային առաջարկությունների բավարարման առավելագույն եկամտաբերությունը`
4. Պարտատոմսերի տեղաբաշխումից ստացված հասույթը կազմել է`
5. Պարտատոմսերի տեղաբաշխման աճուրդի ընթացքում մասնակիցների կողմից ձեռք բերված պարտատոմսերը կազմել են`
Աճուրդի մասնակցի անվանումը |
Ձեռք է բերվել մրցակցային |
Ձեռք է բերվել ոչ մրցակցային | ||
|
Ծավալը (դրամ) |
Վճարված գումարը |
Ծավալը (դրամ) |
Վճարված գումարը |
|
|
|
|
6. Հասույթը հաշվեգրվել է ՀՀ ֆինանսների և էկոնոմիկայի նախարարության
հաշվին ___ _____________ 200 թ.
ՀՀ կենտրոնական բանկի կողմից _____________ ______________ (ստորագրություն) (Ա.Հ.Ա.)
Հաշվետվությունն ընդունվել է ___ _____________ 200 թ.
ՀՀ ֆինանսների և էկոնոմիկայի նախարարության կողմից _____________ ____________ (ստորագրություն) (Ա.Հ.Ա.) |
ՀՀ պետական պարտատոմսերի առաջնային տեղաբաշխման, թերտեղաբաշխված պարտատոմսերի տեղաբաշխման, հետգնման կազմակերպման և մարման սպասարկման կարգի | |
Հավելված 11 |
ՀՀ կենտրոնական բանկ, արժեթղթերի հաշվառման և հաշվարկների էլեկտրոնային համակարգ R003
----------------------------------------------------------------------------------------------------------------
Հ Ա Շ Վ Ե Տ Վ ՈՒ Թ Յ ՈՒ Ն
արժեթղթերի առաջնային տեղաբաշխման (n-րդ) օր/ամիս/տարի աճուրդի արդյունքների վերաբերյալ
Աճուրդի մասնակցի անվանումը | Արժեթղթերի ներկայացված ծավալը | Արժեթղթերի բավարարված ծավալը | Տարեկան եկամտաբ. | Կարգավ. |
Մրցակցային առաջարկություններ
Ընդամենը`
Ոչ մրցակցային առաջարկություններ
Ընդամենը`
NCM չբավարարված մրցակցային առաջարկություն
SCM բավարարված մրցակցային առաջարկություն
SCP մասնակիորեն բավարարված մրցակցային առաջարկություն
SNC բավարարված ոչ մրցակցային առաջարկություն
SNP մասնակիորեն բավարարված ոչ մրցակցային առաջարկություն
-----------------------------------------------------------------------------------------------------------
Կազմվել է օր/ամիս/տարի ժամ:րոպե:վայրկյան
ՀՀ պետական պարտատոմսերի առաջնային տեղաբաշխման, թերտեղաբաշխված պարտատոմսերի տեղաբաշխման, հետգնման կազմակերպման և մարման սպասարկման կարգի | |
Հավելված 12 |
ՀՀ կենտրոնական բանկ, արժեթղթերի հաշվառման և հաշվարկների էլեկտրոնային համակարգ R004
-------------------------------------------------------------------------------------------------------------------
Հ Ա Շ Վ Ե Տ Վ ՈՒ Թ Յ ՈՒ Ն
օր/ամիս/տարի մինչԵՎ օր/ամիս/տարի ժամանակահատվածում արժեթղթերի առաջնային տեղաբաշխման արդյունքների վերաբերյալ
Արժեթղթերի պետական գրանցման համարը. | |||
Արժեթղթերի թողարկման ամսաթիվը. | |||
Արժեթղթերի աճուրդի հերթական համարը և ամսաթիվը. | |||
Արժեթղթերի տեղաբաշխման ենթակա ծավալը. | |||
Արժեթղթերի պահանջարկի ծավալը. | դրամ | ||
%-ով տեղաբաշխված ծավալի նկատմամբ | |||
Արժեթղթերի ձեռքբերման մրցակցային մրցակցային առաջարկությունների տարեկան եկամտաբերությունը (%) | min | ||
max | |||
սահմանային | |||
Արժեթղթերի տեղաբաշխումից ստացված գումարը (դրամ) | |||
Տեղաբաշխված արժեթղթերի ծավալը (դրամ) |
Գործակալների սեփական |
Մրցակցային | |
Ոչ մրցակցային | |||
Դիլերների սեփական |
Մրցակցային | ||
Ոչ մրցակցային | |||
Գործակալների ներդրողներ |
Մրցակցային | ||
Ոչ մրցակցային | |||
Դիլերների ներդրողներ |
Մրցակցային | ||
Ոչ մրցակցային | |||
Գանձապետական պահառու | |||
Ընդամենը | |||
Արժեթղթերի միջին կշռված տարեկան եկամտաբերությունը (%) |
------------------------------------------------------------------------------------------------------------
Կազմվել է օր/ամիս/տարի ժամ:րոպե:վայրկյան
ՀՀ պետական պարտատոմսերի առաջնային տեղաբաշխման, թերտեղաբաշխված պարտատոմսերի տեղաբաշխման, հետգնման կազմակերպման և մարման սպասարկման կարգի | |
Հավելված 13 |
N _______________________ Գործակալի/դիլերի ծածկագիրը |
___ ____________ 200 թ. |
Հ Ա Յ Տ N_ _
(օր/ամիս/տարի) թողարկման պարտատոմսերի ձեռքբերման
------------------------------------------, որպես գործակալ/դիլեր պատրաստակամություն է հայտնում
(Գործակալի/Դիլերի անվանումը)
առաջնային տեղաբաշխման աճուրդի ժամանակ իր հաշվին (ներդրողների հաշվին) գնել ______ օր
մարման ժամկետով, հետևյալ գներով պարտատոմսեր.
ՄՐՑԱԿՑԱՅԻՆ | |||
N |
Պարտատոմսերի ծավալը |
Պարտատոմսերի գնման գինը |
Տարեկան եկամտաբերությունը (%) |
1 |
|
|
|
2 |
|
|
|
3 |
|
|
|
4 |
|
|
|
5 |
|
|
|
Ընդ. |
|
|
|
ՈՉ ՄՐՑԱԿՑԱՅԻՆ | |||
1. |
|
միջին կշռված |
--- |
_____________________ |
______________________ |
|
Կ.Տ. |
ՀՀ պետական պարտատոմսերի առաջնային տեղաբաշխման, թերտեղաբաշխված պարտատոմսերի տեղաբաշխման, հետգնման կազմակերպման և մարման սպասարկման կարգի | |
Հավելված 14 N _________200 թ. |
ՀԱՅԱՍՏԱՆԻ ՀԱՆՐԱՊԵՏՈՒԹՅԱՆ ԿԵՆՏՐՈՆԱԿԱՆ ԲԱՆԿԻՆ
Հ Ա Ն Ձ Ն Ա Ր Ա Ր Ա Գ Ի Ր
Հայաստանի Հանրապետության ֆինանսների և էկոնոմիկայի նախարարությունը հանձնարարում է _______ 200 թ. ժամը ____ իրականացնել ____ թողարկման à » ñÇ տեղաբաշխված պարտատոմսերի տեղաբաշխման աճուրդ ____ դրամ ծավալով:
Աճուրդին կարող են մասնակցել միայն Հայաստանի Հանրապետության ֆինանսների և էկոնոմիկայի նախարարության պետական պարտքի կառավարման գործակալները, որը տեղի կունենա թողարկման տեղաբաշխման համար սահմանված պայմաններին համապատասխան (առանց գանձապետական պահառուին և դիլերներին վերաբերող կետերի): Աճուրդին կարող են ներկայացվել միայն մրցակցային առաջարկություններ:
ՀՀ ֆինանսների և էկոնոմիկայի նախարարի տեղակալ-գլխավոր գանձապետ` |
ՀՀ պետական պարտատոմսերի առաջնային տեղաբաշխման, թերտեղաբաշխված պարտատոմսերի տեղաբաշխման, հետգնման կազմակերպման և մարման սպասարկման կարգի | |
Հավելված 15 N _________200 թ. |
ՀԱՅԱՍՏԱՆԻ ՀԱՆՐԱՊԵՏՈՒԹՅԱՆ ԿԵՆՏՐՈՆԱԿԱՆ ԲԱՆԿԻՆ
Հ Ա Ն Ձ Ն Ա Ր Ա Ր Ա Գ Ի Ր
ՀՀ ֆինանսների և էկոնոմիկայի նախարարությունը հանձնարարում է __ ____ 200 թ. ժամը ____ կազմակերպել ____ թողարկման պարտատոմսերի հետգնում _____տարեկան եկամտաբերությամբ: Հետգնմանը կարող են մասնակցել միայն Հայաստանի Հանրապետության ֆինանսների և էկոնոմիկայի նախարարության ներքին պետական պարտքի կառավարման գործակալները:
Պարտատոմսերի հետգնման համար նախատեսվող միջոցները հետգնմանը նախորդող օրը` __ ____ 200 թ., կուտակված կլինեն միասնական գանձապետական հաշվին:
ՀՀ ֆինանսների և էկոնոմիկայի նախարարի տեղակալ-գլխավոր գանձապետ` |
Հավելված 2 |
Կ Ա Ր Գ
ՀԱՅԱՍՏԱՆԻ ՀԱՆՐԱՊԵՏՈՒԹՅԱՆ ՊԵՏԱԿԱՆ ՊԱՐՏԱՏՈՄՍԵՐԻ ՊԱՀԱՌՈՒԹՅԱՆ ԳՈՐԾՈՒՆԵՈՒԹՅԱՆ ՄԱՍԻՆ
Գ Լ ՈՒ Խ 1
ԸՆԴՀԱՆՈՒՐ ԴՐՈՒՅԹՆԵՐ
1. Հայաստանի Հանրապետության պետական պարտատոմսերի պահառության գործունեության մասին կարգը (այսուհետ` կարգ) սահմանում է պետական պարտատոմսերի պահառության գործունեության պայմանները, պահանջները, պահառության հաշվառման ընդհանուր կանոնները:
2. Սույն կարգը տարածվում է բոլոր այն կազմակերպությունների վրա, որոնք, համաձայն Հայաստանի Հանրապետության գործող օրենսդրության, իրավասու են իրականացնել պետական պարտատոմսերի պահառության գործունեություն:
3. Սույն կարգի իմաստով` Հայաստանի Հանրապետության պետական պարտատոմսեր (այսուհետ` պարտատոմսեր) են համարվում այն պարտատոմսերը, որոնք թողարկվել են Հայաստանի Հանրապետության ֆինանսների և էկոնոմիկայի նախարարության կողմից` համաձայն Հայաստանի Հանրապետության Կառավարության հաստատած «Հայաստանի Հանրապետության պետական (գանձապետական) կարճաժամկետ պարտատոմսերի տեղաբաշխման, շրջանառության և մարման սպասարկման» և «Հայաստանի Հանրապետության պետական (գանձապետական) միջին ժամկետայնության մասնակի մարումներով արժեկտրոնային պարտատոմսերի տեղաբաշխման, շրջանառության և մարման սպասարկման» կարգերի, ինչպես նաև հետագայում թողարկվող և շրջանառվող պետական այլ արժեթղթերը, եթե տվյալ արժեթղթերի շրջանառությունը կանոնակարգող իրավական ակտերով սահմանված կլինի, որ տվյալ արժեթղթերի պահառությունը պետք է իրականացվի սույն կարգի համաձայն:
4. Սույն կարգում կիրառվող հիմնական հասկացություններն են`
ա) Բանկ` Հայաստանի Հանրապետության կենտրոնական բանկ:
բ) Թողարկող` Հայաստանի Հանրապետության ֆինանսների և էկոնոմիկայի նախարարություն:
գ) Գործակալ` յուրաքանչյուր իրավաբանական անձ, որը, համաձայն թողարկողի և բանկի հետ կնքված պայմանագրի, պարտատոմսերի շուկայում ունի գործակալի կարգավիճակ:
դ) Դիլեր` յուրաքանչյուր իրավաբանական անձ, որը, համաձայն թողարկողի և բանկի հետ կնքված պայմանագրի, պարտատոմսերի շուկայում ունի դիլերի կարգավիճակ:
ե) Գանձապետական պահառու` Հայաստանի Հանրապետության Կառավարության լիազոր մարմնի կողմից պարտատոմսերի անմիջական վաճառքի, ներդրողներին պատկանող պարտատոմսերի հաշվառման և սպասարկման համակարգ:
զ) Ներդրող` պարտատոմսերի սեփականատեր հանդիսացող ֆիզիկական կամ իրավաբանական անձ:
5. Պարտատոմսերի պահառության գործունեությունը պարտատոմսերի նկատմամբ և պարտատոմսերից բխող իրավունքների հաշվառման և փոխանցման գործունեությունն է: Պահառության գործունեությունը ներառում է նաև սույն կարգով և պահառության պայմանագրով սահմանված այն ծառայությունները, որոնք նպաստում են պարտատոմսերով սահմանված իրավունքների իրականացմանը, այդ թվում` զեղչատոկոսի, արժեկտրոնային եկամտի, տոկոսների, մարվող պարտատոմսերի գումարների ստացմանը:
6. Պարտատոմսերով հավաստված իրավունքների պաշտոնական ամրագրումը, ինչպես նաև այդ իրավունքների փոխանցումը, վերապահումը և սահմանափակումն իրականացվում են երկմակարդականի պահառուական համակարգով` պահառուի և ենթապահառուների մոտ վարվող դեպո հաշիվների վրա պարտատոմսերի վերաբերյալ համապատասխան գրառումներ կատարելու միջոցով:
7. Պահառուի գործառույթները կատարում է բանկը, իսկ ենթապահառուների գործառույթները` գործակալները, դիլերները և գանձապետական պահառուն: Պահառուի և ենթապահառուների մոտ վարվող գրառումները հավաստում են պարտատոմսերի նկատմամբ և (կամ) պարտատոմսերից բխող անձանց իրավունքները, եթե դատական կարգով այլ բան չի ապացուցվում:
8. Պահառուի հաճախորդ են`
ա) ենթապահառուները,
բ) թողարկողը,
գ) գործակալ (դիլեր) չհանդիսացող առևտրային բանկերը, որոնց սեփականության իրավունքով պատկանում են պարտատոմսերը,
դ) բանկի խորհրդի որոշմամբ` այլ անձինք:
9. Ենթապահառուի հաճախորդներ են պարտատոմսերի սեփականատեր հանդիսացող ներդրողները: Ենթապահառուի հաճախորդ կարող է հանդիսանալ նաև պարտատոմսերի գրավառուն:
10. Ենթապահառուի հաճախորդ կարող է հանդիսանալ նաև «Արժեթղթերի շուկայի մասին» Հայաստանի Հանրապետության օրենքի համաձայն արժեթղթերի շուկայում մասնագիտացված դիլերային, բրոքերային, հավատարմագրային գործունեությամբ զբաղվող անձը: Դիլերային, բրոքերային, հավատարմագրային գործունեությամբ զբաղվող անձինք չեն իրականացնում պարտատոմսերով հավաստված իրավունքների պաշտոնական ամրագրումը և չեն կարող հավաստել այդ իրավունքները:
Գ Լ ՈՒ Խ 2
ՊԱՀԱՌՈՒԹՅԱՆ ԳՈՐԾՈՒՆԵՈՒԹՅԱՆ ԻՐԱԿԱՆԱՑՄԱՆ ՊԱՅՄԱՆՆԵՐԸ
11. Պահառության գործունեություն կարող են իրականացնել միայն սույն կարգի 7-րդ կետում նշված անձինք:
12. Պահառության գործունեությունն իրականացվում է համաձայն սույն կարգի, ինչպես նաև հաճախորդի հետ կնքված պահառության պայմանագրի:
13. Ենթապահառուն պահառության ծառայություններ է մատուցում և հաճախորդի անունով դեպո հաշիվ բացում` հաճախորդի հետ կնքված պահառության պայմանագրի հիման վրա: Պահառության պայմանագիրը կնքվում է Հայաստանի Հանրապետության օրենսդրությամբ սահմանված փաստաթղթերը (իսկ այդպիսիք սահմանված չլինելու դեպքում` ենթապահառուի կողմից սահմանված փաստաթղթերը) հաճախորդի կողմից ենթապահառուին ներկայացնելուց հետո: Պահառության պայմանագիրը պետք է կնքվի գրավոր:
14. Առանց պահառության պայմանագրի առկայության, հաճախորդի անունով կարող է բացվել դեպո հաշիվ միայն ենթապահառուի գործունեության դադարեցման հետևանքով վերջինիս հաճախորդների պարտատոմսերն այլ ենթապահառուի մոտ փոխանցելու կամ հաճախորդի դեպո հաշիվը հայտնի չլինելու պարագայում` նրա սեփականությանը պարտատոմսերը փոխանցելու դեպքում: Սակայն այդ հաշիվներով գործառնություններ կարող են կատարվել միայն հաճախորդի հետ պահառության պայմանագիրը կնքելուց հետո:
15. Պահառության պայմանագիրը պետք է պարտադիր պարունակի հետևյալ դրույթները`
ա) պարտատոմսերով գործառնությունների կատարման համար հաճախորդի կողմից ենթապահառուին կարգադրությունների ներկայացման կարգը,
բ) ենթապահառուի կողմից կարգադրությունների կատարման ժամկետները,
գ) հաճախորդին տրամադրվող փաստաթղթերի ցանկը և տրամադրման կարգը,
դ) սույն կարգով սահմանված ենթապահառուի իրավասությունները, պարտավորությունները և պատասխանատվությունը,
ե) հաճախորդի իրավասությունները և պարտավորությունները,
զ) պայմանագրի գործողության ժամկետը, փոփոխման և դադարեցման կարգը,
է) հղում սույն կարգի 17-րդ կետի համաձայն ենթապահառուի կողմից սահմանված պահառության գործունեության հիմնական պայմաններին: Բացի սույն կետում նշված դրույթներից, պահառության պայմանագիրը կարող է պարունակել նաև այլ դրույթներ:
16. Պահառության պայմանագրի կնքումը և դեպո հաշվի բացումը չի պահանջում պարտատոմսերի անմիջապես մուտքագրում դեպո հաշվի վրա:
17. Ենթապահառուն մշակում է պարտատոմսերի պահառության գործունեության հիմնական պայմանները, որոնք պետք է ներառեն հետևյալ դրույթները`
ա) ենթապահառուի կողմից պարտատոմսերով կատարվող գործառնությունների տեսակները (առաջնային աճուրդներին մասնակցությունը, պարտատոմսերի մարումների իրականացումը, զեղչատոկոսի, տոկոսային, արժեկտրոնային եկամտի վճարումը, պարտատոմսերի մարումը, պարտատոմսերի առք ու վաճառքը, գրավադրումը և այլն),
բ) գործառնությունների հետ կապված դրամական հաշվարկների իրականացման կարգը,
գ) գործառնությունների կատարման ժամանակ հաճախորդների և ենթապահառուի աշխատակիցների կողմից իրականացվող գործողությունների հերթականությունը,
դ) գործառնությունների իրականացման հիմք հանդիսացող փաստաթղթերը,
ե) ենթապահառուի հաճախորդների կողմից լրացվող, ինչպես նաև վերջիններիս տրամադրվող փաստաթղթերի նմուշները,
զ) գործառնությունների կատարման առավելագույն ժամկետները,
է) հաճախորդին մատուցվող պահառության ծառայության համար սահմանված սակագները և դրույքաչափերը,
ը) հաճախորդների դեպո հաշվից քաղվածքների, կատարված գործառնությունների վերաբերյալ հաճախորդներին հաշվետվությունների (տեղեկանքների), ինչպես նաև պարտատոմսերով սահմանված իրավունքները հավաստող փաստաթղթերի տրամադրման կարգը և ժամկետները,
թ) ենթապահառուի կողմից պահառության գործունեության դադարեցման դեպքում հաճախորդներին տեղեկացման և նրանց պատկանող պարտատոմսերով սահմանված իրավունքների` այլ ենթապահառուի մոտ հաշվառման վերցնելու (փոխանցելու) կարգը:
18. Պարտատոմսերի պահառության գործունեության հիմնական պայմանները կրում են հրապարակային բնույթ և պետք է հասանելի լինեն շահագրգիռ անձանց:
19. Պարտատոմսերի պահառության գործունեության հիմնական պայմանները ենթապահառուի և հաճախորդի միջև կնքվող պահառության պայմանագրի անբաժան մասն են: Ենթապահառուն տեղեկացնում է հաճախորդներին հիմնական պայմաններում կատարված փոփոխությունների մասին` վերջիններիս ուժի մեջ մտնելուց առաջ, ոչ ուշ, քան երկշաբաթյա ժամկետում:
20. Ենթապահառուն մշակում և հաստատում է նաև ներքին աշխատակարգ, որում սահմանվում են`
ա) ենթապահառուի ստորաբաժանումների և (կամ) աշխատակիցների կողմից դեպո հաշիվների բացման, վարման, փակման, ինչպես նաև դեպո հաշիվներով գործառնությունների իրականացման, փաստաթղթերի մշակման, տեղեկատվության տրամադրման ներքին կանոնները, դեպո հաշվառման կարգը,
բ) տվյալների անվտանգությունը, ամբողջականությունը և պահուստային պահպանումն ապահովող ընթացակարգերը, ինչպես նաև ներքին վերահսկման կանոնները և իրավասությունների տարանջատման ու տեղեկատվության գաղտնիության ապահովման ընթացակարգերը, որոնք պետք է բացառեն հաճախորդներին վերաբերող տեղեկատվության օգտագործումը ենթապահառուի ծառայողների կամ երրորդ անձանց կողմից` ի վնաս հաճախորդների շահերի,
գ) հաճախորդների դիմումների, բողոքների քննարկման ընթացակարգը,
դ) այլ դրույթներ` ենթապահառուի հայեցողությամբ:
Գ Լ ՈՒ Խ 3
ՊԱՀԱՌՈՒԹՅԱՆ ԳՈՐԾՈՒՆԵՈՒԹՅԱՆ ԻՐԱԿԱՆԱՑՄԱՆ ՊԱՀԱՆՋՆԵՐԸ
21. Պահառուն (ենթապահառուն) կարող է տնօրինել հաճախորդի պարտատոմսերը, ինչպես նաև իրականացնել այդ պարտատոմսերով սահմանված իրավունքները պահառության պայմանագրում նման իրավասություն սահմանված լինելու դեպքում, ինչպես նաև հաճախորդի կամ վերջինիս կողմից լիազորված անձի կողմից պահառության պայմանագրով սահմանված կարգով ներկայացված գրավոր (այդ թվում` նաև էլեկտրոնային) կարգադրության հիման վրա:
22. Ենթապահառուն իրավունք չունի որոշել և վերահսկել հաճախորդի կողմից իրեն պատկանող պարտատոմսերի օգտագործման ուղղությունները կամ սահմանել Հայաստանի Հանրապետության օրենսդրությամբ կամ պահառության պայմանագրով չնախատեսված այլ սահմանափակումներ` իր հաճախորդի պարտատոմսերը սեփական հայեցողությամբ տնօրինելու իրավունքների նկատմամբ:
23. Հաճախորդների պարտատոմսերի վրա չի կարող բռնագանձում տարածվել ենթապահառուի պարտավորությունների դիմաց: Ենթապահառուի սնանկության դեպքում հաճախորդներին պատկանող պարտատոմսերը չեն կարող ներառվել մրցութային զանգվածի մեջ: Ենթապահառուի սեփական պարտատոմսերի վրա չի կարող բռնագանձում տարածվել հաճախորդի պարտավորությունների դիմաց: Հաճախորդի սնանկության դեպքում ենթապահառուի սեփական պարտատոմսերը չեն կարող ներառվել մրցութային զանգվածի մեջ:
24. Ենթապահառուն իրավունք չունի օգտագործել իր հաճախորդների պարտատոմսերը` իր սեփական պարտավորությունները մարելու համար, ինչպես նաև օգտագործել վերջիններս որպես իր սեփական, իր` այլ հաճախորդների կամ երրորդ անձանց նկատմամբ ունեցած պարտավորությունների ապահովման միջոց:
25. Ենթապահառուի մոտ առանձին դեպո հաշիվներում հաշվառման են ենթակա ենթապահառուին սեփականության իրավունքով պատկանող պարտատոմսերը և վերջինիս հաճախորդներին պատկանող պարտատոմսերը:
26. Պահառուի մոտ պարտադիր հաշվառման են ենթակա ենթապահառուին սեփականության իրավունքով պատկանող բոլոր պարտատոմսերը: Պահառուի մոտ առանձին ամփոփ ձևով հաշվառման են ենթակա ենթապահառուի հաճախորդներին պատկանող պարտատոմսերը: Պահառուի և ենթապահառուի մոտ հաշվառված տվյալները ամփոփ ձևով պետք է լիովին համապատասխանեն միմյանց:
27. Պահառուն (ենթապահառուն) իր յուրաքանչյուր հաճախորդի համար ապահովում է վերջինիս պատկանող պարտատոմսերի առանձնացված հաշվառում:
28. Առանձին դեպո հաշիվներով հաշվառման են ենթակա հաճախորդներին սեփականության իրավունքով պատկանող պարտատոմսերն այն պարտատոմսերից, որոնք պարտատոմսերի սեփականատեր չհանդիսացող անձը օգտագործում, տիրապետում կամ տնօրինում է օրենքով սահմանված իրավասության կամ պարտատոմսերի սեփականատիրոջ հետ կնքված հանձնարարության, գործակալության, կոմիսիայի, հավատարմագրային կառավարման պայմանագրի հիման վրա: Առանձին հաշվառման են ենթակա նաև իրավունքների սահմանափակումներով պարտատոմսերը: Պարտատոմսերի նկատմամբ սեփականության իրավունքից բացի, այլ գույքային իրավունքներ ունեցող անձանց իրավունքները ենթակա են առանձին հաշվառման:
29. Ենթապահառուի մոտ պարտատոմսերով կատարվող ցանկացած գործառնություն, բացառությամբ պարտատոմսերի շրջանառությունը կարգավորող իրավական ակտերով սահմանված դեպքերի, պետք է արտացոլվի պահառուի համակարգում: Սույն դրույթն ապահովելու համար ենթապահառուն պարտատոմսերով համապատասխան գործառնություն նախաձեռնելիս պետք է այն ներկայացնի կատարման պահառուին և նրանից ստանա գործառնության կատարման հաստատումը:
30. Պարտատոմսերով սահմանված, ինչպես նաև պարտատոմսերով գործարքների հետ կապված իրավունքներն ու պարտականությունները ծագում են, իսկ այդ իրավունքների փոխանցումը, վերապահումը և սահմանափակումը իրականացվում է պահառուի (ենթապահառուի) մոտ վարվող դեպո հաշիվների վրա համապատասխան գրառում անելուց հետո: Դեպո հաշվի վրա համապատասխան իրավունքը հավաստող գրառման բացակայության դեպքում շահագրգիռ անձը կարող է ապացուցել իր իրավունքները` ներկայացնելով այդ իրավունքները հավաստող այլ գրավոր ապացույցներ:
31. Ենթապահառուի համար իր մոտ համապատասխան դեպո հաշվին գրառում կատարելու համար հիմք է հանդիսանում պահառուից համաձայնեցված եղանակով և ձևով ստացված գործառնության կատարման հաստատումը, որը հավաստում է, որ պահառուի դեպո հաշվառման համակարգում կատարվել է համապատասխան գրառում` պարտատոմսերով հավաստված իրավունքների ամրագրման, փոխանցման, դադարեցման, վերապահման կամ սահմանափակման վերաբերյալ: Սույն դրույթը չի վերաբերում պարտատոմսերի շրջանառությունը կարգավորող իրավական ակտերով սահմանված այն դեպքերին, երբ ենթապահառուի մոտ կատարվող գործառնությունները ենթակա չեն արտացոլման պահառուի համակարգում:
32. Պահառուն (ենթապահառուն) իր հաճախորդի պարտատոմսերով գործառնություններ կարող է իրականացնել միայն պարտատոմսերի շրջանառությունը կարգավորող իրավական ակտերով (այսուհետ` իրավական ակտեր) սահմանված գրավոր, այդ թվում` նաև էլեկտրոնային կարգադրությունների հիման վրա: Որպես կարգադրություն կարող են հանդիսանալ հետևյալ փաստաթղթերը`
ա) հաճախորդի կամ նրա լիազորած անձի կողմից սահմանված ձևով լրացված և ներկայացված դեպո հանձնարարականները,
բ) պարտատոմսերի նկատմամբ իրավունքներ ունեցող անձանց կողմից սահմանված ձևով լրացված և ներկայացված դեպո հանձնարարականները, ինչպես նաև իրավական ակտերով սահմանված դեպքերում` այդ իրավունքները հավաստող այլ փաստաթղթերը,
գ) դատական վճռի հիման վրա պարտատոմսերի նկատմամբ իրավունքների սահմանափակման, փոխանցման, դադարեցման գործառնությունների կատարման դեպքում` Հայաստանի Հանրապետության օրենսդրությամբ սահմանված դատական ակտերը, հարկադիր կատարողի որոշումները:
33. Առանց կարգադրության առկայության, պահառուի (ենթապահառուի) կողմից կարող են նախաձեռնվել պարտատոմսերով գործառնություններ միայն իրավական ակտերով սահմանված դեպքերում: Տվյալ դեպքում պարտատոմսերով գործառնությունը կատարվում է պահառուի (ենթապահառուի) պաշտոնատար անձի կողմից կազմված ներքին փաստաթղթի հիման վրա:
34. Պահառուն (ենթապահառուն) իր հաճախորդի պահանջով նրան է տրամադրում նրան պատկանող պարտատոմսերի վերաբերյալ տեղեկանք: Ենթապահառուի կողմից ներդրողին տրամադրվող տեղեկանքը ներդրողի պարտատոմսերով սահմանված սեփականության իրավունքը հավաստող փաստաթուղթ է: Ենթապահառուն ներդրողի պարտատոմսերի նկատմամբ սեփականության իրավունքից բացի այլ իրավունքների առկայության դեպքում այդ իրավունքների իրավատերերին տրամադրում է իրենց իրավունքները հավաստող փաստաթղթեր:
35. Հաճախորդի հետ կնքված պահառության պայմանագրի դադարեցման կամ ենթապահառության գործունեության դադարման դեպքում ենթապահառուն հաճախորդի պարտատոմսերը փոխանցում է այլ ենթապահառուի մոտ հաշվառման` տրամադրելով սպառիչ տեղեկատվություն տվյալ պարտատոմսերի նկատմամբ իր մոտ գրանցված ցանկացած իրավունքների և սահմանափակումների վերաբերյալ:
36. Պահառուն և ենթապահառուները պահառության գործունեություն են իրականացնում Հայաստանի Հանրապետության օրենքների, սույն կարգի և հաճախորդների հետ կնքված պայմանագրերի համաձայն և պատասխանատվություն են կրում իրենց մոտ վարվող պարտատոմսերի դեպո հաշիվների գրառումների պահպանման, դրանց գաղտնիության ապահովման, այդ գրառումների մասին ճշգրիտ տվյալների ներկայացման, սույն կարգով սահմանված պահառության գործունեության իրականացման պայմանների, պահանջների և դեպո հաշվառման կարգի խախտման համար: Սույն կարգի պահանջները խախտելու դեպքում ենթապահառուի նկատմամբ կարող են կիրառվել թողարկողի և պահառուի հետ կնքված եռակողմ պայմանագրով սահմանված պատասխանատվության միջոցներ:
Գ Լ ՈՒ Խ 4
ԴԵՊՈ ՀԱՇՎԱՌՄԱՆ ՀԱՄԱԿԱՐԳԸ
37. Պարտատոմսերով հավաստված և պարտատոմսերից բխող սեփականության և այլ գույքային իրավունքները հաշվառելու, այդ իրավունքներն ամրագրելու, փոխանցելու, դադարեցնելու և այլ գործառնությունները գրանցելու համար պահառուն (ենթապահառուն) պետք է ունենա դեպո հաշվառման համակարգ: Դեպո հաշվառման համակարգը կարող է վարվել էլեկտրոնային կամ թղթային եղանակով:
38. Դեպո հաշվառման համակարգի տարրեր են`
ա) պարտատոմսերով գործառնությունների հիմք հանդիսացող փաստաթղթերը և (կամ) կարգադրությունները,
բ) դեպո հաշվառման քարտերը, որոնք նախատեսված են դեպո հաշիվների և դեպո հաշվառման այլ տարրերի ընթացիկ վիճակը և այդ տարրերը բնութագրող այլ տեղեկատվությունն արտացոլելու համար,
գ) դեպո հաշվառման մատյանները, որոնք պարունակում են հաջորդական գրառումներ և նախատեսված են պարտատոմսերով գործառնությունների կատարումը և դեպո հաշվառման տարրերում փոփոխությունները գրանցելու համար,
դ) քաղվածքները, հաշվետվությունները, հաստատումները և (կամ) մերժումները, որոնք պարունակում են կարգադրությունների կատարման արդյունքների, դեպո հաշիվների, դեպո հաշվառման քարտերի և մատյանների վիճակի վերաբերյալ տեղեկատվություն:
39. Դեպո հաշվառումը կատարվում է պարտատոմսերի անվանական արժեքով:
40. Դեպո հաշվառումն ապահովելու համար պահառուն (ենթապահառուն) վարում է դեպո հաշիվներ, դեպո հաշվառման քարտեր, մատյաններ և պահում դեպո հաշվառմանն առնչվող` իր ներքին կարգերով սահմանված այլ փաստաթղթեր:
41. Պահառուն (ենթապահառուն) վարում է հետևյալ տեսակի դեպո հաշվառման քարտեր`
ա) պարտատոմսերի թողարկումների քարտ,
բ) հաճախորդների քարտ,
գ) դեպո հաշվի քարտ,
դ) սեփականության իրավունքից բացի, պարտատոմսերի նկատմամբ այլ գույքային իրավունքների հաշվառման քարտ:
42. Պահառուն (ենթապահառուն) վարում է հետևյալ տեսակի դեպո հաշվառման մատյաններ`
ա) ընդունված կարգադրությունների մատյան.
բ) գործառնությունների մատյան.
գ) ուղարկված քաղվածքների և հաշվետվությունների մատյան, որում գրանցվում են պահառուի (ենթապահառուի) կողմից ուղարկված բոլոր հաշվետվությունները, հաստատումները, քաղվածքները:
43. Պահառուի (ենթապահառուի) կողմից ընդունված բոլոր կարգադրությունները պետք է արտացոլվեն կարգադրությունների մատյանում:
44. Պահառուի (ենթապահառուի) կողմից կատարված և (կամ) կատարման ընթացքում գտնվող բոլոր գործառնությունների մասին տեղեկատվությունը պետք է արտացոլվի գործառնությունների մատյանում:
45. Դեպո հաշվառման համակարգում ցանկացած գործառնության կատարումից հետո տվյալ գործառնության կատարման ընթացակարգում նշված բոլոր անձանց պետք է տրամադրվի գործառնության կատարման հաշվետվություն և (կամ) հաստատում:
46. Գործառնության կատարման հաշվետվությունը և (կամ) հաստատումը պահառուի (ենթապահառուի) կողմից տրամադրված պաշտոնական փաստաթուղթ է, որը հիմք է հանդիսանում ստացողի համար իր հաշվառման համակարգում համապատասխան գրառումներ և հաշվապահական ձևակերպումներ կատարելու համար:
47. Բոլոր տրամադրված հաշվետվությունների և (կամ) հաստատումների մասին տեղեկատվությունը պետք է գրանցվի հաշվետվությունների մատյանում:
48. Պահառուն (ենթապահառուն) սույն կարգով և այլ իրավական ակտերով սահմանված պահառության գործունեության պայմանները և պահանջները բավարարելու համար կարող է իր դեպո հաշվառման համակարգում ներառել նաև այլ տարրեր:
Հավելված 3 |
Կ Ա Ր Գ
ՀԱՅԱՍՏԱՆԻ ՀԱՆՐԱՊԵՏՈՒԹՅԱՆ ՊԵՏԱԿԱՆ ՊԱՐՏԱՏՈՄՍԵՐԻ ԳՐԱՎԻ ՀԵՏ ԿԱՊՎԱԾ ԳՈՐԾԱՌՆՈՒԹՅՈՒՆՆԵՐԻ ԻՐԱԿԱՆԱՑՄԱՆ ՄԱՍԻՆ
Գ Լ ՈՒ Խ 1
ԸՆԴՀԱՆՈՒՐ ԴՐՈՒՅԹՆԵՐ
1. Հայաստանի Հանրապետության պետական պարտատոմսերի գրավի հետ կապված գործառնությունների մասին կարգը (այսուհետ` կարգ) սահմանում է Հայաստանի Հանրապետության տարածքում Հայաստանի Հանրապետության պետական պարտատոմսերի (այսուհետև` պարտատոմսեր) գրավադրման և պարտատոմսերի նկատմամբ գրավի դադարման, ինչպես նաև գրավով ծանրաբեռնված պարտատոմսերի շրջանառության և մարման ընթացակարգերը:
2. Սույն կարգը տարածվում է բոլոր այն պարտատոմսերի վրա, որոնք թողարկվել են Հայաստանի Հանրապետության ֆինանսների և էկոնոմիկայի նախարարության կողմից` համաձայն Հայաստանի Հանրապետության կառավարության 2004 թվականի հունիսի 3-ի թիվ 1103-Ն որոշման, ինչպես նաև հետագայում թողարկվող և շրջանառվող պետական այլ արժեթղթերի վրա, եթե տվյալ արժեթղթերի շրջանառությունը կանոնակարգող իրավական ակտերով սահմանված կլինի, որ սույն կարգը տարածվում է տվյալ արժեթղթերի վրա:
3. Սույն կարգում կիրառվող հիմնական հասկացություններն են`
ա) Բանկ` Հայաստանի Հանրապետության կենտրոնական բանկ:
բ) Թողարկող` Հայաստանի Հանրապետության ֆինանսների և էկոնոմիկայի նախարարություն:
գ) Պահառու` թողարկողի առջև պարտատոմսերի տեղաբաշխման, շրջանառության և մարման սպասարկման պարտավորությունները կրող և պարտատոմսերի թողարկման գլոբալ հավաստագիրը պահող ու հաշվառող, պահառուական գործունեություն իրականացնող ենթակառուցվածք: Պահառուի գործառույթներն իրականացնում է բանկը:
դ) Ենթապահառու` պահառության գործունեություն իրականացնող ենթակառուցվածք, որում ըստ առանձին ներդրողների` հաշվառվում են վերջիններիս սեփականության իրավունքով պատկանող պարտատոմսերը: Սույն կարգի իմաստով` ենթապահառու են գործակալները և դիլերները: Սույն կարգի իմաստով` Գանձապետական պահառուն չի հանդիսանում ենթապահառու: Գանձապետական պահառուի ներդրողներն իրենց պարտատոմսերը գրավադրելու համար պետք է դրանք նախօրոք պահատվության փոխանցեն գործակալ (դիլեր) հանդիսացող ենթապահառուի մոտ:
ե) Գործակալ` յուրաքանչյուր իրավաբանական անձ, որը, համաձայն թողարկողի և բանկի հետ կնքված պայմանագրի, պարտատոմսերի շուկայում ունի գործակալի կարգավիճակ:
զ) Դիլեր` յուրաքանչյուր իրավաբանական անձ, որը, համաձայն թողարկողի և բանկի հետ կնքված պայմանագրի, պարտատոմսերի շուկայում ունի դիլերի կարգավիճակ:
է) Գանձապետական պահառու` Հայաստանի Հանրապետության Կառավարության լիազոր մարմնի կողմից պարտատոմսերի անմիջական վաճառքի, ներդրողներին պատկանող պարտատոմսերի հաշվառման և սպասարկման համակարգ:
ը) Ներդրող` պարտատոմսերի սեփականատեր հանդիսացող ֆիզիկական կամ իրավաբանական անձ, որի պարտատոմսերը հաշվառվում են ենթապահառուի մոտ:
թ) Առևտրային բանկ` Հայաստանի Հանրապետությունում գործող առևտրային բանկ, որը չի հանդիսանում պարտատոմսերի գործակալ (դիլեր): Առևտրային բանկին սեփականության իրավունքով պատկանող պարտատոմսերը հաշվառվում են պահառուի մոտ:
ժ) Գործառնության նախաձեռնում` դեպո հանձնարարականի և (կամ) սույն կարգով սահմանված այլ փաստաթղթերի ներկայացում ենթապահառուին (պահառուին), որոնց հիման վրա սկսվում է տվյալ գործառնության իրականացումը:
ժա) Դեպո հանձնարարականի վավերության ստուգում` ենթապահառուի (պահառուի) կողմից իրեն ներկայացված դեպո հանձնարարականի ստուգում, որի ընթացքում ստուգվում է դեպո հանձնարարականի լրացման ճշտությունը և դեպո հանձնարարականի ներկայացումը համապատասխան լիազորություն ունեցող անձի կողմից:
ժբ) Համապատասխան հաշվապահական ձևակերպումներ` բանկի կողմից հաստատված «Պետական արժեթղթերի հաշվառման և հաշվարկների իրականացման համակարգում պարտատոմսերի հաշվապահական հաշվառման մասին կարգի» համաձայն տվյալ գործառնության համար սահմանված հաշվապահական ձևակերպումներ:
ժգ) Գրավի իրավունքի այլ գրառումներ` ենթապահառուի (պահառուի) դեպո հաշվառման համակարգում դեպո հաշիվներով հաշվապահական ձևակերպումներից բացի կատարվող գրառումներ, որոնք ապահովում են տվյալ գրավի գործառնության հետ կապված համապատասխան գրավառուի իրավունքի հաշվառումը:
4. Պարտատոմսերի գրավատու կարող է հանդիսանալ միայն դրանց սեփականատեր հանդիսացող ֆիզիկական կամ իրավաբանական անձը, այդ թվում` ներդրողը, առևտրային բանկը, ենթապահառու հանդիսացող գործակալը (դիլերը):
5. Պարտատոմսերի գրավառու կարող է լինել ցանկացած ֆիզիկական կամ իրավաբանական անձ` անկախ սեփականության իրավունքով իրեն պատկանող պարտատոմսերի առկայությունից: Եթե գրավառու հանդիսացող անձը չունի որևէ ենթապահառուի մոտ դեպո հաշիվ, ապա գրավի պայմանագիրը կնքելուց առաջ նա պարտավոր է գրավատուին սպասարկող ենթապահառուի կամ իր ցանկությամբ որևէ այլ ենթապահառուի մոտ բացել պարտատոմսերի դեպո հաշիվ, ինչը թույլ կտա հետագայում նույնականացնել գրավառուին և վերջինիս սպասարկող ենթապահառուին:
6. Գրավի առարկա կարող են հանդիսանալ միայն այն պարտատոմսերը, որոնց նկատմամբ գրավատուի իրավունքները սահմանափակված չեն (ազատ արժեթղթերի դեպո հաշվում առկա պարտատոմսերը), և որոնցով Հայաստանի Հանրապետության օրենսդրության համաձայն` կարող են կատարվել գրավադրման գործառնություններ:
7. Պարտատոմսերի գրավադրումը կարող է իրականացվել միայն Հայաստանի Հանրապետության օրենսդրության համաձայն գրավատուի և գրավառուի միջև գրավոր պայմանագիր կնքելու և սույն կարգով սահմանված ձևով պարտատոմսերի նկատմամբ գրավի իրավունքը գրանցելու միջոցով: Պարտատոմսերի գրավի հետ կապված գործառնությունները կարող են կատարվել միայն պարտատոմսերի նկատմամբ սեփականության իրավունքը ամրագրող ենթապահառուի (պահառուի) միջոցով: Պարտատոմսերի նկատմամբ գրավի իրավունքը ծագում է ենթապահառուի (պահառուի) կողմից այն գրանցվելու պահից:
8. Պարտատոմսերի նկատմամբ գրավի իրավունքի գրանցումը և գրավի հետ կապված բոլոր գործառնությունների կատարումը ապահովվում են երկմակարդականի պահառուական համակարգով` պահառուի և ենթապահառուի կողմից ստորև նշված կանոնների համաձայն դեպո հաշիվներում համապատասխան գրառումներ կատարելով և գրավի իրավունքը հաշվառելով.
ա) գրավատուին անմիջապես սպասարկող պահառուն (ենթապահառուն) գրավադրված պարտատոմսերի հաշվառումը իրականացնում է ըստ առանձին գրավատուների` վերջիններիս «գրավով սահմանափակված» դեպո հաշվով, իսկ պահառուն ենթապահառուների գրավատու հանդիսացող ներդրողների գրավադրված պարտատոմսերի հաշվառումը իրականացնում է ամփոփ ձևով` իր մոտ վարվող «գրավով սահմանափակված» ներդրողների ամփոփ դեպո հաշվով.
բ) գրավատուին (գրավառուին) անմիջապես սպասարկող ենթապահառուն գրավի իրավունքների հաշվառումը վարում է ըստ առանձին գրավատուների, գրավառուների և գրավի առարկա հանդիսացող պարտատոմսերի թողարկման համարների, իսկ պահառուն ենթապահառուների ներդրողների գրավի իրավունքների հաշվառումը իրականացնում է ամփոփ ձևով` ըստ գրավատուների և գրավառուների ենթապահառուների և պարտատոմսերի առանձին թողարկման համարների.
գ) ենթապահառուն համապատասխան գործառնության ձևակերպումը (գրավի իրավունքի գրառումը) կատարում է պահառուից ստացված գործառնության կատարումը հաստատող փաստաթղթի հիման վրա.
դ) պարտատոմսերի գրավադրման ժամանակ գրավառուի հանդեպ հիմնական պարտավորության պարտապանը և գրավատուն կարող են լինել տարբեր անձինք, կամ գրավատուն կարող է միաժամանակ լինել գրավառուի հանդեպ հիմնական պարտավորության պարտապանը: Պահառուական համակարգը չի իրականացնում երրորդ անձ հանդիսացող պարտապանի և հիմնական պարտավորության հաշվառումը:
9. Պարտատոմսերով կարող են իրականացվել գրավի հետ կապված հետևյալ գործառնությունները`
ա) Պարտատոմսերի գրավադրում, որի արդյունքում սահմանափակվում է պարտատոմսերն ազատ տնօրինելու գրավատուի իրավունքը, և գրավադրված պարտատոմսերի նկատմամբ ծագում է գրավառուի գրավի իրավունքը: Պարտատոմսերի գրավադրումը կարող է իրականացվել հանդիպակաց դրամական միջոցների փոխանցմամբ, երբ պարտատոմսերի գրավադրման հետ միաժամանակ գրավառուի կողմից իրականացվում է փոխառության տրամադրումը, կամ առանց հանդիպակաց դրամական միջոցների փոխանցման, երբ պարտատոմսերի գրավադրումը չի ուղեկցվում գրավառուի կողմից միաժամանակ փոխառության տրամադրմամբ:
բ) Գրավից հանում (ազատում), որի արդյունքում վերականգնվում է գրավադրված պարտատոմսերի նկատմամբ գրավատուի ազատ տնօրինման իրավունքը, և վերանում է դրանց նկատմամբ գրավառուի գրավի իրավունքը: Պարտատոմսերի գրավից հանումը կարող է իրականացվել հանդիպակաց դրամական միջոցների փոխանցմամբ, երբ պարտատոմսերի գրավից հանման հետ միաժամանակ գրավատուի կողմից իրականացվում է փոխառության մարումը, կամ առանց հանդիպակաց դրամական միջոցների փոխանցման, երբ պարտատոմսերի գրավից հանումը չի ուղեկցվում գրավատուի կողմից միաժամանակ փոխառության մարմամբ:
գ) Գրավի առարկայից հրաժարում, որի արդյունքում դադարում է գրավատուի սեփականության իրավունքը գրավադրված պարտատոմսերի նկատմամբ, և վերջիններս փոխանցվում են գրավառուի սեփականությանը առանց դատարանին դիմելու:
դ) Գրավադրված պարտատոմսերի իրացման գումարի հաշվին գրավառուի պահանջների բավարարում, որի արդյունքում գրավատուն վաճառում է պարտատոմսերը երրորդ անձին և ստացված իրացման գումարից բավարարում է գրավառուի պահանջները:
ե) Գրավի առարկայի փոխարինում, որի արդյունքում գրավի առարկա հանդիսացող պարտատոմսերի նկատմամբ դադարում է գրավը, և դրանց փոխարեն գրավադրվում են այլ թողարկման պարտատոմսեր:
զ) Գրավատուի փոխարինում, որի արդյունքում գրավադրված պարտատոմսերի նկատմամբ սեփականության իրավունքն անցնում է այլ անձի (նոր գրավատուի)` պահպանելով գրավադրված պարտատոմսերի նկատմամբ գրավառուի գրավի իրավունքը:
է) Գրավառուի փոխարինում, որի արդյունքում գրավառուի գրավի իրավունքը փոխանցվում է այլ անձի` պահպանելով գրավադրված պարտատոմսերի նկատմամբ գրավատուի սեփականության իրավունքը:
ը) Գրավադրված պարտատոմսերի արգելադրում, որի արդյունքում արգելակվում է պարտատոմսերի տնօրինումը ցանկացած անձի կողմից` պահպանելով գրավադրված պարտատոմսերի նկատմամբ գրավատուի սեփականության իրավունքը և գրավառուի գրավի իրավունքը և թույլատրելով արգելանքի տակ գտնվող պարտատոմսերի հետ կատարել գործառնություններ միայն դատարանի և (կամ) հարկադիր կատարողի որոշմամբ:
թ) Գրավադրված պարտատոմսերի արգելանքից հանում, որի արդյունքում պարտատոմսերից հանվում է արգելակումը, և պարտատոմսերը կարող են տնօրինվել գրավադրված պարտատոմսերի համար սահմանված կանոնների համաձայն:
ժ) Գրավադրված պարտատոմսերի փոխանցում, որի արդյունքում դատական ակտի հիման վրա պարտատոմսերի նկատմամբ կարող են վերականգնվել սեփականության և/կամ գրավի` մինչև արգելադրումը եղած իրավունքները կամ դադարեցվել հին և գրանցվել սեփականության և (կամ) գրավի նոր իրավունքներ:
ժա) Գրավադրված պարտատոմսերի մարում, որի արդյունքում, համաձայն պարտատոմսերի թողարկման պայմանների, իրականացվում է գրավադրված պարտատոմսերի կամ մասնակի մարման դեպքում դրանց մի մասի մարումը, դադարում են մարված պարտատոմսերի նկատմամբ բոլոր իրավունքները, և առաջանում են համապատասխան գույքային իրավունքներ մարման արդյունքում գոյացած դրամական միջոցների հանդեպ:
ժբ) Գրավադրված պարտատոմսերի դիմաց տոկոսների վճարում, որի արդյունքում, համաձայն պարտատոմսերի թողարկման պայմանների, պարտատոմսերի սեփականատերերին վճարվում է պարտատոմսերի տոկոսային կամ արժեկտրոնային եկամուտը:
10. Պարտատոմսերի գրավադրումը, գրավից հանումը, գրավի առարկայի փոխանցումը, գրավադրված պարտատոմսերի իրացման գումարի հաշվին գրավառուի պահանջների բավարարումը կարող է իրականացվել միայն պահառուի (գրավատուին սպասարկող ենթապահառուի) մոտ վարվող համապատասխան դեպո հաշվի (ազատ կամ գրավադրված) մնացորդի սահմաններում:
11. Պարտատոմսերի գրավադրումը գրավառուի կողմից միաժամանակ փոխառության տրամադրման դիմաց, ինչպես նաև պարտատոմսերի գրավից հանումը գրավատուի կողմից միաժամանակ փոխառության մարման դիմաց կարող են իրականացվել միայն այն դեպքերում, երբ հիմնական պարտավորության պարտապանը և գրավատուն միևնույն անձն են, և հիմնական պարտավորությունը փողային պարտավորություն է Հայաստանի Հանրապետության դրամով: Սույն կետում նշված գործառնությունների հետ կապված հաշվարկներն իրականացվում են «առաքում` վճարման դիմաց» սկզբունքով հաշվարկների համար սահմանված կանոնների համաձայն:
12. Պարտատոմսերի մարման (մասնակի մարման) օրը մինչև մարման գործընթացի ավարտը չի կարող իրականացվել պարտատոմսերի գրավադրման հետ կապված որևէ գործառնություն:
13. Գրավի հետ կապված գործառնությունը, կախված գործառնության տեսակից, կարող է նախաձեռնվել գրավատուի, գրավառուի, հարկադիր կատարողի և (կամ) դատարանի կողմից կամ գրավատուի և գրավառուի կողմից միաժամանակ: Գրավի հետ կապված գործառնությունների կատարումը իրականացվում է գրավատուին (գրավառուին) անմիջապես սպասարկող պահառուի (ենթապահառուի կամ պահառուի) միջոցով գրավատուից (գրավառուից) ստացված դեպո հանձնարարականում նշված կատարման օրը, իսկ հարկադիր կատարողի կողմից նախաձեռնման դեպքում` սույն կարգով սահմանված ժամկետներում:
14. Գրավի հետ կապված գործառնությունները կարող են կատարվել սույն կարգի 4-րդ և 5-րդ կետերում նշված ցանկացած անձանց միջև` միևնույն ենթապահառուի տարբեր ներդրողների, ենթապահառուի և իր ներդրողի, ներդրողի և այլ ենթապահառուի, երկու տարբեր ենթապահառուների, առևտրային բանկերի, առևտրային բանկի և ենթապահառուի, առևտրային բանկի և ենթապահառուի ներդրողի միջև` սույն կարգով սահմանված ընթացակարգերի համաձայն: Ընթացակարգերը տարածվում են նաև Հայաստանի Հանրապետության կենտրոնական բանկի կողմից պարտատոմսերով գրավադրման հետ կապված ինչպես իր սեփական գործառնություններին, այնպես էլ իր ներդրողների հանձնարարությամբ կատարվող գործառնություններին:
15. Ենթապահառուի համար պարտատոմսերով գրավի հետ կապված գործառնություններ կատարելու համար հիմք են հանդիսանում իր ներդրողի կողմից համաձայնեցված եղանակով ներկայացված համապատասխան դեպո հանձնարարականը կամ Հայաստանի Հանրապետության օրենսդրությամբ սահմանված կարգով հարկադիր կատարողի (դատարանի) կողմից ներկայացված կատարողական թերթը (դատարանի որոշումը), սույն կարգով սահմանված դեպքերում` այլ փաստաթղթերը: Պահառուի համար պարտատոմսերով գրավի հետ կապված գործառնություններ կատարելու համար հիմք են հանդիսանում առևտրային բանկի կամ ենթապահառուի կողմից (այդ թվում` նաև իր ներդրողների հանձնարարությամբ) ներկայացված համապատասխան դեպո հանձնարարականը կամ Հայաստանի Հանրապետության օրենսդրությամբ սահմանված կարգով հարկադիր կատարողի (դատարանի) կողմից ներկայացված կատարողական թերթը (դատարանի որոշումը), սույն կարգով սահմանված դեպքերում` նաև այլ փաստաթղթերը: Դեպո հանձնարարականները ներկայացվում են պահառուին` վերջինիս կողմից սահմանված կարգով: Եթե միևնույն գրավի պայմանագրով գրավադրվել են տարբեր թողարկումների պարտատոմսեր, ապա գրավի հետ կապված գործառնություններ կատարելու համար, ըստ յուրաքանչյուր պարտատոմսերի թողարկման, ներկայացվում են առանձին դեպո հանձնարարականներ:
16. Պարտատոմսերի գրավադրման, գրավից հանման, գրավի առարկայից հրաժարման, գրավադրված պարտատոմսերի մարման գործառնություններից բխող իրավունքները, գրավի պայմանագրով անձանց փոփոխությունն իրավունքներում և պարտավորություններում գրավատուների, գրավառուների և երրորդ անձանց համար ուժի մեջ են մտնում պահառուի մոտ դրանց մասին համապատասխան գրառումներ կատարելու և այդ մասին համապատասխան սպասարկող ենթապահառուին տեղեկացնելու (հաստատում ուղարկելու) պահից:
17. Գրավի իրավունքը անմիջապես գրանցող պահառուն (ենթապահառուն) պարտավոր է իր հաճախորդ հանդիսացող գրավառուին տրամադրել վերջինիս օգտին գրավադրված պարտատոմսերի վերաբերյալ տեղեկանք: Գրավատուին սպասարկող պահառուն (ենթապահառուն) պարտավոր է իր հաճախորդ հանդիսացող գրավատուին տրամադրել տեղեկանք իր գրավադրված պարտատոմսերի վերաբերյալ և քաղվածք գրավադրված պարտատոմսերի դեպո հաշվից: Տեղեկանքները պարտատոմսերի նկատմամբ գրավի իրավունքը հավաստող փաստաթղթեր են: Գրավատուին անմիջապես սպասարկող պահառուն (ենթապահառուն) պատասխանատու է գրավի իրավունքի պատշաճ հաշվառման համար:
Գ Լ ՈՒ Խ 2
ՊԱՐՏԱՏՈՄՍԵՐԻ ԳՐԱՎԱԴՐՈՒՄ
18. Պարտատոմսերի գրավադրման գործառնության դեպքում պարտատոմսերը գրավատուի ազատ դեպո հաշվից փոխանցվում են գրավատուի գրավադրված դեպո հաշվի վրա` այդ պարտատոմսերի նկատմամբ գրավառուի գրավի իրավունքի գրանցմամբ: Եթե պարտատոմսերի գրավադրումն ուղեկցվում է դրամական միջոցների փոխանցմամբ (հանդիպակաց դրամական միջոցների փոխանցմամբ պարտատոմսերի գրավադրում), ապա միաժամանակ իրականացվում է նաև դրամական միջոցների փոխանցում գրավառուից գրավատուին:
19. Առանց հանդիպակաց դրամական միջոցների փոխանցման, պարտատոմսերի գրավադրման գործառնություններն իրականացվում են հետևյալ պայմաններում.
ա) Պարտատոմսերի գրավադրումը հօգուտ գրավառուի չի ուղեկցվում միաժամանակ գրավառուի կողմից գրավատուին Հայաստանի Հանրապետության դրամով փոխառության տրամադրմամբ:
բ) Պարտատոմսերի գրավադրման գործառնությունը նախաձեռնում է գրավատուն:
գ) Եթե գործառնության նախաձեռնողը ներդրող է, ապա նա իրեն սպասարկող ենթապահառուին ներկայացնում է պարտատոմսերի գրավադրման դեպո հանձնարարական, ենթապահառուի պահառության գործունեության հիմնական պայմաններով սահմանված այլ փաստաթղթեր (գրավի պայմանագիր և այլն):
դ) Գրավատուի ենթապահառուն իրականացնում է ներկայացված հանձնարարականի համապատասխան ստուգումներ, որոնք ներառում են դեպո հանձնարարականի վավերության ստուգումը և անհրաժեշտ ծավալի պարտատոմսերի առկայության ստուգումը ներդրող-գրավատուի ազատ պարտատոմսերի դեպո հաշվում: Եթե ենթապահառուի կողմից կատարվող ստուգման արդյունքը բացասական է, ապա դեպո հանձնարարականը չի կատարվում և մերժման պատճառի նշումով վերադարձվում է այն ներկայացնողին: Հակառակ դեպքում ենթապահառուն ընդունում է այն կատարման և իր հերթին համապատասխան դեպո հանձնարարական է ներկայացնում պահառուին:
ե) Պահառուն, ստանալով դեպո հանձնարարականը, իրականացնում է համապատասխան ստուգումներ, որոնք ներառում են դեպո հանձնարարականի վավերության ստուգումը և անհրաժեշտ ծավալի պարտատոմսերի առկայության ստուգումը համապատասխան ազատ պարտատոմսերի դեպո հաշվում: Ստուգման դրական արդյունքի դեպքում պահառուն կատարում է համապատասխան հաշվապահական ձևակերպումներ և գրավի իրավունքի այլ գրառումներ: Այնուհետև պահառուն գործառնության կատարման հաստատում է ուղարկում գրավատուին սպասարկող ենթապահառուին, իսկ գրավառուին սպասարկող ենթապահառուին ներկայացնում է գրավատուի ենթապահառուից ստացված դեպո հանձնարարականի օրինակը, որը հավաստում է տվյալ գործառնության կատարման փաստը: Գործառնական օրվա ավարտից հետո պահառուն գրավատուի ենթապահառուին ուղարկում է քաղվածք համապատասխան դեպո հաշիվներից, որոնցով շարժ է տեղի ունեցել:
զ) Պահառուից ստացված փաստաթղթերի հիման վրա գրավատուին (գրավառուին) սպասարկող ենթապահառուն համապատասխան գրառումներ (հաշվապահական ձևակերպումներ) է կատարում իր մոտ վարվող դեպո հաշվառման համակարգում, որից հետո գործառնությունը համարվում է կատարված, և գրավառուն ու գրավատուն սահմանված փաստաթղթերով (տեղեկանք, քաղվածք) տեղեկացվում են գործառնության կատարման վերաբերյալ:
է) Եթե պահառուի կողմից կատարվող ստուգման արդյունքը բացասական է, ապա դեպո հանձնարարականը չի կատարվում և մերժման պատճառի նշումով վերադարձվում է այն ներկայացնողին, և գործառնությունը համարվում է մերժված:
ը) Եթե գրավատուն առևտրային բանկ է կամ ենթապահառու, ապա նա գրավադրման դեպո հանձնարարականը ներկայացնում է անմիջապես պահառուին, որը գործում է սույն կետի «ե», «զ», «է» ենթակետերում սահմանված ընթացակարգերի համաձայն:
20. Հանդիպակաց դրամական միջոցների փոխանցմամբ պարտատոմսերի գրավադրման գործառնություններն իրականացվում են հետևյալ կերպ`
ա) Հանդիպակաց դրամական միջոցների փոխանցմամբ պարտատոմսերի գրավադրման գործառնությունը կատարվում է այն դեպքում, երբ գրավառուի կողմից Հայաստանի Հանրապետության դրամով փոխառության/վարկի տրամադրումը գրավատուին և վերջինիս կողմից պարտատոմսերի գրավադրումը հօգուտ գրավառու-վարկատուի իրականացվում է միաժամանակ:
բ) Հանդիպակաց դրամական միջոցների փոխանցմամբ պարտատոմսերի գրավադրման գործառնությունը նախաձեռնվում է միաժամանակ գրավատուի և գրավառուի կողմից:
գ) Գրավատուն և գրավառուն իրենց սպասարկող ենթապահառուներին են ներկայացնում համապատասխանաբար «Պարտատոմսերի գրավադրման հանձնարարականը» և «Պարտատոմսերի գրավ ընդունման հանձնարարականը», ենթապահառուի պահառության գործունեության հիմնական պայմաններով սահմանված այլ փաստաթղթեր:
դ) Գրավատուի (գրավառուի) ենթապահառուն իրականացնում է ներկայացված փաստաթղթերի համապատասխան ստուգումներ: Ընդ որում, գրավատուի ենթապահառուի կողմից իրականացվող ստուգումը ներառում է դեպո հանձնարարականի վավերության ստուգումը և անհրաժեշտ ծավալի պարտատոմսերի առկայության ստուգումը ներդրող-գրավատուի ազատ պարտատոմսերի դեպո հաշվում, իսկ գրավառուին սպասարկող ենթապահառուի կողմից իրականացվող ստուգումը ներառում է դեպո հանձնարարականի վավերության ստուգումը, անհրաժեշտ դրամական միջոցների առկայության ստուգումը ենթապահառուի մոտ վարվող ներդրող-գրավառուի դրամական հաշվում, կամ գրավառուի դրամական հաշիվն այլ բանկում գտնվելու դեպքում` ենթապահառուին համապատասխան դրամական միջոցների փոխանցման կատարման ստուգումը: Եթե ենթապահառուի կողմից կատարվող ստուգման արդյունքը բացասական է, ապա դեպո հանձնարարականը չի կատարվում և մերժման պատճառի նշումով վերադարձվում է այն ներկայացնողին: Հակառակ դեպքում ենթապահառուն ընդունում է այն կատարման և իր հերթին համապատասխան դեպո հանձնարարական է ներկայացնում պահառուին:
ե) Պահառուն, ստանալով դեպո հանձնարարականը, իրականացնում է վավերության ստուգում: Անվավերության դեպքում դեպո հանձնարարականը չի կատարվում և մերժման պատճառի նշումով վերադարձվում է այն ներկայացնողին: Ստուգման դրական արդյունքի դեպքում պահառուն փնտրում է իր կողմից ընդունված դեպո հանձնարարականների բազմությունում տվյալ հանձնարարականի զույգ հանդիսացող հանձնարարականը (զույգ հանդիսացող հանձնարարականում տվյալ գործառնությունը բնութագրող բոլոր վավերապայմանները հայելանման արտապատկերում ունեն): Համապատասխան զույգը գտնելու դեպքում պահառուն ստուգում է գրավադրվող պարտատոմսերի բավարար ծավալի առկայությունը գրավատուի ենթապահառուի համապատասխան դեպո հաշվում և դրամական միջոցների առկայությունը բանկում վարվող գրավառուի ենթապահառուի դրամական հաշվի վրա: Ստուգման դրական արդյունքի դեպքում պահառուն կատարում է դրամական միջոցների փոխանցում բանկում վարվող` գրավատուի ենթապահառուի դրամական հաշվի վրա, իսկ պահառուական համակարգում` համապատասխան հաշվապահական ձևակերպումներ և գրավի իրավունքի այլ գրառումներ: Այնուհետև պահառուն գործառնության կատարման հաստատում է ուղարկում գրավառուին և գրավատուին սպասարկող ենթապահառուին (ենթապահառուներին): Գործառնական օրվա ավարտից հետո պահառուն գրավատուի ենթապահառուին ուղարկում է քաղվածք համապատասխան դեպո հաշիվներից:
զ) Պահառուից ստացված փաստաթղթերի հիման վրա ենթապահառուն (ենթապահառուները) համապատասխան գրառումներ (հաշվապահական ձևակերպումներ) է կատարում իր մոտ վարվող դեպո հաշվառման համակարգում, իսկ գրավատուին սպասարկող ենթապահառուն իրականացնում է դրամական միջոցների փոխանցում գրավատուի կողմից նշված դրամական հաշվի վրա, որից հետո գործառնությունը համարվում է կատարված, և գրավառուն ու գրավատուն սահմանված փաստաթղթերով (տեղեկանք, քաղվածք) տեղեկացվում են գործառնության կատարման վերաբերյալ:
է) Եթե պահառուի կողմից կատարվող ստուգման արդյունքը բացասական է, ապա դեպո հանձնարարականները չեն կատարվում և մերժման պատճառի նշումով վերադարձվում են այն ներկայացնողներին, և գործառնությունը համարվում է մերժված:
ը) Բոլոր այն դեպո հանձնարարականները, որոնց համապատասխան զույգերը պահառուի կողմից սահմանված ժամանակահատվածում (պահառուի գործառնական օրվա ընթացքում) չեն գտնվում, մերժման պատճառի նշումով վերադարձվում են այն ներկայացնողներին, և գործառնությունը համարվում է մերժված:
թ) Եթե գրավատուն և գրավառուն սպասարկվում են միևնույն ենթապահառուի մոտ, ապա ենթապահառուն պարտատոմսերի գրավադրման հանձնարարականը ներկայացնում է պահառուին` իր մոտ գրավատուից և գրավառուից զույգ հանդիսացող դեպո հանձնարարականներն ընդունելուց հետո, իսկ պահառուի մոտ դրամական հաշվարկներ չեն իրականացվում, այլ կատարվում են միայն դեպո ձևակերպումներ:
ժ) Եթե գրավատուն և (կամ) գրավառուն առևտրային բանկ է կամ ենթապահառու, ապա նա դեպո հանձնարարական է ներկայացնում անմիջապես պահառուին, որը գործում է սույն կետի «ե», «զ», «է», «ը», «թ» ենթակետերում նշված ընթացակարգերի համաձայն:
Գ Լ ՈՒ Խ 3
ՊԱՐՏԱՏՈՄՍԵՐԻ ԳՐԱՎԻՑ ՀԱՆՈՒՄ
21. Պարտատոմսերի գրավից հանման (ազատման) գործառնությունը կատարվում է Հայաստանի Հանրապետության օրենսդրությամբ սահմանված պարտատոմսերի գրավի դադարման հետևյալ դեպքերում`
ա) երբ դադարում է հիմնական պարտավորությունը` պարտապանի կողմից այն կատարելու հետևանքով,
բ) երբ գրավով ապահովված պարտավորությամբ պարտքը երրորդ անձին փոխանցելիս գրավատուն գրավառուին համաձայնություն չի տվել` պատասխանատվություն կրելու նոր պարտապանի փոխարեն: Գրավի դադարման այլ դեպքերում (գրավ դրված պարտատոմսերը հրապարակային սակարկություններով վաճառելու, իրականում պարտատոմսերի սեփականատերը ուրիշ անձ լինելու դեպքերում) գրավի իրավունքի դադարումը, պարտատոմսերի նկատմամբ սեփականության իրավունքի փոխանցումը կատարվում է պարտատոմսերի բռնագանձման գործառնությունների միջոցով:
22. Պարտատոմսերի գրավից հանման գործառնության դեպքում պարտատոմսերը գրավատուի գրավադրված դեպո հաշվից փոխանցվում են գրավատուի ազատ դեպո հաշվի վրա` գրավադրված պարտատոմսերի նկատմամբ գրավատուի ազատ տնօրինման իրավունքի վերականգնումով և այդ պարտատոմսերի նկատմամբ գրավառուի գրավի իրավունքի դադարումով: Եթե պարտատոմսերի գրավից ազատումն ուղեկցվում է դրամական միջոցների փոխանցմամբ (պարտատոմսերի գրավից ազատում հանդիպակաց դրամական միջոցների փոխանցմամբ), ապա միաժամանակ իրականացվում է դրամական միջոցների փոխանցում գրավատուից գրավառուին:
23. Պարտատոմսերի գրավից ազատման գործառնությունը կարող է կատարվել ինչպես գրավադրված պարտատոմսերի ողջ ծավալի, այնպես էլ դրա մի մասի նկատմամբ:
24. Առանց հանդիպակաց դրամական միջոցների փոխանցման, պարտատոմսերի գրավից ազատման գործառնությունները իրականացվում են հետևյալ պայմաններում`
ա) գրավառուն նախաձեռնում է գրավից պարտատոմսերի ազատման գործառնությունն առանց գրավատուի կողմից միաժամանակ հիմնական պարտավորության (վարկի) մարման գործառնության իրականացման, ինչպես նաև սույն կարգի 21-րդ կետի «բ» ենթակետում սահմանված դեպքում:
բ) Պարտատոմսերի գրավից ազատման գործառնությունը նախաձեռնվում է գրավառուի կողմից, որը իրեն սպասարկող ենթապահառուին է ներկայացնում «Պարտատոմսերի գրավից հանման հանձնարարական»:
գ) Գրավառուի ենթապահառուն իրականացնում է ներկայացված փաստաթղթերի համապատասխան ստուգումներ, որոնք ներառում են դեպո հանձնարարականի վավերության ստուգումը և համապատասխան գրավի իրավունքի անհրաժեշտ ծավալի առկայության ստուգումը դեպո հաշվառման համակարգում (տվյալ գրավառուի օգտին տվյալ գրավատուի կողմից բավարար ծավալի պարտատոմսերի գրավադրված լինելու փաստի ստուգում): Եթե ենթապահառուի կողմից կատարվող ստուգման արդյունքը բացասական է, ապա դեպո հանձնարարականը չի կատարվում և մերժման պատճառի նշումով վերադարձվում է այն ներկայացնողին: Հակառակ դեպքում ենթապահառուն ընդունում է այն կատարման և իր հերթին համապատասխան դեպո հանձնարարական է ներկայացնում պահառուին:
դ) Պահառուն, ստանալով դեպո հանձնարարականը, իրականացնում է համապատասխան ստուգումներ, որոնք ներառում են դեպո հանձնարարականի վավերության ստուգումը և անհրաժեշտ ծավալի պարտատոմսերի առկայության ստուգումը համապատասխան գրավադրված պարտատոմսերի դեպո հաշվում, գրավի իրավունքի անհրաժեշտ ծավալի առկայության ստուգումը: Ստուգման դրական արդյունքի դեպքում պահառուն կատարում է համապատասխան հաշվապահական ձևակերպումներ և գրավի իրավունքի դադարեցման այլ գրառումներ: Այնուհետև պահառուն գործառնության կատարման հաստատում է ուղարկում գրավառուին սպասարկող ենթապահառուին, իսկ գրավատուին սպասարկող ենթապահառուին ներկայացնում է գրավառուի ենթապահառուից ստացված դեպո հանձնարարականի օրինակը, որը հավաստում է տվյալ գործառնության կատարման փաստը: Գործառնական օրվա ավարտից հետո պահառուն գրավատուի ենթապահառուին ուղարկում է քաղվածք համապատասխան դեպո հաշիվներից:
ե) Պահառուից ստացված փաստաթղթերի հիման վրա գրավատուին (գրավառուին) սպասարկող ենթապահառուն համապատասխան գրառումներ (հաշվապահական ձևակերպումներ) է կատարում իր մոտ վարվող պահառուական համակարգում, որից հետո գործառնությունը համարվում է կատարված, և գրավառուն ու գրավատուն սահմանված փաստաթղթերով (տեղեկանք, քաղվածք) տեղեկացվում են գործառնության կատարման վերաբերյալ:
զ) Եթե պահառուի կողմից կատարվող ստուգման արդյունքը բացասական է, ապա դեպո հանձնարարականը չի կատարվում և մերժման պատճառի նշումով վերադարձվում է այն ներկայացնողին, և գործառնությունը համարվում է մերժված:
է) Եթե գրավառուն առևտրային բանկ է կամ ենթապահառու, ապա նա գրավից ազատման դեպո հանձնարարական է ներկայացնում անմիջապես պահառուին, որը գործում է սույն կետի «դ», «ե», «զ» ենթակետերում սահմանված ընթացակարգերի համաձայն:
25. Հանդիպակաց դրամական միջոցների փոխանցմամբ պարտատոմսերի գրավից ազատման գործառնություններն իրականացվում են սույն կետում սահմանված կանոնների և ընթացակարգերի համաձայն`
ա) Գրավառուն նախաձեռնում է գրավից պարտատոմսերի ազատման գործառնությունը, որը միաժամանակ ուղեկցվում է գրավատուի կողմից հիմնական պարտավորության (վարկի) մարման գործառնության իրականացմամբ:
բ) Պարտատոմսերի գրավից ազատման գործառնությունը նախաձեռնվում է միաժամանակ գրավատուի և գրավառուի կողմից:
գ) Գրավատուն և գրավառուն իրենց սպասարկող ենթապահառուներին են ներկայացնում «Գրավադրված պարտատոմսերի գրավից հանման հանձնարարական», ենթապահառուի պահառության գործունեության հիմնական պայմաններով սահմանված այլ փաստաթղթեր:
դ) Գրավատուի (գրավառուի) ենթապահառուն իրականացնում է ներկայացված փաստաթղթերի համապատասխան ստուգումներ: Ընդ որում, գրավառուի ենթապահառուի կողմից իրականացվող ստուգումը ներառում է դեպո հանձնարարականի վավերության ստուգումը և համապատասխան գրավի իրավունքի անհրաժեշտ ծավալի առկայության ստուգումը, իսկ գրավատուի ենթապահառուի կողմից իրականացվող ստուգումն ընդգրկում է դեպո հանձնարարականի վավերության ստուգումը, հօգուտ տվյալ գրավառուի անհրաժեշտ ծավալի պարտատոմսերի առկայության ստուգումը ներդրող-գրավատուի գրավադրված պարտատոմսերի դեպո հաշվում, անհրաժեշտ դրամական միջոցների առկայության ստուգումը ենթապահառուի մոտ վարվող ներդրող-գրավատուի դրամական հաշվում, կամ դրամական հաշիվն այլ բանկում գտնվելու դեպքում` ենթապահառուին համապատասխան դրամական միջոցների փոխանցման կատարման ստուգումը: Եթե ենթապահառուի կողմից կատարվող ստուգման արդյունքը բացասական է, ապա դեպո հանձնարարականը չի կատարվում և մերժման պատճառի նշումով վերադարձվում է այն ներկայացնողին: Հակառակ դեպքում ենթապահառուն ընդունում է այն կատարման և իր հերթին համապատասխան դեպո հանձնարարական է ներկայացնում պահառուին:
ե) Պահառուն, ստանալով դեպո հանձնարարականը, իրականացնում է վավերության ստուգում: Անվավերության դեպքում դեպո հանձնարարականը չի կատարվում և մերժման պատճառի նշումով վերադարձվում է այն ներկայացնողին: Ստուգման դրական արդյունքի դեպքում պահառուն փնտրում է իր կողմից ընդունված դեպո հանձնարարականների բազմությունում տվյալ հանձնարարականի զույգ հանդիսացող հանձնարարականը: Համապատասխան զույգը գտնելու դեպքում պահառուն ստուգում է անհրաժեշտ ծավալի պարտատոմսերի առկայությունը գրավատուի ենթապահառուի համապատասխան գրավադրված պարտատոմսերի դեպո հաշվում, ինչպես նաև բավարար դրամական միջոցների առկայությունը գրավատուին սպասարկող ենթապահառուի` բանկում վարվող դրամական հաշվի վրա: Ստուգման դրական արդյունքի դեպքում պահառուն իրականացնում է դրամական միջոցների փոխանցում բանկում վարվող գրավառուին սպասարկող ենթապահառուի դրամական հաշվի վրա և միաժամանակ պահառուական համակարգում իրականացնում է համապատասխան հաշվապահական ձևակերպումներ ու գրավի իրավունքի դադարեցման այլ գրառումներ: Այնուհետև պահառուն գործառնության կատարման հաստատում է ուղարկում գրավառուին և գրավատուին սպասարկող ենթապահառուին (ենթապահառուներին): Գործառնական օրվա ավարտից հետո պահառուն գրավատուի ենթապահառուին ուղարկում է քաղվածք համապատասխան դեպո հաշիվներից:
զ) Պահառուից ստացված փաստաթղթերի հիման վրա ենթապահառուն (ենթապահառուները) համապատասխան գրառումներ է կատարում իր մոտ վարվող պահառուական համակարգում, իսկ գրավառուին սպասարկող ենթապահառուն իրականացնում է համապատասխան դրամական փոխանցում գրավառուի կողմից նշված հաշվի վրա, որից հետո գործառնությունը համարվում է կատարված, և գրավառուն ու գրավատուն սահմանված փաստաթղթերով (տեղեկանք, քաղվածք) տեղեկացվում են գործառնության կատարման վերաբերյալ:
է) Եթե պահառուի կողմից կատարվող ստուգման արդյունքը բացասական է, ապա դեպո հանձնարարականները չեն կատարվում և մերժման պատճառի նշումով վերադարձվում են այն ներկայացնողներին, և գործառնությունը համարվում է մերժված:
ը) Բոլոր այն դեպո հանձնարարականները, որոնց համապատասխան զույգերը պահառուի կողմից սահմանված ժամանակահատվածում (պահառուի գործառնական օրվա ընթացքում) չեն գտնվում, մերժման պատճառի նշումով վերադարձվում են այն ներկայացնողներին, և գործառնությունը համարվում է մերժված:
թ) Եթե գրավատուն և գրավառուն սպասարկվում են միևնույն ենթապահառուի մոտ, ապա ենթապահառուն պարտատոմսերի գրավից ազատման հանձնարարականը ներկայացնում է պահառուին` իր մոտ գրավատուից և գրավառուից զույգ հանդիսացող հանձնարարականները ընդունելուց հետո, իսկ պահառուի մոտ դրամական հաշվարկներ չեն իրականացվում, այլ կատարվում են միայն դեպո հաշվառման ձևակերպումներ:
ժ) Եթե գրավատուն և (կամ) գրավառուն առևտրային բանկ է կամ ենթապահառու, ապա նա դեպո հանձնարարական է ներկայացնում անմիջապես պահառուին, որը գործում է սույն կետի «ե», «զ», «է», «ը», «թ» ենթակետերում նշված ընթացակարգերի համաձայն:
Գ Լ ՈՒ Խ 4
ԳՐԱՎԻ ԱՌԱՐԿԱ ՊԱՐՏԱՏՈՄՍԵՐԻՑ ՀՐԱԺԱՐՈՒՄ
26. Գրավի առարկայից հրաժարման գործառնությունը կատարվում է այն դեպքում, երբ գրավառուի հանդեպ հիմնական պարտավորության չկատարման պարագայում, առանց դատարան դիմելու, գրավատուն հրաժարվում է գրավի առարկա հանդիսացող պարտատոմսերից (կամ դրանց մի մասից)` հանձնելով դրանք ի սեփականություն գրավառուին: Տվյալ գործառնությունը կարող է կատարվել միայն նոտարական կարգով վավերացված գրավի պայմանագրում կամ նոտարական կարգով վավերացված գրավատուի և գրավառուի միջև առանձին կնքված համաձայնագրում նման պայման սահմանված լինելու դեպքում:
27. Գրավի առարկայից հրաժարման գործառնության դեպքում պարտատոմսերը գրավատուի գրավադրված դեպո հաշվից փոխանցվում են գրավառուի ազատ դեպո հաշվի վրա, այդ պարտատոմսերի նկատմամբ գրավատուի սեփականության իրավունքի և գրավառուի գրավի իրավունքի դադարումով և գրավառուի սեփականության իրավունքի ծագումով:
28. Գրավի առարկայից հրաժարման գործառնությունը կարող է կատարվել ինչպես գրավադրված պարտատոմսերի ողջ ծավալի, այնպես էլ դրա մի մասի նկատմամբ:
29. Գրավի առարկայից հրաժարման գործառնությունը նախաձեռնվում է գրավատուի կողմից:
30. Գրավի առարկայից հրաժարման գործառնությունը կատարվում է հետևյալ կերպ`
ա) գրավատուն իրեն սպասարկող ենթապահառուին է ներկայացնում «Գրավադրված պարտատոմսերից հրաժարման հանձնարարական»:
բ) Գրավատուի ենթապահառուն իրականացնում է ներկայացված փաստաթղթի համապատասխան ստուգումներ, որոնք ներառում են դեպո հանձնարարականի վավերության ստուգումը, հօգուտ տվյալ գրավառուի անհրաժեշտ ծավալի պարտատոմսերի առկայության ստուգումը ներդրող-գրավատուի գրավադրված պարտատոմսերի դեպո հաշվում: Եթե ենթապահառուի կողմից կատարվող ստուգման արդյունքը բացասական է, ապա դեպո հանձնարարականը չի կատարվում և մերժման պատճառի նշումով վերադարձվում է այն ներկայացնողին: Հակառակ դեպքում ենթապահառուն ընդունում է այն կատարման, և իր հերթին համապատասխան դեպո հանձնարարական է ներկայացնում պահառուին:
գ) Պահառուն, ստանալով դեպո հանձնարարականը, ստուգում է անհրաժեշտ ծավալի պարտատոմսերի առկայությունը գրավատուի ենթապահառուի համապատասխան գրավադրված պարտատոմսերի դեպո հաշվում և գրավի իրավունքի անհրաժեշտ ծավալի առկայությունն ու ստուգման դրական արդյունքի դեպքում կատարում է համապատասխան հաշվապահական ձևակերպումներ և գրավի իրավունքի դադարման այլ գրառումներ: Այնուհետև պահառուն գործառնության կատարման հաստատում է ուղարկում գրավատուին սպասարկող ենթապահառուին, իսկ գրավառուին սպասարկող ենթապահառուին ներկայացնում է գրավատուի ենթապահառուից ստացված դեպո հանձնարարականի օրինակը, որը հավաստում է տվյալ գործառնության կատարման փաստը: Գործառնական օրվա ավարտից հետո պահառուն գրավատուի ենթապահառուին և գրավառուի ենթապահառուին ուղարկում է քաղվածքներ համապատասխան դեպո հաշիվներից:
դ) Պահառուից ստացված փաստաթղթերի հիման վրա գրավատուին (գրավառուին) սպասարկող ենթապահառուն համապատասխան գրառումներ (հաշվապահական ձևակերպումներ) է կատարում իր մոտ վարվող դեպո հաշվառման համակարգում, որից հետո գործառնությունը համարվում է կատարված, և գրավառուն ու գրավատուն սահմանված փաստաթղթերով (տեղեկանք, քաղվածք) տեղեկացվում են գործառնության կատարման վերաբերյալ:
ե) Եթե պահառուի կողմից կատարվող ստուգման արդյունքը բացասական է, ապա դեպո հանձնարարականը չի կատարվում և մերժման պատճառի նշումով վերադարձվում է այն ներկայացնողին, և գործառնությունը համարվում է մերժված:
զ) Եթե գրավատուն առևտրային բանկ է կամ ենթապահառու, ապա նա «Գրավադրված պարտատոմսերից հրաժարման հանձնարարական» է ներկայացնում անմիջապես պահառուին, որը գործում է սույն կետի «գ», «դ», «ե» ենթակետերում սահմանված ընթացակարգերի համաձայն:
Գ Լ ՈՒ Խ 5
ԳՐԱՎԱԴՐՎԱԾ ՊԱՐՏԱՏՈՄՍԵՐԻ ԻՐԱՑՄԱՆ ԳՈՒՄԱՐԻ ՀԱՇՎԻՆ ԳՐԱՎԱՌՈՒԻ ՊԱՀԱՆՋՆԵՐԻ ԲԱՎԱՐԱՐՈՒՄ
31. Առանց դատարան դիմելու գրավադրված պարտատոմսերի իրացման գումարի հաշվին գրավառուի պահանջների բավարարման գործառնությունը կարող է կատարվել այն դեպքում, եթե այդպիսի գործառնություն նախատեսված է նոտարական կարգով վավերացված գրավադրման պայմանագրում կամ նոտարական կարգով վավերացված գրավատուի և գրավառուի միջև առանձին կնքված համաձայնագրում:
32. Տվյալ գործառնությունն իրականացվում է երկու գործառնությունների միջոցով` սույն կարգի 24-րդ կետում սահմանված կանոնների և ընթացակարգերի համաձայն գրավառուի կողմից նախաձեռնված գրավից հանման գործառնության և այնուհետև գրավատուի կողմից երրորդ անձին գրավից հանված պարտատոմսերի վաճառքի գործառնության: Պարտատոմսերի վաճառքի արդյունքում գրավատուին վճարված դրամական միջոցները այնուհետև վերջինիս կողմից փոխանցվում են գրավառուին:
Գ Լ ՈՒ Խ 6
ԳՐԱՎԻ ԱՌԱՐԿԱՅԻ ՓՈԽԱՐԻՆՈՒՄ
33. Գրավի առարկա հանդիսացող պարտատոմսերի փոխարինման գործառնությունն իրականացվում է այդ դեպքում, երբ գրավի պայմանագրով գրավադրվել են պարտատոմսեր, որոնց մարման (մասնակի մարման) ժամկետը նախորդում է գրավի պայմանագրում սահմանված հիմնական պարտավորության կատարման ժամկետին, կամ գրավի պայմանագրով սահմանված այլ դեպքերում:
34. Գրավի առարկայի փոխարինման դեպքում նախկինում գրավադրված (փոխարինվող) պարտատոմսերի նկատմամբ դադարում է գրավը, որի արդյունքում այդ պարտատոմսերը գրավատուի գրավադրված դեպո հաշվից փոխանցվում են գրավատուի ազատ դեպո հաշվի վրա, այդ պարտատոմսերի նկատմամբ գրավառուի գրավի իրավունքի դադարեցմամբ, միաժամանակ փոխարինող պարտատոմսերը գրավադրվում են, որի արդյունքում այդ պարտատոմսերը գրավատուի ազատ դեպո հաշվից փոխանցվում են գրավատուի գրավադրված դեպո հաշվի վրա, փոխարինող պարտատոմսերի նկատմամբ գրավառուի գրավի իրավունքի գրանցմամբ:
35. Գրավի առարկա հանդիսացող պարտատոմսերի փոխարինումը կարող է կատարվել միայն գրավառուի համաձայնության դեպքում, եթե օրենքով կամ գրավի պայմանագրով այլ բան սահմանված չէ:
36. Գրավի առարկայի փոխարինման դեպքում գրավի պայմանագրում անհրաժեշտ է կատարել համապատասխան փոփոխություններ:
37. Գրավառուի համաձայնությամբ գրավի առարկայի փոխարինման գործառնությունն իրականացվում է սույն կետում սահմանված կանոնների և ընթացակարգերի համաձայն`
ա) գրավառուի համաձայնությամբ գրավի առարկայի փոխարինման գործառնությունը նախաձեռնվում է միաժամանակ գրավատուի և գրավառուի կողմից:
բ) Գրավատուն և գրավառուն իրենց սպասարկող ենթապահառուներին են ներկայացնում «Գրավի փոխարինման հանձնարարական», գրավատուն ներկայացնում է նաև փոփոխված գրավի պայմանագիրը:
գ) Գրավատուի (գրավառուի) ենթապահառուն իրականացնում է ներկայացված փաստաթղթերի համապատասխան ստուգումներ: Ընդ որում, գրավառուի ենթապահառուի կողմից իրականացվող ստուգումը ներառում է դեպո հանձնարարականի վավերության ստուգումը և փոխարինվող գրավի իրավունքի համապատասխան ծավալի առկայության ստուգումը, իսկ գրավատուի ենթապահառուի կողմից իրականացվող ստուգումը ներառում է դեպո հանձնարարականի վավերության ստուգումը, հօգուտ տվյալ գրավառուի անհրաժեշտ ծավալի փոխարինվող պարտատոմսերի առկայության ստուգումը ներդրող-գրավատուի գրավադրված պարտատոմսերի դեպո հաշվում, անհրաժեշտ ծավալի փոխարինող պարտատոմսերի առկայության ստուգումը ենթապահառուի մոտ վարվող ներդրող-գրավատուի ազատ դեպո հաշվում: Եթե գրավատուի (գրավառուի) ենթապահառուի կողմից կատարվող ստուգման արդյունքը բացասական է, ապա դեպո հանձնարարականը չի կատարվում և մերժման պատճառի նշումով վերադարձվում է այն ներկայացնողին: Եթե ստուգման արդյունքը դրական է, ապա գրավատուի ենթապահառուն ընդունում է հանձնարարականը կատարման և միաժամանակ ստուգում է համապատասխան գրավի պայմանագրի դրույթները: Եթե գրավի պայմանագրով նախատեսված է գրավի առարկայի փոխարինում առանց գրավառուի համաձայնության, ապա գրավատուի ենթապահառուն գործում է սույն կարգի 38-րդ կետում սահմանված ընթացակարգերի համաձայն: Հակառակ դեպքում գրավատուի ենթապահառուն համապատասխան դեպո հանձնարարական է ներկայացնում պահառուին: Եթե ստուգման արդյունքը դրական է, ապա գրավառուի ենթապահառուն ընդունում է հանձնարարականը կատարման, և իր հերթին համապատասխան դեպո հանձնարարական է ներկայացնում պահառուին:
դ) Պահառուն, ստանալով դեպո հանձնարարականը, իրականացնում է վավերության ստուգում: Անվավերության դեպքում դեպո հանձնարարականը չի կատարվում և մերժման պատճառի նշումով վերադարձվում է այն ներկայացնողին: Ստուգման դրական արդյունքի դեպքում պահառուն փնտրում է իր կողմից ընդունված դեպո հանձնարարականների բազմությունում տվյալ հանձնարարականի զույգ հանդիսացող հանձնարարականը: Համապատասխան զույգը գտնելու դեպքում պահառուն ստուգում է անհրաժեշտ ծավալի փոխարինվող պարտատոմսերի առկայությունը համապատասխան գրավադրված պարտատոմսերի դեպո հաշվում և գրավի իրավունքի անհրաժեշտ ծավալի առկայությունը, ինչպես նաև փոխարինող պարտատոմսերի առկայությունը համապատասխան ազատ դեպո հաշվում: Ստուգման դրական արդյունքի դեպքում պահառուն կատարում է համապատասխան հաշվապահական ձևակերպումներ և գրավի իրավունքի վերաձևակերպման այլ գրառումներ: Այնուհետև պահառուն գործառնության կատարման հաստատում է ուղարկում գրավառուին և գրավատուին սպասարկող ենթապահառուին (ենթապահառուներին): Գործառնական օրվա ավարտից հետո պահառուն գրավատուի ենթապահառուին ուղարկում է քաղվածք համապատասխան դեպո հաշիվներից:
ե) Ստացված հաստատման հիման վրա ենթապահառուն (ենթապահառուները) համապատասխան գրառումներ է կատարում իր մոտ վարվող պահառուական համակարգում, որից հետո գործառնությունը համարվում է կատարված, և գրավառուն ու գրավատուն սահմանված փաստաթղթերով (տեղեկանք, քաղվածք) տեղեկացվում են գործառնության կատարման վերաբերյալ:
զ) Եթե պահառուի կողմից կատարվող ստուգման արդյունքը բացասական է, ապա դեպո հանձնարարականները չեն կատարվում և մերժման պատճառի նշումով վերադարձվում են այն ներկայացնողներին, և գործառնությունը համարվում է մերժված:
է) Բոլոր այն դեպո հանձնարարականները, որոնց համապատասխան զույգերը պահառուի կողմից սահմանված ժամանակահատվածում (պահառուի գործառնական օրվա ընթացքում) չեն գտնվում, մերժման պատճառի նշումով վերադարձվում են այն ներկայացնողներին, և գործառնությունը համարվում է մերժված:
ը) Եթե գրավատուն և գրավառուն սպասարկվում են միևնույն ենթապահառուի մոտ, ապա ենթապահառուն գրավի առարկայի փոխարինման հանձնարարականը ներկայացնում է պահառուին` իր մոտ գրավատուից և գրավառուից զույգ հանդիսացող հանձնարարականներն ընդունելուց հետո:
թ) Եթե գրավատուն և (կամ) գրավառուն առևտրային բանկ է կամ ենթապահառու, ապա նա դեպո հանձնարարական է ներկայացնում պահառուին, որը գործում է սույն կետի «դ», «ե», «զ», «է» ենթակետերում նշված ընթացակարգերի համաձայն:
38. Առանց գրավառուի համաձայնության գրավի առարկայի փոխարինման գործառնությունն իրականացվում է սույն կետում սահմանված կանոնների և ընթացակարգերի համաձայն`
ա) առանց գրավառուի համաձայնության գրավի առարկայի փոխարինման գործառնությունը նախաձեռնվում է միայն գրավատուի կողմից:
բ) Գրավատուն իրեն սպասարկող ենթապահառուին է ներկայացնում «Գրավի առարկայի փոխարինման հանձնարարական»:
գ) Գրավատուի ենթապահառուն իրականացնում է սույն կարգի 37-րդ կետի «գ» ենթակետով սահմանված ստուգումները: Եթե գրավատուի ենթապահառուի կողմից կատարվող ստուգման արդյունքը բացասական է, ապա դեպո հանձնարարականը չի կատարվում և մերժման պատճառի նշումով վերադարձվում է այն ներկայացնողին: Հակառակ դեպքում ենթապահառուն ստուգում է համապատասխան գրավի պայմանագրի դրույթները: Եթե գրավի պայմանագրով նախատեսված է գրավի առարկայի փոխարինում առանց գրավառուի համաձայնության, ապա գրավատուի ենթապահառուն իրեն ներկայացված հանձնարարականի և գրավի պայմանագրի կրկնօրինակները կից գրությամբ ներկայացնում է գրավառուի ենթապահառուին` խնդրելով տալ գրավի առարկայի փոխարինման հաստատում: Այնուհետև գրավատուի ենթապահառուն գրավառուի ենթապահառուի հետ համաձայնեցված ժամկետում համապատասխան դեպո հանձնարարական է ներկայացնում պահառուին:
դ) Գրավառուի ենթապահառուն, ստանալով գրավատուի ենթապահառուից գրությունը կից փաստաթղթերով և համոզվելով, որ տվյալ գործառնությունը կարող է իրականացվել առանց գրավառուի համաձայնության, պահառուին ներկայացնում է «Գրավի փոխարինման հանձնարարական»: Եթե գրավառուի ենթապահառուի համոզմամբ տվյալ գործառնությունը չի կարող իրականացվել առանց գրավառուի համաձայնության, նա պարտավոր է անհապաղ այդ մասին տեղեկացնել գրավատուի ենթապահառուին, որից հետո տարաձայնությունները կարգավորվում են անմիջապես գրավատուի և գրավառուի կողմից:
ե) Պահառուն, ենթապահառուներից ստանալով դեպո հանձնարարականները, գործում է սույն կարգի 37-րդ կետի «դ», «ե», «զ», «է» ենթակետերում նշված ընթացակարգերի համաձայն:
39. Եթե ենթապահառուն կամ առևտրային բանկն ինքն է գրավատու կամ գրավառու, ապա նա, ինչպես նաև պահառուն գործում են սույն գլխում նկարագրված ընթացակարգերի համաձայն:
Գ Լ ՈՒ Խ 7
ԳՐԱՎԱՏՈՒԻ ՓՈԽԱՐԻՆՈՒՄ
40. Գրավատուի փոխարինման գործառնությունը կատարվում է այն դեպքում, երբ Հայաստանի Հանրապետության օրենսդրությամբ սահմանված կարգով գրավադրված պարտատոմսերի նկատմամբ գրավատուի սեփականության իրավունքն անցնում է այլ անձի:
41. Գրավադրված պարտատոմսերի նկատմամբ սեփականության իրավունքը կարող է անցնել այլ անձի Հայաստանի Հանրապետության օրենսդրությամբ սահմանված դեպքերում` գույքի օտարման պայմանագրի հիման վրա (առուվաճառք, նվիրատվություն և այլն) կամ իրավահաջորդության այլ դեպքերում: Գրավադրված պարտատոմսերի նկատմամբ սեփականության իրավունքն այլ անձին անցնելու դեպքում գրավադրված պարտատոմսերի նկատմամբ գրավառուի գրավի իրավունքը պահպանում է իր ուժը:
42. Գրավատուի փոխարինման դեպքում գրավադրված պարտատոմսերը գրավատուի գրավադրված պարտատոմսերի դեպո հաշվից փոխանցվում են նոր գրավատուի գրավադրված պարտատոմսերի դեպո հաշվի վրա` միաժամանակ միևնույն գրավառուի անունով գրավի իրավունքի համապատասխան վերագրանցմամբ:
43. Գրավատուն կարող է վաճառել կամ նվիրել գրավադրված պարտատոմսերը միայն գրավառուի համաձայնության դեպքում, եթե օրենքով կամ գրավի պայմանագրով այլ բան սահմանված չէ: Գրավադրված պարտատոմսերը ժառանգելու, իրավաբանական անձի վերակազմակերպման դեպքերում գրավառուի համաձայնությունը չի պահանջվում:
44. Պարտատոմսերի գրավատուի փոխարինման գործառնությունը նախաձեռնվում է գրավատուի կամ իրավահաջորդության դեպքում` պարտատոմսերի նկատմամբ սեփականության իրավունք ձեռք բերած անձի (նոր գրավատուի) կողմից:
45. Տվյալ գործառնության իրականացման ժամանակ գրավատուին անմիջապես սպասարկող ենթապահառուն (պահառուն) պարտավոր է իրականացնել ներկայացված փաստաթղթերի հետևյալ ստուգումները`
ա) գրավադրված պարտատոմսերը օտարման արդյունքում այլ անձի սեփականությանն անցնելու դեպքում գրավադրված պարտատոմսերի գրավատուի փոխարինման դեպո հանձնարարականի վրա պետք է առկա լինեն` գրավառուի համաձայնությունը արտացոլող գրառում` վավերացված գրավառուին սպասարկող ենթապահառուի (պահառուի) կողմից (տվյալ համաձայնությունը չի պահանջվում, եթե օրենքով կամ գրավի պայմանագրով սահմանված է, որ գրավառուի համաձայնությունը չի պահանջվում) և պարտատոմսերի նոր սեփականատեր հանդիսացող անձի (նոր գրավատուի) համաձայնությունը արտացոլող գրառում` վավերացված նոր գրավատուին սպասարկող ենթապահառուի (պահառուի) կողմից.
բ) գրավադրված պարտատոմսերն իրավահաջորդության արդյունքում այլ անձի սեփականությանը անցնելու դեպքում գրավադրված պարտատոմսերի գրավատուի փոխարինման դեպո հանձնարարականին կից պետք է ներկայացված լինեն Հայաստանի Հանրապետության օրենսդրությամբ սահմանված իրավահաջորդությունը հավաստող փաստաթղթեր:
46. Գրավատուի փոխարինման գործառնությունն իրականացվում է հետևյալ կերպ`
ա) պարտատոմսերի գրավատուն կամ իրավահաջորդության դեպքում` պարտատոմսերի նկատմամբ սեփականության իրավունք ձեռք բերած անձը (նոր գրավատուն) գրավատուին սպասարկող ենթապահառուին է ներկայացնում «Գրավատուի փոխարինման հանձնարարական», անհրաժեշտության դեպքում սույն կարգի 45-րդ կետում սահմանված այլ փաստաթղթեր:
բ) Գրավատուի ենթապահառուն իրականացնում է ներկայացված փաստաթղթերի համապատասխան ստուգումներ, որոնք ներառում են` սույն կարգի 45-րդ կետով սահմանված ստուգումները, ինչպես նաև հօգուտ տվյալ գրավառուի անհրաժեշտ ծավալի պարտատոմսերի առկայության ստուգումը գրավատուի գրավադրված պարտատոմսերի դեպո հաշվում: Եթե գրավատուի ենթապահառուի կողմից կատարվող ստուգման արդյունքը բացասական է, ապա դեպո հանձնարարականը չի կատարվում և մերժման պատճառի նշումով վերադարձվում է այն ներկայացնողին: Եթե ստուգման արդյունքը դրական է, ապա գրավատուի ենթապահառուն համապատասխան դեպո հանձնարարական է ներկայացնում պահառուին` կցելով ներկայացված այլ փաստաթղթերի կրկնօրինակները:
գ) Պահառուն, ստանալով դեպո հանձնարարականը, ստուգում է անհրաժեշտ ծավալի պարտատոմսերի առկայությունը գրավատուի ենթապահառուի համապատասխան գրավադրված պարտատոմսերի դեպո հաշվում և գրավի իրավունքի անհրաժեշտ ծավալի առկայությունը, և ստուգման դրական արդյունքի դեպքում կատարում է համապատասխան հաշվապահական ձևակերպումներ ու գրավի իրավունքի վերաձևակերպման այլ գրառումներ: Այնուհետև պահառուն գործառնության կատարման հաստատում է ուղարկում գրավատուին սպասարկող ենթապահառուին, իսկ գրավառուին սպասարկող ենթապահառուին և նոր գրավատուին սպասարկող ենթապահառուին ներկայացնում է գրավատուի ենթապահառուից ստացված դեպո հանձնարարականի օրինակը, որը հավաստում է տվյալ գործառնության կատարման փաստը` կից ներկայացնելով նաև ներկայացված այլ փաստաթղթերի կրկնօրինակները: Գործառնական օրվա ավարտից հետո պահառուն գրավատուի ենթապահառուին և նոր գրավատուի ենթապահառուին ուղարկում է քաղվածքներ համապատասխան դեպո հաշիվներից:
դ) Պահառուից ստացված փաստաթղթերի հիման վրա գրավատուի ենթապահառուն, նոր գրավատուի ենթապահառուն, գրավառուի ենթապահառուն համապատասխան գրառումներ են կատարում իրենց մոտ վարվող պահառուական համակարգում, որից հետո գործառնությունը համարվում է կատարված և գրավառուն, գրավատուն և նոր գրավատուն սահմանված փաստաթղթերով (տեղեկանք, քաղվածք, փաստաթղթերի կրկնօրինակներ) տեղեկացվում են գործառնության կատարման վերաբերյալ:
ե) Եթե պահառուի կողմից կատարվող ստուգման արդյունքը բացասական է, ապա դեպո հանձնարարականը չի կատարվում և մերժման պատճառի նշումով վերադարձվում է այն ներկայացնողին, և գործառնությունը համարվում է մերժված:
զ) Եթե գրավատուն առևտրային բանկ է կամ ենթապահառու, ապա նա դեպո հանձնարարականը և անհրաժեշտության դեպքում այլ փաստաթղթերը ներկայացնում է անմիջապես պահառուին, որն իրականացնում է սույն կետի «բ» ենթակետում նշված ստուգումները, և դրական արդյունքի դեպքում կատարում է սույն կետի «գ» ենթակետում սահմանված այլ գործողությունները:
Գ Լ ՈՒ Խ 8
ԳՐԱՎԱՌՈՒԻ ՓՈԽԱՐԻՆՈՒՄ
47. Գրավառուի փոխարինումը գրավառուի կողմից գրավի պայմանագրից բխող իր իրավունքների փոխանցումն է այլ անձի (նոր գրավառուի)` պահանջը զիջելու միջոցով պարտատիրոջ իրավունքները այլ անձի անցնելու կանոններին համաձայն:
48. Գրավառուի կողմից գրավի պայմանագրից բխող իր իրավունքները նոր գրավառուին զիջելը վավեր է, եթե նոր գրավառուին զիջվել է գրավով ապահովված հիմնական պարտավորությամբ պարտապանի նկատմամբ պահանջի իրավունքը:
49. Գրավառուի իրավունքները նոր գրավառուին անցնելու համար գրավատուի համաձայնությունը չի պահանջվում, եթե այլ բան նախատեսված չէ օրենքով կամ պայմանագրով:
50. Գրավառուի փոխարինման դեպքում փոփոխվում են միայն գրավի իրավունքի գրառումները` նախկին գրավառուի գրավի իրավունքը դադարում է, այդ գրավի իրավունքը վերագրանցվում է նոր գրավառուի վրա:
51. Գրավառուի փոխարինման գործառնությունը նախաձեռնվում է նախկին գրավառուի կողմից, որը իրեն սպասարկող ենթապահառուին է ներկայացնում գրավառուի փոխարինման դեպո հանձնարարական, ինչպես նաև գրավադրված պարտատոմսերի նկատմամբ նոր գրավառուի իրավունքները հավաստող փաստաթղթեր:
52. Տվյալ գործառնության իրականացման ժամանակ գրավառուին անմիջապես սպասարկող ենթապահառուն (պահառուն) պարտավոր է իրականացնել հետևյալ ստուգումները`
ա) Հայաստանի Հանրապետության օրենսդրության համաձայն կազմված ցեսիայի պայմանագրի առկայությունը, ըստ որի` գրավառուի կողմից գրավի պայմանագրից բխող իր իրավունքները զիջվում են նոր գրավառուին.
բ) Հայաստանի Հանրապետության օրենսդրության համաձայն կազմված ցեսիայի պայմանագրի առկայությունը, ըստ որի` գրավով ապահովված հիմնական պարտավորությամբ պարտապանի նկատմամբ պահանջի իրավունքը զիջվում է նույն անձին (նոր գրավառուին).
գ) «ա» և «բ» ենթակետերում նշված փաստաթղթերի համապատասխանությունը գրավի պայմանագրին.
դ) եթե օրենքով կամ գրավի պայմանագրով գրավառուի փոխարինման գործառնության համար պահանջվում է գրավատուի համաձայնությունը, ապա գրավառուի փոխարինման դեպո հանձնարարականի վրա պետք է առկա լինի գրավատուի համաձայնությունն արտացոլող գրառում` վավերացված գրավատուին սպասարկող ենթապահառուի (պահառուի) կողմից:
53. Գրավառուի փոխարինման գործառնությունն իրականացվում է սույն կետում սահմանված կանոնների և ընթացակարգերի համաձայն`
ա) պարտատոմսերի գրավառուն կամ նոր գրավառուն գրավառուին սպասարկող ենթապահառուին է ներկայացնում «Գրավառուի փոխարինման հանձնարարական»` կից այլ անհրաժեշտ փաստաթղթերով:
բ) Գրավառուի ենթապահառուն իրականացնում է ներկայացված փաստաթղթերի համապատասխան ստուգումներ, որոնք ներառում են 52-րդ կետով սահմանված ստուգումները, ինչպես նաև համապատասխան գրավի իրավունքի անհրաժեշտ ծավալի առկայության ստուգումը: Եթե գրավառուի ենթապահառուի կողմից կատարվող ստուգման արդյունքը բացասական է, ապա դեպո հանձնարարականը չի կատարվում և մերժման պատճառի նշումով վերադարձվում է այն ներկայացնողին: Եթե ստուգման արդյունքը դրական է, ապա գրավառուի ենթապահառուն համապատասխան դեպո հանձնարարական է ներկայացնում պահառուին` կցելով ներկայացված այլ փաստաթղթերի կրկնօրինակները:
գ) Պահառուն, ստանալով դեպո հանձնարարականը, ստուգում է անհրաժեշտ ծավալի պարտատոմսերի առկայությունը գրավատուի ենթապահառուի համապատասխան գրավադրված պարտատոմսերի դեպո հաշվում և գրավի իրավունքի անհրաժեշտ ծավալի առկայությունն ու ստուգման դրական արդյունքի դեպքում կատարում է գրավի իրավունքի վերաձևակերպման գրառումներ: Այնուհետև պահառուն գործառնության կատարման հաստատում է ուղարկում գրավառուին սպասարկող ենթապահառուին, իսկ գրավատուին սպասարկող ենթապահառուին և նոր գրավառուին սպասարկող ենթապահառուին ներկայացնում է նախկին գրավառուի ենթապահառուից ստացված դեպո հանձնարարականի օրինակները, որոնք հավաստում են տվյալ գործառնության կատարման փաստը` կից ներկայացնելով նաև ներկայացված այլ փաստաթղթերի կրկնօրինակները:
դ) Պահառուից ստացված փաստաթղթերի հիման վրա գրավատուի ենթապահառուն, նախկին գրավառուի ենթապահառուն, նոր գրավառուի ենթապահառուն համապատասխան գրառումներ են կատարում իրենց մոտ վարվող պահառուական համակարգում, որից հետո գործառնությունը համարվում է կատարված, և գրավառուն, գրավատուն և նոր գրավառուն սահմանված փաստաթղթերով (տեղեկանք, փաստաթղթերի կրկնօրինակներ) տեղեկացվում են գործառնության կատարման վերաբերյալ:
ե) Եթե պահառուի կողմից կատարվող ստուգման արդյունքը բացասական է, ապա դեպո հանձնարարականը չի կատարվում և մերժման պատճառի նշումով վերադարձվում է այն ներկայացնողին, և գործառնությունը համարվում է մերժված:
զ) Եթե գրավառուն առևտրային բանկ է կամ ենթապահառու, ապա նա դեպո հանձնարարական և անհրաժեշտ այլ փաստաթղթեր է ներկայացնում անմիջապես պահառուին, որն իրականացնում է սույն կետի «բ» ենթակետում նշված ստուգումները և դրական արդյունքի դեպքում կատարում է սույն կետի «գ» ենթակետում սահմանված այլ գործողությունները:
Գ Լ ՈՒ Խ 9
ԳՐԱՎԱԴՐՎԱԾ ՊԱՐՏԱՏՈՄՍԵՐԻ ՄԱՐՈՒՄ
54. Գրավադրված պարտատոմսերի մարման գործառնությունը կատարվում է այն դեպքում, երբ գրավով ապահովված պարտավորությունները ժամանակին չկատարելու, գրավի առարկան ժամանակին չփոխարինելու կամ այլ դեպքերում պարտատոմսերը տվյալ թողարկման մարման, մասնակի մարման օրվա դրությամբ մնում են գրավի տակ:
55. Գրավադրված պարտատոմսերի մարումն իրականացվում է տվյալ թողարկման տեղաբաշխված պարտատոմսերի ողջ ծավալի մարման գործառնության հետ միաժամանակ և նախաձեռնվում է պահառուի կողմից:
56. Գրավադրված պարտատոմսերի մարման դեպքում գրավի առարկա են դառնում մարման արդյունքում գոյացած դրամական միջոցները, և իրականացվում է գրավի իրավունքի վերաձևակերպում (վերահաշվառում) որպես դրամական միջոցների նկատմամբ գրավի իրավունքի: Մարման արդյունքում գոյացած դրամական միջոցները մուտքագրվում են գրավատու ենթապահառուի կամ առևտրային բանկի` բանկում վարվող «Գրավադրված պարտատոմսերի մարումից առաջացած միջոցներ» դրամական հաշվի վրա:
57. Եթե մարվող պարտատոմսերի գրավատուն և գրավառուն առևտրային բանկեր են կամ ենթապահառուներ, ապա դրամական միջոցների նկատմամբ գրավի իրավունքը հաշվառվում է բանկի կողմից` սույն կարգի 59-րդ կետով սահմանված ընթացակարգերի համաձայն:
58. Եթե մարվող պարտատոմսերի գրավատուն և (կամ) գրավառուն առևտրային բանկ կամ ենթապահառու չէ, ապա դրամական միջոցների նկատմամբ գրավի իրավունքը հաշվառվում է գրավատուի և գրավառուի համաձայնությամբ որևէ առևտրային բանկի կողմից` սույն կարգի 60-րդ կետով սահմանված ընթացակարգերի համաձայն:
59. Գրավադրված պարտատոմսերի մարման արդյունքում գոյացած դրամական միջոցների նկատմամբ գրավի իրավունքի հաշվառումը բանկի կողմից իրականացվում է հետևյալ կերպ`
ա) գրավադրված պարտատոմսերի մարման արդյունքում գոյացած դրամական միջոցները փոխանցվում են «Գրավադրված պարտատոմսերի մարումից առաջացած միջոցներ» հաշվից բանկում գրավատու ենթապահառուի հատուկ գրավային դեպոզիտային հաշվի վրա, և իրականացվում է գրավի իրավունքի վերաձևակերպում (վերահաշվառում)` որպես դրամական միջոցների նկատմամբ գրավի իրավունքի: Հաշվառումը վարվում է ըստ յուրաքանչյուր գրավատուի, գրավառուի և պարտատոմսերի թողարկումների: Գրավատուն և գրավառուն տեղեկացվում են գրավադրված պարտատոմսերի մարման արդյունքում գոյացած դրամական միջոցների գրավադրման վերաբերյալ: Գրավատուն ստանում է նաև քաղվածք իր հատուկ գրավային դեպոզիտային հաշվից:
բ) Հատուկ դեպոզիտային հաշվի ռեժիմը նույնն է, ինչ գրավատուի գրավադրված պարտատոմսերի դեպո հաշվի ռեժիմը, իսկ այդ հաշվում առկա գրավադրված դրամական միջոցներով կարող են կատարվել սույն կարգի 3-րդ, 4-րդ, 5-րդ և 6-րդ գլուխներում սահմանված գործառնությունները նույն պայմաններով:
գ) Գրավից հանման գործառնության դեպքում բանկը գրավառուի հանձնարարականի հիման վրա դրամական միջոցները փոխանցում է հատուկ դեպոզիտային հաշվից գրավատուի` բանկում վարվող թղթակցային կամ բանկային հաշվի վրա:
դ) Գրավից հրաժարման դեպքում բանկը գրավատուի հանձնարարականի հիման վրա դրամական միջոցները փոխանցում է հատուկ դեպոզիտային հաշվից գրավառուի` բանկում վարվող թղթակցային կամ բանկային հաշվի վրա:
ե) Գրավի բռնագանձման դեպքում բանկը հարկադիր կատարողից ստացված կատարողական թերթի հիման վրա դրամական միջոցները փոխանցում է հատուկ դեպոզիտային հաշվից հարկադիր կատարողի կողմից նշված բանկային հաշվի վրա:
60. Գրավադրված պարտատոմսերի մարման արդյունքում գոյացած դրամական միջոցների նկատմամբ գրավի իրավունքի հաշվառումը առևտրային բանկի կողմից իրականացվում է հետևյալ կերպ`
ա) բանկը գրավադրված պարտատոմսերի մարման արդյունքում գոյացած դրամական միջոցները «Գրավադրված պարտատոմսերի մարումից առաջացած միջոցներ» դրամական հաշվից փոխանցում է բանկում բացված գրավատուի ենթապահառուի հատուկ միջանկյալ հաշվի վրա և տեղեկացնում է գրավատուի և գրավառուի ենթապահառուներին: Միաժամանակ բանկն իրականացնում է գրավի իրավունքի վերաձևակերպում (վերահաշվառում) որպես դրամական միջոցների նկատմամբ գրավի իրավունքի:
բ) Ոչ ուշ, քան հինգ բանկային օրվա ընթացքում, գրավատուի ենթապահառուն պարտավոր է բանկ ներկայացնել համաձայնագիր, ըստ որի` գրավատուն և գրավառուն համաձայնում են առ այն, որ գրավի առարկա հանդիսացող պարտատոմսերի մարումից առաջացած դրամական միջոցները հաշվառվեն երրորդ անձ հանդիսացող առևտրային բանկում. համաձայնագիրը պետք է վավերացված լինի տվյալ առևտրային բանկի կողմից, ինչպես նաև գրավատուի և գրավառուի և վերջիններիս սպասարկող ենթապահառուների կողմից: Համաձայնագրին կից ներկայացվում է միջանկյալ հաշվից դրամական միջոցները փոխանցելու վճարման հանձնարարական:
գ) Ստացված համաձայնագրի և վճարման հանձնարարականի հիման վրա բանկը դրամական միջոցները փոխանցում է միջանկյալ հաշվից գրավի իրավունքը հաշվառող առևտրային բանկի թղթակցային հաշվի վրա, հանում է դրամական միջոցների նկատմամբ գրավի իրավունքը իր հաշվառումից, որի մասին տեղեկացնում է գրավատուի և գրավառուի ենթապահառուներին:
դ) Գրավի իրավունքը հաշվառող առևտրային բանկը բանկային փոխանցման և իրեն ներկայացված համաձայնագրի օրինակի հիման վրա մուտքագրում է դրամական միջոցներն իր մոտ բացված գրավատուի հատուկ գրավային դեպոզիտային հաշվի վրա և հետագայում իրականացնում է այդ գրավի հաշվառման սպասարկումը գրավատուի և գրավառուի հանձնարարականների հիման վրա, իսկ օրենքով նախատեսված դեպքերում` դատարանի և (կամ) հարկադիր կատարողի որոշման հիման վրա:
ե) Եթե հինգ բանկային օրվա ընթացքում գրավատուի ենթապահառուի կողմից չի ներկայացվում սույն կետի «բ» ենթակետում նշված համաձայնագիրը, ապա բանկը իրավասու է գրավադրված գումարները փոխանցել նոտարի դեպոզիտ` միաժամանակ տրամադրելով նոտարին տեղեկություններ գրավադրված գումարների հետ կապված գրավատուի և գրավառուի ենթապահառուների վերաբերյալ:
Գ Լ ՈՒ Խ 10
ԳՐԱՎԱԴՐՎԱԾ ՊԱՐՏԱՏՈՄՍԵՐԻ ԴԻՄԱՑ ՏՈԿՈՍՆԵՐԻ ՎՃԱՐՈՒՄ
61. Գրավադրված պարտատոմսերի դիմաց տոկոսների վճարման գործառնությունը կատարվում է այն դեպքում, երբ ըստ պարտատոմսերի թողարկման պայմանների` տվյալ պարտատոմսերի դիմաց թողարկման պայմաններով սահմանված ժամկետներում վճարվում է արժեկտրոնային կամ տոկոսային եկամուտ (այսուհետ` տոկոսներ):
62. Գրավադրված պարտատոմսերի դիմաց տոկոսների վճարումն իրականացվում է տվյալ թողարկման տեղաբաշխված պարտատոմսերի ողջ ծավալի տոկոսների վճարման գործառնության հետ միաժամանակ և նախաձեռնվում է պահառուի կողմից:
63. Գրավառուի գրավի իրավունքը տարածվում է գրավադրված պարտատոմսերից ստացված տոկոսների վրա` գրավի պայմանագրով նախատեսված դեպքերում: Գրավի պայմանագրում նման պայման սահմանված չլինելու դեպքում տոկոսային կամ արժեկտրոնային եկամուտը պետք է ազատ տնօրինվի գրավատուի կողմից:
64. Գրավադրված պարտատոմսերի դիմաց տոկոսների վճարման գործառնությունը իրականացվում է հետևյալ կերպ`
ա) պահառուի կողմից տոկոսները հաշվեգրվում են բանկում վարվող գրավատուի ենթապահառուի հատուկ գրավային դեպոզիտային հաշվի վրա: Գրավատուի ենթապահառուն տեղեկացվում է այդ հաշվի վրա տոկոսների հաշվեգրման վերաբերյալ:
բ) Եթե գրավի պայմանագրով նախատեսված չէ գրավի իրավունքի տարածում գրավադրված պարտատոմսերի դիմաց ստացված տոկոսների վրա, ապա գրավատուի ենթապահառուն ներկայացնում է այդ միջոցները բանկում իր թղթակցային կամ բանկային հաշվի վրա փոխանցման վճարման հանձնարարական` վավերացված նաև գրավառուի ենթապահառուի կողմից: Բանկի կողմից վճարման հանձնարարականը կատարելուց հետո, գրավատուի ենթապահառուն իրականացնում է այդ տոկոսների վճարումը իր հաճախորդ գրավատուին` մուտքագրելով տոկոսների գումարը իր մոտ վարվող գրավատուի դրամական հաշվի վրա, կամ եթե գրավատուի դրամական հաշիվը գտնվում է այլ բանկում` իրականացնելով փոխանցում այդ հաշվի վրա:
գ) Եթե գրավի պայմանագրով նախատեսված է գրավի իրավունքի տարածում գրավադրված պարտատոմսերի դիմաց ստացված տոկոսների վրա, ապա գործում են սույն կարգի 9-րդ գլխի պարտատոմսերի մարման արդյունքում գոյացած դրամական միջոցների համար սահմանված կանոնները:
Գ Լ ՈՒ Խ 11
ՊԱՐՏԱՏՈՄՍԵՐԻ ԲՌՆԱԳԱՆՁՈՒՄ
Պարտատոմսերի բռնագանձման գործառնությունները կատարվում են օրենքով սահմանված կարգով:
Հավելված 4 |
Կ Ա Ր Գ
ՊԵՏԱԿԱՆ ԱՐԺԵԹՂԹԵՐԻ ՀԱՇՎԱՌՄԱՆ ԵՎ ՀԱՇՎԱՐԿՆԵՐԻ ՀԱՄԱԿԱՐԳՈՒՄ ԿԻՐԱՌՎՈՂ ՀԱՇՎԵՀԱՄԱՐՆԵՐԻ ԿՈԴԱՎՈՐՄԱՆ
Գ Լ ՈՒ Խ 1
ԸՆԴՀԱՆՈՒՐ ԴՐՈՒՅԹՆԵՐ
1. Սույն կարգը սահմանում է Պետական արժեթղթերի հաշվառման և հաշվարկների իրականացման համակարգում, ինչպես նաև ենթապահառուների մոտ կիրառվող դեպո հաշվեհամարների կոդավորման սկզբունքները:
2. Սույն կարգի իմաստով`
ա) Պարտատոմս` Հայաստանի Հանրապետության Կառավարության լիազորած մարմնի կողմից թողարկված պարտատոմսեր և այլ արժեթղթեր, որոնց հաշվառումը իրականացվում է համակարգի կողմից:
բ) Համակարգ` Հայաստանի Հանրապետության կենտրոնական բանկի պետական արժեթղթերի հաշվառման և հաշվարկների իրականացման համակարգ:
գ) Մասնակից` համակարգում դեպո հաշիվ ունեցող անձ: Համակարգի մասնակիցներ են` պահառուն (Կենտրոնական բանկը), թողարկողը (Հայաստանի Հանրապետության ֆինանսների և էկոնոմիկայի նախարարությունը), ենթապահառուները (գործակալները, դիլերները և Գանձապետական պահառուն), գործակալ/դիլեր չհանդիսացող առևտրային բանկերը, Կենտրոնական դեպոզիտարիան:
դ) Պահառու` թողարկողի առջև պարտատոմսերի տեղաբաշխման, շրջանառության և մարման սպասարկման պարտավորությունները կրող, պարտատոմսերի թողարկման գլոբալ հավաստագիրը պահող և հաշվառող, պահառուական գործունեություն իրականացնող ենթակառուցվածք, որը վարում է համակարգի մասնակիցների դեպո հաշիվները: Պահառուի գործառույթներն իրականացնում է Կենտրոնական բանկը:
ե) Ներդրող` պարտատոմսերի սեփականատեր հանդիսացող և ենթապահառուի մոտ պարտատոմսերի դեպո հաշիվ ունեցող ֆիզիկական կամ իրավաբանական անձ:
զ) Ենթապահառու` պահառության գործունեություն իրականացնող ենթակառուցվածք, որը վարում է ներդրողների դեպո հաշիվները: Սույն կարգի իմաստով` ենթապահառու են` գործակալները/դիլերները և Գանձապետական պահառուն:
է) Դեպո հաշիվ` պարտատոմսերի հաշվառման համար նախատեսված պահառուի/ ենթապահառուի գրառումների բազմություն, որը միավորված է ընդհանուր հատկանիշներով:
ը) Ակտիվային դեպո հաշիվ` դեպո հաշիվ, որում պարտատոմսերը հաշվառվում են ըստ պահպանման տեղի:
թ) Պասիվային դեպո հաշիվ` դեպո հաշիվ, որում պարտատոմսերը հաշվառվում են ըստ պատկանելության:
ժ) Անալիտիկ դեպո հաշիվ` դեպո հաշիվ, որում հաշվառվում են առանձին մասնակցի կամ ներդրողի իրավունքները բոլոր թողարկումների պարտատոմսերի նկատմամբ, որոնք ունեն միևնույն կարգավիճակը (պասիվային հաշիվների համար), կամ որում հաշվառվում են բոլոր թողարկումների պարտատոմսերն ըստ պարտատոմսերի առանձին պահպանման տեղի (ակտիվային հաշիվների համար):
ժա) Ենթահաշիվ` անալիտիկ հաշվի ներքո բացված հաշիվ, որում հաշվառվում են տվյալ կարգավիճակի առանձին թողարկման պարտատոմսերը: Ենթահաշիվը դեպո հաշվառման նվազագույն անբաժանելի միավորն է:
ժբ) Կենտրոնական բանկ` Հայաստանի Հանրապետության կենտրոնական բանկ:
3. Պարտատոմսերի հաշվառումն իրականացվում է պահառուի և ենթապահառուների մոտ վարվող համապատասխան դեպո հաշիվներով` Կենտրոնական բանկի կողմից սահմանված «Հայաստանի Հանրապետության պետական պարտատոմսերի պահառության գործունեության մասին կարգի» համաձայն:
Գ Լ ՈՒ Խ 2
ՊԱՀԱՌՈՒԻ ՄՈՏ ՊԱՐՏԱՏՈՄՍԵՐԻ ԱՆԱԼԻՏԻԿ ՀԱՇՎԱՌՈՒՄԸ
4. Անալիտիկ հաշվառման նպատակով պահառուի մոտ բացվում են անալիտիկ հաշիվներ (ակտիվային և պասիվային): Պահառուի մոտ կիրառվում են դեպո հաշիվների հետևյալ տեսակները`
ա) ենթապահառուի, գործակալ/դիլեր չհանդիսացող առևտրային բանկերի սեփական պարտատոմսերի դեպո հաշիվներ.
բ) ենթապահառուի ներդրողներին պատկանող պարտատոմսերի ամփոփ դեպո հաշիվներ.
գ) թողարկողի դեպո հաշիվներ.
դ) պահառուի դեպո հաշիվներ.
ե) Կենտրոնական դեպոզիտարիայի դեպո հաշիվներ:
5. Հաշվեհամարներն ունեն հետևյալ կառուցվածքը`
* - X1X2X3X4X5 - նիշերը հաշվետիրոջ կոդն է,
** - X6 - նիշը կարգավիճակի կոդն է,
*** - X7 - նիշը դեպո հաշվի տեսակի կոդն է,
**** - X8 - նիշը ստուգիչ նիշն է:
Հաշվետիրոջ կոդը տրվում է պահառուի կողմից` Կենտրոնական բանկի կողմից սահմանված «Հայաստանի Հանրապետության կենտրոնական բանկի վճարահաշվարկային համակարգի մասնակիցների, վերջիններիս հաճախորդների հաշվեհամարների, ինչպես նաև տեղեկատվական համակարգերի մասնակիցների կոդավորման» կարգի համաձայն:
X6-X7 նիշերը տառաթվային են (0-9 թվեր և անգլերեն այբբենարանի տառեր):
Ստուգիչ նիշը հաշվարկվում է Կենտրոնական բանկի կողմից սահմանված կարգով (հավելված 1, կցվում է):
Գ Լ ՈՒ Խ 3
ԹՈՂԱՐԿՈՂԻ ԴԵՊՈ ՀԱՇԻՎՆԵՐԸ
6. Թողարկողի դեպո հաշիվ` պասիվային հաշիվ է, որը բացում և վարում է պահառուն` թողարկողի կողմից թողարկված պարտատոմսերը հաշվառելու համար:
7. Պարտատոմսերը հաշվառվում են ըստ հետևյալ կարգավիճակով հաշիվների (X6 մասնիկը)`
ա) տեղաբաշխման ենթակա պարտատոմսեր` պարտատոմսեր, որոնք թողարկողի կողմից թողարկվել են և ներկայացված են տեղաբաշխման համար,
բ) հետ գնված պարտատոմսեր` պարտատոմսեր, որոնք հետ են գնվել թողարկողի կողմից մինչև մարման օրը,
գ) մարված պարտատոմսեր` պարտատոմսեր, որոնք դուրս են եկել շրջանառությունից, և որոնց դիմաց հասանելիք գումարը վճարվել է:
8. Թողարկողի դեպո հաշիվներն ունեն հետևյալ կառուցվածքը`
Հաշիվ |
X1 X2 X3 X4 X5 |
X6 |
X7 |
X8 |
h* |
h** |
h*** |
h**** |
* |
Թողարկողի կոդ | ||
** |
«Տեղաբաշխման ենթակա պարտատոմսեր» կարգավիճակ | - 1 | |
«Հետ գնված պարտատոմսեր» կարգավիճակ | - 2 | ||
«Մարված պարտատոմսեր» կարգավիճակ | - 3 | ||
*** |
«Թողարկողի պարտատոմսեր» հաշիվների խմբի իդենտիֆիկատոր | - 1 | |
**** |
Ստուգիչ նիշ: |
Գ Լ ՈՒ Խ 4
ՊԱՀԱՌՈՒԻ ԴԵՊՈ ՀԱՇԻՎԸ
9. Պահառուի դեպո հաշիվ` ակտիվային հաշիվ է, որտեղ հաշվառվում է թողարկողի կողմից թողարկված և պահառուի կողմից հաշվառման վերցված պարտատոմսերի ծավալը: Ընդ որում, թողարկված պարտատոմսերի հանրագումարը պետք է համընկնի գլոբալ հավաստագրերում (կամ թողարկողի հրամաններում) նշված պարտատոմսերի ընդհանուր ծավալի հետ:
10. Պահառուի դեպո հաշիվն ունի հետևյալ կառուցվածքը`
Հաշիվ |
X1 X2 X3 X4 X5 |
X6 |
X7 |
X8 |
h* |
h** |
h*** |
h**** |
* Պահառուի կոդ - 103000
** «Ընդունված հաշվառման» կարգավիճակ - 0
*** «Պահառուի պարտատոմսեր» հաշիվների խմբի իդենտիֆիկատոր - 0
**** Ստուգիչ նիշ:
Գ Լ ՈՒ Խ 5
ԵՆԹԱՊԱՀԱՌՈՒՆԵՐԻ, ԳՈՐԾԱԿԱԼ/ԴԻԼԵՐ ՉՀԱՆԴԻՍԱՑՈՂ ԱՌԵՎՏՐԱՅԻՆ ԲԱՆԿԵՐԻ ԴԵՊՈ ՀԱՇԻՎՆԵՐԸ
11. Պահառուի մոտ յուրաքանչյուր գործակալ/դիլեր հանդիսացող ենթապահառուի համար վարվում է 2 տեսակի դեպո հաշիվ` ենթապահառուի սեփական պարտատոմսերի դեպո հաշիվ և տվյալ ենթապահառուի ներդրողներին պատկանող պարտատոմսերի ամփոփ դեպո հաշիվ: Գանձապետական պահառուի համար բացվում է միայն ներդրողներին պատկանող պարտատոմսերի ամփոփ դեպո հաշիվ, գործակալ/դիլեր չհանդիսացող առևտրային բանկերի համար վարվում է միայն իրենց սեփական պարտատոմսերի դեպո հաշիվ:
12. Ենթապահառուի, գործակալ/դիլեր չհանդիսացող առևտրային բանկի դեպո հաշիվը ունի հետևյալ կառուցվածքը`
Հաշիվ |
X1 X2 X3 X4 X5 |
X6 |
X7 |
X8 |
h* |
h** |
h*** |
h**** |
* |
Ենթապահառուի, գործակալ/դիլեր չհանդիսացող առևտրային բանկի կոդ | |
** |
«Ազատ» կարգավիճակ - 4 | |
«Գրավով սահմանափակված» կարգավիճակ - 5 | ||
«Արգելադրված» (կալանված) կարգավիճակ - 6 | ||
«Գրավադրված արգելադրված (կալանված)» կարգավիճակ - 8 | ||
*** |
«Սեփական պարտատոմսեր» հաշվի տեսակի կոդ - 2 | |
«Ներդրողներին պատկանող պարտատոմսեր» ամփոփ դեպո հաշվի տեսակի կոդ - 3 | ||
**** |
Ստուգիչ նիշ: |
13. Պարտատոմսերի հաշվառումն իրականացվում է ըստ հետևյալ կարգավիճակով հաշիվների (X6 մասնիկը)`
ա) «ազատ» կարգավիճակում համարվում են այն պարտատոմսերը, որոնց հետ գործառնությունների իրականացման սահմանափակում չկա,
բ) «գրավով սահմանափակված» կարգավիճակում համարվում են այն պարտատոմսերը, որոնք գրավադրված են գրավատուի կողմից (համաձայն գրավադրման/ պայմանագրի),
գ) «արգելադրված (կալանված)» կարգավիճակում համարվում են ազատ պարտատոմսերը, որոնց օգտագործման վրա արգելանք է դրված դատարանի որոշմամբ (դատավճռով),
դ) «գրավադրված արգելադրված (կալանված)» կարգավիճակում համարվում են գրավադրված պարտատոմսերը, որոնց օգտագործման վրա արգելանք է դրված դատարանի որոշմամբ (դատավճռով):
Գ Լ ՈՒ Խ 6
ԿԵՆՏՐՈՆԱԿԱՆ ԴԵՊՈԶԻՏԱՐԻԱՅԻ ԴԵՊՈ ՀԱՇԻՎԸ
14. Կենտրոնական դեպոզիտարիայի դեպո հաշիվ` պասիվային հաշիվ է, որտեղ հաշվառվում է Հայաստանի ֆոնդային բորսայում առևտրի համար նախատեսված պարտատոմսերի ծավալը: Ընդ որում, սեփական և ներդրողների պարտատոմսերը հաշվառվում են ընդհանուր ձևով:
15. Կենտրոնական դեպոզիտարիայի դեպո հաշիվն ունի հետևյալ կառուցվածքը`
Հաշիվ |
X1 X2 X3 X4 X5 |
X6 |
X7 |
X8 |
h* |
h** |
h*** |
h**** |
* |
Կենտրոնական դեպոզիտարիայի կոդ | |
** |
«Առևտրի համար նախատեսված» կարգավիճակ - 7 | |
*** |
«Կենտրոնական դեպոզիտարիայի պարտատոմսեր» հաշվի տեսակի կոդ - 4 | |
**** |
Ստուգիչ նիշ: |
Գ Լ ՈՒ Խ 7
ԵՆԹԱՀԱՇԻՎՆԵՐԻ ԿԱՌՈՒՑՎԱԾՔԸ
16. Յուրաքանչյուր անալիտիկ հաշվի ներքո բացվում են ենթահաշիվներ` ըստ յուրաքանչյուր թողարկման պարտատոմսերի:
Ենթահաշիվները կազմված են տվյալ պարտատոմսի 12-նիշանոց պետական գրանցման համարի 3-րդից մինչև 12-րդ նիշերը ներառյալ (առաջին երկու նիշերը ներկայացնում են երկիրը (ԷյԷմ (AM)) և ենթահաշիվների մեջ չեն ներառվում)` ընդամենը 10 նիշ (արժեթղթի ունիկալ համարը և ստուգիչ նիշը):
Գ Լ ՈՒ Խ 8
ԵՆԹԱՊԱՀԱՌՈՒԻ ՄՈՏ ՎԱՐՎՈՂ ԴԵՊՈ ՀԱՇԻՎՆԵՐԸ
17. Ենթապահառուի մոտ պարտատոմսերը հաշվառելու նպատակով բացվում են դեպո հաշիվներ` ըստ առանձին ներդրողների և ենթապահառուի սեփական պարտատոմսերի դեպո հաշիվ: Ենթապահառուի մոտ բացվող դեպո հաշիվների երկարությունը 13 նիշ է, որոնք պարտադիր են: Գործարքների կատարման հանձնարարականներում, ինչպես նաև հաղորդագրությունների ֆորմատների համապատասխան դաշտերում նշվում են տվյալ ենթապահառուի սեփական պարտատոմսերի և/կամ տվյալ ենթապահառուին պատկանող ներդրողի (ներդրողների) 13-նիշանոց դեպո հաշիվները:
18. Ենթապահառուի մոտ վարվող դեպո հաշիվներն ունեն հետևյալ կառուցվածքը`
Հաշիվ |
X1 X2 X3 X4 X5 |
X6 |
X7 X8 X9 X10 X11 X12 |
X13 |
h* |
h** |
h*** |
h**** |
* Ենթապահառուի կոդ
** Հաշվի կարգավիճակ
*** Տվյալ ենթապահառուի ներդրողի կոդ
**** Ստուգիչ նիշ
X6 մասնիկը կարող է ունենալ հետևյալ կոդերը`
4 ազատ
5 գրավով սահմանափակված
6 արգելադրված (կալանված)
7 առևտրի համար նախատեսված
8 գրավադրված արգելադրված (կալանված)
X7X8X9X10X11X12 - տվյալ ենթապահառուի ներդրողի կոդն է, որը տրվում է ենթապահառուի կողմից, ընդ որում.
X7X8 մասնիկները ցույց են տալիս ներդրողի տեսակը.
X7 մասնիկը ցույց է տալիս ներդրողի կարգավիճակը`
1 ռեզիդենտ ներդրողներ,
2 ոչ ռեզիդենտ ներդրողներ,
X8 մասնիկը ցույց է տալիս ներդրողի խումբը ըստ պատկանելության`
1 բանկային հաստատություններ,
2 արժեթղթերի շուկայի մասնակիցներ (բրոքերային գրասենյակ և այլն),
3 ֆինանսավարկային կազմակերպություններ (ոչ բանկային հաստատություններ),
4 այլ իրավաբանական անձ,
5 այլ ֆիզիկական անձ:
Ներդրողների կոդը տրվում է ենթապահառուի կողմից: Յուրաքանչյուր ենթապահառու ինքն է որոշում իր ներդրողների կոդերի կառուցվածքը` հաշվի առնելով, որ ներդրողի կոդը չի կարող հավասար լինել «000000», որն արտացոլում է ենթապահառուին պատկանող սեփական պարտատոմսերը:
X13 - ստուգիչ նիշն է, որը հաշվարկվում է Կենտրոնական բանկի կողմից սահմանված կարգով (հավելված 1, կցվում է):
Պետական արժեթղթերի հաշվառման և հաշվարկների համակարգում կիրառվող հաշվեհամարների կոդավորման կարգի | |
Հավելված 1 |
Ստուգիչ նիշի ձԵՎավորման ալգորիթմը
Ստուգիչ նիշի հաշվարկման ժամանակ իրականացվում են հետևյալ հաջորդական քայլերը`
1. Լատինական այբուբենի յուրաքանչյուր տառին համապատասխանում են թվային արժեքներ` սկսած 10-ից`
A=10 B=11 C=12 D=13 E=14 F=15 |
G=16 |
M=22 N=23 Օ=24 P=25 Q=26 |
S=28 T=29 Ս=30 V=31 W=32 R=27 |
Y=34 Z=35 |
2. Հաշվեհամարի նիշերից յուրաքանչյուրը բազմապատկվում է իրեն համապատասխանող կշռային գործակցով (1 և 2 թվերով):
3. Բազմապատկման արդյունքները գումարվում են, ընդ որում, յուրաքանչյուր նիշ գումարվում է որպես առանձին թիվ (տես օրինակը):
4. Ստուգիչ նիշը ստանալու համար գումարման արդյունքում ստացված թվին հաջորդող և առանց մնացորդի 10-ին բաժանվող թվից հանվում է վերոհիշյալ գումարման արդյունքը:
Բազմապատկման արդյունքների գումարման արդյունքում առանց մնացորդի 10-ին բաժանվող թիվ (օրինակ 30, 40 և այլն) ստանալու դեպքում ստուգիչ նիշը հավասար է 0-ի:
Հաշվեհամարի ստուգիչ նիշի հաշվարկ`
Օրինակ 1. 121002795823K
1 |
2 |
1 |
0 |
0 |
2 |
7 |
9 |
5 |
8 |
2 |
3 |
K |
- | Կոդ |
x |
x |
x |
x |
x |
x |
x |
x |
x |
x |
x |
x |
- | (բազմապատկում) | |
1 |
2 |
1 |
2 |
1 |
2 |
1 |
2 |
1 |
2 |
1 |
2 |
- | կշռային գործակիցներ | |
|
||||||||||||||
1 |
4 |
1 |
0 |
0 |
4 |
7 |
18 |
5 |
16 |
2 |
6 |
|
- | բազմապատկման արդյունքներ |
1+4+1+0+0+4+7+1+8+5+1+6+2+6=46
K=50-46=4
Հաշվեհամարը` 1210027958234
Օրինակ 2. 214001000000K
1 |
2 |
1 |
0 |
0 |
2 |
7 |
9 |
5 |
8 |
2 |
3 |
4 |
- | Կոդ |
x |
x |
x |
x |
x |
x |
x |
x |
x |
x |
x |
x |
x |
- | (բազմապատկում) |
1 |
2 |
1 |
2 |
1 |
2 |
1 |
2 |
1 |
2 |
1 |
2 |
1 |
- | կշռային |
|
- | գործակիցներ | ||||||||||||
- | բազմապատկման արդյունքներ |
2+2+4+0+0+2+0+0+0+0+0+0=10
Քանի որ գումարման արդյունքում ստացված թիվը (10) առանց մնացորդի բաժանվում է 10-ի, ստուգիչ նիշը հավասար է 0-ի:
Հաշվեհամարը` 2140010000000
Ստուգիչ նիշի ստուգման ալգորիթմ
Հաշվեհամարում ստուգիչ նիշի ստուգումն իրականացվում է հետևյալ հաջորդական քայլերի միջոցով`
1. Հաշվեհամարի նիշերը (ներառյալ ստուգիչ նիշը) բազմապատկվում են իրենց համապատասխանող կշռային գործակցով (2 և 1 թվերով):
2. Բազմապատկման արդյունքները գումարվում են, ընդ որում յուրաքանչյուր նիշ գումարվում է որպես առանձին թիվ (տես օրինակ):
Եթե ստացված արդյունքն առանց մնացորդի բաժանվում է 10-ի, ապա ստուգիչ նիշը ճիշտ է հաշվարկված:
Օրինակ` 1210027958234
2 |
1 |
4 |
0 |
0 |
1 |
0 |
0 |
0 |
0 |
0 |
0 |
K |
- | Կոդ |
x |
x |
x |
x |
x |
x |
x |
x |
x |
x |
x |
x |
- | (բազմապատկում) | |
1 |
2 |
1 |
2 |
1 |
2 |
1 |
2 |
1 |
2 |
1 |
2 |
- | կշռային գործակիցնե | |
|
||||||||||||||
2 |
2 |
4 |
0 |
0 |
2 |
0 |
0 |
0 |
0 |
0 |
0 |
- | բազմապատկման արդյունքներ |
1+4+1+0+0+4+7+1+8+5+1+6+2+6+4=50
Քանի որ գումարը (50) առանց մնացորդի բաժանվում է 10-ի, ստուգիչ նիշը ճիշտ է հաշվարկված:
Հավելված 5 |
Կ Ա Ր Գ
ՀԱՅԱՍՏԱՆԻ ՀԱՆՐԱՊԵՏՈՒԹՅԱՆ ՊԵՏԱԿԱՆ ՊԱՐՏԱՏՈՄՍԵՐԻ ԵՐԿՐՈՐԴԱՅԻՆ ՇՈՒԿԱՅՈՒՄ ՇՐՋԱՆԱՌՈՒԹՅԱՆ
Գ Լ ՈՒ Խ 1
ԸՆԴՀԱՆՈՒՐ ԴՐՈՒՅԹՆԵՐ
1. Սույն կարգը սահմանում է Հայաստանի Հանրապետության պետական պարտատոմսերի (այսուհետ` պարտատոմսերի) երկրորդային շուկայում շրջանառության կարգը:
2. Սույն կարգում կիրառվող հիմնական հասկացություններն են.
2.1 Բանկ` Հայաստանի Հանրապետության կենտրոնական բանկ:
2.2 Թողարկող` Հայաստանի Հանրապետության ֆինանսների և էկոնոմիկայի նախարարություն:
2.3 Պարտատոմս` Հայաստանի Հանրապետության ֆինանսների և էկոնոմիկայի նախարարության կողմից թողարկվող կարճաժամկետ, միջին ժամկետայնության մասնակի մարումներով արժեկտրոնային և միջին ժամկետայնության արժեկտրոնային պարտատոմսեր, ինչպես նաև հետագայում թողարկվող և շրջանառվող պետական այլ պարտատոմսեր, եթե տվյալ տեսակի պարտատոմսի շրջանառությունը կանոնակարգող իրավական ակտերով սահմանված կլինի, որ սույն կարգը տարածվում է տվյալ պարտատոմսի վրա:
2.4 Գործակալ` թողարկողի և բանկի հետ պարտատոմսերի շուկայում գործակալի գործառույթների կատարման մասին պայմանագիր կնքած իրավաբանական անձ:
2.5 Դիլեր` թողարկողի և բանկի հետ պարտատոմսերի շուկայում դիլերի գործառույթների կատարման մասին պայմանագիր կնքած իրավաբանական անձ:
2.6 Դեպո հաշիվ` պարտատոմսերի հաշվառման համար նախատեսված պահառուի (ենթապահառուի) գրառումների բազմություն, որը միավորված է ընդհանուր հատկանիշներով:
2.7 Պահառու` պարտատոմսերի տեղաբաշխման, շրջանառության և մարման սպասարկման պարտավորությունները կրող, պահառուական գործունեություն իրականացնող ենթակառուցվածք: Պահառուի գործառույթներն իրականացնում է բանկը:
2.8 Ենթապահառու` պահառուական գործունեություն իրականացնող ենթակառուցվածք, որում հաշվառվում են ներդրողներին սեփականության իրավունքով պատկանող պարտատոմսերը` ըստ առանձին սեփականատերերի: Սույն կարգի իմաստով` ենթապահառու են գործակալները և դիլերները: Սույն կարգի իմաստով` Գանձապետական պահառուն չի հանդիսանում ենթապահառու: Գանձապետական պահառուի ներդրողների պարտատոմսերով երկրորդային շուկայի գործառնություններ իրականացնելու համար պարտատոմսերը պետք է պահատվության փոխանցվեն գործակալ կամ դիլեր հանդիսացող ենթապահառուի մոտ` դեպո հաշվարկները կատարելով «ազատ առաքման» սկզբունքով:
2.9 Ներդրող` պարտատոմսերի սեփականատեր հանդիսացող ֆիզիկական կամ իրավաբանական անձ, որի պարտատոմսերը հաշվառվում են ենթապահառուի մոտ:
2.10 Առևտրային բանկ` Հայաստանի Հանրապետությունում գործող առևտրային բանկ, որը չի հանդիսանում պարտատոմսերի շուկայում գործակալ, դիլեր, և որին սեփականության իրավունքով պատկանում են պարտատոմսերը:
2.11 Գանձապետական պահառու` Հայաստանի Հանրապետության Կառավարության լիազոր մարմնի կողմից պարտատոմսերի անմիջական վաճառքի, ներդրողներին պատկանող պարտատոմսերի հաշվառման և սպասարկման համակարգ:
2.12 Պարտատոմսերի բրոքերային գործունեություն` հանձնարարության, կոմիսիայի կամ գործակալության պայմանագրի հիման վրա այլ անձի (անձանց) հաշվին պարտատոմսերի առուվաճառքի գործունեությունն է:
2.13 Բորսայական առևտուր` «Արժեթղթերի շուկայի կարգավորման մասին» Հայաստանի Հանրապետության օրենքով և այլ իրավական ակտերով սահմանված կարգով ֆոնդային բորսաներում պարտատոմսերի առուվաճառքի գործարքների կնքումն է:
2.14 Պարտատոմսերի արտաբորսայական առևտուր` պարտատոմսերով երկրորդային շուկայում բրոքերային գործունեություն իրականացնող անձանց միջոցով ֆոնդային բորսայից դուրս կամ անմիջապես ներդրողների միջև առուվաճառքի գործարքների կնքումն է:
2.15 Դեպո հաշվարկներ` ենթապահառուների և պահառուի կողմից իրականացվող գործառնությունների բազմությունն է, որի արդյունքում իրականացվում է պարտատոմսերի նկատմամբ սեփականության իրավունքի փոխանցում գործարքի մասնակիցների միջև «առաքում վճարման դիմաց» կամ «ազատ առաքման» սկզբունքով:
2.16 Դեպո հանձնարարականի վավերության ստուգում` ենթապահառուի (պահառուի) կողմից իրեն ներկայացված դեպո հանձնարարականի ստուգում, որի ընթացքում ստուգվում է դեպո հանձնարարականի լրացման ճշտությունը և դեպո հանձնարարականի ներկայացումը համապատասխան լիազորություն ունեցող անձի կողմից:
2.17 Առաքող` պարտատոմսերի երկրորդային շուկայի գործարքի կողմ հանդիսացող անձ, որը սեփականության իրավունքով իրեն պատկանող պարտատոմսերը փոխանցում է գործարքի մյուս կողմին:
2.18 Ստացող` պարտատոմսերի երկրորդային շուկայի գործարքի կողմ հանդիսացող անձ, որի սեփականությանը փոխանցում են գործարքի մյուս կողմին պատկանող պարտատոմսերը:
Գ Լ ՈՒ Խ 2
ԵՐԿՐՈՐԴԱՅԻՆ ՇՈՒԿԱՅՈՒՄ ՊԱՐՏԱՏՈՄՍԵՐԻ ՇՐՋԱՆԱՌՈՒԹՅՈՒՆԸ
3. Պարտատոմսերի շրջանառությունը երկրորդային շուկայում պարտատոմսերի օտարման հատուցելի և անհատույց գործարքների իրականացումն է: Պարտատոմսերի օտարման հատուցելի գործարքները պարտատոմսերի առուվաճառքի, ռեպո (հակադարձ ռեպո), պարտատոմսերի փոխանակման, ինչպես նաև Հայաստանի Հանրապետության օրենսդրությամբ թույլատրված գույքի հատուցելի օտարման այլ գործարքներն են: Պարտատոմսերի օտարման անհատույց գործարքները պարտատոմսերի նվիրատվության, ժառանգելու գործարքներն են, ինչպես նաև իրավաբանական անձի վերակազմակերպման հետևանքով պարտատոմսերի օտարումն է:
4. Պարտատոմսերի օտարման գործարքներն իրականացվում են Հայաստանի Հանրապետության օրենսդրությամբ և սույն կարգով սահմանված ձևով` հետևյալ փուլերով` գործարքի կնքում, դեպո հաշվարկների, անհրաժեշտության դեպքում` նաև փողային հաշվարկների (այսուհետ` դրամական հաշվարկների) իրականացում, գործարքի կողմերի տեղեկացում: Պարտատոմսերի նկատմամբ սեփականության իրավունքը փոխանցված է համարվում (պարտատոմսերը օտարված են համարվում) դեպո հաշվարկների կատարման արդյունքում պահառուի (ենթապահառուի) կողմից սույն կարգի համաձայն սեփականատիրոջ դեպո հաշիվներում այն գրանցելու պահից:
5. Պարտատոմսերի երկրորդային շուկայի մասնակիցներ են` ներդրողները, առևտրային բանկերը, գործակալները, դիլերները, ինչպես նաև «Արժեթղթերի շուկայի կարգավորման մասին» Հայաստանի Հանրապետության օրենքով սահմանված բրոքերային, դիլերային, հավատարմագրային կառավարման գործունեությամբ զբաղվող մասնագիտացված անձինք: Պարտատոմսերի երկրորդային շուկայի ենթակառուցվածքներն են` պահառուն և ենթապահառուները:
6. Պարտատոմսերի ռեպո (հակադարձ ռեպո) գործարքները կարող են կնքվել գործարքի մասնակիցների միջև փոխհամաձայնեցված կարգով:
7. Պարտատոմսերի առուվաճառքի գործարքները կարող են կնքվել բորսայական կամ արտաբորսայական առևտրի միջոցով կամ գործակալների, դիլերների կողմից ստեղծված (ձեռք բերված) էլեկտրոնային առևտրային համակարգերի միջոցով: Առուվաճառքի գործարքների կնքման դեպքում գործարքի նախաձեռնող է գնորդը (ստացողը) կամ վաճառողը (առաքողը), որը ներկայացնում է համապատասխան հայտ կամ կնքում է պայմանագիր, որտեղ նշվում է գործարքի գինը և (կամ) ծավալը, ինչպես նաև եկամտաբերությունը, որի չափով գործարքի մասնակիցը ցանկանում է գնել կամ վաճառել պարտատոմսեր:
8. Առուվաճառքի, ռեպո (հակադարձ ռեպո) գործարքների առարկա կարող են հանդիսանալ միայն այն պարտատոմսերը, որոնց նկատմամբ դրանց սեփականատիրոջ իրավունքները սահմանափակված չեն (ազատ արժեթղթերի կարգավիճակով դեպո հաշվում առկա պարտատոմսերը):
9. Պարտատոմսերով դեպո հաշվարկները կարող են կատարվել գործարքի մասնակիցների դեպո հաշիվները վարող ենթապահառուների (պահառուի) միջոցով` սույն կարգով սահմանված ընթացակարգերի համաձայն: Գործարքի մասնակիցների միջև դրամական հաշվարկները կարող են կատարվել Հայաստանի Հանրապետության օրենսդրության համաձայն` կանխիկ կամ անկանխիկ եղանակով: Անկանխիկ եղանակով կատարվող դրամական հաշվարկները կատարվում են սույն կարգով սահմանված ընթացակարգերի համաձայն:
10. Ենթապահառուների և (կամ) առևտրային բանկերի միջև դեպո հաշվարկները կարող են իրականացվել բացառապես նրանց պահառուի մոտ վարվող համապատասխան դեպո հաշիվներով, իսկ դրամական հաշվարկները կարող են իրականացվել միայն հայկական դրամով` բանկում վարվող նրանց թղթակցային (բանկային) հաշիվներով:
11. Եթե առուվաճառքի պայմանագրով նախատեսված է դրամական հաշվարկների իրականացում կանխիկ եղանակով, ապա դեպո հաշվարկներն իրականացվում են «ազատ առաքման» սկզբունքով, սույն կարգի 16-րդ կետում սահմանված ընթացակարգերի համաձայն: Եթե առուվաճառքի պայմանագրով նախատեսված է դրամական հաշվարկների իրականացում անկանխիկ եղանակով, կանխավճարի կամ ապառիկ վաճառքի պայմաններով, ապա դեպո հաշվարկներն իրականացվում են «ազատ առաքման» սկզբունքով, սույն կարգի 16-րդ կետում սահմանված ընթացակարգերի համաձայն:
12. Եթե առուվաճառքի պայմանագրով նախատեսված է դրամական հաշվարկների իրականացում անկանխիկ եղանակով, պարտատոմսերի և դրամական միջոցների միաժամանակ առաքման պայմանով, ապա դեպո և դրամական հաշվարկները իրականացվում են «առաքում` վճարման դիմաց» սկզբունքով, սույն կարգի 15-րդ կետում սահմանված ընթացակարգերի համաձայն:
13. Պարտատոմսերի ռեպո (հակադարձ ռեպո) գործարքների դեպո և դրամական հաշվարկներն իրականացվում են առուվաճառքի գործարքների հաշվարկների համար սույն կարգով սահմանված կանոնների համաձայն:
14. Պարտատոմսերի առուվաճառքի, ռեպո (հակադարձ ռեպո) գործարքներից բացի, պարտատոմսերով երկրորդային շուկայի այլ գործարքների դեպո հաշվարկներն իրականացվում են «ազատ առաքման» սկզբունքով, սույն կարգի 16-րդ կետում սահմանված ընթացակարգերի համաձայն:
Գ Լ ՈՒ Խ 3
ԵՐԿՐՈՐԴԱՅԻՆ ՇՈՒԿԱՅՈՒՄ ՊԱՐՏԱՏՈՄՍԵՐՈՎ ԳՈՐԾԱՐՔՆԵՐԻ ՀԵՏ ԿԱՊՎԱԾ ՀԱՇՎԱՐԿՆԵՐԻ ԻՐԱԿԱՆԱՑՄԱՆ ԿԱՐԳԸ
15. Պարտատոմսերի առուվաճառքի «առաքում` վճարման դիմաց» սկզբունքով դեպո և դրամական հաշվարկներն իրականացվում են հետևյալ կանոնների և ընթացակարգերի համաձայն`
15.1 Առուվաճառքի կողմեր հանդիսացող առաքողը (պարտատոմսեր վաճառողը) և ստացողը (պարտատոմսերի գնորդը) կամ նրանց կողմից լիազորված անձինք իրենց սպասարկող ենթապահառուներին ներկայացնում են, համապատասխանաբար, «Պարտատոմսերի վաճառքի» և «Պարտատոմսերի գնման» դեպո հանձնարարականներ: Դեպո հանձնարարականները ներկայացվում են ենթապահառուի և վերջինիս հաճախորդի միջև փոխհամաձայնեցված եղանակով ենթապահառուի կողմից դեպո հանձնարարականների ընդունման համար սահմանված գործառնական ժամերի ընթացքում: Եթե դեպո հանձնարարականն ընդունվել է ենթապահառուի կողմից սահմանված ժամերից հետո, ապա այն համարվում է ներկայացված հաջորդ աշխատանքային օրը: Ենթապահառուի կողմից դեպո հանձնարարականը կատարվում է դրանում նշված կատարման օրը` սույն կարգով սահմանված ստուգման արդյունքը դրական լինելու դեպքում: Դեպո հանձնարարականում կատարման օր նշված չլինելու դեպքում այն կատարվում է ներկայացման օրը: Եթե ենթապահառուն չի կարող կատարել հաճախորդի կողմից ներկայացված դեպո հանձնարարականը դրանում նշված կատարման օրը, նա վերադարձնում է հաճախորդին դեպո հանձնարարականը առանց կատարման` նշելով մերժման պատճառը:
15.2 Առաքողի ենթապահառուն իրականացնում է ներկայացված դեպո հանձնարարականի վավերության ստուգում և անհրաժեշտ ծավալի պարտատոմսերի առկայություն առաքողի ազատ պարտատոմսերի դեպո հաշվում: Ստացողի ենթապահառուն իրականացնում է ներկայացված դեպո հանձնարարականի վավերության ստուգում և անհրաժեշտ դրամական միջոցների առկայության ստուգում ենթապահառուի մոտ վարվող ստացողի դրամական հաշվում կամ ստացողի դրամական հաշիվն այլ բանկում գտնվելու դեպքում` ենթապահառուին համապատասխան դրամական միջոցների փոխանցման կատարման ստուգում: Եթե ենթապահառուի կողմից կատարվող ստուգման արդյունքը բացասական է, ապա դեպո հանձնարարականը չի կատարվում և մերժման պատճառի նշումով վերադարձվում է այն ներկայացնողին: Հակառակ դեպքում ենթապահառուն ընդունում է այն կատարման և իր հերթին համապատասխան դեպո հանձնարարական է ներկայացնում պահառուին:
15.3 Պահառուն, ստանալով դեպո հանձնարարականը, իրականացնում է վավերության ստուգում: Անվավերության դեպքում դեպո հանձնարարականը չի կատարվում և մերժման պատճառի նշումով վերադարձվում է այն ներկայացնողին: Ստուգման դրական արդյունքի դեպքում պահառուն փնտրում է իր կողմից ընդունված դեպո հանձնարարականների բազմությունում տվյալ հանձնարարականի զույգ հանդիսացող հանձնարարականը (զույգ հանդիսացող հանձնարարականում տվյալ գործառնությունը բնութագրող բոլոր վավերապայմանները հայելանման արտապատկերում ունեն): Համապատասխան զույգը գտնելու դեպքում պահառուն ստուգում է առաքվող պարտատոմսերի բավարար ծավալի առկայությունն առաքողի ենթապահառուի համապատասխան ազատ պարտատոմսերի դեպո հաշվում և դրամական միջոցների առկայությունը բանկում վարվող ստացողի ենթապահառուի դրամական հաշվի վրա: Ստուգման դրական արդյունքի դեպքում պահառուն կատարում է դրամական միջոցների փոխանցում բանկում վարվող` ստացողի ենթապահառուի դրամական հաշվից առաքողի ենթապահառուի դրամական հաշվի վրա, իսկ պահառուական համակարգում առաքվող պարտատոմսերի փոխանցում առաքողի ենթապահառուի ազատ պարտատոմսերի դեպո հաշվից ստացողի ենթապահառուի ազատ պարտատոմսերի համապատասխան դեպո հաշվի վրա: Այնուհետև պահառուն գործառնության կատարման հաստատում է ուղարկում առաքողին և ստացողին սպասարկող ենթապահառուներին: Գործառնական օրվա ավարտից հետո պահառուն ենթապահառուներին քաղվածքներ է ուղարկում համապատասխան դեպո հաշիվներից:
15.4 Պահառուից ստացված հաստատման հիման վրա նույն գործառնական օրվա ընթացքում ստացողի ենթապահառուն մուտքագրում է պարտատոմսերը ստացողի ազատ պարտատոմսերի դեպո հաշվի վրա` միաժամանակ ելքագրելով պարտատոմսերի առքի համար հաշվառված դրամական միջոցները: Առաքողի ենթապահառուն ելքագրում է վաճառքի համար հաշվառված առաքողի պարտատոմսերը և միաժամանակ վճարում վաճառված պարտատոմսերի դիմաց ստացված դրամական միջոցները առաքողին, իսկ առաքողի դրամական հաշիվը այլ ենթապահառուի մոտ կամ առևտրային բանկում գտնվելու դեպքում` իրականացնում դրամական միջոցների փոխանցում առաքողի կողմից նշված դրամական հաշվի վրա: Այնուհետև գործառնությունը համարվում է կատարված, և առաքողն ու ստացողը սահմանված ժամկետներում ենթապահառուներից ստացված քաղվածքներով տեղեկացվում են գործառնության կատարման վերաբերյալ: Սույն ենթակետի իմաստով` գործողությունները համարվում են կատարված միաժամանակ, եթե դրանք կատարվել են միևնույն գործառնական օրվա ընթացքում:
15.5 Եթե պահառուի կողմից կատարվող ստուգման արդյունքը բացասական է, ապա դեպո հանձնարարականները չեն կատարվում և մերժման պատճառի նշումով վերադարձվում են այն ներկայացնողներին, և գործառնությունը համարվում է մերժված:
15.6 Բոլոր այն դեպո հանձնարարականները, որոնց համապատասխան զույգերը պահառուի կողմից սահմանված ժամանակահատվածում (պահառուի գործառնական օրվա ընթացքում) չեն գտնվում, մերժման պատճառի նշումով վերադարձվում են այն ներկայացնողներին, և գործառնությունը համարվում է մերժված:
15.7 Եթե առաքողը և ստացողը սպասարկվում են միևնույն ենթապահառուի մոտ, ապա դեպո և դրամական հաշվարկները սահմանափակվում են տվյալ ենթապահառուով, որը առաքողից և ստացողից զույգ հանդիսացող դեպո հանձնարարականներն ընդունելուց հետո իրականացնում է հաշվարկները սույն կետի 15.4 ենթակետում սահմանված ընթացակարգերի համաձայն:
15.8 Եթե առուվաճառքի գործարքի կողմերը ներդրողը և վերջինիս սպասարկող ենթապահառուն են, ապա ենթապահառուն, ընդունելով ներդրողի «Պարտատոմսերի վաճառքի» («Պարտատոմսերի գնման») դեպո հանձնարարականը, դրա հիման վրա կազմում և ներկայացնում է պահառուին «ազատ առաքման» դեպո հանձնարարական, որի հիման վրա պահառուն գործում է սույն կարգի 16-րդ կետի 16.3 ենթակետով սահմանված ընթացակարգերի համաձայն: Ենթապահառուն, պահառուից ստանալով գործառնության կատարման հաստատումը, իրականացնում է դեպո և դրամական հաշվարկները սույն կետի 15.4 ենթակետում սահմանված ընթացակարգերի համաձայն:
15.9 Եթե առաքողը և (կամ) ստացողը առևտրային բանկ է կամ ենթապահառու, ապա նա դեպո հանձնարարական է ներկայացնում անմիջապես պահառուին, որը գործում է սույն կետի 15.3, 15.5, 15.6 ենթակետերում նշված ընթացակարգերի համաձայն: 15.10 Եթե առուվաճառքի գործարքները ներդրողների կարգադրությամբ կնքվում են պարտատոմսերի երկրորդային շուկայի բրոքերների միջոցով, ապա ներդրողների անունից «Պարտատոմսերի վաճառքի» և «Պարտատոմսերի գնման» դեպո հանձնարարականները ներկայացվում են նթապահառուներին (իսկ բրոքերը ենթապահառու լինելու դեպքում` պահառուին) բրոքերների կողմից:
16. Պարտատոմսերի «ազատ առաքման» սկզբունքով պարտատոմսերի երկրորդային շուկայի գործարքների դեպո հաշվարկներն իրականացվում են հետևյալ կանոնների և ընթացակարգերի համաձայն`
16.1 Գործարքի առաքող կողմը կամ վերջինիս կողմից լիազորված անձը իրեն սպասարկող ենթապահառուին ներկայացնում է «Պարտատոմսերի ազատ առաքման» դեպո հանձնարարական` սույն կարգի 15-րդ կետի 15.1 ենթակետում սահմանված կանոնների համաձայն:
16.2 Առաքողի ենթապահառուն իրականացնում է ներկայացված դեպո հանձնարարականի վավերության ստուգում և անհրաժեշտ ծավալի պարտատոմսերի առկայություն առաքողի ազատ պարտատոմսերի դեպո հաշվում: Եթե ենթապահառուի կողմից կատարվող ստուգման արդյունքը բացասական է, ապա դեպո հանձնարարականը չի կատարվում և մերժման պատճառի նշումով վերադարձվում է այն ներկայացնողին: Հակառակ դեպքում ենթապահառուն ընդունում է այն կատարման և իր հերթին համապատասխան դեպո հանձնարարական է ներկայացնում պահառուին:
16.3 Պահառուն, ստանալով դեպո հանձնարարականը, իրականացնում է վավերության ստուգում և անհրաժեշտ ծավալի պարտատոմսերի առկայության ստուգում առաքողի ենթապահառուի համապատասխան ազատ պարտատոմսերի դեպո հաշվում: Ստուգման դրական արդյունքի դեպքում պահառուն կատարում է առաքվող պարտատոմսերի փոխանցում առաքողի ենթապահառուի ազատ պարտատոմսերի դեպո հաշվից ստացողի ենթապահառուի ազատ պարտատոմսերի համապատասխան դեպո հաշվի վրա: Այնուհետև պահառուն գործառնության կատարման հաստատում է ուղարկում առաքողի ենթապահառուին, իսկ ստացողին սպասարկող ենթապահառուին ներկայացնում է առաքողի ենթապահառուից ստացված դեպո հանձնարարականի օրինակը, որը հավաստում է տվյալ գործառնության կատարման փաստը: Դեպո հանձնարարականի օրինակը չի ուղարկվում ստացողին սպասարկող ենթապահառուին, եթե գործառնության մի կողմը ներդրող է, իսկ մյուս կողմը` վերջինիս սպասարկող ենթապահառու: Գործառնական օրվա ավարտից հետո պահառուն ենթապահառուներին քաղվածքներ է ուղարկում համապատասխան դեպո հաշիվներից:
16.4 Պահառուից ստացված հաստատման հիման վրա նույն գործառնական օրվա ընթացքում ստացողի ենթապահառուն մուտքագրում է պարտատոմսերը ստացողի ազատ պարտատոմսերի դեպո հաշվի վրա, իսկ առաքողի ենթապահառուն ելքագրում է առաքման համար հաշվառված առաքողի պարտատոմսերը:
16.5 Եթե պահառուի կողմից կատարվող ստուգման արդյունքը բացասական է, ապա դեպո հանձնարարականը չի կատարվում և մերժման պատճառի նշումով վերադարձվում է այն ներկայացնողներին, և գործառնությունը համարվում է մերժված:
16.6 Եթե առաքողը և ստացողը սպասարկվում են միևնույն ենթապահառուի մոտ, ապա դեպո հաշվարկները սահմանափակվում են տվյալ ենթապահառուով, որն առաքողի դեպո հանձնարարականն ընդունելուց հետո իրականացնում է հաշվարկները սույն կետի «դ» ենթակետում սահմանված ընթացակարգերի համաձայն:
16.7 Եթե առաքողն առևտրային բանկ է կամ ենթապահառու, ապա նա դեպո հանձնարարական է ներկայացնում անմիջապես պահառուին, որը գործում է սույն կետի 16.3, 16.5 ենթակետերում նշված ընթացակարգերի համաձայն:
Հավելված 6 |
Կ Ա Ր Գ
ՊԵՏԱԿԱՆ ՊԱՐՏԱՏՈՄՍԵՐՈՎ ԳՈՐԾԱՌՆՈՒԹՅՈՒՆՆԵՐՈՒՄ ԿԻՐԱՌՎՈՂ ՓԱՍՏԱԹՂԹԵՐԻ ՆՎԱԶԱԳՈՒՅՆ ՎԱՎԵՐԱՊԱՅՄԱՆՆԵՐԻ ՄԱՍԻՆ
1. Սույն կարգը սահմանում է այն վավերապայմանները, որոնք պարտադիր պետք է առկա լինեն պետական պարտատոմսերով գործառնություններ իրականացնելու համար հիմք հանդիսացող փաստաթղթերում:
2. Պետական պարտատոմսերով գործառնությունների կատարման համար հիմք հանդիսացող փաստաթղթերը պետք է պարունակեն սույն կարգի հավելված 1-ում սահմանված վավերապայմանները:
3. Հավելված 1-ում առանձին փաստաթղթերի համար սահմանված վավերապայմանների առկայությունը տվյալ փաստաթղթում պարտադիր է, և այդ վավերապայմանը ենթակա է պարտադիր լրացման` հավելված 1-ում ներկայացված աղյուսակի «լրացման կարգը» սյունակում «պարտադիր» նշված լինելու դեպքում և ենթակա չէ պարտադիր լրացման` «լրացման կարգը» սյունակում «ոչ պարտադիր» նշված լինելու դեպքում: Էլեկտրոնային հաղորդագրությունների ֆորմատներում ոչ պարտադիր լրացման ենթակա վավերապայմանները կարող են բացակայել:
4. Պետական պարտատոմսերով գործառնությունների կատարման համար հիմք հանդիսացող փաստաթղթերը, բացի սույն կարգով սահմանված վավերապայմաններից, կարող են անհրաժեշտության դեպքում պարունակել նաև ենթապահառուի (պահառուի) կողմից սահմանված այլ վավերապայմաններ:
5. Հայաստանի Հանրապետության տարածքում պետական պարտատոմսերով գործառնությունների կատարման համար հիմք հանդիսացող փաստաթղթերի բլանկները պարտադիր պետք է լինեն հայերեն, իսկ օտար լեզվով դրանց թարգմանությունը կատարվում է ըստ անհրաժեշտության:
«Պետական պարտատոմսերով գործառնություններում կիրառվող փաստաթղթերի նվազագույն վավերապայմանների մասին» կարգի | |
Հավելված 1 |
ՊԵՏԱԿԱՆ ՊԱՐՏԱՏՈՄՍԵՐՈՎ ԳՈՐԾԱՌՆՈՒԹՅՈՒՆՆԵՐՈՒՄ ԿԻՐԱՌՎՈՂ ՓԱՍՏԱԹՂԹԵՐԻ ՆՎԱԶԱԳՈՒՅՆ ՎԱՎԵՐԱՊԱՅՄԱՆՆԵՐԸ
1. Պետական պարտատոմսերով գործառնություններում կիրառվող փաստաթղթերի նվազագույն վավերապայմանները
Փաստաթղթի անվանումը |
Նվազագույն վավերապայմանները |
Լրացման կարգը |
Նշումներ |
1. Պետական պարտատոմսերի առաջնային տեղաբաշխման (ենթատեղաբաշխման) աճուրդի հայտ | 1.1 Հայտի համարը | պարտադիր | |
1.2 պարտատոմսերի պետական գրանցման համարը |
պարտադիր | ||
1.3 հայտի ներկայացման (ընդունման) ամսաթիվը |
պարտադիր | ||
1.4 հայտ ներկայացնողի անվանումը |
պարտադիր | ||
1.5 հայտ ներկայացնողի դեպո հաշվի համարը կամ կոդը |
պարտադիր | Նշվում է պահառուի (ենթապահառուի) կողմից հայտ ներկայացնողին տրամադրված կոդը կամ վերջինիս ազատ կարգավիճակով դեպո հաշվի համարը | |
1.6 մրցակցային առաջարկության ծավալը թվերով |
ոչ պարտադիր |
տվյալ վավերապայմանը կարող է կրկնվել մինչև 20 անգամ | |
1.7.1 մրցակցային առաջարկության գինը թվերով (կարճաժամկետ պարտատոմսերի համար) |
ոչ պարտադիր | տվյալ վավերապայմանը կարող է կրկնվել մինչև 20 անգամ այն լրացվում է 1.6 կետում նշված վավերապայմանի լրացման դեպքում գանձապետական պահառուի հայտում տվյալ վավերապայմանը բացակայում է | |
1.8 ոչ մրցակցային առաջարկության ծավալը |
ոչ պարտադիր | դիլերի հայտում տվյալ վավերապայմանը բացակայում է | |
1.9 հայտ ներկայացնողի վավերացումը |
պարտադիր | ||
2. Պետական պարտատոմսերի առուվաճառքի (գնման/վաճառքի) դեպո հանձնարարական | 2.1 դեպո հանձնարարականի համարը | պարտադիր | |
2.2 դեպո հանձնարարականի ներկայացման (ընդունման) ամսաթիվը |
պարտադիր | ||
2.3 առաքողին սպասարկող ենթապահառուի անվանումը |
ոչ պարտադիր | լրացվում է պարտատոմսերի առաքողը ներդրող լինելու դեպքում | |
2.4 առաքողի անվանումը |
պարտադիր | լրացվում է պարտատոմսերի առաքող հանդիսացողի (ներդրողի,առևտրային բանկի, ենթապահառուի) անվանումը կամ անուն, ազգանունը | |
2.5 առաքողի դեպո հաշվի համարը |
պարտադիր | լրացվում է ենթապահառուի (առևտրային բանկի) մոտ վարվող առաքողի ազատ կարգավիճակով դեպո հաշվի համարը | |
2.6 կրեդիտագրվող դրամական հաշվի համարը | պարտադիր | տվյալ դաշտում նշվում է առաքողի դրամական հաշվի համարը, որի վրա պետք է փոխանցվեն առաքողին հասանելիք դրամական միջոցները | |
2.7 ստացողին սպասարկող ենթապահառուի անվանումը | ոչ պարտադիր | լրացվում է պարտատոմսերի ստացողը ներդրող լինելու դեպքում | |
2.8 ստացողի անվանումը | պարտադիր | լրացվում է պարտատոմսերի ստացող հանդիսացողի (ներդրողի, առևտրային բանկի, ենթապահառուի) անվանումը կամ անուն, ազգանունը | |
2.9 ստացողի դեպո հաշվի համարը | պարտադիր | լրացվում է ենթապահառուի (առևտրային բանկի) մոտ վարվող ստացողի ազատ կարգավիճակով դեպո հաշվի համարը | |
2.10 դեբետագրվող դրամական հաշվի համարը | պարտադիր | դրամական հաշվի համարը, որից պետք է փոխանցվեն ստացողի կողմից առաքողին վճարվող դրամական միջոցները | |
2.11 պարտատոմսերի պետական գրանցման համարը | պարտադիր | ||
2.12 պարտատոմսերի անվանական ծավալը թվերով | պարտադիր | ||
2.13 պարտատոմսերի անվանական ծավալը բառերով | ոչ պարտադիր | ||
2.14 գործարքի գումարը թվերով և արժույթի կոդը | պարտադիր | տվյալ դաշտում նշվում է պարտատոմսերի գնման գինը | |
2.15 գործարքի գումարը և արժույթը բառերով | ոչ պարտադիր | ||
2.16 նպատակը | պարտադիր | տվյալ դաշտում նշվում է «առք» կամ «վաճառք» | |
2.17 կատարման ամսաթիվը | ոչ պարտադիր | տվյալ դաշտում նշվում է գործարքի կատարման ամսաթիվը | |
2.18 դեպո հանձնարարական ներկայացնողի վավերացումը | պարտադիր | ||
3. Պետական պարտատոմսերի ազատ առաքման դեպո հանձնարարական | 3.1 դեպո հանձնարարականի համարը | պարտադիր | |
3.2 դեպո հանձնարարականի ներկայացման (ընդունման) ամսաթիվը | պարտադիր | ||
3.3 առաքողին սպասարկող ենթապահառուի անվանումը | ոչ պարտադիր | լրացվում է պարտատոմսերի առաքողը ներդրող լինելու դեպքում | |
3.4 առաքողի անվանումը | պարտադիր | լրացվում է պարտատոմսերի առաքող հանդիսացողի (ներդրողի, առևտրային բանկի, ենթապահառուի) անվանումը կամ անուն, ազգանունը | |
3.5 առաքողի դեպո հաշվի համարը | պարտադիր | լրացվում է ենթապահառուի (առևտրային բանկի) մոտ վարվող առաքողի ազատ կարգավիճակով դեպո հաշվի համարը | |
3.6 ստացողին սպասարկող ենթապահառուի անվանումը | ոչ պարտադիր | լրացվում է պարտատոմսերի ստացողը ներդրող լինելու դեպքում | |
3.7 ստացողի անվանումը | պարտադիր | լրացվում է պարտատոմսերի ստացող հանդիսացողի (ներդրողի, առևտրային բանկի, ենթապահառուի) անվանումը կամ անուն, ազգանունը | |
3.8 ստացողի դեպո հաշվի համարը | պարտադիր | լրացվում է ենթապահառուի (առևտրային բանկի) մոտ վարվող ստացողի ազատ կարգավիճակով դեպո հաշվի համարը | |
3.9 պարտատոմսերի պետական գրանցման համարը | պարտադիր | ||
3.10 պարտատոմսերի անվանական ծավալը թվերով | պարտադիր | ||
3.11 պարտատոմսերի անվանական ծավալը բառերով | ոչ պարտադիր | ||
3.12 նպատակը | պարտադիր | ||
3.13 կատարման ամսաթիվը | ոչ պարտադիր | տվյալ դաշտում նշվում է գործարքի կատարման ամսաթիվը | |
3.14 դեպո հանձնարարական ներկայացնողի վավերացումը | պարտադիր | ||
4. Պետական պարտատոմսերի գրավադրման դեպո հանձնարարական | 4.1 դեպո հանձնարարականի համարը | պարտադիր | |
4.2 դեպո հանձնարարականի ներկայացման (ընդունման) ամսաթիվը | պարտադիր | ||
4.3 գրավատուին սպասարկող ենթապահառուի անվանումը | ոչ պարտադիր | լրացվում է պարտատոմսերի գրավատուն ներդրող լինելու դեպքում | |
4.4 գրավատուի անվանումը | պարտադիր | լրացվում է պարտատոմսերի գրավատու հանդիսացողի (ներդրողի, առևտրային բանկի, ենթապահառուի) անվանումը կամ անուն, ազգանունը | |
4.5 գրավատուի դեպո հաշվի համարը | պարտադիր | լրացվում է ենթապահառուի (առևտրային բանկի) մոտ վարվող գրավատուի ազատ կարգավիճակով դեպո հաշվի համարը | |
4.6 կրեդիտագրվող դրամական հաշվի համարը | պարտադիր | լրացվում է գրավատուի դրամական հաշվի համարը, որի վրա պետք է փոխանցվի գրավառուի կողմից գրավատուին տրամադրվող փոխառության (վարկի) գումարը | |
4.7 գրավառուին սպասարկող ենթապահառուի անվանումը | ոչ պարտադիր | լրացվում է պարտատոմսերի գրավառուն ներդրող լինելու դեպքում | |
4.8 գրավառուի անվանումը | պարտադիր | լրացվում է պարտատոմսերի գրավառու հանդիսացողի (ներդրողի, առևտրային բանկի, ենթապահառուի) անվանումը կամ անուն, ազգանունը | |
4.9 գրավառուի դեպո հաշվի համարը | պարտադիր | լրացվում է ենթապահառուի (առևտրային բանկի) մոտ վարվող գրավառուի ազատ կարգավիճակով դեպո հաշվի համարը | |
4.10 դեբետագրվող դրամական հաշվի համարը | պարտադիր | լրացվում է դրամական հաշվի համարը, որից պետք է փոխանցվի գրավառուի կողմից գրավատուին տրամադրվող փոխառության (վարկի) գումարը | |
4.11 պարտատոմսերի պետական համարը գրանցման | պարտադիր | ||
4.12 պարտատոմսերի անվանական ծավալը թվերով | պարտադիր | ||
4.13 պարտատոմսերի անվանական ծավալը բառերով | ոչ պարտադիր | ||
4.14 գործարքի գումարը թվերով և արժույթի կոդը | պարտադիր | տվյալ դաշտում նշվում է փոխառության (վարկի) գումարը | |
4.15 գործարքի գումարը և արժույթը բառերով | ոչ պարտադիր | ||
4.16 նպատակը | պարտադիր | ||
4.17 կատարման ամսաթիվը | ոչ պարտադիր | տվյալ դաշտում նշվում է գործարքի կատարման ամսաթիվը | |
4.18 դեպո հանձնարարական ներկայացնողի վավերացումը | պարտադիր | ||
5. Պետական պարտատոմսերի գրավադրման միակողմանի դեպո հանձնարարական | 5.1 դեպո հանձնարարականի համարը | պարտադիր | |
5.2 դեպո հանձնարարականի ներկայացման (ընդունման) ամսաթիվը | պարտադիր | ||
5.3 գրավատուին սպասարկող ենթապահառուի անվանումը | ոչ պարտադիր | լրացվում է պարտատոմսերի գրավատուն ներդրող լինելու դեպքում | |
5.4 գրավատուի անվանումը | պարտադիր | լրացվում է պարտատոմսերի գրավատու հանդիսացողի (ներդրողի, առևտրային բանկի, ենթապահառուի) անվանումը կամ անուն, ազգանունը | |
5.5 գրավատուի դեպո հաշվի համարը | պարտադիր | լրացվում է ենթապահառուի (առևտրային բանկի) մոտ վարվող գրավատուի ազատ կարգավիճակով դեպո հաշվի համարը | |
5.6 գրավառուին սպասարկող ենթապահառուի անվանումը | ոչ պարտադիր | լրացվում է պարտատոմսերի գրավառուն ներդրող լինելու դեպքում | |
5.7 գրավառուի անվանումը | պարտադիր | լրացվում է պարտատոմսերի գրավառու հանդիսացողի (ներդրողի, առևտրային բանկի, ենթապահառուի) անվանումը կամ անուն, ազգանունը | |
5.8 գրավառուի դեպո հաշվի համարը | պարտադիր | լրացվում է ենթապահառուի (առևտրային բանկի) մոտ վարվող գրավառուի ազատ կարգավիճակով դեպո հաշվի համարը | |
5.9 պարտատոմսերի պետական գրանցման համարը | պարտադիր | ||
5.10 պարտատոմսերի անվանական ծավալը թվերով | պարտադիր | ||
5.11 պարտատոմսերի անվանական ծավալը բառերով | ոչ պարտադիր | ||
5.12 նպատակը | պարտադիր | ||
5.13 կատարման ամսաթիվը | ոչ պարտադիր | տվյալ դաշտում նշվում է գործարքի կատարման ամսաթիվը | |
5.14 դեպո հանձնարարական ներկայացնողի վավերացումը | պարտադիր | ||
6. Պետական պարտատոմսերի գրավից հանման դեպո հանձնարարական | 6.1 դեպո հանձնարարականի համարը | պարտադիր | |
6.2 դեպո հանձնարարականի ներկայացման (ընդունման) ամսաթիվը | պարտադիր | ||
6.3 գրավատուին սպասարկող ենթապահառուի անվանումը | ոչ պարտադիր | լրացվում է պարտատոմսերի գրավատուն ներդրող լինելու դեպքում | |
6.4 գրավատուի անվանումը | պարտադիր | լրացվում է պարտատոմսերի գրավատու հանդիսացողի (ներդրողի, առևտրային բանկի, ենթապահառուի) անվանումը կամ անուն, ազգանունը | |
6.5 գրավատուի դեպո հաշվի համարը | պարտադիր | լրացվում է ենթապահառուի (առևտրային բանկի) մոտ վարվող գրավատուի ազատ կարգավիճակով դեպո | |
6.6 դեբետագրվող դրամական հաշվի համարը | պարտադիր | լրացվում է դրամական հաշվի համարը, որից պետք է վճարվի գրավատուի կողմից գրավառուին վերադարձվող փոխառության (վարկի) գումարը | |
6.7 գրավառուին սպասարկող ենթապահառուի անվանումը | ոչ պարտադիր | լրացվում է պարտատոմսերի գրավառուն ներդրող լինելու դեպքում | |
6.8 գրավառուի անվանումը | պարտադիր | լրացվում է պարտատոմսերի գրավառու հանդիսացողի (ներդրողի, առևտրային բանկի, ենթապահառուի) անվանումը կամ անուն, ազգանունը | |
6.9 գրավառուի դեպո հաշվի համարը | պարտադիր | լրացվում է ենթապահառուի (առևտրային բանկի) մոտ վարվող գրավառուի ազատ կարգավիճակով դեպո հաշվի համարը | |
6.10 կրեդիտագրվող դրամական հաշվի համարը | պարտադիր | լրացվում է գրավառուի դրամական հաշվի համարը, որի վրա պետք է փոխանցվի գրավատուի կողմից գրավառուին վերադարձվող փոխառության (վարկի) գումարը | |
6.11 պարտատոմսերի պետական գրանցման համարը | պարտադիր | ||
6.12 պարտատոմսերի անվանական ծավալը թվերով | պարտադիր | ||
6.13 պարտատոմսերի անվանական ծավալը բառերով | ոչ պարտադիր | ||
6.14 գործարքի գումարը թվերով և արժույթի կոդը | պարտադիր | տվյալ դաշտում նշվում է վերադարձվող փոխառության (վարկի) գումարը | |
6.15 գործարքի գումարը և արժույթը բառերով | ոչ պարտադիր | ||
6.16 նպատակը | պարտադիր | ||
6.17 կատարման ամսաթիվը | ոչ պարտադիր | տվյալ դաշտում նշվում է գործարքի կատարման ամսաթիվը | |
6.18 դեպո հանձնարարական ներկայացնողի վավերացումը | պարտադիր | ||
7. Պետական պարտատոմսերի գրավից հանման միակողմանի դեպո հանձնարարական | 7.1 դեպո հանձնարարականի համարը | պարտադիր | |
7.2 դեպո հանձնարարականի ներկայացման (ընդունման) ամսաթիվը | պարտադիր | ||
7.3 գրավատուին սպասարկող ենթապահառուի անվանումը | ոչ պարտադիր | լրացվում է պարտատոմսերի գրավատուն ներդրող լինելու դեպքում | |
7.4 գրավատուի անվանումը | պարտադիր | լրացվում է պարտատոմսերի գրավատու հանդիսացողի (ներդրողի, առևտրային բանկի, ենթապահառուի) անվանումը կամ անուն, ազգանունը | |
7.5 գրավատուի դեպո հաշվի համարը | պարտադիր | լրացվում է ենթապահառուի (առևտրային բանկի) մոտ վարվող գրավատուի ազատ կարգավիճակով դեպո հաշվի համարը | |
7.6 գրավառուին սպասարկող ենթապահառուի անվանումը | ոչ պարտադիր | լրացվում է պարտատոմսերի գրավառուն ներդրող լինելու դեպքում | |
7.7 գրավառուի անվանումը | պարտադիր | լրացվում է պարտատոմսերի գրավառու հանդիսացողի (ներդրողի, առևտրային բանկի, ենթապահառուի) անվանումը կամ անուն,ազգանունը | |
7.8 գրավառուի դեպո հաշվի համարը | պարտադիր | լրացվում է ենթապահառուի (առևտրային բանկի) մոտ վարվող գրավառուի ազատ կարգավիճակով դեպո հաշվի համարը | |
7.9 պարտատոմսերի պետական գրանցման համարը | պարտադիր | ||
7.10 պարտատոմսերի անվանական ծավալը թվերով | պարտադիր | ||
7.11 պարտատոմսերի անվանական ծավալը բառերով | ոչ պարտադիր | ||
7.12 նպատակը | պարտադիր | ||
7.13 կատարման ամսաթիվը | ոչ պարտադիր | տվյալ դաշտում նշվում է գործարքի կատարման ամսաթիվը | |
7.14 դեպո հանձնարարական ներկայացնողի վավերացումը | պարտադիր | ||
8. Գրավադրված պարտատոմսերից հրաժարման դեպո հանձնարարական | 8.1 դեպո հանձնարարականի համարը | պարտադիր | |
8.2 դեպո հանձնարարականի ներկայացման (ընդունման) ամսաթիվը | պարտադիր | ||
8.3 գրավատուին սպասարկող ենթապահառուի անվանումը | ոչ պարտադիր | լրացվում է պարտատոմսերի գրավատուն ներդրող լինելու դեպքում | |
8.4 գրավատուի անվանումը | պարտադիր | լրացվում է պարտատոմսերի գրավատու հանդիսացողի (ներդրողի, առևտրային բանկի, ենթապահառուի) անվանումը կամ անուն, ազգանունը | |
8.5 գրավատուի դեպո հաշվի համարը | պարտադիր | լրացվում է ենթապահառուի (առևտրային բանկի) մոտ վարվող գրավատուի գրավադրված կարգավիճակով դեպո հաշվի համարը | |
8.6 գրավառուին սպասարկող ենթապահառուի անվանումը | ոչ | լրացվում է պարտատոմսերի գրավառուն ներդրող լինելու դեպքում | |
8.7 գրավառուի անվանումը | պարտադիր | լրացվում է պարտատոմսերի գրավառու հանդիսացողի (ներդրողի, առևտրային բանկի, ենթապահառուի) անվանումը կամ անուն, ազգանունը | |
8.8 գրավառուի դեպո հաշվի համարը | պարտադիր | լրացվում է ենթապահառուի (առևտրային բանկի) մոտ վարվող գրավառուի ազատ կարգավիճակով դեպո հաշվի համարը | |
8.9 պարտատոմսերի պետական գրանցման համարը | պարտադիր | ||
8.10 պարտատոմսերի անվանական ծավալը թվերով | պարտադիր | ||
8.11 պարտատոմսերի անվանական ծավալը բառերով | ոչ պարտադիր | ||
8.12 նպատակը | պարտադիր | ||
8.13 կատարման ամսաթիվը | ոչ պարտադիր | տվյալ դաշտում նշվում է գործարքի կատարման ամսաթիվը | |
8.14 դեպո հանձնարարական ներկայացնողի վավերացումը | պարտադիր | ||
9. Գրավի առարկա հանդիսացող պետական պարտատոմսերի փոխարինման դեպո հանձնարարական | 9.1 դեպո հանձնարարականի համարը | պարտադիր | |
9.2 դեպո հանձնարարականի ներկայացման (ընդունման) ամսաթիվը | պարտադիր | ||
9.3 գրավատուին սպասարկվող ենթապահառուի անվանումը | ոչ պարտադիր | լրացվում է պարտատոմսերի գրավատուն ներդրող լինելու դեպքում | |
9.4 գրավատուի անվանումը | պարտադիր | լրացվում է պարտատոմսերի գրավատու հանդիսացողի (ներդրողի, առևտրային բանկի, ենթապահառուի) անվանումը կամ անուն, ազգանունը | |
9.5 գրավատուի դեպո հաշվի համարը | պարտադիր | լրացվում է ենթապահառուի (առևտրային բանկի) մոտ վարվող գրավատուի ազատ կարգավիճակով դեպո հաշվի համարը | |
9.6 գրավատուին սպասարկող ենթապահառուի անվանումը | ոչ պարտադիր | լրացվում է պարտատոմսերի գրավառուն ներդրող լինելու դեպքում | |
9.7 գրավատուի անվանումը | պարտադիր | լրացվում է պարտատոմսերի գրավառու հանդիսացողի (ներդրողի, առևտրային բանկի, ենթապահառուի) անվանումը կամ անուն, ազգանունը | |
9.8 գրավատուի դեպո հաշվի համարը | պարտադիր | լրացվում է ենթապահառուի (առևտրային բանկի) մոտ վարվող գրավառուի ազատ կարգավիճակով դեպո հաշվի համարը | |
9.9 փոխարինվող պարտատոմսերի պետական գրանցման համարը | պարտադիր | ||
9.10 փոխարինվող պարտատոմսերի անվանական ծավալը թվերով | պարտադիր | ||
9.11 փոխարինվող պարտատոմսերի անվանական ծավալը բառերով | ոչ պարտադիր | ||
9.12 փոխարինվող պարտատոմսերի պետական գրանցման համարը | պարտադիր | ||
9.13 փոխարինվող պարտատոմսերի անվանական ծավալը թվերով | պարտադիր | ||
9.14 փոխարինվող պարտատոմսերի անվանական ծավալը բառերով | ոչ պարտադիր | ||
9.15 նպատակը | պարտադիր | ||
9.16 կատարման ամսաթիվը | ոչ պարտադիր | տվյալ դաշտում նշվում է գործարքի կատարման ամսաթիվը | |
9.17 դեպո հանձնարարական ներկայացնողի վավերացումը | պարտադիր | ||
10. Պետական պարտատոմսերի գրավատուի փոխարինման դեպո հանձնարարական | 10.1 դեպո հանձնարարականի համարը | պարտադիր | |
10.2 դեպո հանձնարարականի ներկայացման (ընդունման) ամսաթիվը | պարտադիր | ||
10.3 գրավատուին սպասարկող ենթապահառուի անվանումը | ոչ պարտադիր | լրացվում է պարտատոմսերի փոխարինվող գրավատուն ներդրող լինելու դեպքում | |
10.4 գրավատուի անվանումը | պարտադիր | լրացվում է պարտատոմսերի փոխարինվող գրավատու հանդիսացողի (ներդրողի, առևտրային բանկի, ենթապահառուի) անվանումը կամ անուն, ազգանունը | |
10.5 գրավատուի դեպո հաշվի համարը | պարտադիր | լրացվում է ենթապահառուի (առևտրային բանկի) մոտ վարվող փոխարինվող գրավատուի գրավադրված կարգավիճակով դեպո հաշվի համարը | |
10.6 նոր գրավատուին սպասարկող ենթապահառուի անվանումը | ոչ պարտադիր | լրացվում է պարտատոմսերի նոր գրավատուն ներդրող լինելու դեպքում | |
10.7 նոր գրավատուի անվանումը | պարտադիր | լրացվում է պարտատոմսերի նոր գրավատու հանդիսացողի (ներդրողի, առևտրային բանկի, ենթապահառուի) անվանումը կամ անուն, ազգանունը | |
10.8 նոր գրավատուի դեպո հաշվի համարը | պարտադիր | լրացվում է ենթապահառուի (առևտրային բանկի) մոտ վարվող նոր գրավատուի գրավադրված կարգավիճակով դեպո հաշվի համարը | |
10.9 գրավառուին սպասարկող ենթապահառուի անվանումը | ոչ պարտադիր | լրացվում է պարտատոմսերի գրավառուն ներդրող լինելու դեպքում | |
10.10 գրավառուի անվանումը | պարտադիր | լրացվում է պարտատոմսերի գրավառու հանդիսացողի (ներդրողի, առևտրային բանկի, ենթապահառուի) անվանումը կամ անուն, ազգանունը | |
10.11 գրավառուի դեպո հաշվի համարը | պարտադիր | լրացվում է ենթապահառուի (առևտրային բանկի) մոտ վարվող գրավառուի ազատ կարգավիճակով դեպո հաշվի համարը | |
10.12 պարտատոմսերի պետական գրանցման համարը | պարտադիր | ||
10.13 պարտատոմսերի անվանական ծավալը թվերով | պարտադիր | ||
10.14 պարտատոմսերի անվանական ծավալը բառերով | ոչ պարտադիր | ||
10.15 նպատակը | պարտադիր | ||
10.16 կատարման ամսաթիվը | ոչ պարտադիր | տվյալ դաշտում նշվում է գործարքի կատարման ամսաթիվը | |
10.17 դեպո հանձնարարական ներկայացնողի վավերացումը և օրենսդրությամբ պահանջվող այլ անձանց վավերացումները | պարտադիր | ||
11. Պետական պարտատոմսերի գրավառուի փոխարինման դեպո հանձնարարական | 11.1 դեպո հանձնարարականի համարը | պարտադիր | |
11.2 դեպո հանձնարարականի ներկայացման (ընդունման) ամսաթիվը | պարտադիր | ||
11.3 գրավատուին սպասարկող ենթապահառուի անվանումը | ոչ պարտադիր | լրացվում է պարտատոմսերի գրավատուն ներդրող լինելու դեպքում | |
11.4 գրավատուի անվանումը | պարտադիր | լրացվում է պարտատոմսերի գրավատու հանդիսացողի (ներդրողի, առևտրային բանկի, ենթապահառուի) անվանումը կամ անուն, ազգանունը | |
11.5 գրավատուի դեպո հաշվի համարը | պարտադիր | լրացվում է ենթապահառուի (առևտրային բանկի) մոտ վարվող գրավատուի ազատ կարգավիճակով դեպո հաշվի համարը | |
11.6 գրավառուին սպասարկող ենթապահառուի անվանումը | ոչ պարտադիր | լրացվում է պարտատոմսերի նախկին գրավառուն ներդրող լինելու դեպքում | |
11.7 գրավառուի անվանումը | պարտադիր | լրացվում է պարտատոմսերի նախկին գրավառու հանդիսացողի (ներդրողի, առևտրային բանկի, ենթապահառուի) անվանումը կամ անուն, ազգանունը | |
11.8 գրավառուի դեպո հաշվի համարը | պարտադիր | լրացվում է ենթապահառուի (առևտրային բանկի) մոտ վարվող նախկին գրավառուի ազատ կարգավիճակով դեպո հաշվի համարը | |
11.9 նոր գրավառուին սպասարկող ենթապահառուի անվանումը | ոչ պարտադիր | լրացվում է պարտատոմսերի նոր գրավառուն ներդրող լինելու դեպքում | |
11.10 նոր գրավառուի անվանումը | պարտադիր | լրացվում է պարտատոմսերի նոր գրավառու հանդիսացողի (ներդրողի, առևտրային բանկի, ենթապահառուի) անվանումը կամ անուն, ազգանունը | |
11.11 նոր գրավառուի դեպո հաշվի համարը | պարտադիր | լրացվում է ենթապահառուի (առևտրային բանկի) մոտ վարվող նոր գրավառուի ազատ կարգավիճակով դեպո հաշվի համարը | |
11.12 պարտատոմսերի պետական գրանցման համարը | պարտադիր | ||
11.13 պարտատոմսերի անվանական ծավալը թվերով | պարտադիր | ||
11.14 պարտատոմսերի անվանական ծավալը բառերով | ոչ պարտադիր | ||
11.15 նպատակը | պարտադիր | ||
11.16 կատարման ամսաթիվը | ոչ պարտադիր | տվյալ դաշտում նշվում է գործարքի կատարման ամսաթիվը | |
11.17 դեպո հանձնարարական ներկայացնողի վավերացումը և օրենսդրությամբ պահանջվող այլ անձանց վավերացումները | պարտադիր | ||
12. Քաղվածք դեպո հաշվից | 12.1 քաղվածք տրամադրող ենթապահառուի (պահառուի) անվանումը | պարտադիր | |
12.2 քաղվածքի համարը | պարտադիր | ||
12.3 դեպո հաշվետիրոջ անվանումը | պարտադիր | ||
12.4 հաճախորդի դեպո հաշվի համարը | պարտադիր | ||
12.5 նախորդ քաղվածքի ամսաթիվը | պարտադիր | ||
12.6 քաղվածքի ամսաթիվը | պարտադիր | ||
12.7 դեպո հաշվի սկզբնական մնացորդը | պարտադիր | ||
12.8 դեպո հաշվի շարժ դեբետագրված (կրեդիտագրված) գումարը (թվերով) | պարտադիր | ||
12.9 դեպո հաշվի վերջնական մնացորդը | պարտադիր | ||
12.10 դեպո ենթահաշվի համարը | պարտադիր | ||
12.11 դեպո ենթահաշվի սկզբնական մնացորդ | պարտադիր | ||
12.12 դեպո ենթահաշվի շարժ դեբետագրված (կրեդիտագրված) գումարը (թվերով) թղթակցող դեպո հաշիվը գործարքի ամսաթիվը գործառնության հիմքը | պարտադիր | «գործառնության հիմքը» դաշտում լրացվում է տվյալ գործառնության համար հիմք հանդիսացող փաստաթղթի համարը | |
12.13 դեպո թահաշվով ընդհանուր շարժը են դեբետագրված (կրեդիտագրված) գումարը (թվերով) | պարտադիր | ||
12.14 դեպո ենթահաշվի վերջնական մնացորդը | պարտադիր | ||
12.15 քաղվածքի տրամադրման ամսաթիվը | պարտադիր | ||
12.16 քաղվածք տրամադրող ենթապահառուի (պահառուի) վավերացումը | պարտադիր | ||
13. Տեղեկանք հաճախորդի պարտատոմսերի վերաբերյալ (դեպո հաշիվներից) | 13.1 տեղեկանքը տրամադրող ենթապահառուի (պահառուի) անվանումը | պարտադիր | |
13.2 հաճախորդի անվանումը (անուն, ազգանունը) | պարտադիր | ||
13.3 տեղեկանքի ամսաթիվը | պարտադիր | նշվում է այն ամսաթիվը, որի դրությամբ տրամադրվում են տեղեկանքում պարունակվող տեղեկությունները | |
13.4 պարտատոմսերի պետական գրանցման համարը | պարտադիր | ||
13.5 պարտատոմսերի անվանական ծավալը թվերով | պարտադիր | ||
13.6 պարտատոմսերի թողարկման ամսաթիվը | պարտադիր | ||
13.7 մինչև պարտատոմսերի մարումը օրերի քանակը | պարտադիր | ||
13.8 տեղեկանքի տրամադրման ամսաթիվը | պարտադիր | ||
13.9 տեղեկանք տրամադրող ենթապահառուի (պահառուի) վավերացումը | պարտադիր |
2. Սույն հավելվածի աղյուսակում «վավերացում» վավերապայմանը ներառում է համապատասխան լիազոր անձի ստորագրությունը (անհրաժեշտության դեպքում` նաև կնիքը կամ դրոշմակնիքը), էլեկտրոնային եղանակով փաստաթղթի ներկայացման դեպքում` անվտանգության արարողակարգերով սահմանված էլեկտրոնային ստորագրությունը, գաղտնաբառը, տեստային բանալին և այլն:
3. Սույն հավելվածի աղյուսակի 2-րդ սյունակում 12.10-12.14 դաշտերը կրկնվում են տվյալ դեպո հաշվի ներքո բացված ենթահաշիվների քանակի չափով:
4. Սույն հավելվածի աղյուսակի 2-րդ սյունակում 12.12 ենթակետում նշված վավերապայմանները կրկնվում են քաղվածքի ժամանակահատվածում տվյալ դեպո ենթահաշվով կատարված գործառնությունների քանակի չափով:
5. Սույն հավելվածի աղյուսակի 2-րդ սյունակում 13.5 ենթակետում պարտատոմսերի ծավալը նշվում է ըստ տվյալ պարտատոմսի բոլոր հնարավոր կարգավիճակների (ազատ, գրավադրված և այլն):
