«Գրանցված է»
ՀՀ արդարադատության
նախարարության կողմից
25 սեպտեմբերի 2006 թ.
Պետական գրանցման թիվ 10006301
ՀԱՅԱՍՏԱՆԻ ՀԱՆՐԱՊԵՏՈՒԹՅԱՆ
ԱՌՈՂՋԱՊԱՀՈՒԹՅԱՆ ՆԱԽԱՐԱՐ
16 օգոստոսի 2006 թ. |
N 933-Ն |
Հ Ր Ա Մ Ա Ն
«ՌԱԴԻՈՀԱՃԱԽԱԿԱՆՈՒԹՅԱՆ ՏԻՐՈՒՅԹԻ ԷԼԵԿՏՐԱՄԱԳՆԻՍԱԿԱՆ ՃԱՌԱԳԱՅԹՈՒՄՆԵՐ (ՌՀ ԷՄՃ)» ՍԱՆԻՏԱՐԱԿԱՆ ԿԱՆՈՆՆԵՐ ԵՎ ՆՈՐՄԵՐ N 2.1.8-010-06 ՀԱՍՏԱՏԵԼՈՒ ՄԱՍԻՆ
Համաձայն «Հայաստանի Հանրապետության բնակչության սանիտարահամաճարակային անվտանգության ապահովման մասին» Հայաստանի Հանրապետության օրենքի 4-րդ հոդվածի, Հայաստանի Հանրապետության կառավարության 2002 թվականի օգոստոսի 15-ի «Հայաստանի Հանրապետության առողջապահության նախարարության պետական հիգիենիկ և հակահամաճարակային ծառայությունը և դրա ենթակայության մարմինները վերակազմակերպելու և Հայաստանի Հանրապետության առողջապահության նախարարության պետական հիգիենիկ և հակահամաճարակային տեսչության կանոնադրությունն ու կառուցվածքը հաստատելու մասին» N 1316-Ն որոշմամբ հաստատված Հայաստանի Հանրապետության առողջապահության նախարարության պետական հիգիենիկ և հակահամաճարակային տեսչության կանոնադրության 7-րդ կետի «ե» ենթակետի՝ ելնելով բնակչության առողջության պահպանման շահերից՝ ռադիոհաճախականության տիրույթի էլեկտրամագնիսական ճառագայթումների (ՌՀ ԷՄՃ) սանիտարական կանոններ և նորմեր սահմանելու նպատակով,
ՀՐԱՄԱՅՈՒՄ ԵՄ՝
Հաստատել «Ռադիոհաճախականության տիրույթի էլեկտրամագնիսական ճառագայթումների (ՌՀ ԷՄՃ) սանիտարական կանոններ և նորմեր» ՍՆ N 2.1.8-010-06 (կցվում է):
Նախարար՝ |
Ն. Դավիդյան |
Հավելված 1 |
ՌԱԴԻՈՀԱՃԱԽԱԿԱՆՈՒԹՅԱՆ ՏԻՐՈՒՅԹԻ ԷԼԵԿՏՐԱՄԱԳՆԻՍԱԿԱՆ ՃԱՌԱԳԱՅԹՈՒՄՆԵՐ (ՌՀ ԷՄՃ)
ՍԱՆԻՏԱՐԱԿԱՆ ԿԱՆՈՆՆԵՐ ԵՎ ՆՈՐՄԵՐ N 2.1.8-010-06
1. Ընդհանուր դրույթներ
1.1. «Ռադիոհաճախականության տիրույթի էլեկտրամագնիսական ճառագայթումներ» (այսուհետ` ՌՀ ԷՄՃ) սանիտարական կանոնները և նորմերը (այսուհետ` Սանիտարական կանոններ) սահմանում են 30 կՀց-300 ԳՀց էլեկտրամագնիսական ճառագայթումների (ՌՀ ԷՄՃ) մարդկանց վրա ազդեցության սահմանային թույլատրելի մակարդակները, ինչպես նաև ՌՀ ԷՄՃ աղբյուրների մշակմանը, պատրաստմանը, ձեռքբերմանը և օգտագործմանը ներկայացվող հիմնական սանիտարահիգիենիկ պահանջները մարդկանց աշխատանքի, ուսուցման, կենցաղի և հանգստի գործընթացներում։
1.2. Սույն սանիտարական կանոնները պարտադիր են իրավաբանական անձանց համար, որոնք օգտագործում են 30 կՀց-300 ԳՀց էլեկտրամագնիսական ճառագայթումների տիրույթները:
1.3. ՌՀ ԷՄՃ աղբյուրների ձեռքբերման, օգտագործման պայմանները և ՌՀ ԷՄՃ աղբյուրների նորմատիվատեխնիկական փաստաթղթերը պետք է համապատասխանեցվեն սույն սանիտարական կանոնների պահանջներին։
2. Մարդու վրա ՌՀ ԷՄՃ ազդեցության սահմանային թույլատրելի մակարդակներ (ՍԹՄ)
2.1 Հավելված 1.3-ում շարադրված դեպքերում, էներգետիկ էքսպոզիցիան աշխատանքային օրվա (աշխատանքային հերթափոխի) ընթացքում չպետք է գերազանցի աղյուսակ 1-ում նշված մակարդակները։ Սույն սանիտարական կանոններում և նորմերում հաճախականության տիրույթը նշվելու բոլոր դեպքերում, յուրաքանչյուր տիրույթը բացառում է հաճախականության ստորին սահմանը և ներառում է վերինը։
Աղյուսակ 1
Էներգետիկ էքսպոզիցիայի (ԷԷ) սահմանային թույլատրելի մակարդակներ
Հաճախականության դիապազոններ |
Սահմանային թույլատրելի էներգետիկ էքսպոզիցիան (ԷԷ) | ||
ըստ էլեկտրական բաղադրիչների (E) (Վ/մ)2.ժ |
ըստ մագնիսական բաղադրիչների (H) (Ա/մ)2 .ժ |
ըստ էներգիայի հոսքի խտության (ԷՀԽ) (մկ.Վտ/սմ2).ժ | |
30 կՀց-3 ՄՀց | 20000.0 | 200.0 | - |
3-30 ՄՀց | 7000.0 | մշակված չէ | |
30-50 ՄՀց | 800.0 | 0.72 | |
50-300 ՄՀց | 800.0 | մշակված չէ | |
0 ՄՀց-300 ԳՀց | - | - | 200.0 |
2.2. ՌՀ ԷՄՃ ինտենսիվության սահմանային թույլատրելի մակարդակը (Eսթմ, Hսթմ, ԷՀԽսթմ), կախված աշխատանքային օրվա (աշխատանքային հերթափոխի) ընթացքում ազդեցության տևողությունից և ազդեցության թույլատրելի տևողությունից, կախված ՌՀ ԷՄՃ-ի ինտենսիվությունից, որոշվում է հետևյալ բանաձևով.
Eսթմ=(ԷԷEսթմ)1/2 |
T= ԷԷ/E2 |
Hսթմ=(ԷԷHսթմ/T)1/2 | T= ԷԷ/H2 |
ԷՀԽսթմ=(ԷԷԷՀԽսթմ/T)1/2 | T= ԷՀԽսթմ/ԷՀԽ |
2.3. Էլեկտրական (Eսթմ) և մագնիսական (Hսթմ) բաղադրիչների լարվածության սահմանային թույլատրելի մակարդակների արժեքները, կախված ազդեցության տևողությունից, բերված են աղյուսակ 2-ում։
Աղյուսակ 2
Էլեկտրական և մագնիսական բաղադրիչների լարվածության սահմանային թույլատրելի մակարդակները կախված ազդեցության տևողությունից, հաճախականությունների 30 ԿՀց-300 ՄՀց դիապազոնում
Ազդեցության |
Eսթմ Վ/մ |
Hսթմ Ա/մ | |||
0.03-3 ՄՀց |
3-30 ՄՀց |
30-300 ՄՀց |
0.03-3 ՄՀց |
30-50 ՄՀց | |
8.0 և ավելի |
50 |
30 |
10 |
5.0 |
0.30 |
7.5 |
52 |
31 |
10 |
5.0 |
0.31 |
7.0 |
53 |
32 |
11 |
5.3 |
0.32 |
6.5 |
55 |
33 |
11 |
5.5 |
0.33 |
6.0 |
58 |
34 |
12 |
5.8 |
0.34 |
5.5 |
60 |
36 |
12 |
6.0 |
0.36 |
5.0 |
63 |
37 |
13 |
6,3 |
0,38 |
4.5 |
67 |
39 |
13 |
6.7 |
0.40 |
4,0 |
71 |
42 |
14 |
7.1 |
0.42 |
3.5 |
76 |
45 |
15 |
7.6 |
0.45 |
3,0 |
82 |
48 |
16 |
8.2 |
0.49 |
2.5 |
89 |
52 |
18 |
8.9 |
0.54 |
2,0 |
100 |
59 |
20 |
10.0 |
0.60 |
1.5 |
115 |
68 |
23 |
11.5 |
0.69 |
1,0 |
141 |
84 |
28 |
14.2 |
0.85 |
0.5 |
200 |
118 |
40 |
20.0 |
1.20 |
0.25 |
283 |
168 |
57 |
28.3 |
1.70 |
0,125 |
400 |
236 |
80 |
40.0 |
2.40 |
0.08 և պակաս |
500 |
296 |
80 |
50.0 |
3.00 |
2.4. Աղյուսակ 3.2-ում նշված 0.08 ժամից պակաս տևողությամբ ազդեցության դեպքում, ազդեցության ինտենսիվության հետագա բարձրացում չի թույլատրվում։
2.5. Էներգիայի հոսքի խտության թույլատրելի սահմանային մակարդակների արժեքները կախված ՌՀ ԷՄՃ–ի ազդեցության տևողությունից, բերված են աղյուսակ 3-ում, ընդ որում, ազդեցության 0.2 ժամից պակաս տևողության դեպքում, ազդեցության ինտենսիվության հետագա բարձրացում չի թույլատրվում։
Աղյուսակ 3
Էներգիայի հոսքի խտության սահմանային թույլատրելի մակարդակները 300 ՄՀց-300 ԳՀց հաճախականության տիրույթում, կախված ազդեցության տևողությունից
Ազդեցության տևողություն T, ժ |
ԷՀԽ սթմ մկՎտ/սմ 2 |
8.0 և ավելի |
25 |
7.5 |
27 |
7.0 |
29 |
6.5 |
31 |
6.0 |
33 |
5.5 |
36 |
5.0 |
40 |
4.5 |
44 |
4.0 |
50 |
3.5 |
57 |
3.0 |
67 |
2.5 |
80 |
2.0 |
100 |
1.5 |
133 |
1.0 |
200 |
0.5 |
400 |
0.25 |
800 |
0.20 և պակաս |
1000 |
2.6. Սույն սանիտարական կանոնների և նորմերի կետ 2.1.1-ում նշված անձանց շրջանային դիտարկմամբ կամ 1Հց-ից ոչ պակաս սկաներացմամբ և 20-ից ոչ պակաս ծակոտկենությամբ ռեժիմում աշխատող շրջանաձև դիտարկմամբ ալեհավաքներից ճառագայթման դեպքում, վերջինիս ազդեցության սահմանային թույլատրելի ինտենսիվությունը որոշվում է հետևյալ բանաձևով.
|
ԷԷպպ.սթմ | ||
ԷՀԽսթմ |
= |
K |
T |
որտեղ՝ K-ն ընդհատվող ազդեցության կենսաբանական ակտիվության թուլացման գործակիցն է, որը հավասար է 10-ի։ Անկախ ազդեցության տևողությունից, ազդեցության ինտենսիվությունը չպետք է գերազանցի աղյուսակ 3.3-ում նշված առավելագույն մեծությունը (1000 մկՎտ/սմ2)։
Անկախ ազդեցության տևողությունից, ազդեցության ինտենսիվությունը չպետք է գերազանցի աղյուսակ 3.2. և 3.3-ում նշված առավելագույն մեծությունը (օր.՝ 1000մկ.Վտ/սմ2, 30 ՄՀց-300 ՄՀց հաճախականության տիրույթի համար)։
2.7. Միկրոշերտավոր, գերբարձր հաճախականության սարքերի հետ աշխատելու դեպքում, ձեռքերի դաստակների տեղային ճառագայթման ազդեցության սահմանային թույլատրելի մակարդակը որոշվում է հետևյալ բանաձևով.
|
ԷԷպպ.Hթմ | ||
ԷՀԽսթմ |
= |
K1 |
T |
որտեղ K1-ը կենսաբանական արդյունավետության թուլացման գործակիցն է և հավասար է 12.5-ի։ Այս դեպքում ձեռքերի դաստակների վրա էներգիայի հոսքի խտությունը չպետք է գերազանցի 5000 մկՎտ/սմ2-ը։
2.8. ՌՀ ԷՄՃ-ի սահմանային թույլատրելի մակարդակները, որպես կանոն, որոշվում է հիմք ընդունելով, որ ազդեցությունն առկա է աշխատանքային ամբողջ օրվա (հերթափոխի) ընթացքում։
Ազդեցության տևողության կրճատումը պետք է հաստատվի տեխնոլոգիական, կարգադրական փաստաթղթերով և/կամ խրոնոմետրաժի արդյունքներով։
ՌՀ ԷՄՃ ինտենսիվության բարձրացված թույլատրելի մակարդակների կիրառումը ազդեցության տևողության կրճատման հաշվին (3.1 և 3.4 կետերի հիման վրա), թույլատրվում է միայն պետական հիգիենիկ և հակահամաճարակային տեսչության մարմինների համաձայնությամբ, այն դեպքում, երբ ՌՀ ԷՄՃ-ի ազդեցությունից պաշտպանվելու բոլոր այլ միջոցները սպառվել են և չեն տվել անհրաժեշտ արդյունք։
Աշխատանքի սահմանային թույլատրելի տևողությունը ներառվում է անվտանգության տեխնիկայի հրահանգում և տեխնոլոգիական փաստաթղթերում, իսկ ՌՀ ԷՄՃ աղբյուրների վրա կամ դրանց անմիջապես մոտիկ տեղադրվում են համապատասխան նախազգուշացման նշագրումներ։
2.9. Այն տեղերում, որտեղ ՌՀ ԷՄՃ ինտենսիվությունը գերազանցում է ազդեցության նվազագույն տևողության համար սահմանված սահմանային թույլատրելի մակարդակները, անձնակազմի գտնվելը թույլատրվում է միայն անհատական պաշտպանական միջոցների օգտագործման պայմանով։
2.10. ՌՀ ԷՄՃ -ի ինտենսիվությունը կառուցապատված բնակելի տարածքներում, զանգվածային հանգստի վայրերում, բնակելի, հասարակական և արտադրական շենքերում (արտաքին ՌՀ ԷՄՃ, ներառյալ երկրորդային ճառագայթումը), մինչև 18 տարեկան անձանց և հղի կանանց աշխատատեղերում, չպետք է գերազանցի 4 և 5 աղյուսակներում նշված մակարդակները։
Աղյուսակ 4
ՌՀ ԷՄՃ սահմանային թույլատրելի մակարդակները բնակչության 18 տարին չլրացած անձանց և հղի կանանց համար
Սենքի կամ տարածքի նշանակությունը |
Հաճախականության տիրույթ | ||||
30 կՀց- |
0.3-3 ՄՀց |
3-30 ՄՀց |
30-300 ՄՀց |
300 ՄՀց-30 ԳՀց | |
ՌՀ ԷՄՃ սահմանային թույլատրելի մակարդակ | |||||
Վ/մ | Վ/մ | Վ/մ | Վ/մ | ՄկՎտ/սմ2 | |
Կառուցապատված բնակելի տարածքներ և զանգվածային հանգստի վայրեր Բնակելի, հասարակական և արտադրական շենքերում (արտաքին ՌՀ ԷՄՃ, ներառյալ՝ երկրորդային ճառագայթումը) 18 տ. չլրացած անձանց և հղի կանանց աշխատատեղեր |
25.0 |
15.0 |
10.0 |
3.0 բացառությամբ շրջանային կամ սկաներացման ռեժիմով աշխատող հեռուս- տացուցային և ռադիոլոկա- ցիոն կայանների |
10.0-100.0 շրջանային դիտարկման կամ սկա- ներացման ռեժիմով աշխատող ալեհավաքներից ճառագայթման դեպքում, կետ 3.5-ում նշված պայմանների կատարմամբ |
Աղյուսակ 5
Հեռուստատեսային կայաններում ստեղծվող ՌՀ ԷՄՃ թույլատրելի սահմանային մակարդակներ
Հ/հ |
Հաճախականություն, ՄՀց |
ՍԹՄ, Վ/մ |
1 |
48.4 |
5.0 |
2 |
88.4 |
4.0 |
3 |
192.0 |
3.0 |
4 |
300.0 |
2.5 |
2.11. Տիեզերական տարածության հսկողության նպատակով գործող 150-300 ՄՀց հաճախականության տիրույթում, ճառագայթի էլեկտրոնային սկաներացման ռեժիմով աշխատող հատուկ նշանակության ռադիոլոկացիոն կայանների (այսուհետ` ՀՆՌԼԿ) ՌՀ ԷՄՃ ինտենսիվությունը ՀՆՌԼԿ ճառագայթման դիագրամային մոտ գտնվող բնակավայրերում չպետք է գերազանցի 10 մկՎտ/սմ2 (6Վ/մ), իսկ ՀՆՌԼԿ ճառագայթման դիագրամայի գոտուց հեռու գտնվող բնակավայրերում՝ 100 մկՎտ/սմ2 (19 Վ/մ)։
Մոտիկ գոտու պայմանները առկա են առավելապես «Դնեպր» տիպի ՀՆՌԼԿ-ի ազդեցության տարածքում (մոտակա գոտին 20 կմ է)։
Բնակավայրերում «Դարյալ» ՀՆՌԼԿ-ի ճառագայթման պայմանները համապատասխանում են հեռավոր գոտու օրինաչափություններին և բնութագրվում են ընդհատվող ազդեցության բարձր ծակոտկենությամբ՝ 400-5000։ Այդ դեպքում իրական ճառագայթման գումարային տևողությունը, օրվա ընթացքում, չի գերազանցում 4 րոպեն։ «Դարյալ» տիպի ՀՆՌԼԿ ազդեցության տարածքում մոտակա և հեռակա գոտիների միջև սահմանը 1.2 կմ է։ ՀՆ ՌՀԿ ճառագայթման դիագրամայի մոտակա և հեռակա գոտիների միջև սահմանը որոշվում է հետևյալ հարաբերությամբ՝
r=D2/l,
որտեղ՝
r-ն ԷՄՃ-ի աղբյուրից հեռավորությունն է, D-ն՝ ճառագայթող սարքի առավելագույն չափը, իսկ l -ն՝ ճառագայթման ալիքի երկարությունը։
2.12. Բժշկական սարքերի ճառագայթման ազդեցությունը պացիենտների վրա սույն սանիտարական կանոններով չի կանոնակարգվում, քանի որ վերջինիս ազդեցության տևողությունը որոշվում է անհրաժեշտ բուժական արդյունքով։
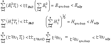
2.13. Նույն թույլատրելի սահմանային մակարդակ ունեցող մի քանի ՌՀ ԷՄՃ աղբյուրների միաժամանակյա ճառագայթման դեպքում, պետք է պահպանվեն ներքոհիշյալ պայմանները.
որտեղ՝ E1-ը էլեկտրական դաշտի լարվածությունն է, որը ստեղծվում է N 1 ԷՄՃ-ի աղբյուրից։ H1-ը մագնիսական դաշտի լարվածությունն է, որը ստեղծվում է N 1 ԷՄՃ-ի աղբյուրից, ԷՀԽ1-ը՝ էներգիայի հոսքի խտությունն է, որը ստեղծվում է N 1 ԷՄՃ-ի աղբյուրից։
T1-ը 1 աղբյուրի ազդեցության տևողությունն է, n-ն՝ ԷՄՃ աղբյուրների քանակը։
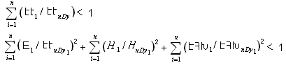
2.14. Տարբեր սահմանային թույլատրելի մակարդակներ ունեցող մի քանի աղբյուրների միաժամանակյա ճառագայթման դեպքում պետք է պահպանվեն ներքոհիշյալ պայմանները՝
որտեղ՝ Է1-ը առաջին նորմավորված տիրույթի էներգետիկ էքսպոզիցիան է,
ԷԷnDy1-ը առաջին նորմավորվող տիրույթի էներգետիկ էքսպոզիցիայի սահմանային թույլատրելի մակարդակն է,
EnDy1- առաջին նորմավորվող տիրույթի էլեկտրական դաշտի լարման սահմանային թույլատրելի մակարդակն է,
HnDy1- առաջին նորմավորվող տիրույթի մագնիսական դաշտի լարման սահմանային թույլատրելի մակարդակն է,
ԷՀԽnDy1- առաջին նորմավորվող տիրույթի էներգիայի հոսքի խտության սահմանային թույլատելի մակարդակն է,
n-ն՝ նորմավորվող տիրույթների քանակն է։
3. ՌՀ ԷՄՃ աղբյուրներին ներկայացվող պահանջներ
3.1. Հայաստանի Հանրապետության տարածքում արտադրվող արտադրանքը պետք է ապահովի սույն սանիտարական նորմերի և կանոնների պահանջների կատարումը։
3.2. Հայաստանի Հանրապետության տարածքում ՌՀ ԷՄՃ աղբյուրներ հանդիսացող սարքերի արտադրությունը և շահագործումը թույլատրվում է միայն ՀՀ պետական հիգիենիկ և հակահամաճարակային տեսչության դրական եզրակացության առկայության պայմանով։
3.3. Սույն սանիտարական նորմերին և կանոններին համապատասխան, հսկողության ենթակա չեն.
3.3.1. Արտադրական գործընթացում օգտագործվող ՌՀ ԷՄՃ աղբյուրները, եթե դրանք չեն աշխատում տարածության մեջ ճառագայթման համար նախատեսված ալեհավաքի բաց ուղեծրի կամ այլ էլեմենտի վրա և դրանց առավելագույն բարձր հաճախականության հզորությունը համաձայն անձնագրային տվյալների, չի գերազանցում՝
5 Վտ-ը՝ 30 կՀց-3 ՄՀց հաճախականության տիրույթում,
2 Վտ-ը՝ 3-30 ՄՀց հաճախականության տիրույթում,
0.2 Վտ-ը՝ 30 ՄՀց-300 ԳՀց հաճախականության տիրույթում:
3.3.2. Կենցաղային սարքավորումները և սարքերը, անհատական կրվող ռադիոհաղորդիչ միջոցները, մինչև 18 տարեկան անձանց և հղի կանանց աշխատատեղերում օգտագործվող, ՌՀ ԷՄՃ աղբյուրները, եթե դրանց անվանական բարձր հաճախականության հզորությունը չի գերազանցում՝
1 Վտ-ը՝ 30 կՀց-3 ՄՀց հաճախականության տիրույթում,
0.5 Վտ-ը՝ 3-30 ՄՀց հաճախականության տիրույթում,
0.5 Վտ-ը՝ 30 ՄՀց-300 ԳՀց հաճախականության տիրույթում:
3.4. ՌՀ ԷՄՃ աղբյուրների արտադրանքի արտադրական վերահսկողությունը, փորձարկումը, ճառագայթման ինտենսիվության և այլ հիգիենիկ ցուցանիշների և բնութագրերի ուսումնասիրության կազմակերպումը և անվտանգության անհրաժեշտ միջոցների մշակումը ապահովում է արտադրողը։
3.5. ՌՀ ԷՄՃ աղբյուրների արտադրանքի նորմատիվային և շահագործման փաստաթղթերը պետք է պարունակեն հետևյալ տեղեկատվությունը.
Նորմատիվային փաստաթղթերում հստակ սահմանված պետք է լինեն արտադրանքի կիրառման բնագավառը և պայմանները, հիգիենիկ ցուցանիշները և արտադրանքի բնութագրերը (մարդու օրգանիզմի վրա վնասակար և վտանգավոր գործոնների տեսակները և թույլատրելի մակարդակները, որոնց աղբյուրն է հանդիսանում արտադրանքի նմուշը), հիգիենիկ ցուցանիշների և արտադրանքի բնութագրերի հսկողության կանոնները և մեթոդները, որոնք կապահովեն վնասակար գործոնների փաստացի մակարդակները, թույլատրելի մակարդակներին համապատասխան:
Շահագործման փաստաթղթերում պետք է ներառվեն արտադրանքի կիրառման բնագավառը և պայմանները, հիգիենիկ ցուցանիշները և արտադրանքի բնութագրերը (մարդու օրգանիզմի վրա փաստացի ազդեցության մակարդակները), մարդու համար դրա կիրառման անվտանգությունն ապահովող միջոցառումները, առաջին օգնությունը սուր հիվանդությունների ժամանակ (անհրաժեշտության դեպքում), ՀՀ պետական հիգիենիկ և հակահամաճարակային տեսչության եզրակացության համարը, դրա տրման ամսաթիվը և գործողության ժամկետը։
3.6. Անհրաժեշտության դեպքում, արտադրանքի դիմային մակերեսին պետք է կատարվի համապատասխան նախազգուշական նշագրում։
4. Արտադրական պայմաններում ՌՀ ԷՄՃ աղբյուրների տեղադրմանը ներկայացվող պահանջներ
4.1. Արտադրական պայմաններում ՌՀ ԷՄՃ աղբյուրների տեղադրմանը ներկայացվող պահանջները սահմանվում են Հայաստանի Հանրապետությունում գործող իրավական ակտերով:
5. Հաղորդող ռադիոտեխնիկական օբյեկտների (ՀՌՏՕ) տեղակայմանը ներկայացվող պահանջներ
5.1. Շրջակա տարածություններ էլեկտրամագնիսական ճառագայթներ հեռարձակող ռադիոլոկացիոն, ռադիոհաղորդող, հեռուստատեսային, ռադիոռելեային, արբանյակային, կապի երկրային կայանների (ՀՌՏԿ` հաղորդող ռադիոտեխնիկական կայաններ), /բացառությամբ շարժականներից/, շրջակա տարածություններ էլեկտրամագնիսական ճառագայթներ հեռարձակող այլ օբյեկտների տեղակայումը և շահագործումը թույլատրվում է միայն պետական հիգիենիկ և հակահամաճարակային տեսչության մարմինների դրական եզրակացության առկայության պայմաններում։
5.2. Պետական հիգիենիկ և հակահամաճարակային տեսչության մարմինների հետ համաձայնեցման ենթակա չէ շենքից դուրս (այդ թվում՝ տանիքի վրա) այնպիսի ՀՌՏԿ-ների տեղակայումը, որոնց տեղադրված ալեհավաքի ուղղորդված գործողության գործակիցը 5-ից ոչ ավելի է և առավելագույն հզորությունը չի գերազանցում ներքոհիշյալ մակարդակները՝
40 Վտ՝ 30 կՀց-3 ՄՀց հաճախականության տիրույթում,
20 Վտ՝ 3-30 ՄՀց հաճախականության տիրույթում,
2 Վտ՝ 30 ՄՀց-300 ԳՀց հաճախականության տիրույթում։
5.3. ՀՌՏԿ-ները` հաղորդող ռադիոտեխնիկական կայանները պետք է տեղակայվեն այնպես, որպեսզի բաց տարածքներում և շենքերում ՌՀ ԷՄՃ ինտենսիվությունը չգերազանցի աղյուսակ 1-ում բերված սահմանային թույլատրելի մակարդակները։ Առաջարկվում է հաղորդիչ հանդիսացող ռադիոտեխնիկական օբյեկտները տեղակայել շրջապատի նկատմամբ առավելագույն բարձրադիր տեղանքներում։
5.4. ՀՌՏԿ-ների տեխնիկական տարածքներում և հատուկ պոլիգոններում չի թույլատրվում տեղակայել բնակելի և հասարակական շենքեր։
5.5. Բնակելի և հասարակական այլ շենքերի տանիքների վրա չի թույլատրվում տեղակայել ալեհավաքներ, եթե շենքի ներսում և հարակից տարածքներում ՌՀ ԷՄՃ ինտենսիվությունը գերազանցում է սահմանային թույլատրելի մակարդակները։
5.6. Բնակչությանը ՀՌՏԿ-ներից առաջացած ՌՀ ԷՄՃ-ների ազդեցությունից պաշտպանելու համար սահմանվում են սանիտարական պահպանման և սահմանափակումների գոտիներ։
5.7. Սանիտարական պահպանման գոտին ՀՌՏԿ-ի տեխնիկական տարածքին հարող տարածքն է: Սանիտարական պահպանման գոտու արտաքին սահմանը որոշվում է գետնի մակերեսից 2 մ բարձրության վրա, ըստ 3.4. և 3.5. աղյուսակներում ու կետ 3.10-ում նշված ՌՀՏ ԷՄ սահմանային թույլատրելի մակարդակների:
5.8. Սանիտարական պահպանման գոտին հաշվարկվում է ալեհավաքից` հաշվի առնելով օբյեկտի և բնակավայրի զարգացման հեռանկարը:
5.9. Սահմանափակումների գոտին այն տարածքն է, որտեղ գետնի մակերեսից 2 մ ավելի բարձրության վրա ՌՀ ԷՄՃ-ի ինտենսիվությունը չի գերազանցում ՍԹՄ-ները, որոնք նշված են 4, 5 աղյուսակներում և կետ 2.10-ում: Սահմանափակման գոտու արտաքին սահմանը որոշվում է հեռանկարային կառուցվող շենքերի առավելագույն բարձրությամբ, որոնց վերին հարկերում ՌՀ ԷՄՃ չպետք է գերազանցի աղյուսակ 1-ում բերված սահմանային թույլատրելի մակարդակները:
Խիստ կտրտված հատույթներով տեղանքներում կարող են առաջանալ ՀՌՏՕ-ներին չհարող տարածքներ, որտեղ ՌՀ ԷՄՃ ինտենսիվությունը գերազանցում է սահմանային թույլատրելի մակարդակները, հետևաբար, այս տարածքների նկատմամբ նույնպես կարող են սահմանվել սանիտարական պահպանման և սահմանափակումների գոտիներ:
5.10. Սանիտարական պահպանման և սահմանափակումների գոտիների տարածքները որոշվում են հաշվարկային եղանակով, այնուհետև ճշտվում ՌՀ ԷՄՃ- ի ինտենսիվության չափումների միջոցով: Հաշվարկների և չափումների կազմակերպումն ու անցկացումը ՀՌՏԿ-ների շահագործող կազմակերպությունների պարտականություններն են:
5.11. Ուղղորդված կամ որոշակի հատվածում սկաներացում կատարող ալեհավաքներ ունեցող ՀՌՏԿ-ի սանիտարական պահպանման և սահմանափակումների գոտիները սահմանվում են ԷՄ էներգիայի ճառագայթման ուղղությամբ, հաշվի առնելով ուղղորդվածության դիագրամային լայնությունը, ինչպես նաև կողային և հետին թերթիկները (պսակաթերթեր):
Շրջանային ճառագայթում կամ ոչ ուղղորդված գործողության ալեհավաքներ ունեցող ՀՌՏԿ-ների սանիտարական պահպանման և սահմանափակումների գոտիները սահմանվում են շրջանակով:
5.12. Այն ՀՌՏԿ-ի համար, որոնց ալեհավաքները էլեկտրամագնիսական էներգիան ճառագայթում են հորիզոնի նկատմամբ որոշակի անկյան տակ և ՌՀ ԷՄՃ ինտենսիվությունը փոփոխվում է բարձրությունից կախված, սահմանափակումների գոտին որոշվում է դիֆերենցված` ուղղահայաց առկա և հեռանկարային կառուցվող բնակելի կառույցների բարձրությունների սահմաններում:
5.13. Բնակելի տարածքներում ճառագայթման աստիճանը և սանիտարական պահպանման ու սահմանափակումների գոտիների չափերը նվազեցնելու համար ՀՌՏՕ-ների ալեհավաքները պետք է տեղադրվեն բնական և արհեստական բարձունքների վրա, սահմանափակելով ալեհավաքների առավելագույն ճառագայթման բացասական անկյունների օգտագործումը:
5.14. Գործող և նախագծվող ՀՌՏԿ-ների գոտիներում հատակագծման և կառուցապատման աշխատանքները պետք է իրականացնել հաշվի առնելով սանիտարական պահպանման և սահմանափակումների գոտիների սահմանները:
5.15. Սանիտարական պահպանման և սահմանափակումների գոտիներում արգելվում է բոլոր տեսակի բնակելի շենքերի, ստացիոնար բուժկանխարգելիչ հաստատությունների, առողջարանային, մանկական նախադպրոցական հիմնարկների, բոլոր տեսակի միջնակարգ ուսումնական հաստատությունների և մարդկանց շուրջօրյա գտնվելու այլ շենքերի կառուցումը:
5.16. Հասարակական և արտադրական շենքերը ՌՀ ԷՄՃ-ներից պաշտպանելու անհրաժեշտության դեպքում, պետք է նախատեսել բարձր ռադիոպաշտպանիչ հատկությամբ նյութերից (ցեմենտբետոն և այլն) պատրաստված սահմանազատող կոնստրուկցիաներ կամ սահմանազատող կոնստրուկցիաների ծածկեր` մետաղյա ցանցով հողանցումով:
5.17. Անհրաժեշտ է հաշվի առնել շենքերի կառուցվածքային տարրերի, հաղորդակցության ուղիների, ներքին լարանցումների և այլնի երկրորդային ՌՀ ԷՄՃ-ների ազդեցությունից պաշտպանելու անհրաժեշտությունը:
Անհրաժեշտության դեպքում, ջեռուցման մարտկոցները և կոմունիկացիայի ու ցանցերի այլ բաղադրիչները պետք է փակել դիէլեկտրիկ (փայտյա և այլն) տուփերով, որոնք կխոչընդոտեն վերոհիշյալներին անմիջապես մոտենալը, հպվելը: Կոմունիկացիայի, ցանցերի և տուփերի միջև անհրաժեշտ հեռավորությունը որոշվում է ՌՀ ԷՄՃ-ի ինտենսիվության չափման միջոցով:
5.18. Սույն բաժնում նախատեսված պահանջները պարտադիր են նաև փոխադրամիջոցներում (ինքնաթիռ, գնացք), օդանավակայաններում, կայարաններում տեղակայված հաղորդիչ ռադիոտեխնիկական միջոցների համար:
6. Աշխատողներին ՌՀ ԷՄՃ ազդեցությունից պաշտպանելու միջոցառումներ
6.1. ՌՀ ԷՄՃ ազդեցությունից անձնակազմի պաշտպանումն իրականացվում է կազմակերպական, ինժեներատեխնիկական միջոցառումների իրականացման, ինչպես նաև անհատական պաշտպանական միջոցների օգտագործման միջոցով:
Կազմակերպական միջոցառումներին են վերաբերում սարքավորումների աշխատանքի ռացիոնալ ռեժիմի ընտրությունը, ՌՀ ԷՄՃ ազդեցության գոտում անձնակազմի գտնվելու տեղի և ժամանակի սահմանափակումը (պաշտպանություն հեռավորությամբ և ժամանակով) և այլն:
Ինժեներատեխնիկական միջոցառումները ներառում են` սարքավորումների ռացիոնալ տեղակայումը, անձնակազմի աշխատատեղերը թափանցող էլեկտրամագնիսական էներգիայի սահմանափակման միջոցների օգտագործումը (հզորությունների կլանիչներ, էկրանավորում, գեներատորների անհրաժեշտ նվազագույն հզորությամբ օգտագործումը), ՌՀ ԷՄՃ-ի բարձր մակարդակով գոտիների նշագրում, սահմանազատում, անհատական պաշտպանիչ միջոցների` ակնոցների, խալաթների, սաղավարտների, վահանակների օգտագործում և այլն:
Յուրաքանչյուր կոնկրետ դեպքում անհատական պաշտպանական միջոցները պետք է որոշվեն հաշվի առնելով հաճախականությունների աշխատանքային տիրույթը, իրականացվող աշխատանքների բնույթը և տևողությունը, ինչպես նաև պաշտպանության անհրաժեշտ արդյունավետությունը:
6.2. ՌՀ ԷՄՃ աղբյուրները պետք է ապահովված լինեն գործարանային էկրաններով:
6.3. Անհրաժեշտության դեպքում, եթե փորձարկումներն իրականացվում են կազմակերպության տարածքում կամ արտադրամասերում, պետք է ձեռնարկվեն արտադրամասի (տարածքի) սահմաններում և աշխատատեղերում ՌՀ ԷՄՃ սահմանային թույլատրելի մակարդակների գերազանցումը բացառող միջոցառումներ: Ալեհավաքի վրա ճառագայթող սարքերի աշխատանքի ընթացքում անհրաժեշտ է նախատեսել ձայնային և լուսային ազդանշաններ:
6.4. ՌՀ ԷՄՃ աղբյուրների կամ աշխատատեղերի էկրանավորումը կատարվում է մետաղյա թիթեղներով, ցանցերով, մանրալարեր ունեցող կտորից կամ այլ նյութից պատրաստված անդրադարձնող կամ կլանիչ ստացիոնար կամ շարժական էկրանների միջոցով (հավելված 3):
Կլանիչ էկրաններում օգտագործվում են համապատասխան երկարության ալիքի ճառագայթման կլանումը ապահովող հատուկ նյութեր: Կախված ճառագայթման հզորությունից, աղբյուրի և աշխատանքային տեղերի փոխադարձ տեղակայումից էկրանների կառուցվածքային լուծումը կարող է լինել տարբեր (փակ խցիկ, զրահ, միջնորմ, պատյան և այլն):
6.5. Փակ խցիկի տեսքով էկրանավորման դեպքում, ալիքատարների, համակենտրոն հաղորդալարերի, ջրի, օդի խողովակների մուտքերը, ինչպես նաև ղեկավարման վահանակների բռնակների և կարգավորող տարրերի ելքերը չպետք է խախտեն խցիկի էկրանավորող հատկությունները:
6.6. Դիտապատուհանների, սարքերի պանելների էկրանավորումը կատարվում է ռադիոպաշտպանիչ ապակիներով: Օդափոխության փեղկերով էլեկտրամագնիսական էներգիայի ներթափանցումը փոքրացնելու համար, վերջիններս էկրանավորվում են մետաղական ցանցերով, կամ իրականացվում են անդրսահմանային ալիքատարների տեսքով:
6.7. Ալեհավաքների կողային բաղադրիչներից էներգիայի արտահոսքի նվազեցումը իրականացվում է «դրոսելային ֆլանցերի» կիրառմամբ, կողային բաղադրիչների ամրացմամբ, մետաղալարերից (ֆոսֆորական բրոնզ, պղինձ, ալյումինակապար և այլն) և կլանիչ նյութերից պատրաստված ներդիրների միջոցով իրականացնել լրացուցիչ էկրանապատում:
6.8. Անհատական պաշտպանական միջոցներն անհրաժեշտ է օգտագործել այն դեպքերում, երբ ընդհանուր պաշտպանական միջոցներով ՌՀ ԷՄՃ-ի մակարդակի նվազեցումը տեխնիկապես հնարավոր չէ: Եթե պաշտպանական հագուստը պատրաստված է այնպիսի նյութից, որն իր մեջ պարունակում է մետաղալար, ապա այն կարող է օգտագործվել այնպիսի պայմաններում, երբ բացառված է աշխատողի հպումը սարքի բաց էլեկտրական հոսանք պարունակող մասերի հետ:
6.9. Էկրանապատված շենքերում (խցիկներում) աշխատելու դեպքում, վերջիններիս հատակը, առաստաղը և պատերը ներսից պետք է պատված լինեն ռադիոկլանիչ նյութերով: Ուղղորդված ճառագայթման դեպքում, կլանիչ ծածկ պետք է օգտագործել միայն պատերի, հատակի, առաստաղի համապատասխան տեղամասերում: Այն դեպքերում, երբ էկրանավորված շենքերի աշխատատեղերում ՌՀ ԷՄՃ մակարդակը գերազանցում է սահմանային թույլատրելի մակարդակները, պետք է անձնակազմը խցիկից դուրս հանել և աշխատանքը կազմակերպել հեռակառավարման համակարգով:
6.10. ՀՌՏԿ-ի տարածքում ծառայողական սենքերը պետք է տեղավորել առավելապես «ռադիոստվերի» գոտում` դռները և պատուհանները ՌՀ ԷՄՃ աղբյուրներին հակառակ կողմորոշումով:
6.11. ՌՏԿ-ի տարածքում անձնակազմի շարժման ուղերթերը պետք է սահմանել այնպես, որ ՌՀ ԷՄՃ սահմանային թույլատրելի մակարդակներից բարձր լինելու դեպքում բացառվի մարդկանց ճառագայթման հնարավորությունը: ՌՀ ԷՄՃ սահմանային թույլատրելի մակարդակից բարձր լինելու գոտիները պետք է նշվեն հատուկ նախազգուշացնող նշաններով և գրառումներով:
7. Բուժկանխարգելիչ միջոցառումներ
7.1. ՌՀ ԷՄՃ ազդեցության հետ կապված` առողջական վիճակի խանգարումների կանխարգելման, վաղաժամ ախտորոշման և բուժման նպատակով, աշխատողները պետք է ենթարկվեն պարտադիր նախնական և պարբերական բժշկական զննությունների՝ ՀՀ կառավարության 15.06.04 N 1089-Ն «Արտադրական միջավայրում և աշխատանքային գործընթացի վնասակար և վտանգավոր գործոնների ազդեցությանը ենթարկվող բնակչության առանձին խմբերի առողջական վիճակի պարտադիր նախնական (աշխատանքի ընդունվելիս) և պարբերական բժշկական զննության ծավալի, բժշկական հակացուցումների ցանկերը և աշխատանքի պայմանների հիգիենիկ բնութագրման կարգը հաստատելու մասին» որոշմամբ սահմանված կարգով:
7.2. Աշխատողները չեն անցնում բժշկական զննություն, եթե ՌՀ ԷՄՃ մակարդակը աշխատատեղերում չի գերազանցում սույն կանոնների 3.4., 3.5. աղյուսակներում և 3.10 կետում նշված մակարդակները:
7.3. ՌՀ ԷՄՃ ազդեցությամբ պայմանավորված առողջական վիճակի կլինիկական խանգարումների նախնական դրսևորումներով (ասթենիկ, ասթենո-վեգետատիվ, հիպոթալամուսային համախտանիշ) բոլոր անձինք, ինչպես նաև ընդհանուր հիվանդություններով (կենտրոնական նյարդային համակարգի օրգանական հիվանդություններ, հիպերտոնիկ հիվանդություն, էնդոկրին համակարգի հիվանդություններ, արյան հիվանդություններ) հիվանդ անձինք, որոնց մոտ վերջիններիս ընթացքը կարող է խորանալ աշխատանքի միջավայրի անբարենպաստ գործոնների ազդեցությամբ, պետք է վերցվեն հսկողության տակ` աշխատանքի պայմանների առողջացմանը և աշխատողների առողջապահական վիճակի վերականգնմանն ուղղված համապատասխան հիգիենիկ և բուժական միջոցառումների իրականացմամբ:
7.4. Աշխատողներին ժամանակավոր կամ մշտական այլ աշխատանքի տեղափոխումը կատարվում է այն դեպքերում, երբ մասնագիտական ախտաբանությունը բնութագրվում է արտահայտված ձևով կամ վատթարացնող ընթացքով կամ ընդհանուր հիվանդությունը խորանում է ՌՀ ԷՄՃ ազդեցության արդյունքում: Այլ աշխատանքի են տեղափոխվում նաև հղի և կերակրող կանայք:
7.5. 18 տարին չլրացած անձինք և հղի կանայք ՌՀ ԷՄՃ աղբյուրներ հանդիսացող սարքերի մոտ աշխատելու թույլտվություն են ստանում այն դեպքում, երբ վերջիններիս ճառագայթման ինտենսիվությունը աշխատատեղերում չի գերազանցում աղյուսակ 3.4. և 3.5-ում նշված սահմանային թույլատրելի մակարդակները:
Հավելված 1.2 |
ՌՀ ԷՄՃ ինտենսիվության հսկողությանը ներկայացվող պահանջներ
1. Չափման միջոցներին ներկայացվող պահանջներ
1.1. ՌՀ ԷՄՃ ինտենսիվության չափումները պետք է կատարել սահմանված կարգով չափագիտական ատեստավորում անցած և ստուգման վերաբերյալ գործող վկայական ունեցող սարքերով:
1.2. 30 կՀց-30 մՀց հաճախականության տիրույթի չափման համար պետք է օգտագործել էլեկտրամագնիսական դաշտերի լարվածությունների միջին քառակուսային մակարդակների չափումների համար նախատեսված, 30% թույլատրելի հարաբերական սխալով սարքեր:
0,3-300 ԳՀց հաճախականության տիրույթի դեպքում չափումների համար պետք է օգտագործել էներգիայի հոսքի խտության միջին մակարդակների չափման համար նախատեսված, 30% թույլատրելի սխալով սարքեր: Չափումների իրականացման համար նախապատվությունը պետք է տալ իզոտոպային տվիչներով սարքերին:
2. Հսկողության կետերի ընտրություն
2.1. Արտադրական պայմաններում չափումները պետք է կատարել անձնակազմի մշտական աշխատատեղերում: Մշտական աշխատատեղերի բացակայության դեպքում, ընտրվում է մի քանի կետեր աշխատանքային գոտու շրջանակներում, որտեղ աշխատողը ներկա է լինում աշխատաժամերի 50%-ից ոչ պակաս ժամանակահատվածում:
Բացի դրանից իրականացվում են չափումներ աշխատանքի գործընթացում անձնակազմի ներկա գտնվելու հնարավոր տեղերում:
2.2. Ճառագայթման հեռավոր գոտում աշխատելու համար նախատեսված ուղղորդված ազդեցությամբ ալեհավաքներ ունեցող սարքերով էներգիայի հոսքի խտության չափումների ժամանակ սարքերի ալեհավաքները չպետք է մոտենան էներգիայի ելքի տեղին պակաս հեռավորությամբ, քան, rmin d2/l որտեղ d-ն ընդունող ալեհավաքի ամենամեծ երկրաչափական չափսն է, l ՝ ճառագայթման ալիքի երկարությունը:
2.3. NFM-1 կամ նմանատիպ սարքերով ՌՀ ԷՄՃ էլեկտրական բաղադրիչների չափումների դեպքում, անհրաժեշտ է դիպոլային ալեհավաքով սարքի և մետաղական մակերեսների (առարկաների) միջև պահպանել 50 մ հեռավորություն: Փոքր հեռավորությունների դեպքում, կտրուկ աճում են չափումների սխալները:
2.4. Բնակելի և հասարակական շենքերում (ներքին ճառագայթում, ներառյալ` երկրորդականը) ՌՀ ԷՄՃ ինտենսիվության չափումները իրականացվում են սենքի կենտրոնում, պատուհանների, ջեռուցման մարտկոցների և այլ հաղորդակցման ուղիների մոտ, ինչպես նաև, անհրաժեշտության դեպքում, այլ կետերում:
2.5. Արտաքին ճառագայթման չափումը, օդի լավորակման բացակայության դեպքում, կատարվում է օդանցքի, վերնափեղկի բաց կամ պատուհանի փեղկի կիսաբաց վիճակում:
2.6. Բաց տարածքներում չափումները կատարվում են գետնի մակերեսից 2 մ, այնուհետև` 3, 6, 9 և այլ բարձրության վրա` կախված կառույցի բարձրությունից, անհրաժեշտության դեպքում, օգտագործելով բարձրացնող տեխնիկական կառուցվածքներ:
2.7. Կետերի ընտրությունը կատարում են պետական հիգիենիկ և հակահամաճարակային տեսչության համապատասխան մասնագետները:
3. Չափումների կատարումը
3.1. Յուրաքանչյուր կետում չափումները կատարվում են հատակից (հենակետի մակերեսից) 0,5, 1,0, 1,7մ բարձրության վրա: Տվյալ կետում չափվում է ՌՀ ԷՄՃ ինտենսիվության առավելագույն մակարդակը:
3.2. Պտտվող կամ սկաներավորված դիագրամայով ալեհավաքների ՌՀ ԷՄՃ-ի ինտենսիվության չափումները պետք է կատարել ուղղվածության անշարժ դիագրամայի պայմաններում:
3.3. Տարբեր հիգիենիկ նորմատիվային հաճախականությունների տիրույթում աշխատող ՌՀ ԷՄՃ աղբյուրների միաժամանակյա աշխատանքի ժամանակ, չափումները պետք է կատարել առանձին` յուրաքանչյուր հաճախականության տիրույթում (հաճախականության յուրաքանչյուր տիրույթը առանձնացնող սարքի բացակայության դեպքում):
3.4. Չափումների կատարման ժամանակ չափող անձը և այլ անձինք չպետք է գտնվեն ճառագայթման աղբյուրի և ընդունող ալեհավաքի միջև:
3.5. ՌՀ ԷՄՃ ինտենսիվություն չափող սարքերը օգտագործվում են դրանց շահագործման հրահանգի համաձայն:
3.6. Չափումների արդյունքները ձևակերպվում են արձանագրությամբ: Արձանագրության ձևը հաստատվում է պետական հիգիենիկ և հակահամաճարակային տեսչության պետի կողմից:
Արձանագրությունը պետք է ներառի ներքոհիշյալ տվյալները.
- արձանագրության ժամկետը (ամիս, ամսաթիվ, տարի) և համարը,
- օբյեկտի (կազմակերպության, արտադրության, տարածքի) անվանումը և հասցեն, ստորաբաժանման անվանումը (սենքը),
- ՌՀ ԷՄՃ - աղբյուրների հիմնական տեխնիկական բնութագրերը և անվանումները (հաճախականություն կամ հաճախականության տիրույթ, առավելագույն և օգտագործվող հզորություն, գործարանային համար, թողարկման տարի, գեներացիայի ռեժիմ, ճառագայթումով աշխատելու ժամանակահատվածը, և հաստատող փաստաթղթեր),
- ճառագայթող տարրերի նկարագրում,
- տեխնոլոգիական գործընթացի անվանումը և համառոտ նկարագիրը,
- չափման կետերի նկարագրումը` էսքիզով (անհրաժեշտության դեպքում),
- օգտագործվող պաշտպանական միջոցների նկարագրում,
- չափումների արդյունքներ,
- չափման միջոցների անվանումը և գործարանային համարը, ստուգման վկայականի գործունեության ժամկետը և համարը,
- կրճատ եզրակացություն (հետևություններ) ՌՀ ԷՄՃ աղբյուրի հետ աշխատելու պայմանների (ուսուցում, կենցաղ, հանգիստ)` սանիտարահիգիենիկ պահանջներին (նշելով նորմատիվ փաստաթուղթը) համապատասխանության կամ անհամապատասխանության վերաբերյալ,
- չափումներ կատարող անձի և պետական հիգիենիկ և հակահամաճարակային տեսչության համապատասխան ստորաբաժանման ղեկավարի ստորագրությունները:
3.7. ՌՀ ԷՄՃ ինտենսիվության չափումները պետք է կատարվեն`
- ընթացիկ հսկողության կարգով` ոչ պակաս տարին մեկ անգամ,
- ՌՀ ԷՄՃ աղբյուրների աշխատանքի ռեժիմում և պայմաններում ճառագայթման մակարդակի վրա ազդող փոփոխությունների դեպքում (գեներատորային և ճառագայթող տարրերի փոխում, տեխնոլոգիական գործընթացի, էկրանավորման և պաշտպանիչ միջոցների փոփոխություններից հզորության մեծացում, տարրերի տեղակայման փոփոխություններ և այլն), ՌՀ ԷՄՃ աղբյուրի վերանորոգումից հետո:
3.8. Հսկողական չափումների կատարման ապահովման պարտականությունը դրված է ՌՀ ԷՄՃ աղբյուրների սեփականատերերի վրա:
3.9. ՌՀ ԷՄՃ աղբյուրի անհայտ լինելու, աշխատանքային հաճախականության տիրույթների և աշխատանքի ռեժիմի վերաբերյալ տվյալների բացակայության դեպքում, ՌՀ ԷՄՃ ինտենսիվության չափումներ չեն կատարվում:
Հավելված 1.3 |
30 ՄՀց-40 ՀՀց հաճախականության տիրույթի ՌՀ ԷՄՃ-ից պաշտպանության միջոցների պատրաստման համար էկրանավորման նյութեր
Էկրանավորող հարմարանքների արդյունավետությունը որոշվում է էկրանի նյութի էլեկտրական և մագնիսական հատկություններով, էկրանի կառուցվածքով, դրա երկրաչափական չափերով և ճառագայթման հաճախականությամբ։
ՌՀ ԷՄՃ նվազեցման պաշտպանական հարմարանքները իրենցից պետք է ներկայացնեն էլեկտրական և մագնիսական փակ էկրան:
Էկրանավորող նյութերի հիման վրա պատրաստված են անհատական պաշտպանության միջոցներ. մետաղացված ապակիներով պաշտպանիչ ակնոցներ OP3-5, դեմքի պաշտպանիչ վահանակներ:
Նյութի անվանումը |
Հաստությունը, |
Հաճախականու- |
Թուլացումը, դԲ |
Թիթեղյա Պղ3 |
1,4 |
30 ՄՀց-40 ՀՀց |
100 |
Ալյումինե ֆոլգա |
0,08 |
30 ՄՀց-40 ՀՀց |
80 |
Պղնձյա ֆոլգա |
0,08 |
30 ՄՀց-40 ՀՀց |
80 |
Պողպատյա ցանց |
0,3-1,3 |
30 ՄՀց-40 ՀՀց |
30 |
Մեկ կամ երկկողմ կիսահաղորդչ. ծածկով ռադիոպաշտպանիչ ապակի |
6 |
30 ՄՀց-30 ՀՀց |
20-40 |
Միկրոանցումով բամբակյա գործվածք |
- |
30 ՄՀց-30 ՀՀց |
20-40 |
Մետաղացված գործվածք «Վոսխոդ» |
- |
10 կՀց-30 ՀՀց |
40-65 |
Տրիկոտաժե գործվածք (պոլիամիդ+մետաղալար) |
- |
300 կՀց-30 ՄՀց |
15-40 |
Հավելված 1.4 |
Նորմավորվող չափորոշիչներ և չափման միավորներ
Մարդկանց վրա ՌՀ ԷՄՃ ազդեցության գնահատումն իրականացվում է հետևյալ չափորոշիչներով.
Էներգետիկ էքսպոզիցիայով, որը որոշվում է ՌՀ ԷՄՃ ինտենսիվությամբ և մարդու վրա դրա ազդեցության տևողությամբ։
Էներգետիկ էքսպոզիցիայի գնահատումը կիրառելի է այն անձանց նկատմամբ, որոնց աշխատանքը կամ ուսուցումը կապված է ՌՀ ԷՄՃ աղբյուրի ազդեցության գոտում գտնվելու անհրաժեշտությամբ (բացառությամբ 18 տ. չլրացած անձանցից և հղի կանանցից)` այդ գործոնի նկատմամբ պարտադիր նախնական (աշխատանքի ընդունվելիս) և պարբերական բժշկական զննության սահմանված կարգով անցնելու և արդյունքում դրական եզրակացություն ստանալու պայմանով։
ՌՀ ԷՄՃ ինտենսիվությամբ: Նման գնահատականը կիրառելի է հետևյալ անձանց նկատմամբ՝
-որոնց աշխատանքը և ուսուցումը կապված չէ ՌՀ ԷՄՃ ազդեցության գոտում գտնվելու անհրաժեշտության հետ,
-ովքեր տվյալ գործոնի նկատմամբ սահմանված կարգով նախնական (աշխատանքի ընդունվելիս) և պարբերական բժշկական զննությունների չպետք է ենթարկվեն,
-ովքեր անցել են նախնական (աշխատանքի ընդունվելիս) և պարբերական բժշկական զննություն և արդյունքում հայտնաբերվել են շեղումներ,
-աշխատող կամ սովորող, մինչև 18 տարեկան անձինք,
-հղի կանայք,
-ովքեր գտնվում են արտաքին ՌՀ ԷՄՃ ազդեցության գոտում տեղակայված բնակելի, հասարակական և ծառայողական շենքերում և սենքերում (բացառությամբ՝ հաղորդող ռադիոտեխնիկական օբյեկտների շենքերի և սենքերի), բնակելի կառուցապատման տարածքներում և զանգվածային հանգստի վայրերում։
30 կՀց-300 ՄՀց հաճախականության դիապազոն ունեցող ՌՀ ԷՄՃ ինտենսիվությունը գնահատվում է էլեկտրական (E վ/մ) և մագնիսական (H ա/մ) դաշտերի լարվածությամբ։
300 ՄՀց-300 ԳՀց հաճախականության դիապազոնի ՌՀ ԷՄՃ ինտենսիվությունը գնահատվում է էներգիայի հոսքի խտությամբ (ԷՀԽ, Վտ/մ2, մկՎտ/սմ2)։
30 կՀց-300 ՄՀց դիապազոնի հաճախականությամբ ՌՀ ԷՄՃ էներգետիկ էքսպոզիցիան (էէ) որոշվում է էլեկտրական կամ մագնիսական դաշտերի լարվածության քառակուսին բազմապատկած մարդու վրա ազդեցության ժամանակահատվածով։
Էլեկտրական դաշտի ազդեցությամբ ստեղծված էներգետիկ էքսպոզիցիան հավասար է` ԷԷE=E2T և արտահայտվում է (Վ/մ)2/ժամ։
Մագնիսական դաշտի ազդեցությամբ ստեղծված էներգետիկ էքսպոզիցիան հավասար է` ԷԷH=H2. T և արտահայտվում է (Ա/մ)2/ժամ։
Իմպուլսամոդուլացված տատանումների դեպքում գնահատումը կատարվում է ՌՀ ԷՄՃ աղբյուրի հզորության իմպուլսի ընթացքի միջինով՝ և համապատասխան ՌՀ ԷՄՃ -ի միջին ինտենսիվությամբ։
