«Վավերացնում եմ»
Հայաստանի Հանրապետության
Նախագահ Ռ. Քոչարյան
12 նոյեմբերի 2005թ.
ՀԱՅԱՍՏԱՆԻ ՀԱՆՐԱՊԵՏՈՒԹՅԱՆ ԿԱՌԱՎԱՐՈՒԹՅՈՒՆ
Ո Ր Ո Շ ՈՒ Մ
22 սեպտեմբերի 2005 թվականի N 1825-Ն
ՀԱՅԱՍՏԱՆԻ ՀԱՆՐԱՊԵՏՈՒԹՅԱՆ ՎԱՅՈՑ ՁՈՐԻ ՄԱՐԶԻ ԱՐԵՆԻԻ ԳՅՈՒՂԱԿԱՆ ՀԱՄԱՅՆՔԻ ՎԱՐՉԱԿԱՆ ՍԱՀՄԱՆՆԵՐԻ ՆԿԱՐԱԳԻՐԸ ՀԱՍՏԱՏԵԼՈՒ ԵՎ ԱՐԵՆԻԻ ԳՅՈՒՂԱԿԱՆ ՀԱՄԱՅՆՔԻ ՎԱՐՉԱԿԱՆ ՍԱՀՄԱՆՆԵՐՈՒՄ ԳՏՆՎՈՂ` ՊԵՏԱԿԱՆ ՍԵՓԱԿԱՆՈՒԹՅՈՒՆ ՀԱՆԴԻՍԱՑՈՂ ՀՈՂԱՄԱՍԵՐՆ ԱՆՀԱՏՈՒՅՑ ՍԵՓԱԿԱՆՈՒԹՅԱՆ ԻՐԱՎՈՒՆՔՈՎ ՀԱՄԱՅՆՔԻՆ ՓՈԽԱՆՑԵԼՈՒ ՄԱՍԻՆ
Հայաստանի Հանրապետության հողային օրենսգրքի 34-րդ ու 56-րդ, «Տեղական ինքնակառավարման մասին» Հայաստանի Հանրապետության օրենքի 6-րդ, 47-րդ ու 84-րդ և «Հայաստանի Հանրապետության վարչատարածքային բաժանման մասին» Հայաստանի Հանրապետության օրենքի 6-րդ հոդվածների պահանջներին համապատասխան` Հայաստանի Հանրապետության կառավարությունը որոշում է.
1. Հաստատել Հայաստանի Հանրապետության Վայոց ձորի մարզի Արենիի գյուղական համայնքի վարչական սահմանների նկարագիրը` համաձայն NN 1 և 2 հավելվածների:
2. Հայաստանի Հանրապետության Վայոց Ձորի մարզի Արենիի գյուղական համայնքի վարչական սահմաններում գտնվող՝ պետական սեփականություն հանդիսացող 4032.1 հեկտար հողամասերից 3798.02 հեկտարը, որից՝ գյուղատնտեսական նշանակության՝ 3699.71 հեկտար, բնակավայրերի հողերի՝ 47.95 հեկտար, արդյունաբերության, ընդերքօգտագործման և այլ արտադրական նշանակության օբյեկտների՝ 47.54 հեկտար, էներգետիկայի, տրանսպորտի, կապի և կոմունալ ենթակառուցվածքների օբյեկտների՝ 0.05 հեկտար, ջրային հողերի` 2.76 հեկտար անհատույց սեփականության իրավունքով փոխանցել Արենիի գյուղական համայնքին՝ համաձայն NN 3, 4, 5 և 6 հավելվածների:
3. Սահմանել, որ Հայաստանի Հանրապետության հողային օրենսգրքի 60-րդ հոդվածի պահանջներին համապատասխան`
ա) Հայաստանի Հանրապետության Վայոց ձորի մարզի Արենիի գյուղական համայնքին անհատույց սեփականության իրավունքով փոխանցվող 3798.02 հեկտար հողերից 110.88 հեկտարը մասնավորեցման ենթակա չէ.
բ) Հայաստանի Հանրապետության Վայոց ձորի մարզի Արենիի գյուղական համայնքի վարչական սահմաններում գտնվող հողերից 234.08 հեկտարը համարվում է պետական սեփականություն` համաձայն N 7 հավելվածի:
4. Ընդունել ի գիտություն Հայաստանի Հանրապետության Վայոց ձորի մարզի Արենիի գյուղական համայնքի հողային ֆոնդի առկայության և բաշխման մասին հաշվետվությունը` 2005 թվականի հունվարի 1-ի դրությամբ` համաձայն NN 8 և 9 հավելվածների:
5. Հայաստանի Հանրապետության կառավարությանն առընթեր անշարժ գույքի կադաստրի պետական կոմիտեի նախագահին` սահմանված կարգով ապահովել սկզբնական հաշվառման նյութերի տրամադրումը Հայաստանի Հանրապետության Վայոց ձորի մարզի Արենիի գյուղական համայնքի ղեկավարին` հողերի ընթացիկ հաշվառումն անցկացնելու և համայնքի հողային հաշվեկշիռը կազմելու համար:
6. Թույլատրել Հայաստանի Հանրապետության կառավարությանն առընթեր անշարժ գույքի կադաստրի պետական կոմիտեի նախագահին Հայաստանի Հանրապետության պետական գեոդեզիական ցանցի հավասարակշռման արդյունքների հիման վրա Հայաստանի Հանրապետության վարչատարածքային միավորների սահմանանիշերի կոորդինատների ժողովածուի հրատարակումից հետո հողային ֆոնդի ընթացիկ հաշվառման ժամանակ Հայաստանի Հանրապետության Վայոց ձորի մարզի Արենիի գյուղական համայնքի հողային հաշվեկշռում սահմանված կարգով կատարել համապատասխան փոփոխություններ:
7. Հայաստանի Հանրապետության Վայոց ձորի մարզպետին` Հայաստանի Հանրապետության կառավարության 2000 թվականի հոկտեմբերի 23-ի N 656 որոշմամբ սահմանված կարգով` սկզբնական հաշվառման տվյալների հիման վրա ապահովել մարզի տարածքում ընթացիկ հաշվառման աշխատանքների իրականացումը:
8. Սույն որոշումն ուժի մեջ է մտնում պաշտոնական հրապարակմանը հաջորդող օրվանից։
Հայաստանի Հանրապետության |
Ա. Մարգարյան |
|
Հավելված N 1 |
ՀԱՅԱՍՏԱՆԻ ՀԱՆՐԱՊԵՏՈՒԹՅԱՆ ՎԱՅՈՑ ՁՈՐԻ ՄԱՐԶԻ ԱՐԵՆԻԻ ԳՅՈՒՂԱԿԱՆ ՀԱՄԱՅՆՔԻ ՎԱՐՉԱԿԱՆ ՍԱՀՄԱՆՆԵՐԻ ՀԱՏԱԿԱԳԻԾԸ
Հայաստանի Հանրապետության կառավարության աշխատակազմի ղեկավար-նախարար |
Մ. Թոփուզյան |
Հավելված N 2 |
Հայաստանի Հանրապետության կառավարության աշխատակազմի ղեկավար-նախարար |
Մ. Թոփուզյան |
Հավելված N 3 |
ՀԱՅԱՍՏԱՆԻ ՀԱՆՐԱՊԵՏՈՒԹՅԱՆ ՎԱՅՈՑ ՁՈՐԻ ՄԱՐԶԻ ԱՐԵՆԻԻ ԳՅՈՒՂԱԿԱՆ ՀԱՄԱՅՆՔԻ ՀՈՂԱՇԻՆԱՐԱՐԱԿԱՆ ՀԱՏԱԿԱԳԻԾԸ
Հայաստանի Հանրապետության
կառավարության աշխատակազմի
ղեկավար-նախարարՄ. Թոփուզյան
Հավելված N 4 |
Ա Ն Վ Ա Ն Ա Ց Ա Ն Կ
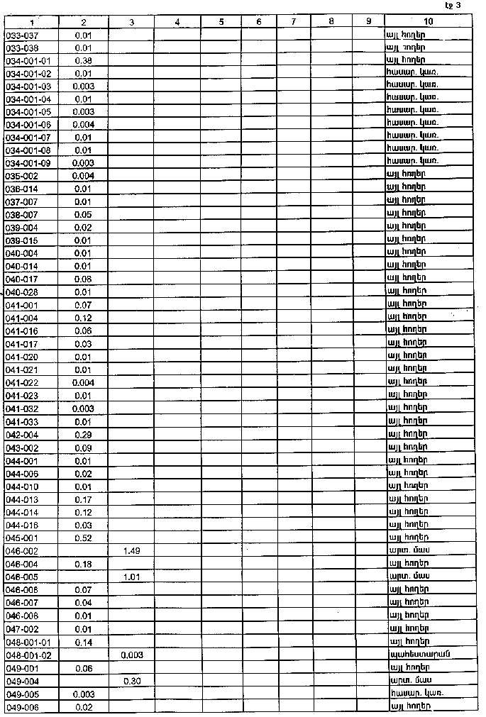
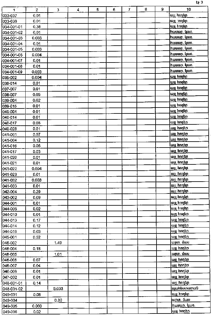
ՀԱՅԱՍՏԱՆԻ ՀԱՆՐԱՊԵՏՈՒԹՅԱՆ ՎԱՅՈՑ ՁՈՐԻ ՄԱՐԶԻ ԱՐԵՆԻԻ ԳՅՈՒՂԱԿԱՆ ՀԱՄԱՅՆՔԻ ՎԱՐՉԱԿԱՆ ՍԱՀՄԱՆՆԵՐՈՒՄ ԳՏՆՎՈՂ` ՊԵՏԱԿԱՆ ՍԵՓԱԿԱՆՈՒԹՅՈՒՆ ՀԱՆԴԻՍԱՑՈՂ ՀՈՂԵՐԻՑ ԱՐԵՆԻ ԳՅՈՒՂԱԿԱՆ ՀԱՄԱՅՆՔԻՆ ԱՆՀԱՏՈՒՅՑ ՓՈԽԱՆՑՎՈՂ ՀՈՂԵՐԻ
Պայմանական նշանները Հողերի նպատակային նշանակությունը Համայնքի սեփականությունը հանդիսացող հողեր Պետական սեփականություն հանդիսացող հողեր ընդամենը որից` չմաս-նավորեցվող 3699.71 55.95 47.95 17.03 1.13 47.54 35.14 0.05 15.03 173.32 0.24 2.76 2.76 44.36 Ընդամենը 3798.02 110.88 234.08
Գյուղատնտեսական
Բնակավայրերի
Արդյունաբերության, ընդերքօգտագործման և այլ արտադրական նշանակության օբյեկտների
Էներգետիկայի, տրանսպորտի, կապի և կոմունալ ենթակառուցվածքների օբյեկտների
Հատուկ պահպանվող տարածքներ
Հատուկ նշանակության
Անտառային
Ջրային
Պահուստային
Հայաստանի Հանրապետության
կառավարության աշխատակազմի
ղեկավար-նախարարՄ. Թոփուզյան
Հավելված N 5 |
Ց Ա Ն Կ
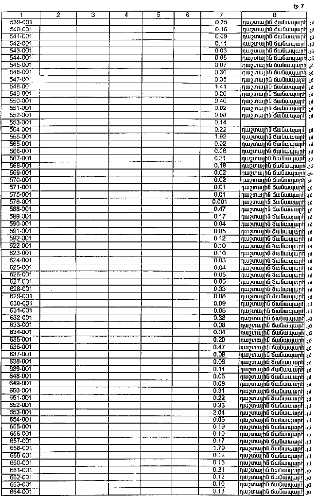
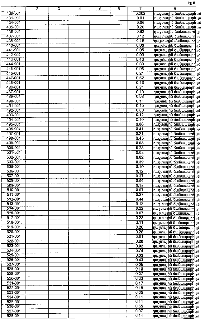
ՀԱՅԱՍՏԱՆԻ ՀԱՆՐԱՊԵՏՈՒԹՅԱՆ ՎԱՅՈՑ ՁՈՐԻ ՄԱՐԶԻ ԱՐԵՆԻ ԳՅՈՒՂԱԿԱՆ ՀԱՄԱՅՆՔԻ ՎԱՐՉԱԿԱՆ ՍԱՀՄԱՆՆԵՐՈՒՄ ԳՏՆՎՈՂ` ՊԵՏԱԿԱՆ ՍԵՓԱԿԱՆՈՒԹՅՈՒՆ ՀԱՆԴԻՍԱՑՈՂ ՀՈՂԵՐԻՑ ԱՐԵՆԻ ԳՅՈՒՂԱԿԱՆ ՀԱՄԱՅՆՔԻՆ ԱՆՀԱՏՈՒՅՑ ՓՈԽԱՆՑՎՈՂ ՀՈՂԵՐԻ
Հայաստանի Հանրապետության կառավարության աշխատակազմի ղեկավար-նախարար |
Մ. Թոփուզյան |
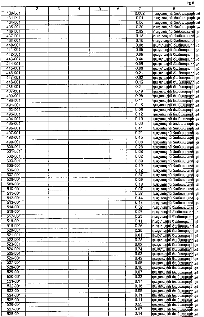
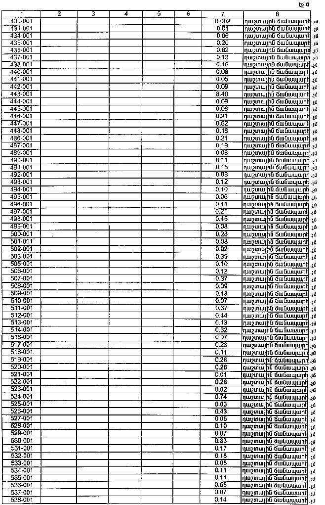
Հավելված N 6 |
Ց Ա Ն Կ
ՀԱՅԱՍՏԱՆԻ ՀԱՆՐԱՊԵՏՈՒԹՅԱՆ ՎԱՅՈՑ ՁՈՐԻ ՄԱՐԶԻ ԱՐԵՆԻԻ ԳՅՈՒՂԱԿԱՆ ՀԱՄԱՅՆՔԻ ՎԱՐՉԱԿԱՆ ՍԱՀՄԱՆՆԵՐՈՒՄ ԳՏՆՎՈՂ` ՊԵՏԱԿԱՆ ՍԵՓԱԿԱՆՈՒԹՅՈՒՆ ՀԱՆԴԻՍԱՑՈՂ ՀՈՂԵՐԻՑ ԱՐԵՆԻ ԳՅՈՒՂԱԿԱՆ ՀԱՄԱՅՆՔԻՆ ԱՆՀԱՏՈՒՅՑ ՓՈԽԱՆՑՎՈՂ ՀՈՂԵՐԻ (ԸՍՏ ՆՊԱՏԱԿԱՅԻՆ ՆՇԱՆԱԿՈՒԹՅԱՆ)
Հայաստանի Հանրապետության կառավարության աշխատակազմի ղեկավար-նախարար |
Մ. Թոփուզյան |
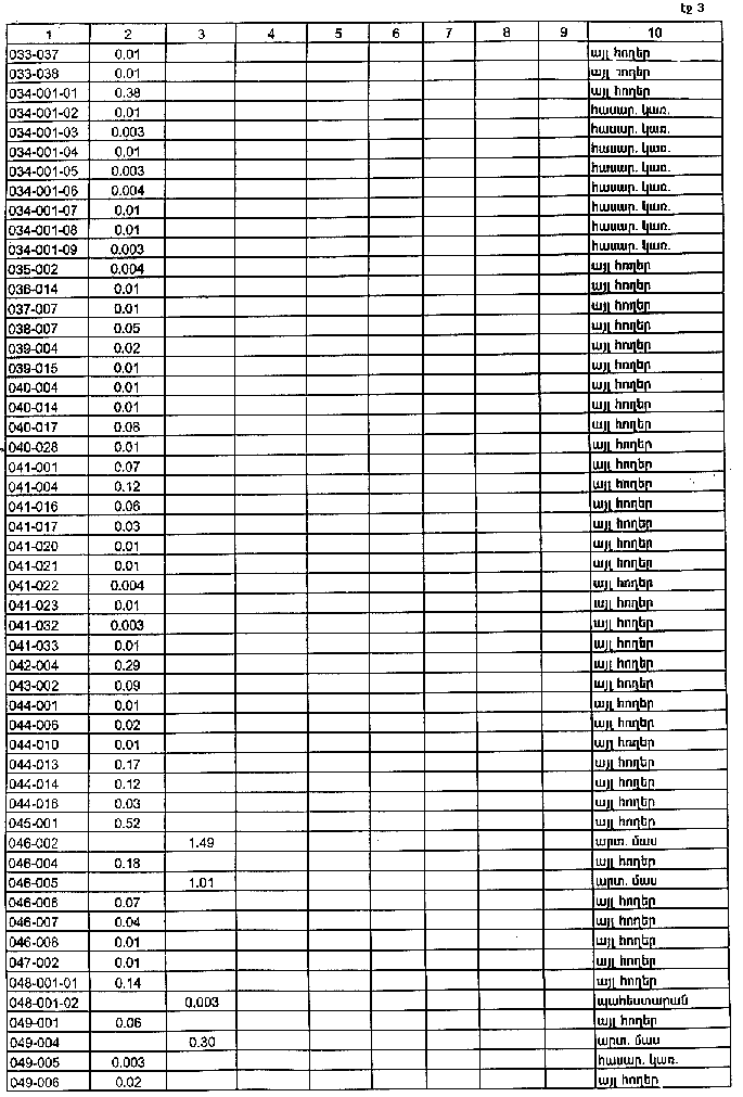
Հավելված N 7 |
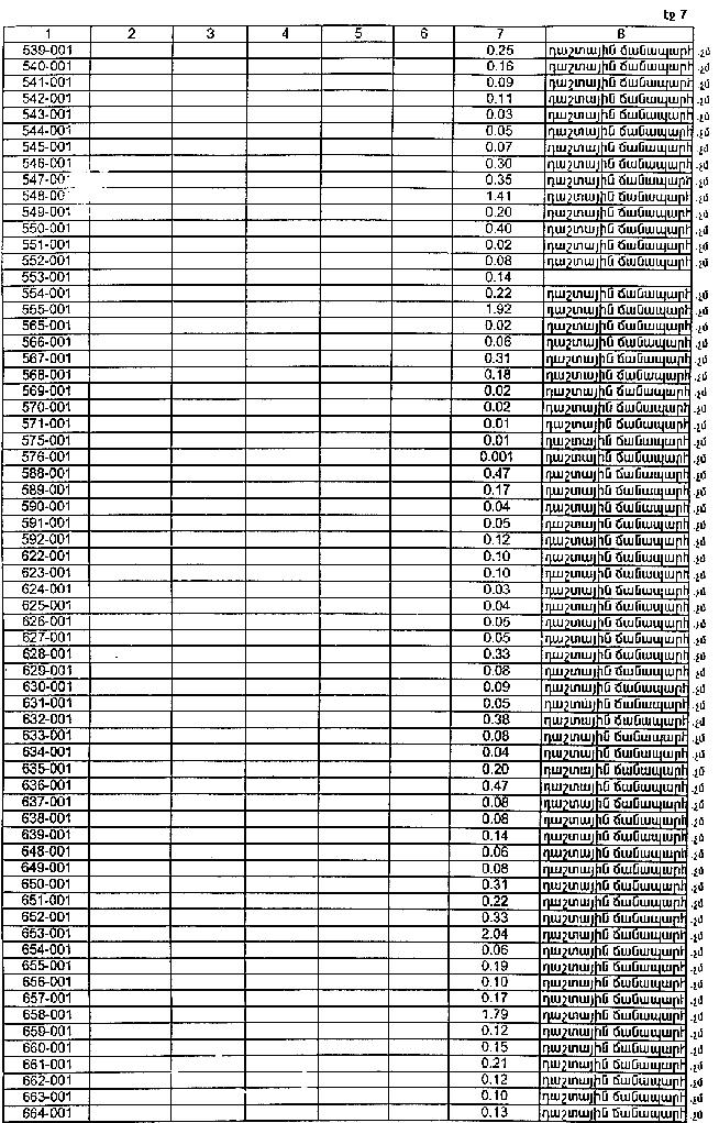
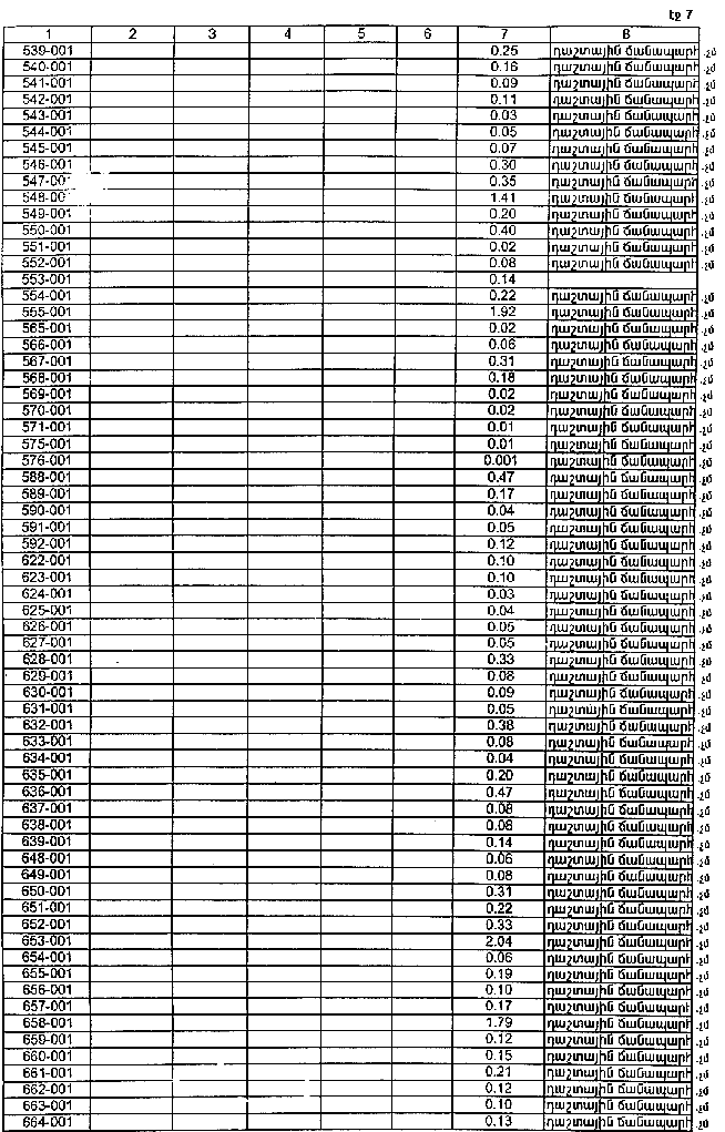
Ց Ա Ն Կ
ՀԱՅԱՍՏԱՆԻ ՀԱՆՐԱՊԵՏՈՒԹՅԱՆ ՎԱՅՈՑ ՁՈՐԻ ՄԱՐԶԻ ԱՐԵՆԻԻ ԳՅՈՒՂԱԿԱՆ ՀԱՄԱՅՆՔԻ ՎԱՐՉԱԿԱՆ ՍԱՀՄԱՆՆԵՐՈՒՄ ԳՏՆՎՈՂ` ՊԵՏԱԿԱՆ ՍԵՓԱԿԱՆՈՒԹՅՈՒՆ ՀԱՆԴԻՍԱՑՈՂ ՀՈՂԵՐԻ (ԸՍՏ ՆՊԱՏԱԿԱՅԻՆ ՆՇԱՆԱԿՈՒԹՅԱՆ)
Կադաստրային II III IV V VI VII VIII IX Ծանոթա- Բնակա- Արդյունա- Էներգետիկայի, Հատուկ պահ- Հատուկ նշանա- Անտա- Ջրային Պահուս- 1 2 3 4 5 6 7 8 9 10 046-001 0.24 հատուկ նշ. հողեր 059-008 1.13 դպրոց 179-001-02 2.68 արգելավայր 184-001-02 0.76 դամբարանադաշտ 184-001-03 2.76 արգելավայր 184-001-04 5.23 դամբարանադաշտ 184-001-06 2.00 դամբարանադաշտ 184-013 2.18 գերեզմանոց 184-044 26.43 արգելավայր 184-045 25.39 արգելավայր 184-046 12.42 արգելավայր 189-001-01 5.51 դամբարանադաշտ 189-003 0.47 գերեզմանոց 191-001 1.68 ջրհան կայան 265-001-05 2.53 դամբարանադաշտ 265-001-09 0.24 դամբարանադաշտ 265-043 0.79 ջրհան կայան 265-050 2.99 ջրհան կայան 329-001 84.72 արգելավայր 426-001 0.01 մարզ. նշ. ճանապ. 427-001 1.94 միջպետական 432-001 0.54 մարզ. նշ. ճանապ. 433-001 0.42 գետ 504-001 0.65 ջրանցք 515-001 1.61 մարզ. նշ. ճանապ. 563-001 23.14 գետ 600-001 3.09 միջպետական 703-001 10.24 գետ 714-001 3.01 միջպետական 736-001 0.27 ջրանցք 739-001 4.05 մարզ. նշ. ճանապ 740-001 4.18 գետ 745-001 0.78 մարզ. նշ. ճանապ Ընդամենը 1.13 15.03 173.32 0.24 44.36
ծածկագիր
գրություն
վայրերի
հողեր
բերության,
ընդերք-
օգտա-
գործման
և այլ
արտադրա-
կան նշանա-
կության
օբյեկտների
հողեր
տրանսպորտի,
կապի և կոմունալ
ենթակա-
ռուցվածքների
օբյեկտների հողեր
պանվող
տարածք-
ների
հողեր
կության հողեր
ռային հողեր
հողեր
տային հողեր
ճանապ.
ճանապ.
ճանապ.
Հայաստանի Հանրապետության կառավարության աշխատակազմի ղեկավար-նախարար |
Մ. Թոփուզյան |
Հավելված N 8 |
Հ Ա Շ Վ Ե Տ Վ ՈՒ Թ Յ ՈՒ Ն
ՀԱՅԱՍՏԱՆԻ ՀԱՆՐԱՊԵՏՈՒԹՅԱՆ ՎԱՅՈՑ ՁՈՐԻ ՄԱՐԶԻ ԱՐԵՆԻԻ ԳՅՈՒՂԱԿԱՆ ՀԱՄԱՅՆՔԻ ՀՈՂԱՅԻՆ ՖՈՆԴԻ ԱՌԿԱՅՈՒԹՅԱՆ ԵՎ ԲԱՇԽՄԱՆ ՄԱՍԻՆ
2005 թվականի հունվարի 1-ի դրությամբ
հեկտարներով
NN |
Նպա- |
Հողատեսքը, |
Ծած-կա- |
Ընդամենը |
Սեփականության սուբյեկտը | ||||||||||
ՀՀ քաղաքա- |
ՀՀ իրավա- |
համայնքային |
պետական |
Օտար- | |||||||||||
ընդամենը |
տրված |
|
օգտա- |
ընդա- |
տրված` |
վարձա- |
օգտա- | ||||||||
|
Ա |
Բ |
Գ |
1 |
2 |
3 |
4 |
5 |
6 |
7 |
8 |
9 |
10 |
11 |
12 |
1.1. |
1. Գյու- |
վարելահող |
|
220.54 |
127.72 |
|
92.82 |
|
|
|
|
|
|
|
|
1.2. |
բազմ. տնկ. |
|
77.57 |
76.03 |
|
1.54 |
|
|
|
|
|
|
|
| |
1.2.1. |
այդ թվում` պտղ. այգի |
|
15.93 |
15.93 |
|
|
|
|
|
|
|
|
|
| |
1.2.2. |
խաղողի այգի |
|
61.64 |
60.10 |
|
1.54 |
|
|
|
|
|
|
|
| |
1.2.3. |
այլ բազմամյա |
|
|
|
|
|
|
|
|
|
|
|
|
| |
1.3. |
խոտհարք |
|
|
|
|
|
|
|
|
|
|
|
|
| |
1.4. |
արոտ |
|
11.96.90 |
|
|
1196.90 |
|
|
|
|
|
|
|
| |
1.5. |
այլ հողատեսքեր |
|
2408.45 |
|
|
2408.45 |
|
|
|
|
|
|
|
| |
1. |
Ընդամենը |
|
3903.46 |
203.75 |
|
3699.71 |
|
|
|
|
|
|
|
| |
2.1. |
2. Բնա- |
բնակելի կառուց. |
|
100.45 |
100.45 |
|
0.00 |
|
|
|
|
|
|
|
|
2.1.1. |
այդ թվում` տնամերձ |
|
100.45 |
100.45 |
|
|
|
|
|
|
|
|
|
| |
2.1.2. |
այգեգ-ն (ամառ-ն) |
|
|
|
|
|
|
|
|
|
|
|
|
| |
2.2. |
հասարակ. կառուց. |
|
2.06 |
|
|
0.95 |
|
|
|
1.13 |
|
|
|
| |
2.3. |
խառը կառուցապ. |
|
|
|
|
0.00 |
|
|
|
|
|
|
|
| |
2.4. |
ընդհ. օգտագործ. |
|
16.98 |
|
|
16.98 |
|
|
|
|
|
|
|
| |
2.5. |
այլ հողեր |
|
30.02 |
|
|
30.02 |
|
|
|
|
|
|
|
| |
2. |
Ընդամենը |
|
149.53 |
100.45 |
|
47.95 |
|
|
|
1.13 |
|
|
|
| |
3.1. |
3. Արդ- |
արդյունաբ. |
|
|
|
|
|
|
|
|
|
|
|
|
|
3.2. |
գյուղատնտ. արտադր. |
|
12.31 |
|
|
12.31 |
|
|
|
|
|
|
|
| |
3.3. |
պահեստարանների |
|
0.09 |
|
|
0.09 |
|
|
|
|
|
|
|
| |
3.4. |
ընդերքօգտագոր. |
|
35.14 |
|
|
35.14 |
|
|
|
|
|
|
|
| |
3. |
Ընդամենը |
|
47.54 |
|
|
47.54 |
|
|
|
|
|
|
|
| |
4.1. |
4. Էներ- |
էներգետիկայի |
|
0.04 |
|
|
0.04 |
|
|
|
|
|
|
|
|
4.2. |
կապի |
|
0.01 |
|
|
0.01 |
|
|
|
|
|
|
|
| |
4.3. |
տրանսպորտի |
|
15.03 |
|
|
|
|
|
|
15.03 |
|
|
|
| |
4.4. |
կոմուն. ենթակառ. |
|
|
|
|
|
|
|
|
|
|
|
|
| |
4. |
Ընդամենը |
|
15.08 |
|
|
0.05 |
|
|
|
15.03 |
|
|
|
| |
5.1. |
5. Հա- |
Բնապահպան. |
|
154.40 |
|
|
|
|
|
|
154.40 |
|
|
|
|
5.1.1. |
այդ թվում` արգելոց. |
|
|
|
|
|
|
|
|
|
|
|
|
| |
5.1.2. |
արգելավայրեր |
|
154.40 |
|
|
|
|
|
|
154.40 |
|
|
|
| |
5.1.3. |
ազգային պարկ |
|
|
|
|
|
|
|
|
|
|
|
|
| |
5.2. |
առողջարարակ. |
|
|
|
|
|
|
|
|
|
|
|
|
| |
5.3. |
հանգստի |
|
|
|
|
|
|
|
|
|
|
|
|
| |
5.4. |
պատմ. և մշակութ. |
|
18.92 |
|
|
|
|
|
|
18.92 |
|
|
|
| |
5. |
ընդամենը |
|
173.32 |
|
|
|
|
|
|
173.32 |
|
|
|
| |
6. |
6. Հա- |
Ընդամենը |
|
0.24 |
|
|
|
|
|
|
0.24 |
|
|
|
|
7.1. |
7. Անտա- |
անտառ |
|
156.80 |
|
|
|
|
|
|
|
|
|
|
|
7.2. |
թփուտ |
|
|
|
|
|
|
|
|
|
|
|
|
| |
7.3. |
վարելահող |
|
|
|
|
|
|
|
|
|
|
|
|
| |
7.4. |
խոտհարք |
|
|
|
|
|
|
|
|
|
|
|
|
| |
7.5. |
արոտ |
|
|
|
|
|
|
|
|
|
|
|
|
| |
7.6. |
այլ հողեր |
|
|
|
|
|
|
|
|
|
|
|
|
| |
7. |
Ընդամենը |
|
|
|
|
|
|
|
|
|
|
|
|
| |
8.1. |
8. Ջրա- |
գետեր |
|
37.98 |
|
|
|
|
|
|
37.98 |
|
|
|
|
8.2. |
ջրամբարներ |
|
|
|
|
|
|
|
|
|
|
|
|
| |
8.3. |
լճեր |
|
|
|
|
|
|
|
|
|
|
|
|
| |
8.4. |
ջրանցքներ |
|
2.94 |
|
|
2.02 |
|
|
|
0.92 |
|
|
|
| |
8.5. |
հգտ. և ջր. այլ օբ. |
|
6.20 |
|
|
0.74 |
|
|
|
5.46 |
|
|
|
| |
8. |
Ընդամենը |
|
47.12 |
|
|
2.76 |
|
|
|
44.36 |
|
|
|
| |
9.1. |
9. Պա- |
աղուտներ |
|
|
|
|
|
|
|
|
|
|
|
|
|
9.2. |
ավազուտներ |
|
|
|
|
|
|
|
|
|
|
|
|
| |
9.3. |
ճահիճներ |
|
|
|
|
|
|
|
|
|
|
|
|
| |
9.4. |
|
|
|
|
|
|
|
|
|
|
|
|
|
| |
9.5. |
այլ անօգտագործելի հողեր |
|
|
|
|
|
|
|
|
|
|
|
|
| |
9. |
ընդամենը |
|
|
|
|
|
|
|
|
|
|
|
|
| |
ԸՆԴԱՄԵՆԸ` ՀՈՂԵՐ |
|
4336.30 |
304.20 |
|
3798.02 |
|
|
|
234.08 |
|
|
|
|
Հայաստանի Հանրապետության կառավարության աշխատակազմի ղեկավար-նախարար |
Մ. Թոփուզյան |
Հավելված N 9
ՀՀ կառավարության 2005 թվականի
սեպտեմբերի 22-ի N 1825-Ն որոշման
Հ Ա Շ Վ Ե Տ Վ ՈՒ Թ Յ ՈՒ Ն
ՀԱՅԱՍՏԱՆԻ ՀԱՆՐԱՊԵՏՈՒԹՅԱՆ ՎԱՅՈՑ ՁՈՐԻ ՄԱՐԶԻ ԱՐԵՆԻԻ ԳՅՈՒՂԱԿԱՆ ՀԱՄԱՅՆՔԻ ՈՌՈԳՎՈՂ ՀՈՂԵՐԻ ԱՌԿԱՅՈՒԹՅԱՆ ԵՎ ԲԱՇԽՄԱՆ ՄԱՍԻՆ
Հայաստանի Հանրապետության կառավարության աշխատակազմի ղեկավար-նախարար |
Մ. Թոփուզյան |
