«Վավերացնում եմ»
Հայաստանի Հանրապետության
Նախագահ Ռ. Քոչարյան
19 նոյեմբերի 2005 թ.
ՀԱՅԱՍՏԱՆԻ ՀԱՆՐԱՊԵՏՈՒԹՅԱՆ ԿԱՌԱՎԱՐՈՒԹՅՈՒՆ
Ո Ր Ո Շ ՈՒ Մ
6 հոկտեմբերի 2005 թվականի N 1913-Ն
ՀԱՅԱՍՏԱՆԻ ՀԱՆՐԱՊԵՏՈՒԹՅԱՆ ԼՈՌՈՒ ՄԱՐԶԻ ՇԻՐԱԿԱՄՈՒՏԻ ԳՅՈՒՂԱԿԱՆ ՀԱՄԱՅՆՔԻ ՎԱՐՉԱԿԱՆ ՍԱՀՄԱՆՆԵՐԻ ՆԿԱՐԱԳԻՐԸ ՀԱՍՏԱՏԵԼՈՒ ԵՎ ՇԻՐԱԿԱՄՈՒՏԻ ԳՅՈՒՂԱԿԱՆ ՀԱՄԱՅՆՔԻ ՎԱՐՉԱԿԱՆ ՍԱՀՄԱՆՆԵՐՈՒՄ ԳՏՆՎՈՂ` ՊԵՏԱԿԱՆ ՍԵՓԱԿԱՆՈՒԹՅՈՒՆ ՀԱՆԴԻՍԱՑՈՂ ՀՈՂԱՄԱՍԵՐՆ ԱՆՀԱՏՈՒՅՑ ՍԵՓԱԿԱՆՈՒԹՅԱՆ ԻՐԱՎՈՒՆՔՈՎ ՀԱՄԱՅՆՔԻՆ ՓՈԽԱՆՑԵԼՈՒ ՄԱՍԻՆ
Հայաստանի Հանրապետության հողային օրենսգրքի 34-րդ ու 56-րդ, «Տեղական ինքնակառավարման մասին» Հայաստանի Հանրապետության օրենքի 6-րդ, 47-րդ ու 84-րդ և «Հայաստանի Հանրապետության վարչատարածքային բաժանման մասին» Հայաստանի Հանրապետության օրենքի 6-րդ հոդվածների պահանջներին համապատասխան` Հայաստանի Հանրապետության կառավարությունը որոշում է.
1. Հաստատել Հայաստանի Հանրապետության Լոռու մարզի Շիրակամուտի գյուղական համայնքի վարչական սահմանների նկարագիրը` համաձայն NN 1 և 2 հավելվածների:
2. Հայաստանի Հանրապետության Լոռու մարզի Շիրակամուտի գյուղական համայնքի վարչական սահմաններում գտնվող՝ պետական սեփականություն հանդիսացող 2162.64 հեկտար հողամասերից 1911.63 հեկտարը, որից՝ գյուղատնտեսական նշանակության՝ 1824.98 հեկտար, բնակավայրերի հողերի՝ 39.22 հեկտար, արդյունաբերության, ընդերքօգտագործման և այլ արտադրական նշանակության օբյեկտների՝ 36.54 հեկտար, էներգետիկայի, տրանսպորտի, կապի և կոմունալ ենթակառուցվածքների օբյեկտների՝ 5.75 հեկտար, հատուկ պահպանվող տարածքների՝ 3.05 հեկտար, ջրային հողերի՝ 2.1 հեկտար, անհատույց սեփականության իրավունքով փոխանցել Շիրակամուտի գյուղական համայնքին՝ համաձայն NN 3, 4, 5 և 6 հավելվածների:
3. Սահմանել, որ Հայաստանի Հանրապետության հողային օրենսգրքի 60-րդ հոդվածի պահանջներին համապատասխան՝
ա) Հայաստանի Հանրապետության Լոռու մարզի Շիրակամուտի գյուղական համայնքին անհատույց սեփականության իրավունքով փոխանցվող 1911.63 հեկտար հողերից 99.56 հեկտարը մասնավորեցման ենթակա չէ.
բ) Հայաստանի Հանրապետության Լոռու մարզի Շիրակամուտի գյուղական համայնքի վարչական սահմաններում գտնվող հողերից 251.01 հեկտարը համարվում է պետական սեփականություն՝ համաձայն N 7 հավելվածի:
4. Ընդունել ի գիտություն Հայաստանի Հանրապետության Լոռու մարզի Շիրակամուտի գյուղական համայնքի հողային ֆոնդի առկայության և բաշխման մասին հաշվետվությունը՝ 2005 թվականի հունվարի 1-ի դրությամբ՝ համաձայն NN 8 և 9 հավելվածների:
5. Հայաստանի Հանրապետության կառավարությանն առընթեր անշարժ գույքի կադաստրի պետական կոմիտեի նախագահին` սահմանված կարգով ապահովել սկզբնական հաշվառման նյութերի տրամադրումը Հայաստանի Հանրապետության Լոռու մարզի Շիրակամուտի գյուղական համայնքի ղեկավարին՝ հողերի ընթացիկ հաշվառումն անցկացնելու և համայնքի հողային հաշվեկշիռը կազմելու համար:
6. Թույլատրել Հայաստանի Հանրապետության կառավարությանն առընթեր անշարժ գույքի կադաստրի պետական կոմիտեի նախագահին Հայաստանի Հանրապետության պետական գեոդեզիական ցանցի հավասարակշռման արդյունքների հիման վրա Հայաստանի Հանրապետության վարչատարածքային միավորների սահմանանիշերի կոորդինատների ժողովածուի հրատարակումից հետո հողային ֆոնդի ընթացիկ հաշվառման ժամանակ Հայաստանի Հանրապետության Լոռու մարզի Շիրակամուտի գյուղական համայնքի հողային հաշվեկշռում սահմանված կարգով կատարել համապատասխան փոփոխություններ:
7. Հայաստանի Հանրապետության Լոռու մարզպետին՝ Հայաստանի Հանրապետության կառավարության 2000 թվականի հոկտեմբերի 23-ի N 656 որոշմամբ սահմանված կարգով՝ սկզբնական հաշվառման տվյալների հիման վրա ապահովել մարզի տարածքում ընթացիկ հաշվառման աշխատանքների իրականացումը:
8. Սույն որոշումն ուժի մեջ է մտնում պաշտոնական հրապարակմանը հաջորդող օրվանից։
Հայաստանի Հանրապետության |
Ա. Մարգարյան |
|
Հավելված N 1 | |
| |
Հայաստանի Հանրապետության կառավարության աշխատակազմի ղեկավար-նախարար |
Մ. Թոփուզյան |
Հավելված N 2 | |
Շիրակամուտ համայնքը գտնվում է Լոռու մարզի հարավ-արևմտյան մասում : Հեռավորությունը Վանաձոր քաղաքից 28 կմ է: Համայնքը հյուսիս-արևելքից «Ա»-«Բ» հատվածով սահմանակից է Գոգարան գյուղական համայնքին, հարավ-արևելքից «Բ»-«Գ» հատվածով` Գեղասար գյուղական համայնքին, հարավ-արևմուտքից «Գ»-«Դ» հատվածով` Կաթնաջուր գյուղական համայնքին, արևմուտքից «Դ»-«Ա» հատվածով` Մեծ-Պառնի գյուղական համայնքին։ ՇԻՐԱԿԱՄՈՒՏ-ԳՈԳԱՐԱՆ ՍԱՀՄԱՆԱԳԻԾԸ` «Ա»-«Բ» Շիրակամուտ, Գոգարան և Մեծ Պառնի համայնքների տարածքների բաժանման «Ա» հանգուցային սահմանակետից Չախկալի գետակի ջրախառնուրդից սահմանագիծը թեքվում է դեպի հարավ-արևելք, անցնում 372.37 մ, հասնում ջրբաժանի 2162.5 մ նիշ ունեցող բլրի գագաթի թիվ1 սահմանակետին, այնուհետև նույն ջրբաժանով թեքվելով դեպի հարավ-արևելք անցնելով 782.53 մ, հասնում 2262.4 մ նիշ ունեցող բլրի գագաթի թիվ 2 սահմանակետին, ապա նույն ջրբաժանով թեքվում է դեպի հարավ-արևելք, թիվ 3-4 սահմանակետերով անցնելով 1305.38 մ, հասնում 2438.1 մ նիշ ունեցող բլրի գագաթի թիվ 5 սահմանակետին։ Թիվ 5 սահմանակետից սահմանագիծը թեքվում է դեպի հարավ, անցնում 479.11 մ, ջրբաժանով հասնում բլրի գագաթի թիվ 6 սահմանակետին։ Թիվ 6 սահմանակետից սահմանագիծը թեքվում է դեպի հարավ-արևելք, ջրհավաքով անցնում 542.2 մ, հասնում 2293.7 մ նիշ ունեցող բլրի գագաթի թիվ 7սահմանակետին, այնուհետև թեքվում է դեպի հարավ-արևելք, ջրբաժանով բլուրների գագաթներով, թիվ 8-12 սահմանակետերով անցնելով 1813.35 մ, հասնում 2200.3 մ նիշ ունեցող Մեծ Մատ բարձունքի թիվ 13 սահմանակետին։ Թիվ 13 սահմանակետից սահմանագիծը թեքվում է դեպի հարավ, հատելով դաշտային ճանապարհը, վարելահողի եզրով անցնելով 917.43 մ, ջրբաժանով հասնում 2103.4 մ նիշ ունեցող բլրի գագաթի թիվ 14 սահմանակետին։ Թիվ 14 սահմանակետից սահմանագիծը թեքվում է դեպի հարավ-արևելք, ջրհավաքով, թիվ 15-32 սահմանակետերով անցնելով 3341.34 մ, հասնում թիվ 32 սահմանակետին։ Թիվ 32 սահմանակետից սահմանագիծը թեքվում է դեպի հարավ-արևելք, հատելով դաշտային ճանապարհը, վարելահողի եզրով, թիվ 33-35 սահմանակետերով անցնելով 697.41 մ, հասնում թիվ 36 սահմանակետին։ Թիվ 36 սահմանակետից սահմանագիծը թեքվում է դեպի հարավ, անցնում 399.24 մ, հասնում թիվ 37 սահմանակետին, ապա թեքվում է դեպի հարավ-արևելք, անցնում 541.04 մ, հասնում Շիրակամուտ, Գոգարան և Գեղասար համայնքների տարածքների բաժանման «Բ» հանգուցային սահմանակետին: «Ա»-«Բ» սահմանագծի ընդհանուր երկարությունը 11291.40 մ է։ ՇԻՐԱԿԱՄՈՒՏ-ԳԵՂԱՍԱՐ ՍԱՀՄԱՆԱԳԻԾԸ` «Բ»-«Գ» Շիրակամուտ, Գոգարան և Գեղասար համայնքների տարածքների բաժանման «Բ» հանգուցային սահմանակետից սահմանագիծը ջրբաժանով թեքվում է դեպի հարավ-արևելք, անցնում 192.36 մ, հասնում թիվ 1 սահմանակետին, այնուհետև կտրուկ փոխելով ուղղությունը դեպի արևմուտք, անցնում 261.8 մ, հասնում թիվ 2 սահմանակետին։ Թիվ 2 սահմանակետից սահմանագիծը թեքվում է դեպի հարավ-արևմուտք, վարելահողի եզրով, թիվ 3 սահմանակետով անցնելով 783.04 մ, հասնում թիվ 4 սահմանակետին; Թիվ 4 սահմանակետից սահմանագիծը թեքվում է դեպի հարավ-արևմուտք, անցնում 186.94 մ, հատելով Չանախչի գետը, հասնում վարելահողի եզրի թիվ 5 սահմանակետին։ Թիվ 5 սահմանակետից սահմանագիծը թեքվում է դեպի հարավ-արևմուտք, թիվ 6 սահմանակետով անցնելով 869.35 մ, հասնում թիվ 7 սահմանակետին։ Թիվ 7 սահմանակետից սահմանագիծը թեքվում է դեպի հարավ-արևմուտք, անցնում 113.8 մ, հատելով երկաթգիծը, ճանապարհը, հասնում Փամբակ գետի ափին գտնվող թիվ 8 սահմանակետին, այնուհետև Փամբակ գետով թեքվում է դեպի հարավ-արևմուտք, թիվ 9-21 սահմանակետերով անցնելով 1036.23 մ, հասնում թիվ 22 սահմանակետին։ Թիվ 22 սահմանակետից սահմանագիծը թեքվում Է դեպի հարավ-արևմուտք, հատելով ճանապարհը, թիվ 23, 24 սահմանակետերով անցնելով 338.03 մ, հասնում թիվ 25 սահմանակետին։ Թիվ 25 սահմանակետից սահմանագիծը թեքվում Է դեպի հարավ-արևելք. անցնում 310.72 մ, ճանապարհի եզրով, հասնում թիվ 26 սահմանակետին։ Թիվ 26 սահմանակետից սահմանագիծը վարելահողի միջնակով թեքվում Է դեպի հարավ-արևելք, անցնում 263.76 մ, հասնում Շիրակամուտ, Կաթնաջուր և Գեղասար համայնքների տարածքների բաժանման «Գ» հանգուցային սահմանակետին։ «Բ»-«Գ» սահմանագծի ընդհանուր երկարությունը 4356.03 մ է: ՇԻՐԱԿԱՄՈՒՏ-ԿԱԹՆԱՋՈՒՐ ՍԱՀՄԱՆԱԳԻԾԸ` «Գ»-«Դ» Շիրակամուտ, Մեծ Պառնի և Կաթնաջուր համայնքների տարածքների բաժանման «Դ» հանգուցային սահմանակետից սահմանագիծը, որը երկու կողմից վարելահող Է, թեքվում Է դեպի հարավ, անցնում 166.81 մ, հասնում թիվ 1 սահմանակետին, այնուհետև թեքվում Է դեպի հարավ-արևելք, անցնում 574.16 մ, հասնում թիվ 2 սահմանակետին։ Թիվ 2 սահմանակետից սահմանագիծը թեքվում Է դեպի հյուսիս-արևելք, միջնակով, թիվ 3, 4 սահմանակետերով անցնելով 812.23 մ, հասնում թիվ 5 սահմանակետին։ Թիվ 5 սահմանակետից սահմանագիծը թեքվում Է դեպի հարավ-արևելք, վարելահողի եզրով, հատելով Փամբակ գետը, թիվ 6 սահմանակետով անցնում 452.04 մ, հասնում թիվ 7 սահմանակետին։ Թիվ 7 սահմանակետից սահմանագիծը թեքվում Է դեպի հարավ, անցնում 473.84 մ, հասնում թիվ 8 սահմանակետին, այնուհետև կտրուկ փոխելով ուղղությունը դեպի հյուսիս-արևելք, հատելով Կաթնաջուր մտնող ճանապարհը, թիվ 9 սահմւսնակետով անցնելով 424.54 մ, հասնում Շիրակամուտ, Կաթնաջուր և Գեղասար համայնքների տարածքների բաժանման «Գ» հանգուցային սահմանակետին։ «Գ»-«Դ» սահմանագծի ընդհանուր երկարությունը 3103.62 մ Է: ՇԻՐԱԿԱՄՈՒՏ-ՄԵԾ-ՊԱՌՆԻ ՍԱՀՄԱՆԱԳԻԾԸ` «Դ»-«Ա» Շիրակամուտ, Գոգարան և Մեծ Պառնի համայնքների տարածքների բաժանման «Ա» հանգուցային սահմանակետից սահմանագիծը 2162.5 մ նիշ ունեցող բլրի գագաթից թեքվում Է դեպի հյուսիս-արևելք, անցնում 170.99 մ, հասնում Չախկալի գետի ափին գտնվող թիվ 1 սահմանակետին։ Թիվ 1 սահմանակետից սահմանագիծը Չախկալի գետակով թեքվում Է դեպի հարավ-արևմուտք, թիվ 2-5 սահմանակետերով անցնելով 1480.88 մ, հասնում Չիչխան գետի ջրախառնուրդի թիվ 6 սահմանակետին, այնուհետև Չիչխան գետով, թեքվում Է դեպի հարավ-արևելք, թիվ 7-10 սահմանակետերով անցնելով 695.39 մ, հասնում թիվ 11 սահմանակետին, որտեղից սկիզբ Է առնում Նալբանդի ջրանցքը, այնուհետև Նալբանդի ջրանցքով թեքվում Է դեպի հարավ-արևելք, թիվ 12, 13 սահմանակետերով անցնելով 1066.66 մ, հասնում թիվ 14 սահմանակետին, որից հետո թեքվում Է դեպի հարավ-արևմուտք, անցնում 99.9 մ, հասնում բլրի գագաթի թիվ 15 սահմանակետին։ Թիվ 15 սահմանակետից սահմանագիծը թեքվում Է դեպի հարավ, անցնում 606.49մ, հատելով թփուտները, հասնում թիվ 16 սահմանակետին, որտեղից թեքվելով դեպի հարավ-արևելք. հատելով Չիչխան գետակի վտակը, անցնելով 484.07 մ, հասնում ջրբաժանի թիվ 17 սահմանակետին։ Թիվ 17 սահմանակետից սահմանագիծը գրեթե նույն ուղղությամբ անցնում Է 334.6 մ, հասնում բլրի գագաթի թիվ 18 սահմանակետին, այնուհետև փոխելով ուղղությունը դեպի հարավ-արևելք, անցնում 753.38 մ, հասնում դաշտային ճանապարհի եզրի թիվ 19 սահմանակետին։ Թիվ19 սահմանակետից սահմանագիծը թեքվում Է դեպի հարավ-արևելք, թիվ 20 սահմանակետով անցնելով 435.14 մ, հասնում թիվ 21 սահմանակետին, որից հետո թեքվում Է դեպի հարավ-արևմուտք, անցնում 138.5 մ, հասնում թիվ 22 սահմանակետին, այնուհետև թեքվում Է դեպի հարավ-արևելք, թիվ 23 սահմանակետով անցնելով 624.49 մ, հասնում թիվ 24 սահմանակետին։ Թիվ 24 սահմանակետից սահմանագիծը ջրբաժանով թեքվում Է դեպի հարավ-արևմուտք, թիվ 25 սահմանակետով անցնում 356.39 մ, հասնում թիվ 26 սահմանակետին, որտեղից թեքվում է դեպի արևելք, թիվ 27 սահմանակետով անցնում 430.66 մ, հասնում թիվ 28 սահմանակետին, որից հետո թեքվում դեպի հարավ-արևմուտք, ջրբաժանի թիվ 29, 30 սահմանակետերով անցնելով 523.88 մ, հասնում թիվ 31 սահմանակետին։ Թիվ 31 սահմանակետից սահմանագիծը թեքվում է դեպի հարավ-արևմուտք, անցնում 178.22 մ, հասնում թիվ 32 սահմանակետին, որտեղից թեքվում է դեպի հարավ-արևելք, թիվ 33 սահմանակետով անցնելով 332.23 մ, հասնում թիվ 34 սահմանակետին։ Թիվ 34 սահմանակետից սահմանագիծը թեքվում է դեպի հարավ-արևմուտք, անցնում 128.16 մ, հասնում թիվ 35 սահմանակետին, որտեղից թեքվում է դեպի հարավ-արևելք, անցնում 129.8 մ հասնում թիվ 36 սահմանակետին։ Թիվ 36 սահմանակետից սահմանագիծը թեքվում է դեպի հարավ-արևմուտք, անցնում 496.46 մ, հասնում վարելահողի եզրի թիվ 37 սահմանակետին, որտեղից թեքվում է դեպի հարավ, անցնում 91.19 մ, հասնում վարելահողի եզրի թիվ 38 սահմանակետին, այնուհետև թեքվում է դեպի հարավ-արևելք, ջրբաժանի թիվ 39-42 սահմանակետերով, հատելով դաշտային ճանապարհը, վարելահողի եզրով, անցնելով 1168.01 մ, հասնում Նալբանդի ջրանցքի հյուսիսային մասում տեղադրված թիվ 43 սահմանակետին։ Թիվ 43 սահմանակետից սահմանագիծը հատելով Նալբանդի ջրանցքը, վարելահողի եզրով, անցնելով 403.62 մ, հասնում է վարելահողի միջնակի` թիվ 44 սահմանակետին, որտեղից նույն ուղղությամբ, անցնելով 185.32 մ, հասնում թիվ 45 սահմանակետին, որից հետո հատելով անտառաշերտը, երկաթգիծը, անցնելով 314.1 մ, հասնում Գյումրի-Սպիտակ ավտոճանապարհի եզրին գտնվող` Շիրակամուտ, Մեծ Պառնի և Կաթնաջուր համայնքների տարածքների բաժանման «Դ» հանգուցային սահմանակետին։ «Դ»-«Ա» սահմանագծի ընդհանուր երկարությունը 11633.53 մ է։ | |
Հայաստանի Հանրապետության կառավարության աշխատակազմի ղեկավար-նախարար |
Մ. Թոփուզյան |
Հավելված N 3 | |
| |
Հայաստանի Հանրապետության կառավարության աշխատակազմի ղեկավար-նախարար |
Մ. Թոփուզյան |
Հավելված N 4 | |
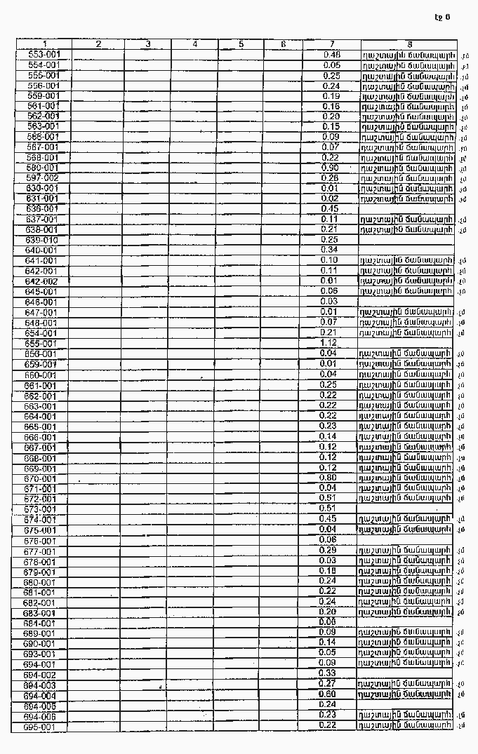
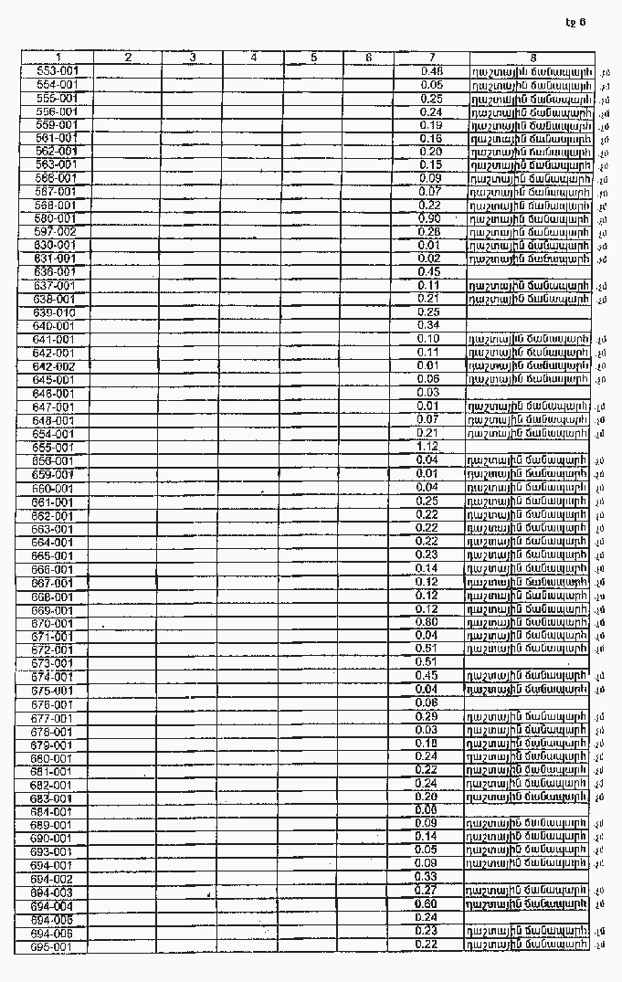
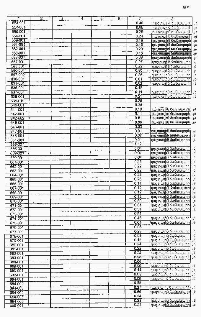
ՀԱՅԱՍՏԱՆԻ ՀԱՆՐԱՊԵՏՈՒԹՅԱՆ ԼՈՌՈՒ ՄԱՐԶԻ ՇԻՐԱԿԱՄՈՒՏԻ ԳՅՈՒՂԱԿԱՆ ՀԱՄԱՅՆՔԻ ՎԱՐՉԱԿԱՆ ՍԱՀՄԱՆՆԵՐՈՒՄ ԳՏՆՎՈՂ` ՊԵՏԱԿԱՆ ՍԵՓԱԿԱՆՈՒԹՅՈՒՆ ՀԱՆԴԻՍԱՑՈՂ ՀՈՂԵՐԻՑ ՇԻՐԱԿԱՄՈՒՏԻ ԳՅՈՒՂԱԿԱՆ ՀԱՄԱՅՆՔԻՆ ԱՆՀԱՏՈՒՅՑ ՓՈԽԱՆՑՎՈՂ ՀՈՂԵՐԻ | |
Հայաստանի Հանրապետության կառավարության աշխատակազմի ղեկավար-նախարար |
Մ. Թոփուզյան |
Հավելված N 5 | |
ՀԱՅԱՍՏԱՆԻ ՀԱՆՐԱՊԵՏՈՒԹՅԱՆ ԼՈՌՈՒ ՄԱՐԶԻ ՇԻՐԱԿԱՄՈՒՏԻ ԳՅՈՒՂԱԿԱՆ ՀԱՄԱՅՆՔԻ ՎԱՐՉԱԿԱՆ ՍԱՀՄԱՆՆԵՐՈՒՄ ԳՏՆՎՈՂ` ՊԵՏԱԿԱՆ ՍԵՓԱԿԱՆՈՒԹՅՈՒՆ ՀԱՆԴԻՍԱՑՈՂ ՀՈՂԵՐԻՑ ՇԻՐԱԿԱՄՈՒՏԻ ԳՅՈՒՂԱԿԱՆ ՀԱՄԱՅՆՔԻՆ ԱՆՀԱՏՈՒՅՑ ՓՈԽԱՆՑՎՈՂ ՀՈՂԵՐԻ | |
Հայաստանի Հանրապետության կառավարության աշխատակազմի ղեկավար-նախարար |
Մ. Թոփուզյան |
Հավելված N 6 | |
ՀԱՅԱՍՏԱՆԻ ՀԱՆՐԱՊԵՏՈՒԹՅԱՆ ԼՈՌՈՒ ՄԱՐԶԻ ՇԻՐԱԿԱՄՈՒՏԻ ԳՅՈՒՂԱԿԱՆ ՀԱՄԱՅՆՔԻ ՎԱՐՉԱԿԱՆ ՍԱՀՄԱՆՆԵՐՈՒՄ ԳՏՆՎՈՂ` ՊԵՏԱԿԱՆ ՍԵՓԱԿԱՆՈՒԹՅՈՒՆ ՀԱՆԴԻՍԱՑՈՂ ՀՈՂԵՐԻՑ ՇԻՐԱԿԱՄՈՒՏԻ ԳՅՈՒՂԱԿԱՆ ՀԱՄԱՅՆՔԻՆ ԱՆՀԱՏՈՒՅՑ ՓՈԽԱՆՑՎՈՂ ՀՈՂԵՐԻ (ԸՍՏ ՆՊԱՏԱԿԱՅԻՆ ՆՇԱՆԱԿՈՒԹՅԱՆ) | |
Հայաստանի Հանրապետության կառավարության աշխատակազմի ղեկավար-նախարար |
Մ. Թոփուզյան |
Հավելված N 7 | |
ՀԱՅԱՍՏԱՆԻ ՀԱՆՐԱՊԵՏՈՒԹՅԱՆ ԼՈՌՈՒ ՄԱՐԶԻ ՇԻՐԱԿԱՄՈՒՏԻ ԳՅՈՒՂԱԿԱՆ ՀԱՄԱՅՆՔԻ ՎԱՐՉԱԿԱՆ ՍԱՀՄԱՆՆԵՐՈՒՄ ԳՏՆՎՈՂ` ՊԵՏԱԿԱՆ ՍԵՓԱԿԱՆՈՒԹՅՈՒՆ ՀԱՆԴԻՍԱՑՈՂ ՀՈՂԵՐԻ (ԸՍՏ ՆՊԱՏԱԿԱՅԻՆ ՆՇԱՆԱԿՈՒԹՅԱՆ) | |
Հայաստանի Հանրապետության կառավարության աշխատակազմի ղեկավար-նախարար |
Մ. Թոփուզյան |
Հավելված N 8 | |
| |
Հայաստանի Հանրապետության կառավարության աշխատակազմի ղեկավար-նախարար |
Մ. Թոփուզյան |
Հավելված N 9 | |
| |
Հայաստանի Հանրապետության կառավարության աշխատակազմի ղեկավար-նախարար |
Մ. Թոփուզյան |
