ԵՎՐԱՍԻԱԿԱՆ ՏՆՏԵՍԱԿԱՆ ՀԱՆՁՆԱԺՈՂՈՎ
ԿՈԼԵԳԻԱ
Ո Ր Ո Շ ՈՒ Մ
|
23 սեպտեմբերի 2024 թվականի |
թիվ 109 |
քաղ. Մոսկվա |
ԵՎՐԱՍԻԱԿԱՆ ՏՆՏԵՍԱԿԱՆ ՀԱՆՁՆԱԺՈՂՈՎԻ ԿՈԼԵԳԻԱՅԻ 2016 ԹՎԱԿԱՆԻ ՄԱՅԻՍԻ 10-Ի ԹԻՎ 39 ՈՐՈՇՄԱՆ ՄԵՋ ՓՈՓՈԽՈՒԹՅՈՒՆՆԵՐ ԿԱՏԱՐԵԼՈՒ ՄԱՍԻՆ
«Եվրասիական տնտեսական միության շրջանակներում տեղեկատվական հաղորդակցական տեխնոլոգիաների և տեղեկատվական փոխգործակցության մասին» արձանագրության («Եվրասիական տնտեսական միության մասին» 2014 թվականի մայիսի 29-ի պայմանագրի թիվ 3 հավելված) 30-րդ կետին համապատասխան՝ Եվրասիական տնտեսական հանձնաժողովի կոլեգիան որոշեց.
1. Եվրասիական տնտեսական հանձնաժողովի կոլեգիայի 2016 թվականի մայիսի 10-ի «Տրված համապատասխանության սերտիֆիկատների և գրանցված համապատասխանության հայտարարագրերի միասնական ռեեստրին առնչվող մասով՝ «Եվրասիական տնտեսական միության տեխնիկական կանոնակարգերի (Մաքսային միության տեխնիկական կանոնակարգերի) պահանջներին համապատասխանության գնահատման մասին տրված կամ ընդունված փաստաթղթերի միասնական ռեեստրների ձևավորում և վարում» ընդհանուր գործընթացը Եվրասիական տնտեսական միության ինտեգրված տեղեկատվական համակարգի միջոցներով իրագործելիս տեղեկատվական փոխգործակցությունը կանոնակարգող տեխնոլոգիական փաստաթղթերի մասին» թիվ 39 որոշման մեջ կատարել փոփոխություններ՝ համաձայն հավելվածի։
2. Սույն որոշումն ուժի մեջ է մտնում դրա պաշտոնական հրապարակման օրվանից 30 օրացուցային օրը լրանալուց հետո։
|
Եվրասիական տնտեսական հանձնաժողովի կոլեգիայի նախագահ՝ |
Բ. Սագինտաև |
|
ՀԱՎԵԼՎԱԾ Եվրասիական տնտեսական հանձնաժողովի կոլեգիայի 2024 թվականի սեպտեմբերի 23-ի թիվ 109 որոշման |
ՓՈՓՈԽՈՒԹՅՈՒՆՆԵՐ
Եվրասիական տնտեսական հանձնաժողովի կոլեգիայի 2016 թվականի մայիսի 10-ի թիվ 39 որոշման մեջ կատարվող
1․ Եվրասիական տնտեսական միության ինտեգրված տեղեկատվական համակարգի միջոցներով «Եվրասիական տնտեսական միության տեխնիկական կանոնակարգերի (Մաքսային միության տեխնիկական կանոնակարգերի) պահանջներին համապատասխանության գնահատման վերաբերյալ տրամադրված կամ ընդունված փաստաթղթերի միասնական ռեեստրների ձևավորում և վարում» ընդհանուր գործընթացը տրված համապատասխանության սերտիֆիկատների և համապատասխանության մասին գրանցված հայտարարագրերի միասնական ռեեստրին վերաբերող մասով իրագործելիս սույն որոշմամբ հաստատված տեղեկատվական փոխգործակցության կանոնները շարադրել հետևյալ խմբագրությամբ․
|
«ՀԱՍՏԱՏՎԱԾ ԵՆ Եվրասիական տնտեսական հանձնաժողովի կոլեգիայի 2016 թվականի մայիսի 10-ի թիվ 39 որոշմամբ (Եվրասիական տնտեսական հանձնաժողովի կոլեգիայի 2024 թվականի սեպտեմբերի 23-ի թիվ 109 որոշման խմբագրությամբ) |
Կանոններ
տեղեկատվական փոխգործակցության՝ Եվրասիական տնտեսական միության ինտեգրված տեղեկատվական համակարգի միջոցներով «Եվրասիական տնտեսական միության տեխնիկական կանոնակարգերի (Մաքսային միության տեխնիկական կանոնակարգերի) պահանջներին համապատասխանության գնահատման վերաբերյալ տրամադրված կամ ընդունված փաստաթղթերի միասնական ռեեստրների ձևավորում և վարում» ընդհանուր գործընթացը տրված համապատասխանության սերտիֆիկատների և համապատասխանության մասին գրանցված հայտարարագրերի միասնական ռեեստրին վերաբերող մասով իրագործելիս
I. Ընդհանուր դրույթներ
1. Սույն կանոնները մշակվել են Եվրասիական տնտեսական միության (այսուհետ՝ Միություն) իրավունքի կազմում ընդգրկվող հետևյալ ակտերին համապատասխան.
«Եվրասիական տնտեսական միության մասին» 2014 թվականի մայիսի 29-ի պայմանագիր.
«Մաքսային միությունում տեխնիկական կարգավորման մասին» Մաքսային միության հանձնաժողովի 2010 թվականի հունիսի 18-ի թիվ 319 որոշում.
«Մաքսային միության շրջանակներում միասնական փաստաթղթերի տրամադրմամբ համապատասխանության պարտադիր գնահատման (հաստատման) ենթակա արտադրանքի միասնական ցանկի մասին» Մաքսային միության հանձնաժողովի 2011 թվականի ապրիլի 7-ի թիվ 620 որոշում.
«Համապատասխանության սերտիֆիկատի և Մաքսային միության տեխնիկական կանոնակարգերին համապատասխանության մասին հայտարարագրի միասնական ձևերի և դրանց ձևակերպման կանոնների մասին» Եվրասիական տնտեսական հանձնաժողովի կոլեգիայի 2012 թվականի դեկտեմբերի 25-ի թիվ 293 որոշում.
«Եվրասիական տնտեսական միության տեխնիկական կանոնակարգերի պահանջներին արտադրանքի համապատասխանության հայտարարագրերը գրանցելու, դրանց գործողությունը կասեցնելու, վերսկսելու ու դադարեցնելու կարգի մասին» Եվրասիական տնտեսական հանձնաժողովի կոլեգիայի 2018 թվականի մարտի 20-ի թիվ 41 որոշում.
«Տրված համապատասխանության սերտիֆիկատների և գրանցված համապատասխանության հայտարարագրերի միասնական ռեեստրի ձևավորման և վարման կարգի մասին» Եվրասիական տնտեսական հանձնաժողովի կոլեգիայի 2017 թվականի սեպտեմբերի 26-ի թիվ 127 որոշում․
«Ընդհանուր գործընթացներն արտաքին և փոխադարձ առևտրի ինտեգրված տեղեկատվական համակարգի միջոցներով իրագործելիս տեղեկատվական փոխգործակցությունը կանոնակարգող տեխնոլոգիական փաստաթղթերի մասին» Եվրասիական տնտեսական հանձնաժողովի կոլեգիայի 2014 թվականի նոյեմբերի 6-ի թիվ 200 որոշում.
«Արտաքին և փոխադարձ առևտրի ինտեգրված տեղեկատվական համակարգում տվյալների էլեկտրոնային փոխանակման կանոնները հաստատելու մասին» Եվրասիական տնտեսական հանձնաժողովի կոլեգիայի 2015 թվականի հունվարի 27-ի թիվ 5 որոշում.
«Եվրասիական տնտեսական միության շրջանակներում ընդհանուր գործընթացների ցանկի և Եվրասիական տնտեսական հանձնաժողովի կոլեգիայի 2014 թվականի օգոստոսի 19-ի թիվ 132 որոշման մեջ փոփոխություն կատարելու մասին» Եվրասիական տնտեսական հանձնաժողովի կոլեգիայի 2015 թվականի ապրիլի 14-ի թիվ 29 որոշում.
«Եվրասիական տնտեսական միության շրջանակներում ընդհանուր գործընթացների վերլուծության, օպտիմալացման, ներդաշնակեցման և նկարագրության մեթոդիկայի մասին» Եվրասիական տնտեսական հանձնաժողովի կոլեգիայի 2015 թվականի հունիսի 9-ի թիվ 63 որոշում.
«Եվրասիական տնտեսական միության անդամ պետությունների պետական իշխանության մարմինների` միմյանց միջև և Եվրասիական տնտեսական հանձնաժողովի հետ անդրսահմանային փոխգործակցության ընթացքում էլեկտրոնային փաստաթղթերի փոխանակման մասին հիմնադրույթի հաստատման մասին» Եվրասիական տնտեսական հանձնաժողովի կոլեգիայի 2015 թվականի սեպտեմբերի 28-ի թիվ 125 որոշում։
II. Կիրառության ոլորտը
2. Սույն կանոնները մշակվել են «Եվրասիական տնտեսական միության տեխնիկական կանոնակարգերի (Մաքսային միության տեխնիկական կանոնակարգերի) պահանջներին համապատասխանության գնահատման վերաբերյալ տրամադրված կամ ընդունված փաստաթղթերի միասնական ռեեստրների ձևավորում և վարում» ընդհանուր գործընթացի մասնակիցների միջև տեղեկատվական փոխգործակցության կարգն ու պայմանները սահմանելու նպատակով՝ տրված համապատասխանության սերտիֆիկատների և համապատասխանության մասին գրանցված հայտարարագրերի միասնական ռեեստրին վերաբերող մասով (այսուհետ համապատասխանաբար` ընդհանուր գործընթաց, սերտիֆիկատների և հայտարարագրերի միասնական ռեեստր), ներառյալ՝ այդ ընդհանուր գործընթացի շրջանակներում իրականացվող ընթացակարգերի նկարագրությունը։
3. Սույն կանոններն ընդհանուր գործընթացի մասնակիցների կողմից կիրառվում են ընդհանուր գործընթացի շրջանակներում ընթացակարգերի և գործառնությունների կատարման կարգը վերահսկելիս, ինչպես նաև ընդհանուր գործընթացի իրագործումն ապահովող տեղեկատվական համակարգերի բաղադրիչները նախագծելիս, մշակելիս և լրամշակելիս։
III. Հիմնական հասկացությունները
4. Սույն կանոնների նպատակներով օգտագործվում են հասկացություններ, որոնք ունեն հետևյալ իմաստը.
ավտորիզացում՝ ընդհանուր գործընթացի կոնկրետ մասնակցին որոշակի գործողություններ կատարելու իրավունքների տրամադրում.
համապատասխանության գնահատման վերաբերյալ փաստաթուղթ` Եվրասիական տնտեսական միության տեխնիկական կանոնակարգերի (Մաքսային միության տեխնիկական կանոնակարգերի) պահանջներին տեխնիկական կանոնակարգման օբյեկտի համապատասխանությունը հաստատող փաստաթուղթ կամ միասնական ձևով համապատասխանության սերտիֆիկատների ու համապատասխանության մասին հայտարարագրերի տրամադրմամբ համապատասխանության պարտադիր հաստատման ենթակա արտադրանքի միասնական ցանկում ներառված արտադրանքի համար տրամադրված (ընդունված) փաստաթուղթ.
համապատասխանության գնահատման վերաբերյալ տրամադրված կամ ընդունված փաստաթղթերի միասնական ռեեստր, միասնական ռեեստր` համապատասխանության գնահատման վերաբերյալ տրամադրված կամ ընդունված փաստաթղթերի մասին տեղեկություններ պարունակող ընդհանուր տեղեկատվական ռեսուրս։ Միասնական ռեեստրի ձևավորումն ու վարումն իրականացվում են Եվրասիական տնտեսական միության կողմից էլեկտրոնային եղանակով Միության ինտեգրված տեղեկատվական համակարգի միջոցների օգտագործմամբ Միության անդամ պետությունների և Եվրասիական տնտեսական հանձնաժողովի փոխգործակցության շրջանակներում՝ Միության անդամ պետությունների լիազորված մարմինների կողմից միասնական ռեեստրի ազգային մասերից Եվրասիական տնտեսական հանձնաժողով ներկայացվող տեղեկությունների հիման վրա.
անդամ պետության շահագրգիռ մարմին՝ Միության անդամ պետության օրենսդրությանը համապատասխան առանձին ոլորտներում պետական քաղաքականության իրագործման համար իրավասություններով օժտված և համապատասխանության գնահատման վերաբերյալ տրամադրված կամ ընդունված փաստաթղթերի մասին արդիական տեղեկություններ ստանալու համար շահագրգռված Միության անդամ պետության պետական մարմին (կազմակերպություն)՝ իր վրա դրված իրավասություններն իրագործելու համար, այդ թվում՝ Միության անդամ պետության հարցում ներկայացնող լիազորված մարմին.
անդամ պետության հարցում ներկայացնող լիազորված մարմին՝ Միության մյուս անդամ պետության՝ սերտիֆիկատների և հայտարարագրերի միասնական ռեեստրի ազգային մասից համապատասխանության գնահատման վերաբերյալ տրամադրված կամ ընդունված փաստաթղթերի մասին տեղեկություններ ստացող՝ Միության անդամ պետության լիազորված մարմին.
միասնական ռեեստրի ազգային մաս՝ համապատասխանության գնահատման վերաբերյալ տրամադրված կամ ընդունված փաստաթղթերի մասին տեղեկություններ պարունակող՝ Միության անդամ պետության լիազորված մարմնի տեղեկատվական համակարգում պարունակվող միասնական ռեեստրի մի մասը Միասնական ռեեստրի ազգային մասերի ձևավորումն ու վարումն ապահովվում է Միության անդամ պետությունների լիազորված մարմինների կողմից՝ Միության անդամ պետությունների օրենսդրությանը համապատասխան.
անդամ պետության լիազորված մարմին՝ միասնական ռեեստրի ազգային մասի ձևավորումն ու վարումն ապահովող՝ Միության անդամ պետության պետական մարմին (կազմակերպություն)։
Սույն կանոններում օգտագործվող «ընդհանուր գործընթացի ընթացակարգերի խումբ», «ընդհանուր գործընթացի տեղեկատվական օբյեկտ», «կատարող», «ընդհանուր գործընթացի գործառնություն», «ընդհանուր գործընթացի ընթացակարգ» և «ընդհանուր գործընթացի մասնակից» հասկացությունները կիրառվում են Եվրասիական տնտեսական հանձնաժողովի կոլեգիայի 2015 թվականի հունիսի 9-ի թիվ 63 որոշմամբ հաստատված՝ Եվրասիական տնտեսական միության շրջանակներում ընդհանուր գործընթացների վերլուծության, օպտիմալացման, ներդաշնակեցման և նկարագրության մեթոդիկայով սահմանված իմաստներով։
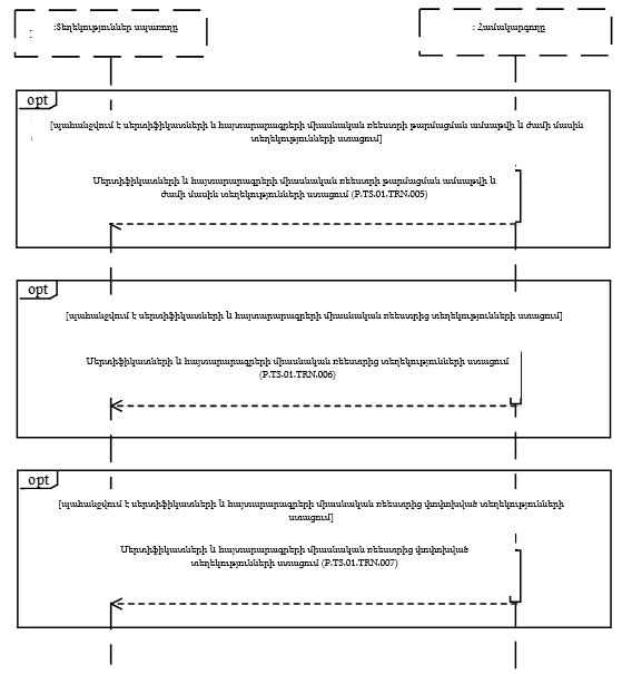
IV. Ընդհանուր գործընթացի մասին հիմնական տեղեկությունները
5. Ընդհանուր գործընթացի լրիվ անվանումը՝ «Եվրասիական տնտեսական միության տեխնիկական կանոնակարգերի (Մաքսային միության տեխնիկական կանոնակարգերի) պահանջներին համապատասխանության գնահատման վերաբերյալ տրամադրված կամ ընդունված փաստաթղթերի միասնական ռեեստրների ձևավորում և վարում»: Ընդհանուր գործընթացն իրականացվում է սերտիֆիկատների և հայտարարագրերի միասնական ռեեստրի մասով:
6. Ընդհանուր գործընթացի ծածկագրային նշագիրը՝ P.TS.01, 2.0.0 տարբերակ։
1. Ընդհանուր գործընթացի նպատակը և խնդիրները
7. Ընդհանուր գործընթացի նպատակն է համապատասխանության գնահատման վերաբերյալ տրամադրված կամ ընդունված փաստաթղթերի միասնական ռեեստրներից տեղեկությունների ձևավորման և ընդհանուր գործընթացի մասնակիցներին դրանց ներկայացման մեխանիզմների կատարելագործումը։
8. Ընդհանուր գործընթացի նպատակին հասնելու համար անհրաժեշտ է լուծել հետևյալ խնդիրները.
ա) ապահովել Եվրասիական տնտեսական հանձնաժողովի (այսուհետ՝ Հանձնաժողով) կողմից Միության ինտեգրված տեղեկատվական համակարգի (այսուհետ՝ ինտեգրված համակարգ) միջոցներով համապատասխանության գնահատման վերաբերյալ տրամադրված կամ ընդունված փաստաթղթերի միասնական ռեեստրների ազգային մասերից Միության անդամ պետությունների (այսուհետ՝ անդամ պետություններ) լիազորված մարմիններից տեղեկությունների ստացումը և Միության տեղեկատվական պորտալում դրանց հրապարակումը.
բ) ապահովել Միության տեղեկատվական պորտալում համապատասխանության գնահատման վերաբերյալ տրամադրված կամ ընդունված փաստաթղթերի մասին տեղեկությունների՝ շահագրգիռ անձանց կողմից ստացման հնարավորությունը.
գ) ապահովել անդամ պետությունների հարցում ներկայացնող լիազորված մարմինների կողմից ինտեգրված համակարգի միջոցներով միասնական ռեեստրների ազգային մասերից համապատասխանության գնահատման վերաբերյալ տրամադրված կամ ընդունված փաստաթղթերի մասին տեղեկությունների ստացումը.
դ) ապահովել անդամ պետությունների շահագրգիռ մարմինների կողմից ինտեգրված համակարգի միջոցներով միասնական ռեեստրից համապատասխանության գնահատման վերաբերյալ տրամադրված կամ ընդունված փաստաթղթերի մասին տեղեկությունների ստացումը.
ե) ապահովել ընդհանուր գործընթացի մասնակիցների կողմից միասնական դասակարգիչների և տեղեկագրքերի օգտագործումը։
2. Ընդհանուր գործընթացի մասնակիցները
9. Ընդհանուր գործընթացի մասնակիցների ցանկը բերված է 1-ին աղյուսակում:
Աղյուսակ 1
Ընդհանուր գործընթացի մասնակիցների ցանկը
|
Ծածկագրային նշագիրը |
Անվանումը |
Նկարագրությունը |
|
1 |
2 |
3 |
|
P.ACT.001 |
Հանձնաժողով |
Միության տեղեկատվական պորտալում սերտիֆիկատների և հայտարարագրերի միասնական ռեեստրի ազգային մասերից տեղեկությունների հասանելիությունն ապահովող Միության մարմին, որը ստանում է տեղեկություններ սերտիֆիկատների և հայտարարագրերի միասնական ռեեստրի ազգային մասերից, ապահովում է տեղեկությունների հրապարակումը Միության տեղեկատվական պորտալում, ինչպես նաև սերտիֆիկատների և հայտարարագրերի միասնական ռեեստրից տեղեկություններ է ներկայացնում անդամ պետությունների շահագրգիռ մարմիններ |
|
P.TS.01.ACT.001 |
շահագրգիռ անձ |
հարցում ներկայացնող և Միության տեղեկատվական պորտալում սերտիֆիկատների և հայտարարագրերի միասնական ռեեստրից տեղեկություններ ստացող իրավաբանական կամ ֆիզիկական անձ |
|
P.TS.01.ACT.002 |
անդամ պետության լիազորված մարմին |
անդամ պետության պետական մարմին (կազմակերպություն), որն իրականացնում է սերտիֆիկատների և հայտարարագրերի միասնական ռեեստրի ազգային մասի ձևավորում ու վարում և սերտիֆիկատների և հայտարարագրերի միասնական ռեեստրի ազգային մասից տեղեկություններ է ներկայացնում Հանձնաժողով, ինչպես նաև սերտիֆիկատների և հայտարարագրերի միասնական ռեեստրի ազգային մասից համապատասխանության գնահատման վերաբերյալ փաստաթղթի մասին տեղեկություններ է ներկայացնում հարցում ներկայացնող մյուս անդամ պետությունների լիազորված մարմիններ |
|
P.TS.01.ACT.003 |
անդամ պետության հարցում ներկայացնող լիազորված մարմին |
համապատասխանության գնահատման վերաբերյալ փաստաթղթի մասին տեղեկությունների հարցում ներկայացնող և մյուս անդամ պետության՝ սերտիֆիկատների և հայտարարարգերի միասնական ռեեստրի ազգային մասից դրանք ստացող անդամ պետության լիազորված մարմին |
|
P.TS.01.ACT.004 |
անդամ պետության շահագրգիռ մարմին |
համապատասխանության գնահատման վերաբերյալ փաստաթղթի մասին տեղեկությունների հարցում ներկայացնող և սերտիֆիկատների և հայտարարագերի միասնական ռեեստրից դրանք ստացող անդամ պետության պետական մարմին (կազմակերպություն) |
3. Ընդհանուր գործընթացի կառուցվածքը
10. Ընդհանուր գործընթացն ըստ իր նշանակության խմբավորված հետևյալ ընթացակարգերի ամբողջությունն է.
ա) սերտիֆիկատների և հայտարարագրերի միասնական ռեեստրի ձևավորման և վարման ընթացակարգեր․
բ) սերտիֆիկատների և հայտարարագրերի միասնական ռեեստրի ազգային մասից տեղեկությունների ստացման ընթացակարգեր․
գ) սերտիֆիկատների և հայտարարագրերի միասնական ռեեստրից տեղեկությունների ստացման ընթացակարգեր։
11. Ընդհանուր գործընթացի ընթացակարգերի կատարման շրջանակներում անդամ պետությունների լիազորված մարմիններն իրականացնում են սերտիֆիկատների և հայտարարագրերի միասնական ռեեստրի ազգային մասերի ձևավորում և վարում, սերտիֆիկատների և հայտարարագրերի միասնական ռեեստրի ազգային մասերից համապատասխանության գնահատման վերաբերյալ փաստաթղթերի մասին տեղեկություններ են ներկայացնում մյուս անդամ պետությունների հարցում ներկայացնող լիազորված մարմիններ, ինչպես նաև սերտիֆիկատների և հայտարարագրերի միասնական ռեեստրի ազգային մասերից տեղեկություններ են ներկայացնում Հանձնաժողով։ Հանձնաժողովը մշակում է ստացված տեղեկատվությունը և ապահովում է տվյալ տեղեկությունների հրապարակումը Միության տեղեկատվական պորտալում, ինչպես նաև ինտեգրված համակարգի միջոցներով ապահովում է սերտիֆիկատների և հայտարարագրերի միասնական ռեեստրի ազգային մասերից տեղեկությունների ներկայացումն անդամ պետությունների շահագրգիռ մարմիններին։
Սերտիֆիկատների և հայտարարագրերի միասնական ռեեստրի ձևավորման և վարման ժամանակ կատարվում են սերտիֆիկատների և հայտարարագրերի միասնական ռեեստրի ձևավորման և վարման ընթացակարգերի խմբում ներառված՝ ընդհանուր գործընթացի հետևյալ ընթացակարգերը.
ա) սերտիֆիկատների և հայտարարագրերի միասնական ռեեստրի ազգային մասի թարմացման մասին տեղեկությունների ներկայացում.
բ) սերտիֆիկատների և հայտարարագրերի միասնական ռեեստրում գործողության լրացած ժամկետով փաստաթղթերի կարգավիճակների արդիականացում։
Նշված տեղեկությունների ներկայացումն իրականացվում է Եվրասիական տնտեսական հանձնաժողովի կոլեգիայի 2016 թվականի մայիսի 10-ի թիվ 39 որոշմամբ հաստատված՝ Եվրասիական տնտեսական միության ինտեգրված տեղեկատվական համակարգի միջոցներով «Եվրասիական տնտեսական միության տեխնիկական կանոնակարգերի (Մաքսային միության տեխնիկական կանոնակարգերի) պահանջներին համապատասխանության գնահատման տրամադրված կամ ընդունված փաստաթղթերի ընդհանուր ռեեստրների ձևավորում և վարում» ընդհանուր գործընթացը տրված համապատասխանության սերտիֆիկատների և համապատասխանության մասին գրանցված հայտարարագրերի միասնական ռեեստրին վերաբերող մասով իրագործելիս Եվրասիական տնտեսական միության անդամ պետությունների լիազորված մարմինների և Եվրասիական տնտեսական հանձնաժողովի միջև տեղեկատվական փոխգործակցության կանոնակարգին համապատասխան (այսուհետ՝ Անդամ պետությունների լիազորված մարմինների և Հանձնաժողովի միջև տեղեկատվական փոխգործակցության կանոնակարգ)։
Մյուս անդամ պետության՝ սերտիֆիկատների և հայտարարագրերի միասնական ռեեստրի ազգային մասից համապատասխանության գնահատման վերաբերյալ փաստաթղթի մասին անդամ պետության հարցում ներկայացնող լիազորված մարմնի կողմից ստացվելու դեպքում կատարվում է սերտիֆիկատների և հայտարարագրերի միասնական ռեեստրի ազգային մասից տեղեկությունների ստացման ընթացակարգերի խմբում ներառված՝ «Սերտիֆիկատների և հայտարարագրերի միասնական ռեեստրի ազգային մասից տեղեկությունների ստացում» (P.TS.01.PRC.002) ընթացակարգը։
Նշված տեղեկությունների հարցում կատարելը և ներկայացնելն իրականացվում են Եվրասիական տնտեսական հանձնաժողովի կոլեգիայի 2016 թվականի մայիսի 10-ի թիվ 39 որոշմամբ հաստատված՝ Եվրասիական տնտեսական միության ինտեգրված տեղեկատվական համակարգի միջոցներով «Եվրասիական տնտեսական միության տեխնիկական կանոնակարգերի (Մաքսային միության տեխնիկական կանոնակարգերի) պահանջներին համապատասխանության գնահատման տրամադրված կամ ընդունված փաստաթղթերի ընդհանուր ռեեստրների ձևավորում և վարում» ընդհանուր գործընթացը տրված համապատասխանության սերտիֆիկատների և համապատասխանության մասին գրանցված հայտարարագրերի միասնական ռեեստրին վերաբերող մասով Եվրասիական տնտեսական միության ինտեգրված տեղեկատվական համակարգի միջոցներով իրագործելիս Եվրասիական տնտեսական միության անդամ պետությունների լիազորված մարմինների միջև տեղեկատվական փոխգործակցության կանոնակարգին (այսուհետ՝ Անդամ պետությունների լիազորված մարմինների միջև տեղեկատվական փոխգործակցության կանոնակարգ) համապատասխան:
Սերտիֆիկատների և հայտարարագրերի միասնական ռեեստրից անդամ պետության շահագրգիռ մարմնի կողմից տեղեկություններ ստացվելու դեպքում կատարվում են սերտիֆիկատների և հայտարարագրերի միասնական ռեեստրից տեղեկությունների ստացման ընթացակարգերի խմբում ներառված՝ ընդհանուր գործընթացի հետևյալ ընթացակարգերը.
ա) սերտիֆիկատների և հայտարարագրերի միասնական ռեեստրի թարմացման ամսաթվի և ժամի մասին տեղեկությունների ստացում․
բ) սերտիֆիկատների և հայտարարագրերի միասնական ռեեստրից տեղեկությունների ստացում․
գ) սերտիֆիկատների և հայտարարագրերի միասնական ռեեստրից փոփոխված տեղեկությունների ստացում։
Նշված տեղեկությունների հարցում կատարելը և ներկայացնելն իրականացվում է Անդամ պետությունների լիազորված մարմինների և Հանձնաժողովի միջև տեղեկատվական փոխգործակցության կանոնակարգին համապատասխան:
Ընդհանուր գործընթացի ընթացակարգերի շրջանակներում ներկայացվող տեղեկությունների ձևաչափը և կառուցվածքը պետք է համապատասխանեն Եվրասիական տնտեսական հանձնաժողովի կոլեգիայի 2016 թվականի մայիսի 10-ի թիվ 39 որոշմամբ հաստատված՝ Եվրասիական տնտեսական միության ինտեգրված տեղեկատվական համակարգի միջոցներով «Եվրասիական տնտեսական միության տեխնիկական կանոնակարգերի (Մաքսային միության տեխնիկական կանոնակարգերի) պահանջներին համապատասխանության գնահատման տրամադրված կամ ընդունված փաստաթղթերի ընդհանուր ռեեստրների ձևավորում և վարում» ընդհանուր գործընթացը տրված համապատասխանության սերտիֆիկատների և համապատասխանության մասին գրանցված հայտարարագրերի միասնական ռեեստրին վերաբերող մասով իրագործման համար օգտագործվող՝ էլեկտրոնային փաստաթղթերի և տեղեկությունների ձևաչափերի և կառուցվածքների նկարագրությանը (այսուհետ՝ էլեկտրոնային փաստաթղթերի և տեղեկությունների ձևաչափերի և կառուցվածքների նկարագրություն)։
Անդամ պետությունների լիազորված մարմինների և Հանձնաժողովի, անդամ պետությունների լիազորված մարմինների, ինչպես նաև անդամ պետությունների շահագրգիռ մարմինների և Հանձնաժողովի միջև տեղեկատվական փոխգործակցությունն իրականացվում է ինտեգրված համակարգի օգտագործման միջոցով: Շահագրգիռ անձանց համար սերտիֆիկատների և հայտարարագրերի միասնական ռեեստրից տեղեկությունների հասանելիությունն ապահովվում է Միության տեղեկատվական պորտալի միջոցով:
12. Ընդհանուր գործընթացի կառուցվածքի բերված նկարագրությունը ներկայացված է 1-ին նկարում։
Նկար 1. Ընդհանուր գործընթացի կառուցվածքը
13. Ընդհանուր գործընթացի՝ ըստ իրենց նշանակության խմբավորված ընթացակարգերի կատարման կարգը, ներառյալ՝ գործառնությունների մանրամասն նկարագրությունը, բերված է սույն կանոնների VIII բաժնում։
14. Ընթացակարգերի յուրաքանչյուր խմբի համար բերվում է ընդհանուր գործընթացի ընթացակարգերի միջև կապերը և դրանց կատարման կարգն արտացոլող ընդհանուր սխեման։ Ընթացակարգերի ընդհանուր սխեման կառուցված է UML գրաֆիկական նոտացիայի (մոդելավորման միասնականացված լեզու՝ Unified Modeling Language) օգտագործմամբ և ապահովված է տեքստային նկարագրությամբ։
4. Սերտիֆիկատների և հայտարարագրերի միասնական ռեեստրի ձևավորման և վարման ընթացակարգերի խումբը
15. Սերտիֆիկատների և հայտարարագրերի միասնական ռեեստրի ձևավորման և վարման ընթացակարգերը կատարվում են սերտիֆիկատների և հայտարարագրերի միասնական ռեեստրի ազգային մասերի թարմացման դեպքում, ինչպես նաև սերտիֆիկատների և հայտարարագրերի միասնական ռեեստրում պարունակվող՝ գործողության լրացած ժամկետով համապատասխանության գնահատման վերաբերյալ փաստաթղթերի կարգավիճակների արդիականացման դեպքում։
«Սերտիֆիկատների և հայտարարագրերի միասնական ռեեստրի ազգային մասի թարմացման մասին տեղեկությունների ներկայացում» (P.TS.01.PRC.001) ընթացակարգը կատարելու դեպքում անդամ պետությունների լիազորված մարմինները Հանձնաժողով են ներկայացնում սերտիֆիկատների և հայտարարագրերի միասնական ռեեստրի ազգային մասում համապատասխանության գնահատման վերաբերյալ ավելացված և փոփոխված փաստաթղթերի մասին տեղեկություններ՝ սահմանված ժամանակահատվածի համար:
«Սերտիֆիկատների և հայտարարագրերի միասնական ռեեստրում գործողության լրացած ժամկետով փաստաթղթերի կարգավիճակների արդիականացում» (P.TS.01.PRC.003) ընթացակարգը կատարելու դեպքում Հանձնաժողովն իրականացնում է «գործում է» կարգավիճակով և գործողության լրացած ժամկետով սերտիֆիկատների և հայտարարագրերի միասնական ռեեստրում պարունակվող փաստաթղթերի գործողության կարգավիճակների հարկադիր փոփոխում և այդ մասին ծանուցում է անդամ պետությունների լիազորված մարմիններին, որոնք «Սերտիֆիկատների և հայտարարագրերի միասնական ռեեստրի ազգային մասի թարմացման մասին տեղեկությունների ներկայացում» (P.TS.01.PRC.001) ընթացակարգի կատարման շրջանակներում համապատասխան տեղեկություններ են ուղարկել սերտիֆիկատների և հայտարարագրերի միասնական ռեեստրի ազգային մասից։
16. Սերտիֆիկատների և հայտարարագրերի միասնական ռեեստրի ձևավորման և վարման ընթացակարգերի խմբի բերված նկարագրությունը ներկայացված է 2-րդ նկարում։
Նկար 2. Սերտիֆիկատների և հայտարարագրերի միասնական ռեեստրի ձևավորման և վարման ընթացակարգերի խմբի ընդհանուր սխեման
17. Սերտիֆիկատների և հայտարարագրերի միասնական ռեեստրի ձևավորման և վարման ընթացակարգերի խմբում ներառված ընդհանուր գործընթացի ընթացակարգերի ցանկը բերված է 2-րդ աղյուսակում։
Աղյուսակ 2
Միասնական ռեեստրի ձևավորման և վարման ընթացակարգերի խմբում ներառված ընդհանուր գործընթացի ընթացակարգերի ցանկը
|
Ծածկագրային նշագիրը |
Անվանումը |
Նկարագրությունը |
|
1 |
2 |
3 |
|
P.TS.01.PRC.001 |
սերտիֆիկատների և հայտարարագրերի միասնական ռեեստրի ազգային մասի թարմացման մասին տեղեկությունների ներկայացում |
ընթացակարգի կատարման ընթացքում անդամ պետության լիազորված մարմնի կողմից ներկայացվում են տեղեկություններ այդ ժամանակահատվածում սերտիֆիկատների և հայտարարագերի միասնական ռեեստրի ազգային մասում համապատասխանության գնահատման վերաբերյալ ավելացված և փոփոխված փաստաթղթերի մասին՝ Միության տեղեկատվական պորտալում թարմացված տեղեկությունների հրապարակման համար |
|
P.TS.01.PRC.003 |
սերտիֆիկատների և հայտարարագրերի միասնական ռեեստրում գործողության լրացած ժամկետով փաստաթղթերի կարգավիճակների արդիականացում |
ընթացակարգի կատարման ընթացքում Հանձնաժողովն իրականացնում է գործողության լրացած ժամկետով սերտիֆիկատների և հայտարարագրերի միասնական ռեեստրում պարունակվող համապատասխանության գնահատման վերաբերյալ փաստաթղթերի կարգավիճակների հարկադիր փոփոխում և այդ մասին ծանուցում է համապատասխան տեղեկություններ միասնական ռեեստր ներկայացրած անդամ պետությունների լիազորված մարմիններին |
5. Սերտիֆիկատների և հայտարարագրերի միասնական ռեեստրի ազգային մասից տեղեկությունների ստացման ընթացակարգերի խումբը
18. Սերտիֆիկատների և հայտարարագրերի միասնական ռեեստրի ազգային մասից տեղեկությունների ստացման ընթացակարգերը կատարվում են մյուս անդամ պետության հարցում ներկայացնող լիազորված մարմնի տեղեկատվական համակարգից համապատասխան հարցում ստացվելու դեպքում։
19. Սերտիֆիկատների և հայտարարագրերի միասնական ռեեստրի ազգային մասից տեղեկությունների ստացման ընթացակարգերի խմբի բերված նկարագրությունը ներկայացված է 3-րդ նկարում։
Նկար 3. Սերտիֆիկատների և հայտարարագրերի միասնական ռեեստրի ազգային մասից տեղեկությունների ստացման ընթացակարգերի խմբի ընդհանուր սխեման
20. Սերտիֆիկատների և հայտարարագրերի միասնական ռեեստրի ազգային մասից տեղեկություններ ստանալու ընթացակարգերի խմբում ներառված ընդհանուր գործընթացի ընթացակարգերի ցանկը բերված է 3-րդ աղյուսակում:
Աղյուսակ 3
Սերտիֆիկատների և հայտարարագրերի միասնական ռեեստրի ազգային մասից տեղեկություններ ստանալու ընթացակարգերի խմբում ներառված ընդհանուր գործընթացի ընթացակարգերի ցանկը
|
Ծածկագրային նշագիրը |
Անվանումը |
Նկարագրությունը |
|
1 |
2 |
3 |
|
P.TS.01.PRC.002 |
սերտիֆիկատների և հայտարարագրերի միասնական ռեեստրի ազգային մասից տեղեկությունների ստացում |
կատարվում է հարցում ներկայացնող անդամ պետության լիազորված մարմնի կողմից մյուս անդամ պետության՝ սերտիֆիկատների և հայտարարագրերի միասնական ռեեստրի ազգային մասից համապատասխանության գնահատման փաստաթղթի մասին տեղեկություններ ստանալու անհրաժեշտության դեպքում |
6. Սերտիֆիկատների և հայտարարագրերի միասնական ռեեստրից տեղեկությունների ստացման ընթացակարգերի խումբը
21. Սերտիֆիկատների և հայտարարագրերի միասնական ռեեստրից տեղեկությունների ստացման ընթացակարգերը կատարվում են անդամ պետության շահագրգիռ մարմնի տեղեկատվական համակարգից համապատասխան հարցում ստացվելու դեպքում:
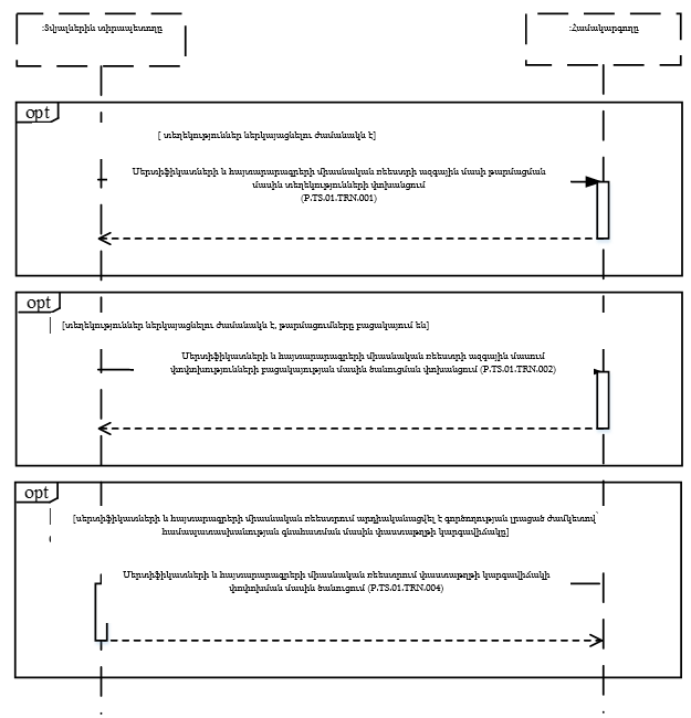
Սերտիֆիկատների և հայտարարագրերի միասնական ռեեստրից տեղեկություններ ստանալու ընթացակարգերի կատարման շրջանակներում մշակվում են հարցումների հետևյալ տեսակները.
սերտիֆիկատների և հայտարարագրերի միասնական ռեեստրի թարմացման ամսաթվի և ժամի մասին տեղեկությունների հարցում․
սերտիֆիկատների և հայտարարագրերի միասնական ռեեստրից տեղեկությունների հարցում.
սերտիֆիկատների և հայտարարագրերի միասնական ռեեստրից փոփոխված տեղեկությունների հարցում։
Սերտիֆիկատների և հայտարարագրերի միասնական ռեեստրի թարմացման ամսաթվի և ժամի մասին տեղեկությունների հարցումը կատարվում է անդամ պետության շահագրգիռ մարմնի կողմից՝ համապատասխանության գնահատման վերաբերյալ փաստաթղթերի մասին իր տեղեկատվական համակարգում առկա տեղեկությունները սերտիֆիկատների և հայտարարագրերի միասնական ռեեստրում պարունակվող և Հանձնաժողովում պահվող տեղեկությունների հետ սինքրոնացնելու անհրաժեշտության գնահատման նպատակով: Հարցում իրականացնելու դեպքում կատարվում է «Սերտիֆիկատների և հայտարարագրերի միասնական ռեեստրի թարմացման ամսաթվի և ժամի մասին տեղեկությունների ստացում» (P.TS.01.PRC.004) ընթացակարգը:
Սերտիֆիկատների և հայտարարագրերի միասնական ռեեստրից տեղեկությունների հարցում կատարվում է անդամ պետության շահագրգիռ մարմնի կողմից սերտիֆիկատների և հայտարարագրերի միասնական ռեեստրում համապատասխանության գնահատման վերաբերյալ պարունակվող փաստաթղթերի մասին որոշակի ամսաթվի դրությամբ արդիական տեղեկություններ (այսուհետ՝ արդիական տեղեկություններ) ստանալու նպատակով։ Սերտիֆիկատների և հայտարարագրերի միասնական ռեեստրից արդիական տեղեկությունների հարցում կարող է կատարվել ինչպես ընթացիկ ամսաթվի, այնպես էլ հարցման մեջ նշված ամսաթվի դրությամբ:
Ելնելով հարցման պայմաններից՝ սերտիֆիկատների և հայտարարագրերի միասնական ռեեստրից արդիական տեղեկությունները ներկայացվում են համապատասխանության գնահատման վերաբերյալ այն կոնկրետ փաստաթղթի վերաբերյալ, որի գրանցման համարը նշված է հարցման մեջ, կամ համապատասխանության գնահատման վերաբերյալ այն փաստաթղթերի խմբի վերաբերյալ, որոնք բավարարում են հետևյալ մեկ կամ ավելի պայմանները.
համապատասխանության գնահատման վերաբերյալ փաստաթղթի գործողության կարգավիճակը համապատասխանում է հարցման մեջ նշված գործողության կարգավիճակին․
համապատասխանության գնահատման վերաբերյալ փաստաթղթի գործողության ժամկետի սկզբի ամսաթիվը գտնվում է հարցման մեջ նշված ամսաթվերի ընդգրկույթում․
այն երկրի ծածկագիրը, որի սերտիֆիկատների և հայտարարագրերի միասնական ռեեստրի ազգային մասում ներառվել է հարցման մեջ նշված համապատասխանության գնահատման վերաբերյալ փաստաթուղթը, համընկնում է հարցման մեջ նշված երկրի ծածկագրի հետ․
համապատասխանության գնահատման վերաբերյալ փաստաթղթի տեսակը համապատասխանում է հարցման մեջ նշված՝ համապատասխանության գնահատման վերաբերյալ փաստաթղթի տեսակի ծածկագրին․
Միության տեխնիկական կանոնակարգի նշագիրը համընկնում է հարցման մեջ նշված՝ Միության տեխնիկական կանոնակարգի նշագրի հետ։
Հարցում իրականացնելիս կատարվում է «Սերտիֆիկատների և հայտարարագրերի միասնական ռեեստրից տեղեկությունների ստացում» (P.TS.01.PRC.005) ընթացակարգը:
Սերտիֆիկատների և հայտարարագրերի միասնական ռեեստրից փոփոխված տեղեկությունների հարցում կատարվում է համապատասխանության գնահատման վերաբերյալ փաստաթղթերի մասին փոփոխված տեղեկություններն անդամ պետության շահագրգիռ մարմնի կողմից ստացվելու նպատակով։
Սերտիֆիկատների և հայտարարագրերի միասնական ռեեստրից փոփոխված տեղեկությունների հարցման դեպքում ներկայացվում են միասնական ռեեստրում ավելացված արդիական տեղեկությունները, ինչպես նաև արդիական տեղեկությունները, որոնցում կատարվել են փոփոխություններ հարցման մեջ նշված ժամանակահատվածում կամ սկսած հարցման մեջ նշված պահից մինչև այդ հարցման կատարման պահը: Ելնելով հարցման պայմաններից՝ միասնական ռեեստրից փոփոխված տեղեկությունները ներկայացվում են կոնկրետ անդամ պետության վերաբերյալ, համապատասխանության գնահատման վերաբերյալ փաստաթղթի տեսակի և (կամ) Միության տեխնիկական կանոնակարգի նշագրի վերաբերյալ։
Հարցում իրականացվելու դեպքում կատարվում է «Սերտիֆիկատների և հայտարարագրերի միասնական ռեեստրից փոփոխված տեղեկությունների ստացում» (P.TS.01.PRC.006) ընթացակարգը։
Նշված ընթացակարգերը կարող են կատարվել հաջորդաբար («Սերտիֆիկատների և հայտարարագրերի միասնական ռեեստրի թարմացման ամսաթվի և ժամի մասին տեղեկությունների ստացում» (P.TS.02.PRC.004) ընթացակարգ, այնուհետև «Սերտիֆիկատների և հայտարարագրերի միասնական ռեեստրից փոփոխված տեղեկությունների ստացում» (P.TS.02.PRC.006) ընթացակարգ), կամ յուրաքանչյուր ընթացակարգը կարող է կատարվել մյուսներից առանձին՝ կախված հարցումն իրականացնելու նպատակներից։
22. Սերտիֆիկատների և հայտարարագրերի միասնական ռեեստրից տեղեկությունների ստացման ընթացակարգերի խմբի բերված նկարագրությունը ներկայացված է 4-րդ նկարում։
Նկար 4. Սերտիֆիկատների և հայտարարագրերի միասնական ռեեստրից տեղեկությունների ստացման ընթացակարգերի խմբի ընդհանուր սխեման
23. Սերտիֆիկատների և հայտարարագրերի միասնական ռեեստրից տեղեկությունների ստացման ընթացակարգերի խմբում ներառված ընդհանուր գործընթացի ընթացակարգերի ցանկը բերված է 4-րդ աղյուսակում։
Աղյուսակ 4
Սերտիֆիկատների և հայտարարագրերի միասնական ռեեստրից տեղեկությունների ստացման ընթացակարգերի խմբում ներառված ընդհանուր գործընթացի ընթացակարգերի ցանկը
|
Ծածկագրային նշագիրը |
Անվանումը |
Նկարագրությունը |
|
1 |
2 |
3 |
|
P.TS.01.PRC.004 |
սերտիֆիկատների և հայտարարագրերի միասնական ռեեստրի թարմացման ամսաթվի և ժամի մասին տեղեկությունների ստացումը |
ընթացակարգը նախատեսված է անդամ պետությունների շահագրգիռ մարմինների տեղեկատվական համակարգերից ստացված հարցումների հիման վրա սերտիֆիկատների և հայտարարագրերի միասնական ռեեստրի թարմացման ամսաթվի և ժամի մասին տեղեկությունները Հանձնաժողովի կողմից ներկայացնելու համար |
|
P.TS.01.PRC.005 |
սերտիֆիկատների և հայտարարագրերի միասնական ռեեստրից տեղեկությունների ստացումը |
ընթացակարգը նախատեսված է անդամ պետությունների շահագրգիռ մարմինների տեղեկատվական համակարգերից ստացված հարցումների հիման վրա սերտիֆիկատների և հայտարարագրերի միասնական ռեեստրից արդիական տեղեկությունները Հանձնաժողովի կողմից ներկայացնելու համար |
|
P.TS.01.PRC.006 |
սերտիֆիկատների և հայտարարագրերի միասնական ռեեստրից փոփոխված տեղեկությունների հարցումը |
ընթացակարգը նախատեսված է անդամ պետությունների շահագրգիռ մարմինների տեղեկատվական համակարգերից ստացված հարցումների հիման վրա սերտիֆիկատների և հայտարարագրերի միասնական ռեեստրից փոփոխված տեղեկությունները Հանձնաժողովի կողմից ներկայացնելու համարր |
V. Ընդհանուր գործընթացի տեղեկատվական օբյեկտները
24. Տեղեկատվական այն օբյեկտների ցանկը, որոնց մասին կամ որոնցից տեղեկությունները փոխանցվում են ընդհանուր գործընթացի մասնակիցների միջև տեղեկատվական փոխգործակցության ընթացքում, բերված է 5-րդ աղյուսակում։
Աղյուսակ 5
Տեղեկատվական օբյեկտների ցանկը
|
Ծածկագրային նշագիրը |
Անվանումը |
Նկարագրությունը |
|
1 |
2 |
3 |
|
P.TS.01.BEN.001 |
սերտիֆիկատների և հայտարարագրերի միասնական ռեեստր |
սերտիֆիկատների և հայտարարագրերի միասնական ռեեստրի ազգային մասում առկա տրամադրված կամ ընդունված համապատասխանության գնահատման վերաբերյալ փաստաթղթերի մասին տեղեկություններ |
VI. Ընդհանուր գործընթացի մասնակիցների պատասխանատվությունը
25. Հանձնաժողովի՝ տեղեկատվական փոխգործակցությանը մասնակցող պաշտոնատար անձինք և աշխատակիցները տեղեկությունների ամբողջական ու ժամանակին փոխանցումն ապահովելուն ուղղված պահանջները չկատարելու համար կարգապահական պատասխանատվության են ենթարկվում «Եվրասիական տնտեսական միության մասին» 2014 թվականի մայիսի 29-ի պայմանագրին, Միության իրավունքի մաս կազմող այլ միջազգային պայմանագրերի և ակտերի համապատասխան, իսկ անդամ պետությունների լիազորված մարմինների պաշտոնատար անձինք և աշխատակիցները՝ անդամ պետությունների օրենսդրությանը համապատասխան։
VII. Ընդհանուր գործընթացի տեղեկագրքերն ու դասակարգիչները
26. Ընդհանուր գործընթացի տեղեկատուների և դասակարգիչների ցանկը բերված է 6-րդ աղյուսակում:
Աղյուսակ 6
Ընդհանուր գործընթացի տեղեկագրքերի և դասակարգիչների ցանկը
|
Ծածկագրային նշագիրը |
Անվանումը |
Տիպը |
Նկարագրությունը |
|
1 |
2 |
3 |
4 |
|
P.CLS.001 |
աշխարհի երկրների դասակարգիչ |
դասակարգիչ |
պարունակում է երկրների անվանումների ցանկը և դրանց համապատասխանող ծածկագրերը (կիրառվում է Մաքսային միության հանձնաժողովի 2010 թվականի սեպտեմբերի 20-ի թիվ 378 որոշմանը համապատասխան) |
|
P.CLS.003 |
Եվրասիական տնտեսական միության արտաքին տնտեսական գործունեության միասնական ապրանքային անվանացանկ (ԵԱՏՄ ԱՏԳ ԱԱ) |
դասակարգիչ |
պարունակում է Համաշխարհային մաքսային կազմակերպության ապրանքների նկարագրման և ծածկագրման ներդաշնակեցված համակարգի և Անկախ Պետությունների Համագործակցության արտաքին տնտեսական գործունեության միասնական ապրանքային անվանացանկի վրա հիմնված՝ ապրանքների ծածկագրերի և անվանումների ցանկը |
|
P.CLS.008 |
կապի միջոցների (ուղիների) տեսակների ցանկը |
տեղեկագիրք |
պարունակում է կապի միջոցների (ուղիների) տեսակների ծածկագրերի ու անվանումների ցանկը (կիրառվում է Հանձնաժողովի կոլեգիայի 2022 թվականի դեկտեմբերի 6-ի թիվ 192 որոշմանը համապատասխան) |
|
P.CLS.024 |
լեզուների դասակարգիչ |
դասակարգիչ |
պարունակում է լեզուների անվանումների ցանկը և դրանց ծածկագրերը՝ ISO 639-1 ստանդարտին համապատասխան (կիրառվում է Հանձնաժողովի կոլեգիայի 2019 թվականի սեպտեմբերի 10-ի թիվ 152 որոշմանը համապատասխան) |
|
P.CLS.026 |
Եվրասիական տնտեսական միության մարմինների, Եվրասիական տնտեսական միության անդամ պետությունների պետական իշխանության ու կառավարման մարմինների, ինչպես նաև դրանց կողմից լիազորված կազմակերպությունների տեղեկագիրք |
տեղեկագիրք |
պարունակում է Միության մարմինների, անդամ պետությունների պետական իշխանության ու կառավարման մարմինների, ինչպես նաև դրանց կողմից լիազորված կազմակերպությունների անվանումների ցանկը և դրանց համապատասխանող ծածկագրերը |
|
P.CLS.048 |
հասցեի տեսակների ցանկը |
տեղեկագիրք |
պարունակում է հասցեի տեսակների ծածկագրերի և անվանումների ցանկը |
|
P.CLS.056 |
Եվրասիական տնտեսական միության տեխնիկական կանոնակարգերի (Մաքսային միության տեխնիկական կանոնակարգերի) ցանկը |
տեղեկագիրք |
պարունակում է Միության տեխնիկական կանոնակարգերի (Մաքսային միության տեխնիկական կանոնակարգերի) ծածկագրերի, նշագրերի, անվանումների, ինչպես նաև Միության տեխնիկական կանոնակարգերով (Մաքսային միության տեխնիկական կանոնակարգերով) սահմանված համապատասխանության գնահատման ձևերի և սխեմաների ծածկագրերի ցանկը (կիրառվում է Հանձնաժողովի կոլեգիայի 2019 թվականի ապրիլի 2-ի թիվ 52 որոշմանը համապատասխան) |
|
P.CLS.057 |
համապատասխանության գնահատման վերաբերյալ փաստաթղթերի տեսակների դասակարգիչ |
դասակարգիչ |
պարունակում է համապատասխանության գնահատման վերաբերյալ փաստաթղթերի տեսակների ծածկագրերի և անվանումների ցանկը (հաստատված է Հանձնաժողովի կոլեգիայի 2016 թվականի սեպտեմբերի 27-ի թիվ 108 որոշմամբ) |
|
P.CLS.059 |
տեխնիկական կանոնակարգման օբյեկտների տեսակների դասակարգիչ |
դասակարգիչ |
պարունակում է տեխնիկական կանոնակարգման օբյեկտների ծածկագրերի և անվանումների ցանկը |
|
P.CLS.068 |
Եվրասիական տնտեսական միության անդամ պետություններում պետական գրանցման ժամանակ տնտեսավարող սուբյեկտների նույնականացման մեթոդների տեղեկագիրք |
տեղեկագիրք |
պարունակում է տնտեսավարող սուբյեկտների նույնականացուցիչների և դրանց պետական գրանցման ժամանակ կիրառվող նույնականացման մեթոդների անվանումների ցանկը (կիրառվում է Հանձնաժողովի կոլեգիայի 2020 թվականի մարտի 10-ի թիվ 34 որոշմանը համապատասխան) |
|
P.CLS.099 |
Եվրասիական տնտեսական միության չափման և հաշվի միավորների դասակարգիչ |
դասակարգիչ |
պարունակում է ծածկագրերի, այդ թվում՝ միջազգային և տարածաշրջանային ստանդարտներին համապատասխան՝ անվանումների, չափման և հաշվի միավորների պայմանական նշագրերի ցանկը (կիրառվում է Հանձնաժողովի կոլեգիայի 2020 թվականի հոկտեմբերի 27-ի թիվ 145 որոշմանը համապատասխան) |
|
P.TS.01.CLS.002 |
միջազգային և տարածաշրջանային (միջպետական) ստանդարտների, իսկ դրանց բացակայության դեպքում՝ ազգային (պետական) ստանդարտների ցանկը, որոնց կամավոր հիմունքով կիրառման արդյունքում ապահովվում է Եվրասիական տնտեսական միության տեխնիկական կանոնակարգերի պահանջների պահպանումը |
տեղեկագիրք |
պարունակում է այն միջազգային ու տարածաշրջանային (միջպետական) ստանդարտների, իսկ դրանց բացակայության դեպքում՝ ազգային (պետական) ստանդարտների ցանկը, որոնց կամավոր հիմունքներով կիրառման արդյունքում ապահովվում է Միության տեխնիկական կանոնակարգերի պահանջների պահպանումը |
VIII. Ընդհանուր գործընթացի ընթացակարգերը
1. Սերտիֆիկատների և հայտարարագրերի միասնական ռեեստրի ձևավորման և վարման ընթացակարգերը
«Սերտիֆիկատների և հայտարարագրերի միասնական ռեեստրի ազգային մասի թարմացման մասին տեղեկությունների ներկայացում» (P.TS.01.PRC.001) ընթացակարգ
27. «Սերտիֆիկատների և հայտարարագրերի միասնական ռեեստրի ազգային մասի թարմացման մասին տեղեկությունների ներկայացում» (P.TS.01.PRC.001) ընթացակարգի կատարման սխեման ներկայացված է 5-րդ նկարում:
Նկար 5. «Սերտիֆիկատների և հայտարարագրերի միասնական ռեեստրի ազգային մասի թարմացման մասին տեղեկությունների ներկայացում» (P.TS.01.PRC.001) ընթացակարգի կատարման սխեման
28. «Սերտիֆիկատների և հայտարարագրերի միասնական ռեեստրի ազգային մասի թարմացման մասին տեղեկությունների ներկայացում» (P.TS.01.PRC.001) ընթացակարգը կատարվում է սերտիֆիկատների և հայտարարագրերի միասնական ռեեստրի ազգային մասի թարմացման մասին նախորդ տեղեկությունները ներկայացնելու պահից յուրաքանչյուր 15 րոպեն մեկ:
29. Առաջին հերթին կատարվում է «Սերտիֆիկատների և հայտարարագրերի միասնական ռեեստրի ազգային մասի թարմացման մասին տեղեկությունների ներկայացում» (P.TS.01.OPR.001) գործառնությունը, որի կատարման արդյունքներով անդամ պետության լիազորված մարմինը Հանձնաժողով է ուղարկում սերտիֆիկատների և հայտարարագրերի միասնական ռեեստրի ազգային մասի թարմացման մասին տեղեկությունների վերջին ներկայացման պահից հետո համապատասխանության գնահատման վերաբերյալ ավելացված և փոփոխված փաստաթղթերի մասին տեղեկությունները (այսուհետ՝ սերտիֆիկատների և հայտարարագրերի միասնական ռեեստրի ազգային մասի թարմացման մասին տեղեկություններ): Միասնական ռեեստրի ազգային մասում սերտիֆիկատների և հայտարարագրերի միասնական ռեեստրի ազգային մասի թարմացման մասին վերջին տեղեկությունների ներկայացման պահից հետո փոփոխությունների բացակայության դեպքում անդամ պետության լիազորված մարմինը Հանձնաժողով է ուղարկում ծանուցում փոփոխությունների բացակայության մասին:
30. Հանձնաժողովում սերտիֆիկատների և հայտարարագրերի միասնական ռեեստրի ազգային մասի թարմացման մասին տեղեկություններ կամ փոփոխությունների բացակայության մասին ծանուցում ստացվելու դեպքում կատարվում է «Սերտիֆիկատների և հայտարարագրերի միասնական ռեեստրի ազգային մասի թարմացման մասին տեղեկությունների ընդունում և մշակում» (P.TS.01․ОPR.002) գործառնությունը, որի կատարման արդյունքներով Հանձնաժողովը ստանում է նշված տեղեկությունները կամ փոփոխությունների բացակայության մասին ծանուցումը, կատարում է դրանց մշակումը և անդամ պետության լիազորման մարմին է ուղարկում ներկայացված տեղեկությունների մշակման արդյունքների մասին ծանուցում կամ փոփոխությունների բացակայության մասին ծանուցում:
31. Անդամ պետության լիազորված մարմնի կողմից մշակման արդյունքների մասին ծանուցումը ստացվելու դեպքում կատարվում է «Ներկայացված տեղեկությունների մշակման մասին ծանուցման ստացում» (P.TS.01.OPR.003) գործառնությունը, որի կատարման արդյունքներով տեղեկություններն ուղարկող անդամ պետության լիազորված մարմինն իրականացնում է տեղեկությունների մշակման արդյունքների մասին ստացված ծանուցման մշակում:
32. «Սերտիֆիկատների և հայտարարագրերի միասնական ռեեստրի ազգային մասի թարմացման մասին տեղեկությունների ընդունում և մշակում» (P.TS.01․ОPR.002) գործառնությունն իրականացնելու դեպքում կատարվում է «Միության տեղեկատվական պորտալում թարմացված տեղեկությունների հրապարակում» (P.TS.01.OPR.004) գործառնությունը, որի կատարման արդյունքներով Հանձնաժողովն ապահովում է սերտիֆիկատների և հայտարարագրերի միասնական ռեեստրի ազգային մասի թարմացման մասին տեղեկությունների հրապարակումը Միության տեղեկատվական պորտալում:
33. «Սերտիֆիկատների և հայտարարագրերի միասնական ռեեստրի ազգային մասի թարմացման մասին տեղեկությունների ներկայացում» ընթացակարգի կատարման արդյունքն է սերտիֆիկատների և հայտարարագրերի միասնական ռեեստրի ազգային մասի թարմացման մասին տեղեկությունները Միության տեղեկատվական պորտալում հրապարակելը կամ նշված տեղեկությունների բացակայության մասին ծանուցում ստանալը:
34. «Սերտիֆիկատների և հայտարարագրերի միասնական ռեեստրի ազգային մասի թարմացման մասին տեղեկությունների ներկայացում» (P.TS.01.PRC.001) ընթացակարգի շրջանակներում կատարվող ընդհանուր գործընթացի գործառնությունների ցանկը բերված է 7-րդ աղյուսակ:
Աղյուսակ 7
«Սերտիֆիկատների և հայտարարագրերի միասնական ռեեստրի ազգային մասի թարմացման մասին տեղեկությունների ներկայացում» (P.TS.01.PRC.001) ընթացակարգի շրջանակներում կատարվող ընդհանուր գործընթացի գործառնությունների ցանկը
|
Ծածկագրային նշագիրը |
Անվանումը |
Նկարագրությունը |
|
1 |
2 |
3 |
|
P.TS.01.OPR.001 |
սերտիֆիկատների և հայտարարագրերի միասնական ռեեստրի ազգային մասի թարմացման մասին տեղեկությունների ներկայացում |
բերված է սույն կանոնների 8-րդ աղյուսակում |
|
P.TS.01.OPR.002 |
սերտիֆիկատների և հայտարարագրերի միասնական ռեեստրի ազգային մասի թարմացման մասին տեղեկությունների ընդունում և մշակում |
բերված է սույն կանոնների 9-րդ աղյուսակում |
|
P.TS.01.OPR.003 |
ներկայացված տեղեկությունների մշակման մասին ծանուցման ստացում |
բերված է սույն կանոնների 10-րդ աղյուսակում |
|
P.TS.01.OPR.004 |
Միության տեղեկատվական պորտալում թարմացված տեղեկությունների հրապարակում |
բերված է սույն կանոնների 11-րդ աղյուսակում |
Աղյուսակ 8
«Սերտիֆիկատների և հայտարարագրերի միասնական ռեեստրի ազգային մասի թարմացման մասին տեղեկությունների ներկայացում» (P.TS.01.OPR.001) գործառնության նկարագրությունը
|
Համարը՝ ը/կ |
Տարրի նշագիրը |
Նկարագրությունը |
|
1 |
2 |
3 |
|
1 |
Ծածկագրային նշագիրը |
P.TS.01.OPR.001 |
|
2 |
Գործառնության անվանումը |
սերտիֆիկատների և հայտարարագրերի միասնական ռեեստրի ազգային մասի թարմացման մասին տեղեկությունների ներկայացում |
|
3 |
Կատարողը |
անդամ պետության լիազորված մարմին |
|
4 |
Կատարման պայմանները |
կատարվում է սերտիֆիկատների և հայտարարագրերի միասնական ռեեստրի ազգային մասի թարմացման մասին վերջին տեղեկությունները ներկայացնելու պահից յուրաքանչյուր 15 րոպեն մեկ |
|
5 |
Սահմանափակումները |
ներկայացվող տեղեկությունների ձևաչափն ու կառուցվածքը պետք է համապատասխանեն Էլեկտրոնային փաստաթղթերի և տեղեկությունների ձևաչափերի ու կառուցվածքների նկարագրությանը |
|
6 |
Գործառնության նկարագրությունը |
կատարողը սերտիֆիկատների և հայտարարագրերի միասնական ռեեստրի ազգային մասի թարմացման մասին տեղեկություններն ուղարկում է Հանձնաժողով՝ Անդամ պետությունների լիազորված մարմինների և Հանձնաժողովի միջև տեղեկատվական փոխգործակցության կանոնակարգին համապատասխան, Միության տեղեկատվական պորտալում հրապարակելու համար: Սերտիֆիկատների և հայտարարագրերի միասնական ռեեստրի ազգային մասում ավելացված փաստաթղթերի մասին տեղեկությունները փոխանցելիս դրանց թարմացման ամսաթիվը և ժամը չեն լրացվում: Սերտիֆիկատների և հայտարարագրերի միասնական ռեեստրի ազգային մասում փոփոխված փաստաթղթերի մասին տեղեկությունների փոխանցման ժամանակ դրանց թարմացման ամսաթիվը և ժամը պարտադիր լրացվում են: Ավելացված կամ փոփոխված փաստաթղթերի բացակայության դեպքում կատարողը ներկայացնում է ծանուցում՝ փոփոխությունների բացակայության մասին: |
|
7 |
Արդյունքները |
Սերտիֆիկատների և հայտարարագրերի միասնական ռեեստրի ազգային մասում փոփոխված փաստաթղթերի մասին տեղեկությունները կամ փոփոխությունների բացակայության մասին ծանուցումը ներկայացվել են Հանձնաժողով |
Աղյուսակ 9
«Սերտիֆիկատների և հայտարարագրերի միասնական ռեեստրի ազգային մասի թարմացման մասին տեղեկությունների ընդունում և մշակում» (P.TS.01.ОPR.002) գործառնության նկարագրությունը
|
Համարը՝ ը/կ |
Տարրի նշագիրը |
Նկարագրությունը |
|
1 |
2 |
3 |
|
1 |
Ծածկագրային նշագիրը |
P.TS.01.OPR.002 |
|
2 |
Գործառնության անվանումը |
սերտիֆիկատների և հայտարարագրերի միասնական ռեեստրի ազգային մասի թարմացման մասին տեղեկությունների ընդունում և մշակում |
|
3 |
Կատարողը |
Հանձնաժողով |
|
4 |
Կատարման պայմանները |
կատարվում է սերտիֆիկատների և հայտարարագրերի միասնական ռեեստրի ազգային մասի թարմացման մասին տեղեկություններ ստացվելու դեպքում («Սերտիֆիկատների և հայտարարագրերի միասնական ռեեստրի ազգային մասի թարմացման մասին տեղեկությունների ներկայացում» (P.TS.01.ОPR.001) գործառնություն) |
|
5 |
Սահմանափակումները |
ներկայացվող տեղեկությունների ձևաչափն ու կառուցվածքը պետք է համապատասխանեն Էլեկտրոնային փաստաթղթերի և տեղեկությունների ձևաչափերի ու կառուցվածքների նկարագրությանը։ Պահանջվում է ավտորիզացում, տեղեկությունները ներկայացվում են միայն անդամ պետությունների լիազորված մարմինների կողմից։ Էլեկտրոնային փաստաթղթի (տեղեկությունների) վավերապայմանները պետք է համապատասխանեն անդամ պետությունների լիազորված մարմինների և Հանձնաժողովի միջև տեղեկատվական փոխգործակցության կանոնակարգի IX բաժնով նախատեսված պահանջներին |
|
6 |
Գործառնության նկարագրությունը |
կատարողն ընդունում է տեղեկությունները և ստուգում դրանք «Անդամ պետությունների լիազորված մարմինների և Հանձնաժողովի միջև տեղեկատվական փոխգործակցության մասին» կանոնակարգին համապատասխան: Ստուգումը հաջողությամբ իրականացնելու դեպքում կատարողը՝ սերտիֆիկատների և հայտարարագրերի միասնական ռեեստրի ազգային մասում ավելացված փաստաթղթերի մասին տեղեկություններ ստացվելու դեպքում իրականացնում է դրանց ներառումը տեղեկություններում՝ Միության տեղեկատվական պորտալում հրապարակման համար, լրացնում է ներառված տեղեկությունների թարմացման ամսաթիվը և ժամը. սերտիֆիկատների և հայտարարագրերի միասնական ռեեստրի ազգային մասում փոփոխված փաստաթղթերի մասին տեղեկություններ ստացվելու դեպքում իրականացնում է դրանց ներառումը տեղեկություններում՝ Միության տեղեկատվական պորտալում հրապարակման համար, լրացնում է փոփոխված տեղեկությունների թարմացման ամսաթիվը և ժամը, ինչպես նաև լրացնում է Միության տեղեկատվական պորտալում փոփոխվող տեղեկությունների վերջնական ամսաթիվը և գործողության ժամանակահատվածը՝ ստացված փոփոխված տեղեկությունների մեկնարկային ամսաթվի և գործողության ժամանակահատվածի արժեքով. ձևավորում է հղում Միության համապատասխանության գնահատման մարմինների (այդ թվում՝ սերտիֆիկացման մարմինների, փորձարկման լաբորատորիաների (կենտրոնների)) միասնական ռեեստրում պարունակվող տեղեկություններին․ անդամ պետության լիազորված մարմնին ծանուցում է տեղեկությունների մշակման արդյունքների մասին՝ նշելով տեղեկությունների ավելացմանը կամ տեղեկությունների փոփոխմանը կամ տեղեկությունների բացակայությանը համապատասխանող տեղեկությունների մշակման արդյունքի դասակարգիչը՝ «Անդամ պետությունների լիազորված մարմինների և Հանձնաժողովի միջև տեղեկատվական փոխգործակցության մասին» կանոնակարգին համապատասխան |
|
7 |
Արդյունքները |
սերտիֆիկատների և հայտարարագրերի միասնական ռեեստրի ազգային մասի թարմացման մասին տեղեկությունները մշակվել են, անդամ պետության լիազորված մարմնին ուղարկվել է ծանուցում՝ ներկայացված տեղեկությունների մշակման մասին |
Աղյուսակ 10
«Ներկայացված տեղեկությունների մշակման մասին ծանուցման ստացում» (P.TS.01.OPR.003) գործառնության նկարագրություն
|
Համարը՝ ը/կ |
Տարրի նշագիրը |
Նկարագրությունը |
|
1 |
2 |
3 |
|
1 |
Ծածկագրային նշագիրը |
P.TS.01.OPR.003 |
|
2 |
Գործառնության անվանումը |
ներկայացված տեղեկությունների մշակման մասին ծանուցման ստացում |
|
3 |
Կատարողը |
անդամ պետության լիազորված մարմին |
|
4 |
Կատարման պայմանները |
կատարվում է սերտիֆիկատների և հայտարարագրերի միասնական ռեեստրի ազգային մասի թարմացման մասին տեղեկությունների մշակման արդյունքների մասին ծանուցումը կատարողի կողմից ստացվելու ժամանակ («Սերտիֆիկատների և հայտարարագրերի միասնական ռեեստրի ազգային մասի թարմացման մասին տեղեկությունների ընդունում և մշակում» (P.TS.01.0PR.002) գործառնություն) |
|
5 |
Սահմանափակումները |
ներկայացվող տեղեկությունների ձևաչափն ու կառուցվածքը պետք է համապատասխանեն Էլեկտրոնային փաստաթղթերի և տեղեկությունների ձևաչափերի ու կառուցվածքների նկարագրությանը |
|
6 |
Գործառնության նկարագրությունը |
կատարողն ընդունում է ներկայացված տեղեկությունների մշակման մասին ծանուցում |
|
7 |
Արդյունքները |
սերտիֆիկատների և հայտարարագրերի միասնական ռեեստրի ազգային մասում թարմացված տեղեկությունների մշակման արդյունքների մասին ծանուցում |
Աղյուսակ 11
«Միության տեղեկատվական պորտալում թարմացված տեղեկությունների հրապարակում» (P.TS.01.OPR.004) գործառնության նկարագրությունը
|
Համարը՝ ը/կ |
Տարրի նշագիրը |
Նկարագրությունը |
|
1 |
2 |
3 |
|
1 |
Ծածկագրային նշագիրը |
P.TS.01.OPR.004 |
|
2 |
Գործառնության անվանումը |
Միության տեղեկատվական պորտալում թարմացված տեղեկությունների հրապարակում |
|
3 |
Կատարողը |
Հանձնաժողով |
|
4 |
Կատարման պայմանները |
կատարվում է սերտիֆիկատների և հայտարարագրերի միասնական ռեեստրի ազգային մասի թարմացման մասին տեղեկություններն ընդունելուց և մշակելուց հետո («Սերտիֆիկատների և հայտարարագրերի միասնական ռեեստրի ազգային մասի թարմացման մասին տեղեկությունների ընդունում և մշակում» (P.TS.01.OPR.002) գործառնություն) |
|
5 |
Սահմանափակումները |
Միության տեղեկատվական պորտալում հրապարակման ենթակա են միայն այն տեղեկությունները, որոնց գործողության ժամանակահատվածի ավարտի ամսաթիվը և ժամը լրացված չեն |
|
6 |
Գործառնության նկարագրությունը |
կատարողն ապահովում է Միության տեղեկատվական պորտալում տեղեկությունների հրապարակումը |
|
7 |
Արդյունքները |
թարմացված տեղեկությունները հրապարակվել են Միության տեղեկատվական պորտալում |
«Սերտիֆիկատների և հայտարարագրերի միասնական ռեեստրում գործողության լրացած ժամկետով փաստաթղթերի կարգավիճակների արդիականացում» (P.TS.01.PRC.003) ընթացակարգը
35. «Սերտիֆիկատների և հայտարարագրերի միասնական ռեեստրում գործողության լրացած ժամկետով փաստաթղթերի կարգավիճակների արդիականացում» (P.TS.01.PRC.003) ընթացակարգի կատարման սխեման ներկայացված է 6-րդ նկարում
Նկար 6. «Սերտիֆիկատների և հայտարարագրերի միասնական ռեեստրում գործողության լրացած ժամկետով փաստաթղթերի կարգավիճակների արդիականացում» (P.TS.01.PRC.003) ընթացակարգի կատարման սխեման
36. «Սերտիֆիկատների և հայտարարագրերի միասնական ռեեստրում գործողության լրացած ժամկետով փաստաթղթերի կարգավիճակների արդիականացում» (P.TS.01.PRC.003) ընթացակարգը կատարվում է ամեն օր՝ օրական 1 անգամ, սերտիֆիկատների և հայտարարագրերի միասնական ռեեստրի տեղեկությունների արդիականության ապահովման նպատակով։
37. Առաջինը կատարվում է «Սերտիֆիկատների և հայտարարագրերի միասնական ռեեստրում գործողության լրացած ժամկետով փաստաթղթերի կարգավիճակների փոփոխում» (P.TS.01.OPR.008) գործառնությունը, որի կատարման արդյունքներով Հանձնաժողովն իրականացնում է «գործում է» կարգավիճակով և գործողության լրացած ժամկետով սերտիֆիկատների և հայտարարագրերի միասնական ռեեստրում պարունակվող համապատասխանության գնահատման վերաբերյալ փաստաթղթերի գործողության կարգավիճակների հարկադիր փոփոխումը «արխիվային» կարգավիճակով։
Եթե «գործում է» կարգավիճակով և գործողության լրացած ժամկետով համապատասխանության գնահատման վերաբերյալ փաստաթղթերը բացակայում են սերտիֆիկատների և հայտարարագրերի միասնական ռեեստրում, ապա սույն կանոնակարգի 38-41-րդ կետերում նշված դրույթները չեն կիրառվում։ Այս դեպքում «Սերտիֆիկատների և հայտարարագրերի միասնական ռեեստրում գործողության լրացած ժամկետով փաստաթղթերի կարգավիճակների արդիականացում» (P.TS.01.PRC.003) ընթացակարգի կատարման արդյունքն է սերտիֆիկատների և հայտարարագրերի միասնական ռեեստրում համապատասխանության գնահատման վերաբերյալ փաստաթղթերի կարգավիճակներն արդիականացված վիճակում գտնվելու փաստի հաստատումը։
38. Համապատասխանության գնահատման վերաբերյալ յուրաքանչյուր փաստաթղթի համար, որի գործողության կարգավիճակը հարկադրաբար փոփոխվել է սերտիֆիկատների և հայտարարագրերի միասնական ռեեստրում, կատարվում է «Սերտիֆիկատների և հայտարարագրերի միասնական ռեեստրում փաստաթղթի կարգավիճակի փոփոխման մասին տեղեկությունների ուղարկում» (P.TS.01.OPR.009) գործառնությունը, որի կատարման արդյունքներով Հանձնաժողովը սերտիֆիկատների և հայտարարագրերի միասնական ռեեստրում փաստաթղթի գործողության կարգավիճակի փոփոխման մասին տեղեկություններն ուղարկում է համապատասխան փաստաթղթի մասին սերտիֆիկատների և հայտարարագրերի միասնական ռեեստրում տեղեկություններ ներկայացրած անդամ պետության լիազորված մարմին։
39. Սերտիֆիկատների և հայտարարագրերի միասնական ռեեստրում համապատասխանության գնահատման վերաբերյալ փաստաթղթի կարգավիճակի փոփոխման մասին տեղեկություններն անդամ պետության լիազորված մարմնի կողմից ստացվելու դեպքում կատարվում է «Սերտիֆիկատների և հայտարարագրերի միասնական ռեեստրում փաստաթղթի կարգավիճակի փոփոխման մասին տեղեկությունների ընդունում» (P.TS.01.OPR.010) գործառնությունը, որի կատարման արդյունքներով անդամ պետության լիազորված մարմինը ստանում է նշված տեղեկությունները։
40. «Սերտիֆիկատների և հայտարարագրերի միասնական ռեեստրում գործողության լրացած ժամկետով փաստաթղթերի կարգավիճակների արդիականացում» (P.TS.01.PRC.003) ընթացակարգի կատարման արդյունքն են սերտիֆիկատների և հայտարարագրերի միասնական ռեեստրում համապատասխանության գնահատման վերաբերյալ փաստաթղթերի կարգավիճակների արդիականացումը և համապատասխան կարգավիճակների փոփոխման մասին անդամ պետությունների լիազորված մարմինների ծանուցումը։
41. «Սերտիֆիկատների և հայտարարագրերի միասնական ռեեստրում գործողության լրացած ժամկետով փաստաթղթերի կարգավիճակների արդիականացում» (P.TS.01.PRC.003) ընթացակարգի շրջանակներում կատարվող՝ ընդհանուր գործընթացի գործառնությունների ցանկը բերված է 12-րդ աղյուսակում։
Աղյուսակ 12
«Սերտիֆիկատների և հայտարարագրերի միասնական ռեեստրում գործողության լրացած ժամկետով փաստաթղթերի կարգավիճակների արդիականացում» (P.TS.01.PRC.003) ընթացակարգի շրջանակներում կատարվող՝ ընդհանուր գործընթացի գործառնությունների ցանկը
|
Ծածկագրային նշագիրը |
Անվանումը |
Նկարագրությունը |
|
1 |
2 |
3 |
|
P.TS.01.OPR.008 |
Սերտիֆիկատների և հայտարարագրերի միասնական ռեեստրում գործողության լրացած ժամկետով փաստաթղթերի կարգավիճակների փոփոխում |
բերված է սույն կանոնների 13-րդ աղյուսակում |
|
P.TS.01.OPR.009 |
սերտիֆիկատների և հայտարարագրերի միասնական ռեեստրում փաստաթղթի կարգավիճակի փոփոխման մասին տեղեկությունների ուղարկում |
բերված է սույն կանոնների 14-րդ աղյուսակում |
|
P.TS.01.OPR.010 |
սերտիֆիկատների և հայտարարագրերի միասնական ռեեստրում փաստաթղթի կարգավիճակի փոփոխման մասին տեղեկությունների ընդունում |
բերված է սույն կանոնների 15-րդ աղյուսակում |
Աղյուսակ 13
«Սերտիֆիկատների և հայտարարագրերի միասնական ռեեստրում գործողության լրացած ժամկետով փաստաթղթերի կարգավիճակների փոփոխում» (P.TS.01.OPR.008) գործառնության նկարագրությունը
|
Համարը՝ ը/կ |
Տարրի նշագիրը |
Նկարագրությունը |
|
1 |
2 |
3 |
|
1 |
Ծածկագրային նշագիրը |
P.TS.01.OPR.008 |
|
2 |
Գործառնության անվանումը |
սերտիֆիկատների և հայտարարագրերի միասնական ռեեստրում գործողության լրացած ժամկետով փաստաթղթերի կարգավիճակների փոփոխում |
|
3 |
Կատարողը |
Հանձնաժողով |
|
4 |
Կատարման պայմանները |
կատարվում է ամեն օր՝ օրական 1 անգամ |
|
5 |
Սահմանափակումները |
կատարվում է «գործում է» կարգավիճակով, գործողության լրացած ժամկետով և գրառման գործողության ժամանակահատվածի ավարտի չլրացված ամսաթվով սերտիֆիկատների և հայտարարագրերի միասնական ռեեստրում պարունակվող համապատասխանության գնահատման վերաբերյալ փաստաթղթերի առկայության դեպքում |
|
6 |
Գործառնության նկարագրությունը |
«գործում է» կարգավիճակով, գործողության լրացած ժամկետով և գրառման գործողության ժամանակահատվածի ավարտի չլրացված ամսաթվով (փոփոխվող գրառում) կարգավիճակով յուրաքանչյուր փաստաթղթի համար իրականացվում է փաստաթղթի գործողության կարգավիճակի հարկադիր փոփոխում՝ փոփոխվող գրառման գործողության ժամանակահատվածի ավարտի ամսաթիվը լրացվում է ընթացիկ ամսաթվով և ժամով․ ձևավորվում է նոր (փոփոխված) գրառում, որի բոլոր վավերապայմանները համընկնում են փոփոխվող գրառման վավերապայմանների հետ՝ բացառությամբ գրառման գործողության կարգավիճակի և տեխնոլոգիական բնութագրերի․ փոփոխված գրառման համար գործողության կարգավիճակը սահմանվում է որպես «արխիվային», ինչպես նաև գրառման գործողության ժամանակահատվածի մեկնարկի ամսաթիվը լրացվում է փոփոխվող գրառման գործողության ժամանակահատվածի ավարտի ամսաթվի արժեքով |
|
7 |
Արդյունքները |
սերտիֆիկատների և հայտարարագրերի միասնական ռեեստրում համապատասխանության գնահատման վերաբերյալ փաստաթղթերի գործողության կարգավիճակներն արդիականացվել են |
Աղյուսակ 14
«Սերտիֆիկատների և հայտարարագրերի միասնական ռեեստրում փաստաթղթի կարգավիճակի փոփոխման մասին տեղեկությունների ուղարկում» (P.TS.01.OPR.009) գործառնության նկարագրությունը
|
Համարը՝ ը/կ |
Տարրի նշագիրը |
Նկարագրությունը |
|
1 |
2 |
3 |
|
1 |
Ծածկագրային նշագիրը |
P.TS.01.OPR.009 |
|
2 |
Գործառնության անվանումը |
սերտիֆիկատների և հայտարարագրերի միասնական ռեեստրում փաստաթղթի կարգավիճակի փոփոխման մասին տեղեկությունների ուղարկում |
|
3 |
Կատարողը |
Հանձնաժողով |
|
4 |
Կատարման պայմանները |
կատարվում է սերտիֆիկատների և հայտարարագրերի միասնական ռեեստրում փաստաթղթի կարգավիճակի «արխիվային»-ի հարկադիր փոփոխման դեպքում («Սերտիֆիկատների և հայտարարագրերի միասնական ռեեստրում գործողության լրացած ժամկետով փաստաթղթերի կարգավիճակների փոփոխում» (P.TS.01.OPR.008) գործառնություն) |
|
5 |
Սահմանափակումները |
ներկայացվող տեղեկությունների ձևաչափն ու կառուցվածքը պետք է համապատասխանեն Էլեկտրոնային փաստաթղթերի և տեղեկությունների ձևաչափերի ու կառուցվածքների նկարագրությանը |
|
6 |
Գործառնության նկարագրությունը |
կատարողը սերտիֆիկատների և հայտարարագրերի միասնական ռեեստրում համապատասխանության գնահատման վերաբերյալ փաստաթղթի կարգավիճակի փոփոխման մասին տեղեկություններն ուղարկում է «Սերտիֆիկատների և հայտարարագրերի միասնական ռեեստրի ազգային մասի թարմացման մասին տեղեկությունների ներկայացում» (P.TS.01.PRC.001) ընթացակարգի շրջանակներում սերտիֆիկատների և հայտարարագրերի միասնական ռեեստրում համապատասխանության գնահատման վերաբերյալ համապատասխան փաստաթղթի մասին տեղեկություններ ներկայացրած անդամ պետության լիազորված մարմին՝ Անդամ պետությունների լիազորված մարմինների և Հանձնաժողովի միջև տեղեկատվական փոխգործակցության կանոնակարգին համապատասխան |
|
7 |
Արդյունքները |
սերտիֆիկատների և հայտարարագրերի միասնական ռեեստրում համապատասխանության գնահատման վերաբերյալ փաստաթղթի կարգավիճակի փոփոխման մասին տեղեկություններն ուղարկվել են սերտիֆիկատների և հայտարարագրերի միասնական ռեեստրում համապատասխանության գնահատման վերաբերյալ համապատասխան փաստաթղթի մասին տեղեկություններ ներկայացրած անդամ պետության լիազորված մարմին |
Աղյուսակ 15
«Սերտիֆիկատների և հայտարարագրերի միասնական ռեեստրում փաստաթղթի կարգավիճակի փոփոխման մասին տեղեկությունների ընդունում» (P.TS.01.OPR.010) գործառնության նկարագրությունը
|
Համարը՝ ը/կ |
Տարրի նշագիրը |
Նկարագրությունը |
|
1 |
2 |
3 |
|
1 |
Ծածկագրային նշագիրը |
P.TS.01.OPR.010 |
|
2 |
Գործառնության անվանումը |
սերտիֆիկատների և հայտարարագրերի միասնական ռեեստրում փաստաթղթի կարգավիճակի փոփոխման մասին տեղեկությունների ընդունում |
|
3 |
Կատարողը |
անդամ պետության լիազորված մարմին |
|
4 |
Կատարման պայմանները |
կատարվում է սերտիֆիկատների և հայտարարագրերի միասնական ռեեստրում համապատասխանության գնահատման վերաբերյալ փաստաթղթի կարգավիճակի փոփոխման մասին տեղեկություններ ստացվելու դեպքում («Սերտիֆիկատների և հայտարարագրերի միասնական ռեեստրում փաստաթղթի կարգավիճակի փոփոխման մասին տեղեկությունների ուղարկում» (P.TS.01.OPR.009) գործառնություն) |
|
5 |
Սահմանափակումները |
ներկայացվող տեղեկությունների ձևաչափն ու կառուցվածքը պետք է համապատասխանեն Էլեկտրոնային փաստաթղթերի և տեղեկությունների ձևաչափերի ու կառուցվածքների նկարագրությանը |
|
6 |
Գործառնության նկարագրությունը |
կատարողն ընդունում է տեղեկությունները և սերտիֆիկատների և հայտարարագրերի միասնական ռեեստրի ազգային մասում թարմացնում է համապատասխանության գնահատման վերաբերյալ համապատասխան փաստաթղթի գործողության կարգավիճակը |
|
7 |
Արդյունքները |
սերտիֆիկատների և հայտարարագրերի միասնական ռեեստրում համապատասխանության գնահատման վերաբերյալ փաստաթղթի կարգավիճակի փոփոխման մասին տեղեկություններն ստացվել են |
2. Սերտիֆիկատների և հայտարարագրերի միասնական ռեեստրի ազգային մասից տեղեկությունների ստացման ընթացակարգեր
«Սերտիֆիկատների և հայտարարագրերի միասնական ռեեստրի ազգային մասից տեղեկությունների ստացում» (P.TS.01PRC.002) ընթացակարգ
42. «Սերտիֆիկատների և հայտարարագրերի միասնական ռեեստրի ազգային մասի թարմացման մասին տեղեկությունների ստացում» (P.TS.01.PRC.001) ընթացակարգի կատարման սխեման ներկայացված է 7-րդ նկարում:
Նկար 7. «Սերտիֆիկատների և հայտարարագրերի միասնական ռեեստրի ազգային մասից տեղեկությունների ստացում» (P.TS.01․PRC.002) ընթացակարգի կատարման սխեման
43. «Սերտիֆիկատների և հայտարարագրերի միասնական ռեեստրի ազգային մասից տեղեկությունների ստացում» (P.TS.01.PRC.002) ընթացակարգը կատարվում է անդամ պետության հարցում ներկայացնող լիազորած մարմնի կողմից մյուս անդամ պետության՝ սերտիֆիկատների և հայտարարագրերի միասնական ռեեստրի ազգային մասից համապատասխանության գնահատման վերաբերյալ փաստաթղթի մասին տեղեկություններ ստանալու անհրաժեշտության դեպքում։
44. Առաջինը կատարվում է «Սերտիֆիկատների և հայտարարագրերի միասնական ռեեստրի ազգային մասից տեղեկությունների հարցում» (P.TS.01.OPR.005) գործառնությունը, որի կատարման արդյունքներով անդամ պետության հարցում ներկայացնող լիազորված մարմինը մյուս անդամ պետության լիազորված մարմին է ուղարկում տեղեկությունների ներկայացման հարցում:
45. Անդամ պետության լիազորված մարմնի կողմից տեղեկությունների ներկայացման հարցում ստացվելու դեպքում կատարվում է «Սերտիֆիկատների և հայտարարագրերի միասնական ռեեստրի ազգային մասից տեղեկությունների մշակում և ներկայացում» (P.TS.01.OPR.006) գործառնությունը, որի կատարման արդյունքներով անդամ պետության լիազորված մարմինը հարցում ներկայացնող անդամ պետության լիազորված մարմին է ուղարկում տեղեկություններ սերտիֆիկատների և հայտարարագրերի միասնական ռեեստրի ազգային մասից: Սերտիֆիկատների և հայտարարագրերի միասնական ռեեստրի ազգային մասում հարցված տեղեկությունների բացակայության դեպքում անդամ պետության լիազորված մարմինը հարցում ներկայացնող անդամ պետության լիազորված մարմին է ուղարկում ծանուցում՝ տեղեկությունների բացակայության մասին:
46. Հարցումը ներկայացնող անդամ պետության լիազորված մարմնի կողմից մյուս անդամ պետության՝ սերտիֆիկատների և հայտարարագրերի միասնական ռեեստրի ազգային մասից տեղեկություններ կամ տեղեկությունների բացակայության մասին ծանուցում ստացվելու դեպքում կատարվում է «Սերտիֆիկատների և հայտարարագրերի միասնական ռեեստրի ազգային մասից տեղեկությունների ընդունում և մշակում» (P.TS.01.OPR.007) ընթացակարգը, որի կատարման արդյունքներով իրականացվում է ներկայացված տեղեկությունների կամ տեղեկությունների բացակայության մասին ծանուցման ընդունումը և մշակումը:
47. «Սերտիֆիկատների և հայտարարագրերի միասնական ռեեստրի ազգային մասից տեղեկությունների ստացում» (P.TS.01PRC.002) ընթացակարգը կատարվում է հարցումը ներկայացնող անդամ պետության լիազորած մարմնի կողմից մյուս անդամ պետության՝ սերտիֆիկատների և հայտարարագրերի միասնական ռեեստրի ազգային մասից տեղեկություններ ստանալու անհրաժեշտության դեպքում
48. «Սերտիֆիկատների և հայտարարագրերի միասնական ռեեստրի ազգային մասի թարմացման մասին տեղեկությունների ստացում» (P.TS.01.PRC.002) ընթացակարգի շրջանակներում կատարվող ընդհանուր գործընթացի գործառնությունների ցանկը բերված է 16-րդ աղյուսակում:
Աղյուսակ 16
«Սերտիֆիկատների և հայտարարագրերի միասնական ռեեստրի ազգային մասից տեղեկությունների ստացում» (P.TS.01.PRC.002) ընթացակարգի շրջանակներում կատարվող ընդհանուր գործընթացի գործառնությունների ցանկը
|
Ծածկագրային նշագիրը |
Անվանումը |
Նկարագրությունը |
|
1 |
2 |
3 |
|
P.TS.01.OPR.005 |
սերտիֆիկատների և հայտարարագրերի միասնական ռեեստրի ազգային մասից տեղեկությունների հարցում |
բերված է սույն կանոնների 17-րդ աղյուսակում |
|
P.TS.01.OPR.006 |
սերտիֆիկատների և հայտարարագրերի միասնական ռեեստրի ազգային մասից տեղեկությունների մշակում և ներկայացում |
բերված է սույն կանոնների 18-րդ աղյուսակում |
|
P.TS.01.OPR.007 |
սերտիֆիկատների և հայտարարագրերի միասնական ռեեստրի ազգային մասից տեղեկությունների ընդունում և մշակում |
բերված է սույն կանոնների 19-րդ աղյուսակում |
Աղյուսակ 17
«Սերտիֆիկատների և հայտարարագրերի միասնական ռեեստրի ազգային մասից տեղեկությունների հարցում» (P.TS.01.OPR.005) գործառնության նկարագրությունը
|
Համարը՝ ը/կ |
Տարրի նշագիրը |
Նկարագրությունը |
|
1 |
2 |
3 |
|
1 |
Ծածկագրային նշագիրը |
P.TS.01.OPR.005 |
|
2 |
Գործառնության անվանումը |
սերտիֆիկատների և հայտարարագրերի միասնական ռեեստրի ազգային մասից տեղեկությունների հարցում |
|
3 |
Կատարողը |
անդամ պետության՝ հարցում ներկայացնող լիազորված մարմին |
|
4 |
Կատարման պայմանները |
կատարվում է մյուս անդամ պետության՝ սերտիֆիկատների և հայտարարագրերի միասնական ռեեստրի ազգային մասից տեղեկություններ ստանալու անհրաժեշտության դեպքում |
|
5 |
Սահմանափակումները |
ներկայացվող տեղեկությունների ձևաչափն ու կառուցվածքը պետք է համապատասխանեն Էլեկտրոնային փաստաթղթերի և տեղեկությունների ձևաչափերի ու կառուցվածքների նկարագրությանը |
|
6 |
Գործառնության նկարագրությունը |
կատարողը անդամ պետության լիազորված մարմնին ուղարկում է սերտիֆիկատների և հայտարարագրերի միասնական ռեեստրի ազգային մասից տեղեկություններ ներկայացնելու հարցում՝ Անդամ պետությունների լիազորված մարմինների միջև տեղեկատվական փոխգործակցության կանոնակարգին համապատասխան |
|
7 |
Արդյունքները |
սերտիֆիկատների և հայտարարագրերի միասնական ռեեստրի ազգային մասից տեղեկություններ ստանալու հարցումն ուղարկվել է |
Աղյուսակ 18
«Սերտիֆիկատների և հայտարարագրերի միասնական ռեեստրի ազգային մասից տեղեկությունների մշակում և ներկայացում» (P.TS.01.OPR.006) գործառնության նկարագրությունը
|
Համարը՝ ը/կ |
Տարրի նշագիրը |
Նկարագրությունը |
|
1 |
2 |
3 |
|
1 |
Ծածկագրային նշագիրը |
P.TS.01.OPR.006 |
|
2 |
Գործառնության անվանումը |
սերտիֆիկատների և հայտարարագրերի միասնական ռեեստրի ազգային մասից տեղեկությունների մշակում և ներկայացում |
|
3 |
Կատարողը |
անդամ պետության լիազորված մարմին |
|
4 |
Կատարման պայմանները |
կատարվում է սերտիֆիկատների և հայտարարագրերի միասնական ռեեստրի ազգային մասից տեղեկություններ ներկայացնելու հարցում ստացվելու դեպքում («Սերտիֆիկատների և հայտարարագրերի միասնական ռեեստրի ազգային մասից տեղեկությունների հարցում» (P.TS.01.0PR.005) գործառնություն) |
|
5 |
Սահմանափակումները |
ներկայացվող տեղեկությունների ձևաչափն ու կառուցվածքը պետք է համապատասխանեն Էլեկտրոնային փաստաթղթերի և տեղեկությունների ձևաչափերի ու կառուցվածքների նկարագրությանը։ Պահանջվում է ավտորիզացում, տեղեկությունների հարցումը կատարվում է միայն անդամ պետությունների հարցումներ ներկայացնող լիազորված մարմինների կողմից։ Էլեկտրոնային փաստաթղթի (տեղեկությունների) վավերապայմանները պետք է համապատասխանեն անդամ պետությունների լիազորված մարմինների միջև տեղեկատվական փոխգործակցության կանոնակարգի IX բաժնով նախատեսված պահանջներին |
|
6 |
Գործառնության նկարագրությունը |
կատարողը կատարում է ստացված հարցման ստուգում՝ Անդամ պետությունների լիազորված մարմինների միջև տեղեկատվական փոխգործակցության կանոնակարգին համապատասխան: Ստուգումը հաջողությամբ կատարելու դեպքում կատարողն ուղարկում է սերտիֆիկատների և հայտարարագրերի միասնական ռեեստրի ազգային մասից տեղեկությունները կամ տեղեկությունների բացակայության մասին ծանուցումը՝ Անդամ պետությունների լիազորված մարմինների միջև տեղեկատվական փոխգործակցության կանոնակարգին համապատասխան |
|
7 |
Արդյունքները |
հարցում կատարած անդամ պետության լիազորված մարմին ներկայացվել են տեղեկություններ մյուս անդամ պետության՝ սերտիֆիկատների և հայտարարագրերի միասնական ռեեստրի ազգային մասից, կամ ուղարկվել է ծանուցում տեղեկությունների բացակայության մասին |
Աղյուսակ 19
«Սերտիֆիկատների և հայտարարագրերի միասնական ռեեստրի ազգային մասից տեղեկությունների ընդունում և մշակում» (P.TS.01.OPR.007) գործառնության նկարագրությունը
|
Համարը՝ ը/կ |
Տարրի նշագիրը |
Նկարագրությունը |
|
1 |
2 |
3 |
|
1 |
Ծածկագրային նշագիրը |
P.TS.01.OPR.007 |
|
2 |
Գործառնության անվանումը |
Սերտիֆիկատների և հայտարարագրերի միասնական ռեեստրի ազգային մասից տեղեկությունների ընդունում և մշակում |
|
3 |
Կատարողը |
անդամ պետության՝ հարցում ներկայացնող լիազորված մարմին |
|
4 |
Կատարման պայմանները |
կատարվում է սերտիֆիկատների և հայտարարագրերի միասնական ռեեստրի ազգային մասից տեղեկություններ կամ տեղեկությունների բացակայության մասին ծանուցում ստանալու դեպքում («Սերտիֆիկատների և հայտարարագրերի միասնական ռեեստրի ազգային մասից տեղեկությունների ընդունում և մշակում» (P.TS.01.ОPR.006) գործառնություն) |
|
5 |
Սահմանափակումները |
ներկայացվող տեղեկությունների ձևաչափն ու կառուցվածքը պետք է համապատասխանեն Էլեկտրոնային փաստաթղթերի և տեղեկությունների ձևաչափերի ու կառուցվածքների նկարագրությանը |
|
6 |
Գործառնության նկարագրությունը |
կատարողն ընդունում է տեղեկությունները կամ տեղեկությունների բացակայության մասին ծանուցումը |
|
7 |
Արդյունքները |
մյուս անդամ պետության՝ սերտիֆիկատների և հայտարարագրերի միասնական ռեեստրի ազգային մասից տեղեկությունները կամ տեղեկությունների բացակայության մասին ծանուցումը ստացվել են |
3. Սերտիֆիկատների և հայտարարագրերի միասնական ռեեստրից տեղեկությունների ստացման ընթացակարգերը
«Սերտիֆիկատների և հայտարարագրերի միասնական ռեեստրի թարմացման ամսաթվի և ժամի մասին տեղեկությունների ստացում» (P.TS.01.PRC.004) ընթացակարգը
49. «Սերտիֆիկատների և հայտարարագրերի միասնական ռեեստրի թարմացման ամսաթվի և ժամի մասին տեղեկությունների ստացում» (P.TS.02.PRC.003) ընթացակարգի կատարման սխեման ներկայացված է 8-րդ նկարում:
Նկար 8. «Սերտիֆիկատների և հայտարարագրերի միասնական ռեեստրի թարմացման ամսաթվի և ժամի մասին տեղեկությունների ստացում» (P.TS.01.PRC.004) ընթացակարգի կատարման սխեման
50. «Սերտիֆիկատների և հայտարարագրերի միասնական ռեեստրի թարմացման ամսաթվի և ժամի մասին տեղեկությունների ստացում» (P.TS.01.PRC.004) ընթացակարգը կատարվում է անդամ պետության շահագրգիռ մարմնի կողմից՝ սերտիֆիկատների և հայտարարագրերի միասնական ռեեստրի վիճակի (վերջին թարմացման ամսաթվի ու ժամի) մասին տեղեկություններ ստանալու անհրաժեշտություն առաջանալու դեպքում։
51. Առաջին հերթին կատարվում է «Սերտիֆիկատների և հայտարարագրերի միասնական ռեեստրի թարմացման ամսաթվի և ժամի մասին տեղեկությունների հարցում» (P.TS.01.OPR.011) գործառնությունը, որի կատարման արդյունքներով անդամ պետության լիազորված մարմինը ձևավորում և Հանձնաժողով է ուղարկում սերտիֆիկատների և հայտարարագրերի միասնական ռեեստրի թարմացման ամսաթվի և ժամի մասին տեղեկություններ ներկայացնելու հարցում։
52. Հանձնաժողովում սերտիֆիկատների և հայտարարագրերի միասնական ռեեստրի թարմացման ամսաթվի և ժամի մասին տեղեկություններ ներկայացնելու հարցում ստացվելու դեպքում կատարվում է «Սերտիֆիկատների և հայտարարագրերի միասնական ռեեստրի թարմացման ամսաթվի և ժամի մասին տեղեկությունների մշակում և ներկայացում» (P.TS.01.OPR.012) գործառնությունը, որի կատարման արդյունքներով Հանձնաժողովի կողմից ձևավորվում և անդամ պետության շահագրգիռ մարմին են ներկայացվում սերտիֆիկատների և հայտարարագրերի միասնական ռեեստրի թարմացման ամսաթվի և ժամի մասին տեղեկություններ:
53. Անդամ պետության շահագրգիռ մարմնում սերտիֆիկատների և հայտարարագրերի միասնական ռեեստրի թարմացման ամսաթվի և ժամի մասին տեղեկություններ ստացվելու դեպքում կատարվում է «Սերտիֆիկատների և հայտարարագրերի միասնական ռեեստրի թարմացման ամսաթվի և ժամի մասին տեղեկությունների ընդունում և մշակում» (P.TS.01.OPR.013) գործառնությունը։
54. «Սերտիֆիկատների և հայտարարագրերի միասնական ռեեստրի թարմացման ամսաթվի և ժամի մասին տեղեկությունների ստացում» (P.TS.01.PRC.004) ընթացակարգի կատարման արդյունքն է անդամ պետության շահագրգիռ մարմնի կողմից սերտիֆիկատների և հայտարարագրերի միասնական ռեեստրի թարմացման ամսաթվի և ժամի մասին տեղեկությունների ստացումը:
55. «Սերտիֆիկատների և հայտարարագրերի միասնական ռեեստրի թարմացման ամսաթվի և ժամի մասին տեղեկությունների ստացում» (P.TS.01.PRC.004) ընթացակարգի շրջանակներում կատարվող ընդհանուր գործընթացի գործառնությունների ցանկը բերված է 20-րդ աղյուսակում:
Աղյուսակ 20
«Սերտիֆիկատների և հայտարարագրերի միասնական ռեեստրի թարմացման ամսաթվի և ժամի մասին տեղեկատվության ստացում» (P.TS.01.PRC.004) ընթացակարգի շրջանակներում կատարվող ընդհանուր գործընթացի գործառնությունների ցանկը
|
Ծածկագրային նշագիրը |
Անվանումը |
Նկարագրությունը |
|
1 |
2 |
3 |
|
P.TS.01.OPR.011 |
սերտիֆիկատների և հայտարարագրերի միասնական ռեեստրի թարմացման ամսաթվի և ժամի մասին տեղեկությունների հարցում |
բերված է սույն կանոնների 21-րդ աղյուսակում |
|
P.TS.01.OPR.012 |
սերտիֆիկատների և հայտարարագրերի միասնական ռեեստրի թարմացման ամսաթվի և ժամի մասին տեղեկությունների մշակում և ներկայացում |
բերված է սույն կանոնների 22-րդ աղյուսակում |
|
P.TS.01.OPR.013 |
սերտիֆիկատների և հայտարարագրերի միասնական ռեեստրի թարմացման ամսաթվի ու ժամի մասին տեղեկությունների ընդունում և մշակում |
բերված է սույն կանոնների 23-րդ աղյուսակում |
Աղյուսակ 21
«Սերտիֆիկատների և հայտարարագրերի միասնական ռեեստրի թարմացման ամսաթվի և ժամի մասին տեղեկությունների հարցում» (P.TS.01.OPR.011) գործառնության նկարագրությունը
|
Համարը՝ ը/կ |
Տարրի նշագիրը |
Նկարագրությունը |
|
1 |
2 |
3 |
|
1 |
Ծածկագրային նշագիրը |
P.TS.01.OPR.011 |
|
2 |
Գործառնության անվանումը |
սերտիֆիկատների և հայտարարագրերի միասնական ռեեստրի թարմացման ամսաթվի և ժամի մասին տեղեկությունների հարցումը |
|
3 |
Կատարողը |
անդամ պետության շահագրգիռ մարմին |
|
4 |
Կատարման պայմանները |
կատարվում է անդամ պետության շահագրգիռ մարմնի կողմից սերտիֆիկատների և հայտարարագրերի միասնական ռեեստրի թարմացման ամսաթվի և ժամի մասին տեղեկությունների ստացման անհրաժեշտություն առաջանալու դեպքում |
|
5 |
Սահմանափակումները |
ներկայացվող տեղեկությունների ձևաչափն ու կառուցվածքը պետք է համապատասխանեն Էլեկտրոնային փաստաթղթերի և տեղեկությունների ձևաչափերի ու կառուցվածքների նկարագրությանը |
|
6 |
Գործառնության նկարագրությունը |
կատարողը Հանձնաժողով է ուղարկում սերտիֆիկատների և հայտարարագրերի միասնական ռեեստրի թարմացման ամսաթվի և ժամի մասին տեղեկություններ ներկայացնելու հարցում՝ Անդամ պետությունների լիազորված մարմինների և Հանձնաժողովի միջև տեղեկատվական փոխգործակցության կանոնակարգին համապատասխան |
|
7 |
Արդյունքները |
սերտիֆիկատների և հայտարարագրերի միասնական ռեեստրի թարմացման ամսաթվի և ժամի մասին տեղեկություններ ներկայացնելու հարցումն անդամ պետության շահագրգիռ մարմնի կողմից ուղարկվել է |
Աղյուսակ 22
«Սերտիֆիկատների և հայտարարագրերի միասնական ռեեստրի թարմացման ամսաթվի ու ժամի մասին տեղեկությունների մշակում և ներկայացում» (P.TS.01.OPR.012) գործառնության նկարագրությունը
|
Համարը՝ ը/կ |
Տարրի նշագիրը |
Նկարագրությունը |
|
1 |
2 |
3 |
|
1 |
Ծածկագրային նշագիրը |
P.TS.01.OPR.012 |
|
2 |
Գործառնության անվանումը |
սերտիֆիկատների և հայտարարագրերի միասնական ռեեստրի թարմացման ամսաթվի և ժամի մասին տեղեկությունների մշակում և ներկայացում |
|
3 |
Կատարողը |
Հանձնաժողով |
|
4 |
Կատարման պայմանները |
կատարվում է սերտիֆիկատների և հայտարարագրերի միասնական ռեեստրի թարմացման ամսաթվի և ժամի մասին տեղեկություններ ներկայացնելու հարցումը Հանձնաժողովի կողմից ստացվելու դեպքում («Սերտիֆիկատների և հայտարարագրերի միասնական ռեեստրի թարմացման ամսաթվի և ժամի մասին տեղեկությունների հարցում» (P.TS.01.OPR.011) գործառնություն) |
|
5 |
Սահմանափակումները |
ներկայացվող տեղեկությունների ձևաչափն ու կառուցվածքը պետք է համապատասխանեն Էլեկտրոնային փաստաթղթերի և տեղեկությունների ձևաչափերի ու կառուցվածքների նկարագրությանը։ Պահանջվում է ավտորիզացում, տեղեկությունների հարցումը ներկայացվում է միայն անդամ պետությունների լիազորված մարմինների կողմից |
|
6 |
Գործառնության նկարագրությունը |
կատարողն ուղարկում է սերտիֆիկատների և հայտարարագրերի միասնական ռեեստրի վերջին թարմացման ամսաթիվը և ժամը պարունակող հարցման պատասխանը՝ Անդամ պետությունների լիազորված մարմինների և Հանձնաժողովի միջև տեղեկատվական փոխգործակցության կանոնակարգին համապատասխան |
|
7 |
Արդյունքները |
Սերտիֆիկատների և հայտարարագրերի միասնական ռեեստրի թարմացման ամսաթվի և ժամի մասին տեղեկությունները ներկայացվել են անդամ պետության շահագրգիռ մարմին |
Աղյուսակ 23
«Սերտիֆիկատների և հայտարարագրերի միասնական ռեեստրի թարմացման ամսաթվի ու ժամի մասին տեղեկությունների ընդունում և մշակում» (P.TS.01.OPR.013) գործառնության նկարագրությունը
|
Համարը՝ ը/կ |
Տարրի նշագիրը |
Նկարագրությունը |
|
1 |
2 |
3 |
|
1 |
Ծածկագրային նշագիրը |
P.TS.01.OPR.013 |
|
2 |
Գործառնության անվանումը |
սերտիֆիկատների և հայտարարագրերի միասնական ռեեստրի թարմացման ամսաթվի ու ժամի մասին տեղեկությունների ընդունում և մշակում |
|
3 |
Կատարողը |
անդամ պետության շահագրգիռ մարմին |
|
4 |
Կատարման պայմանները |
կատարվում է սերտիֆիկատների և հայտարարագրերի միասնական ռեեստրի թարմացման ամսաթվի և ժամի մասին տեղեկությունները Հանձնաժողովի կողմից ներկայացվելու դեպքում («Սերտիֆիկատների և հայտարարագրերի միասնական ռեեստրի թարմացման ամսաթվի և ժամի մասին տեղեկությունների մշակում և ներկայացում» (P.TS.01.OPR.012) գործառնություն) |
|
5 |
Սահմանափակումները |
ներկայացվող տեղեկությունների ձևաչափն ու կառուցվածքը պետք է համապատասխանեն Էլեկտրոնային փաստաթղթերի և տեղեկությունների ձևաչափերի ու կառուցվածքների նկարագրությանը |
|
6 |
Գործառնության նկարագրությունը |
կատարողն ընդունում է սերտիֆիկատների և հայտարարագրերի միասնական ռեեստրի թարմացման ամսաթվի և ժամի մասին ստացված տեղեկությունները և իրականացնում է դրանց մշակումը |
|
7 |
Արդյունքները |
սերտիֆիկատների և հայտարարագրերի միասնական ռեեստրի թարմացման ամսաթվի և ժամի մասին տեղեկությունները ստացվել են անդամ պետության շահագրգիռ մարմնի կողմից |
«Սերտիֆիկատների և հայտարարագրերի միասնական ռեեստրից տեղեկությունների ստացում» (P.TS.01PRC.005) ընթացակարգ
56. «Սերտիֆիկատների և հայտարարագրերի միասնական ռեեստրից տեղեկությունների ստացում» (P.TS.01.PRC.005) ընթացակարգի կատարման սխեման ներկայացված է 9-րդ նկարում:
Նկար 9. «Սերտիֆիկատների և հայտարարագրերի միասնական ռեեստրից տեղեկությունների ստացում» (P.TS.01.PRC.005) ընթացակարգի կատարման սխեման
57. «Սերտիֆիկատների և հայտարարագրերի միասնական ռեեստրից տեղեկությունների ստացում» (P.TS.01.PRC.005) ընթացակարգը կատարվում է անդամ պետության շահագրգիռ մարմնի կողմից սերտիֆիկատների և հայտարարագրերի միասնական ռեեստրից արդիական տեղեկություններ ստանալու անհրաժեշտության դեպքում։
58. Առաջինը կատարվում է «Սերտիֆիկատների և հայտարարագրերի միասնական ռեեստրից տեղեկությունների հարցում» (P.TS.01.OPR.014) գործառնությունը, որի կատարման արդյունքներով անդամ պետության շահագրգիռ մարմինը Հանձնաժողով է ուղարկում տեղեկությունների ներկայացման հարցում:
59. Հանձնաժողովի կողմից տեղեկությունների ներկայացման հարցում ստացվելու դեպքում կատարվում է «Սերտիֆիկատների և հայտարարագրերի միասնական ռեեստրից տեղեկությունների մշակում և ներկայացում» (P.TS.01.OPR.015) գործառնությունը, որի կատարման արդյունքներով Հանձնաժողովն անդամ պետության շահագրգիռ մարմին է ուղարկում միասնական ռեեստրից տեղեկություններ կամ հարցման պարամետրերը բավարարող տեղեկություններ ներկայացնելու անհնարինության մասին ծանուցում։ Տեղեկություններ ներկայացնելու անհնարինության մասին ծանուցում ուղարկվում է հետևյալ դեպքերում.
սերտիֆիկատների և հայտարարագրերի միասնական ռեեստրում հարցման պարամետրերը բավարարող տեղեկությունների բացակայության կապակցությամբ․
Հանձնաժողովի կոլեգիայի 2015 թվականի հունվարի 27-ի թիվ 5 որոշմամբ հաստատված՝ ինտեգրված համակարգում տվյալների էլեկտրոնային փոխանակման կանոններով սահմանված տվյալների փոխանցման ծավալի (այսուհետ՝ թույլատրելի ծավալ) սահմանափակումը՝ պահանջվող տեղեկությունների ծավալը գերազանցելու կապակցությամբ։
60. Անդամ պետության շահագրգիռ մարմնի կողմից սերտիֆիկատների և հայտարարագրերի միասնական ռեեստրից տեղեկություններ կամ հարցման պարամետրերը բավարարող տեղեկությունների ներկայացման անհնարինության մասին ծանուցում ստացվելու դեպքում կատարվում է «Սերտիֆիկատների և հայտարարագրերի միասնական ռեեստրից տեղեկությունների ընդունում և մշակում» (P.TS.01.OPR.016) գործառնությունը, որի կատարման արդյունքներով իրականացվում է ստացված տեղեկությունների կամ տեղեկությունների բացակայության մասին ծանուցման ընդունումը և մշակումը:
61. «Սերտիֆիկատների և հայտարարագրերի միասնական ռեեստրից տեղեկությունների ստացում» (P.TS.01.PRC.005) ընթացակարգի կատարման արդյունքն է սերտիֆիկատների և հայտարարագրերի միասնական ռեեստրից տեղեկությունների ստացումը կամ հարցման պարամետրերը բավարարող տեղեկությունների ներկայացման անհնարինության մասին ծանուցման ստացումը։
62. «Սերտիֆիկատների և հայտարարագրերի միասնական ռեեստրից տեղեկությունների ստացում» (P.TS.01.PRC.005) ընթացակարգի շրջանակներում կատարվող ընդհանուր գործընթացի գործառնությունների ցանկը բերված է 24-րդ աղյուսակում:
Աղյուսակ 24
«Սերտիֆիկատների և հայտարարագրերի միասնական ռեեստրից տեղեկությունների ստացում» (P.TS.01.PRC.005) ընթացակարգի շրջանակներում կատարվող ընդհանուր գործընթացի գործառնությունների ցանկը
|
Ծածկագրային նշագիրը |
Անվանումը |
Նկարագրությունը |
|
1 |
2 |
3 |
|
P.TS.01.OPR.014 |
սերտիֆիկատների և հայտարարագրերի միասնական ռեեստրից տեղեկությունների հարցում |
բերված է սույն կանոնների 25-րդ աղյուսակում |
|
P.TS.01.OPR.015 |
սերտիֆիկատների և հայտարարագրերի միասնական ռեեստրից տեղեկությունների մշակում և ներկայացում |
բերված է սույն կանոնների 26-րդ աղյուսակում |
|
P.TS.01.OPR.016 |
սերտիֆիկատների և հայտարարագրերի միասնական ռեեստրից տեղեկությունների ընդունում և մշակում |
բերված է սույն կանոնների 27-րդ աղյուսակում |
Աղյուսակ 25
«Սերտիֆիկատների և հայտարարագրերի միասնական ռեեստրից տեղեկությունների հարցում» (P.TS.01.OPR.014) գործառնության նկարագրությունը
|
Համարը՝ ը/կ |
Տարրի նշագիրը |
Նկարագրությունը |
|
1 |
2 |
3 |
|
1 |
Ծածկագրային նշագիրը |
P.TS.01.OPR.014 |
|
2 |
Գործառնության անվանումը |
սերտիֆիկատների և հայտարարագրերի միասնական ռեեստրից տեղեկությունների հարցում |
|
3 |
Կատարողը |
անդամ պետության շահագրգիռ մարմին |
|
4 |
Կատարման պայմանները |
կատարվում է սերտիֆիկատների և հայտարարագրերի միասնական ռեեստրից ինտեգրված համակարգի միջոցով տեղեկություններ ստանալու անհրաժեշտության դեպքում |
|
5 |
Սահմանափակումները |
ներկայացվող տեղեկությունների ձևաչափն ու կառուցվածքը պետք է համապատասխանեն Էլեկտրոնային փաստաթղթերի և տեղեկությունների ձևաչափերի ու կառուցվածքների նկարագրությանը |
|
6 |
Գործառնության նկարագրությունը |
կատարողը ձևավորում և Հանձնաժողով է ուղարկում սերտիֆիկատների և հայտարարագրերի միասնական ռեեստրից տեղեկություններ ներկայացնելու հարցում՝ Անդամ պետության լիազորված մարմինների և Հանձնաժողովի միջև տեղեկատվական փոխգործակցության կանոնակարգին համապատասխան՝ ա) համապատասխանության գնահատման վերաբերյալ կոնկրետ փաստաթղթի մասին՝ հարցման մեջ նշելով փաստաթղթի գրանցման համարը․ բ) փաստաթղթերի խմբի մասին՝ նշելով հարցման մեջ հետևյալ պայմաններից մեկը կամ մի քանիսը՝ փաստաթղթի գործողության կարգավիճակը․ փաստաթղթի գործողության մեկնարկի ամսաթվերի տիրույթը․ երկրի ծածկագիրը. համապատասխանության գնահատման վերաբերյալ փաստաթղթի տեսակի ծածկագիրը․ Միության տեխնիկական կանոնակարգի նշագիրը։ Սերտիֆիկատների և հայտարարագրերի միասնական ռեեստրից տեղեկությունների հարցում («ա» և «բ» դեպքերում) ներկայացվում է հարցման մեջ նշված ամսաթվի դրությամբ, կամ եթե հարցման մեջ նշված չէ ամսաթիվը՝ ընթացիկ ամսաթվի դրությամբ |
|
7 |
Արդյունքները |
սերտիֆիկատների և հայտարարագրերի միասնական ռեեստրից տեղեկություններ ստանալու հարցումն ուղարկվել է |
Աղյուսակ 26
«Սերտիֆիկատների և հայտարարագրերի միասնական ռեեստրից տեղեկությունների մշակում և ներկայացում» (P.TS.01.OPR.015) գործառնության նկարագրությունը
|
Համարը՝ ը/կ |
Տարրի նշագիրը |
Նկարագրությունը |
|
1 |
2 |
3 |
|
1 |
Ծածկագրային նշագիրը |
P.TS.01.OPR.015 |
|
2 |
Գործառնության անվանումը |
սերտիֆիկատների և հայտարարագրերի միասնական ռեեստրից տեղեկությունների մշակում և ներկայացում |
|
3 |
Կատարողը |
Հանձնաժողով |
|
4 |
Կատարման պայմանները |
կատարվում է սերտիֆիկատների և հայտարարագրերի միասնական ռեեստրից տեղեկություններ ներկայացնելու հարցում ստացվելու դեպքում («Սերտիֆիկատների և հայտարարագրերի միասնական ռեեստրից տեղեկությունների հարցում» (P.TS.01.0PR.014) գործառնություն) |
|
5 |
Սահմանափակումները |
ներկայացվող տեղեկությունների ձևաչափն ու կառուցվածքը պետք է համապատասխանեն էլեկտրոնային փաստաթղթերի և տեղեկությունների ձևաչափերի ու կառուցվածքների նկարագրությանը։ Պահանջվում է ավտորիզացում, տեղեկությունների հարցումը ներկայացվում է միայն անդամ պետությունների շահագրգիռ մարմինների կողմից։ Էլեկտրոնային փաստաթղթի (տեղեկությունների) վավերապայմանները պետք է համապատասխանեն անդամ պետությունների լիազորված մարմինների և Հանձնաժողովի միջև տեղեկատվական փոխգործակցության կանոնակարգի IX բաժնով նախատեսված պահանջներին |
|
6 |
Գործառնության նկարագրությունը |
կատարողը ստուգում է ստացված հարցումը՝ Անդամ պետությունների լիազորված մարմինների և Հանձնաժողովի միջև տեղեկատվական փոխգործակցության կանոնակարգին համապատասխան: Ստուգումը հաջողությամբ կատարվելու դեպքում կատարողը Անդամ պետությունների լիազորված մարմինների և Հանձնաժողովի միջև տեղեկատվական փոխգործակցության կանոնակարգին համապատասխան ձևավորում և ուղարկում է հարցման պատասխանը՝ որում կարող են ուղարկվել հաղորդագրություններ՝ հարցման պարամետրերը բավարարող՝ սերտիֆիկատների և հայտարարագրերի միասնական ռեեստրից տեղեկություններով․ հարցման պարամետրերը բավարարող՝ տեղեկությունների ներկայացման անհնարինության մասին ծանուցմամբ։ Այն դեպքում, երբ հարցման պարամետրերը բավարարող տեղեկությունների ներկայացման անհնարինության մասին ծանուցումը ձևավորվում է սերտիֆիկատների և հայտարարագրերի միասնական ռեեստրում հարցման պարամետրերը բավարարող տեղեկությունների բացակայության կապակցությամբ, ծանուցման մեջ նշվում է հարցվող տեղեկությունների բացակայությանը համապատասխանող տեղեկությունների մշակման արդյունքի ծածկագիրը։ Այն դեպքում, երբ հարցման պարամետրերը բավարարող տեղեկությունների ներկայացման անհնարինության մասին ծանուցումը ձևավորվում է թույլատրելի ծավալը հարցվող տեղեկություններով գերազանցելու կապակցությամբ, ծանուցման մեջ նշվում է հարցվող տեղեկությունների տրամադրման անհնարինությանը համապատասխանող տեղեկությունների մշակման արդյունքի ծածկագիրը՝ պատճառի պարզաբանմամբ (հարցվող տեղեկություններով թույլատրելի ծավալի գերազանցում)։ Պատասխան հաղորդագրություններում ներկայացվում են սերտիֆիկատների և հայտարարագրերի միասնական ռեեստրից հարցման պարամետրերը բավարարող տեղեկությունները։ Ընդ որում, եթե հարցման մեջ ամսաթիվը նշված չէ, ապա ներկայացվում են արդիական տեղեկություններ ընթացիկ ամսաթվի դրությամբ (գրառման գործողության ժամանակահատվածի ավարտի չլրացված ամսաթվով)․ եթե հարցման մեջ ամսաթիվը նշված է, ապա ներկայացվում են հարցման մեջ նշված ամսաթվի դրությամբ արդիական տեղեկություններ, այսինքն՝ ընթացիկ ամսաթվի դրությամբ այնպիսի տեղեկություններ, որոնց համար գրառման գործողության ժամանակահատվածի մեկնարկի ամսաթիվն ավելի վաղ է, քան հարցման մեջ նշված ամսաթիվը, իսկ ավարտի ամսաթիվը՝ ավելի ուշ, քան հարցման մեջ նշված ամսաթիվը, կամ նշված չէ |
|
7 |
Արդյունքները |
անդամ պետության շահագրգիռ մարմին են ներկայացվել սերտիֆիկատների և հայտարարագրերի միասնական ռեեստրից տեղեկություններ կամ ուղարկվել է հարցման պարամետրերը բավարարող տեղեկությունների ներկայացման անհնարինության մասին ծանուցում |
Աղյուսակ 27
«Սերտիֆիկատների և հայտարարագրերի միասնական ռեեստրից տեղեկությունների ընդունում և մշակում» (P.TS.01.OPR.016) գործառնության նկարագրությունը
|
Համարը՝ ը/կ |
Տարրի նշագիրը |
Նկարագրությունը |
|
1 |
2 |
3 |
|
1 |
Ծածկագրային նշագիրը |
P.TS.01.OPR.016 |
|
2 |
Գործառնության անվանումը |
սերտիֆիկատների և հայտարարագրերի միասնական ռեեստրից տեղեկությունների ընդունում և մշակում |
|
3 |
Կատարողը |
անդամ պետության շահագրգիռ մարմին |
|
4 |
Կատարման պայմանները |
կատարվում է սերտիֆիկատների և հայտարարագրերի միասնական ռեեստրից տեղեկություններ կամ հարցման պարամետրերը բավարարող տեղեկությունների ներկայացման անհնարինության մասին ծանուցում ստացվելու դեպքում («Սերտիֆիկատների և հայտարարագրերի միասնական ռեեստրից տեղեկություններ մշակում և ներկայացում» (P.TS.01.OPR.015) գործառնություն) |
|
5 |
Սահմանափակումները |
ներկայացվող տեղեկությունների ձևաչափն ու կառուցվածքը պետք է համապատասխանեն Էլեկտրոնային փաստաթղթերի և տեղեկությունների ձևաչափերի ու կառուցվածքների նկարագրությանը |
|
6 |
Գործառնության նկարագրությունը |
կատարողն ընդունում է ստացված տեղեկությունները կամ հարցման պարամետրերը բավարարող տեղեկությունների ներկայացման անհնարինության մասին ծանուցումը և իրականացնում է դրանց մշակումը։ Հարցվող տեղեկությունների թույլատրելի ծավալը գերազանցելու կապակցությամբ հարցման պարամետրերը բավարարող տեղեկությունների ներկայացման անհնարինության մասին ծանուցում ստացվելու դեպքում կատարողը կարող է ձևավորել երկու (կամ ավելի) նոր հարցումներ՝ նշելով դրանցում լրացուցիչ պայմաններ (օրինակ՝ փաստաթղթի գործողության մեկնարկի ամսաթվերի տիրույթը) այնպես, որ հարցվող տեղեկությունները յուրաքանչյուր նոր հարցման համար չգերազանցեն թույլատրելի ծավալը և համակցության մեջ համապատասխանեն որպես սկզբնական հարցման պատասխան ձևավորված տեղեկություններին |
|
7 |
Արդյունքները |
սերտիֆիկատների և հայտարարագրերի միասնական ռեեստրից տեղեկությունները կամ հարցման պարամետրերը բավարարող տեղեկությունների ներկայացման անհնարինության մասին ծանուցումը ստացվել են |
«Սերտիֆիկատների և հայտարարագրերի միասնական ռեեստրից փոփոխված տեղեկությունների ստացում» (P.TS.01.PRC.006)
63. «Սերտիֆիկատների և հայտարարագրերի միասնական ռեեստրից փոփոխված տեղեկությունների ստացում» (P.TS.01.PRC.006) ընթացակարգի կատարման սխեման ներկայացված է 10-րդ նկարում:
Նկար 10. «Սերտիֆիկատների և հայտարարագրերի միասնական ռեեստրից փոփոխված տեղեկությունների ստացում» (P.TS.01.PRC.006) ընթացակարգի կատարման սխեման
64. «Սերտիֆիկատների և հայտարարագրերի միասնական ռեեստրից փոփոխված տեղեկությունների ստացում» (P.TS.01.PRC.006) ընթացակարգը կատարվում է անդամ պետության շահագրգիռ մարմնի կողմից՝ սերտիֆիկատների և հայտարարագրերի միասնական ռեեստրից այն տեղեկություններն ստանալու նպատակով, որոնց ներառումը կամ փոփոխումը տեղի է ունեցել հարցման մեջ նշված ժամանակահատվածում, կամ սկսած հարցման մեջ նշված պահից մինչև այդ հարցումը կատարելու պահը։ Ընթացակարգը կատարվում է նաև այն դեպքում, երբ «Սերտիֆիկատների և հայտարարագրերի միասնական ռեեստրի թարմացման ամսաթվի և ժամի մասին տեղեկությունների ստացում» (P.TS.02.PRC.003) ընթացակարգը կատարելու արդյունքում հայտնաբերվել է, որ անդամ պետության շահագրգիռ մարմնի կողմից վերջին անգամ սերտիֆիկատների և հայտարարագրերի միասնական ռեեստրից տեղեկություններ ստանալու ամսաթիվը և ժամը ավելի վաղ են, քան միասնական ռեեստրի վերջին թարմացման ամսաթիվը և ժամը։
65. Առաջին հերթին կատարվում է «Սերտիֆիկատների և հայտարարագրերի միասնական ռեեստրից փոփոխված տեղեկությունների հարցում» (P.TS.01.OPR.017) գործառնությունը, որի կատարման արդյունքներով անդամ պետության շահագրգիռ մարմինը ձևավորում և Հանձնաժողով է ուղարկում սերտիֆիկատների և հայտարարագրերի միասնական ռեեստրից փոփոխված տեղեկություններ ներկայացնելու հարցում։
66. Հանձնաժողովում սերտիֆիկատների և հայտարարագրերի միասնական ռեեստրից փոփոխված տեղեկությունների ներկայացման հարցում ստացվելու դեպքում կատարվում է «Սերտիֆիկատների և հայտարարագրերի միասնական ռեեստրից փոփոխված տեղեկությունների մշակում և ներկայացում» (P.TS.01.OPR.018) գործառնությունը, որի կատարման արդյունքներով Հանձնաժողովը ձևավորում և անդամ պետության շահագրգիռ մարմին է ուղարկում սերտիֆիկատների և հայտարարագրերի միասնական ռեեստրից փոփոխված տեղեկություններ կամ հարցման պարամետրերը բավարարող տեղեկություններ ներկայացնելու անհնարինության մասին ծանուցում։
Տեղեկություններ ներկայացնելու անհնարինության մասին ծանուցում ուղարկվում է հետևյալ դեպքերում.
սերտիֆիկատների և հայտարարագրերի միասնական ռեեստրում հարցման պարամետրերը բավարարող տեղեկությունների բացակայության կապակցությամբ.
հարցված տեղեկությունների ծավալը թույլատրելի ծավալի գերազանցման կապակցությամբ։
67. Սերտիֆիկատների և հայտարարագրերի միասնական ռեեստրից փոփոխված տեղեկություններ կամ հարցման պարամետրերը բավարարող տեղեկությունների ներկայացման անհնարինության մասին ծանուցում շահագրգիռ մարմնում ստացվելու դեպքում կատարվում է «Սերտիֆիկատների և հայտարարագրերի միասնական ռեեստրից փոփոխված տեղեկությունների ընդունում և մշակում» (P.TS.01.OPR.015) գործառնությունը:
68. «Սերտիֆիկատների և հայտարարագրերի միասնական ռեեստրից փոփոխված տեղեկությունների ստացում» (P.TS.01.PRC.006) ընթացակարգի կատարման արդյունքն է անդամ պետության շահագրգիռ մարմնի կողմից (P.TS.01.PRC.006) սերտիֆիկատների և հայտարարագրերի միասնական ռեեստրից փոփոխված տեղեկությունների կամ հարցման պարամետրերը բավարարող տեղեկությունների ներկայացման անհնարինության մասին ծանուցման ստացումը։
69. «Սերտիֆիկատների և հայտարարագրերի միասնական ռեեստրից փոփոխված տեղեկությունների ստացում» (P.TS.01.PRC.006) ընթացակարգի շրջանակներում կատարվող ընդհանուր գործընթացի գործառնությունների ցանկը բերված է 28-րդ աղյուսակում:
Աղյուսակ 28
«Սերտիֆիկատների և հայտարարագրերի միասնական ռեեստրից փոփոխված տեղեկությունների ստացում» (P.TS.01.PRC.006) ընթացակարգի շրջանակներում կատարվող ընդհանուր գործընթացի գործառնությունների ցանկը
|
Ծածկագրային նշագիրը |
Անվանումը |
Նկարագրությունը |
|
1 |
2 |
3 |
|
P.TS.01.OPR.017 |
սերտիֆիկատների և հայտարարագրերի միասնական ռեեստրից փոփոխված տեղեկությունների հարցում |
բերված է սույն կանոնների 29-րդ աղյուսակում |
|
P.TS.01.OPR.018 |
սերտիֆիկատների և հայտարարագրերի միասնական ռեեստրից փոփոխված տեղեկությունների մշակում և ներկայացում |
բերված է սույն կանոնների 30-րդ աղյուսակում |
|
P.TS.01.OPR.019 |
սերտիֆիկատների և հայտարարագրերի միասնական ռեեստրից փոփոխված տեղեկությունների ընդունում և մշակում |
բերված է սույն կանոնների 31-րդ աղյուսակում |
Աղյուսակ 29
«Սերտիֆիկատների և հայտարարագրերի միասնական ռեեստրից փոփոխված տեղեկությունների հարցում» (P.TS.01.OPR.017) գործառնության նկարագրությունը
|
Համարը՝ ը/կ |
Տարրի նշագիրը |
Նկարագրությունը |
|
1 |
2 |
3 |
|
1 |
Ծածկագրային նշագիրը |
P.TS.01.OPR.017 |
|
2 |
Գործառնության անվանումը |
սերտիֆիկատների և հայտարարագրերի միասնական ռեեստրից փոփոխված տեղեկությունների հարցումը |
|
3 |
Կատարողը |
անդամ պետության շահագրգիռ մարմին |
|
4 |
Կատարման պայմանները |
կատարվում է սերտիֆիկատների և հայտարարագրերի միասնական ռեեստրից փոփոխված տեղեկություններ անդամ պետության շահագրգիռ մարմնի կողմից ստանալու անհրաժեշտություն առաջանալու դեպքում |
|
5 |
Սահմանափակումները |
տեղեկությունների հարցման ձևաչափն ու կառուցվածքը պետք է համապատասխանեն Էլեկտրոնային փաստաթղթերի և տեղեկությունների ձևաչափերի ու կառուցվածքների նկարագրությանը |
|
6 |
Գործառնության նկարագրությունը |
կատարողը Հանձնաժողով է ուղարկում սերտիֆիկատների և հայտարարագրերի միասնական ռեեստրից փոփոխված տեղեկություններ ներկայացնելու հարցում՝ Անդամ պետությունների լիազորված մարմինների և Հանձնաժողովի միջև տեղեկատվական փոխգործակցության կանոնակարգին համապատասխան։ Որոշակի ժամանակահատվածում միասնական ռեեստրում ավելացված կամ փոփոխված տեղեկություններ ներկայացնելու անհրաժեշտության դեպքում հարցման մեջ նշվում է համապատասխան ժամանակահատվածը։ Այն տեղեկությունների հարցում ներկայացնելու համար, որոնց ներառումը կամ փոփոխումը տեղի է ունեցել սկսած հարցման մեջ նշված պահից մինչև այդ հարցումը կատարվելու պահը, հարցման մեջ նշվում են մեկնարկի ամսաթիվն ու ժամը։ Կոնկրետ անդամ պետության վերաբերյալ փոփոխված տեղեկությունների հարցման անհրաժեշտություն առաջանալու դեպքում հարցման մեջ նշվում է երկրի ծածկագիրը։ Համապատասխանության գնահատման վերաբերյալ փաստաթղթի տեսակի մասին և (կամ) Միության տեխնիկական կանոնակարգի վերաբերյալ փոփոխված տեղեկություններ ստանալու համար հարցման մեջ համապատասխանաբար նշվում են համապատասխանության գնահատման վերաբերյալ փաստաթղթի տեսակի ծածկագիրը և (կամ) Միության տեխնիկական կանոնակարգի նշագիրը |
|
7 |
Արդյունքներ |
սերտիֆիկատների և հայտարարագրերի միասնական ռեեստրից փոփոխված տեղեկություններ ներկայացնելու հարցումն անդամ պետության շահագրգիռ մարմնի կողմից ուղարկվել է |
Աղյուսակ 30
«Սերտիֆիկատների և հայտարարագրերի միասնական ռեեստրից փոփոխված տեղեկությունների մշակում և ներկայացում» (P.TS.01.OPR.018) գործառնության նկարագրությունը
|
Համարը՝ ը/կ |
Տարրի նշագիրը |
Նկարագրությունը |
|
1 |
2 |
3 |
|
1 |
Ծածկագրային նշագիրը |
P.TS.01.OPR.018 |
|
2 |
Գործառնության անվանումը |
սերտիֆիկատների և հայտարարագրերի միասնական ռեեստրից փոփոխված տեղեկությունների մշակում և ներկայացում |
|
3 |
Կատարողը |
Հանձնաժողով |
|
4 |
Կատարման պայմանները |
կատարվում է սերտիֆիկատների և հայտարարագրերի միասնական ռեեստրից փոփոխված տեղեկություններ ներկայացնելու հարցում Հանձնաժողովի կողմից ստացվելու դեպքում («Սերտիֆիկատների և հայտարարագրերի միասնական ռեեստրից փոփոխված տեղեկությունների հարցում» (P.TS.01.OPR.014) գործառնություն) |
|
5 |
Սահմանափակումները |
Հարցման և ներկայացվող տեղեկությունների ձևաչափն ու կառուցվածքը պետք է համապատասխանեն Էլեկտրոնային փաստաթղթերի և տեղեկությունների ձևաչափերի ու կառուցվածքների նկարագրությանը: Պահանջվում է ավտորիզացում, տեղեկությունների հարցումը ներկայացվում է միայն անդամ պետությունների շահագրգիռ մարմինների կողմից։ Էլեկտրոնային փաստաթղթի (տեղեկությունների) վավերապայմանները պետք է համապատասխանեն անդամ պետությունների լիազորված մարմինների և Հանձնաժողովի միջև տեղեկատվական փոխգործակցության կանոնակարգի IX բաժնով նախատեսված պահանջներին |
|
6 |
Գործառնության նկարագրությունը |
կատարողն ստուգում է ստացված հարցումը՝ Անդամ պետությունների լիազորված մարմինների և Հանձնաժողովի միջև տեղեկատվական փոխգործակցության կանոնակարգին համապատասխան: Ստուգումը հաջողությամբ կատարելու դեպքում կատարողն ուղարկում է հարցման պատասխանը՝ Անդամ պետությունների լիազորված մարմինների և Հանձնաժողովի միջև տեղեկատվական փոխգործակցության կանոնակարգին համապատասխան։ Հարցմանն ի պատասխան կարող են ուղարկվել հետևյալ հաղորդագրությունները. սերտիֆիկատների և հայտարարագրերի միասնական ռեեստրից ավելացված և փոփոխված տեղեկություններով՝ հարցման մեջ նշված ժամանակահատվածի համար կամ սկսած թարմացման ամսաթվից և ժամից․ հարցման պարամետրերը բավարարող՝ տեղեկությունների ներկայացման անհնարինության մասին ծանուցմամբ։ Այն դեպքում, երբ հարցման պարամետրերը բավարարող տեղեկությունների ներկայացման անհնարինության մասին ծանուցումը ձևավորվում է միասնական ռեեստրում հարցման պարամետրերը բավարարող տեղեկությունների բացակայության կապակցությամբ, ծանուցման մեջ նշվում է հարցվող տեղեկությունների բացակայությանը համապատասխանող տեղեկությունների մշակման արդյունքի ծածկագիրը։ Այն դեպքում, երբ հարցման պարամետրերը բավարարող տեղեկությունների ներկայացման անհնարինության մասին ծանուցումը ձևավորվում է թույլատրելի ծավալը հարցվող տեղեկություններով գերազանցելու կապակցությամբ, ծանուցման մեջ նշվում է հարցվող տեղեկությունների տրամադրման անհնարինությանը համապատասխանող տեղեկությունների մշակման արդյունքի ծածկագիրը՝ պատճառի պարզաբանմամբ (հարցվող տեղեկություններով թույլատրելի ծավալի գերազանցում)։ Պատասխան հաղորդագրության մեջ սերտիֆիկատների և հայտարարագրերի միասնական ռեեստրից փոփոխված տեղեկությունները ներկայացվում են բոլոր անդամ պետությունների վերաբերյալ (կոնկրետ անդամ պետության վերաբերյալ), համապատասխանության գնահատման վերաբերյալ, փաստաթղթի տեսակի վերաբերյալ և (կամ) Միության տեխնիկական կանոնակարգի վերաբերյալ՝ ելնելով հարցման մեջ նշված պայմաններից |
|
7 |
Արդյունքները |
անդամ պետության շահագրգիռ մարմին են ներկայացվել սերտիֆիկատների և հայտարարագրերի միասնական ռեեստրից փոփոխված տեղեկություններ կամ հարցման պարամետրերը բավարարող տեղեկությունների ներկայացման անհնարինության մասին ծանուցում |
Աղյուսակ 31
«Սերտիֆիկատների և հայտարարագրերի միասնական ռեեստրից փոփոխված տեղեկությունների ընդունում և մշակում» (P.TS.01.OPR.019) գործառնության նկարագրությունը
|
Համարը՝ ը/կ |
Տարրի նշագիրը |
Նկարագրությունը |
|
1 |
2 |
3 |
|
1 |
Ծածկագրային նշագիրը |
P.TS.01.OPR.019 |
|
2 |
Գործառնության անվանումը |
սերտիֆիկատների և հայտարարագրերի միասնական ռեեստրից փոփոխված տեղեկությունների ընդունում և մշակում |
|
3 |
Կատարողը |
անդամ պետության շահագրգիռ մարմին |
|
4 |
Կատարման պայմանները |
կատարվում է սերտիֆիկատների և հայտարարագրերի միասնական ռեեստրից փոփոխված տեղեկություններ կամ հարցման պարամետրերը բավարարող տեղեկությունների ներկայացման անհնարինության մասին ծանուցում շահագրգիռ մարմնում ստացվելու դեպքում («Սերտիֆիկատների և հայտարարագրերի միասնական ռեեստրից փոփոխված տեղեկությունների մշակում և ներկայացում» (P.TS.01.OPR.018) գործառնություն) |
|
5 |
Սահմանափակումները |
ներկայացվող տեղեկությունների ձևաչափն ու կառուցվածքը պետք է համապատասխանեն Էլեկտրոնային փաստաթղթերի և տեղեկությունների ձևաչափերի ու կառուցվածքների նկարագրությանը |
|
6 |
Գործառնության նկարագրությունը |
կատարողն ընդունում է ստացված տեղեկությունները կամ հարցման պարամետրերը բավարարող տեղեկությունների ներկայացման անհնարինության մասին ծանուցումը և իրականացնում է դրանց մշակումը։ Հարցվող տեղեկությունների թույլատրելի ծավալը գերազանցելու կապակցությամբ հարցման պարամետրերը բավարարող տեղեկությունների ներկայացման անհնարինության մասին ծանուցում ստացվելու դեպքում կատարողը կարող է ձևավորել երկու (կամ ավելի) նոր հարցումներ, նշելով դրանցում լրացուցիչ պայմաններ (օրինակ՝ տեղեկությունների փոփոխման ժամանակահատվածը) այնպես, որ հարցվող տեղեկությունները յուրաքանչյուր նոր հարցման համար չգերազանցեն թույլատրելի ծավալը և համակցության մեջ համապատասխանեն որպես սկզբնական հարցման պատասխան ձևավորված տեղեկություններին |
|
7 |
Արդյունքները |
անդամ պետության շահագրգիռ մարմնի կողմից ստացվել են սերտիֆիկատների և հայտարարագրերի միասնական ռեեստրից փոփոխված տեղեկություններ կամ հարցման պարամետրերը բավարարող տեղեկությունների ներկայացման անհնարինության մասին ծանուցում |
IX. Արտակարգ իրավիճակներում գործողությունների կարգը
70. Ընդհանուր գործընթացի ընթացակարգերը կատարելիս հնարավոր են բացառիկ իրավիճակներ, որոնց ժամանակ տվյալների մշակումը չի կարող անցկացվել սովորական ռեժիմով: Դա կարող է տեղի ունենալ տեխնիկական խափանումների, կառուցվածքային և ձևաչափատրամաբանական հսկողության սխալների առաջացման և այլ դեպքերում:
71. Կառուցվածքային և ձևաչափատրամաբանական հսկողության սխալների առաջացման դեպքում անդամ պետության լիազորված (շահագրգիռ) մարմինն իրականացնում է էլեկտրոնային փաստաթղթերի և տեղեկությունների ձևաչափերի ու կառուցվածքների նկարագրությանը և էլեկտրոնային փաստաթղթերը լրացնելուն ներկայացվող պահանջներին այն հաղորդագրության համապատասխանության մասով ստուգում, որի առնչությամբ ստացվել է սխալի մասին ծանուցումը՝ Անդամ պետությունների լիազորված մարմինների և Հանձնաժողովի միջև տեղեկատվական փոխգործակցության կանոնակարգին և Անդամ պետությունների լիազորված մարմինների միջև տեղեկատվական փոխգործակցության կանոնակարգին համապատասխան: Նշված փաստաթղթերի պահանջներին տեղեկությունների անհամապատասխանություն հայտնաբերվելու դեպքում անդամ պետության լիազորված (շահագրգիռ) մարմինն անհրաժեշտ միջոցներ է ձեռնարկում հայտնաբերված սխալը անդամ պետությունների լիազորված մարմինների և Հանձնաժողովի միջև տեղեկատվական փոխգործակցության կանոնակարգի կամ անդամ պետությունների լիազորված մարմինների միջև տեղեկատվական փոխգործակցության կանոնակարգի VIII բաժնով նախատեսված կարգով վերացնելու համար։
72. Արտակարգ իրավիճակների կարգավորման նպատակով անդամ պետությունները միմյանց և Հանձնաժողովին տեղեկացնում են անդամ պետությունների այն լիազորված (շահագրգիռ) մարմինների մասին, որոնց իրավասության շրջանակներում է սույն կանոններով նախատեսված պահանջների կատարումը, ինչպես նաև տեղեկություններ են ներկայացնում ընդհանուր գործընթացն իրագործելու ժամանակ տեխնիկական աջակցություն ապահովելու համար պատասխանատու անձանց մասին:»:
2. Նշված որոշմամբ հաստատված՝ «Եվրասիական տնտեսական միության տեխնիկական կանոնակարգերի (Մաքսային միության տեխնիկական կանոնակարգերի) պահանջներին համապատասխանության գնահատման վերաբերյալ տրամադրված կամ ընդունված փաստաթղթերի միասնական ռեեստրների ձևավորում և վարում» ընդհանուր գործընթացը տրված համապատասխանության սերտիֆիկատների և համապատասխանության մասին գրանցված հայտարարագրերի միասնական ռեեստրին վերաբերող մասով Եվրասիական տնտեսական միության ինտեգրված տեղեկատվական համակարգի միջոցներով իրագործելիս Եվրասիական տնտեսական միության անդամ պետությունների լիազորված մարմինների և Եվրասիական տնտեսական հանձնաժողովի միջև տեղեկատվական փոխգործակցության կանոնակարգը շարադրել հետևյալ խմբագրությամբ.
|
«ՀԱՍՏԱՏՎԱԾ Է Եվրասիական տնտեսական հանձնաժողովի կոլեգիայի 2016 թվականի մայիսի 10-ի թիվ 39 որոշմամբ (Եվրասիական տնտեսական հանձնաժողովի կոլեգիայի 2024 թվականի սեպտեմբերի 23-ի թիվ 109 որոշման խմբագրությամբ) |
Կանոնակարգ
«Եվրասիական տնտեսական միության տեխնիկական կանոնակարգերի (Մաքսային միության տեխնիկական կանոնակարգերի) պահանջներին համապատասխանության գնահատման վերաբերյալ տրամադրված կամ ընդունված փաստաթղթերի միասնական ռեեստրների ձևավորում և վարում» ընդհանուր գործընթացը տրված համապատասխանության սերտիֆիկատների և համապատասխանության մասին գրանցված հայտարարագրերի միասնական ռեեստրին վերաբերող մասով Եվրասիական տնտեսական միության ինտեգրված տեղեկատվական համակարգի միջոցներով իրագործելիս Եվրասիական տնտեսական միության անդամ պետությունների լիազորված մարմինների և Եվրասիական տնտեսական հանձնաժողովի միջև տեղեկատվական փոխգործակցության
I. Ընդհանուր դրույթներ
1. Սույն կանոնակարգը մշակվել է Եվրասիական տնտեսական միության (այսուհետ՝ Միություն) իրավունքի կազմում ընդգրկվող հետևյալ ակտերին համապատասխան.
«Եվրասիական տնտեսական միության մասին» 2014 թվականի մայիսի 29-ի պայմանագիր.
«Մաքսային միությունում տեխնիկական կարգավորման մասին» Մաքսային միության հանձնաժողովի 2010 թվականի հունիսի 18-ի թիվ 319 որոշում.
«Մաքսային միության շրջանակներում միասնական փաստաթղթերի տրամադրմամբ համապատասխանության պարտադիր գնահատման (հաստատման) ենթակա արտադրանքի միասնական ցանկի մասին» Մաքսային միության հանձնաժողովի 2011 թվականի ապրիլի 7-ի թիվ 620 որոշում.
«Համապատասխանության սերտիֆիկատի և Մաքսային միության տեխնիկական կանոնակարգերին համապատասխանության մասին հայտարարագրի միասնական ձևերի և դրանց ձևակերպման կանոնների մասին» Եվրասիական տնտեսական հանձնաժողովի կոլեգիայի 2012 թվականի դեկտեմբերի 25-ի թիվ 293 որոշում.
«Եվրասիական տնտեսական միության տեխնիկական կանոնակարգերի պահանջներին արտադրանքի համապատասխանության հայտարարագրերը գրանցելու, դրանց գործողությունը կասեցնելու, վերսկսելու ու դադարեցնելու կարգի մասին» Եվրասիական տնտեսական հանձնաժողովի կոլեգիայի 2018 թվականի մարտի 20-ի թիվ 41 որոշում․
«Տրված համապատասխանության սերտիֆիկատների և գրանցված համապատասխանության հայտարարագրերի միասնական ռեեստրի ձևավորման և վարման կարգի մասին» Եվրասիական տնտեսական հանձնաժողովի կոլեգիայի 2017 թվականի սեպտեմբերի 26-ի թիվ 127 որոշում:
«Ընդհանուր գործընթացներն արտաքին և փոխադարձ առևտրի ինտեգրված տեղեկատվական համակարգի միջոցներով իրագործելիս տեղեկատվական փոխգործակցությունը կանոնակարգող տեխնոլոգիական փաստաթղթերի մասին» Եվրասիական տնտեսական հանձնաժողովի կոլեգիայի 2014 թվականի նոյեմբերի 6-ի թիվ 200 որոշում.
«Արտաքին և փոխադարձ առևտրի ինտեգրված տեղեկատվական համակարգում տվյալների էլեկտրոնային փոխանակման կանոնները հաստատելու մասին» Եվրասիական տնտեսական հանձնաժողովի կոլեգիայի 2015 թվականի հունվարի 27-ի թիվ 5 որոշում.
«Եվրասիական տնտեսական միության շրջանակներում ընդհանուր գործընթացների ցանկի և Եվրասիական տնտեսական հանձնաժողովի կոլեգիայի 2014 թվականի օգոստոսի 19-ի թիվ 132 որոշման մեջ փոփոխություն կատարելու մասին» Եվրասիական տնտեսական հանձնաժողովի կոլեգիայի 2015 թվականի ապրիլի 14-ի թիվ 29 որոշում.
«Եվրասիական տնտեսական միության շրջանակներում ընդհանուր գործընթացների վերլուծության, օպտիմալացման, ներդաշնակեցման և նկարագրության մեթոդիկայի մասին» Եվրասիական տնտեսական հանձնաժողովի կոլեգիայի 2015 թվականի հունիսի 9-ի թիվ 63 որոշում.
«Եվրասիական տնտեսական միության անդամ պետությունների պետական իշխանության մարմինների` միմյանց միջև և Եվրասիական տնտեսական հանձնաժողովի հետ անդրսահմանային փոխգործակցության ընթացքում էլեկտրոնային փաստաթղթերի փոխանակման մասին հիմնադրույթի հաստատման մասին» Եվրասիական տնտեսական հանձնաժողովի կոլեգիայի 2015 թվականի սեպտեմբերի 28-ի թիվ 125 որոշում։
II. Կիրառության ոլորտը
2. Սույն կանոնակարգը մշակվել է «Եվրասիական տնտեսական միության տեխնիկական կանոնակարգերի (Մաքսային միության տեխնիկական կանոնակարգերի) պահանջներին համապատասխանության գնահատման վերաբերյալ տրամադրված կամ ընդունված փաստաթղթերի միասնական ռեեստրների ձևավորում և վարում» ընդհանուր գործընթացը տրված համապատասխանության սերտիֆիկատների և համապատասխանության մասին գրանցված հայտարարագրերի միասնական ռեեստրին վերաբերող մասով իրագործվող ընդհանուր գործընթացի տրանզակցիաների կատարման կարգն ու պայմանները, ինչպես նաև դրանց կատարման մեջ իրենց դերի միատեսակ ընկալումն ընդհանուր գործընթացի մասնակիցների կողմից ապահովելու նպատակով։
3. Սույն կանոնակարգով սահմանվում են ընդհանուր գործընթացի մասնակիցների միջև տեղեկատվական փոխգործակցության իրագործմանն անմիջականորեն ուղղված՝ ընդհանուր գործընթացի գործառնությունների կատարման կարգին ու պայմաններին ներկայացվող պահանջները։
4. Սույն կանոնակարգը կիրառվում է ընդհանուր գործընթացի մասնակիցների կողմից ընդհանուր գործընթացի շրջանակներում ընթացակարգերի և գործառնությունների կատարման կարգը վերահսկելիս, ինչպես նաև այդ ընդհանուր գործընթացի իրագործումն ապահովող տեղեկատվական համակարգերի բաղադրիչները նախագծելիս, մշակելիս և լրամշակելիս։
III. Հիմնական հասկացությունները
5. Սույն կանոնակարգում գործածվող «նախաձեռնող», «սկզբնավորող գործառնություն», «ընդունող գործառնություն», «ռեսպոնդենտ», «ընդհանուր գործընթացի հաղորդագրություն» և «ընդհանուր գործընթացի տրանզակցիա» հասկացությունները կիրառվում են Եվրասիական տնտեսական հանձնաժողովի կոլեգիայի 2015 թվականի հունիսի 9-ի թիվ 63 որոշմամբ հաստատված՝ Եվրասիական տնտեսական միության շրջանակներում ընդհանուր գործընթացների վերլուծության, օպտիմալացման, ներդաշնակեցման և նկարագրման մեթոդիկայով սահմանված իմաստներով։
Սույն կանոնակարգում օգտագործվող մյուս հասկացությունները կիրառվում են Եվրասիական տնտեսական հանձնաժողովի կոլեգիայի 2016 թվականի մայիսի 10-ի թիվ 39 որոշմամբ հաստատված՝ Եվրասիական տնտեսական միության ինտեգրված տեղեկատվական համակարգի միջոցներով «Եվրասիական տնտեսական միության տեխնիկական կանոնակարգերի (Մաքսային միության տեխնիկական կանոնակարգերի) պահանջներին համապատասխանության գնահատման վերաբերյալ տրամադրված կամ ընդունված փաստաթղթերի միասնական ռեեստրների ձևավորում և վարում» ընդհանուր գործընթացը տրված համապատասխանության սերտիֆիկատների և համապատասխանության մասին գրանցված հայտարարագրերի միասնական ռեեստրին վերաբերող մասով իրագործելիս՝ տեղեկատվական փոխգործակցության կանոնների 4-րդ կետով սահմանված իմաստներով (այսուհետ՝ Տեղեկատվական փոխգործակցության կանոններ)։
IV. Ընդհանուր գործընթացի շրջանակներում տեղեկատվական փոխգործակցության մասին հիմնական տեղեկությունները
1. Տեղեկատվական փոխգործակցության մասնակիցները
6. Ընդհանուր գործընթացի շրջանակներում տեղեկատվական փոխգործակցության մասնակիցների դերերի ցանկը բերված է 1-ին աղյուսակում։
Աղյուսակ 1
Տեղեկատվական փոխգործակցության մասնակիցների դերերի ցանկը
|
Դերի անվանումը |
Դերի նկարագրությունը |
Դերը կատարող մասնակիցը |
|
1 |
2 |
3 |
|
Տվյալների տիրապետողը |
սերտիֆիկատների և հայտարարագրերի միասնական ռեեստրի ազգային մասից տեղեկություններ է ներկայացնում Եվրասիական տնտեսական հանձնաժողով՝ Միության տեղեկատվական պորտալում հրապարակման համար, ստանում է համապատասխանության վերաբերյալ այն փաստաթղթերի կարգավիճակները միասնական ռեեստրում փոփոխվելու մասին ծանուցումներ, որոնց վերաբերյալ տեղեկություններ է ներկայացրել սերտիֆիկատների և հայտարարագրերի միասնական ռեեստր |
Միության անդամ պետության լիազորված մարմին (P.TS.01.ACT.002) |
|
Համակարգողը |
ստանում է տեղեկություններ սերտիֆիկատների և հայտարարագրերի միասնական ռեեստրի ազգային մասից և ապահովում է դրանց հրապարակումը Միության տեղեկատվական պորտալում, ծանուցում է սերտիֆիկատների և հայտարարագրերի միասնական ռեեստրում համապատասխանության գնահատման վերաբերյալ փաստաթղթերի մասին տեղեկություններ ներկայացրած լիազորված մարմնին միասնական ռեեստրում փաստաթղթի կարգավիճակը միասնական ռեեստրում փոփոխվելու մասին, ինչպես նաև սերտիֆիկատների և հայտարարագրերի միասնական ռեեստրից տեղեկություններ է ներկայացնում Միության անդամ պետությունների շահագրգիռ մարմիններ |
Եվրասիական տնտեսական հանձնաժողով (P.ACT.001) |
|
Տեղեկություններ սպառողը |
իրականացնում է հարցումների ձևակերպումը և սերտիֆիկատների և հայտարարագրերի միասնական ռեեստրից տեղեկությունների ստացումը |
Միության անդամ պետության շահագրգիռ մարմին (P.TS.01.ACT.004) |
2. Տեղեկատվական փոխգործակցության կառուցվածքը
7. Տեղեկատվական փոխգործակցությունն ընդհանուր գործընթացի շրջանակներում իրականացվում է Միության անդամ պետությունների լիազորված մարմինների և (կամ) շահագրգիռ մարմինների (այսուհետ՝ անդամ պետությունների լիազորված մարմիններ) և Եվրասիական տնտեսական հանձնաժողովի միջև (այսուհետ՝ Հանձնաժողով)՝ ըստ իրենց նշանակության խմբավորված ընդհանուր գործընթացի ընթացակարգերին համապատասխան.
տեղեկատվական փոխգործակցություն՝ սերտիֆիկատների և հայտարարագրերի միասնական ռեեստրը ձևավորելիս և վարելիս․
տեղեկատվական փոխգործակցություն՝ սերտիֆիկատների և հայտարարագրերի միասնական ռեեստրից տեղեկություններ ստանալիս։
Անդամ պետությունների լիազորված մարմինների և Հանձնաժողովի միջև տեղեկատվական փոխգործակցության կառուցվածքը ներկայացված է 1-ին նկարում:
Նկար 1. Անդամ պետությունների լիազորված մարմինների և Հանձնաժողովի միջև տեղեկատվական փոխգործակցության կառուցվածքը
8. Անդամ պետությունների լիազորված մարմինների և Հանձնաժողովի միջև տեղեկատվական փոխգործակցությունն իրագործվում է ընդհանուր գործընթացի շրջանակներում: Ընդհանուր գործընթացի կառուցվածքը սահմանված է Տեղեկատվական փոխգործակցության կանոններով:
9. Տեղեկատվական փոխգործակցությամբ սահմանվում է ընդհանուր գործընթացի այն տրանզակցիաների կատարման կարգը, որոնցից յուրաքանչյուրն ընդհանուր գործընթացի մասնակիցների միջև ընդհանուր գործընթացի տեղեկատվական օբյեկտի վիճակների սինքրոնացման նպատակով հաղորդագրությունների փոխանակում է։ Յուրաքանչյուր տեղեկատվական փոխգործակցության համար սահմանված են ընդհանուր գործընթացի գործառնությունների և այդ գործառնություններին համապատասխանող տրանզակցիաների միջև փոխադարձ կապերը:
10. Ընդհանուր գործընթացի տրանզակցիա կատարելիս նախաձեռնողն իր կողմից իրականացվող գործառնության (սկզբնավորող գործառնության) շրջանակներում ռեսպոնդենտին է ուղարկում հաղորդագրություն, որին ի պատասխան՝ ռեսպոնդենտն իր կողմից իրականացվող գործառնության (ընդունող գործառնության) շրջանակներում կարող է ուղարկել կամ չուղարկել հաղորդագրություն-պատասխան՝ պայմանավորված ընդհանուր գործընթացի տրանզակցիայի ձևանմուշով։ Հաղորդագրության կազմում տվյալների կառուցվածքը պետք է համապատասխանի Եվրասիական տնտեսական հանձնաժողովի կոլեգիայի 2016 թվականի մայիսի 10-ի թիվ 39 որոշմամբ հաստատված՝ «Եվրասիական տնտեսական միության տեխնիկական կանոնակարգերի (Մաքսային միության տեխնիկական կանոնակարգեր) պահանջներին համապատասխանության գնահատման վերաբերյալ տրամադրված կամ ընդունված փաստաթղթերի միասնական ռեեստրների ձևավորում և վարում» ընդհանուր գործընթացը տրված համապատասխանության սերտիֆիկատների և համապատասխանության մասին գրանցված հայտարարագրերի միասնական ռեեստրին վերաբերող մասով Եվրասիական տնտեսական միության ինտեգրված տեղեկատվական համակարգի միջոցներով իրագործելու համար օգտագործվող՝ էլեկտրոնային փաստաթղթերի և տեղեկությունների ձևաչափերի ու կառուցվածքների նկարագրությանը (այսուհետ՝ էլեկտրոնային փաստաթղթերի և տեղեկությունների ձևաչափերի ու կառուցվածքների նկարագրություն):
11. Ընդհանուր գործընթացի տրանզակցիաները կատարվում են ընդհանուր գործընթացի տրանզակցիաների տրված պարամետրերին համապատասխան, ինչպես սահմանված է սույն կանոնակարգով։
12. Ընդհանուր գործընթացի մի քանի մասնակիցների կողմից մեկ դեր կատարելու պայմաններում տեղեկությունների երթուղման ընթացակարգերը կատարելու նպատակով ընդհանուր գործընթացի մասնակցի տրամաբանական հասցեն ձևավորելիս լրացուցիչ նշվում է անդամ պետության պետական իշխանության մարմնի կամ դրա կողմից լիազորված կազմակերպության նույնականացուցիչը՝ Հանձնաժողովի կոլեգիայի 2015 թվականի հունվարի 27-ի թիվ 5 որոշմամբ հաստատված՝ արտաքին և փոխադարձ առևտրի ինտեգրված տեղեկատվական համակարգում տվյալների էլեկտրոնային փոխանակման կանոնների 52-րդ կետին համապատասխան:
Անդամ պետության պետական իշխանության մարմնի կամ դրա կողմից լիազորված կազմակերպության նույնականացուցիչը նշվում է Տեղեկատվական փոխգործակցության կանոնների VII բաժնում նշված՝ անդամ պետությունների լիազորված մարմինների տեղեկագրքին համապատասխան:
V. Տեղեկատվական փոխգործակցությունն ընթացակարգերի խմբերի շրջանակներում
1. Տեղեկատվական փոխգործակցությունը սերտիֆիկատների և հայտարարագրերի միասնական ռեեստրը ձևավորելիս և վարելիս
13. Սերտիֆիկատների և հայտարարագրերի միասնական ռեեստրը ձևավորելիս և վարելիս ընդհանուր գործընթացի տրանզակցիաների կատարման սխեման ներկայացված է 2-րդ նկարում։ Ընդհանուր գործընթացի յուրաքանչյուր ընթացակարգի համար 2-րդ աղյուսակում բերված է ընդհանուր գործընթացի գործողությունների, տեղեկատվական օբյեկտների միջանկյալ և վերջնական վիճակների և ընդհանուր գործընթացի տրանզակցիաների միջև կապը:
Նկար 2. Սերտիֆիկատների և հայտարարագրերի միասնական ռեեստրը ձևավորելիս և վարելիս ընդհանուր գործընթացի տրանզակցիաների կատարման սխեման
Աղյուսակ 2
Սերտիֆիկատների և հայտարարագրերի միասնական ռեեստրը ձևավորելիս և վարելիս ընդհանուր գործընթացի տրանզակցիաների ցանկը
|
Համարը՝ ը/կ |
Նախաձեռնողի կողմից կատարվող գործողությունը |
Ընդհանուր գործընթացի տեղեկատվական օբյեկտի միջանկյալ վիճակը |
Ռեսպոնդենտի կողմից կատարվող գործառնությունը |
Ընդհանուր գործընթացի տեղեկատվական օբյեկտի վերջնական վիճակը |
Ընդհանուր գործընթացի տրանզակցիան |
|
1 |
2 |
3 |
4 |
5 |
6 |
|
1 |
Սերտիֆիկատների և հայտարարագրերի միասնական ռեեստրի ազգային մասի թարմացման մասին տեղեկությունների ներկայացում (P.TS.01.PRC.001) | ||||
|
1.1 |
Սերտիֆիկատների և հայտարարագրերի միասնական ռեեստրի ազգային մասի թարմացման մասին տեղեկությունների ներկայացում (P.TS.01.OPR.001)Ներկայացված տեղեկությունների մշակման մասին ծանուցման ստացում (P.TS.01.OPR.003) |
սերտիֆիկատների և հայտարարագրերի միասնական ռեեստր (P.TS.01.BEN.001). տեղեկությունները ներկայացվել են |
սերտիֆիկատների և հայտարարագրերի միասնական ռեեստրի ազգային մասի թարմացման մասին տեղեկությունների ընդունում և մշակում (P.TS.01.ОPR.002) |
սերտիֆիկատների և հայտարարագրերի միասնական ռեեստր (P.TS.01.BEN.001). տեղեկությունները մշակվել են |
սերտիֆիկատների և հայտարարագրերի միասնական ռեեստրի ազգային մասի թարմացման մասին տեղեկությունների փոխանցում (P.TS.01.TRN.001) |
|
1.2 |
Սերտիֆիկատների և հայտարարագրերի միասնական ռեեստրի ազգային մասի թարմացման մասին տեղեկությունների ներկայացում (P.TS.01.OPR.001) Ներկայացված տեղեկությունների մշակման մասին ծանուցման ստացում (P.TS.01.OPR.003) |
սերտիֆիկատների և հայտարարագրերի միասնական ռեեստր (P.TS.01.BEN.001). տեղեկությունները բացակայում են |
սերտիֆիկատների և հայտարարագրերի միասնական ռեեստրի ազգային մասի թարմացման մասին տեղեկությունների ընդունում և մշակում (P.TS.01.ОPR.002) |
սերտիֆիկատների և հայտարարագրերի միասնական ռեեստր (P.TS.01.BEN.001). տեղեկությունները մշակվել են |
սերտիֆիկատների և հայտարարագրերի միասնական ռեեստրի ազգային մասում փոփոխությունների բացակայության մասին ծանուցման փոխանցում (P.TS.01.TRN.002) |
|
2 |
Սերտիֆիկատների և հայտարարագրերի միասնական ռեեստրում գործողության լրացած ժամկետով փաստաթղթերի կարգավիճակների արդիականացում (P.TS.01.PRC.003) | ||||
|
2.1 |
Սերտիֆիկատների և հայտարարագրերի միասնական ռեեստրում փաստաթղթի կարգավիճակի փոփոխման մասին տեղեկությունների ուղարկում (P.TS.01.OPR.009) |
սերտիֆիկատների և հայտարարագրերի միասնական ռեեստր (P.TS.01.BEN.001). տեղեկությունները ուղարկվել են |
սերտիֆիկատների և հայտարարագրերի միասնական ռեեստրում փաստաթղթի կարգավիճակի փոփոխման մասին տեղեկությունների ընդունում (P.TS.01.OPR.010) |
սերտիֆիկատների և հայտարարագրերի միասնական ռեեստր (P.TS.01.BEN.001). տեղեկությունները ստացվել են |
սերտիֆիկատների և հայտարարագրերի միասնական ռեեստրում փաստաթղթի կարգավիճակի փոփոխման մասին ծանուցում (P.TS.01.TRN.004) |
2. Տեղեկատվական փոխգործակցություն՝ սերտիֆիկատների և հայտարարագրերի միասնական ռեեստրից տեղեկություններ ստանալիս
14. Սերտիֆիկատների և հայտարարագրերի միասնական ռեեստրից տեղեկություններ ստանալիս ընդհանուր գործընթացի տրանզակցիաների կատարման սխեման ներկայացված է 3-րդ նկարում։ Ընդհանուր գործընթացի յուրաքանչյուր ընթացակարգի համար 3-րդ աղյուսակում բերված է ընդհանուր գործընթացի գործառնությունների, տեղեկատվական օբյեկտների միջանկյալ և վերջնական վիճակների և ընդհանուր գործընթացի տրանզակցիաների միջև կապը:
Նկար 3. Սերտիֆիկատների և հայտարարագրերի միասնական ռեեստրից տեղեկություններ ստանալիս ընդհանուր գործընթացի տրանզակցիաների կատարման սխեման
Աղյուսակ 3
Սերտիֆիկատների և հայտարարագրերի միասնական ռեեստրից տեղեկություններ ստանալիս ընդհանուր գործընթացի տրանզակցիաների ցանկը
|
Համարը՝ ը/կ |
Նախաձեռնողի կողմից կատարվող գործողությունը |
Ընդհանուր գործընթացի տեղեկատվական օբյեկտի միջանկյալ վիճակը |
Ռեսպոնդենտի կողմից կատարվող գործառնությունը |
Ընդհանուր գործընթացի տեղեկատվական օբյեկտի վերջնական վիճակը |
Ընդհանուր գործընթացի տրանզակցիան |
|
1 |
2 |
3 |
4 |
5 |
6 |
|
1 |
Սերտիֆիկատների և հայտարարագրերի միասնական ռեեստրի թարմացման ամսաթվի և ժամի մասին տեղեկությունների ստացում (P.TS.01.PRC.004) | ||||
|
1.1 |
Սերտիֆիկատների և հայտարարագրերի միասնական ռեեստրի թարմացման ամսաթվի և ժամի մասին տեղեկությունների հարցում (P.TS.01.OPR.011) Սերտիֆիկատների և հայտարարագրերի միասնական ռեեստրի թարմացման ամսաթվի ու ժամի մասին տեղեկությունների ընդունում և մշակում (P.TS.01.OPR.013) |
սերտիֆիկատների և հայտարարագրերի միասնական ռեեստր (P.TS.01.BEN.001). թարմացման ամսաթիվը և ժամը հարցվել են |
սերտիֆիկատների և հայտարարագրերի միասնական ռեեստրի թարմացման ամսաթվի ու ժամի մասին տեղեկությունների մշակում և ներկայացում (P.TS.01.OPR.012) |
սերտիֆիկատների և հայտարարագրերի միասնական ռեեստր (P.TS.01.BEN.001). թարմացման ամսաթիվը և ժամը ներկայացվել են |
սերտիֆիկատների և հայտարարագրերի միասնական ռեեստրի թարմացման ամսաթվի և ժամի մասին տեղեկությունների ստացում (P.TS.01.TRN.005) |
|
2 |
Սերտիֆիկատների և հայտարարագրերի միասնական ռեեստրից տեղեկությունների ստացում (P.TS.01.PRC.005) | ||||
|
2.1 |
Սերտիֆիկատների և հայտարարագրերի միասնական ռեեստրից տեղեկությունների հարցում (P.TS.01.OPR.014) Սերտիֆիկատների և հայտարարագրերի միասնական ռեեստրից տեղեկությունների ընդունում և մշակում (P.TS.01.OPR.016) |
սերտիֆիկատների և հայտարարագրերի միասնական ռեեստր (P.TS.01.BEN.001). տեղեկությունները հարցվել են |
սերտիֆիկատների և հայտարարագրերի միասնական ռեեստրից տեղեկությունների մշակում և ներկայացում (P.TS.01.OPR.015) |
սերտիֆիկատների և հայտարարագրերի միասնական ռեեստր (P.TS.01.BEN.001). տեղեկությունները չեն կարող ներկայացվել, սերտիֆիկատների և հայտարարագրերի միասնական ռեեստր (P.TS.01.BEN.001). տեղեկությունները ներկայացվել են |
սերտիֆիկատների և հայտարարագրերի միասնական ռեեստրից տեղեկությունների ստացում (P.TS.01.TRN.006) |
|
3 |
Սերտիֆիկատների և հայտարարագրերի միասնական ռեեստրից փոփոխված տեղեկությունների ստացում (P.TS.01.PRC.006) | ||||
|
3.1 |
սերտիֆիկատների և հայտարարագրերի միասնական ռեեստրից փոփոխված տեղեկությունների հարցում (P.TS.01.OPR.017) Սերտիֆիկատների և հայտարարագրերի միասնական ռեեստրից փոփոխված տեղեկությունների ընդունում և մշակում (P.TS.01.OPR.019) |
սերտիֆիկատների և հայտարարագրերի միասնական ռեեստր (P.TS.01.BEN.001). տեղեկությունները հարցվել են |
սերտիֆիկատների և հայտարարագրերի միասնական ռեեստրից փոփոխված տեղեկությունների մշակում և ներկայացում (P.TS.01.OPR.018) |
սերտիֆիկատների և հայտարարագրերի միասնական ռեեստր (P.TS.01.BEN.001). տեղեկությունները չեն կարող ներկայացվել, սերտիֆիկատների և հայտարարագրերի միասնական ռեեստր (P.TS.01.BEN.001). տեղեկությունները ներկայացվել են |
սերտիֆիկատների և հայտարարագրերի միասնական ռեեստրից փոփոխված տեղեկությունների ստացում (P.TS.01.TRN.007) |
VI. Ընդհանուր գործընթացի հաղորդագրությունների նկարագրությունը
15. Ընդհանուր գործընթացն իրագործելիս տեղեկատվական փոխգործակցության շրջանակներում փոխանցվող՝ ընդհանուր գործընթացի հաղորդագրությունների ցանկը բերված է 4-րդ աղյուսակում։ Հաղորդագրության կազմում տվյալների կառուցվածքը պետք է համապատասխանի էլեկտրոնային փաստաթղթերի և տեղեկությունների ձևաչափերի ու կառուցվածքների նկարագրությանը։ Էլեկտրոնային փաստաթղթերի և տեղեկությունների ձևաչափերի ու կառուցվածքների նկարագրության մեջ համապատասխան կառուցվածքին հղումը սահմանվում է ըստ 4-րդ աղյուսակի 3-րդ սյունակի արժեքի:
Աղյուսակ 4
Ընդհանուր գործընթացի հաղորդագրությունների ցանկը
|
Ծածկագրային նշագիրը |
Անվանումը |
Էլեկտրոնային փաստաթղթի (տեղեկությունների) կառուցվածքը |
|
1 |
2 |
3 |
|
P.TS.01.MSG.001 |
սերտիֆիկատների և հայտարարագրերի միասնական ռեեստրի ազգային մասի թարմացման մասին տեղեկություններ |
սերտիֆիկատների և հայտարարագրերի միասնական ռեեստրից տեղեկություններ (R.TR.TS.01.001) |
|
P.TS.01.MSG.002 |
սերտիֆիկատների և հայտարարագրերի միասնական ռեեստրի ազգային մասում փոփոխությունների բացակայության մասին տեղեկություններ |
ընդհանուր ռեսուրսի արդիականացման վիճակ (R.007) |
|
P.TS.01.MSG.003 |
ներկայացված տեղեկությունների մշակման մասին ծանուցում |
մշակման արդյունքի մասին ծանուցում (R.006) |
|
P.TS.01.MSG.007 |
սերտիֆիկատների և հայտարարագրերի միասնական ռեեստրում փաստաթղթի կարգավիճակի փոփոխման մասին տեղեկություններ |
սերտիֆիկատների և հայտարարագրերի միասնական ռեեստրից տեղեկություններ (R.TR.TS.01.001) |
|
P.TS.01.MSG.008 |
սերտիֆիկատների և հայտարարագրերի միասնական ռեեստրի թարմացման ամսաթվի և ժամի մասին տեղեկությունների հարցում |
ընդհանուր ռեսուրսի արդիականացման վիճակ (R.007) |
|
P.TS.01.MSG.009 |
սերտիֆիկատների և հայտարարագրերի միասնական ռեեստրի թարմացման ամսաթվի և ժամի մասին տեղեկություններ (P.TS.01.MSG.009) |
ընդհանուր ռեսուրսի արդիականացման վիճակ (R.007) |
|
P.TS.01.MSG.010 |
սերտիֆիկատների և հայտարարագրերի միասնական ռեեստրից տեղեկությունների հարցում |
սերտիֆիկատների և հայտարարագրերի միասնական ռեեստրից տեղեկությունների հարցում (R.TR.TS.01.002) |
|
P.TS.01.MSG.011 |
սերտիֆիկատների և հայտարարագրերի միասնական ռեեստրից տեղեկություններ |
սերտիֆիկատների և հայտարարագրերի միասնական ռեեստրից տեղեկություններ (R.TR.TS.01.001) |
|
P.TS.01.MSG.012 |
տեղեկություններ ներկայացնելու անհնարինության մասին ծանուցում |
մշակման արդյունքի մասին ծանուցում (R.006) |
|
P.TS.01.MSG.013 |
սերտիֆիկատների և հայտարարագրերի միասնական ռեեստրից փոփոխված տեղեկությունների հարցում |
սերտիֆիկատների և հայտարարագրերի միասնական ռեեստրից փոփոխված տեղեկությունների հարցում (R.TR.TS.01.002) |
|
P.TS.01.MSG.014 |
սերտիֆիկատների և հայտարարագրերի միասնական ռեեստրից փոփոխված տեղեկություններ |
սերտիֆիկատների և հայտարարագրերի միասնական ռեեստրից տեղեկություններ (R.TR.TS.01.001) |
VII. Ընդհանուր գործընթացի տրանզակցիաների նկարագրությունը
1. «Սերտիֆիկատների և հայտարարագրերի միասնական ռեեստրի ազգային մասի թարմացման մասին տեղեկությունների փոխանցում» (P.TS.01.TRN.001) ընդհանուր գործընթացի տրանզակցիան
16. «Սերտիֆիկատների և հայտարարագրերի միասնական ռեեստրի ազգային մասի թարմացման մասին տեղեկությունների փոխանցում» (P.TS.01.TRN.001) ընդհանուր գործընթացի տրանզակցիան կատարվում է սերտիֆիկատների և հայտարարագրերի միասնական ռեեստրի ազգային մասում փոփոխված կամ կրկին ներառված՝ համապատասխանության գնահատման վերաբերյալ փաստաթղթերի մասին տեղեկությունները նախաձեռնողի կողմից ռեսպոնդենտին փոխանցվելու համար: Ընդհանուր գործընթացի նշված տրանզակցիայի կատարման սխեման ներկայացված է 4-րդ նկարում։ Ընդհանուր գործընթացի տրանզակցիայի պարամետրերը բերված են 5-րդ աղյուսակում։
Նկար 4. «Սերտիֆիկատների և հայտարարագրերի միասնական ռեեստրի ազգային մասի թարմացման մասին տեղեկությունների փոխանցում» (P.TS.01.TRN.001) ընդհանուր գործընթացի տրանզակցիայի կատարման սխեման
Աղյուսակ 5
«Սերտիֆիկատների և հայտարարագրերի միասնական ռեեստրի ազգային մասի թարմացման մասին տեղեկությունների փոխանցում» (P.TS.01.TRN.001) ընդհանուր գործընթացի տրանզակցիայի նկարագրությունը
|
Համարը՝ ը/կ |
Պարտադիր տարրը |
Նկարագրությունը |
|
1 |
2 |
3 |
|
1 |
Ծածկագրային նշագիրը |
P.TS.01.TRN.001 |
|
2 |
Ընդհանուր գործընթացի տրանզակցիայի անվանումը |
սերտիֆիկատների և հայտարարագրերի միասնական ռեեստրի ազգային մասի թարմացման մասին տեղեկությունների փոխանցում |
|
3 |
Ընդհանուր գործընթացի տրանզակցիայի ձևանմուշը |
հարցում/պատասխան |
|
4 |
Սկզբնավորող դերը |
նախաձեռնող |
|
5 |
Սկզբնավորող գործողությունը |
սերտիֆիկատների և հայտարարագրերի միասնական ռեեստրի ազգային մասի թարմացման մասին տեղեկությունների ներկայացում |
|
6 |
Արձագանքող դերը |
ռեսպոնդենտ |
|
7 |
Ընդունող գործողությունը |
սերտիֆիկատների և հայտարարագրերի միասնական ռեեստրի ազգային մասի թարմացման մասին տեղեկությունների ընդունում և մշակում |
|
8 |
Ընդհանուր գործընթացի տրանզակցիայի կատարման արդյունքը |
սերտիֆիկատների և հայտարարագրերի միասնական ռեեստր (P.TS.01.BEN.001). տեղեկությունները մշակվել են |
|
9 |
Ընդհանուր գործընթացի տրանզակցիայի պարամետրերը․
ստացումը հաստատելու համար ժամանակը
մշակման ընդունումը հաստատելու ժամանակը
պատասխանին սպասելու ժամանակը
ավտորիզացման հատկանիշը
կրկնությունների քանակը |
-
10 րոպե
15 րոպե
այո
3 |
|
10 |
Ընդհանուր գործընթացի տրանզակցիայի հաղորդագրությունները.
սկզբնավորող հաղորդագրությունը
պատասխան հաղորդագրությունը |
սերտիֆիկատների և հայտարարագրերի միասնական ռեեստրի ազգային մասի թարմացման մասին տեղեկություններ (P.TS.01.MSG.001)
ներկայացված տեղեկությունների մշակման մասին ծանուցում (P.TS.01.MSG.003) |
|
11 |
Ընդհանուր գործընթացի տրանզակցիայի հաղորդագրությունների պարամետրերը․
ԷԹՍ հատկանիշը
ոչ ճշգրիտ ԷԹՍ-ով էլեկտրոնային փաստաթղթի փոխանցումը |
ոչ՝ P.TS.01.MSG.001-ի համար (բացառությամբ այն դեպքերի, երբ ընդհանուր գործընթացի շրջանակներում տեղեկատվական փոխգործակցության իրականացման ժամանակ ԷԹՍ-ի կիրառումը նախատեսված է Հանձնաժողովի կոլեգիայի համապատասխան որոշմամբ)
ոչ՝ P.TS.01.MSG.003-ի համար
- |
2. «Սերտիֆիկատների և հայտարարագրերի միասնական ռեեստրի ազգային մասում փոփոխությունների բացակայության մասին ծանուցման փոխանցում» (P.TS.01.TRN.002) ընդհանուր գործընթացի տրանզակցիա
17. «Սերտիֆիկատների և հայտարարագրերի միասնական ռեեստրի ազգային մասում փոփոխությունների բացակայության մասին ծանուցման փոխանցում» (P.TS.01.TRN.002) ընդհանուր գործընթացի տրանզակցիան կատարվում է սերտիֆիկատների և հայտարարագրերի միասնական ռեեստրի ազգային մասում փոփոխությունների բացակայության մասին տեղեկությունները նախաձեռնողի կողմից ռեսպոնդենտին փոխանցվելու համար: Ընդհանուր գործընթացի նշված տրանզակցիայի կատարման սխեման ներկայացված է 5-րդ նկարում։ Ընդհանուր գործընթացի տրանզակցիայի պարամետրերը բերված են 6-րդ աղյուսակում։
Նկար 5. «Սերտիֆիկատների և հայտարարագրերի միասնական ռեեստրի ազգային մասում փոփոխությունների բացակայության մասին ծանուցման փոխանցում» (P.TS.01.TRN.002) ընդհանուր գործընթացի տրանզակցիայի կատարման սխեմա
Աղյուսակ 6
«Սերտիֆիկատների և հայտարարագրերի միասնական ռեեստրի ազգային մասում փոփոխությունների բացակայության մասին ծանուցման փոխանցում» (P.TS.01.TRN.002) ընդհանուր գործընթացի տրանզակցիայի նկարագրությունը
|
Համարը՝ ը/կ |
Պարտադիր տարրը |
Նկարագրությունը |
|
1 |
2 |
3 |
|
1 |
Ծածկագրային նշագիրը |
P.TS.01.TRN.002 |
|
2 |
Ընդհանուր գործընթացի տրանզակցիայի անվանումը |
սերտիֆիկատների և հայտարարագրերի միասնական ռեեստրի ազգային մասում փոփոխությունների բացակայության մասին ծանուցման փոխանցում |
|
3 |
Ընդհանուր գործընթացի տրանզակցիայի ձևանմուշը |
հարցում/պատասխան |
|
4 |
Սկզբնավորող դերը |
նախաձեռնող |
|
5 |
Սկզբնավորող գործողությունը |
սերտիֆիկատների և հայտարարագրերի միասնական ռեեստրի ազգային մասի թարմացման մասին տեղեկությունների ներկայացում |
|
6 |
Արձագանքող դերը |
ռեսպոնդենտ |
|
7 |
Ընդունող գործողությունը |
սերտիֆիկատների և հայտարարագրերի միասնական ռեեստրի ազգային մասի թարմացման մասին տեղեկությունների ընդունում և մշակում |
|
8 |
Ընդհանուր գործընթացի տրանզակցիայի կատարման արդյունքը |
սերտիֆիկատների և հայտարարագրերի միասնական ռեեստր (P.TS.01.BEN.001). տեղեկությունները մշակվել են |
|
9 |
Ընդհանուր գործընթացի տրանզակցիայի պարամետրերը.
ստացումը հաստատելու համար ժամանակը
մշակման համար ընդունումը հաստատվելու ժամանակը
պատասխանին սպասելու ժամանակը
ավտորիզացման հատկանիշը
կրկնությունների քանակը |
-
10 րոպե
15 րոպե
այո
3 |
|
10 |
Ընդհանուր գործընթացի տրանզակցիայի հաղորդագրությունները.
սկզբնավորող հաղորդագրությունը
պատասխան հաղորդագրությունը |
սերտիֆիկատների և հայտարարագրերի միասնական ռեեստրի ազգային մասում փոփոխությունների բացակայության մասին տեղեկություններ (P.TS.01.MSG.002) ներկայացված տեղեկությունների մշակման մասին ծանուցում (P.TS.01.MSG.003) |
|
11 |
Ընդհանուր գործընթացի տրանզակցիայի հաղորդագրությունների պարամետրերը ԷԹՍ-ի հատկանիշը
ոչ ճշգրիտ ԷԹՍ-ով էլեկտրոնային փաստաթղթի փոխանցումը |
ոչ՝ P.TS.01.MSG.002-ի համար (բացառությամբ այն դեպքերի, երբ ընդհանուր գործընթացի շրջանակներում տեղեկատվական փոխգործակցության իրականացման ժամանակ ԷԹՍ-ի կիրառումը նախատեսված է Հանձնաժողովի կոլեգիայի համապատասխան որոշմամբ)
ոչ՝ P.TS.01.MSG.003-ի համար
- |
3. «Սերտիֆիկատների և հայտարարագրերի միասնական ռեեստրում փաստաթղթի կարգավիճակի փոփոխման մասին ծանուցում» (P.TS.01.TRN.004) ընդհանուր գործընթացի տրանզակցիան
18. «Սերտիֆիկատների և հայտարարագրերի միասնական ռեեստրում փաստաթղթի կարգավիճակի փոփոխման մասին ծանուցում» (P.TS.01.TRN.004) ընդհանուր գործընթացի տրանզակցիան կատարվում է նախաձեռնողի կողմից ռեսպոնդենտին համապատասխան տեղեկություններ փոխանցվելու համար։ Ընդհանուր գործընթացի նշված տրանզակցիայի կատարման սխեման ներկայացված է 6-րդ նկարում։ Ընդհանուր գործընթացի տրանզակցիայի պարամետրերը բերված են 7-րդ աղյուսակում։
Նկար 6. «Սերտիֆիկատների և հայտարարագրերի միասնական ռեեստրում փաստաթղթի կարգավիճակի փոփոխման մասին ծանուցում» (P.TS.01.TRN.004) ընդհանուր գործընթացի տրանզակցիայի կատարման սխեման
Աղյուսակ 7
«Սերտիֆիկատների և հայտարարագրերի միասնական ռեեստրում փաստաթղթի կարգավիճակի փոփոխման մասին ծանուցում» (P.TS.01.TRN.004) ընդհանուր գործընթացի տրանզակցիայի նկարագրությունը
|
Համարը՝ ը/կ |
Պարտադիր տարրը |
Նկարագրությունը |
|
1 |
2 |
3 |
|
1 |
Ծածկագրային նշագիրը |
P.TS.01.TRN.004 |
|
2 |
Ընդհանուր գործընթացի տրանզակցիայի անվանումը |
սերտիֆիկատների և հայտարարագրերի միասնական ռեեստրում փաստաթղթի կարգավիճակի փոփոխման մասին ծանուցում |
|
3 |
Ընդհանուր գործընթացի տրանզակցիայի ձևանմուշը |
տեղեկացում |
|
4 |
Սկզբնավորող դերը |
նախաձեռնող |
|
5 |
Սկզբնավորող գործողությունը |
սերտիֆիկատների և հայտարարագրերի միասնական ռեեստրում փաստաթղթի կարգավիճակի փոփոխման մասին տեղեկությունների ուղարկում |
|
6 |
Արձագանքող դերը |
ռեսպոնդենտ |
|
7 |
Ընդունող գործողությունը |
սերտիֆիկատների և հայտարարագրերի միասնական ռեեստրում փաստաթղթի կարգավիճակի փոփոխման մասին տեղեկությունների ընդունում |
|
8 |
Ընդհանուր գործընթացի տրանզակցիայի կատարման արդյունքը |
սերտիֆիկատների և հայտարարագրերի միասնական ռեեստր (P.TS.01.BEN.001). տեղեկություններն ստացվել են |
|
9 |
Ընդհանուր գործընթացի տրանզակցիայի պարամետրերը․
ստացումը հաստատելու համար ժամանակը
մշակման համար ընդունումը հաստատելու ժամանակը
պատասխանին սպասելու ժամանակը
ավտորիզացման հատկանիշը
կրկնությունների քանակը |
10 րոպե
-
-
ոչ
3 |
|
10 |
Ընդհանուր գործընթացի տրանզակցիայի հաղորդագրությունները.
սկզբնավորող հաղորդագրությունը
պատասխան հաղորդագրությունը |
Սերտիֆիկատների և հայտարարագրերի միասնական ռեեստրում փաստաթղթի կարգավիճակի փոփոխման մասին տեղեկությունները (P.TS.01.MSG.007)
- |
|
11 |
Ընդհանուր գործընթացի տրանզակցիայի հաղորդագրությունների պարամետրերը․
ԷԹՍ-ի հատկանիշը
ոչ ճշգրիտ ԷԹՍ-ով էլեկտրոնային փաստաթղթի փոխանցումը |
ոչ (բացառությամբ այն դեպքերի, երբ ընդհանուր գործընթացի շրջանակներում տեղեկատվական փոխգործակցության իրականացման ժամանակ ԷԹՍ-ի կիրառումը նախատեսված է Հանձնաժողովի կոլեգիայի համապատասխան որոշմամբ)
- |
4. «Սերտիֆիկատների և հայտարագրերի միասնական ռեեստրի թարմացման ամսաթվի և ժամի մասին տեղեկությունների ստացում» (P.TS.01.TRN.005) ընդհանուր գործընթացի տրանզակցիա
19. «Սերտիֆիկատների և հայտարագրերի միասնական ռեեստրի թարմացման ամսաթվի և ժամի մասին տեղեկությունների ստացում» (P.TS.01.TRN.005) ընդհանուր գործընթացի տրանզակցիան կատարվում է ռեսպոնդենտի կողմից սերտիֆիկատների և հայտարագրերի միասնական ռեեստրի թարմացման ամսաթվի և ժամի մասին տեղեկությունները նախաձեռնողի հարցմամբ ներկայացվելու համար։ Ընդհանուր գործընթացի նշված տրանզակցիայի կատարման սխեման ներկայացված է 7-րդ նկարում։ Ընդհանուր գործընթացի տրանզակցիայի պարամետրերը բերված են 8-րդ աղյուսակում։
Նկար 7. «Սերտիֆիկատների և հայտարագրերի միասնական ռեեստրի թարմացման ամսաթվի և ժամի մասին տեղեկությունների ստացում» (P.TS.01.TRN.005) ընդհանուր գործընթացի տրանզակցիայի կատարման սխեման
Աղյուսակ 8
«Սերտիֆիկատների և հայտարագրերի միասնական ռեեստրի թարմացման ամսաթվի և ժամի մասին տեղեկությունների ստացում» (P.TS.01.TRN.005) ընդհանուր գործընթացի տրանզակցիայի նկարագրությունը
|
Համարը՝ ը/կ |
Պարտադիր տարրը |
Նկարագրությունը |
|
1 |
2 |
3 |
|
1 |
Ծածկագրային նշագիրը |
P.TS.01.TRN.005 |
|
2 |
Ընդհանուր գործընթացի տրանզակցիայի անվանումը |
Սերտիֆիկատների և հայտարարագրերի միասնական ռեեստրի թարմացման ամսաթվի և ժամի մասին տեղեկությունների ստացում |
|
3 |
Ընդհանուր գործընթացի տրանզակցիայի ձևանմուշը |
հարցում/պատասխան |
|
4 |
Սկզբնավորող դերը |
նախաձեռնող |
|
5 |
Սկզբնավորող գործողությունը |
սերտիֆիկատների և հայտարարագրերի միասնական ռեեստրի թարմացման ամսաթվի և ժամի մասին տեղեկությունների հարցում |
|
6 |
Արձագանքող դերը |
ռեսպոնդենտ |
|
7 |
Ընդունող գործողությունը |
սերտիֆիկատների և հայտարարագրերի միասնական ռեեստրի թարմացման ամսաթվի և ժամի մասին տեղեկությունների մշակում և ներկայացում |
|
8 |
Ընդհանուր գործընթացի տրանզակցիայի կատարման արդյունքը |
սերտիֆիկատների և հայտարարագրերի միասնական ռեեստր (P.TS.01.BEN.001). թարմացման ամսաթիվը և ժամը ներկայացվել են |
|
9 |
Ընդհանուր գործընթացի տրանզակցիայի պարամետրերը.
ստացումը հաստատելու համար ժամանակը
մշակման ընդունումը հաստատելու ժամանակը
պատասխանին սպասելու ժամանակը
ավտորիզացման հատկանիշը
կրկնությունների քանակը |
-
-
4 ժամ
այո
3 |
|
10 |
Ընդհանուր գործընթացի տրանզակցիայի հաղորդագրությունները.
սկզբնավորող հաղորդագրությունը
պատասխան հաղորդագրությունը |
սերտիֆիկատների և հայտարարագրերի միասնական ռեեստրի թարմացման ամսաթվի և ժամի մասին տեղեկությունների հարցում (P.TS.01.MSG.008)
սերտիֆիկատների և հայտարարագրերի միասնական ռեեստրի թարմացման ամսաթվի և ժամի մասին տեղեկություններ (P.TS.01.MSG.009) |
|
11 |
Ընդհանուր գործընթացի տրանզակցիայի հաղորդագրությունների պարամետրերը․
ԷԹՍ-ի հատկանիշը
ոչ ճշգրիտ ԷԹՍ-ով էլեկտրոնային փաստաթղթի փոխանցումը |
ոչ
- |
5. «Սերտիֆիկատների և հայտարարագրերի միասնական ռեեստրից տեղեկությունների ստացում» (P.TS.01.TRN.006) ընդհանուր գործընթացի տրանզակցիան
20. «Սերտիֆիկատների և հայտարարագրերի միասնական ռեեստրից տեղեկությունների ստացում» (P.TS.01.TRN.006) ընդհանուր գործընթացի տրանզակցիան կատարվում է ռեսպոնդենտի կողմից սերտիֆիկատների և հայտարարագրերի միասնական ռեեստրից համապատասխան տեղեկությունները նախաձեռնողի հարցմամբ ներկայացվելու համար։ Ընդհանուր գործընթացի նշված տրանզակցիայի կատարման սխեման ներկայացված է 8-րդ նկարում։ Ընդհանուր գործընթացի տրանզակցիայի պարամետրերը բերված են 9-րդ աղյուսակում։
Նկար 8. «Սերտիֆիկատների և հայտարարագրերի միասնական ռեեստրից տեղեկությունների ստացում» (P.TS.01.TRN.006) ընդհանուր գործընթացի տրանզակցիայի կատարման սխեման
Աղյուսակ 9
«Սերտիֆիկատների և հայտարարագրերի միասնական ռեեստրից տեղեկությունների ստացում» (P.TS.01.TRN.006) ընդհանուր գործընթացի տրանզակցիայի կատարման սխեման
|
Համարը՝ ը/կ |
Պարտադիր տարրը |
Նկարագրությունը |
|
1 |
2 |
3 |
|
1 |
Ծածկագրային նշագիրը |
P.TS.01.TRN.006 |
|
2 |
Ընդհանուր գործընթացի տրանզակցիայի անվանումը |
սերտիֆիկատների և հայտարարագրերի միասնական ռեեստրից տեղեկությունների ստացում |
|
3 |
Ընդհանուր գործընթացի տրանզակցիայի ձևանմուշը |
հարցում/պատասխան |
|
4 |
Սկզբնավորող դերը |
նախաձեռնող |
|
5 |
Սկզբնավորող գործողությունը |
սերտիֆիկատների և հայտարարագրերի միասնական ռեեստրից տեղեկությունների հարցում |
|
6 |
Արձագանքող դերը |
ռեսպոնդենտ |
|
7 |
Ընդունող գործողությունը |
սերտիֆիկատների և հայտարարագրերի միասնական ռեեստրից տեղեկությունների մշակում և ներկայացում |
|
8 |
Ընդհանուր գործընթացի տրանզակցիայի կատարման արդյունքը |
սերտիֆիկատների և հայտարարագրերի միասնական ռեեստր (P.TS.01.BEN.001). տեղեկությունները չեն կարող ներկայացվել սերտիֆիկատների և հայտարարագրերի միասնական ռեեստր (P.TS.01.BEN.001). տեղեկությունները ներկայացվել են |
|
9 |
Ընդհանուր գործընթացի տրանզակցիայի պարամետրերը․
ստացումը հաստատելու համար ժամանակը
մշակման ընդունումը հաստատելու ժամանակը
պատասխանին սպասելու ժամանակը
ավտորիզացման հատկանիշը
կրկնությունների քանակը |
-
20 րոպե
4 ժամ
այո
3 |
|
10 |
Ընդհանուր գործընթացի տրանզակցիայի հաղորդագրությունները.
սկզբնավորող հաղորդագրությունը
պատասխան հաղորդագրությունը |
սերտիֆիկատների և հայտարարագրերի միասնական ռեեստրից տեղեկությունների հարցում (P.TS.01.MSG.010)
տեղեկություններ ներկայացնելու անհնարինության մասին ծանուցում (P.TS.01.MSG.012)
սերտիֆիկատների և հայտարարագրերի միասնական ռեեստրից տեղեկություններ (P.TS.01.MSG.011) |
|
11 |
Ընդհանուր գործընթացի տրանզակցիայի հաղորդագրությունների պարամետրերը․
ԷԹՍ-ի հատկանիշը
ոչ ճշգրիտ ԷԹՍ-ով էլեկտրոնային փաստաթղթի փոխանցումը |
ոչ
- |
6. «Սերտիֆիկատների և հայտարարագրերի միասնական ռեեստրից փոփոխված տեղեկությունների ստացում» (P.TS.01.TRN.007) ընդհանուր գործընթացի տրանզակցիայի կատարման սխեման
21. «Սերտիֆիկատների և հայտարարագրերի միասնական ռեեստրից փոփոխված տեղեկությունների ստացում» (P.TS.01.TRN.007) ընդհանուր գործընթացի տրանզակցիան կատարվում է նախաձեռնողի հարցմամբ սերտիֆիկատների և հայտարարագրերի միասնական ռեեստրից փոփոխված տեղեկությունները ռեսպոնդենտի կողմից ներկայացվելու համար։ Ընդհանուր գործընթացի նշված տրանզակցիայի կատարման սխեման ներկայացված է 9-րդ նկարում։ Ընդհանուր գործընթացի տրանզակցիայի պարամետրերը բերված են 10-րդ աղյուսակում։
Նկար 9. «Սերտիֆիկատների և հայտարարագրերի միասնական ռեեստրից փոփոխված տեղեկությունների ստացում» (P.TS.01.TRN.007) ընդհանուր գործընթացի տրանզակցիայի կատարման սխեման
Աղյուսակ 10
«Սերտիֆիկատների և հայտարարագրերի միասնական ռեեստրից փոփոխված տեղեկությունների ստացում» (P.TS.01.TRN.007) ընդհանուր գործընթացի տրանզակցիայի կատարման սխեման
|
Համարը՝ ը/կ |
Պարտադիր տարրը |
Նկարագրությունը |
|
1 |
2 |
3 |
|
1 |
Ծածկագրային նշագիրը |
P.TS.01.TRN.007 |
|
2 |
Ընդհանուր գործընթացի տրանզակցիայի անվանումը |
սերտիֆիկատների և հայտարարագրերի միասնական ռեեստրից փոփոխված տեղեկությունների հարցում |
|
3 |
Ընդհանուր գործընթացի տրանզակցիայի ձևանմուշը |
հարցում/պատասխան |
|
4 |
Սկզբնավորող դերը |
նախաձեռնող |
|
5 |
Սկզբնավորող գործողությունը |
սերտիֆիկատների և հայտարարագրերի միասնական ռեեստրից փոփոխված տեղեկությունների հարցում |
|
6 |
Արձագանքող դերը |
ռեսպոնդենտ |
|
7 |
Ընդունող գործողությունը |
սերտիֆիկատների և հայտարարագրերի միասնական ռեեստրից փոփոխված տեղեկությունների մշակում և ներկայացում |
|
8 |
Ընդհանուր գործընթացի տրանզակցիայի կատարման արդյունքը |
սերտիֆիկատների և հայտարարագրերի միասնական ռեեստր (P.TS.01.BEN.001). տեղեկությունները չեն կարող ներկայացվել սերտիֆիկատների և հայտարարագրերի միասնական ռեեստր (P.TS.01.BEN.001). տեղեկությունները ներկայացվել են |
|
9 |
Ընդհանուր գործընթացի տրանզակցիայի պարամետրերը․
ստացումը հաստատելու համար ժամանակը
մշակման ընդունումը հաստատելու ժամանակը
պատասխանին սպասելու ժամանակը
ավտորիզացման հատկանիշը
կրկնությունների քանակը |
-
20 րոպե
4 ժամ
այո
3 |
|
10 |
Ընդհանուր գործընթացի տրանզակցիայի հաղորդագրությունները.
սկզբնավորող հաղորդագրությունը
պատասխան հաղորդագրությունը |
սերտիֆիկատների և հայտարարագրերի միասնական ռեեստրից փոփոխված տեղեկությունների հարցում (P.TS.01.MSG.013)
տեղեկություններ ներկայացնելու անհնարինության մասին ծանուցում (P.TS.01.MSG.012)
սերտիֆիկատների և հայտարարագրերի միասնական ռեեստրից փոփոխված տեղեկություններ (P.TS.01.MSG.014) |
|
11 |
Ընդհանուր գործընթացի տրանզակցիայի հաղորդագրությունների պարամետրերը․
ԷԹՍ-ի հատկանիշը
ոչ ճշգրիտ ԷԹՍ-ով էլեկտրոնային փաստաթղթի փոխանցումը |
ոչ
- |
VIII. Արտակարգ իրավիճակներում գործողությունների կարգը
22. Ընդհանուր գործընթացի շրջանակներում տեղեկատվական փոխգործակցության ժամանակ հնարավոր են այնպիսի արտակարգ իրավիճակներ, երբ տվյալների մշակումը չի կարող կատարվել սովորական ռեժիմով։ Արտակարգ իրավիճակներն առաջանում են տեխնիկական խափանումների, սպասման ժամանակը լրանալու և այլ դեպքերում: Արտակարգ իրավիճակի առաջացման պատճառների վերաբերյալ մեկնաբանություններ և ընդհանուր գործընթացի մասնակցի կողմից այն կարգավորելու վերաբերյալ առաջարկություններ ստանալու համար նախատեսված է Միության ինտեգրված տեղեկատվական համակարգի աջակցության ծառայություն համապատասխան հարցում ուղարկելու հնարավորությունը: Արտակարգ իրավիճակի կարգավորման վերաբերյալ ընդհանուր առաջարկությունները բերված են 11-րդ աղյուսակում:
23. Անդամ պետության լիազորված մարմինն անցկացնում է էլեկտրոնային փաստաթղթերի և տեղեկությունների ձևաչափերի ու կառուցվածքների նկարագրությանը և սույն կանոնակարգի IX բաժնում նշված՝ էլեկտրոնային փաստաթղթերի և տեղեկությունների լրացմանը ներկայացվող պահանջներին համապատասխանության առումով այն հաղորդագրության ստուգումը, որի հետ կապված ստացվել է սխալի վերաբերյալ ծանուցումը: Նշված պահանջներին անհամապատասխանություն հայտնաբերելու դեպքում անդամ պետության լիազորված մարմինը ձեռնարկում է բոլոր անհրաժեշտ միջոցները՝ հայտնաբերված սխալը վերացնելու համար։ Անհամապատասխանություններ չհայտնաբերվելու դեպքում անդամ պետության լիազորված մարմինն այդ արտակարգ իրավիճակի նկարագրությամբ հաղորդագրություն է ուղարկում Միության ինտեգրված տեղեկատվական համակարգի աջակցման ծառայություն։
Աղյուսակ 11
Գործողություններն արտակարգ իրավիճակներում
|
Արտակարգ իրավիճակի ծածկագիրը |
Արտակարգ իրավիճակի նկարագրությունը |
Արտակարգ իրավիճակի պատճառները |
Արտակարգ իրավիճակի առաջացման դեպքում գործողությունների նկարագրությունը |
|
1 |
2 |
3 |
4 |
|
P.EXC.001 |
միակողմանի տրանզակցիայի նախաձեռնողը կրկնությունների համաձայնեցված ժամանակը և քանակը լրանալուց հետո չի ստացել հաղորդագրությունը ստանալու հաստատում |
տրանսպորտային համակարգում տեխնիկական խափանումներ կամ ծրագրային ապահովման համակարգային սխալ |
անհրաժեշտ է հարցում ուղարկել այն ազգային հատվածի տեխնիկական աջակցության ծառայություն, որտեղ ուղարկվել է հաղորդագրությունը |
|
P.EXC.002 |
ընդհանուր գործընթացի երկկողմ տրանզակցիայի նախաձեռնողը կրկնությունների համաձայնեցված քանակը լրանալուց հետո հաղորդագրություն-պատասխան չի ստացել |
տրանսպորտային համակարգում տեխնիկական խափանումները կամ ծրագրային ապահովման համակարգային սխալը |
անհրաժեշտ է հարցում ուղարկել ազգային հատվածի տեխնիկական աջակցության այն ծառայություն, որտեղ ձևավորվել է հաղորդագրությունը |
|
P.EXC.003 |
միակողմանի տրանզակցիայի ռեսպոնդենտը չի կարողացել մշակել հաղորդագրությունն այն բանից հետո, երբ նախաձեռնողին է ուղարկել այն ստանալու հաստատումը |
ծրագրային ապահովման համակարգային սխալը ռեսպոնդենտի մոտ |
անհրաժեշտ է հարցում ուղարկել ազգային հատվածի տեխնիկական աջակցության այն ծառայություն, որտեղ ձևավորվել է հաղորդագրությունը |
|
P.EXC.004 |
ընդհանուր գործընթացի տրանզակցիան նախաձեռնողը սխալի մասին ծանուցում է ստացել |
տեղեկագրքերն ու դասակարգիչները չեն համաժամանակեցվել, կամ էլեկտրոնային փաստաթղթերի (տեղեկությունների) XML սխեմաները չեն թարմացվել |
ընդհանուր գործընթացի տրանզակցիայի նախաձեռնողը պետք է սինքրոնացնի օգտագործվող տեղեկագրքերն ու դասակարգիչները կամ թարմացնի էլեկտրոնային փաստաթղթերի (տեղեկությունների) XML սխեմաները։ Եթե տեղեկագրքերն ու դասակարգիչները սինքրոնացվել են, էլեկտրոնային փաստաթղթերի (տեղեկությունների) XML սխեմաները՝ թարմացվել, ապա անհրաժեշտ է հարցում ուղարկել ընդունող մասնակցի աջակցման ծառայություն |
IX. Էլեկտրոնային փաստաթղթերի և տեղեկությունների լրացմանը ներկայացվող պահանջները
24. «Սերտիֆիկատների և հայտարարագրերի միասնական ռեեստրի ազգային մասի թարմացման մասին տեղեկություններ» (P.TS.01.MSG.001) հաղորդագրությամբ փոխանցվող «Սերտիֆիկատների և հայտարարագրերի միասնական ռեեստրից տեղեկություններ» (R.TR.TS.01.001) էլեկտրոնային փաստաթղթերի (տեղեկությունների) վավերապայմանների լրացմանը ներկայացվող պահանջները բերված են 12-րդ աղյուսակում:
Աղյուսակ 12
«Սերտիֆիկատների և հայտարարագրերի միասնական ռեեստրի ազգային մասի թարմացման մասին տեղեկություններ» (P.TS.01.MSG.001) հաղորդագրությամբ փոխանցվող «Սերտիֆիկատների և հայտարարագրերի միասնական ռեեստրից տեղեկություններ» (R.TR.TS.01.001) էլեկտրոնային փաստաթղթերի (տեղեկությունների) վավերապայմանների լրացմանը ներկայացվող պահանջներ
|
Պահանջի ծածկագիրը |
Պահանջի ձևակերպումը |
|
1 |
եթե «Ընդհանուր ռեսուրսի գրառման տեխնոլոգիական բնութագրեր» (ccdo:ResourceItemStatusDetails) բարդ վավերապայմանի կազմում «Թարմացման ամսաթիվը և ժամը» (csdo:UpdateDateTime) վավերապայմանը լրացված չէ, ապա Միության տեղեկատվական պորտալում հրապարակված՝ սերտիֆիկատների և հայտարարագրերի միասնական ռեեստրից տեղեկությունները չպետք է պարունակեն «Համապատասխանության գնահատման վերաբերյալ փաստաթուղթ» (trcdo:ConformityDocDetails) բարդ վավերապայմանի կազմում «Երկրի ծածկագիրը» (csdo:UnifiedCountryCode) և «Փաստաթղթի համարը» (csdo:DocId) վավերապայմանների նույնանման արժեքով գրառում, որում «Ընդհանուր ռեսուրսի գրառման տեխնոլոգիական բնութագրեր» (ccdo:ResourceItemStatusDetails) բարդ վավերապայմանի կազմում «Ավարտի ամսաթիվը և ժամը» (csdo:EndDateTime) վավերապայմանը լրացված չէ |
|
2 |
եթե «Ընդհանուր ռեսուրսի գրառման տեխնոլոգիական բնութագրերը» (ccdo:ResourceItemStatusDetails) բարդ վավերապայմանի կազմում «Թարմացման ամսաթիվը և ժամը» (csdo:UpdateDateTime) վավերապայմանը լրացված է, ապա Միության տեղեկատվական պորտալում հրապարակված՝ սերտիֆիկատների և հայտարարագրերի միասնական ռեեստրից տեղեկությունները պետք է պարունակեն «Համապատասխանության գնահատման փաստաթուղթը» (trcdo:ConformityDocDetails) բարդ վավերապայմանի կազմում «Երկրի ծածկագիրը» (csdo:UnifiedCountryCode) և «Փաստաթղթի համարը» (csdo:DocId) վավերապայմանների նույնանման արժեքով գրառում, որում «Ընդհանուր ռեսուրսի գրառման տեխնոլոգիական բնութագրերը» (ccdo:ResourceItemStatusDetails) բարդ վավերապայմանի կազմում «Ավարտի ամսաթիվը և ժամը» (csdo:EndDateTime) վավերապայմանը լրացված չէ, իսկ «Մեկնարկի ամսաթիվը և ժամը» (csdo:StartDateTime) վավերապայմանի արժեքը փոխանցվող գրառման մեջ «Մեկնարկի ամսաթիվը և ժամը» (csdo:StartDateTime) վավերապայմանի արժեքից փոքր է |
|
3 |
«Հասցեն» (ccdo:AddressV4Details) բարդ վավերապայմանի կազմում «Հասցեի տեսակի ծածկագիրը» (csdo:AddressKindCode) վավերապայմանը պետք է լրացված լինի |
|
4 |
«Հասցեն» (ccdo:AddressV4Details) բարդ վավերապայմանի կազմում «Հասցեի տեսակի ծածկագիրը» (csdo:AddressKindCode) վավերապայմանը պետք է համապատասխանի Միության նորմատիվ տեղեկատվական տեղեկությունների ռեեստրում հասցեի տեսակների ցանկից այն ծածկագրին, որը համապատասխանում է գտնվելու վայրին (իրավաբանական անձի հասցեին) կամ գործունեություն իրականացնելու վայրի հասցեին։ Նախքան նշված ցանկը Միության նորմատիվ տեղեկատվական տեղեկությունների միասնական համակարգի ռեսուրսների կազմում ընդգրկելը՝ «Հասցեն» (ccdo:AddressV4Details) բարդ վավերապայմանի կազմում «Հասցեի տեսակի ծածկագիրը» (csdo:AddressKindCode) վավերապայմանը պետք է ընդունի հետևյալ արժեքներից մեկը՝ «01»՝ գտնվելու վայր (գրանցման հասցե) «02»՝ գործունեություն իրականացնելու վայր (փաստացի հասցե) |
|
6 |
«Կոնտակտային վավերապայման» (ccdo:CommunicationDetails) բարդ վավերապայմանի կազմում «Կապի տեսակի ծածկագիրը» (csdo:CommunicationChannelCode) վավերապայմանը պետք է լրացվի |
|
7 |
«Կոնտակտային վավերապայմանը» (ccdo:CommunicationDetails) բարդ վավերապայմանի կազմում «Կապի տեսակի ծածկագիրը» (csdo:CommunicationChannelCode) վավերապայմանը պետք է պարունակի միայն Հանձնաժողովի կոլեգիայի 2022 թվականի դեկտեմբերի 6-ի թիվ 192 որոշմամբ հաստատված՝ կապի միջոցների (ուղիների) տեսակների ցանկից հետևյալ արժեքները՝ «TE»՝ հեռախոս. «EM»՝ էլեկտրոնային փոստ. «FX»՝ հեռատպիչ. «AO»՝ համաշխարհային ցանցի ռեսուրսի միասնական ցուցիչ (URL) (կայքի հասցեն՝ «Ինտերնետ» տեղեկատվական-հաղորդակցական ցանց) |
|
8 |
«Կոնտակտային վավերապայմանը» (ccdo:CommunicationDetails) բարդ վավերապայմանի կազմում «Կապի տեսակի անվանումը» (csdo:CommunicationChannelName) վավերապայմանը չի լրացվում |
|
9 |
«Ընդհանուր ռեսուրսի գրառման տեխնոլոգիական բնութագրերը» (ccdo:ResourceItemStatusDetails) բարդ վավերապայմանի կազմում «Ավարտի ամսաթիվը և ժամը» (csdo:EndDateTime) վավերապայմանը չի լրացվում |
|
10 |
փոխանցվող հաղորդագրության մեջ չպետք է պարունակվեն «Համապատասխանության գնահատման փաստաթուղթը» (trcdo:ConformityDocDetails) բարդ վավերապայմաններ, որոնք համընկնում են միմյանց «Փաստաթղթի համարը» (csdo:DocId) վավերապայմանի արժեքով |
|
11 |
«Համապատասխանության գնահատման մասին փաստաթուղթը» (trcdo:ConformityDocDetails) բարդ վավերապայմանի կազմում «Համապատասխանության գնահատման մասին փաստաթղթի տեսակի ծածկագիրը» (trsdo:ConformityDocKindCode) և «Էլեկտրոնային փաստաթղթի հատկանիշը» (csdo:EDocIndicatorCode) վավերապայմանները պետք է լրացվեն |
|
12 |
«Համապատասխանության գնահատման մասին փաստաթուղթը» (trcdo:ConformityDocDetails) բարդ վավերապայմանի կազմում «Փաստաթղթի համարը» (csdo:DocId) վավերապայմանը պետք է պարունակի «(ЕАЭС|ТС).+» ձևանմուշին համապատասխան արժեք («ЕАЭС» և «ТС» պայմանանշանները տպվում են կիրիլիցայի տառերի օգտագործմամբ) |
|
13 |
«Համապատասխանության գնահատման մասին փաստաթուղթը» (trcdo:ConformityDocDetails) բարդ վավերապայմանի կազմում «Փաստաթղթի ամսաթիվը» (csdo:DocCreationDate) վավերապայմանը չի լրացվում |
|
14 |
«Ապրանքի ծածկագիրը՝ ըստ ԵԱՏՄ ԱՏԳ ԱԱ-ի» (csdo:CommodityCode) վավերապայմանը պետք է պարունակի 1-ից ոչ պակաս արժեք՝ հետևյալ վավերապայմաններից առնվազն մեկի կազմում՝ «Արտադրատեսակը» (trcdo:ProductV2Details) «Արտադրատեսակի միավորը» (trcdo:ProductInstanceDetails) |
|
15 |
եթե լրացվել է «Սերտիֆիկացման մարմինը» (trcdo:ConformityAuthorityV2Details) բարդ վավերապայմանը, ապա «Տնտեսավարող սուբյեկտի ստորաբաժանման անվանումը» (csdo:BusinessEntityUnitName), «Հասցեն» (ccdo:AddressV4Details) և «Կոնտակտային վավերապայմանը» (ccdo:CommunicationDetails) վավերապայմանները դրա կազմում պետք է լրացվեն |
|
16 |
եթե «Համապատասխանության գնահատման մասին փաստաթղթի տեսակի ծածկագիրը» (trsdo:ConformityDocKindCode) վավերապայմանը համապատասխանում է «05» կամ «15» արժեքին, ընդ որում, «Էլեկտրոնային փաստաթղթի հատկանիշը» (csdo:EDocIndicatorCode) վավերապայմանը պարունակում է էլեկտրոնային եղանակով «ԷՓ»-ից տարբերվող արժեք, ապա «Համապատասխանության գնահատման մասին փաստաթուղթը» (trcdo:ConformityDocDetails) բարդ վավերապայմանի կազմում «Փաստաթղթի ձևաթղթի համարը» (csdo:FormNumberId) վավերապայմանը պետք է լրացվի |
|
17 |
եթե «Համապատասխանության գնահատման մասին փաստաթղթի տեսակի ծածկագիրը» (trsdo:ConformityDocKindCode) վավերապայմանը համապատասխանում է «05» կամ «15» արժեքին, ընդ որում, «Էլեկտրոնային փաստաթղթի հատկանիշը» (csdo:EDocIndicatorCode) վավերապայմանը պարունակում է էլեկտրոնային եղանակով «ԷՓ»-ից տարբերվող արժեք, ապա այդ դեպքում, երբ ներկայացված է «Փաստաթղթի հավելվածը» (trcdo:DocAnnexDetails) բարդ վավերապայմանը, «Փաստաթղթի ձևաթղթի համարը» (csdo:FormNumberId) վավերապայմանը դրա կազմում պետք է լրացվի |
|
18 |
«Փաստաթղթի գործողության կարգավիճակը» (trcdo:DocStatusDetails) բարդ վավերապայմանի կազմում «Փաստաթղթի գործողության կարգավիճակի ծածկագիրը» (trsdo:DocStatusCode) վավերապայմանը պետք է լրացված լինի |
|
19 |
«Փաստաթղթի գործողության կարգավիճակը» (trcdo:DocStatusDetails) բարդ վավերապայմանի կազմում «Փաստաթղթի գործողության կարգավիճակի ծածկագիրը» (trsdo:DocStatusCode) վավերապայմանի արժեքը պետք է համապատասխանի հետևյալ արժեքներից մեկին՝ «01»՝ գործում է. «02»՝ կասեցվել է. «03»՝ դադարեցվել է «05»՝ վերսկսվել է․ «09»՝ արխիվային |
|
20 |
եթե «Փաստաթղթի գործողության կարգավիճակը» (trcdo:DocStatusDetails) բաղադրյալ վավերապայմանի կազմում «Փաստաթղթի գործողության կարգավիճակի ծածկագիրը» (trsdo:DocStatusCode) վավերապայմանը պարունակում է «02», «03», «05» կամ «09» արժեքը, ապա «Փաստաթղթի գործողության կարգավիճակը» (trcdo:DocStatusDetails) բարդ վավերապայմանի կազմում «Մեկնարկի ամսաթիվը» (csdo:StartDate) վավերապայմանը պետք է լրացվի |
|
21 |
«Ընդհանուր ռեսուրսի գրառման տեխնոլոգիական բնութագրերը» (ccdo:ResourceItemStatusDetails) բարդ վավերապայմանի կազմում «Մեկնարկի ամսաթիվն ու ժամը» (csdo:StartDateTime) վավերապայմանը պետք է լրացվի |
|
24 |
եթե «Տեխնիկական կանոնակարգման օբյեկտի տեսակի ծածկագիրը» (trsdo:TechnicalRegulationObjectKindCode) վավերապայմանը պարունակում է խմբաքանակին կամ հատավոր արտադրատեսակին համապատասխան արժեք, ապա «Արտադրանքը» (trcdo:ProductV2Details) բարդ վավերապայմանի կազմում «Արտադրանքի միավորը» (trcdo:ProductInstanceDetails) վավերապայմանը պետք է պարունակի առնվազն 1 արժեք, ընդ որում, եթե «Տեխնիկական կանոնակարգման օբյեկտի տեսակի ծածկագիրը» (trsdo:TechnicalRegulationObjectKindCode) վավերապայմանը պարունակում է հատավոր արտադրատեսակին համապատասխան արժեք, ապա «Արտադրանքի միավորը» (trcdo:ProductInstanceDetails) վավերապայմանի կազմում «Արտադրանքի միավորի նույնականացուցիչը» (csdo:ProductInstanceId)» վավերապայմանը պետք է լրացվի |
|
25 |
եթե «Տեխնիկական կանոնակարգման օբյեկտի տեսակի ծածկագիրը» (trsdo:TechnicalRegulationObjectKindCode) վավերապայմանը պարունակում է խմբաքանակին կամ հատավոր արտադրատեսակին համապատասխան արժեք, ապա «Արտադրանքը» (trcdo:ProductV2Details) բարդ վավերապայմանի կազմում «Ապրանքն ուղեկցող փաստաթղթերի վավերապայմանները» (trcdo:ShippingDocReferenceDetails) վավերապայմանը պետք է պարունակի առնվազն 1 արժեք |
|
26 |
եթե «Արտադրանքը միասնական ցանկում ընդգրկելու հատկանիշը» (trsdo:SingleListProductIndicator) վավերապայմանը «Համապատասխանության գնահատման մասին փաստաթուղթը» (trcdo:ConformityDocDetails) բարդ վավերապայմանի կազմում պարունակում է «սխալ է» արժեքը, ապա «Միության տեխնիկական կանոնակարգի նշագիրը» (trsdo:TechnicalRegulationId) վավերապայմանը պետք է պարունակի առնվազն 1 արժեք |
|
27 |
«Կազմակերպաիրավական ձևի ծածկագիրը» (csdo:BusinessEntityTypeCode) վավերապայմանը չի լրացվում |
|
28 |
տնտեսավարող սուբյեկտների նույնականացման մեթոդի նույնականացուցչի արժեքը (kindId ատրիբուտ) պետք է համապատասխանի ծածկագրին՝ Հանձնաժողովի կոլեգիայի 2020 թվականի մարտի 10-ի թիվ 34 որոշմամբ հաստատված՝ Եվրասիական տնտեսական միության անդամ պետություններում պետական գրանցման ժամանակ տնտեսավարող սուբյեկտների նույնականացման մեթոդների տեղեկագրքից |
|
29 |
«Արտադրատեսակը» (trcdo:ProductV2Details) բարդ վավերապայմանի կազմում «Ապրանքի եվրոպական համարը» (trsdo:EANCommodityId) վավերապայմանը չի լրացվում |
|
30 |
եթե «Երկրի ծածկագիրը» (csdo:UnifiedCountryCode) վավերապայմաններից որևէ մեկը լրացվել է, ապա դրա արժեքը պետք է համապատասխանի երկրի ծածկագրին՝ Մաքսային միության հանձնաժողովի 2010 թվականի սեպտեմբերի 20-ի թիվ 378 որոշմանը համապատասխան կիրառվող աշխարհի երկրների դասակարգչից |
|
31 |
եթե «Երկրի ծածկագիրը» (csdo:UnifiedCountryCode) վավերապայմաններից որևէ մեկը լրացվել է, ապա «Տեղեկագրքի (դասակարգչի) նույնականացուցիչը» (codeListld ատրիբուտ) ատրիբուտի արժեքը դրա կազմում պետք է պարունակի «2021» արժեքը |
|
32 |
եթե «Արտադրանքի միավորը» (trcdo:ProductInstanceDetails) բարդ վավերապայմանի կազմում «Ապրանքի քանակը» (csdo:UnifiedCommodityMeasure) վավերապայմանը լրացվել է, ապա «Չափման միավորը» (measurementUnitCode ատրիբուտ) ատրիբուտի արժեքը դրա կազմում պետք է համապատասխանի չափման միավորի ծածկագրային նշագրին այն արժեքներին համապատասխան, որոնք նշված են Հանձնաժողովի կոլեգիայի 2020 թվականի հոկտեմբերի 27-ի թիվ 145 որոշմամբ հաստատված՝ Եվրասիական տնտեսական միության չափման միավորների և հաշվի դասակարգչի «Ծածկագիրը» վավերապայմանում |
|
33 |
եթե «Արտադրանքի միավորը» (trcdo:ProductInstanceDetails) բարդ վավերապայմանի կազմում «Ապրանքի քանակը» (csdo:UnifiedCommodityMeasure) վավերապայմանը լրացվել է, ապա «Տեղեկագրքի (դասակարգչի) նույնականացուցիչը» (measurementUnitCodeListld ատրիբուտ) ատրիբուտը դրա կազմում պետք է համապատասխանի «2064» արժեքին |
|
34 |
«Տեխնիկական կանոնակարգման օբյեկտը» (trsdo:TechnicalRegulationObjectKindCode) վավերապայմանի արժեքը պետք է համապատասխանի ծածկագրին՝ Միության նորմատիվ տեղեկատվական տեղեկությունների ռեեստրում պարունակվող տեխնիկական կանոնակարգման օբյեկտների տեսակների դասակարգչից։ Նախքան նշված դասակարգիչը Միության նորմատիվ տեղեկատվական տեղեկությունների միասնական համակարգի ռեսուրսների կազմում ընդգրկելը «Տեխնիկական կանոնակարգման օբյեկտի տեսակի ծածկագիրը» (trsdo:TechnicalRegulationObjectKindCode) վավերապայմանը պետք է ընդունի հետևյալ արժեքներից մեկը՝ «1»՝ սերիական թողարկում. «2»՝ խմբաքանակ․ «3»՝ միավոր արտադրատեսակ |
|
35 |
«Համապատասխանության գնահատման մասին փաստաթուղթը» (trcdo:ConformityDocDetails) բարդ վավերապայմանի կազմում «Համապատասխանության գնահատման մասին փաստաթղթի տեսակի ծածկագիրը» (trsdo:ConformityDocKindCode) վավերապայմանի արժեքը պետք է համապատասխանի հետևյալ արժեքներից մեկին՝ Հանձնաժողովի կոլեգիայի 2016 թվականի սեպտեմբերի 27-ի թիվ 108 որոշմամբ հաստատված՝ համապատասխանության գնահատման վերաբերյալ փաստաթղթերի տեսակների դասակարգչին համապատասխան՝ «05», «10», «15» կամ «20» |
|
36 |
եթե «Համապատասխանության գնահատման մասին փաստաթուղթը» (trcdo:ConformityDocDetails) բարդ վավերապայմանի կազմում լրացվել է «Միության տեխնիկական կանոնակարգի նշագիրը» (trsdo:TechnicalRegulationId) վավերապայմանը, ապա դրա արժեքը պետք է համապատասխանի Հանձնաժողովի կոլեգիայի 2019 թվականի ապրիլի 2-ի թիվ 52 որոշմամբ հաստատված՝ Միության տեխնիկական կանոնակարգերի (Մաքսային միության տեխնիկական կանոնակարգերի) ցանկի «Տեխնիկական կանոնակարգի նշագիրը» վավերապայմանում նշված արժեքներից մեկին |
|
37 |
«Հայտատուն» (trcdo:ApplicantV2Details) բարդ վավերապայմանի կազմում փոխանցվող «Հասցեն» (ccdo:AddressV4Details) վավերապայմանի կազմում պետք լրացվեն հետևյալ վավերապայմանները՝ «Երկրի ծածկագիրը» (csdo:UnifiedCountryCode) և «Տարածաշրջանը» (csdo:RegionName), ինչպես նաև հետևյալ վավերապայմաններից առնվազն մեկը՝ «Շրջանը» (csdo:DistrictName) «Քաղաքը» (csdo:CityName) «Բնակավայրը» (csdo:SettlementName) |
|
38 |
«Հասցեն» (ccdo:AddressV4Details) բարդ վավերապայմանի կազմում «Երկրի ծածկագիրը»(csdo:UnifiedCountryCode) վավերապայմանը պետք է լրացված լինի |
|
39 |
«Արտադրողը» (trcdo:ManufacturerDetails)» վավերապայմանի կազմում պետք է փոխանցվի մեկ՝ «Հասցեն» (ccdo:AddressV4Details) վավերապայման, որն իր կազմում ունի «1» արժեքը պարունակող «Հասցեի տեսակի ծածկագիրը» (csdo:AddressKindCode) վավերապայման, ինչպես նաև կարող է փոխանցվել կամայական քանակությամբ «Հասցեն» (ccdo:AddressV4Details) վավերապայմաններ, որոնք իրենց կազմում ունեն «2» արժեքը պարունակող «Հասցեի տեսակի ծածկագիրը» (csdo:AddressKindCode) վավերապայման։ Ընդ որում, եթե «Հասցեի համընկնման հատկանիշը» (trsdo:AddressMatchIndicator) վավերապայմանը ընդունում է «0» արժեք՝ հասցեները չեն համընկնում, ապա առնվազն մեկ «Հասցեն» (ccdo:AddressV4Details) վավերապայման, որն իր կազմում ունի «2» արժեքը պարունակող «Հասցեի տեսակի ծածկագիրը» (csdo:AddressKindCode) վավերապայման, պետք է ներկայացված լինի |
|
40 |
«Հայտատուն» (trcdo:ApplicantV2Details) վավերապայմանի կազմում պետք է փոխանցվի մեկ «Հասցեն» (ccdo:AddressV4Details) վավերապայման, որն իր կազմում ունի «1» արժեքը պարունակող «Հասցեի տեսակի ծածկագիրը» (csdo:AddressKindCode) վավերապայման։ Ընդ որում, կարող են փոխանցվել կամայական քանակությամբ «Հասցեն» (ccdo:AddressV4Details) վավերապայմաններ, որոնք իրենց կազմում ունեն «2» արժեքը պարունակող «Հասցեի տեսակի ծածկագիրը» (csdo:AddressKindCode) վավերապայման |
|
41 |
եթե լրացվել է «Սերտիֆիկացման սխեմայի ծածկագիրը» (trsdo:CertificationSchemeCode) վավերապայմանը, ապա դրա արժեքը պետք է համապատասխանի Հանձնաժողովի կոլեգիայի 2019 թվականի ապրիլի 2-ի թիվ 52 որոշմամբ հաստատված՝ Միության տեխնիկական կանոնակարգերի (Մաքսային միության տեխնիկական կանոնակարգերի) ցանկի «Տեխնիկական կանոնակարգով սահմանված համապատասխանության գնահատման սխեմայի ծածկագիրը» վավերապայմանում նշված արժեքներից մեկին |
|
42 |
եթե «Համապատասխանության գնահատման մասին փաստաթուղթը» (trcdo:ConformityDocDetails) բարդ վավերապայմանի կազմում լրացվել է «Սերտիֆիկացման սխեմայի նկարագրությունը» (trsdo:CertificationSchemeText) վավերապայմանը, ապա «Միության տեխնիկական կանոնակարգի նշագիրը» (trsdo:TechnicalRegulationId) վավերապայմանը պետք է պարունակի «ТР ТС 018/2011» արժեքը |
|
43 |
եթե «Տեխնիկական կանոնակարգման օբյեկտի տեսակի ծածկագիրը» (trsdo:TechnicalRegulationObjectKindCode) վավերապայմանը պարունակում է խմբաքանակին համապատասխան արժեք, ապա «Արտադրանքը» (trcdo:ProductV2Details) բարդ վավերապայմանի կազմում «Խմբաքանակի չափը» (trsdo:BatchSizeText) վավերապայմանը պետք է լրացվի |
|
44 |
եթե «Համապատասխանության գնահատման մասին փաստաթուղթը» (trcdo:ConformityDocDetails) բարդ վավերապայմանի կազմում «Համապատասխանության գնահատման մասին փաստաթղթի տեսակի ծածկագիրը» (trsdo:ConformityDocKindCode) վավերապայմանը պարունակում է «10» արժեքը, ապա պետք է լրացվի «Սերտիֆիկացման մարմինը» (trcdo:ConformityAuthorityV2Details) վավերապայմանը կամ «Անդամ պետության լիազորված մարմինը» (trcdo:UnifiedAuthorityDetails) վավերապայմանը |
|
45 |
եթե «Համապատասխանության գնահատման մասին փաստաթուղթը» (trcdo:ConformityDocDetails) բարդ վավերապայմանի կազմում «Համապատասխանության գնահատման մասին փաստաթղթի տեսակի ծածկագիրը» (trsdo:ConformityDocKindCode) վավերապայմանը պարունակում է «05» կամ «15» արժեքը, ապա պետք է լրացվի «Սերտիֆիկացման մարմինը» (trcdo:ConformityAuthorityV2Details) վավերապայմանը, «Անդամ պետության լիազորված մարմինը» (trcdo:UnifiedAuthorityDetails) վավերապայմանը այս դեպքում չի լրացվում |
|
46 |
եթե «Համապատասխանությունը հաստատող փաստաթղթի մասին տեղեկությունները» (trcdo:ComplianceDocDetails) բարդ վավերապայմանի կազմում լրացվել է «Համապատասխանությունը հաստատող փաստաթղթի տեսակի ծածկագիրը» (trsdo:ComplianceDocKindCode) վավերապայմանը, ապա այն պետք է ընդունի հետևյալ արժեքներից մեկը՝ «01»՝ հետազոտությունների (փորձարկումների) և չափումների արձանագրություններ․ «02»՝ արտադրության վիճակի վերլուծության ակտ․ «03»՝ կառավարման համակարգի սերտիֆիկատ․ «04»՝ արտադրանքի նախագծի հետազոտության եզրակացություն․ «05»՝ արտադրանքի տիպի հետազոտության եզրակացություն․ «99»՝ այլ փաստաթուղթ |
|
47 |
եթե «Համապատասխանության գնահատման մասին փաստաթղթի տեսակի ծածկագիրը» (trsdo:ConformityDocKindCode) վավերապայմանը ընդունում է «05», «15» կամ «20» արժեքը, ապա «Համապատասխանությունը հաստատող փաստաթղթի մասին տեղեկությունները» (trcdo:ComplianceDocDetails) բարդ վավերապայմանի կազմում այն ներկայացված լինելու դեպքում պետք է կատարվի հետևյալ պահանջը. եթե «Համապատասխանության գնահատման մասին փաստաթղթի տեսակի ծածկագիրը» (trsdo:ComplianceDocKindCode) վավերապայմանը ընդունում է «01» արժեքը, ապա «Հավատարմագրված լաբորատորիայի հատկանիշը» (trsdo:AccreditedLaboratoryIndicator) վավերապայմանը պետք է պարունակի «ճիշտ է» արժեքը |
|
48 |
եթե լրացվել է «Համապատասխանությունը հաստատող փաստաթղթի մասին տեղեկությունները» (trcdo:ComplianceDocDetails) բարդ վավերապայմանը, ապա դրա կազմում պետք է կատարվի հետևյալ պահանջը. եթե «Հավատարմագրված լաբորատորիայի հատկանիշը» (trsdo:AccreditedLaboratoryIndicator) վավերապայմանը պարունակում է «ճիշտ է» արժեքը, ապա «Հավատարմագրման վկայագրի գրանցման համարը (հավատարմագրման մասին գրառման եզակի համարը)» (trsdo:AccreditationCertificateId) և «Փաստաթղթի ամսաթիվը» (csdo:DocCreationDate) վավերապայմանները պետք է լրացվեն |
|
49 |
եթե լրացվել է «Սերտիֆիկացման մարմինը» (trcdo:ConformityAuthorityV2Details) բարդ վավերապայմանը և գործարկվել է «Եվրասիական տնտեսական միության համապատասխանության գնահատման մարմինների (այդ թվում՝ սերտիֆիկացման մարմինների, փորձարկման լաբորատորիաների (կենտրոնների)) միասնական ռեեստրի ձևավորում և վարում)» ընդհանուր գործընթացը, Միության համապատասխանության գնահատման մարմինների միասնական ռեեստրից Միության տեղեկատվական պորտալում հրապարակված տեղեկությունները պետք է պարունակեն գրառում, որը բավարարում է հետևյալ պահանջները՝ հավատարմագրման վկայագրի գրանցման համարը (հավատարմագրման մասին գրառման եզակի համարը) պարունակող գրառման վավերապայմանի արժեքը «Սերտիֆիկացման մարմինը» (trcdo:ConformityAuthorityV2Details) բարդ վավերապայմանի կազմում պետք է համընկնի «Հավատարմագրման վկայագրի գրանցման համարը (հավատարմագրման մասին գրառման եզակի համարը)» (trsdo:AccreditationCertificateId) վավերապայմանի արժեքի հետ․ գրառման կարգավիճակը Միության համապատասխանության գնահատման մարմինների միասնական ռեեստրում պետք է համապատասխանի «գործում է» արժեքին |
|
50 |
եթե «Համապատասխանությունը հաստատող փաստաթղթի մասին տեղեկությունները» (trcdo:ComplianceDocDetails) բարդ վավերապայմանի կազմում «Հավատարմագրված լաբորատորիայի հատկանիշը» (trsdo:AccreditedLaboratoryIndicator) վավերապայմանը պարունակում է «ճիշտ է» արժեքը, և գործարկվել է «Եվրասիական տնտեսական միության համապատասխանության գնահատման մարմինների (այդ թվում՝ սերտիֆիկացման մարմինների, փորձարկման լաբորատորիաների (կենտրոնների)) միասնական ռեեստրի ձևավորում և վարում)» ընդհանուր գործընթացը, Միության համապատասխանության գնահատման մարմինների միասնական ռեեստրից Միության տեղեկատվական պորտալում հրապարակված տեղեկությունները պետք է պարունակեն գրառում, որը բավարարում է հետևյալ պահանջները՝ հավատարմագրման վկայագրի գրանցման համարը (հավատարմագրման մասին գրառման եզակի համարը) պարունակող գրառման վավերապայմանի արժեքը «Համապատասխանությունը հաստատող փաստաթղթի մասին տեղեկությունները» (trcdo:ComplianceDocDetails) բարդ վավերապայմանի կազմում պետք է համընկնի «Հավատարմագրման վկայագրի գրանցման համարը (հավատարմագրման մասին գրառման եզակի համարը)» (trsdo:AccreditationCertificateId) վավերապայմանի արժեքի հետ․ գրառման կարգավիճակը Միության համապատասխանության գնահատման մարմինների միասնական ռեեստրում «Համապատասխանությունը հաստատող փաստաթղթի մասին տեղեկությունները» (trcdo:ComplianceDocDetails) բարդ վավերապայմանի կազմում «Փաստաթղթի ամսաթիվը» (csdo:DocCreationDate) վավերապայմանում նշված ամսաթվի դրությամբ պետք է համապատասխանի «գործում է» արժեքին |
|
51 |
եթե լրացվել է «Ստանդարտի ծածկագիրը» (trsdo:StandardCode) վավերապայմանը, ապա դրա արժեքը պետք է համապատասխանի ծածկագրին միջազգային և տարածաշրջանային (միջպետական) ստանդարտների, իսկ դրանց բացակայության դեպքում՝ ազգային (պետական) ստանդարտների ցանկից, որոնց կամավոր հիմունքներով կիրառման արդյունքում ապահովվում է Միության տեխնիկական կանոնակարգերի պահանջների պահպանման ապահովումը՝ Միության նորմատիվ տեղեկատվական տեղեկությունների ռեեստրում, իսկ «Տեղեկագրքի (դասակարգչի) նույնականացուցիչը» (codeListId ատրիբուտ) ատրիբուտի արժեքը պետք է համապատասխանի նշված տեղեկագրքի ծածկագրի արժեքին Միության նորմատիվ տեղեկատվական տեղեկությունների ռեեստրում |
|
52 |
եթե «Համապատասխանության գնահատման մասին փաստաթուղթը» (trcdo:ConformityDocDetails) բարդ վավերապայմանի կազմում «Փաստաթղթի գործողության ժամկետը լրանալու ամսաթիվը» (csdo:DocValidityDate) վավերապայմանի արժեքը ընթացիկ ամսաթվի արժեքից քիչ է, ապա «Փաստաթղթի գործողության կարգավիճակը» (trcdo:DocStatusDetails) բարդ վավերապայմանի կազմում «Փաստաթղթի գործողության կարգավիճակի ծածկագիրը» (trsdo:DocStatusCode) վավերապայմանը չի կարող ընդունել «01»՝ գործում է արժեքը |
|
53 |
եթե «Համապատասխանության գնահատման մասին փաստաթուղթը» (trcdo:ConformityDocDetails) բարդ վավերապայմանի կազմում «Համապատասխանության գնահատման մասին փաստաթղթի տեսակի ծածկագիրը» (trsdo:ConformityDocKindCode) վավերապայմանը ընդունում է «15» կամ «20» արժեքը, ապա «Փաստաթղթի գործողության ժամկետը լրանալու ամսաթիվը» (csdo:DocValidityDate) վավերապայմանը պետք է լրացվի |
|
54 |
եթե «Համապատասխանության գնահատման մասին փաստաթուղթը» (trcdo:ConformityDocDetails) բարդ վավերապայմանի կազմում «Համապատասխանության գնահատման մասին փաստաթղթի տեսակի ծածկագիրը» (trsdo:ConformityDocKindCode) վավերապայմանը ընդունում է «05» կամ «15» արժեքը, ապա «Սերտիֆիկացման մարմինը» (trcdo:ConformityAuthorityV2Details) բարդ վավերապայմանի կազմում «Պաշտոնատար անձը» (ccdo:OfficerDetails) վավերապայմանը պետք է լրացվի |
|
55 |
եթե «Համապատասխանության գնահատման մասին փաստաթուղթը» (trcdo:ConformityDocDetails) բարդ վավերապայմանի կազմում «Համապատասխանության գնահատման մասին փաստաթղթի տեսակի ծածկագիրը» (trsdo:ConformityDocKindCode) վավերապայմանը ընդունում է «05» կամ «15» արժեքը, ապա պետք է լրացվի մեկ կամ ավելի «Ա.Ա.Հ.-ն» (ccdo:FullNameDetails) վավերապայման |
|
56 |
եթե լրացվել է «Անդամ պետության լիազորված մարմինը» (trcdo:UnifiedAuthorityDetails) վավերապայմանը, ապա «Լիազորված մարմնի անվանումը» (csdo:AuthorityName), «Հասցեն» (ccdo:AddressV4Details) և «Կոնտակտային վավերապայմանը» (ccdo:CommunicationDetails) վավերապայմանները դրա կազմում պետք է լրացվեն |
|
57 |
«Համապատասխանության գնահատման մասին փաստաթուղթը» (trcdo:ConformityDocDetails) բարդ վավերապայմանի կազմում պետք է լրացվի «Սերտիֆիկացման սխեմայի ծածկագիրը» (trsdo:CertificationSchemeCode) վավերապայմանը կամ «Սերտիֆիկացման սխեմայի նկարագրությունը» (trsdo:CertificationSchemeText) վավերապայմանը |
|
58 |
եթե «Համապատասխանության գնահատման մասին փաստաթղթի տեսակի ծածկագիրը» (trsdo:ConformityDocKindCode) վավերապայմանը ընդունում է «05» կամ «10» արժեքը, ապա «Համապատասխանությունը հաստատող փաստաթղթի մասին տեղեկությունները» (trcdo:ComplianceDocDetails) բարդ վավերապայմանի կազմում, եթե այն ներկայացված է, պետք է լրացվեն «Փաստաթղթի ամսաթիվը» (csdo:DocCreationDate), «Փաստաթղթի համարը» (csdo:DocId) և «Տնտեսավարող սուբյեկտի ստորաբաժանման անվանումը» (csdo:BusinessEntityUnitName) վավերապայմանները |
|
59 |
եթե «Համապատասխանության գնահատման մասին փաստաթուղթը» (trcdo:ConformityDocDetails) բարդ վավերապայմանի կազմում «Միասնական ռեեստրում արտադրանքն ընդգրկելու հատկանիշը» (trsdo:SingleListProductIndicator) վավերապայմանը պարունակում է «ճիշտ է» արժեքը, ապա «Փաստաթղթի մասին տեղեկությունները» (trcdo:DocInformationV2Details) վավերապայմանը պետք է պարունակի առնվազն 1 արժեք, ընդ որում, «Փաստաթղթի անվանումը» (csdo:DocName) վավերապայմանը դրա կազմում պետք է լրացվի |
|
60 |
«Հայտատուն» (trcdo:ApplicantV2Details) բարդ վավերապայմանի կազմում «Հայտարարագիրն ընդունած անձը» (trcdo:DeclaringOfficerDetails) բարդ վավերապայմանի կազմում «Կոնտակտային վավերապայմանը» (ccdo:CommunicationDetails) վավերապայմանը չի լրացվում |
|
61 |
«Սերտիֆիկացման մարմինը» (trcdo:ConformityAuthorityV2Details) բարդ վավերապայմանի կազմում «Պաշտոնատար անձը» (ccdo:OfficerDetails) բարդ վավերապայմանի կազմում «Կոնտակտային վավերապայմանը» (ccdo:CommunicationDetails) վավերապայմանը չի լրացվում |
|
62 |
«Անդամ պետության լիազորված մարմինը» (trcdo:UnifiedAuthorityDetails) բարդ վավերապայմանի կազմում «Կազմակերպության ղեկավարը» (trcdo:OfficerDetails) բարդ վավերապայմանի կազմում «Կոնտակտային վավերապայմանը» (ccdo:CommunicationDetails) վավերապայմանը չի լրացվում |
|
63 |
«Արտադրանքի միավորը» (trcdo:ProductInstanceDetails) և «Արտադրանքը» (trcdo:ProductV2Details) (այսուհետ՝ պատրաստողին կատարվող հղում) բարդ վավերապայմանների կազմում ցանկացած՝ «Պատրաստողի հերթական համարը» (trsdo:ManufacturerRefOrdinal) լրացված վավերապայմանի համար պետք է գոյություն ունենա «Պատրաստողը» (trcdo:ManufacturerDetails) վավերապայմանի ճիշտ մեկ օրինակ, որը պարունակում է «Պատրաստողի հերթական համարը» (trsdo:ManufacturerRefOrdinal) լրացված վավերապայման, որի արժեքը համընկնում է պատրաստողին կատարվող համապատասխան հղման արժեքի հետ |
|
64 |
«Հայտատուն» (trcdo:ApplicantV2Details) բարդ վավերապայմանի կազմում «Հասցեն» (ccdo:AddressV4Details) բարդ վավերապայմանի կազմում «Երկրի ծածկագիրը» (csdo:UnifiedCountryCode) վավերապայմանի արժեքը պետք է համապատասխանի Մաքսային միության հանձնաժողովի 2010 թվականի սեպտեմբերի 20-ի թիվ 378 որոշմանը համապատասխան կիրառվող՝ անդամ պետություններից մեկի ծածկագրին՝ աշխարհի երկրների դասակարգչից |
|
65 |
եթե Միության տեղեկատվական պորտալում սերտիֆիկատների և հայտարարագրերի միասնական ռեեստրից հրապարակված տեղեկությունները պարունակում են արդիական գրառում (չլրացված ավարտի ամսաթվով և գրառման գործողության ժամանակով)՝ «Համապատասխանության գնահատման մասին փաստաթուղթը» (trcdo:ConformityDocDetails) բարդ վավերապայմանի կազմում «Երկրի ծածկագիրը» (csdo:UnifiedCountryCode) և «Փաստաթղթի համարը» (csdo:DocId) վավերապայմանների նույնանման արժեքներով և «09՝ արխիվային» արժեքին համապատասխան փաստաթղթի գործողության կարգավիճակով, այդ դեպքում «Փաստաթղթի գործողության կարգավիճակը» (trcdo:DocStatusDetails) բարդ վավերապայմանի կազմում «Փաստաթղթի գործողության կարգավիճակի ծածկագիրը» (trsdo:DocStatusCode) վավերապայմանը պետք է պարունակի «03՝ դադարեցվել է» արժեքը |
|
66 |
եթե «Համապատասխանության գնահատման մասին փաստաթուղթը» (trcdo:ConformityDocDetails) բարդ վավերապայմանի կազմում «Փաստաթղթի գործողության ժամկետը լրանալու ամսաթիվը» (csdo:DocValidityDate) վավերապայմանը լրացվել է, ապա Միության տեղեկատվական պորտալում հրապարակված՝ սերտիֆիկատների և հայտարարագրերի միասնական ռեեստրից տեղեկությունները չպետք է պարունակեն «Համապատասխանության գնահատման մասին փաստաթուղթը» (trcdo:ConformityDocDetails) բարդ վավերապայմանի կազմում «Երկրի ծածկագիրը» (csdo:UnifiedCountryCode) և «Փաստաթղթի համարը» (csdo:DocId) վավերապայմանների նույնանման արժեքով և «Ընդհանուր ռեսուրսի գրառման տեխնոլոգիական բնութագրերը» (ccdo:ResourceItemStatusDetails) բարդ վավերապայմանի կազմում «Վերջնական ամսաթիվը և ժամը» (csdo։EndDateTime) չլրացված վավերապայմանով գրառում, որում «Համապատասխանության գնահատման մասին փաստաթուղթը» (trcdo:ConformityDocDetails) բարդ վավերապայմանի կազմում «Փաստաթղթի գործողության ժամկետը լրանալու ամսաթիվը» (csdo:DocValidityDate) վավերապայմանը լրացված չէ կամ փոխանցվող գրառման մեջ պաունակում է համապատասխան վավերապայմանի արժեքից տարբերվող արժեք |
|
67 |
«Հայտատուն» (trcdo:ApplicantV2Details) բարդ վավերապայմանի կազմում «Տնտեսավարող սուբյեկտի նույնականացուցիչը» (csdo:BusinessEntityId) և «Կոնտակտային վավերապայմանը» (ccdo:CommunicationDetails) վավերապայմանները պետք է լրացվեն |
|
68 |
եթե լրացվել է «Համապատասխանությունը հաստատող փաստաթղթի մասին տեղեկությունները» (trcdo:ComplianceDocDetails) բարդ վավերապայմանը, ապա «Համապատասխանությունը հաստատող փաստաթղթի տեսակի ծածկագիրը» (trsdo:ComplianceDocKindCode) և «Հավատարմագրված լաբորատորիայի հատկանիշը» (trsdo:AccreditedLaboratoryIndicator) վավերապայմանները դրա կազմում պետք է լրացվեն |
|
69 |
«Արտադրողը» (trcdo:ManufacturerDetails) բարդ վավերապայմանի կազմում «Հասցեի համընկնման հատկանիշը» (trsdo:AddressMatchIndicator) վավերապայմանը պետք է լրացվի |
25. «Սերտիֆիկատների և հայտարարագրերի միասնական ռեեստրի ազգային մասում փոփոխությունների բացակայության մասին տեղեկություններ» (P.TS.01.MSG.002) հաղորդագրությամբ փոխանցվող «Ընդհանուր ռեսուրսի արդիականացման վիճակ» (R.007) էլեկտրոնային փաստաթղթերի (տեղեկությունների) վավերապայմանների լրացմանը ներկայացվող պահանջները բերված են 13-րդ աղյուսակում:
Աղյուսակ 13
«Սերտիֆիկատների և հայտարարագրերի միասնական ռեեստրի ազգային մասում փոփոխությունների բացակայության մասին տեղեկություններ» (P.TS.01.MSG.002) հաղորդագրությամբ փոխանցվող «Ընդհանուր ռեսուրսի արդիականացման վիճակ» (R.007) էլեկտրոնային փաստաթղթերի (տեղեկությունների) վավերապայմանների լրացմանը ներկայացվող պահանջներ
|
Պահանջի ծածկագիրը |
Պահանջի ձևակերպումը |
|
1 |
«Թարմացման ամսաթիվը և ժամը» (csdo:UpdateDateTime) վավերապայմանը պետք է լրացվի |
|
2 |
«Երկրի ծածկագիրը» (csdo:UnifiedCountryCode) վավերապայմանը պետք է լրացվի |
|
3 |
«Երկրի ծածկագիրը» (csdo:UnifiedCountryCode) վավերապայմանի արժեքը պետք է համապատասխանի երկրի ծածկագրին՝ ըստ աշխարհի երկրների դասակարգչի, որը պարունակում է աշխարհի երկրների ծածկագրերի և անվանումների ցանկը՝ ISO 3166-1 ստանդարտին համապատասխան |
|
4 |
եթե «Երկրի ծածկագիրը» (csdo:UnifiedCountryCode) վավերապայմանը լրացվել է, ապա «Տեղեկագրքի (դասակարգչի) նույնականացուցիչը» (codeListId ատրիբուտ) ատրիբուտի արժեքը դրա կազմում պետք է պարունակի «2021» արժեքը |
26. «Սերտիֆիկատների և հայտարարագրերի միասնական ռեեստրից տեղեկությունների հարցում» (P.TS.01.MSG.010) հաղորդագրությամբ փոխանցվող «Սերտիֆիկատների և հայտարարագրերի միասնական ռեեստրից տեղեկությունների հարցում» (R.TR.TS.01.002) էլեկտրոնային փաստաթղթերի (տեղեկությունների) վավերապայմանների լրացմանը ներկայացվող պահանջները բերված են 14-րդ աղյուսակում:
Աղյուսակ 14
«Սերտիֆիկատների և հայտարարագրերի միասնական ռեեստրից տեղեկությունների հարցում» (P.TS.01.MSG.010) հաղորդագրությամբ փոխանցվող «Սերտիֆիկատների և հայտարարագրերի միասնական ռեեստրից տեղեկությունների հարցում» (R.TR.TS.01.002) էլեկտրոնային փաստաթղթերի (տեղեկությունների) վավերապայմանների լրացմանը ներկայացվող պահանջները
|
Պահանջի ծածկագիրը |
Պահանջի ձևակերպումը |
|
1 |
«Մեկնարկի ամսաթիվը և ժամը» (csdo:StartDateTime) և «Ավարտի ամսաթիվը և ժամը» (csdo:EndDateTime) վավերապայմանները չեն լրացվում |
|
2 |
եթե լրացվել է «Փաստաթղթի համարը» (csdo:DocId) վավերապայմանը, ապա պետք է լրացվի «Երկրի ծածկագիրը» (csdo:UnifiedCountryCode) վավերապայմանը, ընդ որում, «Համապատասխանության գնահատման մասին փաստաթղթի տեսակի ծածկագիրը» (trsdo:ConformityDocKindCode), «Միության տեխնիկական կանոնակարգի նշագրումը» (trsdo:TechnicalRegulationId), «Փաստաթղթի գործողության կարգավիճակի ծածկագիրը» (trsdo:DocStatusCode) և «Ժամանակահատվածը» (ccdo:PeriodDetails) վավերապայմանները չեն լրացվում |
|
3 |
եթե չի լրացվել «Փաստաթղթի համարը» (csdo:DocId) վավերապայմանը, ապա պետք է լրացվի հետևյալ վավերապայմաններից մեկը կամ մի քանիսը՝ «Երկրի ծածկագիրը» (csdo:UnifiedCountryCode), «Համապատասխանության գնահատման մասին փաստաթղթի տեսակի ծածկագիրը» (trsdo:ConformityDocKindCode), «Միության տեխնիկական կանոնակարգի նշագրումը» (trsdo:TechnicalRegulationId), «Փաստաթղթի գործողության կարգավիճակի ծածկագիրը» (trsdo:DocStatusCode) և (կամ) «Ժամանակահատվածը» (ccdo:PeriodDetails) |
|
4 |
«Ամսաթիվն ու ժամը» (bdt:DateTimeType) տվյալների տիպ ունեցող վավերապայմանների արժեքները պետք է ներկայացվեն YYYY-MM-DDThh:mm:ss.cccZ ձևանմուշին համապատասխան, որտեղ ccc-ն միլիվայրկյանների արժեքը նշող պայմանանշաններ են, Z-ը Համաշխարհային ժամանակին (UTC) համապատասխան ժամանակը ներկայացնելու ձևաչափը նշող ֆիքսված պայմանանշան է |
|
5 |
եթե «Երկրի ծածկագիրը» (csdo:UnifiedCountryCode) վավերապայմանը լրացվել է, ապա դրա արժեքը պետք է համապատասխանի անդամ պետության ծածկագրին՝ Մաքսային միության հանձնաժողովի 2010 թվականի սեպտեմբերի 20-ի թիվ 378 որոշմանը համապատասխան կիրառվող աշխարհի երկրների դասակարգչից |
|
6 |
եթե «Երկրի ծածկագիրը» (csdo:UnifiedCountryCode) վավերապայմանը լրացվել է, ապա «Տեղեկագրքի (դասակարգչի) նույնականացուցիչը» (codeListId ատրիբուտ) ատրիբուտի արժեքը դրա կազմում պետք է պարունակի «2021» արժեքը |
|
7 |
եթե լրացվել է «Փաստաթղթի համարը» (csdo:DocId) վավերապայմանը, ապա այն պետք է պարունակի «(ЕАЭС|ТС).+» ձևանմուշին համապատասխան արժեք («ЕАЭС» և «ТС» պայմանանշանները տպվում են կիրիլիցայի տառերի օգտագործմամբ) |
|
8 |
եթե լրացվել է «Համապատասխանության գնահատման մասին փաստաթղթի տեսակի ծածկագիրը» (trsdo:ConformityDocKindCode) վավերապայմանը, ապա դրա արժեքը պետք է համապատասխանի Հանձնաժողովի կոլեգիայի 2016 թվականի սեպտեմբերի 27-ի թիվ 108 որոշմամբ հաստատված՝ համապատասխանության գնահատման մասին փաստաթղթերի տեսակների դասակարգչին համապատասխան հետևյալ արժեքներից մեկին՝ «05», «10», «15» կամ «20» |
|
9 |
եթե լրացվել է «Միության տեխնիկական կանոնակարգի նշագիրը» (trsdo:TechnicalRegulationId) վավերապայմանը, ապա դրա արժեքը պետք է համապատասխանի Հանձնաժողովի կոլեգիայի 2019 թվականի ապրիլի 2-ի թիվ 52 որոշմամբ հաստատված՝ Միության տեխնիկական կանոնակարգերի (Մաքսային միության տեխնիկական կանոնակարգերի) ցանկի «Տեխնիկական կանոնակարգի նշագիրը» վավերապայմանում նշված արժեքներից մեկին |
|
10 |
եթե «Փաստաթղթի գործողության կարգավիճակի ծածկագիրը» (trsdo:DocStatusCode) վավերապայմանը լրացվել է, ապա դրա արժեքը պետք է համապատասխանի հետևյալ արժեքներից մեկին՝ «01»՝ գործում է. «02»՝ կասեցվել է. «03»՝ դադարեցվել է «05»՝ վերսկսվել է․ «09»՝ արխիվային |
|
11 |
եթե լրացվել է «Ժամանակահատվածը» (ccdo:PeriodDetails) վավերապայմանը, ապա «Մեկնարկի ամսաթիվը և ժամը» (csdo:StartDateTime) և «Ավարտի ամսաթիվը և ժամը» (csdo:EndDateTime) վավերապայմանները դրա կազմում պետք է լրացվեն, ընդ որում, «Ավարտի ամսաթիվը և ժամը» (csdo:EndDateTime) վավերապայմանի արժեքը պետք է «Մեկնարկի ամսաթիվը և ժամը» (csdo:StartDateTime) վավերապայմանի արժեքից մեծ լինի |
27. «Սերտիֆիկատների և հայտարարագրերի միասնական ռեեստրից փոփոխված տեղեկությունների հարցում» (P.TS.01.MSG.013) հաղորդագրությամբ փոխանցվող «Սերտիֆիկատների և հայտարարագրերի միասնական ռեեստրից տեղեկությունների հարցում» (R.TR.TS.01.002) էլեկտրոնային փաստաթղթերի (տեղեկությունների) վավերապայմանների լրացմանը ներկայացվող պահանջները բերված են 15-րդ աղյուսակում:
Աղյուսակ 15
«Սերտիֆիկատների և հայտարարագրերի միասնական ռեեստրից փոփոխված տեղեկությունների հարցում» (P.TS.01.MSG.013) հաղորդագրությամբ փոխանցվող «Սերտիֆիկատների և հայտարարագրերի միասնական ռեեստրից տեղեկությունների հարցում» (R.TR.TS.01.002) էլեկտրոնային փաստաթղթերի (տեղեկությունների) վավերապայմանների լրացմանը ներկայացվող պահանջները
|
»: |
3. Նշված որոշմամբ հաստատված՝ «Եվրասիական տնտեսական միության տեխնիկական կանոնակարգերի (Մաքսային միության տեխնիկական կանոնակարգերի) պահանջներին համապատասխանության գնահատման վերաբերյալ տրամադրված կամ ընդունված փաստաթղթերի միասնական ռեեստրների ձևավորում և վարում» ընդհանուր գործընթացը տրված համապատասխանության սերտիֆիկատների և համապատասխանության մասին գրանցված հայտարարագրերի միասնական ռեեստրին վերաբերող մասով Եվրասիական տնտեսական միության ինտեգրված տեղեկատվական համակարգի միջոցներով իրագործելիս Եվրասիական տնտեսական միության անդամ պետությունների լիազորված մարմինների միջև տեղեկատվական փոխգործակցության կանոնակարգը շարադրել հետևյալ խմբագրությամբ.
|
«ՀԱՍՏԱՏՎԱԾ Է Եվրասիական տնտեսական հանձնաժողովի կոլեգիայի 2016 թվականի մայիսի 10-ի թիվ 39 որոշմամբ (Եվրասիական տնտեսական հանձնաժողովի կոլեգիայի 2024 թվականի սեպտեմբերի 23-ի թիվ 109 որոշման խմբագրությամբ) |
Կանոնակարգ
«Եվրասիական տնտեսական միության տեխնիկական կանոնակարգերի (Մաքսային միության տեխնիկական կանոնակարգերի) պահանջներին համապատասխանության գնահատման վերաբերյալ տրամադրված կամ ընդունված փաստաթղթերի միասնական ռեեստրների ձևավորում և վարում» ընդհանուր գործընթացը տրված համապատասխանության սերտիֆիկատների և համապատասխանության մասին գրանցված հայտարարագրերի միասնական ռեեստրին վերաբերող մասով Եվրասիական տնտեսական միության ինտեգրված տեղեկատվական համակարգի միջոցներով իրագործելիս Եվրասիական տնտեսական միության անդամ պետությունների լիազորված մարմինների միջև տեղեկատվական փոխգործակցության
I. Ընդհանուր դրույթներ
1. Սույն կանոնակարգը մշակվել է Եվրասիական տնտեսական միության (այսուհետ՝ Միություն) իրավունքի կազմում ընդգրկվող հետևյալ ակտերին համապատասխան.
«Եվրասիական տնտեսական միության մասին» 2014 թվականի մայիսի 29-ի պայմանագիր.
«Մաքսային միությունում տեխնիկական կարգավորման մասին» Մաքսային միության հանձնաժողովի 2010 թվականի հունիսի 18-ի թիվ 319 որոշում.
«Մաքսային միության շրջանակներում միասնական փաստաթղթերի տրամադրմամբ համապատասխանության պարտադիր գնահատման (հաստատման) ենթակա արտադրանքի միասնական ցանկի մասին» Մաքսային միության հանձնաժողովի 2011 թվականի ապրիլի 7-ի թիվ 620 որոշում.
«Համապատասխանության սերտիֆիկատի և Մաքսային միության տեխնիկական կանոնակարգերին համապատասխանության մասին հայտարարագրի միասնական ձևերի և դրանց ձևակերպման կանոնների մասին» Եվրասիական տնտեսական հանձնաժողովի կոլեգիայի 2012 թվականի դեկտեմբերի 25-ի թիվ 293 որոշում.
«Եվրասիական տնտեսական միության տեխնիկական կանոնակարգերի պահանջներին արտադրանքի համապատասխանության հայտարարագրերը գրանցելու, դրանց գործողությունը կասեցնելու, վերսկսելու ու դադարեցնելու կարգի մասին» Եվրասիական տնտեսական հանձնաժողովի կոլեգիայի 2018 թվականի մարտի 20-ի թիվ 41 որոշում․
«Տրված համապատասխանության սերտիֆիկատների և գրանցված համապատասխանության հայտարարագրերի միասնական ռեեստրի ձևավորման և վարման կարգի մասին» Եվրասիական տնտեսական հանձնաժողովի 2017 թվականի սեպտեմբերի 26-ի թիվ 127 որոշում:
«Ընդհանուր գործընթացներն արտաքին և փոխադարձ առևտրի ինտեգրված տեղեկատվական համակարգի միջոցներով իրագործելիս տեղեկատվական փոխգործակցությունը կանոնակարգող տեխնոլոգիական փաստաթղթերի մասին» Եվրասիական տնտեսական հանձնաժողովի կոլեգիայի 2014 թվականի նոյեմբերի 6-ի թիվ 200 որոշում.
«Արտաքին և փոխադարձ առևտրի ինտեգրված տեղեկատվական համակարգում տվյալների էլեկտրոնային փոխանակման կանոնները հաստատելու մասին» Եվրասիական տնտեսական հանձնաժողովի կոլեգիայի 2015 թվականի հունվարի 27-ի թիվ 5 որոշում.
«Եվրասիական տնտեսական միության շրջանակներում ընդհանուր գործընթացների ցանկի և Եվրասիական տնտեսական հանձնաժողովի կոլեգիայի 2014 թվականի օգոստոսի 19-ի թիվ 132 որոշման մեջ փոփոխություն կատարելու մասին» Եվրասիական տնտեսական հանձնաժողովի կոլեգիայի 2015 թվականի ապրիլի 14-ի թիվ 29 որոշում.
«Եվրասիական տնտեսական միության շրջանակներում ընդհանուր գործընթացների վերլուծության, օպտիմալացման, ներդաշնակեցման և նկարագրության մեթոդիկայի մասին» Եվրասիական տնտեսական հանձնաժողովի կոլեգիայի 2015 թվականի հունիսի 9-ի թիվ 63 որոշում.
«Եվրասիական տնտեսական միության անդամ պետությունների պետական իշխանության մարմինների` միմյանց միջև և Եվրասիական տնտեսական հանձնաժողովի հետ անդրսահմանային փոխգործակցության ընթացքում էլեկտրոնային փաստաթղթերի փոխանակման մասին հիմնադրույթի հաստատման մասին» Եվրասիական տնտեսական հանձնաժողովի կոլեգիայի 2015 թվականի սեպտեմբերի 28-ի թիվ 125 որոշում։
II. Կիրառության ոլորտը
2. Սույն կանոնակարգը մշակվել է «Եվրասիական տնտեսական միության տեխնիկական կանոնակարգերի (Մաքսային միության տեխնիկական կանոնակարգերի) պահանջներին համապատասխանության գնահատման վերաբերյալ տրամադրված կամ ընդունված փաստաթղթերի միասնական ռեեստրների ձևավորում և վարում» ընդհանուր գործընթացը տրված համապատասխանության սերտիֆիկատների և համապատասխանության մասին գրանցված հայտարարագրերի միասնական ռեեստրին վերաբերող մասով իրագործվող ընդհանուր գործընթացի տրանզակցիաների կատարման կարգն ու պայմանները, ինչպես նաև դրանց կատարման մեջ իրենց դերի միատեսակ ընկալումն ընդհանուր գործընթացի մասնակիցների կողմից ապահովելու նպատակով։
3. Սույն կանոնակարգով սահմանվում են ընդհանուր գործընթացի մասնակիցների միջև տեղեկատվական փոխգործակցության իրագործմանն անմիջականորեն ուղղված՝ ընդհանուր գործընթացի գործառնությունների կատարման կարգին ու պայմաններին ներկայացվող պահանջները։
4. Սույն կանոնակարգը կիրառվում է ընդհանուր գործընթացի մասնակիցների կողմից ընդհանուր գործընթացի շրջանակներում ընթացակարգերի և գործառնությունների կատարման կարգը վերահսկելիս, ինչպես նաև այդ ընդհանուր գործընթացի իրագործումն ապահովող տեղեկատվական համակարգերի բաղադրիչները նախագծելիս, մշակելիս և լրամշակելիս։
III. Հիմնական հասկացությունները
5. Սույն կանոնակարգում գործածվող «նախաձեռնող», «սկզբնավորող գործառնություն», «ընդունող գործառնություն», «ռեսպոնդենտ», «ընդհանուր գործընթացի հաղորդագրություն» և «ընդհանուր գործընթացի տրանզակցիա» հասկացությունները կիրառվում են Եվրասիական տնտեսական հանձնաժողովի կոլեգիայի 2015 թվականի հունիսի 9-ի թիվ 63 որոշմամբ հաստատված՝ Եվրասիական տնտեսական միության շրջանակներում ընդհանուր գործընթացների վերլուծության, օպտիմալացման, ներդաշնակեցման և նկարագրման մեթոդիկայով սահմանված իմաստներով։
Սույն կանոնակարգում օգտագործվող մյուս հասկացությունները կիրառվում են Եվրասիական տնտեսական հանձնաժողովի կոլեգիայի 2016 թվականի մայիսի 10-ի թիվ 39 որոշմամբ հաստատված՝ «Եվրասիական տնտեսական միության տեխնիկական կանոնակարգերի (Մաքսային միության տեխնիկական կանոնակարգերի) պահանջներին համապատասխանության գնահատման վերաբերյալ տրամադրված կամ ընդունված փաստաթղթերի միասնական ռեեստրների ձևավորում և վարում» ընդհանուր գործընթացը տրված համապատասխանության սերտիֆիկատների և համապատասխանության մասին գրանցված հայտարարագրերի միասնական ռեեստրին վերաբերող մասով Եվրասիական տնտեսական միության ինտեգրված տեղեկատվական համակարգի միջոցներով իրագործելիս՝ տեղեկատվական փոխգործակցության կանոնների 4-րդ կետով սահմանված իմաստներով (այսուհետ՝ Տեղեկատվական փոխգործակցության կանոններ)։
IV. Ընդհանուր գործընթացի շրջանակներում տեղեկատվական փոխգործակցության մասին հիմնական տեղեկությունները
1. Տեղեկատվական փոխգործակցության մասնակիցները
6. Ընդհանուր գործընթացի շրջանակներում տեղեկատվական փոխգործակցության մասնակիցների դերերի ցանկը բերված է 1-ին աղյուսակում։
Աղյուսակ 1
Տեղեկատվական փոխգործակցության մասնակիցների դերերի ցանկը
|
Դերի անվանումը |
Դերի նկարագրությունը |
Դերը կատարող մասնակիցը |
|
1 |
2 |
3 |
|
Տեղեկություններին տիրապետողը |
հարցման հիման վրա ներկայացնում է համապատասխանության գնահատման վերաբերյալ փաստաթղթի մասին տեղեկություններ՝ սերտիֆիկատների և հայտարարագրերի միասնական ռեեստրի ազգային մասից |
Միության անդամ պետության լիազորված մարմին (P.TS.01.ACT.002) |
|
Տեղեկություններ սպառողը |
Միության ինտեգրված տեղեկատվական համակարգի միջոցով ուղարկում է հարցում և ստանում է տեղեկություններ համապատասխանության գնահատման վերաբերյալ փաստաթղթի մասին՝ սերտիֆիկատների և հայտարարագրերի միասնական ռեեստրի ազգային մասից |
Միության անդամ պետության՝ հարցում ներկայացնող լիազորված մարմին (P.TS.01.ACT.003) |
2. Տեղեկատվական փոխգործակցության կառուցվածքը
7. Տեղեկատվական փոխգործակցությունը սերտիֆիկատների և հայտարարագրերի միասնական ռեեստրի ազգային մասերից տեղեկություններ ստանալիս Միության անդամ պետությունների լիազորված մարմինների (այսուհետ՝ անդամ պետությունների լիազորված մարմիններ) միջև իրականացվում է «Սերտիֆիկատների և հայտարարագրերի միասնական ռեեստրի ազգային մասից տեղեկությունների ստացում» ընդհանուր գործընթացի ընթացակարգին համապատասխան։
Անդամ պետությունների լիազորված մարմինների միջև տեղեկատվական փոխգործակցության կառուցվածքը ներկայացված է 1-ին նկարում։
Նկար 1. Անդամ պետությունների լիազորված մարմինների միջև տեղեկատվական փոխգործակցության կառուցվածքը
8. Անդամ պետությունների լիազորված մարմինների միջև տեղեկատվական փոխգործակցությունն իրագործվում է ընդհանուր գործընթացի շրջանակներում: Ընդհանուր գործընթացի կառուցվածքը սահմանված է Տեղեկատվական փոխգործակցության կանոններում:
9. Տեղեկատվական փոխգործակցությամբ սահմանվում է ընդհանուր գործընթացի այն տրանզակցիաների կատարման կարգը, որոնցից յուրաքանչյուրն ընդհանուր գործընթացի մասնակիցների միջև ընդհանուր գործընթացի տեղեկատվական օբյեկտի վիճակների սինքրոնացման նպատակով հաղորդագրությունների փոխանակումն է։ Յուրաքանչյուր տեղեկատվական փոխգործակցության համար սահմանված են ընդհանուր գործընթացի գործառնությունների և այդ գործառնություններին համապատասխանող տրանզակցիաների միջև փոխադարձ կապերը:
10. Ընդհանուր գործընթացի տրանզակցիա կատարելիս նախաձեռնողն իր կողմից իրականացվող գործառնության (սկզբնավորող գործառնության) շրջանակներում ռեսպոնդենտին է ուղարկում հաղորդագրություն-հարցում, որին ի պատասխան՝ ռեսպոնդենտն իր կողմից իրականացվող գործառնության (ընդունող գործառնության) շրջանակներում կարող է ուղարկել կամ չուղարկել հաղորդագրություն-պատասխան՝ պայմանավորված ընդհանուր գործընթացի տրանզակցիայի ձևանմուշով։ Հաղորդագրության կազմում տվյալների կառուցվածքը պետք է համապատասխանի Եվրասիական տնտեսական հանձնաժողովի կոլեգիայի 2016 թվականի մայիսի 10-ի թիվ 39 որոշմամբ հաստատված՝ «Եվրասիական տնտեսական միության տեխնիկական կանոնակարգերի (Մաքսային միության տեխնիկական կանոնակարգերի) պահանջներին համապատասխանության գնահատման վերաբերյալ տրամադրված կամ ընդունված փաստաթղթերի միասնական ռեեստրների ձևավորում և վարում» ընդհանուր գործընթացը տրված համապատասխանության սերտիֆիկատների և համապատասխանության մասին գրանցված հայտարարագրերի միասնական ռեեստրին վերաբերող մասով Եվրասիական տնտեսական միության ինտեգրված տեղեկատվական համակարգի միջոցներով իրագործելու համար օգտագործվող՝ էլեկտրոնային փաստաթղթերի և տեղեկությունների ձևաչափերի ու կառուցվածքների նկարագրությանը (այսուհետ՝ էլեկտրոնային փաստաթղթերի և տեղեկությունների ձևաչափերի ու կառուցվածքների նկարագրություն):
11. Ընդհանուր գործընթացի տրանզակցիաները կատարվում են ընդհանուր գործընթացի տրանզակցիաների տրված պարամետրերին համապատասխան, ինչպես սահմանված է սույն կանոնակարգով։
V. Տեղեկատվական փոխգործակցությունն ընթացակարգերի խմբերի շրջանակներում
1. Տեղեկատվական փոխգործակցությունը սերտիֆիկատների և հայտարարագրերի միասնական ռեեստրի ազգային մասերից տեղեկություններ ստանալիս
12. Սերտիֆիկատների և հայտարարագրերի միասնական ռեեստրի ազգային մասերից տեղեկություններ ստանալիս ընդհանուր գործընթացի տրանզակցիաների կատարման սխեման ներկայացված է 2-րդ նկարում։ Ընդհանուր գործընթացի յուրաքանչյուր ընթացակարգի համար 2-րդ աղյուսակում բերված է կապն ընդհանուր գործընթացի գործառնությունների, տեղեկատվական օբյեկտների միջանկյալ և վերջնական վիճակների և ընդհանուր գործընթացի տրանզակցիաների միջև:
Նկար 2. Սերտիֆիկատների և հայտարարագրերի միասնական ռեեստրի ազգային մասերից տեղեկություններ ստանալիս ընդհանուր գործընթացի տրանզակցիաների կատարման սխեման
Աղյուսակ 2
Սերտիֆիկատների և հայտարարագրերի միասնական ռեեստրի ազգային մասերից տեղեկություններ ստանալիս ընդհանուր գործընթացի տրանզակցիաների ցանկը
|
Համարը՝ ը/կ |
Նախաձեռնողի կողմից կատարվող գործառնությունը |
Ընդհանուր գործընթացի տեղեկատվական օբյեկտի միջանկյալ վիճակը |
Ռեսպոնդենտի կողմից կատարվող գործառնությունը |
Ընդհանուր գործընթացի տեղեկատվական օբյեկտի վերջնական վիճակը |
Ընդհանուր գործընթացի տրանզակցիան |
|
1 |
2 |
3 |
4 |
5 |
6 |
|
Սերտիֆիկատների և հայտարարագրերի միասնական ռեեստրի ազգային մասից տեղեկությունների ստացում (P.TS.01.PRC.002) | |||||
|
1 |
Սերտիֆիկատների և հայտարարագրերի միասնական ռեեստրի ազգային մասից տեղեկությունների հարցում (P.TS.01.OPR.005) Սերտիֆիկատների և հայտարարագրերի միասնական ռեեստրի ազգային մասից տեղեկությունների ընդունում և մշակում (P.TS.01.OPR.007) |
սերտիֆիկատների և հայտարարագրերի միասնական ռեեստր (P.TS.01.BEN.001). տեղեկությունները հարցվել են |
սերտիֆիկատների և հայտարարագրերի միասնական ռեեստրի ազգային մասից տեղեկությունների մշակում և ներկայացում (P.TS.01.OPR.006) |
սերտիֆիկատների և հայտարարագրերի միասնական ռեեստր (P.TS.01.BEN.001). տեղեկությունները ներկայացվել են, սերտիֆիկատների և հայտարարագրերի միասնական ռեեստր (P.TS.01.BEN.001). տեղեկությունները բացակայում են |
համապատասխանության գնահատման վերաբերյալ փաստաթղթի մասին տեղեկությունների ստացում (P.TS.01.TRN.003) |
VI. Ընդհանուր գործընթացի հաղորդագրությունների նկարագրությունը
13. Ընդհանուր գործընթացն իրագործելիս տեղեկատվական փոխգործակցության շրջանակներում փոխանցվող՝ ընդհանուր գործընթացի հաղորդագրությունների ցանկը բերված է 3-րդ աղյուսակում։ Հաղորդագրության կազմում տվյալների կառուցվածքը պետք է համապատասխանի Էլեկտրոնային փաստաթղթերի և տեղեկությունների ձևաչափերի ու կառուցվածքների նկարագրությանը։ Էլեկտրոնային փաստաթղթերի և տեղեկությունների ձևաչափերի ու կառուցվածքների նկարագրության մեջ համապատասխան կառուցվածքին կատարվող հղումը սահմանվում է ըստ 3-րդ աղյուսակի 3-րդ սյունակի արժեքի:
Աղյուսակ 3
Ընդհանուր գործընթացի հաղորդագրությունների ցանկը
|
Ծածկագրային նշագիրը |
Անվանումը |
Էլեկտրոնային փաստաթղթի (տեղեկությունների) կառուցվածքը |
|
1 |
2 |
3 |
|
P.TS.01.MSG.004 |
համապատասխանության գնահատման վերաբերյալ փաստաթղթերի մասին տեղեկությունների հարցում |
փաստաթուղթ (R.004) |
|
P.TS.01.MSG.005 |
համապատասխանության գնահատման վերաբերյալ փաստաթղթերի մասին տեղեկություններ |
սերտիֆիկատների և հայտարարագրերի միասնական ռեեստրից տեղեկություններ (R.TR.TS.01.001) |
|
P.TS.01.MSG.006 |
համապատասխանության գնահատման վերաբերյալ փաստաթղթերի մասին տեղեկությունների բացակայության վերաբերյալ ծանուցում |
մշակման արդյունքի մասին ծանուցում (R.006) |
VII. Ընդհանուր գործընթացի տրանզակցիաների նկարագրությունը
1. «Համապատասխանության գնահատման վերաբերյալ փաստաթղթի մասին տեղեկությունների ստացում» (P.TS.01.TRN.003)ընդհանուր գործընթացի տրանզակցիա
14. «Համապատասխանության գնահատման վերաբերյալ փաստաթղթի մասին տեղեկությունների ստացում» (P.TS.01.TRN.003) ընդհանուր գործընթացի տրանզակցիան կատարվում է նախաձեռնողի կողմից ռեսպոնդենտին համապատասխան տեղեկություններ փոխանցելու համար։ Ընդհանուր գործընթացի նշված տրանզակցիայի կատարման սխեման ներկայացված է 3-րդ նկարում։ Ընդհանուր գործընթացի տրանզակցիայի պարամետրերը բերված են 4-րդ աղյուսակում։
Նկար 3. «Համապատասխանության գնահատման վերաբերյալ փաստաթղթերի մասին տեղեկությունների ստացում» (P.TS.01.TRN.003) ընդհանուր գործընթացի տրանզակցիայի կատարման սխեման
Աղյուսակ 4
«Համապատասխանության գնահատման վերաբերյալ փաստաթղթի մասին տեղեկությունների ստացում» (P.TS.01.TRN.003) ընդհանուր գործընթացի տրանզակցիայի նկարագրությունը
|
Համարը՝ ը/կ |
Պարտադիր տարրը |
Նկարագրությունը |
|
1 |
2 |
3 |
|
1 |
Ծածկագրային նշագիրը |
P.TS.01.TRN.003 |
|
2 |
Ընդհանուր գործընթացի տրանզակցիայի անվանումը |
համապատասխանության գնահատման վերաբերյալ փաստաթղթի մասին տեղեկությունների ստացում |
|
3 |
Ընդհանուր գործընթացի տրանզակցիայի ձևանմուշը |
հարցում/պատասխան |
|
4 |
Սկզբնավորող դերը |
նախաձեռնող |
|
5 |
Սկզբնավորող գործողությունը |
համապատասխանության գնահատման վերաբերյալ փաստաթղթի մասին տեղեկությունների հարցում և ստացում |
|
6 |
Արձագանքող դերը |
ռեսպոնդենտ |
|
7 |
Ընդունող գործողությունը |
համապատասխանության գնահատման վերաբերյալ փաստաթղթի մասին տեղեկությունների մշակում և ներկայացում |
|
8 |
Ընդհանուր գործընթացի տրանզակցիայի կատարման արդյունքը |
սերտիֆիկատների և հայտարարագրերի միասնական ռեեստր (P.TS.01.BEN.001). տեղեկությունները ներկայացվել են սերտիֆիկատների և հայտարարագրերի միասնական ռեեստր (P.TS.01.BEN.001). տեղեկությունները բացակայում են |
|
9 |
Ընդհանուր գործընթացի տրանզակցիայի պարամետրերը․ |
|
|
ստացումը հաստատելու համար ժամանակը |
- | |
|
մշակման ընդունումը հաստատելու ժամանակը |
20 րոպե | |
|
պատասխանին սպասելու ժամանակը |
4 ժամ | |
|
ավտորիզացման հատկանիշը |
այո | |
|
կրկնությունների քանակը |
3 | |
|
10 |
Ընդհանուր գործընթացի տրանզակցիայի հաղորդագրությունները. |
|
|
սկզբնավորող հաղորդագրությունը |
Համապատասխանության գնահատման վերաբերյալ փաստաթղթերի մասին տեղեկությունների հարցում (P.TS.01.MSG.004) | |
|
պատասխան հաղորդագրությունը |
համապատասխանության գնահատման վերաբերյալ փաստաթղթերի մասին տեղեկություններ (P.TS.01.MSG.005) համապատասխանության գնահատման վերաբերյալ փաստաթղթերի մասին տեղեկությունների բացակայության վերաբերյալ ծանուցում (P.TS.01.MSG.006) | |
|
11 |
Ընդհանուր գործընթացի տրանզակցիայի հաղորդագրությունների պարամետրերը․ |
|
|
ԷԹՍ-ի հատկանիշը |
ոչ՝ P.TS.01.MSG.004-ի, P.TS.01.MSG.005-ի համար (բացառությամբ այն դեպքերի, երբ ընդհանուր գործընթացի շրջանակներում տեղեկատվական փոխգործակցության իրականացման ժամանակ ԷԹՍ-ի կիրառումը նախատեսված է Հանձնաժողովի կոլեգիայի համապատասխան որոշմամբ)․ ոչ՝ P.TS.01.MSG.006-ի համար | |
|
ոչ ճշգրիտ ԷԹՍ-ով էլեկտրոնային փաստաթղթի փոխանցումը |
- |
VIII. Արտակարգ իրավիճակներում գործողությունների կարգը
15. Ընդհանուր գործընթացի շրջանակներում տեղեկատվական փոխգործակցության ժամանակ հնարավոր են այնպիսի արտակարգ իրավիճակներ, երբ տվյալների մշակումը չի կարող կատարվել սովորական ռեժիմով։ Արտակարգ իրավիճակներն առաջանում են տեխնիկական խափանումների, սպասման ժամանակը լրանալու և այլ դեպքերում: Արտակարգ իրավիճակի առաջացման պատճառների վերաբերյալ մեկնաբանություններ և ընդհանուր գործընթացի մասնակցի կողմից այն կարգավորելու վերաբերյալ առաջարկություններ ստանալու համար նախատեսված է Միության ինտեգրված տեղեկատվական համակարգի աջակցության ծառայություն համապատասխան հարցում ուղարկելու հնարավորությունը: Արտակարգ իրավիճակի կարգավորման վերաբերյալ ընդհանուր առաջարկությունները բերված են 5-րդ աղյուսակում:
16. Անդամ պետության լիազորված մարմինը կատարում է էլեկտրոնային փաստաթղթերի և տեղեկությունների ձևաչափերի ու կառուցվածքների նկարագրությանը և սույն կանոնակարգի IX բաժնում նշված՝ հաղորդագրությունների հսկողությանը ներկայացվող պահանջներին այն հաղորդագրության համապատասխանության ստուգում, որի առնչությամբ ստացվել է սխալի մասին ծանուցումը: Նշված պահանջներին անհամապատասխանություն հայտնաբերելու դեպքում անդամ պետության լիազորված մարմինը ձեռնարկում է բոլոր անհրաժեշտ միջոցները՝ հայտնաբերված սխալը վերացնելու համար։ Անհամապատասխանություններ չհայտնաբերվելու դեպքում անդամ պետության լիազորված մարմինն այդ արտակարգ իրավիճակի նկարագրությամբ հաղորդագրություն է ուղարկում Միության ինտեգրված տեղեկատվական համակարգի աջակցման ծառայություն։
Աղյուսակ 5
Գործողություններն արտակարգ իրավիճակներում
|
Արտակարգ իրավիճակի ծածկագիրը |
Արտակարգ իրավիճակի նկարագրությունը |
Արտակարգ իրավիճակի պատճառները |
Արտակարգ իրավիճակի առաջացման դեպքում գործողությունների նկարագրությունը |
|
1 |
2 |
3 |
4 |
|
P.EXC.002 |
ընդհանուր գործընթացի երկկողմ տրանզակցիայի նախաձեռնողը կրկնությունների համաձայնեցված քանակը լրանալուց հետո հաղորդագրություն-պատասխան չի ստացել |
տրանսպորտային համակարգում տեխնիկական խափանումներ կամ ծրագրային ապահովման համակարգային սխալ |
անհրաժեշտ է հարցում ուղարկել ազգային հատվածի տեխնիկական աջակցության այն ծառայություն, որտեղ ձևավորվել է հաղորդագրությունը |
|
P.EXC.004 |
ընդհանուր գործընթացի տրանզակցիան նախաձեռնողը ծանուցում է ստացել սխալի մասին |
չեն սինքրոնացվել տեղեկագրքերն ու դասակարգիչները, կամ չեն թարմացվել էլեկտրոնային փաստաթղթի (տեղեկությունների) XML սխեմաները |
ընդհանուր գործընթացի տրանզակցիայի նախաձեռնողը պետք է սինքրոնացնի օգտագործվող տեղեկագրքերն ու դասակարգիչները կամ թարմացնի էլեկտրոնային փաստաթղթերի (տեղեկությունների) XML սխեմաները։
Եթե տեղեկագրքերն ու դասակարգիչները համաժամանակեցվել են, էլեկտրոնային փաստաթղթերի (տեղեկությունների) XML սխեմաները՝ թարմացվել, ապա անհրաժեշտ է հարցում ուղարկել ընդունող մասնակցի աջակցության ծառայություն |
IX. Էլեկտրոնային փաստաթղթերի և տեղեկությունների լրացմանը ներկայացվող պահանջները
17. «Համապատասխանության գնահատման վերաբերյալ փաստաթղթի մասին տեղեկությունների հարցում» (P.TS.01.MSG.004) հաղորդագրությամբ փոխանցվող «Փաստաթուղթ» (R.004) էլեկտրոնային փաստաթղթերի (տեղեկությունների) վավերապայմանների լրացմանը ներկայացվող պահանջները բերված են 6-րդ աղյուսակում։
Աղյուսակ 6
«Համապատասխանության գնահատման փաստաթղթի մասին տեղեկությունների հարցումը» (P.TS.01.MSG.004) հաղորդագրությամբ փոխանցվող «Փաստաթուղթը» (R.004) էլեկտրոնային փաստաթղթերի (տեղեկությունների) վավերապայմանների լրացմանը ներկայացվող պահանջները
|
»: |
4. Եվրասիական տնտեսական միության ինտեգրված տեղեկատվական համակարգի միջոցներով «Եվրասիական տնտեսական միության տեխնիկական կանոնակարգերի (Մաքսային միության տեխնիկական կանոնակարգերի) պահանջներին համապատասխանության գնահատման վերաբերյալ տրամադրված կամ ընդունված փաստաթղթերի միասնական ռեեստրների ձևավորում և վարում» ընդհանուր գործընթացը տրված համապատասխանության սերտիֆիկատների և համապատասխանության մասին գրանցված հայտարարագրերի միասնական ռեեստրին վերաբերող մասով իրագործելիս սույն որոշմամբ հաստատված էլեկտրոնային փաստաթղթերի և տեղեկությունների ձևաչափերի և կառուցվածքների նկարագրությունը շարադրել հետևյալ խմբագրությամբ․
|
«ՀԱՍՏԱՏՎԱԾ Է Եվրասիական տնտեսական հանձնաժողովի կոլեգիայի 2016 թվականի մայիսի 10-ի թիվ 39 որոշմամբ (Եվրասիական տնտեսական հանձնաժողովի կոլեգիայի 2024 թվականի սեպտեմբերի 23-ի թիվ 109 որոշման խմբագրությամբ) |
ՆԿԱՐԱԳՐՈՒԹՅՈՒՆ
Եվրասիական տնտեսական միության ինտեգրված տեղեկատվական համակարգի միջոցներով «Եվրասիական տնտեսական միության տեխնիկական կանոնակարգերի (Մաքսային միության տեխնիկական կանոնակարգերի) պահանջներին համապատասխանության գնահատման վերաբերյալ տրամադրված կամ ընդունված փաստաթղթերի միասնական ռեեստրների ձևավորում և վարում» ընդհանուր գործընթացը տրված համապատասխանության սերտիֆիկատների և համապատասխանության մասին գրանցված հայտարարագրերի միասնական ռեեստրին վերաբերող մասով իրագործելիս էլեկտրոնային փաստաթղթերի և տեղեկությունների ձևաչափերի և կառուցվածքների
I. Ընդհանուր դրույթներ
1. Սույն նկարագրությունը մշակվել է Եվրասիական տնտեսական միության (այսուհետ՝ Միություն) իրավունքի կազմում ընդգրկվող հետևյալ ակտերին համապատասխան.
«Եվրասիական տնտեսական միության մասին» 2014 թվականի մայիսի 29-ի պայմանագիր.
«Մաքսային միությունում տեխնիկական կարգավորման մասին» Մաքսային միության հանձնաժողովի 2010 թվականի հունիսի 18-ի թիվ 319 որոշում.
«Մաքսային միության շրջանակներում միասնական փաստաթղթերի տրամադրմամբ համապատասխանության պարտադիր գնահատման (հաստատման) ենթակա արտադրանքի միասնական ցանկի մասին» Մաքսային միության հանձնաժողովի 2011 թվականի ապրիլի 7-ի թիվ 620 որոշում.
«Համապատասխանության սերտիֆիկատի և Մաքսային միության տեխնիկական կանոնակարգերին համապատասխանության մասին հայտարարագրի միասնական ձևերի և դրանց ձևակերպման կանոնների մասին» Եվրասիական տնտեսական հանձնաժողովի կոլեգիայի 2012 թվականի դեկտեմբերի 25-ի թիվ 293 որոշում.
«Եվրասիական տնտեսական միության տեխնիկական կանոնակարգերի պահանջներին արտադրանքի համապատասխանության հայտարարագրերը գրանցելու, դրանց գործողությունը կասեցնելու, վերսկսելու ու դադարեցնելու կարգի մասին» Եվրասիական տնտեսական հանձնաժողովի կոլեգիայի 2018 թվականի մարտի 20-ի թիվ 41 որոշում․
«Տրված համապատասխանության սերտիֆիկատների և գրանցված համապատասխանության հայտարարագրերի միասնական ռեեստրի ձևավորման և վարման կարգի մասին» Եվրասիական տնտեսական հանձնաժողովի 2017 թվականի սեպտեմբերի 26-ի թիվ 127 որոշում:
«Ընդհանուր գործընթացներն արտաքին և փոխադարձ առևտրի ինտեգրված տեղեկատվական համակարգի միջոցներով իրագործելիս տեղեկատվական փոխգործակցությունը կանոնակարգող տեխնոլոգիական փաստաթղթերի մասին» Եվրասիական տնտեսական հանձնաժողովի կոլեգիայի 2014 թվականի նոյեմբերի 6-ի թիվ 200 որոշում.
«Արտաքին և փոխադարձ առևտրի ինտեգրված տեղեկատվական համակարգում տվյալների էլեկտրոնային փոխանակման կանոնները հաստատելու մասին» Եվրասիական տնտեսական հանձնաժողովի կոլեգիայի 2015 թվականի հունվարի 27-ի թիվ 5 որոշում.
«Եվրասիական տնտեսական միության շրջանակներում ընդհանուր գործընթացների ցանկի և Եվրասիական տնտեսական հանձնաժողովի կոլեգիայի 2014 թվականի օգոստոսի 19-ի թիվ 132 որոշման մեջ փոփոխություն կատարելու մասին» Եվրասիական տնտեսական հանձնաժողովի կոլեգիայի 2015 թվականի ապրիլի 14-ի թիվ 29 որոշում.
«Եվրասիական տնտեսական միության շրջանակներում ընդհանուր գործընթացների վերլուծության, օպտիմալացման, ներդաշնակեցման և նկարագրության մեթոդիկայի մասին» Եվրասիական տնտեսական հանձնաժողովի կոլեգիայի 2015 թվականի հունիսի 9-ի թիվ 63 որոշում.
«Եվրասիական տնտեսական միության անդամ պետությունների պետական իշխանության մարմինների` միմյանց միջև և Եվրասիական տնտեսական հանձնաժողովի հետ անդրսահմանային փոխգործակցության ընթացքում էլեկտրոնային փաստաթղթերի փոխանակման մասին հիմնադրույթի հաստատման մասին» Եվրասիական տնտեսական հանձնաժողովի կոլեգիայի 2015 թվականի սեպտեմբերի 28-ի թիվ 125 որոշում։
II. Կիրառության ոլորտը
2. Սույն նկարագրությամբ սահմանվում են «Եվրասիական տնտեսական միության տեխնիկական կանոնակարգերի (Մաքսային միության տեխնիկական կանոնակարգերի) պահանջներին համապատասխանության գնահատման վերաբերյալ տրամադրված կամ ընդունված փաստաթղթերի միասնական ռեեստրների ձևավորում և վարում» ընդհանուր գործընթացի շրջանակներում տրված համապատասխանության սերտիֆիկատների և համապատասխանության մասին գրանցված հայտարարագրերի միասնական ռեեստրին վերաբերող մասով իրագործվող տեղեկատվական փոխգործակցության ժամանակ օգտագործվող՝ էլեկտրոնային փաստաթղթերի և տեղեկությունների ձևաչափերին և կառուցվածքներին ներկայացվող պահանջները։
3. Սույն նկարագրությունը կիրառվում է ընդհանուր գործընթացի ընթացակարգերը Եվրասիական տնտեսական միության ինտեգրված տեղեկատվական համակարգի (այսուհետ՝ ինտեգրված համակարգ) միջոցներով իրագործելիս տեղեկատվական համակարգերի բաղադրիչների նախագծման, մշակման և լրամշակման ժամանակ։
4. Էլեկտրոնային փաստաթղթերի և տեղեկությունների ձևաչափերի ու կառուցվածքների նկարագրությունը բերվում է աղյուսակի տեսքով՝ վավերապայմանների ամբողջական կազմի նշմամբ՝ հաշվի առնելով ստորակարգության մակարդակները՝ ընդհուպ մինչև պարզ (անտրոհելի) վավերապայմանները:
5. Աղյուսակում նկարագրվում է էլեկտրոնային փաստաթղթերի (տեղեկությունների) վավերապայմանների (այսուհետ՝ վավերապայմաններ) և տվյալների մոդելի տարրերի միանշանակ համապատասխանությունը:
6. Աղյուսակում ձևավորվում են հետևյալ դաշտերը (սյունակները).
«ստորակարգային համարը»՝ վավերապայմանի հերթական համարը.
«վավերապայմանի անվանումը»՝ վավերապայմանի հաստատուն կամ պաշտոնական բառային նշագիրը.
«վավերապայմանի նկարագրությունը»՝ վավերապայմանի իմաստը (իմաստաբանությունը) պարզաբանող տեքստը.
«նույնականացուցիչը»՝ վավերապայմանին համապատասխանող՝ տվյալների մոդելում տվյալների տարրի նույնականացուցիչը.
«արժեքների տիրույթը»՝ վավերապայմանի հնարավոր արժեքների բառային նկարագրությունը.
«բազմ.»` վավերապայմանների բազմաքանակությունը՝ վավերապայմանի պարտադիր (կամընտրական) լինելը և հնարավոր կրկնությունների քանակը:
7. Վավերապայմանների բազմաքանակությունը նշելու համար օգտագործվում են հետևյալ նշագրերը.
1՝ վավերապայմանը պարտադիր է, կրկնություններ չեն թույլատրվում.
n՝ վավերապայմանը պարտադիր է, պետք է կրկնվի n անգամ (n > 1).
1..*՝ վավերապայմանը պարտադիր է, կարող է կրկնվել առանց սահմանափակումների.
n..*՝ վավերապայմանը պարտադիր է, պետք է կրկնվի ոչ պակաս, քան n անգամ (n > 1).
n..m՝ վավերապայմանը պարտադիր է, պետք է կրկնվի ոչ պակաս, քան n անգամ, և ոչ ավելի, քան m անգամ (n > 1, m > n).
0..1՝ վավերապայմանը կամընտրական է, կրկնություններ չեն թույլատրվում.
0..*՝ վավերապայմանը կամընտրական է, կարող է կրկնվել առանց սահմանափակումների.
0..m՝ վավերապայմանը կամընտրական է, կարող է կրկնվել ոչ ավելի, քան m անգամ (m > 1):
III. Հիմնական հասկացությունները
8. Սույն նկարագրության նպատակներով օգտագործվում են հասկացություններ, որոնք ունեն հետևյալ իմաստը.
անդամ պետություն՝ Միության անդամ հանդիսացող պետություն.
«վավերապայման»՝ էլեկտրոնային փաստաթղթի (տեղեկությունների) տվյալների միավոր, որը որոշակի համատեքստում համարվում է անբաժանելի.
«ԵԱՏՄ ԱՏԳ ԱԱ»՝ Եվրասիական տնտեսական միության արտաքին տնտեսական գործունեության միասնական ապրանքային անվանացանկ։
Սույն նկարագրության մեջ «տվյալների բազիսային մոդել», «տվյալների մոդել», «առարկայական ոլորտի տվյալների մոդել», «առարկայական ոլորտ» և «էլեկտրոնային փաստաթղթերի և տեղեկությունների կառուցվածքների ռեեստր» հասկացությունները օգտագործվում են Եվրասիական տնտեսական հանձնաժողովի կոլեգիայի 2015 թվականի հունիսի 9-ի թիվ 63 որոշմամբ հաստատված՝ Միության շրջանակներում ընդհանուր գործընթացների վերլուծության, օպտիմալացման, ներդաշնակեցման և նկարագրության մեթոդիկայով սահմանված իմաստներով։
Սույն նկարագրության մեջ օգտագործվող մյուս հասկացությունները կիրառվում են Եվրասիական տնտեսական հանձնաժողովի կոլեգիայի 2016 թվականի մայիսի 10-ի թիվ 39 որոշմամբ հաստատված՝ «Եվրասիական տնտեսական միության տեխնիկական կանոնակարգերի (Մաքսային միության տեխնիկական կանոնակարգերի) պահանջներին համապատասխանության գնահատման վերաբերյալ տրամադրված կամ ընդունված փաստաթղթերի միասնական ռեեստրների ձևավորում և վարում» ընդհանուր գործընթացը տրված համապատասխանության սերտիֆիկատների և համապատասխանության մասին գրանցված հայտարարագրերի միասնական ռեեստրին վերաբերող մասով Եվրասիական տնտեսական միության ինտեգրված տեղեկատվական համակարգի միջոցներով իրագործելիս Տեղեկատվական փոխգործակցության կանոնների 4-րդ կետում սահմանված իմաստներով։
Սույն նկարագրության 4-րդ, 7-րդ, 10-րդ, 13-րդ և 16-րդ աղյուսակներում «Տեղեկատվական փոխգործակցության կանոնակարգեր» ասելով հասկանում ենք Եվրասիական տնտեսական հանձնաժողովի կոլեգիայի 2016 թվականի մայիսի 10-ի թիվ 39 որոշմամբ հաստատված՝ «Եվրասիական տնտեսական միության տեխնիկական կանոնակարգերի (Մաքսային միության տեխնիկական կանոնակարգերի) պահանջներին համապատասխանության գնահատման վերաբերյալ տրամադրված կամ ընդունված փաստաթղթերի միասնական ռեեստրների ձևավորում և վարում» ընդհանուր գործընթացը տրված համապատասխանության սերտիֆիկատների և համապատասխանության մասին գրանցված հայտարարագրերի միասնական ռեեստրին վերաբերող մասով Եվրասիական տնտեսական միության ինտեգրված տեղեկատվական համակարգի միջոցներով իրագործելիս Եվրասիական տնտեսական միության անդամ պետությունների լիազորված մարմինների ու Եվրասիական տնտեսական հանձնաժողովի միջև տեղեկատվական փոխգործակցության կանոնակարգ և «Եվրասիական տնտեսական միության տեխնիկական կանոնակարգերի (Մաքսային միության տեխնիկական կանոնակարգերի) պահանջներին համապատասխանության գնահատման վերաբերյալ տրամադրված կամ ընդունված փաստաթղթերի միասնական ռեեստրների ձևավորում և վարում» ընդհանուր գործընթացը տրված համապատասխանության սերտիֆիկատների և համապատասխանության մասին գրանցված հայտարարագրերի միասնական ռեեստրին վերաբերող մասով Եվրասիական տնտեսական միության ինտեգրված տեղեկատվական համակարգի միջոցներով իրագործելիս Եվրասիական տնտեսական միության անդամ պետությունների լիազորված մարմինների միջև տեղեկատվական փոխգործակցության կանոնակարգ։
IV. Էլեկտրոնային փաստաթղթերի և տեղեկությունների կառուցվածքները
9. Էլեկտրոնային փաստաթղթերի և տեղեկությունների կառուցվածքների ցանկը բերված է 1-ին աղյուսակում։
Աղյուսակ 1
Էլեկտրոնային փաստաթղթերի և տեղեկությունների կառուցվածքների ցանկը
|
Հա-մարը՝ ը/կ |
Նույնա-կանացուցիչը |
Անունը |
Անվանումների տարածությունը |
|
1 |
2 |
3 |
4 |
|
1 |
Բազիսային մոդելում էլեկտրոնային փաստաթղթերի և տեղեկությունների կառուցվածքները | ||
|
1.9 |
R.004 |
փաստաթուղթ |
urn:EEC:R:DocDetails:vY.Y.Y |
|
1.2 |
R.006 |
մշակման արդյունքի մասին ծանուցում |
urn:EEC:R:ProcessingResultDetails:vY.Y.Y |
|
1.3 |
R.007 |
ընդհանուր ռեսուրսի արդիականացման վիճակ |
urn:EEC:R:ResourceStatusDetails:vY.Y.Y |
|
2 |
Էլեկտրոնային փաստաթղթերի և տեղեկությունների կառուցվածքները «Տեխնիկական կանոնակարգ» առարկայական ոլորտում | ||
|
2.1 |
R.TR.TS.01.001 |
սերտիֆիկատների և հայտարարագրերի միասնական ռեեստրի ազգային մասից տեղեկություններ |
urn:EEC:R:TR:TS:01:ConformityDocsRegistryDetails:v1.0.3 |
|
2.2 |
R.TR.TS.01.002 |
սերտիֆիկատների և հայտարարագրերի միասնական ռեեստրից տեղեկությունների հարցում |
urn:EEC:R:TR:TS:01:ConformityDocsRegistryRequestDetails:v1.0.0 |
1. Բազիսային մոդելում էլեկտրոնային փաստաթղթերի և տեղեկությունների կառուցվածքները
10. «Փաստաթուղթ» (R.004) էլեկտրոնային փաստաթղթի (տեղեկությունների) կառուցվածքի նկարագրությունը բերված է 2-րդ աղյուսակում։
Աղյուսակ 2
«Փաստաթուղթ» (R.004) էլեկտրոնային փաստաթղթի (տեղեկությունների) կառուցվածքի նկարագրությունը
|
Համարը՝ ը/կ |
Տարրի նշագիրը |
Նկարագրությունը |
|
1 |
2 |
3 |
|
1 |
Անվանումը |
փաստաթուղթ |
|
2 |
Նույնականացուցիչը |
R.004 |
|
3 |
Տարբերակը |
Y.Y.Y |
|
4 |
Սահմանումը |
փաստաթղթի վերաբերյալ տեղեկությունները և դրա բովանդակությունը |
|
5 |
Օգտագործումը |
- |
|
6 |
Անվանումների տարածության նույնականացուցիչը |
urn:EEC:R:DocDetails:vY.Y.Y |
|
7 |
XML փաստաթղթի հիմնական տարրը |
DocDetails |
|
8 |
XML սխեմայի նիշքի անվանումը |
EEC_R_DocDetails_vY.Y.Y.xsd |
Էլեկտրոնային փաստաթղթերի և տեղեկությունների կառուցվածքների անվանումների տարածություններում «Y.Y.Y» պայմանանշանները համապատասխանում են էլեկտրոնային փաստաթղթի (տեղեկությունների) կառուցվածքի այն տարբերակի համարին, որը սահմանվում է էլեկտրոնային փաստաթղթերի և տեղեկությունների կառուցվածքների ռեեստրում ներառման ենթակա՝ Էլեկտրոնային փաստաթղթի (տեղեկությունների) կառուցվածքի տեխնիկական սխեմայի սույն նկարագրությանը համապատասխան մշակելիս օգտագործված՝ տվյալների բազիսային մոդելի տարբերակի համարին համապատասխան:
11. Ներմուծվող անվանումների տարածությունները բերված են 3-րդ աղյուսակում:
Աղյուսակ 3
Ներմուծվող անվանումների տարածությունները
|
Համարը՝ ը/կ |
Անվանումների տարածության նույնականացուցիչը |
Նախածանցը |
|
1 |
2 |
3 |
|
1 |
urn:EEC:M:BaseDataTypes:vХ.Х.Х |
bdt |
|
2 |
urn:EEC:M:ComplexDataObjects:vX.X.X |
ccdo |
|
3 |
urn:EEC:M:SimpleDataObjects:vX.X.X |
csdo |
Ներմուծվող անվանումների տարածություններում «X.X.X» պայմանանշանները համապատասխանում են էլեկտրոնային փաստաթղթերի ու տեղեկությունների կառուցվածքների ռեեստրում ներառման ենթակա՝ էլեկտրոնային փաստաթղթի (տեղեկությունների) կառուցվածքի տեխնիկական սխեման սույն նկարագրությանը համապատասխան մշակելիս օգտագործված՝ տվյալների բազիսային մոդելի տարբերակի համարին:
12. «Փաստաթուղթ» (R.004) էլեկտրոնային փաստաթղթի (տեղեկությունների) կառուցվածքի վավերապայմանների կազմը բերված է 4-րդ աղյուսակում։
Աղյուսակ 4
«Փաստաթուղթ» (R.004) էլեկտրոնային փաստաթղթի (տեղեկությունների) կառուցվածքի վավերապայմանների կազմը
|
Վավերապայմանի անվանումը |
Վավերապայմանի նկարագրությունը |
Նույնա-կանա-ցուցիչը |
Տվյալների տիպը |
Բազմ. | |||
|
1. էլեկտրոնային փաստաթղթի (տեղեկությունների) վերնագիրը (ccdo:EDocHeader) |
էլեկտրոնային փաստաթղթի (տեղեկությունների) տեխնոլոգիական վավերապայմանների ամբողջությունը |
M.CDE.90001 |
ccdo:EDocHeaderType (M.CDT.90001)
Որոշվում է ներդրված տարրերի արժեքների տիրույթներով |
1 | |||
|
1.1. Ընդհանուր գործընթացի հաղորդագրության ծածկագիրը (csdo:InfEnvelopeCode) |
ընդհանուր գործընթացի հաղորդագրության ծածկագրային նշագիրը |
M.SDE.90010 |
csdo:InfEnvelopeCodeType (M.SDT.90004)
Ծածկագրի արժեքը՝ Տեղեկատվական փոխգործակցության կանոնակարգին համապատասխան:
Ձևանմուշը՝ P\.[A-Z]{2}\.[0-9]{2}\.MSG\.[0-9]{3} |
1 | |||
|
1.2. Էլեկտրոնային փաստաթղթի (տեղեկությունների) ծածկագիրը (csdo:EDocCode) |
էլեկտրոնային փաստաթղթի (տեղեկությունների) ծածկագրային նշագիրը՝ էլեկտրոնային փաստաթղթերի և տեղեկությունների կառուցվածքների ռեեստրին համապատասխան |
M.SDE.90001 |
csdo:EDocCodeType (M.SDT.90001)
Ծածկագրի արժեքը՝ էլեկտրոնային փաստաթղթերի և տեղեկությունների կառուցվածքների ռեեստրին համապատասխան:
Ձևանմուշը՝ R(\.[A-Z]{2}\.[A-Z]{2}\.[0-9]{2})?\.[0-9]{3} |
1 | |||
|
1.3. Էլեկտրոնային փաստաթղթի (տեղեկությունների) նույնականացուցիչը (csdo:EDocId) |
էլեկտրոնային փաստաթուղթը (տեղեկությունները) միանշանակ նույնականացնող պայմանանշանների տողը |
M.SDE.90007 |
csdo:UniversallyUniqueIdType (M.SDT.90003)
Նույնականացուցչի արժեքը՝ ԻՍՕ/IEC 9834-8-ին համապատասխան։
Ձևանմուշը՝ [0-9a-fA-F]{8}-[0-9a-fA-F]{4}-[0-9a-fA-F]{4}-[0-9a-fA-F]{4}-[0-9a-fA-F]{12} |
1 | |||
|
1.4. Սկզբնական էլեկտրոնային փաստաթղթի (տեղեկությունների) նույնականացուցիչը (csdo:EDocRefId) |
այն էլեկտրոնային փաստաթղթի (տեղեկությունների) նույնականացուցիչը, որին ի պատասխան ձևավորել է տվյալ էլեկտրոնային փաստաթուղթը (տեղեկությունները) |
M.SDE.90008 |
csdo:UniversallyUniqueIdType (M.SDT.90003)
Նույնականացուցչի արժեքը՝ ԻՍՕ/IEC 9834-8-ին համապատասխան։
Ձևանմուշը՝ [0-9a-fA-F]{8}-[0-9a-fA-F]{4}-[0-9a-fA-F]{4}-[0-9a-fA-F]{4}-[0-9a-fA-F]{12} |
0..1 | |||
|
1.5. Էլեկտրոնային փաստաթղթի (տեղեկությունների) ամսաթիվը և ժամը (csdo:EDocDateTime) |
էլեկտրոնային փաստաթղթի (տեղեկությունների) ստեղծման ամսաթիվը և ժամը |
M.SDE.90002 |
bdt:DateTimeType (M.BDT.00006)
ամսաթվի և ժամի նշագիրը՝ ԻՍՕ 8601-ին համապատասխան |
1 | |||
|
1.6. Լեզվի ծածկագիրը (csdo:LanguageCode) |
լեզվի ծածկագրային նշագիրը |
M.SDE.00051 |
csdo:LanguageCodeType (M.SDT.00051)
Լեզվի երկտառ ծածկագիրը՝ ԻՍՕ 639-1-ին համապատասխան:
Ձևանմուշը՝ [a-z]{2} |
0..1 | |||
|
2. Փաստաթուղթը (ccdo:DocContentDetails) |
փաստաթղթի մասին տեղեկությունների ամբողջությունը |
M.CDE.00103 |
ccdo:DocContentDetailsType (M.CDT.00105)
Որոշվում է ներդրված տարրերի արժեքների տիրույթներով |
1 | |||
|
2.1. Երկրի ծածկագիրը (csdo:UnifiedCountryCode) |
երկրի ծածկագրային նշագիրը |
M.SDE.00162 |
csdo:UnifiedCountryCodeType (M.SDT.00112)
Երկրի երկտառ ծածկագրի արժեքն այն տեղեկագրքին (դասակարգչին) համապատասխան, որի նույնականացուցիչը սահմանված է «Տեղեկագրքի (դասակարգչի) նույնականացուցիչը» ատրիբուտում։
Ձևանմուշը՝ [A-Z]{2} |
0..1 | |||
|
ա) տեղեկագրքի (դասակարգչի) նույնականացուցիչը (code List Id ատրիբուտ) |
այն տեղեկագրքի (դասակարգչի) նշագիրը, որին համապատասխան նշված է ծածկագիրը |
- |
csdo:ReferenceDataIdType (M.SDT.00091) Պայմանանշանների նորմալացված տողը Նվազ. երկարությունը՝ 1. Առավ. երկարությունը՝ 20 |
1 | |||
|
2.2. Լեզվի ծածկագիրը (csdo:LanguageCode) |
լեզվի ծածկագրային նշագիրը |
M.SDE.00051 |
csdo:LanguageCodeType (M.SDT.00051)
Լեզվի երկտառ ծածկագիրը՝ ԻՍՕ 639-1-ին համապատասխան:
Ձևանմուշը՝ [a-z]{2} |
0..1 | |||
|
2.3. Փաստաթղթի տիպի ծածկագիրը (csdo:DocKindCode) |
անձը հաստատող փաստաթղթի տեսակի ծածկագիրը |
M.SDE.00054 |
csdo:UnifiedCode20Type (M.SDT.00140)
ծածկագրի արժեքն այն տեղեկագրքին (դասակարգչին) համապատասխան, որի նույնականացուցիչը սահմանված է «Տեղեկագրքի (դասակարգչի) նույնականացուցիչը» ատրիբուտում:
Նվազ․ երկարությունը՝ 1.
Առավ. երկարությունը՝ 20 |
0..1 | |||
|
ա) տեղեկագրքի (դասակարգչի) նույնականացուցիչը (code List Id ատրիբուտ) |
այն տեղեկագրքի (դասակարգչի) նշագիրը, որին համապատասխան նշված է ծածկագիրը |
- |
csdo:ReferenceDataIdType (M.SDT.00091) Պայմանանշանների նորմալացված տողը։
Նվազ. երկարությունը՝ 1.
Առավ. երկարությունը՝ 20 |
1 | |||
|
2.4. Փաստաթղթի տեսակի անվանումը (csdo:DocKindName) |
փաստաթղթի տեսակի անվանումը |
M.SDE.00095 |
csdo:Name500Type (M.SDT.00134)
Պայմանանշանների նորմալացված տողը:
Նվազ. երկարությունը՝ 1.
Առավ. երկարությունը՝ 500 |
0..1 | |||
|
2.5. Փաստաթղթի անվանումը (csdo:DocName) |
փաստաթղթի անվանումը |
M.SDE.00108 |
csdo:Name500Type (M.SDT.00134)
Պայմանանշանների նորմալացված տողը:
Նվազ. երկարությունը՝ 1.
Առավ. երկարությունը՝ 500 |
0..1 | |||
|
2.6. Փաստաթղթի սերիան (csdo:DocSeriesId) |
փաստաթղթի սերիայի թվային կամ տառաթվային նշագիրը |
M.SDE.00157 |
csdo:Id20Type (M.SDT.00092)
Պայմանանշանների նորմալացված տողը:
Նվազ. երկարությունը՝ 1.
Առավ. երկարությունը՝ 20 |
0..1 | |||
|
2.7. Փաստաթղթի համարը (csdo:DocId) |
փաստաթղթի գրանցման ժամանակ դրան տրված թվային կամ տառաթվային նշագիրը |
M.SDE.00044 |
csdo:Id50Type (M.SDT.00093)
Պայմանանշանների նորմալացված տող:
Նվազ. երկարությունը՝ 1.
Առավ. երկարությունը՝ 50 |
0..1 | |||
|
2.8. Փաստաթղթի ամսաթիվը (csdo:DocCreationDate) |
փաստաթղթի տրման, ստորագրման, հաստատման կամ գրանցման ամսաթիվը |
M.SDE.00045 |
bdt:DateType (M.BDT.00005) ամսաթվի նշագիրը՝ ԻՍՕ 8601-ին համապատասխան |
0..1 | |||
|
2.9. փաստաթղթի գործողության ժամկետի սկզբի ամսաթիվը (csdo:DocStartDate) |
այն ժամկետի մեկնարկի ամսաթիվը, որի ընթացքում փաստաթուղթն ուժի մեջ է |
M.SDE.00137 |
bdt:DateType (M.BDT.00005) ամսաթվի նշագիրը՝ ԻՍՕ 8601-ին համապատասխան |
0..1 | |||
|
2.10. փաստաթղթի գործողության ժամկետը լրանալու ամսաթիվը (csdo:DocValidityDate) |
այն ժամկետը լրանալու ամսաթիվը, որի ընթացքում փաստաթուղթն ուժի մեջ է |
M.SDE.00052 |
bdt:DateType (M.BDT.00005)
ամսաթվի նշագիրը՝ ԻՍՕ 8601-ին համապատասխան |
0..1 | |||
|
2.11. Փաստաթղթի գործողության ժամկետը (csdo:DocValidityDuration) |
այն ժամկետի տևողությունը, որի ընթացքում փաստաթուղթն ուժի մեջ է |
M.SDE.00056 |
bdt:DurationType (M.BDT.00021)
Ժամանակի տևողության նշագիրը՝ ԻՍՕ 8601-ին համապատասխան |
0..1 | |||
|
2.12. Լիազորված մարմնի նույնականացուցիչը (csdo:AuthorityId) |
փաստաթուղթը տրամադրած կամ հաստատած պետական իշխանության մարմինը կամ դրա կողմից լիազորված կազմակերպությունը նույնականացնող տողը |
M.SDE.00068 |
csdo:Id20Type (M.SDT.00092)
Պայմանանշանների նորմալացված տողը:
Նվազ. երկարությունը՝ 1.
Առավ. երկարությունը՝ 20 |
0..1 | |||
|
2.13. Լիազորված մարմնի անվանումը (csdo:AuthorityName) |
փաստաթուղթը տրամադրած պետական իշխանության մարմնի կամ դրա կողմից լիազորված կազմակերպության լրիվ անվանումը |
M.SDE.00066 |
csdo:Name300Type (M.SDT.00056)
Պայմանանշանների նորմալացված տողը:
Նվազ. երկարությունը՝ 1.
Առավ. երկարությունը՝ 300 |
0..1 | |||
|
2.14. Նկարագրությունը (csdo:DescriptionText) |
փաստաթղթի նկարագրությունը |
M.SDE.00002 |
csdo:Text4000Type (M.SDT.00088)
Պայմանանշանների տողը:
Նվազ. երկարությունը՝ 1.
Առավ. երկարությունը՝ 4000 |
0..1 | |||
|
2.15. Թերթերի քանակը (csdo:PageQuantity) |
փաստաթղթի թերթերի ընդհանուր քանակը |
M.SDE.00018 |
csdo:Quantity4Type (M.SDT.00097)
Հաշվարկման տասական համակարգում ոչ բացասական ամբողջ թիվը։
Թվանշանների առավելագույն քանակը՝ 4 |
0..1 | |||
|
2.16. XML փաստաթուղթը (ccdo:AnyDetails) |
XML ձևաչափով փաստաթուղթը |
M.CDE.00081 |
ccdo:AnyDetailsType (M.CDT.00086)
Որոշվում է ներդրված տարրերի արժեքների տիրույթներով |
0..1 | |||
|
2.16.1. XML փաստաթուղթը |
կամայական կառուցվածքով XML փաստաթղթի բովանդակությունը |
- |
կամայական տարրը։
Անվանումների տարածությունը՝ ցանկացած:
Վալիդացումը՝ կատարվում է մշտապես |
1..* | |||
|
2.17. Բինարային ձևաչափով փաստաթուղթը (csdo:DocBinaryText) |
բինարային տեքստային ձևաչափով փաստաթուղթը |
M.SDE.00106 |
csdo:BinaryTextType (M.SDT.00143) Երկուական օկտետների (բայթերի) վերջավոր հաջորդականությունը |
0..1 | |||
|
ա) տվյալների ձևաչափի ծածկագիրը (media Type Code ատրիբուտ) |
տվյալների ձևաչափի ծածկագրային նշագիրը |
- |
csdo:MediaTypeCodeType (M.SDT.00147)
Ծածկագրի արժեքը՝ տվյալների ձևաչափերի տեղեկագրքին համապատասխան։
Նվազ․ երկարությունը՝ 1.
Առավ. երկարությունը՝ 255 |
0..1 | |||
|
3. Կարգավիճակը (ccdo:StatusV2Details) |
փաստաթղթի կարգավիճակը |
M.CDE.00071 |
ccdo:StatusDetailsV2Type (M.CDT.00074)
Որոշվում է ներդրված տարրերի արժեքների տիրույթներով |
0..1 | |||
|
3.1. Ամսաթիվը (csdo:EventDate) |
կարգավիճակի սահմանման ամսաթիվը |
M.SDE.00131 |
bdt:DateType (M.BDT.00005) ամսաթվի նշագիրը՝ ԻՍՕ 8601-ին համապատասխան |
0..1 | |||
|
3.2. Կարգավիճակի ծածկագիրը (csdo:StatusCode) |
կարգավիճակի ծածկագրային նշագիրը |
M.SDE.00130 |
csdo:StatusCodeType (M.SDT.00040)
Կարգավիճակի ծածկագրի արժեքը։
Նվազ. երկարությունը՝ 1.
Առավ. երկարությունը՝ 3 |
0..1 | |||
|
ա) տեղեկագրքի (դասակարգչի) նույնականացուցիչը (code List Id ատրիբուտ) |
այն տեղեկագրքի (դասակարգչի) նշագիրը, որին համապատասխան նշված է ծածկագիրը |
- |
csdo:ReferenceDataIdType (M.SDT.00091)
Պայմանանշանների նորմալացված տողը
Նվազ. երկարությունը՝ 1.
Առավ. երկարությունը՝ 20 |
0..1 | |||
|
3.3. Ծանոթագրությունը (csdo:NoteText) |
կարգավիճակի մասին ծանոթագրությունը |
M.SDE.00076 |
csdo:Text4000Type (M.SDT.00088)
Պայմանանշանների տողը:
Նվազ. երկարությունը՝ 1.
Առավ. երկարությունը՝ 4000 |
0..* | |||
|
3.4. Հղումը փաստաթղթին (ccdo:DocReferenceDetails) |
կարգավիճակը սահմանող փաստաթուղթը |
M.CDE.00083 |
ccdo:DocReferenceDetailsType (M.CDT.00088)
Որոշվում է ներդրված տարրերի արժեքների տիրույթներով |
0..1 | |||
|
3.4.1. Փաստաթղթի տիպի ծածկագիրը (csdo:DocKindCode) |
անձը հաստատող փաստաթղթի տեսակի ծածկագիրը |
M.SDE.00054 |
csdo:UnifiedCode20Type (M.SDT.00140)
ծածկագրի արժեքն այն տեղեկագրքին (դասակարգչին) համապատասխան, որի նույնականացուցիչը սահմանված է «Տեղեկագրքի (դասակարգչի) նույնականացուցիչը» ատրիբուտում:
Նվազ․ երկարությունը՝ 1.
Առավ. երկարությունը՝ 20 |
0..1 | |||
|
ա) տեղեկագրքի (դասակարգչի) նույնականացուցիչը (code List Id ատրիբուտ) |
այն տեղեկագրքի (դասակարգչի) նշագիրը, որին համապատասխան նշված է ծածկագիրը |
- |
csdo:ReferenceDataIdType (M.SDT.00091) Պայմանանշանների նորմալացված տողը։ Նվազ. երկարությունը՝ 1. Առավ. երկարությունը՝ 20 |
1 | |||
|
3.4.2. Փաստաթղթի անվանումը (csdo:DocName) |
փաստաթղթի անվանումը |
M.SDE.00108 |
csdo:Name500Type (M.SDT.00134) Պայմանանշանների նորմալացված տողը: Նվազ. երկարությունը՝ 1. Առավ. երկարությունը՝ 500 |
0..1 | |||
|
3.4.3. Փաստաթղթի համարը (csdo:DocId) |
փաստաթղթի գրանցման ժամանակ դրան տրված թվային կամ տառաթվային նշագիրը |
M.SDE.00044 |
csdo:Id50Type (M.SDT.00093)
Պայմանանշանների նորմալացված տողը:
Նվազ. երկարությունը՝ 1.
Առավ. երկարությունը՝ 50 |
0..1 | |||
|
3.4.4. Փաստաթղթի ամսաթիվը (csdo:DocCreationDate) |
փաստաթղթի տրման, ստորագրման, հաստատման կամ գրանցման ամսաթիվը |
M.SDE.00045 |
bdt:DateType (M.BDT.00005) ամսաթվի նշագիրը՝ ԻՍՕ 8601-ին համապատասխան |
0..1 | |||
|
3.4.5. փաստաթղթի գործողության ժամկետի սկզբի ամսաթիվը (csdo:DocStartDate) |
այն ժամկետի մեկնարկի ամսաթիվը, որի ընթացքում փաստաթուղթն ուժի մեջ է |
M.SDE.00137 |
bdt:DateType (M.BDT.00005)
ամսաթվի նշագիրը՝ ԻՍՕ 8601-ին համապատասխան |
0..1 | |||
|
4. Ընդհանուր գործընթացի տեղեկատվական օբյեկտի նույնականացուցիչը (csdo:InformationResourceId) |
ընդհանուր կամ ազգային ռեսուրսը (ռեեստրը, ցանկը, տվյալների բազան) նույնականացնող պայմանանշանների տողը |
M.SDE.00326 |
csdo:InformationResourceIdType (M.SDT.00330)
Պայմանանշանների նորմալացված տողը:
Նվազ. երկարությունը՝ 1.
Առավ. երկարությունը՝ 20 |
0..1 | |||
13. «Մշակման արդյունքի մասին ծանուցում» (R.006) էլեկտրոնային փաստաթղթի (տեղեկությունների) կառուցվածքի նկարագրությունը բերված է 5-րդ աղյուսակում։
Աղյուսակ 5
«Մշակման արդյունքի մասին ծանուցում» (R.006) էլեկտրոնային փաստաթղթի (տեղեկությունների) կառուցվածքի նկարագրությունը
|
Համարը՝ ը/կ |
Տարրի նշագիրը |
Նկարագրությունը |
|
1 |
2 |
3 |
|
1 |
Անվանումը |
մշակման արդյունքի մասին ծանուցումը |
|
2 |
Նույնականացուցիչը |
R.006 |
|
3 |
Տարբերակը |
Y.Y.Y |
|
4 |
Սահմանումը |
ռեսպոնդենտի կողմից հարցումը մշակելու արդյունքի մասին տեղեկությունները |
|
5 |
Օգտագործումը |
- |
|
6 |
Անվանումների տարածության նույնականացուցիչը |
urn:EEC:R:ProcessingResultDetails:vY.Y.Y |
|
7 |
XML փաստաթղթի հիմնական տարրը |
ProcessingResultDetails |
|
8 |
XML սխեմայի նիշքի անվանումը |
EEC_R_ProcessingResultDetails_vY.Y.Y.xsd |
Էլեկտրոնային փաստաթղթերի և տեղեկությունների կառուցվածքների անվանումների տարածություններում «Y.Y.Y» պայմանանշանները համապատասխանում են էլեկտրոնային փաստաթղթի (տեղեկությունների) կառուցվածքի այն տարբերակի համարին, որը սահմանվում է էլեկտրոնային փաստաթղթերի և տեղեկությունների կառուցվածքների ռեեստրում ներառման ենթակա՝ Էլեկտրոնային փաստաթղթի (տեղեկությունների) կառուցվածքի տեխնիկական սխեմայի սույն նկարագրությանը համապատասխան մշակելիս օգտագործված՝ տվյալների բազիսային մոդելի տարբերակի համարին համապատասխան:
14. Ներմուծվող անվանումների տարածությունները բերված են 6-րդ աղյուսակում:
Աղյուսակ 6
Ներմուծվող անվանումների տարածությունները՝
|
Համարը՝ ը/կ |
Անվանումների տարածության նույնականացուցիչը |
Նախածանցը |
|
1 |
2 |
3 |
|
1 |
urn:EEC:M:BaseDataTypes:vХ.Х.Х |
bdt |
|
2 |
urn:EEC:M:ComplexDataObjects:vX.X.X |
ccdo |
|
3 |
urn:EEC:M:SimpleDataObjects:vX.X.X |
csdo |
Ներմուծվող անվանումների տարածություններում «X.X.X» պայմանանշանները համապատասխանում են էլեկտրոնային փաստաթղթերի ու տեղեկությունների կառուցվածքների ռեեստրում ներառման ենթակա՝ էլեկտրոնային փաստաթղթի (տեղեկությունների) կառուցվածքի տեխնիկական սխեման սույն նկարագրությանը համապատասխան մշակելիս օգտագործված՝ տվյալների բազիսային մոդելի տարբերակի համարին:
15. «Մշակման արդյունքի մասին ծանուցում» (R.006) էլեկտրոնային փաստաթղթի (տեղեկությունների) կառուցվածքի վավերապայմանների կազմը բերված է 7-րդ աղյուսակում։
Աղյուսակ 7
«Մշակման արդյունքի մասին ծանուցում» (R.006) էլեկտրոնային փաստաթղթի (տեղեկությունների) կառուցվածքի վավերապայմանների կազմը
|
Վավերապայմանի անվանումը |
Վավերապայմանի նկարագրությունը |
Նույնա-կանա-ցուցիչը |
Տվյալների տիպը |
Բազմ. | |
|
1. էլեկտրոնային փաստաթղթի (տեղեկությունների) վերնագիրը (ccdo:EDocHeader) |
էլեկտրոնային փաստաթղթի (տեղեկությունների) տեխնոլոգիական վավերապայմանների ամբողջությունը |
M.CDE.90001 |
ccdo:EDocHeaderType (M.CDT.90001)
Որոշվում է ներդրված տարրերի արժեքների տիրույթներով |
1 | |
|
1.1. Ընդհանուր գործընթացի հաղորդագրության ծածկագիրը (csdo:InfEnvelopeCode) |
ընդհանուր գործընթացի հաղորդագրության ծածկագրային նշագիրը |
M.SDE.90010 |
csdo:InfEnvelopeCodeType (M.SDT.90004)
Ծածկագրի արժեքը՝ Տեղեկատվական փոխգործակցության կանոնակարգին համապատասխան:
Ձևանմուշը՝ P\.[A-Z]{2}\.[0-9]{2}\.MSG\.[0-9]{3} |
1 | |
|
1.2. Էլեկտրոնային փաստաթղթի (տեղեկությունների) ծածկագիրը (csdo:EDocCode) |
էլեկտրոնային փաստաթղթի (տեղեկությունների) ծածկագրային նշագիրը՝ էլեկտրոնային փաստաթղթերի և տեղեկությունների կառուցվածքների ռեեստրին համապատասխան |
M.SDE.90001 |
csdo:EDocCodeType (M.SDT.90001)
Ծածկագրի արժեքը՝ էլեկտրոնային փաստաթղթերի և տեղեկությունների կառուցվածքների ռեեստրին համապատասխան:
Ձևանմուշը՝ R(\.[A-Z]{2}\.[A-Z]{2}\.[0-9]{2})?\.[0-9]{3} |
1 | |
|
1.3. Էլեկտրոնային փաստաթղթի (տեղեկությունների) նույնականացուցիչը (csdo:EDocId) |
էլեկտրոնային փաստաթուղթը (տեղեկությունները) միանշանակ նույնականացնող պայմանանշանների տողը |
M.SDE.90007 |
csdo:UniversallyUniqueIdType (M.SDT.90003)
Նույնականացուցչի արժեքը՝ ԻՍՕ/IEC 9834-8-ին համապատասխան։
Ձևանմուշը՝ [0-9a-fA-F]{8}-[0-9a-fA-F]{4}-[0-9a-fA-F]{4}-[0-9a-fA-F]{4}-[0-9a-fA-F]{12} |
1 | |
|
1.4. Սկզբնական էլեկտրոնային փաստաթղթի (տեղեկությունների) նույնականացուցիչը (csdo:EDocRefId) |
այն էլեկտրոնային փաստաթղթի (տեղեկությունների) նույնականացուցիչը, որին ի պատասխան ձևավորել է տվյալ էլեկտրոնային փաստաթուղթը (տեղեկությունները) |
M.SDE.90008 |
csdo:UniversallyUniqueIdType (M.SDT.90003)
Նույնականացուցչի արժեքը՝ ԻՍՕ/IEC 9834-8-ին համապատասխան։
Ձևանմուշը՝ [0-9a-fA-F]{8}-[0-9a-fA-F]{4}-[0-9a-fA-F]{4}-[0-9a-fA-F]{4}-[0-9a-fA-F]{12} |
0..1 | |
|
1.5. Էլեկտրոնային փաստաթղթի (տեղեկությունների) ամսաթիվը և ժամը (csdo:EDocDateTime) |
էլեկտրոնային փաստաթղթի (տեղեկությունների) ստեղծման ամսաթիվը և ժամը |
M.SDE.90002 |
bdt:DateTimeType (M.BDT.00006)
ամսաթվի և ժամի նշագիրը՝ ԻՍՕ 8601-ին համապատասխան |
1 | |
|
1.6. Լեզվի ծածկագիրը (csdo:LanguageCode) |
լեզվի ծածկագրային նշագիրը |
M.SDE.00051 |
csdo:LanguageCodeType (M.SDT.00051)
Լեզվի երկտառ ծածկագիրը՝ ԻՍՕ 639-1-ին համապատասխան:
Ձևանմուշը՝ [a-z]{2} |
0..1 | |
|
2. Ամսաթիվը և ժամը (csdo:EventDateTime) |
տեղեկությունների մշակման ավարտի ամսաթիվը և ժամը |
M.SDE.00132 |
bdt:DateTimeType (M.BDT.00006)
ամսաթվի և ժամի նշագիրը՝ ԻՍՕ 8601-ին համապատասխան |
1 | |
|
3. Մշակման արդյունքի ծածկագիրը (csdo:ProcessingResultV2Code) |
ստացված էլեկտրոնային փաստաթուղթը (տեղեկությունները) ընդհանուր գործընթացի մասնակցի տեղեկատվական համակարգի միջոցով մշակելու արդյունքի ծածկագրային նշագիրը |
M.SDE.90014 |
csdo:ProcessingResultCodeV2Type (M.SDT.90006)
Ծածկագրի արժեքը՝ էլեկտրոնային փաստաթղթերի և տեղեկությունների մշակման արդյունքների տեղեկագրքին համապատասխան։
Նվազ. երկարությունը՝ 1.
Առավ. երկարությունը՝ 20 |
1 | |
|
4. Նկարագրությունը (csdo:DescriptionText) |
տեղեկությունների մշակման արդյունքի նկարագրությունն ազատ ձևով |
M.SDE.00002 |
csdo:Text4000Type (M.SDT.00088)
Պայմանանշանների տողը:
Նվազ. երկարությունը՝ 1.
Առավ. երկարությունը՝ 4000 |
0..1 | |
16. «Ընդհանուր ռեսուրսի արդիականացման վիճակը» (R.007) էլեկտրոնային փաստաթղթի (տեղեկությունների) կառուցվածքի նկարագրությունը բերված է 8-րդ աղյուսակում:
Աղյուսակ 8
«Ընդհանուր ռեսուրսի արդիականացման վիճակը» (R.007) էլեկտրոնային փաստաթղթի (տեղեկությունների) կառուցվածքի նկարագրությունը
|
Համարը՝ ը/կ |
Տարրի նշագիրը |
Նկարագրությունը |
|
1 |
2 |
3 |
|
1 |
Անվանումը |
ընդհանուր ռեսուրսի արդիականացման վիճակը |
|
2 |
Նույնականացուցիչը |
R.007 |
|
3 |
Տարբերակը |
Y.Y.Y |
|
4 |
Սահմանումը |
ընդհանուր ռեսուրսի արդիականացման համար տեղեկությունները |
|
5 |
Օգտագործումը |
օգտագործվում է ընդհանուր ռեսուրսի թարմացման ամսաթվի և ժամի հարցման և այդ հարցման պատասխանի համար, ինչպես նաև ընդհանուր ռեսուրսից արդիական կամ ամբողջական (փոփոխված, թարմացված) տեղեկությունների հարցման համար |
|
6 |
Անվանումների տարածության նույնականացուցիչը |
urn:EEC:R:ResourceStatusDetails:vY.Y.Y |
|
7 |
XML փաստաթղթի հիմնական տարրը |
ResourceStatusDetails |
|
8 |
XML սխեմայի նիշքի անվանումը |
EEC_R_ResourceStatusDetails_vY.Y.Y.xsd |
Էլեկտրոնային փաստաթղթերի և տեղեկությունների կառուցվածքների անվանումների տարածություններում «Y.Y.Y» պայմանանշանները համապատասխանում են էլեկտրոնային փաստաթղթի (տեղեկությունների) կառուցվածքի այն տարբերակի համարին, որը սահմանվում է էլեկտրոնային փաստաթղթերի և տեղեկությունների կառուցվածքների ռեեստրում ներառման ենթակա՝ Էլեկտրոնային փաստաթղթի (տեղեկությունների) կառուցվածքի տեխնիկական սխեմայի սույն նկարագրությանը համապատասխան մշակելիս օգտագործված՝ տվյալների բազիսային մոդելի տարբերակի համարին համապատասխան:
17. Ներմուծվող անվանումների տարածությունները բերված են 9-րդ աղյուսակում:
Աղյուսակ 9
Ներմուծվող անվանումների տարածությունները՝
|
Համարը՝ ը/կ |
Անվանումների տարածության նույնականացուցիչը |
Նախածանցը |
|
1 |
2 |
3 |
|
1 |
urn:EEC:M:BaseDataTypes:vХ.Х.Х |
bdt |
|
2 |
urn:EEC:M:ComplexDataObjects:vX.X.X |
ccdo |
|
3 |
urn:EEC:M:SimpleDataObjects:vX.X.X |
csdo |
Ներմուծվող անվանումների տարածություններում «X.X.X» պայմանանշանները համապատասխանում են էլեկտրոնային փաստաթղթերի ու տեղեկությունների կառուցվածքների ռեեստրում ներառման ենթակա՝ էլեկտրոնային փաստաթղթի (տեղեկությունների) կառուցվածքի տեխնիկական սխեման սույն նկարագրությանը համապատասխան մշակելիս օգտագործված՝ տվյալների բազիսային մոդելի տարբերակի համարին:
18. «Ընդհանուր ռեսուրսի արդիականացման վիճակը» (R.007) էլեկտրոնային փաստաթղթի (տեղեկությունների) կառուցվածքի վավերապայմանների կազմը բերված է 10-րդ աղյուսակում:
Աղյուսակ 10
«Ընդհանուր ռեսուրսի արդիականացման վիճակը» (R.007) Էլեկտրոնային փաստաթղթի (տեղեկությունների) կառուցվածքի վավերապայմանների կազմը
|
Վավերապայմանի անվանումը |
Վավերապայմանի նկարագրությունը |
Նույնականացուցիչը |
Տվյալների տիպը |
Բազմ. | |
|
1. Էլեկտրոնային փաստաթղթի (տեղեկությունների) վերնագիրը (ccdo:EDocHeader) |
էլեկտրոնային փաստաթղթի (տեղեկությունների) տեխնոլոգիական վավերապայմանների ամբողջությունը |
M.CDE.90001 |
ccdo:EDocHeaderType (M.CDT.90001)
Որոշվում է ներդրված տարրերի արժեքների տիրույթներով |
1 | |
|
1.1. Ընդհանուր գործընթացի հաղորդագրության ծածկագիրը (csdo:InfEnvelopeCode) |
ընդհանուր գործընթացի հաղորդագրության ծածկագրային նշագիրը |
M.SDE.90010 |
csdo:InfEnvelopeCodeType (M.SDT.90004)
Ծածկագրի արժեքը՝ Տեղեկատվական փոխգործակցության կանոնակարգին համապատասխան:
Ձևանմուշը՝ P\.[A-Z]{2}\.[0-9]{2}\.MSG\.[0-9]{3} |
1 | |
|
1.2. Էլեկտրոնային փաստաթղթի (տեղեկությունների) ծածկագիրը (csdo:EDocCode) |
էլեկտրոնային փաստաթղթի (տեղեկությունների) ծածկագրային նշագիրը՝ էլեկտրոնային փաստաթղթերի և տեղեկությունների կառուցվածքների ռեեստրին համապատասխան |
M.SDE.90001 |
csdo:EDocCodeType (M.SDT.90001)
Ծածկագրի արժեքը՝ էլեկտրոնային փաստաթղթերի և տեղեկությունների կառուցվածքների ռեեստրին համապատասխան:
Ձևանմուշը՝ R(\.[A-Z]{2}\.[A-Z]{2}\.[0-9]{2})?\.[0-9]{3} |
1 | |
|
1.3. Էլեկտրոնային փաստաթղթի (տեղեկությունների) նույնականացուցիչը (csdo:EDocId) |
էլեկտրոնային փաստաթուղթը (տեղեկությունները) միանշանակ նույնականացնող պայմանանշանների տողը |
M.SDE.90007 |
csdo:UniversallyUniqueIdType (M.SDT.90003)
Նույնականացուցչի արժեքը՝ ԻՍՕ/IEC 9834-8-ին համապատասխան։
Ձևանմուշը՝ [0-9a-fA-F]{8}-[0-9a-fA-F]{4}-[0-9a-fA-F]{4}-[0-9a-fA-F]{4}-[0-9a-fA-F]{12} |
1 | |
|
1.4. Սկզբնական էլեկտրոնային փաստաթղթի (տեղեկությունների) նույնականացուցիչը (csdo:EDocRefId) |
այն էլեկտրոնային փաստաթղթի (տեղեկությունների) նույնականացուցիչը, որին ի պատասխան ձևավորել է տվյալ էլեկտրոնային փաստաթուղթը (տեղեկությունները) |
M.SDE.90008 |
csdo:UniversallyUniqueIdType (M.SDT.90003)
Նույնականացուցչի արժեքը՝ ԻՍՕ/IEC 9834-8-ին համապատասխան։
Ձևանմուշը՝ [0-9a-fA-F]{8}-[0-9a-fA-F]{4}-[0-9a-fA-F]{4}-[0-9a-fA-F]{4}-[0-9a-fA-F]{12} |
0..1 | |
|
1.5. Էլեկտրոնային փաստաթղթի (տեղեկությունների) ամսաթիվը և ժամը (csdo:EDocDateTime) |
էլեկտրոնային փաստաթղթի (տեղեկությունների) ստեղծման ամսաթիվը և ժամը |
M.SDE.90002 |
bdt:DateTimeType (M.BDT.00006)
ամսաթվի և ժամի նշագիրը՝ ԻՍՕ 8601-ին համապատասխան |
1 | |
|
1.6. Լեզվի ծածկագիրը (csdo:LanguageCode) |
լեզվի ծածկագրային նշագիրը |
M.SDE.00051 |
csdo:LanguageCodeType (M.SDT.00051)
Լեզվի երկտառ ծածկագիրը՝ ISO 639-1-ին համապատասխան:
Ձևանմուշը՝ [a-z]{2} |
0..1 | |
|
2. Թարմացման ամսաթիվը և ժամը (csdo:UpdateDateTime) |
ընդհանուր ռեսուրսի (ռեեստրի, ցանկի, տվյալների բազայի) թարմացման ամսաթիվը և ժամը |
M.SDE.00079 |
bdt:DateTimeType (M.BDT.00006)
ամսաթվի և ժամի նշագիրը՝ ԻՍՕ 8601-ին համապատասխան |
0..1 | |
|
3. Երկրի ծածկագիրը (csdo:UnifiedCountryCode) |
տեղեկություններն ընդհանուր ռեսուրս (ռեեստր, ցանկ, տվյալների բազա) ներկայացրած երկրի ծածկագրային նշագիրը |
M.SDE.00162 |
csdo:UnifiedCountryCodeType (M.SDT.00112)
Երկրի երկտառ ծածկագրի արժեք այն տեղեկագրքին (դասակարգչին) համապատասխան, որի նույնականացուցիչը սահմանված է «Տեղեկագրքի (դասակարգչի) նույնականացուցիչը» ատրիբուտում։
Ձևանմուշը՝ [A-Z]{2} |
0..* | |
|
ա) տեղեկագրքի (դասակարգչի) նույնականացուցիչը (code List Id ատրիբուտ) |
այն տեղեկագրքի (դասակարգչի) նշագիրը, որին համապատասխան նշված է ծածկագիրը |
- |
csdo:ReferenceDataIdType (M.SDT.00091)
Պայմանանշանների նորմալացված տողը:
Նվազ. երկարությունը՝ 1.
Առավ. երկարությունը՝ 20 |
1 | |
|
4. Ընդհանուր գործընթացի տեղեկատվական օբյեկտի նույնականացուցիչը (csdo:InformationResourceId) |
ընդհանուր ռեսուրսը (ռեեստրը, ցանկը, տվյալների բազան) նույնականացնող պայմանանշանների տողը |
M.SDE.00326 |
csdo:InformationResourceIdType (M.SDT.00330)
Պայմանանշանների նորմալացված տողը:
Նվազ. երկարությունը՝ 1.
Առավ. երկարությունը՝ 20 |
0..1 | |
2. Էլեկտրոնային փաստաթղթերի և տեղեկությունների կառուցվածքները «Տեխնիկական կանոնակարգ» առարկայական ոլորտում
19. «Սերտիֆիկատների և հայտարարագրերի միասնական ռեեստրից տեղեկություններ» (R.TR.TS.01.001) էլեկտրոնային փաստաթղթի (տեղեկությունների) կառուցվածքի նկարագրությունը բերված է 11-րդ աղյուսակում։
Աղյուսակ 11
«Սերտիֆիկատների և հայտարարագրերի միասնական ռեեստրից տեղեկություններ» (R.TR.TS.01.001) էլեկտրոնային փաստաթղթի (տեղեկությունների) կառուցվածքի նկարագրությունը
|
Համարը՝ ը/կ |
Տարրի նշագիրը |
Նկարագրությունը |
|
1 |
2 |
3 |
|
1 |
Անվանումը |
սերտիֆիկատների և հայտարարագրերի միասնական ռեեստրից տեղեկություններ |
|
2 |
Նույնականացուցիչը |
R.TR.TS.01.001 |
|
3 |
Տարբերակը |
1.0.3 |
|
4 |
Սահմանումը |
տրված համապատասխանության սերտիֆիկատների և համապատասխանության մասին գրանցված հայտարարագրերի միասնական ռեեստրից տեղեկություններ |
|
5 |
Օգտագործումը |
- |
|
6 |
Անվանումների տարածության նույնականացուցիչը |
urn:EEC:R:TR:TS:01:ConformityDocsRegistryDetails:v1.0.3 |
|
7 |
XML փաստաթղթի հիմնական տարրը |
ConformityDocsRegistryDetails |
|
8 |
XML սխեմայի նիշքի անվանումը |
EEC_R_TR_TS_01_ConformityDocsRegistryDetails_v1.0.3.xsd |
20. Ներմուծվող անվանումների տարածությունները բերված են 12-րդ աղյուսակում:
Աղյուսակ 12
Ներմուծվող անվանումների տարածությունները
|
Համարը՝ ը/կ |
Անվանումների տարածության նույնականացուցիչը |
Նախածանցը |
|
1 |
2 |
3 |
|
1 |
urn:EEC:M:BaseDataTypes:vХ.Х.Х |
bdt |
|
2 |
urn:EEC:M:ComplexDataObjects:vX.X.X |
ccdo |
|
3 |
urn:EEC:M:SimpleDataObjects:vX.X.X |
csdo |
|
4 |
urn:EEC:M:TR:ComplexDataObjects:vZ.Z.Z |
trcdo |
|
5 |
urn:EEC:M:TR:SimpleDataObjects:vZ.Z.Z |
trsdo |
Ներմուծվող անվանումների տարածություններում «X.X.X» և «Z.Z.Z» պայմանանշանները համապատասխանում են էլեկտրոնային փաստաթղթերի և տեղեկությունների կառուցվածքների ռեեստրում ներառման ենթակա՝ Էլեկտրոնային փաստաթղթերի (տեղեկությունների) կառուցվածքի տեխնիկական սխեմայի սույն նկարագրությանը համապատասխան մշակելիս օգտագործված՝ տվյալների բազիսային մոդելի և առարկայական ոլորտի տվյալների մոդելի տարբերակի համարին:
21. «Սերտիֆիկատների և հայտարարագրերի միասնական ռեեստրից տեղեկություններ» (R.TR.TS.01.001) էլեկտրոնային փաստաթղթի (տեղեկությունների) կառուցվածքի վավերապայմանների կազմը բերված է 13-րդ աղյուսակում։
Աղյուսակ 13
«Սերտիֆիկատների և հայտարարագրերի միասնական ռեեստրից տեղեկություններ» (R.TR.TS.01.001) էլեկտրոնային փաստաթղթի (տեղեկությունների) կառուցվածքի վավերապայմանների կազմը
|
Վավերապայմանի անվանումը |
Վավերապայմանի նկարագրությունը |
Նույնականացուցիչը |
Տվյալների տիպը |
Բազմ. | |||||
|
1. էլեկտրոնային փաստաթղթի (տեղեկությունների) վերնագիրը (ccdo:EDocHeader) |
էլեկտրոնային փաստաթղթի (տեղեկությունների) տեխնոլոգիական վավերապայմանների ամբողջությունը |
M.CDE.90001 |
ccdo:EDocHeaderType (M.CDT.90001) Որոշվում է ներդրված տարրերի արժեքների տիրույթներով |
1 | |||||
|
1.1. Ընդհանուր գործընթացի հաղորդագրության ծածկագիրը (csdo:InfEnvelopeCode) |
ընդհանուր գործընթացի հաղորդագրության ծածկագրային նշագիրը |
M.SDE.90010 |
csdo:InfEnvelopeCodeType (M.SDT.90004) Ծածկագրի արժեքը՝ Տեղեկատվական փոխգործակցության կանոնակարգին համապատասխան: Ձևանմուշը՝ P\.[A-Z]{2}\.[0-9]{2}\.MSG\.[0-9]{3} |
1 | |||||
|
1.2. Էլեկտրոնային փաստաթղթի (տեղեկությունների) ծածկագիրը (csdo:EDocCode) |
էլեկտրոնային փաստաթղթի (տեղեկությունների) ծածկագրային նշագիրը՝ էլեկտրոնային փաստաթղթերի և տեղեկությունների կառուցվածքների ռեեստրին համապատասխան |
M.SDE.90001 |
csdo:EDocCodeType (M.SDT.90001) Ծածկագրի արժեքը՝ էլեկտրոնային փաստաթղթերի և տեղեկությունների կառուցվածքների ռեեստրին համապատասխան: Ձևանմուշը՝ R(\.[A-Z]{2}\.[A-Z]{2}\.[0-9]{2})?\.[0-9]{3} |
1 | |||||
|
1.3. Էլեկտրոնային փաստաթղթի (տեղեկությունների) նույնականացուցիչը (csdo:EDocId) |
էլեկտրոնային փաստաթուղթը (տեղեկությունները) միանշանակ նույնականացնող պայմանանշանների տողը |
M.SDE.90007 |
csdo:UniversallyUniqueIdType (M.SDT.90003) Նույնականացուցչի արժեքը՝ ԻՍՕ/IEC 9834-8-ին համապատասխան։ Ձևանմուշը՝ [0-9a-fA-F]{8}-[0-9a-fA-F]{4}-[0-9a-fA-F]{4}-[0-9a-fA-F]{4}-[0-9a-fA-F]{12} |
1 | |||||
|
1.4. Սկզբնական էլեկտրոնային փաստաթղթի (տեղեկությունների) նույնականացուցիչը (csdo:EDocRefId) |
այն էլեկտրոնային փաստաթղթի (տեղեկությունների) նույնականացուցիչը, որին ի պատասխան ձևավորել է տվյալ էլեկտրոնային փաստաթուղթը (տեղեկությունները) |
M.SDE.90008 |
csdo:UniversallyUniqueIdType (M.SDT.90003) Նույնականացուցչի արժեքը՝ ԻՍՕ/IEC 9834-8-ին համապատասխան։ Ձևանմուշը՝ [0-9a-fA-F]{8}-[0-9a-fA-F]{4}-[0-9a-fA-F]{4}-[0-9a-fA-F]{4}-[0-9a-fA-F]{12} |
0..1 | |||||
|
1.5. Էլեկտրոնային փաստաթղթի (տեղեկությունների) ամսաթիվը և ժամը (csdo:EDocDateTime) |
էլեկտրոնային փաստաթղթի (տեղեկությունների) ստեղծման ամսաթիվը և ժամը |
M.SDE.90002 |
bdt:DateTimeType (M.BDT.00006) ամսաթվի և ժամի նշագիրը՝ ԻՍՕ 8601-ին համապատասխան |
1 | |||||
|
1.6. Լեզվի ծածկագիրը (csdo:LanguageCode) |
լեզվի ծածկագրային նշագիրը |
M.SDE.00051 |
csdo:LanguageCodeType (M.SDT.00051) Լեզվի երկտառ ծածկագիրը՝ ԻՍՕ 639-1-ին համապատասխան: Ձևանմուշը՝ [a-z]{2} |
0..1 | |||||
|
2. Համապատասխանության գնահատման մասին փաստաթուղթը (trcdo:ConformityDocDetails) |
համապատասխանության գնահատման վերաբերյալ փաստաթղթի մասին տեղեկատվությունը |
M.TR.CDE.00002 |
trcdo:ConformityDocDetailsType (M.TR.CDT.00002) Որոշվում է ներդրված տարրերի արժեքների տիրույթներով |
1..* | |||||
|
2.1. Երկրի ծածկագիրը (csdo:UnifiedCountryCode) |
երկրի ծածկագրային նշագիրը |
M.SDE.00162 |
csdo:UnifiedCountryCodeType (M.SDT.00112) Երկրի երկտառ ծածկագրի արժեք այն տեղեկագրքին (դասակարգչին) համապատասխան, որի նույնականացուցիչը սահմանված է «Տեղեկագրքի (դասակարգչի) նույնականացուցիչը» ատրիբուտում։ Ձևանմուշը՝ [A-Z]{2} |
1 | |||||
|
ա) տեղեկագրքի (դասակարգչի) նույնականացուցիչը (code List Id ատրիբուտ) |
այն տեղեկագրքի (դասակարգչի) նշագիրը, որին համապատասխան նշված է ծածկագիրը |
- |
csdo:ReferenceDataIdType (M.SDT.00091) Պայմանանշանների նորմալացված տողը: Նվազ. երկարությունը՝ 1. Առավ. երկարությունը՝ 20 |
1 | |||||
|
2.2. Փաստաթղթի համարը (csdo:DocId) |
փաստաթղթի գրանցման ժամանակ դրան տրված թվային կամ տառաթվային նշագիրը |
M.SDE.00044 |
csdo:Id50Type (M.SDT.00093) Պայմանանշանների նորմալացված տողը: Նվազ. երկարությունը՝ 1. Առավ. երկարությունը՝ 50 |
1 | |||||
|
2.3. Փաստաթղթի ամսաթիվը (csdo:DocCreationDate) |
փաստաթղթի տրման ամսաթիվը |
M.SDE.00045 |
bdt:DateType (M.BDT.00005) ամսաթվի նշագիրը՝ ԻՍՕ 8601-ին համապատասխան |
0..1 | |||||
|
2.4. փաստաթղթի գործողության ժամկետի սկզբի ամսաթիվը (csdo:DocStartDate) |
տրված համապատասխանության հավաստագրերի և գրանցված համապատասխանության մասին հայտարարագրերի միասնական ռեեստրում տեղեկությունների մուտքագրման ամսաթիվը |
M.SDE.00137 |
bdt:DateType (M.BDT.00005) ամսաթվի նշագիրը՝ ԻՍՕ 8601-ին համապատասխան |
1 | |||||
|
2.5. Փաստաթղթի գործողության ժամկետը լրանալու ամսաթիվը (csdo:DocValidityDate) |
այն ժամկետը լրանալու ամսաթիվ, որի ընթացքում փաստաթուղթն ուժի մեջ է |
M.SDE.00052 |
bdt:DateType (M.BDT.00005) Ամսաթվի նշագիրը՝ ԻՍՕ 8601-ին համապատասխան |
0..1 | |||||
|
2.6. Սերտիֆիկացման մարմինը (trcdo:ConformityAuthorityV2Details) |
Համապատասխանության գնահատման վերաբերյալ փաստաթուղթը տրամադրած (գրանցած) սերտիֆիկացման մարմնի մասին տեղեկատվությունը |
M.TR.CDE.00581 |
trcdo:ConformityAuthorityV2DetailsType (M.TR.CDT.00078) Որոշվում է ներդրված տարրերի արժեքների տիրույթներով |
0..1 | |||||
|
2.6.1. Համապատասխանության գնահատման մարմնի նույնականացուցիչը (trsdo:ConformityAuthorityId) |
Եվրասիական տնտեսական միության համապատասխանության գնահատման մարմինների (այդ թվում՝ սերտիֆիկացման մարմինների, փորձարկման լաբորատորիաների (կենտրոնների)) միասնական ռեեստրի ազգային մասում նշված՝ համապատասխանության գնահատման մարմնի նույնականացման եզակի համարը |
M.TR.SDE.00031 |
csdo:Id40Type (M.SDT.00108) Պայմանանշանների նորմալացված տողը: Նվազ. երկարությունը՝ 1. Առավ. երկարությունը՝ 40 |
0..1 | |||||
|
2.6.2. Երկրի ծածկագիրը (csdo:UnifiedCountryCode) |
այն երկրի ծածկագրային նշագիրը, որտեղ գրանցված է սերիֆիկացման մարմինը |
M.SDE.00162 |
csdo:UnifiedCountryCodeType (M.SDT.00112) Երկրի երկտառ ծածկագրի արժեք այն տեղեկագրքին (դասակարգչին) համապատասխան, որի նույնականացուցիչը սահմանված է «Տեղեկագրքի (դասակարգչի) նույնականացուցիչը» ատրիբուտում։ Ձևանմուշը՝ [A-Z]{2} |
0..1 | |||||
|
ա) տեղեկագրքի (դասակարգչի) նույնականացուցիչը (code List Id ատրիբուտ) |
այն տեղեկագրքի (դասակարգչի) նշագիրը, որին համապատասխան նշված է ծածկագիրը |
- |
csdo:ReferenceDataIdType (M.SDT.00091) Պայմանանշանների նորմալացված տողը: Նվազ. երկարությունը՝ 1. Առավ. երկարությունը՝ 20 |
1 | |||||
|
2.6.3. Հավատարմագրման վկայագրի գրանցման համարը (հավատարմագրման մասին գրառման եզակի համարը) (trsdo:AccreditationCertificateId) |
սերտիֆիկացման մարմնի հավատարմագրումը հաստատող փաստաթղթի համարը կամ հավատարմագրման մասին գրառման եզակի համարը |
M.TR.SDE.00044 |
csdo:Id50Type (M.SDT.00093) Պայմանանշանների նորմալացված տողը: Նվազ. երկարությունը՝ 1. Առավ. երկարությունը՝ 50 |
1 | |||||
|
2.6.4. Փաստաթղթի ամսաթիվը (csdo:DocCreationDate) |
սերտիֆիկացման մարմնի հավատարմագրումը հաստատող փաստաթղթի գրանցման ամսաթիվը |
M.SDE.00045 |
bdt:DateType (M.BDT.00005) Ամսաթվի նշագիրը՝ ԻՍՕ 8601-ին համապատասխան |
0..1 | |||||
|
2.6.5. Տնտեսավարող սուբյեկտի նույնականացուցիչը (csdo:BusinessEntityId) |
պետական գրանցման ժամանակ տրված գրառման համարը (ծածկագիրը)՝ ըստ ռեեստրի (ռեգիստրի) |
M.SDE.00189 |
csdo:BusinessEntityIdType (M.SDT.00157) Պայմանանշանների նորմալացված տող: Նվազ. երկարությունը՝ 1. Առավ. երկարությունը՝ 20 |
0..1 | |||||
|
ա) նույնականացման մեթոդը (kind Id ատրիբուտ) |
տնտեսավարող սուբյեկտների նույնականացման մեթոդը |
- |
csdo:BusinessEntityIdKindIdType (M.SDT.00158) Տնտեսավարող սուբյեկտների նույնականացման մեթոդների տեղեկագրքից նույնականացուցչի արժեքը։ Նվազ. երկարությունը՝ 1. Առավ. երկարությունը՝ 20 |
1 | |||||
|
2.6.6. Տնտեսավարող սուբյեկտի ստորաբաժանման անվանումը (csdo:BusinessEntityUnitName) |
սերտիֆիկացման մարմնի անվանումը |
M.SDE.00330 |
csdo:Name300Type (M.SDT.00056) Պայմանանշանների նորմալացված տողը: Նվազ. երկարությունը՝ 1. Առավ. երկարությունը՝ 300 |
0..1 | |||||
|
2.6.7. Պաշտոնատար անձը (ccdo:OfficerDetails) |
սերտիֆիկացման մարմնի ղեկավարի (լիազորվախ մարմնի) մասին տեղեկատվությունը |
M.CDE.00104 |
ccdo:OfficerDetailsType (M.CDT.00031) Որոշվում է ներդրված տարրերի արժեքների տիրույթներով |
0..1 | |||||
|
*.1. Ա.Ա.Հ.-ն (ccdo:FullNameDetails) |
ազգանունը, անունը, հայրանունը |
M.CDE.00029 |
ccdo:FullNameDetailsType (M.CDT.00016) Որոշվում է ներդրված տարրերի արժեքների տիրույթներով |
1 | |||||
|
*.1.1. Անունը (csdo:FirstName) |
ֆիզիկական անձի անունը |
M.SDE.00109 |
csdo:Name120Type (M.SDT.00055) Պայմանանշանների նորմալացված տողը: Նվազ. երկարությունը՝ 1. Առավ. երկարությունը՝ 120 |
0..1 | |||||
|
*.1.2. Հայրանունը (csdo:MiddleName) |
ֆիզիկական անձի հայրանունը (երկրորդ կամ միջին անունը) |
M.SDE.00111 |
csdo:Name120Type (M.SDT.00055) Պայմանանշանների նորմալացված տողը: Նվազ. երկարությունը՝ 1. Առավ. երկարությունը՝ 120 |
0..1 | |||||
|
*.1.3. Ազգանունը (csdo:LastName) |
ֆիզիկական անձի ազգանունը |
M.SDE.00110 |
csdo:Name120Type (M.SDT.00055) Պայմանանշանների նորմալացված տողը: Նվազ. երկարությունը՝ 1. Առավ. երկարությունը՝ 120 |
0..1 | |||||
|
*.2. Պաշտոնի անվանումը (csdo:PositionName) |
աշխատակցի պաշտոնի անվանումը |
M.SDE.00127 |
csdo:Name120Type (M.SDT.00055) Պայմանանշանների նորմալացված տողը: Նվազ. երկարությունը՝ 1. Առավ. երկարությունը՝ 120 |
0..1 | |||||
|
*.3. Կոնտակտային վավերապայմանը (ccdo:CommunicationDetails) |
պաշտոնատար անձի կոնտակտային վավերապայմանը |
M.CDE.00003 |
ccdo:CommunicationDetailsType (M.CDT.00003) Որոշվում է ներդրված տարրերի արժեքների տիրույթներով |
0..* | |||||
|
*.3.1. Կապի տեսակի ծածկագիրը (csdo:CommunicationChannelCode) |
կապի միջոցի (կապուղու) տեսակի (հեռախոս, ֆաքս, էլեկտրոնային փոստ և այլն) ծածկագրային նշագիրը |
M.SDE.00014 |
csdo:CommunicationChannelCodeV2Type (M.SDT.00163) Ծածկագրի արժեքը՝ կապի միջոցների (ուղիների) տեսակների ցանկին համապատասխան։ Նվազ. երկարությունը՝ 1. Առավ. երկարությունը՝ 20 |
0..1 | |||||
|
*.3.2. Կապի տեսակի անվանումը (csdo:CommunicationChannelName) |
կապի միջոցի (կապուղու) տեսակի (հեռախոս, ֆաքս, էլեկտրոնային փոստ և այլն) անվանումը |
M.SDE.00093 |
csdo:Name120Type (M.SDT.00055) Պայմանանշանների նորմալացված տողը: Նվազ. երկարությունը՝ 1. Առավ. երկարությունը՝ 120 |
0..1 | |||||
|
*.3.3. Կապուղու նույնականացուցիչը (csdo:CommunicationChannelId) |
Կապուղին նույնականացնող պայմանանշանների հաջորդականությունը (հեռախոսահամարի, ֆաքսի, էլեկտրոնային փոստի հասցեի և այլնի նշում) |
M.SDE.00015 |
csdo:CommunicationChannelIdType (M.SDT.00015) Պայմանանշանների նորմալացված տողը: Նվազ. երկարությունը՝ 1. Առավ. երկարությունը՝ 1000 |
1..* | |||||
|
2.6.8. Հասցեն (ccdo:AddressV4Details) |
սերտիֆիկացման մարմնի հասցեն |
M.CDE.00076 |
ccdo:AddressDetailsV4Type (M.CDT.00079) Որոշվում է ներդրված տարրերի արժեքների տիրույթներով |
0..* | |||||
|
*.1. Հասցեի տեսակի ծածկագիրը (csdo:AddressKindCode) |
հասցեի տեսակի ծածկագրային նշագիրը |
M.SDE.00192 |
csdo:AddressKindCodeType (M.SDT.00162) Ծածկագրի արժեքը՝ հասցեների տեսակների տեղեկագրքին համապատասխան։ Նվազ. երկարությունը՝ 1. Առավ. երկարությունը՝ 20 |
0..1 | |||||
|
*.2. Երկրի ծածկագիրը (csdo:UnifiedCountryCode) |
երկրի ծածկագրային նշագիր |
M.SDE.00162 |
csdo:UnifiedCountryCodeType (M.SDT.00112) Երկրի երկտառ ծածկագրի արժեք այն տեղեկագրքին (դասակարգչին) համապատասխան, որի նույնականացուցիչը սահմանված է «Տեղեկագրքի (դասակարգչի) նույնականացուցիչը» ատրիբուտում։ Ձևանմուշը՝ [A-Z]{2} |
0..1 | |||||
|
ա) տեղեկագրքի (դասակարգչի) նույնականացուցիչը (code List Id ատրիբուտ) |
այն տեղեկագրքի (դասակարգչի) նշագիրը, որին համապատասխան նշված է ծածկագիրը |
- |
csdo:ReferenceDataIdType (M.SDT.00091) Պայմանանշանների նորմալացված տողը: Նվազ. երկարությունը՝ 1. Առավ. երկարությունը՝ 20 |
1 | |||||
|
*.3. Տարածքի ծածկագիրը (csdo:TerritoryCode) |
վարչատարածքային բաժանման միավորի ծածկագիրը |
M.SDE.00031 |
csdo:TerritoryCodeType (M.SDT.00031) Պայմանանշանների նորմալացված տողը: Նվազ. երկարությունը՝ 1. Առավ. երկարությունը՝ 17 |
0..1 | |||||
|
*.4. Տարածաշրջանը (csdo:RegionName) |
առաջին մակարդակի վարչատարածքային բաժանման միավորի անվանումը |
M.SDE.00007 |
csdo:Name120Type (M.SDT.00055) Պայմանանշանների նորմալացված տողը: Նվազ. երկարությունը՝ 1. Առավ. երկարությունը՝ 120 |
0..1 | |||||
|
*.5. Շրջանը (csdo:DistrictName) |
երկրորդ մակարդակի վարչատարածքային բաժանման միավորի անվանումը |
M.SDE.00008 |
csdo:Name120Type (M.SDT.00055) Պայմանանշանների նորմալացված տողը: Նվազ. երկարությունը՝ 1. Առավ. երկարությունը՝ 120 |
0..1 | |||||
|
*.6. Քաղաքը (csdo:CityName) |
քաղաքի անվանումը |
M.SDE.00009 |
csdo:Name120Type (M.SDT.00055) Պայմանանշանների նորմալացված տողը: Նվազ. երկարությունը՝ 1. Առավ. երկարությունը՝ 120 |
0..1 | |||||
|
*.7. Բնակավայրը (csdo:SettlementName) |
բնակավայրի անվանումը |
M.SDE.00057 |
csdo:Name120Type (M.SDT.00055) Պայմանանշանների նորմալացված տողը: Նվազ. երկարությունը՝ 1. Առավ. երկարությունը՝ 120 |
0..1 | |||||
|
*.8. Փողոցը (csdo:StreetName) |
քաղաքային ենթակառուցվածքի փողոցաճանապարհային ցանցի տարրի անվանումը |
M.SDE.00010 |
csdo:Name120Type (M.SDT.00055) Պայմանանշանների նորմալացված տողը: Նվազ. երկարությունը՝ 1. Առավ. երկարությունը՝ 120 |
0..1 | |||||
|
*.9. Շենքի համարը (csdo:BuildingNumberId) |
շենքի, մասնաշենքի, շինության նշագիրը |
M.SDE.00011 |
csdo:Id50Type (M.SDT.00093) Պայմանանշանների նորմալացված տողը: Նվազ. երկարությունը՝ 1. Առավ. երկարությունը՝ 50 |
0..1 | |||||
|
*.10. Սենքի համարը (csdo:RoomNumberId) |
գրասենյակի կամ բնակարանի նշագիրը |
M.SDE.00012 |
csdo:Id20Type (M.SDT.00092) Պայմանանշանների նորմալացված տողը: Նվազ. երկարությունը՝ 1. Առավ. երկարությունը՝ 20 |
0..1 | |||||
|
*.11. Փոստային դասիչը (csdo:PostCode) |
փոստային կապի ձեռնարկության փոստային դասիչը |
M.SDE.00006 |
csdo:PostCodeType (M.SDT.00006) Պայմանանշանների նորմալացված տողը: Ձևանմուշը՝ [A-Z0-9][A-Z0-9 -]{1,8}[A-Z0-9] |
0..1 | |||||
|
*.12. Բաժանորդային արկղի համարը (csdo:PostOfficeBoxId) |
փոստային կապի ձեռնարկությունում բաժանորդային արկղի համարը |
M.SDE.00013 |
csdo:Id20Type (M.SDT.00092) Պայմանանշանների նորմալացված տողը: Նվազ. երկարությունը՝ 1. Առավ. երկարությունը՝ 20 |
0..1 | |||||
|
*.13. Հասցեն՝ տեքստի ձևով (csdo:AddressText) |
հասցեի տարրերի հավաքածուն՝ տեքստի տեսքով ազատ ձևով ներկայացված |
M.SDE.00005 |
csdo:Text1000Type (M.SDT.00071) Պայմանանշանների տողը: Նվազ. երկարությունը՝ 1. Առավ. երկարությունը՝ 1000 |
0..1 | |||||
|
2.6.9. Կոնտակտային վավերապայմանը (ccdo:CommunicationDetails) |
սերտիֆիկացման մարմնի կոնտակտային վավերապայմանը |
M.CDE.00003 |
ccdo:CommunicationDetailsType (M.CDT.00003) Որոշվում է ներդրված տարրերի արժեքների տիրույթներով |
0..* | |||||
|
*.1. Կապի տեսակի ծածկագիրը (csdo:CommunicationChannelCode) |
կապի միջոցի (կապուղու) տեսակի (հեռախոս, ֆաքս, էլեկտրոնային փոստ և այլն) ծածկագրային նշագիրը |
M.SDE.00014 |
csdo:CommunicationChannelCodeV2Type (M.SDT.00163) Ծածկագրի արժեքը՝ կապի միջոցների (ուղիների) տեսակների ցանկին համապատասխան։ Նվազ. երկարությունը՝ 1. Առավ. երկարությունը՝ 20 |
0..1 | |||||
|
*.2. Կապի տեսակի անվանումը (csdo:CommunicationChannelName) |
կապի միջոցի (կապուղու) տեսակի (հեռախոս, ֆաքս, էլեկտրոնային փոստ և այլն) անվանումը |
M.SDE.00093 |
csdo:Name120Type (M.SDT.00055) Պայմանանշանների նորմալացված տողը: Նվազ. երկարությունը՝ 1. Առավ. երկարությունը՝ 120 |
0..1 | |||||
|
*.3. Կապուղու նույնականացուցիչը (csdo:CommunicationChannelId) |
Կապուղին նույնականացնող պայմանանշանների հաջորդականությունը (հեռախոսահամարի, ֆաքսի, էլեկտրոնային փոստի հասցեի և այլնի նշում) |
M.SDE.00015 |
csdo:CommunicationChannelIdType (M.SDT.00015) Պայմանանշանների նորմալացված տողը: Նվազ. երկարությունը՝ 1. Առավ. երկարությունը՝ 1000 |
1..* | |||||
|
2.6.10. Տնտեսավարող սուբյեկտի անվանումը (csdo:BusinessEntityName) |
այն կազմակերպության անվանումը, որի կազմի մեջ է մտնում սերտիֆիկացման մարմինը |
M.SDE.00187 |
csdo:Name300Type (M.SDT.00056) Պայմանանշանների նորմալացված տողը: Նվազ. երկարությունը՝ 1. Առավ. երկարությունը՝ 300 |
0..1 | |||||
|
2.7. Փաստաթղթի ձևաթղթի համարը (csdo:FormNumberId) |
պատրաստման ժամանակ փաստաթղթի ձևաթղթին տրված համարը |
M.SDE.00142 |
csdo:Id50Type (M.SDT.00093) Պայմանանշանների նորմալացված տողը: Նվազ. երկարությունը՝ 1. Առավ. երկարությունը՝ 50 |
0..1 | |||||
|
2.8. Փաստաթղթի հավելվածը (trcdo:DocAnnexDetails) |
փաստաթղթի հավելվածի մասին տեղեկատվությունը |
M.TR.CDE.00022 |
trcdo:DocAnnexDetailsType (M.TR.CDT.00013) Որոշվում է ներդրված տարրերի արժեքների տիրույթներով |
0..* | |||||
|
2.8.1. Հերթական համարը (csdo:ObjectOrdinal) |
փաստաթղթի հավելվածի հերթական համարը |
M.SDE.00148 |
csdo:Ordinal3Type (M.SDT.00105) Հաշվարկման տասական համակարգում ոչ բացասական ամբողջ թիվը։ Թվանշանների առավելագույն քանակը՝ 3 |
0..1 | |||||
|
2.8.2. Փաստաթղթի ձևաթղթի համարը (csdo:FormNumberId) |
այն ձևաթղթին տրված համարը, որի վրա ձևակերպված է փաստաթղթի հավելվածը |
M.SDE.00142 |
csdo:Id50Type (M.SDT.00093) Պայմանանշանների նորմալացված տողը: Նվազ. երկարությունը՝ 1. Առավ. երկարությունը՝ 50 |
0..* | |||||
|
2.8.3. Թերթերի քանակը (csdo:PageQuantity) |
փաստաթղթի հավելվածի թերթերի ընդհանուր քանակը |
M.SDE.00018 |
csdo:Quantity4Type (M.SDT.00097) Հաշվարկման տասական համակարգում ոչ բացասական ամբողջ թիվը։ Թվանշանների առավելագույն քանակը՝ 4 |
0..1 | |||||
|
2.8.4. Բինարային ձևաչափով փաստաթուղթը (csdo:DocBinaryText) |
բինարային տեքստային ձևաչափով փաստաթուղթը |
M.SDE.00106 |
csdo:BinaryTextType (M.SDT.00143) Երկուական օկտետների (բայթերի) վերջավոր հաջորդականությունը |
0..1 | |||||
|
ա) տվյալների ձևաչափի ծածկագիրը (media Type Code ատրիբուտ) |
տվյալների ձևաչափի ծածկագրային նշագիրը |
- |
csdo:MediaTypeCodeType (M.SDT.00147) Ծածկագրի արժեքը՝ տվյալների ձևաչափերի տեղեկագրքին համապատասխան։ Նվազ․ երկարությունը՝ 1. Առավ. երկարությունը՝ 255 |
0..1 | |||||
|
2.8.5. XML փաստաթուղթը (ccdo:AnyDetails) |
ազատ կառուցվածքով XML փաստաթուղթը |
M.CDE.00081 |
ccdo:AnyDetailsType (M.CDT.00086) Որոշվում է ներդրված տարրերի արժեքների տիրույթներով |
0..1 | |||||
|
*.1. XML փաստաթուղթը |
կամայական կառուցվածքով XML փաստաթղթի բովանդակությունը |
- |
կամայական տարրը։ Անվանումների տարածությունը՝ ցանկացած: Վալիդացումը՝ կատարվում է մշտապես |
1..* | |||||
|
2.9. Հայտատուն (trcdo:ApplicantV2Details) |
արտադրանքի համապատասխանության գնահատման հայտատուի մասին տեղեկատվությունը |
M.TR.CDE.00867 |
trcdo:ApplicantDetailsType (M.TR.CDT.00014) Որոշվում է ներդրված տարրերի արժեքների տիրույթներով |
1 | |||||
|
2.9.1. Երկրի ծածկագիրը (csdo:UnifiedCountryCode) |
տնտեսավարող սուբյեկտի գրանցման երկրի ծածկագրային նշագիրը |
M.SDE.00162 |
csdo:UnifiedCountryCodeType (M.SDT.00112) Երկրի երկտառ ծածկագրի արժեք այն տեղեկագրքին (դասակարգչին) համապատասխան, որի նույնականացուցիչը սահմանված է «Տեղեկագրքի (դասակարգչի) նույնականացուցիչը» ատրիբուտում։ Ձևանմուշը՝ [A-Z]{2} |
0..1 | |||||
|
ա) տեղեկագրքի (դասակարգչի) նույնականացուցիչը (code List Id ատրիբուտ) |
այն տեղեկագրքի (դասակարգչի) նշագիրը, որին համապատասխան նշված է ծածկագիրը |
- |
csdo:ReferenceDataIdType (M.SDT.00091) Պայմանանշանների նորմալացված տողը: Նվազ. երկարությունը՝ 1. Առավ. երկարությունը՝ 20 |
1 | |||||
|
2.9.2. Տնտեսավարող սուբյեկտի անվանումը (csdo:BusinessEntityName) |
տնտեսավարող սուբյեկտի լրիվ անվանումը կամ տնտեսական գործունեություն վարող ֆիզիկական անձի ազգանունը, անունը և հայրանունը |
M.SDE.00187 |
csdo:Name300Type (M.SDT.00056) Պայմանանշանների նորմալացված տողը: Նվազ. երկարությունը՝ 1. Առավ. երկարությունը՝ 300 |
1 | |||||
|
2.9.3. Տնտեսավարող սուբյեկտի կրճատ անվանումը (csdo:BusinessEntityBriefName) |
տնտեսավարող սուբյեկտի կրճատ անվանումը կամ տնտեսական գործունեություն վարող ֆիզիկական անձի ազգանունը, անունը և հայրանունը |
M.SDE.00188 |
csdo:Name120Type (M.SDT.00055) Պայմանանշանների նորմալացված տողը: Նվազ. երկարությունը՝ 1. Առավ. երկարությունը՝ 120 |
0..1 | |||||
|
2.9.4. Կազմակերպաիրավական ձևի ծածկագիրը (csdo:BusinessEntityTypeCode) |
այն կազմակերպաիրավական ձևի ծածկագրային նշագիրը, որով գրանցված է տնտեսավարող սուբյեկտը |
M.SDE.00023 |
csdo:UnifiedCode20Type (M.SDT.00140) ծածկագրի արժեքն այն տեղեկագրքին (դասակարգչին) համապատասխան, որի նույնականացուցիչը սահմանված է «Տեղեկագրքի (դասակարգչի) նույնականացուցիչը» ատրիբուտում: Նվազ․ երկարությունը՝ 1. Առավ. երկարությունը՝ 20 |
0..1 | |||||
|
ա) տեղեկագրքի (դասակարգչի) նույնականացուցիչը (code List Id ատրիբուտ) |
այն տեղեկագրքի (դասակարգչի) նշագիրը, որին համապատասխան նշված է ծածկագիրը |
- |
csdo:ReferenceDataIdType (M.SDT.00091) Պայմանանշանների նորմալացված տողը: Նվազ. երկարությունը՝ 1. Առավ. երկարությունը՝ 20 |
1 | |||||
|
2.9.5. Կազմակերպաիրավական ձևի անվանումը (csdo:BusinessEntityTypeName) |
այն կազմակերպաիրավական ձևի անվանումը, որով գրանցված է տնտեսավարող սուբյեկտը |
M.SDE.00090 |
csdo:Name300Type (M.SDT.00056) Պայմանանշանների նորմալացված տող: Նվազ. երկարությունը՝ 1. Առավ. երկարությունը՝ 300 |
0..1 | |||||
|
2.9.6. Տնտեսավարող սուբյեկտի նույնականացուցիչը (csdo:BusinessEntityId) |
պետական գրանցման ժամանակ տրված գրառման համարը (ծածկագիրը)՝ ըստ ռեեստրի (ռեգիստրի) |
M.SDE.00189 |
csdo:BusinessEntityIdType (M.SDT.00157) Պայմանանշանների նորմալացված տողը: Նվազ. երկարությունը՝ 1. Առավ. երկարությունը՝ 20 |
0..1 | |||||
|
ա) նույնականացման մեթոդը (kind Id ատրիբուտ) |
տնտեսավարող սուբյեկտների նույնականացման մեթոդը |
- |
csdo:BusinessEntityIdKindIdType (M.SDT.00158) Տնտեսավարող սուբյեկտների նույնականացման մեթոդների տեղեկագրքից նույնականացուցչի արժեքը։ Նվազ. երկարությունը՝ 1. Առավ. երկարությունը՝ 20 |
1 | |||||
|
2.9.7. Հասցեն (ccdo:AddressV4Details) |
տնտեսավարող սուբյեկտի հասցեն |
M.CDE.00076 |
ccdo:AddressDetailsV4Type (M.CDT.00079) Որոշվում է ներդրված տարրերի արժեքների տիրույթներով |
1..* | |||||
|
*.1. Հասցեի տեսակի ծածկագիրը (csdo:AddressKindCode) |
հասցեի տեսակի ծածկագրային նշագիրը |
M.SDE.00192 |
csdo:AddressKindCodeType (M.SDT.00162) Ծածկագրի արժեքը՝ հասցեների տեսակների տեղեկագրքին համապատասխան։ Նվազ. երկարությունը՝ 1. Առավ. երկարությունը՝ 20 |
0..1 | |||||
|
*.2. Երկրի ծածկագիրը (csdo:UnifiedCountryCode) |
երկրի ծածկագրային նշագիրը |
M.SDE.00162 |
csdo:UnifiedCountryCodeType (M.SDT.00112) Երկրի երկտառ ծածկագրի արժեքն այն տեղեկագրքին (դասակարգչին) համապատասխան, որի նույնականացուցիչը սահմանված է «Տեղեկագրքի (դասակարգչի) նույնականացուցիըչ» ատրիբուտում։ Ձևանմուշը՝ [A-Z]{2} |
0..1 | |||||
|
ա) տեղեկագրքի (դասակարգչի) նույնականացուցիչը (code List Id ատրիբուտ) |
այն տեղեկագրքի (դասակարգչի) նշագիրը, որին համապատասխան նշված է ծածկագիրը |
- |
csdo:ReferenceDataIdType (M.SDT.00091) Պայմանանշանների նորմալացված տողը: Նվազ. երկարությունը՝ 1. Առավ. երկարությունը՝ 20 |
1 | |||||
|
*.3. Տարածքի ծածկագիրը (csdo:TerritoryCode) |
վարչատարածքային բաժանման միավորի ծածկագիրը |
M.SDE.00031 |
csdo:TerritoryCodeType (M.SDT.00031) Պայմանանշանների նորմալացված տողը: Նվազ. երկարությունը՝ 1. Առավ. երկարությունը՝ 17 |
0..1 | |||||
|
*.4. Տարածաշրջանը (csdo:RegionName) |
առաջին մակարդակի վարչատարածքային բաժանման միավորի անվանումը |
M.SDE.00007 |
csdo:Name120Type (M.SDT.00055) Պայմանանշանների նորմալացված տողը: Նվազ. երկարությունը՝ 1. Առավ. երկարությունը՝ 120 |
0..1 | |||||
|
*.5. Շրջանը (csdo:DistrictName) |
երկրորդ մակարդակի վարչատարածքային բաժանման միավորի անվանումը |
M.SDE.00008 |
csdo:Name120Type (M.SDT.00055) Պայմանանշանների նորմալացված տողը: Նվազ. երկարությունը՝ 1. Առավ. երկարությունը՝ 120 |
0..1 | |||||
|
*.6. Քաղաքը (csdo:CityName) |
քաղաքի անվանումը |
M.SDE.00009 |
csdo:Name120Type (M.SDT.00055) Պայմանանշանների նորմալացված տողը: Նվազ. երկարությունը՝ 1. Առավ. երկարությունը՝ 120 |
0..1 | |||||
|
*.7. Բնակավայրը (csdo:SettlementName) |
բնակավայրի անվանումը |
M.SDE.00057 |
csdo:Name120Type (M.SDT.00055) Պայմանանշանների նորմալացված տողը: Նվազ. երկարությունը՝ 1. Առավ. երկարությունը՝ 120 |
0..1 | |||||
|
*.8. Փողոցը (csdo:StreetName) |
քաղաքային ենթակառուցվածքի փողոցաճանապարհային ցանցի տարրի անվանումը |
M.SDE.00010 |
csdo:Name120Type (M.SDT.00055) Պայմանանշանների նորմալացված տողը: Նվազ. երկարությունը՝ 1. Առավ. երկարությունը՝ 120 |
0..1 | |||||
|
*.9. Շենքի համարը (csdo:BuildingNumberId) |
շենքի, մասնաշենքի, շինության նշագիրը |
M.SDE.00011 |
csdo:Id50Type (M.SDT.00093) Պայմանանշանների նորմալացված տողը: Նվազ. երկարությունը՝ 1. Առավ. երկարությունը՝ 50 |
0..1 | |||||
|
*.10. Սենքի համարը (csdo:RoomNumberId) |
գրասենյակի կամ բնակարանի նշագիրը |
M.SDE.00012 |
csdo:Id20Type (M.SDT.00092) Պայմանանշանների նորմալացված տողը: Նվազ. երկարությունը՝ 1. Առավ. երկարությունը՝ 20 |
0..1 | |||||
|
*.11. Փոստային դասիչը (csdo:PostCode) |
փոստային կապի ձեռնարկության փոստային դասիչը |
M.SDE.00006 |
csdo:PostCodeType (M.SDT.00006) Պայմանանշանների նորմալացված տողը: Ձևանմուշը՝ [A-Z0-9][A-Z0-9 -]{1,8}[A-Z0-9] |
0..1 | |||||
|
*.12. Բաժանորդային արկղի համարը (csdo:PostOfficeBoxId) |
փոստային կապի ձեռնարկությունում բաժանորդային արկղի համարը |
M.SDE.00013 |
csdo:Id20Type (M.SDT.00092) Պայմանանշանների նորմալացված տողը: Նվազ. երկարությունը՝ 1. Առավ. երկարությունը՝ 20 |
0..1 | |||||
|
*.13. Հասցեն՝ տեքստի ձևով (csdo:AddressText) |
հասցեի տարրերի հավաքածուն՝ տեքստի տեսքով ազատ ձևով ներկայացված |
M.SDE.00005 |
csdo:Text1000Type (M.SDT.00071) Պայմանանշանների տողը: Նվազ. երկարությունը՝ 1. Առավ. երկարությունը՝ 1000 |
0..1 | |||||
|
2.9.8. Կոնտակտային վավերապայմանը (ccdo:CommunicationDetails) |
կոնտակտային վավերապայմանը՝ կապի միջոցի (կապուղու) եղանակի և նույնականացուցչի նշմամբ |
M.CDE.00003 |
ccdo:CommunicationDetailsType (M.CDT.00003) Որոշվում է ներդրված տարրերի արժեքների տիրույթներով |
0..* | |||||
|
*.1. Կապի տեսակի ծածկագիրը (csdo:CommunicationChannelCode) |
կապի միջոցի (կապուղու) տեսակի (հեռախոս, ֆաքս, էլեկտրոնային փոստ և այլն) ծածկագրային նշագիրը |
M.SDE.00014 |
csdo:CommunicationChannelCodeV2Type (M.SDT.00163) Ծածկագրի արժեքը՝ կապի միջոցների (ուղիների) տեսակների ցանկին համապատասխան։ Նվազ. երկարությունը՝ 1. Առավ. երկարությունը՝ 20 |
0..1 | |||||
|
*.2. Կապի տեսակի անվանումը (csdo:CommunicationChannelName) |
կապի միջոցի (կապուղու) տեսակի (հեռախոս, ֆաքս, էլեկտրոնային փոստ և այլն) անվանումը |
M.SDE.00093 |
csdo:Name120Type (M.SDT.00055) Պայմանանշանների նորմալացված տողը: Նվազ. երկարությունը՝ 1. Առավ. երկարությունը՝ 120 |
0..1 | |||||
|
*.3. Կապուղու նույնականացուցիչը (csdo:CommunicationChannelId) |
Կապուղին նույնականացնող պայմանանշանների հաջորդականությունը (հեռախոսահամարի, ֆաքսի, էլեկտրոնային փոստի հասցեի և այլնի նշում) |
M.SDE.00015 |
csdo:CommunicationChannelIdType (M.SDT.00015) Պայմանանշանների նորմալացված տողը: Նվազ. երկարությունը՝ 1. Առավ. երկարությունը՝ 1000 |
1..* | |||||
|
2.9.9. Հայտարարագիրն ընդունած անձը (trcdo:DeclaringOfficerDetails) |
համապատասխանության հայտարարագիրն ընդունած անձի մասին տեղեկատվությունը |
M.TR.CDE.00861 |
trcdo:DeclaringOfficerDetailsType (M.TR.CDT.00781) Որոշվում է ներդրված տարրերի արժեքների տիրույթներով |
0..1 | |||||
|
*.1. ԱԱՀ (ccdo:FullNameDetails) |
ազգանունը, անունը, հայրանունը |
M.CDE.00029 |
ccdo:FullNameDetailsType (M.CDT.00016) Որոշվում է ներդրված տարրերի արժեքների տիրույթներով |
1 | |||||
|
*.1.1. Անունը (csdo:FirstName) |
ֆիզիկական անձի անունը |
M.SDE.00109 |
csdo:Name120Type (M.SDT.00055) Պայմանանշանների նորմալացված տողը: Նվազ. երկարությունը՝ 1. Առավ. երկարությունը՝ 120 |
0..1 | |||||
|
*.1.2. Հայրանունը (csdo:MiddleName) |
ֆիզիկական անձի հայրանունը (երկրորդ կամ միջին անունը) |
M.SDE.00111 |
csdo:Name120Type (M.SDT.00055) Պայմանանշանների նորմալացված տողը: Նվազ. երկարությունը՝ 1. Առավ. երկարությունը՝ 120 |
0..1 | |||||
|
*.1.3. Ազգանունը (csdo:LastName) |
ֆիզիկական անձի ազգանունը |
M.SDE.00110 |
csdo:Name120Type (M.SDT.00055) Պայմանանշանների նորմալացված տողը: Նվազ. երկարությունը՝ 1. Առավ. երկարությունը՝ 120 |
0..1 | |||||
|
*.2. Պաշտոնի անվանումը (csdo:PositionName) |
աշխատակցի պաշտոնի անվանումը |
M.SDE.00127 |
csdo:Name120Type (M.SDT.00055) Պայմանանշանների նորմալացված տողը: Նվազ. երկարությունը՝ 1. Առավ. երկարությունը՝ 120 |
0..1 | |||||
|
*.3. Կոնտակտային վավերապայմանը (ccdo:CommunicationDetails) |
պաշտոնատար անձի կոնտակտային վավերապայմանը |
M.CDE.00003 |
ccdo:CommunicationDetailsType (M.CDT.00003) Որոշվում է ներդրված տարրերի արժեքների տիրույթներով |
0..* | |||||
|
*.3.1. Կապի տեսակի ծածկագիրը (csdo:CommunicationChannelCode) |
կապի միջոցի (կապուղու) տեսակի (հեռախոս, ֆաքս, էլեկտրոնային փոստ և այլն) ծածկագրային նշագիրը |
M.SDE.00014 |
csdo:CommunicationChannelCodeV2Type (M.SDT.00163) Ծածկագրի արժեքը՝ կապի միջոցների (ուղիների) տեսակների ցանկին համապատասխան։ Նվազ. երկարությունը՝ 1. Առավ. երկարությունը՝ 20 |
0..1 | |||||
|
*.3.2. Կապի տեսակի անվանումը (csdo:CommunicationChannelName) |
կապի միջոցի (կապուղու) տեսակի (հեռախոս, ֆաքս, էլեկտրոնային փոստ և այլն) անվանումը |
M.SDE.00093 |
csdo:Name120Type (M.SDT.00055) Պայմանանշանների նորմալացված տողը: Նվազ. երկարությունը՝ 1. Առավ. երկարությունը՝ 120 |
0..1 | |||||
|
*.3.3. Կապուղու նույնականացուցիչը (csdo:CommunicationChannelId) |
Կապուղին նույնականացնող պայմանանշանների հաջորդականությունը (հեռախոսահամարի, ֆաքսի, էլեկտրոնային փոստի հասցեի և այլնի նշում) |
M.SDE.00015 |
csdo:CommunicationChannelIdType (M.SDT.00015) Պայմանանշանների նորմալացված տողը: Նվազ. երկարությունը՝ 1. Առավ. երկարությունը՝ 1000 |
1..* | |||||
|
*.4. Փաստաթղթի մասին տեղեկությունները (trcdo:DocInformationV2Details) |
այն փաստաթուղթը, որի հիման վրա անձը լիազորված է ընդունել հայտարարագիր |
M.TR.CDE.00027 |
trcdo:DocInformationV2DetailsType (M.TR.CDT.00019) Որոշվում է ներդրված տարրերի արժեքների տիրույթներով |
0..1 | |||||
|
*.4.1. Փաստաթղթի համարը (csdo:DocId) |
փաստաթղթի գրանցման ժամանակ դրան տրված թվային կամ տառաթվային նշագիր |
M.SDE.00044 |
csdo:Id50Type (M.SDT.00093) Պայմանանշանների նորմալացված տողը: Նվազ. երկարությունը՝ 1. Առավ. երկարությունը՝ 50 |
0..1 | |||||
|
*.4.2. Փաստաթղթի անվանումը (csdo:DocName) |
այն փաստաթղթի անվանումը, որն անհրաժեշտության դեպքում ներառում է փաստաթղթի տեսակը, ընդունող մարմնի (կազմակերպության) անվանումը և փաստաթղթի սեփական անվանումը |
M.SDE.00108 |
csdo:Name500Type (M.SDT.00134) Պայմանանշանների նորմալացված տողը: Նվազ. երկարությունը՝ 1. Առավ. երկարությունը՝ 500 |
0..1 | |||||
|
*.4.3. Փաստաթղթի ամսաթիվը (csdo:DocCreationDate) |
փաստաթղթի տրման ամսաթիվը |
M.SDE.00045 |
bdt:DateType (M.BDT.00005) Ամսաթվի նշագիրը՝ ԻՍՕ 8601-ին համապատասխան |
0..1 | |||||
|
2.10. Մթերք (trcdo:ProductV2Details) |
արտադրանքի մասին տեղեկատվությունը |
M.TR.CDE.00866 |
trcdo:ProductV2DetailsType (M.TR.CDT.00783) Որոշվում է ներդրված տարրերի արժեքների տիրույթներով |
1..* | |||||
|
2.10.1. Արտադրանքի նույնականացուցիչը (csdo:ProductId) |
արտադրանքի նշագիրը (Միության տեխնիկական կանոնակարգերով (Մաքսային միության տեխնիկական կանոնակարգերով) նախատեսված դեպքերում) և (կամ) արտադրողի կողմից արտադրանքին տրված պայմանական նշագիրը (տիպը, մակնիշը, մոդելը, արտիկուլը (ապրանքատեսակը) և այլն) |
M.SDE.00140 |
csdo:Id50Type (M.SDT.00093) Պայմանանշանների նորմալացված տողը: Նվազ. երկարությունը՝ 1. Առավ. երկարությունը՝ 50 |
0..* | |||||
|
2.10.2. Արտադրատեսակի անվանումը (csdo:ProductName) |
արտադրողի կողմից արտադրանքին տրված արտադրանքի անվանումը |
M.SDE.00152 |
csdo:Name300Type (M.SDT.00056) Պայմանանշանների նորմալացված տողը: Նվազ. երկարությունը՝ 1. Առավ. երկարությունը՝ 300 |
1..* | |||||
|
2.10.3. Արտադրանքի անունը (trsdo:ProductTradeName) |
արտադրանքի անվանումը (Միության տեխնիկական կանոնակարգերով (Մաքսային միության տեխնիկական կանոնակարգերով) նախատեսված դեպքերում) |
M.TR.SDE.00182 |
csdo:Name300Type (M.SDT.00056) Պայմանանշանների նորմալացված տողը: Նվազ. երկարությունը՝ 1. Առավ. երկարությունը՝ 300 |
0..* | |||||
|
2.10.4. Մթերքի նկարագրությունը (trsdo:ProductText) |
արտադրանքի մասին դրա նույնականացումն ապահովող լրացուցիչ տեղեկություններ |
M.TR.SDE.00015 |
csdo:Text4000Type (M.SDT.00088) Պայմանանշանների տողը: Նվազ. երկարությունը՝ 1. Առավ. երկարությունը՝ 4000 |
0..1 | |||||
|
2.10.5. Այլ տեղեկություններ (csdo:AdditionalInfoText) |
արտադրանքի օգտագործման մասին տեղեկատվությունը (պայմանները, պահպանման ժամկետը, ծառայության ժամկետը, ռեսուրսը) |
M.SDE.00046 |
csdo:Text4000Type (M.SDT.00088) Պայմանանշանների տողը: Նվազ. երկարությունը՝ 1. Առավ. երկարությունը՝ 4000 |
0..1 | |||||
|
2.10.6. Խմբաքանակի չափը (trsdo:BatchSizeText) |
արտադրանքի խմբաքանակի չափը |
M.TR.SDE.00227 |
csdo:Text250Type (M.SDT.00072) Պայմանանշանների տողը: Նվազ. երկարությունը՝ 1. Առավ. երկարությունը՝ 250 |
0..1 | |||||
|
2.10.7. Մթերքի միավորը (trcdo:ProductInstanceDetails) |
արտադրանքի միավորի կամ նույնանման արտադրանքի միավորների խմբի մասին տեղեկատվությունը |
M.TR.CDE.00032 |
trcdo:ProductInstanceDetailsType (M.TR.CDT.00024) Որոշվում է ներդրված տարրերի արժեքների տիրույթներով |
0..* | |||||
|
*.1. Ապրանքի քանակը (csdo:UnifiedCommodityMeasure) |
արտադրանքի քանակը |
M.SDE.00167 |
csdo:UnifiedPhysicalMeasureType (M.SDT.00122) Թիվը հաշվարկման տասական համակարգում։ Թվանշանների առավելագույն քանակը՝ 24. Կոտորակային թվանշանների առավ. քանակը՝ 6 |
0..1 | |||||
|
ա) չափման միավորը (measurementUnitCode ատրիբուտ) |
չափման միավորի ծածկագրային նշագիր |
- |
csdo:MeasurementUnitCodeType (M.SDT.00074) Տառաթվային ծածկագիրը: Ձևանմուշը՝ [0-9A-Z]{2,3}|\d{3,4} |
1 | |||||
|
բ) տեղեկագրքի (դասակարգչի) նույնականացուցիչը (measurementUnitCodeListId ատրիբուտ) |
չափման միավորների դասակարգչի նույնականացուցիչը |
- |
csdo:ReferenceDataIdType (M.SDT.00091) Պայմանանշանների նորմալացված տողը: Նվազ. երկարությունը՝ 1. Առավ. երկարությունը՝ 20 |
1 | |||||
|
*.2. Արտադրանքի միավորի նույնականացուցիչը (csdo:ProductInstanceId) |
եզակի արտադրատեսակի գործարանային համարը կամ նույնանման արտադրանքի միավորների խմբի նշագիրը |
M.SDE.00151 |
csdo:Id50Type (M.SDT.00093) Պայմանանշանների նորմալացված տողը: Նվազ. երկարությունը՝ 1. Առավ. երկարությունը՝ 50 |
0..1 | |||||
|
*.3. Արտադրատեսակի անվանումը (csdo:ProductName) |
նույնանման արտադրանքի միավորների խմբի անվանումը |
M.SDE.00152 |
csdo:Name300Type (M.SDT.00056) Պայմանանշանների նորմալացված տողը: Նվազ. երկարությունը՝ 1. Առավ. երկարությունը՝ 300 |
0..* | |||||
|
*.4. Մթերքի նկարագրությունը (trsdo:ProductText) |
արտադրանքի մասին՝ դրա նույնականացումն ապահովող լրացուցիչ տեղեկությունները |
M.TR.SDE.00015 |
csdo:Text4000Type (M.SDT.00088) Պայմանանշանների տողը: Նվազ. երկարությունը՝ 1. Առավ. երկարությունը՝ 4000 |
0..* | |||||
|
*.5. Մթերքի միավորի պատրաստման ամսաթիվը (trsdo:ProductInstanceManufacturedDate) |
մթերքի միավորի պատրաստման ամսաթիվը |
M.TR.SDE.00048 |
bdt:DateType (M.BDT.00005) Ամսաթվի նշագիրը՝ ԻՍՕ 8601-ին համապատասխան |
0..1 | |||||
|
*.6. Մթերքի միավորի պիտանելիության ժամկետը լրանալու ամսաթիվը (trsdo:ProductInstanceExpiryDate) |
արտադրանքի միավորի պիտանելիության ժամկետը լրանալու ամսաթիվը |
M.TR.SDE.00046 |
bdt:DateType (M.BDT.00005) Ամսաթվի նշագիրը՝ ԻՍՕ 8601-ին համապատասխան |
0..1 | |||||
|
*.7. Ապրանքի ծածկագիրը՝ ըստ ԵԱՏՄ ԱՏԳ ԱԱ-ի (csdo:CommodityCode) |
ապրանքների խմբի (դասի) ծածկագրային նշագիրը՝ ԵԱՏՄ ԱՏԳ ԱԱ-ին համապատասխան |
M.SDE.00091 |
csdo:CommodityCodeType (M.SDT.00065) ԵԱՏՄ ԱՏԳ ԱԱ-ից ծածկագրի արժեքը՝ 2, 4, 6, 8, 9 կամ 10 նիշերի մակարդակով։ Ձևանմուշը՝ \d{2}|\d{4}|\d{6}|\d{8,10} |
0..* | |||||
|
*.8. Պատրաստողի հերթական համարը (trsdo:ManufacturerRefOrdinal) |
պատրաստողի հերթական համարը՝ արտադրանքն արտադրողների մասին տեղեկությունների հաջարդականության մեջ |
M.TR.SDE.00333 |
csdo:Ordinal3Type (M.SDT.00105) Հաշվարկման տասական համակարգում ոչ բացասական ամբողջ թիվը։ Թվանշանների առավելագույն քանակը՝ 3 |
0..* | |||||
|
2.10.8. Ապրանքի եվրոպական համարը (trsdo:EANCommodityId) |
Ապրանքի և արտադրողի շտրիխ-կոդը փոխանցելու համար նախատեսված ապրանքի եվրոպական համարը |
M.TR.SDE.00054 |
trsdo:EANCommodityIdType (M.TR.SDT.00016) Պայմանանշանների նորմալացված տողը: Ձևանմուշը՝ \d{8}|\d{ 13} |
0..1 | |||||
|
2.10.9. Փաստաթղթի մասին տեղեկությունները (trcdo:DocInformationV2Details) |
այն փաստաթղթի մասին տեղեկատվությունը, որին համապատասխան պատրաստվել է արտադրանքը |
M.TR.CDE.00027 |
trcdo:DocInformationV2DetailsType (M.TR.CDT.00019) Որոշվում է ներդրված տարրերի արժեքների տիրույթներով |
0..* | |||||
|
*.1. Փաստաթղթի համարը (csdo:DocId) |
փաստաթղթի գրանցման ժամանակ դրան տրված թվային կամ տառաթվային նշագիր |
M.SDE.00044 |
csdo:Id50Type (M.SDT.00093) Պայմանանշանների նորմալացված տողը: Նվազ. երկարությունը՝ 1. Առավ. երկարությունը՝ 50 |
0..1 | |||||
|
*.2. Փաստաթղթի անվանումը (csdo:DocName) |
այն փաստաթղթի անվանումը, որն անհրաժեշտության դեպքում ենրառում է փաստաթղթի տեսակը, ընդունող մարմնի (կազմակերպության) անվանումը և փաստաթղթի սեփական անվանումը |
M.SDE.00108 |
csdo:Name500Type (M.SDT.00134) Պայմանանշանների նորմալացված տողը: Նվազ. երկարությունը՝ 1. Առավ. երկարությունը՝ 500 |
0..1 | |||||
|
*.3. Փաստաթղթի ամսաթիվը (csdo:DocCreationDate) |
փաստաթղթի տրման ամսաթիվը |
M.SDE.00045 |
bdt:DateType (M.BDT.00005) Ամսաթվի նշագիրը՝ ԻՍՕ 8601-ին համապատասխան |
0..1 | |||||
|
02.10.2010. Ապրանքի ծածկագիրը՝ ըստ ԵԱՏՄ ԱՏԳ ԱԱ-ի (csdo:CommodityCode) |
ապրանքների խմբի (դասի) ծածկագրային նշագիրը՝ ԵԱՏՄ ԱՏԳ ԱԱ-ին համապատասխան |
M.SDE.00091 |
csdo:CommodityCodeType (M.SDT.00065) ԵԱՏՄ ԱՏԳ ԱԱ-ից ծածկագրի արժեքը՝ 2, 4, 6, 8, 9 կամ 10 նիշերի մակարդակով։ Ձևանմուշը՝ \d{2}|\d{4}|\d{6}|\d{8,10} |
0..* | |||||
|
2.10.11. Ապրանքն ուղեկցող փաստաթղթերի վավերապայմանները (trcdo:ShippingDocReferenceDetails) |
ապրանքն ուղեկցող փաստաթղթերի վավերապայմանները |
M.TR.CDE.00863 |
ccdo:DocDetailsV4Type (M.CDT.00081) Որոշվում է ներդրված տարրերի արժեքների տիրույթներով |
0..* | |||||
|
*.1. Փաստաթղթի տեսակի ծածկագիրը (csdo:DocKindCode) |
փաստաթղթի տեսակի ծածկագրային նշագիրը |
M.SDE.00054 |
csdo:UnifiedCode20Type (M.SDT.00140) Ծածկագրի արժեքն այն տեղեկագրքին (դասակարգչին) համապատասխան, որի նույնականացուցիչը սահմանված է «Տեղեկագրքի (դասակարգչի) նույնականացուցիչը» ատրիբուտում: Նվազ․ երկարությունը՝ 1. Առավ. երկարությունը՝ 20 |
0..1 | |||||
|
ա) տեղեկագրքի (դասակարգչի) նույնականացուցիչը (code List Id ատրիբուտ) |
այն տեղեկագրքի (դասակարգչի) նշագիրը, որին համապատասխան նշված է ծածկագիրը |
- |
csdo:ReferenceDataIdType (M.SDT.00091) Պայմանանշանների նորմալացված տողը: Նվազ. երկարությունը՝ 1. Առավ. երկարությունը՝ 20 |
1 | |||||
|
*.2. Փաստաթղթի անվանումը (csdo:DocName) |
փաստաթղթի անվանումը |
M.SDE.00108 |
csdo:Name500Type (M.SDT.00134) Պայմանանշանների նորմալացված տողը: Նվազ. երկարությունը՝ 1. Առավ. երկարությունը՝ 500 |
0..1 | |||||
|
*.3. Փաստաթղթի համարը (csdo:DocId) |
փաստաթղթի գրանցման ժամանակ դրան տրված թվային կամ տառաթվային նշագիրը |
M.SDE.00044 |
csdo:Id50Type (M.SDT.00093) Պայմանանշանների նորմալացված տողը: Նվազ. երկարությունը՝ 1. Առավ. երկարությունը՝ 50 |
0..1 | |||||
|
*.4. Փաստաթղթի ամսաթիվը (csdo:DocCreationDate) |
փաստաթղթի տրման, ստորագրման, հաստատման կամ գրանցման ամսաթիվը |
M.SDE.00045 |
bdt:DateType (M.BDT.00005) Ամսաթվի նշագիրը՝ ԻՍՕ 8601-ին համապատասխան |
0..1 | |||||
|
02.10.2012. Պատրաստողի հերթական համարը (trsdo:ManufacturerRefOrdinal) |
պատրաստողի հերթական համարը՝ արտադրանքն արտադրողների մասին տեղեկությունների հաջարդականության մեջ |
M.TR.SDE.00333 |
csdo:Ordinal3Type (M.SDT.00105) Հաշվարկման տասական համակարգում ոչ բացասական ամբողջ թիվը։ Թվանշանների առավելագույն քանակը՝ 3 |
0..* | |||||
|
2.11. Համապատասխանությունը հաստատող փաստաթղթի մասին տեղեկությունները (trcdo:ComplianceDocDetails) |
որպես պարտադիր պահանջներին համապատասխանության ապացույց ներկայացված փաստաթղթի վերաբերյալ տեղեկատվություն |
M.TR.CDE.00023 |
trcdo:ComplianceDocDetailsType (M.TR.CDT.00353) Որոշվում է ներդրված տարրերի արժեքների տիրույթներով |
0..* | |||||
|
2.11.1. Փաստաթղթի անվանումը (csdo:DocName) |
այն փաստաթղթի անվանումը, որն անհրաժեշտության դեպքում ներառում է փաստաթղթի տեսակը, ընդունող մարմնի (կազմակերպության) անվանումը և փաստաթղթի սեփական անվանումը |
M.SDE.00108 |
csdo:Name500Type (M.SDT.00134) Պայմանանշանների նորմալացված տողը: Նվազ. երկարությունը՝ 1. Առավ. երկարությունը՝ 500 |
0..1 | |||||
|
2.11.2. Փաստաթղթի ամսաթիվը (csdo:DocCreationDate) |
փաստաթղթի տրման ամսաթիվը |
M.SDE.00045 |
bdt:DateType (M.BDT.00005) Ամսաթվի նշագիրը՝ ԻՍՕ 8601-ին համապատասխան |
0..1 | |||||
|
2.11.3. Փաստաթղթի համարը (csdo:DocId) |
փաստաթղթի գրանցման ժամանակ դրան տրված թվային կամ տառաթվային նշագիր |
M.SDE.00044 |
csdo:Id50Type (M.SDT.00093) Պայմանանշանների նորմալացված տողը: Նվազ. երկարությունը՝ 1. Առավ. երկարությունը՝ 50 |
0..1 | |||||
|
2.11.4. Տնտեսավարող սուբյեկտի ստորաբաժանման անվանումը (csdo:BusinessEntityUnitName) |
փաստաթուղթը տրամադրած՝ համապատասխանության գնահատման մարմնի անվանումը |
M.SDE.00330 |
csdo:Name300Type (M.SDT.00056) Պայմանանշանների նորմալացված տողը: Նվազ. երկարությունը՝ 1. Առավ. երկարությունը՝ 300 |
0..1 | |||||
|
2.11.5. Համապատասխանության գնահատման մարմնի նույնականացուցիչը (trsdo:ConformityAuthorityId) |
Եվրասիական տնտեսական միության համապատասխանության գնահատման մարմինների (այդ թվում՝ սերտիֆիկացման մարմինների, փորձարկման լաբորատորիաների (կենտրոնների)) միասնական ռեեստրի ազգային մասում նշված՝ համապատասխանության գնահատման մարմնի նույնականացման եզակի համարը |
M.TR.SDE.00031 |
csdo:Id40Type (M.SDT.00108) Պայմանանշանների նորմալացված տողը։ Նվազ. երկարությունը՝ 1. Առավ. երկարությունը՝ 40 |
0..1 | |||||
|
2.11.6. Հավատարմագրման վկայագրի գրանցման համարը (հավատարմագրման մասին գրառման եզակի համարը) (trsdo:AccreditationCertificateId) |
համապատասխանության գնահատման մարմնի հավատարմագրումը հաստատող փաստաթղթի համարը կամ հավատարմագրման մասին գրառման եզակի համարը |
M.TR.SDE.00044 |
csdo:Id50Type (M.SDT.00093) Պայմանանշանների նորմալացված տողը: Նվազ. երկարությունը՝ 1. Առավ. երկարությունը՝ 50 |
0..1 | |||||
|
2.11.7. Այլ տեղեկություններ (csdo:AdditionalInfoText) |
համապատասխանությունը հաստատող փաստաթղթի մասին լրացուցիչ տեղեկատվությունը |
M.SDE.00046 |
csdo:Text4000Type (M.SDT.00088) Պայմանանշանների տողը: Նվազ. երկարությունը՝ 1. Առավ. երկարությունը՝ 4000 |
0..1 | |||||
|
2.11.8. Համապատասխանությունը հաստատող փաստաթղթի տեսակի ծածկագիրը (trsdo:ComplianceDocKindCode) |
պարտադիր պահանջներին արտադրանքի համապատասխանությունը հաստատող փաստաթղթի տեսակի ծածկագրային նշագիրը |
M.TR.SDE.00658 |
csdo:Code2Type (M.SDT.00170) Պայմանանշանների նորմալացված տողը: Երկարությունը. 2 |
0..1 | |||||
|
2.11.9. Հավատարմագրված լաբորատորիայի հատկանշը (trsdo:AccreditedLaboratoryIndicator) |
այն հատկանիշը, որը ցույց է տալիս, որ համապատասխանությունը հաստատող փաստաթուղթը ձևակերպվել է՝ 1՝ հավատարմագրված լաբորատորիայի (կենտրոնի) կողմից. 0՝ չհավատարմագրված լաբորատորիայի (կենտրոնի) կողմից. |
M.TR.SDE.00330 |
bdt:IndicatorType (M.BDT.00013) Երկու արժեքներից մեկը. «true» (ճիշտ է) կամ «false» (սխալ է) |
0..1 | |||||
|
02.11.2010. Տնտեսավարող սուբյեկտի անվանումը (csdo:BusinessEntityName) |
այն կազմակերպության անվանումը, որի կազմում ընդգրկված է համապատասխանությունը հաստատող փաստաթուղթը տրամադրած համապատասխանության գնահատման մարմինը |
M.SDE.00187 |
csdo:Name300Type (M.SDT.00056) Պայմանանշանների նորմալացված տողը: Նվազ. երկարությունը՝ 1. Առավ. երկարությունը՝ 300 |
0..1 | |||||
|
02.11.2011. Ա.Ա.Հ.-ն (ccdo:FullNameDetails) |
համապատասխանությունը հաստատող փաստաթուղթը ստորագրած փորձագետի (փորձագետ-աուդիտորի) ազգանունը, անունը, հայրանունը |
M.CDE.00029 |
ccdo:FullNameDetailsType (M.CDT.00016) Որոշվում է ներդրված տարրերի արժեքների տիրույթներով |
0..1 | |||||
|
*.1. Անվանումը (csdo:FirstName) |
ֆիզիկական անձի անունը |
M.SDE.00109 |
csdo:Name120Type (M.SDT.00055) Պայմանանշանների նորմալացված տողը: Նվազ. երկարությունը՝ 1. Առավ. երկարությունը՝ 120 |
0..1 | |||||
|
*.2. Հայրանունը (csdo:MiddleName) |
ֆիզիկական անձի հայրանունը (երկրորդ կամ միջին անունը) |
M.SDE.00111 |
csdo:Name120Type (M.SDT.00055) Պայմանանշանների նորմալացված տողը: Նվազ. երկարությունը՝ 1. Առավ. երկարությունը՝ 120 |
0..1 | |||||
|
*.3. Ազգանունը (csdo:LastName) |
ֆիզիկական անձի ազգանունը |
M.SDE.00110 |
csdo:Name120Type (M.SDT.00055) Պայմանանշանների նորմալացված տողը: Նվազ. երկարությունը՝ 1. Առավ. երկարությունը՝ 120 |
0..1 | |||||
|
2.12. Արտադրանքը միասնական ցանկում ընդգրկելու հատկանիշը (trsdo:SingleListProductIndicator) |
միասնական ձևով համապատասխանության սերտիֆիկատների ու համապատասխանության վերաբերյալ հայտարարագրերի տրամադրմամբ համապատասխանության պարտադիր հաստատման ենթակա արտադրանքի միասնական ցանկում արտադրանք ներառելու հատկանիշը՝ 1՝ արտադրանքը ներառվել է միասնական ցանկում. 0՝ արտադրանքը չի ներառվել միասնական ցանկում |
M.TR.SDE.00222 |
bdt:IndicatorType (M.BDT.00013) Երկու արժեքներից մեկը. «true» (ճիշտ է) կամ «false» (սխալ է) |
1 | |||||
|
2.13. Միության տեխնիկական կանոնակարգի նշագիրը (trsdo:TechnicalRegulationId) |
Միության այն տեխնիկական կանոնակարգի (Մաքսային միության տեխնիկական կանոնակարգի) համարը, որի պահանջներին համապատասխանության համար անցկացվել է համապատասխանության գնահատումը |
M.TR.SDE.00037 |
trsdo:TechnicalRegulationIdType (M.TR.SDT.00012) Եվրասիական տնտեսական միության տեխնիկական կանոնակարգերի (Մաքսային միության տեխնիկական կանոնակարգերի) ցանկում առկա գրանցման համարի արժեքը Ձևանմուշը՝ ՏԿ (ՄՄ|ԵԱՏՄ) \d{3}/\d{4} |
0..* | |||||
|
2.14. Փաստաթղթի մասին տեղեկությունները (trcdo:DocInformationV2Details) |
այն նորմատիվային փաստաթղթի մասին տեղեկատվությունը, որի պահանջներին համապատասխանության համար անցկացվել է համապատասխանության գնահատում |
M.TR.CDE.00027 |
trcdo:DocInformationV2DetailsType (M.TR.CDT.00019) Որոշվում է ներդրված տարրերի արժեքների տիրույթներով |
0..* | |||||
|
2.14.1. Փաստաթղթի համարը (csdo:DocId) |
փաստաթղթի գրանցման ժամանակ դրան տրված թվային կամ տառաթվային նշագիրը |
M.SDE.00044 |
csdo:Id50Type (M.SDT.00093) Պայմանանշանների նորմալացված տողը: Նվազ. երկարությունը՝ 1. Առավ. երկարությունը՝ 50 |
0..1 | |||||
|
2.14.2. Փաստաթղթի անվանումը (csdo:DocName) |
փաստաթղթի այն անվանումը, որն անհրաժեշտության դեպքում ներառում է փաստաթղթի տեսակը, ընդունող մարմնի (կազմակերպության) անվանումը և փաստաթղթի սեփական անվանումը |
M.SDE.00108 |
csdo:Name500Type (M.SDT.00134) Պայմանանշանների նորմալացված տողը: Նվազ. երկարությունը՝ 1. Առավ. երկարությունը՝ 500 |
0..1 | |||||
|
2.14.3. Փաստաթղթի ամսաթիվը (csdo:DocCreationDate) |
փաստաթղթի տրման ամսաթիվը |
M.SDE.00045 |
bdt:DateType (M.BDT.00005) ամսաթվի նշագիրը՝ ԻՍՕ 8601-ին համապատասխան |
0..1 | |||||
|
2.15. Ա.Ա.Հ.-ն (ccdo:FullNameDetails) |
փորձագետի (փորձագետ-աուդիտորի) ազգանունը, անունը, հայրանունը |
M.CDE.00029 |
ccdo:FullNameDetailsType (M.CDT.00016) Որոշվում է ներդրված տարրերի արժեքների տիրույթներով |
0..* | |||||
|
2.15.1. Անունը (csdo:FirstName) |
ֆիզիկական անձի անունը |
M.SDE.00109 |
csdo:Name120Type (M.SDT.00055) Պայմանանշանների նորմալացված տողը: Նվազ. երկարությունը՝ 1. Առավ. երկարությունը՝ 120 |
0..1 | |||||
|
2.15.2. Հայրանունը (csdo:MiddleName) |
ֆիզիկական անձի հայրանունը (երկրորդ կամ միջին անունը) |
M.SDE.00111 |
csdo:Name120Type (M.SDT.00055) Պայմանանշանների նորմալացված տողը: Նվազ. երկարությունը՝ 1. Առավ. երկարությունը՝ 120 |
0..1 | |||||
|
2.15.3. Ազգանունը (csdo:LastName) |
ֆիզիկական անձի ազգանունը |
M.SDE.00110 |
csdo:Name120Type (M.SDT.00055) Պայմանանշանների նորմալացված տողը: Նվազ. երկարությունը՝ 1. Առավ. երկարությունը՝ 120 |
0..1 | |||||
|
2.16 Համապատասխանության գնահատման մասին փաստաթղթի տեսակի ծածկագիրը (trsdo:ConformityDocKindCode) |
համապատասխանության գնահատման մասին փաստաթղթի տեսակի ծածկագրային նշագիրը |
M.TR.SDE.00001 |
trsdo:ConformityDocKindCodeType (M.TR.SDT.00001) Ծածկագրի արժեքը՝ համապատասխանության գնահատման մասին փաստաթղթերի տեսակների դասակարգչին համապատասխան: Ձևանմուշը՝ \d{2} |
0..1 | |||||
|
2.17. Համապատասխանության գնահատման մասին փաստաթղթի տեսակի անվանումը (trsdo:ConformityDocKindName) |
համապատասխանության գնահատման մասին փաստաթղթի տեսակի անվանումը |
M.TR.SDE.00260 |
csdo:Name120Type (M.SDT.00055) Պայմանանշանների նորմալացված տողը: Նվազ. երկարությունը՝ 1. Առավ. երկարությունը՝ 120 |
0..1 | |||||
|
2.18. Սերտիֆիկացման սխեմայի ծածկագիրը (trsdo:CertificationSchemeCode) |
սերտիֆիկացման սխեմայի կամ հայտարարագրման սխեմայի ծածկագրային նշագիրը |
M.TR.SDE.00035 |
trsdo:CertificationSchemeCodeType (M.TR.SDT.00267) Համապատասխանության գնահատման սխեմայի ծածկագրի արժեքը՝ Միության տեխնիկական կանոնակարգերի (Մաքսային միության տեխնիկական կանոնակարգերի) ցանկին համապատասխան։ Նվազ. երկարությունը՝ 1. Առավ. երկարությունը՝ 10 |
0..1 | |||||
|
2.19. Պահանջների պահպանումն ապահովող փաստաթղթի վերաբերյալ տեղեկությունները (trcdo:ComplianceProvidingDocDetails) |
այն ստանդարտի կամ այլ փաստաթղթի վերաբերյալ տեղեկատվությունը, որի կիրառման արդյունքում ապահովվում է սահմանված պահանջների պահպանումը |
M.TR.CDE.00860 |
trcdo:ComplianceProvidingDocDetailsType (M.TR.CDT.00010) Որոշվում է ներդրված տարրերի արժեքների տիրույթներով |
0..* | |||||
|
2.19.1. Փաստաթղթի կառուցվածքային տարրի նշագիրը (trcdo:DocStructuralElementDetails) |
ստանդարտի բաժնի (կետի, ենթակետի) նշագիրը, որի կամավոր հիմունքով կիրառման արդյունքում ապահովվում է սահմանված պահանջների պահպանումը |
M.TR.CDE.00056 |
trcdo:DocStructuralElementDetailsType (M.TR.CDT.00011) Որոշվում է ներդրված տարրերի արժեքների տիրույթներով |
0..* | |||||
|
*.1. Փաստաթղթի կառուցվածքային տարրի նույնականացուցիչը (trsdo:DocStructuralElementId) |
փաստաթղթի կառուցվածքային տարրի նույնականացուցիչը |
M.TR.SDE.00078 |
csdo:Id20Type (M.SDT.00092) Պայմանանշանների նորմալացված տողը: Նվազ. երկարությունը՝ 1. Առավ. երկարությունը՝ 20 |
0..1 | |||||
|
*.2. Փաստաթղթի կառուցվածքային տարրի անվանումը (trsdo:DocStructuralElementName) |
փաստաթղթի կառուցվածքային տարրի անվանումը |
M.TR.SDE.00079 |
csdo:Name120Type (M.SDT.00055) Պայմանանշանների նորմալացված տողը: Նվազ. երկարությունը՝ 1. Առավ. երկարությունը՝ 120 |
0..1 | |||||
|
2.19.2. Ստանդարտների ցանկում փաստաթուղթն ընդգրկելու հատկանիշը (trsdo:StandardListIndicator) |
այն ստանդարտների ցանկում փաստաթուղթն ընդգրկելու հատկանիշը, որոնց կամավոր հիմունքով կիրառման արդյունքում ապահովվում է սահմանված պահանջների կատարումը |
M.TR.SDE.00080 |
bdt:IndicatorType (M.BDT.00013) Երկու արժեքներից մեկը. «true» (ճիշտ է) կամ «false» (սխալ է) |
1 | |||||
|
2.19.3. Փաստաթղթի համարը (csdo:DocId) |
փաստաթղթի գրանցման ժամանակ դրան տրվող թվային կամ տառաթվային նշագիրը |
M.SDE.00044 |
csdo:Id50Type (M.SDT.00093) Պայմանանշանների նորմալացված տողը: Նվազ. երկարությունը՝ 1. Առավ. երկարությունը՝ 50 |
0..1 | |||||
|
2.19.4. Փաստաթղթի անվանումը (csdo:DocName) |
փաստաթղթի անվանումը |
M.SDE.00108 |
csdo:Name500Type (M.SDT.00134) Պայմանանշանների նորմալացված տողը: Նվազ. երկարությունը՝ 1. Առավ. երկարությունը՝ 500 |
0..1 | |||||
|
2.19.5. Փաստաթղթի ամսաթիվը (csdo:DocCreationDate) |
փաստաթղթի տրման ամսաթիվը |
M.SDE.00045 |
bdt:DateType (M.BDT.00005) Ամսաթվի նշագիրը՝ ԻՍՕ 8601-ին համապատասխան |
0..1 | |||||
|
2.19.6. Ստանդարտի ծածկագիրը (trsdo:StandardCode) |
ստանդարտի ծածկագրային նշագիրը, որի կամավոր հիմունքով կիրառման արդյունքում ապահովվում է սահմանված պահանջների պահպանումը |
M.TR.SDE.00947 |
csdo:UnifiedCode20Type (M.SDT.00140) Ծածկագրի արժեքն այն տեղեկագրքին (դասակարգչին) համապատասխան, որի նույնականացուցիչը սահմանված է «Տեղեկագրքի (դասակարգչի) նույնականացուցիչը» ատրիբուտում: Նվազ․ երկարությունը՝ 1. Առավ. երկարությունը՝ 20 |
0..1 | |||||
|
ա) տեղեկագրքի (դասակարգչի) նույնականացուցիչը (code List Id ատրիբուտ) |
այն տեղեկագրքի (դասակարգչի) նշագիրը, որին համապատասխան նշված է ծածկագիրը |
- |
csdo:ReferenceDataIdType (M.SDT.00091) Պայմանանշանների նորմալացված տողը: Նվազ. երկարությունը՝ 1. Առավ. երկարությունը՝ 20 |
1 | |||||
|
2.20. Փաստաթղթի գործողության կարգավիճակը (trcdo:DocStatusDetails) |
փաստաթղթի կարգավիճակի փոփոխության մասին տեղեկությունները |
M.TR.CDE.00040 |
trcdo:DocStatusDetailsType (M.TR.CDT.00030) Որոշվում է ներդրված տարրերի արժեքների տիրույթներով |
1 | |||||
|
2.20.1. Փաստաթղթի գործողության կարգավիճակի ծածկագիրը (trsdo:DocStatusCode) |
փաստաթղթի գործողության կարգավիճակի ծածկագրային նշագիրը |
M.TR.SDE.00053 |
trsdo:DocStatusCodeType (M.TR.SDT.00015) Ծածկագրի արժեքը՝ փաստաթղթի գործողության կարգավիճակների դասակարգչին համապատասխան: Ձևանմուշը՝ \d{1,2} |
0..1 | |||||
|
2.20.2. Փաստաթղթի մասին տեղեկությունները (trcdo:DocInformationV2Details) |
այն փաստաթղթի մասին տեղեկատվությունը, որի հիման վրա սահմանվել է փաստաթղթի գործողության կարգավիճակը |
M.TR.CDE.00027 |
trcdo:DocInformationV2DetailsType (M.TR.CDT.00019) Որոշվում է ներդրված տարրերի արժեքների տիրույթներով |
0..1 | |||||
|
*.1. Փաստաթղթի համարը (csdo:DocId) |
փաստաթղթի գրանցման ժամանակ դրան տրված թվային կամ տառաթվային նշագիրը |
M.SDE.00044 |
csdo:Id50Type (M.SDT.00093) Պայմանանշանների նորմալացված տողը: Նվազ. երկարությունը՝ 1. Առավ. երկարությունը՝ 50 |
0..1 | |||||
|
*.2. Փաստաթղթի անվանումը (csdo:DocName) |
փաստաթղթի այն անվանումը, որն անհրաժեշտության դեպքում ներառում է փաստաթղթի տեսակը, ընդունող մարմնի (կազմակերպության) անվանումը և փաստաթղթի սեփական անվանումը |
M.SDE.00108 |
csdo:Name500Type (M.SDT.00134) Պայմանանշանների նորմալացված տողը: Նվազ. երկարությունը՝ 1. Առավ. երկարությունը՝ 500 |
0..1 | |||||
|
*.3. Փաստաթղթի ամսաթիվը (csdo:DocCreationDate) |
փաստաթղթի տրման ամսաթիվը |
M.SDE.00045 |
bdt:DateType (M.BDT.00005) Ամսաթվի նշագիրը՝ ԻՍՕ 8601-ին համապատասխան |
0..1 | |||||
|
2.20.3. Մեկնարկի ամսաթիվը (csdo:StartDate) |
կարգավիճակի գործողության մեկնարկի ամսաթիվը |
M.SDE.00073 |
bdt:DateType (M.BDT.00005) Ամսաթվի նշագիրը՝ ԻՍՕ 8601-ին համապատասխան |
0..1 | |||||
|
2.20.4. Ավարտի ամսաթիվը (csdo:EndDate) |
կարգավիճակի գործողության ավարտի ամսաթիվը |
M.SDE.00074 |
bdt:DateType (M.BDT.00005) Ամսաթվի նշագիրը՝ ԻՍՕ 8601-ին համապատասխան |
0..1 | |||||
|
2.20.5. Ծանոթագրությունը (csdo:NoteText) |
փաստաթղթի գործողության կարգավիճակի փոփոխության պատճառի նկարագրությունը |
M.SDE.00076 |
csdo:Text4000Type (M.SDT.00088) Պայմանանշանների տողը: Նվազ. երկարությունը՝ 1. Առավ. երկարությունը՝ 4000 |
0..1 | |||||
|
2.21. Այլ տեղեկություններ (csdo:AdditionalInfoText) |
լրացուցիչ տեղեկատվություն |
M.SDE.00046 |
csdo:Text4000Type (M.SDT.00088) Պայմանանշանների տողը: Նվազ. երկարությունը՝ 1. Առավ. երկարությունը՝ 4000 |
0..* | |||||
|
2.22. Ընդհանուր ռեսուրսի գրառման տեխնոլոգիական բնութագրերը (ccdo:ResourceItemStatusDetails) |
միասնական ռեեստրի՝ համապատասխանության գնահատման մասին տրված կամ ընդունված փաստաթղթերի գրառման մասին տեղեկատվությունը |
M.CDE.00032 |
ccdo:ResourceItemStatusDetailsType (M.CDT.00033) Որոշվում է ներդրված տարրերի արժեքների տիրույթներով |
1 | |||||
|
2.22.1. Գործողության ժամանակահատվածը (ccdo:ValidityPeriodDetails) |
ընդհանուր ռեսուրսի գրառման (ռեեստրի, ցանկի, տվյալների բազայի) գործողության ժամանակահատվածը |
M.CDE.00033 |
ccdo:PeriodDetailsType (M.CDT.00026) Որոշվում է ներդրված տարրերի արժեքների տիրույթներով |
0..1 | |||||
|
*.1. Սկզբնական ամսաթիվը և ժամը (csdo:StartDateTime) |
մեկնարկի ամսաթիվը և ժամը |
M.SDE.00133 |
bdt:DateTimeType (M.BDT.00006) Ամսաթվի և ժամի նշագիրը՝ ԻՍՕ 8601-ին համապատասխան |
0..1 | |||||
|
*.2. Ավարտի ամսաթիվը և ժամը (csdo:EndDateTime) |
վերջնական ամսաթիվը և ժամը |
M.SDE.00134 |
bdt:DateTimeType (M.BDT.00006) Ամսաթվի և ժամի նշագիրը՝ ԻՍՕ 8601-ին համապատասխան |
0..1 | |||||
|
2.22.2. Թարմացման ամսաթիվը և ժամը (csdo:UpdateDateTime) |
ընդհանուր ռեսուրսի (ռեեստրի, ցանկի, տվյալների բազայի) գրառումը թարմացնելու ամսաթիվը և ժամը |
M.SDE.00079 |
bdt:DateTimeType (M.BDT.00006) Ամսաթվի և ժամի նշագիրը՝ ԻՍՕ 8601-ին համապատասխան |
0..1 | |||||
|
2.23. Սերտիֆիկացման սխեմայի նկարագրությունը (trsdo:CertificationSchemeText) |
սերտիֆիկացման սխեմայի կամ հայտարարագրման սխեմայի տեքստային նկարագրությունը |
M.TR.SDE.00036 |
csdo:Text1000Type (M.SDT.00071) Պայմանանշանների տողը: Նվազ. երկարությունը՝ 1. Առավ. երկարությունը՝ 1000 |
0..1 | |||||
|
2.24. Անդամ պետության լիազորված մարմինը (trcdo:UnifiedAuthorityDetails) |
համապատասխանության վերաբերյալ հայտարարագիրը գրանցած լիազորված մարմնի մասին տեղեկությունները |
M.TR.CDE.00600 |
trcdo:UnifiedAuthorityDetailsType (M.TR.CDT.00601) Որոշվում է ներդրված տարրերի արժեքների տիրույթներով |
0..1 | |||||
|
2.24.1. Երկրի ծածկագիրը (csdo:UnifiedCountryCode) |
երկրի ծածկագրային նշագիրը |
M.SDE.00162 |
csdo:UnifiedCountryCodeType (M.SDT.00112) Երկրի երկտառ ծածկագրի արժեքն այն տեղեկագրքին (դասակարգչին) համապատասխան, որի նույնականացուցիչը սահմանված է «Տեղեկագրքի (դասակարգչի) նույնականացուցիչը» ատրիբուտում: Ձևանմուշը՝ [A-Z]{2} |
0..1 | |||||
|
ա) տեղեկագրքի (դասակարգչի) նույնականացուցիչը (code List Id ատրիբուտ) |
այն տեղեկագրքի (դասակարգչի) նշագիրը, որին համապատասխան նշված է ծածկագիրը |
- |
csdo:ReferenceDataIdType (M.SDT.00091) Պայմանանշանների նորմալացված տողը Նվազ. երկարությունը՝ 1. Առավ. երկարությունը՝ 20 |
1 | |||||
|
2.24.2. Լիազորված մարմնի նույնականացուցիչը (csdo:AuthorityId) |
լիազորված մարմնի եզակի նույնականացուցիչը |
M.SDE.00068 |
csdo:Id20Type (M.SDT.00092) Պայմանանշանների նորմալացված տողը: Նվազ. երկարությունը՝ 1. Առավ. երկարությունը՝ 20 |
0..1 | |||||
|
2.24.3. Լիազորված մարմնի անվանումը (csdo:AuthorityName) |
պետական իշխանության մարմնի կամ դրա կողմից լիազորված կազմակերպության լրիվ անվանումը |
M.SDE.00066 |
csdo:Name300Type (M.SDT.00056) Պայմանանշանների նորմալացված տողը: Նվազ. երկարությունը՝ 1. Առավ. երկարությունը՝ 300 |
0..1 | |||||
|
2.24.4. Լիազորված մարմնի կրճատ անվանումը (csdo:AuthorityBriefName) |
լիազորված մարմնի կրճատ անվանումը |
M.SDE.00126 |
csdo:Name120Type (M.SDT.00055) Պայմանանշանների նորմալացված տողը: Նվազ. երկարությունը՝ 1. Առավ. երկարությունը՝ 120 |
0..1 | |||||
|
2.24.5. Հասցեն (ccdo:AddressV4Details) |
լիազորված մարմնի հասցեն |
M.CDE.00076 |
ccdo:AddressDetailsV4Type (M.CDT.00079) Որոշվում է ներդրված տարրերի արժեքների տիրույթներով |
0..* | |||||
|
*.1. Հասցեի տեսակի ծածկագիրը (csdo:AddressKindCode) |
հասցեի տեսակի ծածկագրային նշագիրը |
M.SDE.00192 |
csdo:AddressKindCodeType (M.SDT.00162) Ծածկագրի արժեքը՝ հասցեների տեսակների տեղեկագրքին համապատասխան։ Նվազ. երկարությունը՝ 1. Առավ. երկարությունը՝ 20 |
0..1 | |||||
|
*.2. Երկրի ծածկագիրը (csdo:UnifiedCountryCode) |
երկրի ծածկագրային նշագիրը |
M.SDE.00162 |
csdo:UnifiedCountryCodeType (M.SDT.00112) Երկրի երկտառ ծածկագրի արժեք այն տեղեկագրքին (դասակարգչին) համապատասխան, որի նույնականացուցիչը սահմանված է «Տեղեկագրքի (դասակարգչի) նույնականացուցիչը» ատրիբուտում։ Ձևանմուշը՝ [A-Z]{2} |
0..1 | |||||
|
ա) տեղեկագրքի (դասակարգչի) նույնականացուցիչը (code List Id ատրիբուտ) |
այն տեղեկագրքի (դասակարգչի) նշագիրը, որին համապատասխան նշված է ծածկագիրը |
- |
csdo:ReferenceDataIdType (M.SDT.00091) Պայմանանշանների նորմալացված տողը: Նվազ. երկարությունը՝ 1. Առավ. երկարությունը՝ 20 |
1 | |||||
|
*.3. Տարածքի ծածկագիրը (csdo:TerritoryCode) |
վարչատարածքային բաժանման միավորի ծածկագիրը |
M.SDE.00031 |
csdo:TerritoryCodeType (M.SDT.00031) Պայմանանշանների նորմալացված տողը: Նվազ. երկարությունը՝ 1. Առավ. երկարությունը՝ 17 |
0..1 | |||||
|
*.4. Տարածաշրջանը (csdo:RegionName) |
առաջին մակարդակի վարչատարածքային բաժանման միավորի անվանումը |
M.SDE.00007 |
csdo:Name120Type (M.SDT.00055) Պայմանանշանների նորմալացված տողը: Նվազ. երկարությունը՝ 1. Առավ. երկարությունը՝ 120 |
0..1 | |||||
|
*.5. Շրջանը (csdo:DistrictName) |
երկրորդ մակարդակի վարչատարածքային բաժանման միավորի անվանումը |
M.SDE.00008 |
csdo:Name120Type (M.SDT.00055) Պայմանանշանների նորմալացված տողը: Նվազ. երկարությունը՝ 1. Առավ. երկարությունը՝ 120 |
0..1 | |||||
|
*.6. Քաղաքը (csdo:CityName) |
քաղաքի անվանումը |
M.SDE.00009 |
csdo:Name120Type (M.SDT.00055) Պայմանանշանների նորմալացված տողը: Նվազ. երկարությունը՝ 1. Առավ. երկարությունը՝ 120 |
0..1 | |||||
|
*.7. Բնակավայրը (csdo:SettlementName) |
բնակավայրի անվանումը |
M.SDE.00057 |
csdo:Name120Type (M.SDT.00055) Պայմանանշանների նորմալացված տողը: Նվազ. երկարությունը՝ 1. Առավ. երկարությունը՝ 120 |
0..1 | |||||
|
*.8. Փողոցը (csdo:StreetName) |
քաղաքային ենթակառուցվածքի փողոցաճանապարհային ցանցի տարրի անվանումը |
M.SDE.00010 |
csdo:Name120Type (M.SDT.00055) Պայմանանշանների նորմալացված տողը: Նվազ. երկարությունը՝ 1. Առավ. երկարությունը՝ 120 |
0..1 | |||||
|
*.9. Շենքի համարը (csdo:BuildingNumberId) |
շենքի, մասնաշենքի, շինության նշագիրը |
M.SDE.00011 |
csdo:Id50Type (M.SDT.00093) Պայմանանշանների նորմալացված տողը: Նվազ. երկարությունը՝ 1. Առավ. երկարությունը՝ 50 |
0..1 | |||||
|
*.10. Սենքի համարը (csdo:RoomNumberId) |
գրասենյակի կամ բնակարանի նշագիրը |
M.SDE.00012 |
csdo:Id20Type (M.SDT.00092) Պայմանանշանների նորմալացված տողը: Նվազ. երկարությունը՝ 1. Առավ. երկարությունը՝ 20 |
0..1 | |||||
|
*.11. Փոստային դասիչը (csdo:PostCode) |
փոստային կապի ձեռնարկության փոստային դասիչը |
M.SDE.00006 |
csdo:PostCodeType (M.SDT.00006) Պայմանանշանների նորմալացված տողը: Ձևանմուշը՝ [A-Z0-9][A-Z0-9 -]{1,8}[A-Z0-9] |
0..1 | |||||
|
*.12. Բաժանորդային արկղի համարը (csdo:PostOfficeBoxId) |
փոստային կապի ձեռնարկությունում բաժանորդային արկղի համարը |
M.SDE.00013 |
csdo:Id20Type (M.SDT.00092) Պայմանանշանների նորմալացված տողը: Նվազ. երկարությունը՝ 1. Առավ. երկարությունը՝ 20 |
0..1 | |||||
|
*.13. Հասցեն՝ տեքստի ձևով (csdo:AddressText) |
հասցեի տարրերի հավաքածուն՝ տեքստի տեսքով ազատ ձևով ներկայացված |
M.SDE.00005 |
csdo:Text1000Type (M.SDT.00071) Պայմանանշանների տողը: Նվազ. երկարությունը՝ 1. Առավ. երկարությունը՝ 1000 |
0..1 | |||||
|
2.24.6. Կոնտակտային վավերապայմանը (ccdo:CommunicationDetails) |
կոնտակտային վավերապայմանը՝ կապի միջոցի (կապուղու) եղանակի և նույնականացուցչի նշմամբ |
M.CDE.00003 |
ccdo:CommunicationDetailsType (M.CDT.00003) Որոշվում է ներդրված տարրերի արժեքների տիրույթներով |
0..* | |||||
|
*.1. Կապի տեսակի ծածկագիրը (csdo:CommunicationChannelCode) |
կապի միջոցի (կապուղու) տեսակի (հեռախոս, ֆաքս, էլեկտրոնային փոստ և այլն) ծածկագրային նշագիրը |
M.SDE.00014 |
csdo:CommunicationChannelCodeV2Type (M.SDT.00163) Ծածկագրի արժեքը՝ կապի միջոցների (ուղիների) տեսակների ցանկին համապատասխան։ Նվազ. երկարությունը՝ 1. Առավ. երկարությունը՝ 20 |
0..1 | |||||
|
*.2. Կապի տեսակի անվանումը (csdo:CommunicationChannelName) |
կապի միջոցի (կապուղու) տեսակի (հեռախոս, ֆաքս, էլեկտրոնային փոստ և այլն) անվանումը |
M.SDE.00093 |
csdo:Name120Type (M.SDT.00055) Պայմանանշանների նորմալացված տողը: Նվազ. երկարությունը՝ 1. Առավ. երկարությունը՝ 120 |
0..1 | |||||
|
*.3. Կապուղու նույնականացուցիչը (csdo:CommunicationChannelId) |
կապուղին նույնականացնող պայմանանշանների հաջորդականությունը (հեռախոսահամարի, ֆաքսի, էլեկտրոնային փոստի հասցեի և այլնի նշում) |
M.SDE.00015 |
csdo:CommunicationChannelIdType (M.SDT.00015) Պայմանանշանների նորմալացված տողը: Նվազ. երկարությունը՝ 1. Առավ. երկարությունը՝ 1000 |
1..* | |||||
|
2.24.7. Կազմակերպության ղեկավարը (trcdo:OfficerDetails) |
կազմակերպության ղեկավարը կամ լիազորված անձը |
M.TR.CDE.00601 |
ccdo:OfficerDetailsType (M.CDT.00031) Որոշվում է ներդրված տարրերի արժեքների տիրույթներով |
0..1 | |||||
|
*.1. Ա.Ա.Հ.-ն (ccdo:FullNameDetails) |
ազգանունը, անունը, հայրանունը |
M.CDE.00029 |
ccdo:FullNameDetailsType (M.CDT.00016) Որոշվում է ներդրված տարրերի արժեքների տիրույթներով |
1 | |||||
|
*.1.1. Անունը (csdo:FirstName) |
ֆիզիկական անձի անունը |
M.SDE.00109 |
csdo:Name120Type (M.SDT.00055) Պայմանանշանների նորմալացված տողը: Նվազ. երկարությունը՝ 1. Առավ. երկարությունը՝ 120 |
0..1 | |||||
|
*.1.2. Հայրանունը (csdo:MiddleName) |
ֆիզիկական անձի հայրանունը (երկրորդ կամ միջին անունը) |
M.SDE.00111 |
csdo:Name120Type (M.SDT.00055) Պայմանանշանների նորմալացված տողը: Նվազ. երկարությունը՝ 1. Առավ. երկարությունը՝ 120 |
0..1 | |||||
|
*.1.3. Ազգանունը (csdo:LastName) |
ֆիզիկական անձի ազգանունը |
M.SDE.00110 |
csdo:Name120Type (M.SDT.00055) Պայմանանշանների նորմալացված տողը: Նվազ. երկարությունը՝ 1. Առավ. երկարությունը՝ 120 |
0..1 | |||||
|
*.2. Պաշտոնի անվանումը (csdo:PositionName) |
աշխատակցի պաշտոնի անվանումը |
M.SDE.00127 |
csdo:Name120Type (M.SDT.00055) Պայմանանշանների նորմալացված տողը: Նվազ. երկարությունը՝ 1. Առավ. երկարությունը՝ 120 |
0..1 | |||||
|
*.3. Կոնտակտային վավերապայմանը (ccdo:CommunicationDetails) |
պաշտոնատար անձի կոնտակտային վավերապայմանը |
M.CDE.00003 |
ccdo:CommunicationDetailsType (M.CDT.00003) Որոշվում է ներդրված տարրերի արժեքների տիրույթներով |
0..* | |||||
|
*.3.1. Կապի տեսակի ծածկագիրը (csdo:CommunicationChannelCode) |
կապի միջոցի (կապուղու) տեսակի (հեռախոս, ֆաքս, էլեկտրոնային փոստ և այլն) ծածկագրային նշագիրը |
M.SDE.00014 |
csdo:CommunicationChannelCodeV2Type (M.SDT.00163) Ծածկագրի արժեքը՝ կապի միջոցների (ուղիների) տեսակների ցանկին համապատասխան։ Նվազ. երկարությունը՝ 1. Առավ. երկարությունը՝ 20 |
0..1 | |||||
|
*.3.2. Կապի տեսակի անվանումը (csdo:CommunicationChannelName) |
կապի միջոցի (կապուղու) տեսակի (հեռախոս, ֆաքս, էլեկտրոնային փոստ և այլն) անվանումը |
M.SDE.00093 |
csdo:Name120Type (M.SDT.00055) Պայմանանշանների նորմալացված տողը: Նվազ. երկարությունը՝ 1. Առավ. երկարությունը՝ 120 |
0..1 | |||||
|
*.3.3. Կապուղու նույնականացուցիչը (csdo:CommunicationChannelId) |
կապուղին նույնականացնող պայմանանշանների հաջորդականությունը (հեռախոսահամարի, ֆաքսի, էլեկտրոնային փոստի հասցեի և այլնի նշում) |
M.SDE.00015 |
csdo:CommunicationChannelIdType (M.SDT.00015) Պայմանանշանների նորմալացված տողը: Նվազ. երկարությունը՝ 1. Առավ. երկարությունը՝ 1000 |
1..* | |||||
|
2.25. Էլեկտրոնային փաստաթղթի հատկանիշը (csdo:EDocIndicatorCode) |
հատկանիշ, որը ցույց է տալիս, որ համապատասխանության գնահատման վերաբերյալ փաստաթուղթը ձևակերպվել է էլեկտրոնային եղանակով «ԷՓ»՝ էլեկտրոնային եղանակով․ «00»՝ այլ եղանակով․ |
M.SDE.00357 |
csdo:EDocIndicatorCodeType (M.SDT.00219) էլեկտրոնային փաստաթղթի ներկայացման հատկանիշի ծածկագրային նշագիրը։ Ձևանմուշը՝ (ԷՓ)|(ՕՕ) |
0..1 | |||||
|
2.26. Փոխարինվող փաստաթղթի մասին տեղեկությունները (trcdo:ReplacedDocDetails) |
փոխարինման ենթակա համապատասխանության գնահատման վերաբերյալ փաստաթղթի մասին տեղեկությունները |
M.TR.CDE.00862 |
ccdo:DocDetailsV4Type (M.CDT.00081) Որոշվում է ներդրված տարրերի արժեքների տիրույթներով |
0..1 | |||||
|
2.26.1. Փաստաթղթի տեսակի ծածկագիրը (csdo:DocKindCode) |
փաստաթղթի տեսակի ծածկագրային նշագիրը |
M.SDE.00054 |
csdo:UnifiedCode20Type (M.SDT.00140) Ծածկագրի արժեքն այն տեղեկագրքին (դասակարգչին) համապատասխան, որի նույնականացուցիչը սահմանված է «Տեղեկագրքի (դասակարգչի) նույնականացուցիչը» ատրիբուտում: Նվազ․ երկարությունը՝ 1. Առավ. երկարությունը՝ 20 |
0..1 | |||||
|
ա) տեղեկագրքի (դասակարգչի) նույնականացուցիչը (code List Id ատրիբուտ) |
այն տեղեկագրքի (դասակարգչի) նշագիրը, որին համապատասխան նշված է ծածկագիրը |
- |
csdo:ReferenceDataIdType (M.SDT.00091) Պայմանանշանների նորմալացված տողը: Նվազ. երկարությունը՝ 1. Առավ. երկարությունը՝ 20 |
1 | |||||
|
2.26.2. Փաստաթղթի անվանումը (csdo:DocName) |
փաստաթղթի անվանումը |
M.SDE.00108 |
csdo:Name500Type (M.SDT.00134) Պայմանանշանների նորմալացված տողը: Նվազ. երկարությունը՝ 1. Առավ. երկարությունը՝ 500 |
0..1 | |||||
|
2.26.3. Փաստաթղթի համարը (csdo:DocId) |
փաստաթղթի գրանցման ժամանակ դրան տրված թվային կամ տառաթվային նշագիրը |
M.SDE.00044 |
csdo:Id50Type (M.SDT.00093) Պայմանանշանների նորմալացված տողը: Նվազ. երկարությունը՝ 1. Առավ. երկարությունը՝ 50 |
0..1 | |||||
|
2.26.4. Փաստաթղթի ամսաթիվը (csdo:DocCreationDate) |
փաստաթղթի տրման, ստորագրման, հաստատման կամ գրանցման ամսաթիվը |
M.SDE.00045 |
bdt:DateType (M.BDT.00005) Ամսաթվի նշագիրը՝ ԻՍՕ 8601-ին համապատասխան |
0..1 | |||||
|
2.27. Սերիական թողարկման արտադրանքի վրա տարածման հատկանիշը (trsdo:SerialDistributionIndicator) |
սերիական թողարկման արտադրանքի վրա համապատասխանության գնահատման վերաբերյալ փաստաթղթի տարածման հատկանիշը |
M.TR.SDE.00656 |
bdt:IndicatorType (M.BDT.00013) Երկու արժեքներից մեկը. «true» (ճիշտ է) կամ «false» (սխալ է) |
0..1 | |||||
|
2.28. Արտադրանքի նմուշների (փորձանմուշների) պատրաստման ամսաթիվը (trsdo:SamplesManufacturedDate) |
հետազոտություններ (փորձարկումներ) և չափումներ անցած արտադրանքի ընտրված նմուշների (փորձանմուշների) պատրաստման ամսաթիվը |
M.TR.SDE.00657 |
bdt:DateType (M.BDT.00005) Ամսաթվի նշագիրը՝ ԻՍՕ 8601-ին համապատասխան |
0..1 | |||||
|
2.29. Կրկնօրինակի մասին տեղեկությունները (trcdo:DuplicateDetails) |
համապատասխանության գնահատման վերաբերյալ փաստաթղթի տրամադրված կրկնօրինակի մասին տեղեկությունները |
M.TR.CDE.00864 |
trcdo:DuplicateDetailsType (M.TR.CDT.00784) Որոշվում է ներդրված տարրերի արժեքների տիրույթներով |
0..1 | |||||
|
2.29.1. Փաստաթղթի ձևաթղթի համարը (csdo:FormNumberId) |
համապատասխանության գնահատման վերաբերյալ փաստաթղթի տրամադրված կրկնօրինակի ձևաթղթի համարը |
M.SDE.00142 |
csdo:Id50Type (M.SDT.00093) Պայմանանշանների նորմալացված տողը: Նվազ. երկարությունը՝ 1. Առավ. երկարությունը՝ 50 |
1 | |||||
|
2.29.2. Փաստաթղթի ամսաթիվը (csdo:DocCreationDate) |
համապատասխանության գնահատման վերաբերյալ փաստաթղթի կրկնօրինակի տրամադրման ամսաթիվը |
M.SDE.00045 |
bdt:DateType (M.BDT.00005) Ամսաթվի նշագիրը՝ ԻՍՕ 8601-ին համապատասխան |
1 | |||||
|
2.30. Արտադրողի հետ կնքված պայմանագրի մասին տեղեկությունները (trcdo:ManufacturerContractDetails) |
տեխնիկական կանոնակարգի (տեխնիկական կանոնակարգերի) պահանջներին Միության մաքսային տարածք մատակարարվող արտադրանքի համապատասխանության ապահովումը և նշված պահանջներին այդ արտադրանքի անհամապատասխանության համար պատասխանատվություն նախատեսող՝ արտադրողի հետ կնքված պայմանագրի մասին տեղեկությունները |
M.TR.CDE.00865 |
ccdo:DocDetailsV4Type (M.CDT.00081) Որոշվում է ներդրված տարրերի արժեքների տիրույթներով |
0..1 | |||||
|
2.30.1. Փաստաթղթի տեսակի ծածկագիրը (csdo:DocKindCode) |
փաստաթղթի տեսակի ծածկագրային նշագիրը |
M.SDE.00054 |
csdo:UnifiedCode20Type (M.SDT.00140) Ծածկագրի արժեքն այն տեղեկագրքին (դասակարգչին) համապատասխան, որի նույնականացուցիչը սահմանված է «Տեղեկագրքի (դասակարգչի) նույնականացուցիչը» ատրիբուտում: Նվազ․ երկարությունը՝ 1. Առավ. երկարությունը՝ 20 |
0..1 | |||||
|
ա) տեղեկագրքի (դասակարգչի) նույնականացուցիչը (code List Id ատրիբուտ) |
այն տեղեկագրքի (դասակարգչի) նշագիրը, որին համապատասխան նշված է ծածկագիրը |
- |
csdo:ReferenceDataIdType (M.SDT.00091) Պայմանանշանների նորմալացված տողը: Նվազ. երկարությունը՝ 1. Առավ. երկարությունը՝ 20 |
1 | |||||
|
2.30.2. Փաստաթղթի անվանումը (csdo:DocName) |
փաստաթղթի անվանումը |
M.SDE.00108 |
csdo:Name500Type (M.SDT.00134) Պայմանանշանների նորմալացված տողը: Նվազ. երկարությունը՝ 1. Առավ. երկարությունը՝ 500 |
0..1 | |||||
|
2.30.3. Փաստաթղթի համարը (csdo:DocId) |
փաստաթղթի գրանցման ժամանակ դրան տրված թվային կամ տառաթվային նշագիրը |
M.SDE.00044 |
csdo:Id50Type (M.SDT.00093) Պայմանանշանների նորմալացված տողը: Նվազ. երկարությունը՝ 1. Առավ. երկարությունը՝ 50 |
0..1 | |||||
|
2.30.4. Փաստաթղթի ամսաթիվը (csdo:DocCreationDate) |
փաստաթղթի տրման, ստորագրման, հաստատման կամ գրանցման ամսաթիվը |
M.SDE.00045 |
bdt:DateType (M.BDT.00005) Ամսաթվի նշագիրը՝ ԻՍՕ 8601-ին համապատասխան |
0..1 | |||||
|
2.31. Տեխնիկական կանոնակարգման օբյեկտի տեսակի ծածկագիրը (trsdo:TechnicalRegulationObjectKindCode) |
տեխնիկական կանոնակարգման օբյեկտի տեսակի ծածկագրային նշագիրը |
M.TR.SDE.00026 |
trsdo:TechnicalRegulationObjectKindCodeType (M.TR.SDT.00005) Ծածկագրի նշանակությունը՝ տեխնիկական կանոնակարգման օբյեկտի տեսակների դասակարգչին համապատասխան: Ձևանմուշը՝ \d{1.10} |
1 | |||||
|
2.32. Տեխնիկական կանոնակարգման օբյեկտի տեսակի անվանումը (trsdo :ТechnicalRegulationObjectKindName) |
տեխնիկական կանոնակարգման օբյեկտի տեսակի անվանումը |
M.TR.SDE.00264 |
csdo:Name120Type (M.SDT.00055) Պայմանանշանների նորմալացված տողը: Նվազ. երկարությունը՝ 1. Առավ. երկարությունը՝ 120 |
0..1 | |||||
|
2.33. Արտադրողը (trcdo:ManufacturerDetails) |
արտադրանքն արտադրողի մասին տեղեկատվությունը |
M.TR.CDE.00004 |
trcdo:ManufacturerDetailsType (M.TR.CDT.00782) Որոշվում է ներդրված տարրերի արժեքների տիրույթներով |
1..* | |||||
|
2.33.1. Երկրի ծածկագիրը (csdo:UnifiedCountryCode) |
տնտեսավարող սուբյեկտի գրանցման երկրի ծածկագրային նշագիրը |
M.SDE.00162 |
csdo:UnifiedCountryCodeType (M.SDT.00112) Երկրի երկտառ ծածկագրի արժեք այն տեղեկագրքին (դասակարգչին) համապատասխան, որի նույնականացուցիչը սահմանված է «Տեղեկագրքի (դասակարգչի) նույնականացուցիչը» ատրիբուտում։ Ձևանմուշը՝ [A-Z]{2} |
0..1 | |||||
|
ա) տեղեկագրքի (դասակարգչի) նույնականացուցիչը (code List Id ատրիբուտ) |
այն տեղեկագրքի (դասակարգչի) նշագիրը, որին համապատասխան նշված է ծածկագիրը |
- |
csdo:ReferenceDataIdType (M.SDT.00091) Պայմանանշանների նորմալացված տողը: Նվազ. երկարությունը՝ 1. Առավ. երկարությունը՝ 20 |
1 | |||||
|
2.33.2. Տնտեսավարող սուբյեկտի անվանումը (csdo:BusinessEntityName) |
տնտեսավարող սուբյեկտի լրիվ անվանումը կամ տնտեսական գործունեություն վարող ֆիզիկական անձի ազգանունը, անունը և հայրանունը |
M.SDE.00187 |
csdo:Name300Type (M.SDT.00056) Պայմանանշանների նորմալացված տողը: Նվազ. երկարությունը՝ 1. Առավ. երկարությունը՝ 300 |
1 | |||||
|
2.33.3. Տնտեսավարող սուբյեկտի կրճատ անվանումը (csdo:BusinessEntityBriefName) |
տնտեսավարող սուբյեկտի կրճատ անվանումը կամ տնտեսական գործունեություն վարող ֆիզիկական անձի ազգանունը, անունը և հայրանունը |
M.SDE.00188 |
csdo:Name120Type (M.SDT.00055) Պայմանանշանների նորմալացված տողը: Նվազ. երկարությունը՝ 1. Առավ. երկարությունը՝ 120 |
0..1 | |||||
|
2.33.4. Կազմակերպաիրավական ձևի ծածկագիրը (csdo:BusinessEntityTypeCode) |
այն կազմակերպաիրավական ձևի ծածկագրային նշագիրը, որով գրանցված է տնտեսավարող սուբյեկտը |
M.SDE.00023 |
csdo:UnifiedCode20Type (M.SDT.00140) Ծածկագրի արժեքն այն տեղեկագրքին (դասակարգչին) համապատասխան, որի նույնականացուցիչը սահմանված է «Տեղեկագրքի (դասակարգչի) նույնականացուցիչը» ատրիբուտում: Նվազ․ երկարությունը՝ 1. Առավ. երկարությունը՝ 20 |
0..1 | |||||
|
ա) տեղեկագրքի (դասակարգչի) նույնականացուցիչը (code List Id ատրիբուտ) |
այն տեղեկագրքի (դասակարգչի) նշագիրը, որին համապատասխան նշված է ծածկագիրը |
- |
csdo:ReferenceDataIdType (M.SDT.00091) Պայմանանշանների նորմալացված տողը: Նվազ. երկարությունը՝ 1. Առավ. երկարությունը՝ 20 |
1 | |||||
|
2.33.5. Կազմակերպաիրավական ձևի անվանումը (csdo:BusinessEntityTypeName) |
այն կազմակերպաիրավական ձևի անվանումը, որով գրանցված է տնտեսավարող սուբյեկտը |
M.SDE.00090 |
csdo:Name300Type (M.SDT.00056) Պայմանանշանների նորմալացված տողը: Նվազ. երկարությունը՝ 1. Առավ. երկարությունը՝ 300 |
0..1 | |||||
|
2.33.6. Տնտեսավարող սուբյեկտի նույնականացուցիչը (csdo:BusinessEntityId) |
պետական գրանցման ժամանակ տրված գրառման համարը (ծածկագիրը)՝ ըստ ռեեստրի (ռեգիստրի) |
M.SDE.00189 |
csdo:BusinessEntityIdType (M.SDT.00157) Պայմանանշանների նորմալացված տողը: Նվազ. երկարությունը՝ 1. Առավ. երկարությունը՝ 20 |
0..1 | |||||
|
ա) նույնականացման մեթոդը (kind Id ատրիբուտ) |
տնտեսավարող սուբյեկտների նույնականացման մեթոդը |
- |
csdo:BusinessEntityIdKindIdType (M.SDT.00158) Տնտեսավարող սուբյեկտների նույնականացման մեթոդների տեղեկագրքից նույնականացուցչի արժեքը։ Նվազ. երկարությունը՝ 1. Առավ. երկարությունը՝ 20 |
1 | |||||
|
2.33.7. Հասցեն (ccdo:AddressV4Details) |
տնտեսավարող սուբյեկտի հասցեն |
M.CDE.00076 |
ccdo:AddressDetailsV4Type (M.CDT.00079) Որոշվում է ներդրված տարրերի արժեքների տիրույթներով |
1..* | |||||
|
*.1. Հասցեի տեսակի ծածկագիրը (csdo:AddressKindCode) |
հասցեի տեսակի ծածկագրային նշագիրը |
M.SDE.00192 |
csdo:AddressKindCodeType (M.SDT.00162) Ծածկագրի արժեքը՝ հասցեների տեսակների տեղեկագրքին համապատասխան։ Նվազ. երկարությունը՝ 1. Առավ. երկարությունը՝ 20 |
0..1 | |||||
|
*.2. Երկրի ծածկագիրը (csdo:UnifiedCountryCode) |
երկրի ծածկագրային նշագիր |
M.SDE.00162 |
csdo:UnifiedCountryCodeType (M.SDT.00112) Երկրի երկտառ ծածկագրի արժեք այն տեղեկագրքին (դասակարգչին) համապատասխան, որի նույնականացուցիչը սահմանված է «Տեղեկագրքի (դասակարգչի) նույնականացուցիչը» ատրիբուտում։ Ձևանմուշը՝ [A-Z]{2} |
0..1 | |||||
|
ա) տեղեկագրքի (դասակարգչի) նույնականացուցիչը (code List Id ատրիբուտ) |
այն տեղեկագրքի (դասակարգչի) նշագիրը, որին համապատասխան նշված է ծածկագիրը |
- |
csdo:ReferenceDataIdType (M.SDT.00091) Պայմանանշանների նորմալացված տողը: Նվազ. երկարությունը՝ 1. Առավ. երկարությունը՝ 20 |
1 | |||||
|
*.3. Տարածքի ծածկագիրը (csdo:TerritoryCode) |
վարչատարածքային բաժանման միավորի ծածկագիրը |
M.SDE.00031 |
csdo:TerritoryCodeType (M.SDT.00031) Պայմանանշանների նորմալացված տողը: Նվազ. երկարությունը՝ 1. Առավ. երկարությունը՝ 17 |
0..1 | |||||
|
*.4. Տարածաշրջանը (csdo:RegionName) |
առաջին մակարդակի վարչատարածքային բաժանման միավորի անվանումը |
M.SDE.00007 |
csdo:Name120Type (M.SDT.00055) Պայմանանշանների նորմալացված տողը: Նվազ. երկարությունը՝ 1. Առավ. երկարությունը՝ 120 |
0..1 | |||||
|
*.5. Շրջանը (csdo:DistrictName) |
երկրորդ մակարդակի վարչատարածքային բաժանման միավորի անվանումը |
M.SDE.00008 |
csdo:Name120Type (M.SDT.00055) Պայմանանշանների նորմալացված տողը: Նվազ. երկարությունը՝ 1. Առավ. երկարությունը՝ 120 |
0..1 | |||||
|
*.6. Քաղաքը (csdo:CityName) |
քաղաքի անվանումը |
M.SDE.00009 |
csdo:Name120Type (M.SDT.00055) Պայմանանշանների նորմալացված տողը: Նվազ. երկարությունը՝ 1. Առավ. երկարությունը՝ 120 |
0..1 | |||||
|
*.7. Բնակավայրը (csdo:SettlementName) |
բնակավայրի անվանումը |
M.SDE.00057 |
csdo:Name120Type (M.SDT.00055) Պայմանանշանների նորմալացված տողը: Նվազ. երկարությունը՝ 1. Առավ. երկարությունը՝ 120 |
0..1 | |||||
|
*.8. Փողոցը (csdo:StreetName) |
քաղաքային ենթակառուցվածքի փողոցաճանապարհային ցանցի տարրի անվանումը |
M.SDE.00010 |
csdo:Name120Type (M.SDT.00055) Պայմանանշանների նորմալացված տողը: Նվազ. երկարությունը՝ 1. Առավ. երկարությունը՝ 120 |
0..1 | |||||
|
*.9. Շենքի համարը (csdo:BuildingNumberId) |
շենքի, մասնաշենքի, շինության նշագիրը |
M.SDE.00011 |
csdo:Id50Type (M.SDT.00093) Պայմանանշանների նորմալացված տողը: Նվազ. երկարությունը՝ 1. Առավ. երկարությունը՝ 50 |
0..1 | |||||
|
*.10. Սենքի համարը (csdo:RoomNumberId) |
գրասենյակի կամ բնակարանի նշագիրը |
M.SDE.00012 |
csdo:Id20Type (M.SDT.00092) Պայմանանշանների նորմալացված տողը: Նվազ. երկարությունը՝ 1. Առավ. երկարությունը՝ 20 |
0..1 | |||||
|
*.11. Փոստային դասիչը (csdo:PostCode) |
փոստային կապի ձեռնարկության փոստային դասիչը |
M.SDE.00006 |
csdo:PostCodeType (M.SDT.00006) Պայմանանշանների նորմալացված տողը: Ձևանմուշը՝ [A-Z0-9][A-Z0-9 -]{1,8}[A-Z0-9] |
0..1 | |||||
|
*.12. Բաժանորդային արկղի համարը (csdo:PostOfficeBoxId) |
փոստային կապի ձեռնարկությունում բաժանորդային արկղի համարը |
M.SDE.00013 |
csdo:Id20Type (M.SDT.00092) Պայմանանշանների նորմալացված տողը: Նվազ. երկարությունը՝ 1. Առավ. երկարությունը՝ 20 |
0..1 | |||||
|
*.13. Հասցեն՝ տեքստի ձևով (csdo:AddressText) |
հասցեի տարրերի հավաքածուն՝ տեքստի տեսքով ազատ ձևով ներկայացված |
M.SDE.00005 |
csdo:Text1000Type (M.SDT.00071) Պայմանանշանների տողը: Նվազ. երկարությունը՝ 1. Առավ. երկարությունը՝ 1000 |
0..1 | |||||
|
2.33.8. Կոնտակտային վավերապայմանը (ccdo:CommunicationDetails) |
կոնտակտային վավերապայմանը՝ կապի միջոցի (կապուղու) եղանակի և նույնականացուցչի նշմամբ |
M.CDE.00003 |
ccdo:CommunicationDetailsType (M.CDT.00003) Որոշվում է ներդրված տարրերի արժեքների տիրույթներով |
0..* | |||||
|
*.1. Կապի տեսակի ծածկագիրը (csdo:CommunicationChannelCode) |
կապի միջոցի (կապուղու) տեսակի (հեռախոս, ֆաքս, էլեկտրոնային փոստ և այլն) ծածկագրային նշագիրը |
M.SDE.00014 |
csdo:CommunicationChannelCodeV2Type (M.SDT.00163) Ծածկագրի արժեքը՝ կապի միջոցների (ուղիների) տեսակների ցանկին համապատասխան։ Նվազ. երկարությունը՝ 1. Առավ. երկարությունը՝ 20 |
0..1 | |||||
|
*.2. Կապի տեսակի անվանումը (csdo:CommunicationChannelName) |
կապի միջոցի (կապուղու) տեսակի (հեռախոս, ֆաքս, էլեկտրոնային փոստ և այլն) անվանումը |
M.SDE.00093 |
csdo:Name120Type (M.SDT.00055) Պայմանանշանների նորմալացված տողը: Նվազ. երկարությունը՝ 1. Առավ. երկարությունը՝ 120 |
0..1 | |||||
|
*.3. Կապուղու նույնականացուցիչը (csdo:CommunicationChannelId) |
կապուղին նույնականացնող պայմանանշանների հաջորդականությունը (հեռախոսահամարի, ֆաքսի, էլեկտրոնային փոստի հասցեի և այլնի նշում) |
M.SDE.00015 |
csdo:CommunicationChannelIdType (M.SDT.00015) Պայմանանշանների նորմալացված տողը: Նվազ. երկարությունը՝ 1. Առավ. երկարությունը՝ 1000 |
1..* | |||||
|
2.33.9. Արտադրողի մասնաճյուղը (trcdo:ManufacturerBranchDetails) |
արտադրողի մասնաճյուղի մասին տեղեկատվություն |
M.TR.CDE.00069 |
trcdo:BusinessEntityUnitDetailsType (M.TR.CDT.00779) Որոշվում է ներդրված տարրերի արժեքների տիրույթներով |
0..* | |||||
|
*.1. Տնտեսավարող սուբյեկտի ստորաբաժանման անվանումը (csdo:BusinessEntityUnitName) |
Տնտեսավարող սուբյեկտի կառուցվածքային ստորաբաժանման անվանումը |
M.SDE.00330 |
csdo:Name300Type (M.SDT.00056) Պայմանանշանների նորմալացված տողը: Նվազ. երկարությունը՝ 1. Առավ. երկարությունը՝ 300 |
0..1 | |||||
|
*.2. Հասցեն (ccdo:AddressV4Details) |
ստորաբաժանման հասցեն |
M.CDE.00076 |
ccdo:AddressDetailsV4Type (M.CDT.00079) Որոշվում է ներդրված տարրերի արժեքների տիրույթներով |
0..* | |||||
|
*.2.1. Հասցեի տեսակի ծածկագիրը (csdo:AddressKindCode) |
հասցեի տեսակի ծածկագրային նշագիրը |
M.SDE.00192 |
csdo:AddressKindCodeType (M.SDT.00162) Ծածկագրի արժեքը՝ հասցեների տեսակների տեղեկագրքին համապատասխան։ Նվազ. երկարությունը՝ 1. Առավ. երկարությունը՝ 20 |
0..1 | |||||
|
*.2.2. Երկրի ծածկագիրը (csdo:UnifiedCountryCode) |
երկրի ծածկագրային նշագիրը |
M.SDE.00162 |
csdo:UnifiedCountryCodeType (M.SDT.00112) Երկրի երկտառ ծածկագրի արժեք այն տեղեկագրքին (դասակարգչին) համապատասխան, որի նույնականացուցիչը սահմանված է «Տեղեկագրքի (դասակարգչի) նույնականացուցիչը» ատրիբուտում։ Ձևանմուշը՝ [A-Z]{2} |
0..1 | |||||
|
ա) տեղեկագրքի (դասակարգչի) նույնականացուցիչը (code List Id ատրիբուտ) |
այն տեղեկագրքի (դասակարգչի) նշագիրը, որին համապատասխան նշված է ծածկագիրը |
- |
csdo:ReferenceDataIdType (M.SDT.00091) Պայմանանշանների նորմալացված տողը: Նվազ. երկարությունը՝ 1. Առավ. երկարությունը՝ 20 |
1 | |||||
|
*.2.3. Տարածքի ծածկագիրը (csdo:TerritoryCode) |
վարչատարածքային բաժանման միավորի ծածկագիրը |
M.SDE.00031 |
csdo:TerritoryCodeType (M.SDT.00031) Պայմանանշանների նորմալացված տողը: Նվազ. երկարությունը՝ 1. Առավ. երկարությունը՝ 17 |
0..1 | |||||
|
*.2.4. Տարածաշրջանը (csdo:RegionName) |
առաջին մակարդակի վարչատարածքային բաժանման միավորի անվանումը |
M.SDE.00007 |
csdo:Name120Type (M.SDT.00055) Պայմանանշանների նորմալացված տողը: Նվազ. երկարությունը՝ 1. Առավ. երկարությունը՝ 120 |
0..1 | |||||
|
*.2.5. Շրջանը (csdo:DistrictName) |
երկրորդ մակարդակի վարչատարածքային բաժանման միավորի անվանումը |
M.SDE.00008 |
csdo:Name120Type (M.SDT.00055) Պայմանանշանների նորմալացված տողը: Նվազ. երկարությունը՝ 1. Առավ. երկարությունը՝ 120 |
0..1 | |||||
|
*.2.6. Քաղաքը (csdo:CityName) |
քաղաքի անվանումը |
M.SDE.00009 |
csdo:Name120Type (M.SDT.00055) Պայմանանշանների նորմալացված տողը: Նվազ. երկարությունը՝ 1. Առավ. երկարությունը՝ 120 |
0..1 | |||||
|
*.2.7. Բնակավայրը (csdo:SettlementName) |
բնակավայրի անվանումը |
M.SDE.00057 |
csdo:Name120Type (M.SDT.00055) Պայմանանշանների նորմալացված տողը: Նվազ. երկարությունը՝ 1. Առավ. երկարությունը՝ 120 |
0..1 | |||||
|
*.2.8. Փողոցը (csdo:StreetName) |
քաղաքային ենթակառուցվածքի փողոցաճանապարհային ցանցի տարրի անվանումը |
M.SDE.00010 |
csdo:Name120Type (M.SDT.00055) Պայմանանշանների նորմալացված տողը: Նվազ. երկարությունը՝ 1. Առավ. երկարությունը՝ 120 |
0..1 | |||||
|
*.2.9. Շենքի համարը (csdo:BuildingNumberId) |
շենքի, մասնաշենքի, շինության նշագիրը |
M.SDE.00011 |
csdo:Id50Type (M.SDT.00093) Պայմանանշանների նորմալացված տողը: Նվազ. երկարությունը՝ 1. Առավ. երկարությունը՝ 50 |
0..1 | |||||
|
*.2.10. Սենքի համարը (csdo:RoomNumberId) |
գրասենյակի կամ բնակարանի նշագիրը |
M.SDE.00012 |
csdo:Id20Type (M.SDT.00092) Պայմանանշանների նորմալացված տողը: Նվազ. երկարությունը՝ 1. Առավ. երկարությունը՝ 20 |
0..1 | |||||
|
*.2.11. Փոստային դասիչը (csdo:PostCode) |
փոստային կապի ձեռնարկության փոստային դասիչը |
M.SDE.00006 |
csdo:PostCodeType (M.SDT.00006) Պայմանանշանների նորմալացված տողը: Ձևանմուշը՝ [A-Z0-9][A-Z0-9 -]{1,8}[A-Z0-9] |
0..1 | |||||
|
*.2.12. Բաժանորդային արկղի համարը (csdo:PostOfficeBoxId) |
փոստային կապի ձեռնարկությունում բաժանորդային արկղի համարը |
M.SDE.00013 |
csdo:Id20Type (M.SDT.00092) Պայմանանշանների նորմալացված տողը: Նվազ. երկարությունը՝ 1. Առավ. երկարությունը՝ 20 |
0..1 | |||||
|
*.2.13. Հասցեն՝ տեքստի ձևով (csdo:AddressText) |
հասցեի տարրերի հավաքածուն՝ տեքստի տեսքով ազատ ձևով ներկայացված |
M.SDE.00005 |
csdo:Text1000Type (M.SDT.00071) Պայմանանշանների տողը: Նվազ. երկարությունը՝ 1. Առավ. երկարությունը՝ 1000 |
0..1 | |||||
|
*.3. Կոնտակտային վավերապայմանը (ccdo:CommunicationDetails) |
ստորաբաժանման կոնտակտային վավերապայմանը |
M.CDE.00003 |
ccdo:CommunicationDetailsType (M.CDT.00003) Որոշվում է ներդրված տարրերի արժեքների տիրույթներով |
0..* | |||||
|
*.3.1. Կապի տեսակի ծածկագիրը (csdo:CommunicationChannelCode) |
կապի միջոցի (կապուղու) տեսակի (հեռախոս, ֆաքս, էլեկտրոնային փոստ և այլն) ծածկագրային նշագիրը |
M.SDE.00014 |
csdo:CommunicationChannelCodeV2Type (M.SDT.00163) Ծածկագրի արժեքը՝ կապի միջոցների (ուղիների) տեսակների ցանկին համապատասխան։ Նվազ. երկարությունը՝ 1. Առավ. երկարությունը՝ 20 |
0..1 | |||||
|
*.3.2. Կապի տեսակի անվանումը (csdo:CommunicationChannelName) |
կապի միջոցի (կապուղու) տեսակի (հեռախոս, ֆաքս, էլեկտրոնային փոստ և այլն) անվանումը |
M.SDE.00093 |
csdo:Name120Type (M.SDT.00055) Պայմանանշանների նորմալացված տողը: Նվազ. երկարությունը՝ 1. Առավ. երկարությունը՝ 120 |
0..1 | |||||
|
*.3.3. Կապուղու նույնականացուցիչը (csdo:CommunicationChannelId) |
կապուղին նույնականացնող պայմանանշանների հաջորդականությունը (հեռախոսահամարի, ֆաքսի, էլեկտրոնային փոստի հասցեի և այլնի նշում) |
M.SDE.00015 |
csdo:CommunicationChannelIdType (M.SDT.00015) Պայմանանշանների նորմալացված տողը: Նվազ. երկարությունը՝ 1. Առավ. երկարությունը՝ 1000 |
1..* | |||||
|
*.4. Պաշտոնատար անձը (ccdo:OfficerDetails) |
պաշտոնատար անձի մասին տեղեկատվությունը |
M.CDE.00104 |
ccdo:OfficerDetailsType (M.CDT.00031) Որոշվում է ներդրված տարրերի արժեքների տիրույթներով |
0..* | |||||
|
*.4.1. Ա.Ա.Հ.-ն (ccdo:FullNameDetails) |
ազգանունը, անունը, հայրանունը |
M.CDE.00029 |
ccdo:FullNameDetailsType (M.CDT.00016) Որոշվում է ներդրված տարրերի արժեքների տիրույթներով |
1 | |||||
|
4.1.1. Անունը (csdo:FirstName) |
ֆիզիկական անձի անունը |
M.SDE.00109 |
csdo:Name120Type (M.SDT.00055) Պայմանանշանների նորմալացված տողը: Նվազ. երկարությունը՝ 1. Առավ. երկարությունը՝ 120 |
0..1 | |||||
|
*.4.1.2. Հայրանունը (csdo:MiddleName) |
ֆիզիկական անձի հայրանունը (երկրորդ կամ միջին անունը) |
M.SDE.00111 |
csdo:Name120Type (M.SDT.00055) Պայմանանշանների նորմալացված տողը: Նվազ. երկարությունը՝ 1. Առավ. երկարությունը՝ 120 |
0..1 | |||||
|
*.4.1.3. Ազգանունը (csdo:LastName) |
ֆիզիկական անձի ազգանունը |
M.SDE.00110 |
csdo:Name120Type (M.SDT.00055) Պայմանանշանների նորմալացված տողը: Նվազ. երկարությունը՝ 1. Առավ. երկարությունը՝ 120 |
0..1 | |||||
|
*.4.2. Պաշտոնի անվանումը (csdo:PositionName) |
աշխատակցի պաշտոնի անվանումը |
M.SDE.00127 |
csdo:Name120Type (M.SDT.00055) Պայմանանշանների նորմալացված տողը: Նվազ. երկարությունը՝ 1. Առավ. երկարությունը՝ 120 |
0..1 | |||||
|
*.4.3. Կոնտակտային վավերապայմանը (ccdo:CommunicationDetails) |
պաշտոնատար անձի կոնտակտային վավերապայմանը |
M.CDE.00003 |
ccdo:CommunicationDetailsType (M.CDT.00003) Որոշվում է ներդրված տարրերի արժեքների տիրույթներով |
0..* | |||||
|
4.1.3. Կապի տեսակի ծածկագիրը (csdo:CommunicationChannelCode) |
կապի միջոցի (կապուղու) տեսակի (հեռախոս, ֆաքս, էլեկտրոնային փոստ և այլն) ծածկագրային նշագիրը |
M.SDE.00014 |
csdo:CommunicationChannelCodeV2Type (M.SDT.00163) Ծածկագրի արժեքը՝ կապի միջոցների (ուղիների) տեսակների ցանկին համապատասխան։ Նվազ. երկարությունը՝ 1. Առավ. երկարությունը՝ 20 |
0..1 | |||||
|
*.2.3.4. Կապի տեսակի անվանումը (csdo:CommunicationChannelName) |
կապի միջոցի (կապուղու) տեսակի (հեռախոս, ֆաքս, էլեկտրոնային փոստ և այլն) անվանումը |
M.SDE.00093 |
csdo:Name120Type (M.SDT.00055) Պայմանանշանների նորմալացված տողը: Նվազ. երկարությունը՝ 1. Առավ. երկարությունը՝ 120 |
0..1 | |||||
|
*.4.3.3. Կապուղու նույնականացուցիչը (csdo:CommunicationChannelId) |
կապուղին նույնականացնող պայմանանշանների հաջորդականությունը (հեռախոսահամարի, ֆաքսի, էլեկտրոնային փոստի հասցեի և այլնի նշում) |
M.SDE.00015 |
csdo:CommunicationChannelIdType (M.SDT.00015) Պայմանանշանների նորմալացված տողը: Նվազ. երկարությունը՝ 1. Առավ. երկարությունը՝ 1000 |
1..* | |||||
|
2.33.10. Հասցեի համընկնման հատկանիշը (trsdo:AddressMatchIndicator) |
հատկանիշ, որը ցույց է տալիս, որ գտնվելու (գրանցման) վայրի հասցեն և գործունեության իրականացման վայրի հասցեն համընկնում են՝ 1՝ հասցեները համընկնում են. 0՝ հասցեները չեն համընկնում |
M.TR.SDE.00331 |
bdt:IndicatorType (M.BDT.00013) Երկու արժեքներից մեկը. «true» (ճիշտ է) կամ «false» (սխալ է) |
0..1 | |||||
|
2.33.11. Պատրաստողի հերթական համարը (trsdo:ManufacturerRefOrdinal) |
պատրաստողի հերթական համարը՝ արտադրանքն արտադրողների մասին տեղեկությունների հաջարդականության մեջ |
M.TR.SDE.00333 |
csdo:Ordinal3Type (M.SDT.00105) Հաշվարկի տասական համակարգում ոչ բացասական ամբողջ թիվը։ Թվանշանների առավելագույն քանակը՝ 3 |
0..1 | |||||
22. «Սերտիֆիկատների և հայտարարագրերի միասնական ռեեստրից տեղեկությունների հարցում» (R.TR.TS.01.002) էլեկտրոնային փաստաթղթի (տեղեկությունների) կառուցվածքի նկարագրությունը բերված է 14-րդ աղյուսակում։
Աղյուսակ 14
«Սերտիֆիկատների և հայտարարագրերի միասնական ռեեստրից տեղեկությունների հարցում» (R.TR.TS.01.002) էլեկտրոնային փաստաթղթի (տեղեկությունների) կառուցվածքի նկարագրությունը
|
Համարը՝ ը/կ |
Տարրի նշագիրը |
Նկարագրությունը |
|
1 |
2 |
3 |
|
1 |
Անվանումը |
սերտիֆիկատների և հայտարարագրերի միասնական ռեեստրից տեղեկությունների հարցում |
|
2 |
Նույնականացուցիչը |
R.TR.TS.01.002 |
|
3 |
Տարբերակը |
1.0.0 |
|
4 |
Սահմանումը |
տրված համապատասխանության սերտիֆիկատների և համապատասխանության մասին գրանցված հայտարարագրերի միասնական ռեեստրից տեղեկությունների հարցում |
|
5 |
Օգտագործումը |
- |
|
6 |
Անվանումների տարածության նույնականացուցիչը |
urn:EEC:R:TR:TS:01:ConformityDocsRegistryRequestDetails:v1.0.0 |
|
7 |
XML փաստաթղթի արմատական տարրը |
ConformityDocsRegistryRequestDetails |
|
8 |
XML սխեմայի նիշքի անվանումը |
EEC_R_TR_TS_01_ConformityDocsRegistryRequestDetails_v1.0.0.xsd |
23. Ներմուծվող անվանումների տարածությունները բերված են 15-րդ աղյուսակում:
Աղյուսակ 15
Ներմուծվող անվանումների տարածությունները
|
Համարը՝ ը/կ |
Անվանումների տարածության նույնականացուցիչը |
Նախածանցը |
|
1 |
2 |
3 |
|
1 |
urn:EEC:M:BaseDataTypes:vХ.Х.Х |
bdt |
|
2 |
urn:EEC:M:ComplexDataObjects:vX.X.X |
ccdo |
|
3 |
urn:EEC:M:SimpleDataObjects:vX.X.X |
csdo |
|
4 |
urn:EEC:M:TR:SimpleDataObjects:vZ.Z.Z |
trsdo |
Ներմուծվող անվանումների տարածություններում «X.X.X» և «Z.Z.Z» պայմանանշանները համապատասխանում են էլեկտրոնային փաստաթղթերի և տեղեկությունների կառուցվածքների ռեեստրում ներառման ենթակա՝ Էլեկտրոնային փաստաթղթի (տեղեկությունների) կառուցվածքի տեխնիկական սխեմայի սույն նկարագրությանը համապատասխան մշակելիս օգտագործված՝ տվյալների բազիսային մոդելի և առարկայական ոլորտի տվյալների մոդելի տարբերակի համարին:
24. «Սերտիֆիկատների և հայտարարագրերի միասնական ռեեստրից տեղեկությունների հարցում» (R.TR.TS.01.002) էլեկտրոնային փաստաթղթի (տեղեկությունների) կառուցվածքի վավերապայմանի կազմը բերված է 16-րդ աղյուսակում։
Աղյուսակ 16
«Սերտիֆիկատների և հայտարարագրերի միասնական ռեեստրից տեղեկությունների հարցում» (R.TR.TS.01.002) էլեկտրոնային փաստաթղթի (տեղեկությունների) կառուցվածքի վավերապայմանների կազմը
|
Վավերապայմանի անվանումը |
Վավերապայմանի նկարագրությունը |
Նույնականացուցիչը |
Տվյալների տիպը |
Բազմ. |
||
|
1. էլեկտրոնային փաստաթղթի (տեղեկությունների) վերնագիրը (ccdo:EDocHeader) |
էլեկտրոնային փաստաթղթի (տեղեկությունների) տեխնոլոգիական վավերապայմանների ամբողջությունը |
M.CDE.90001 |
ccdo:EDocHeaderType (M.CDT.90001) Որոշվում է ներդրված տարրերի արժեքների տիրույթներով |
1 |
||
|
1.1. Ընդհանուր գործընթացի հաղորդագրության ծածկագիրը (csdo:InfEnvelopeCode) |
ընդհանուր գործընթացի հաղորդագրության ծածկագրային նշագիրը |
M.SDE.90010 |
csdo:InfEnvelopeCodeType (M.SDT.90004) Ծածկագրի արժեքը՝ Տեղեկատվական փոխգործակցության կանոնակարգին համապատասխան: Ձևանմուշը՝ P\.[A-Z]{2}\.[0-9]{2}\.MSG\.[0-9]{3} |
1 |
||
|
1.2. Էլեկտրոնային փաստաթղթի (տեղեկությունների) ծածկագիրը (csdo:EDocCode) |
էլեկտրոնային փաստաթղթի (տեղեկությունների) ծածկագրային նշագիրը՝ էլեկտրոնային փաստաթղթերի և տեղեկությունների կառուցվածքների ռեեստրին համապատասխան |
M.SDE.90001 |
csdo:EDocCodeType (M.SDT.90001) Ծածկագրի արժեքը՝ էլեկտրոնային փաստաթղթերի և տեղեկությունների կառուցվածքների ռեեստրին համապատասխան: Ձևանմուշը՝ R(\.[A-Z]{2}\.[A-Z]{2}\.[0-9]{2})?\.[0-9]{3} |
1 |
||
|
1.3. Էլեկտրոնային փաստաթղթի (տեղեկությունների) նույնականացուցիչը (csdo:EDocId) |
էլեկտրոնային փաստաթուղթը (տեղեկությունները) միանշանակ նույնականացնող պայմանանշանների տողը |
M.SDE.90007 |
csdo:UniversallyUniqueIdType (M.SDT.90003) Նույնականացուցչի արժեքը՝ ԻՍՕ/IEC 9834-8-ին համապատասխան։ Ձևանմուշը՝ [0-9a-fA-F]{8}-[0-9a-fA-F]{4}-[0-9a-fA-F]{4}-[0-9a-fA-F]{4}-[0-9a-fA-F]{12} |
1 |
||
|
1.4. Սկզբնական էլեկտրոնային փաստաթղթի (տեղեկությունների) նույնականացուցիչը (csdo:EDocRefId) |
այն էլեկտրոնային փաստաթղթի (տեղեկությունների) նույնականացուցիչը, որին ի պատասխան ձևավորել է տվյալ էլեկտրոնային փաստաթուղթը (տեղեկությունները) |
M.SDE.90008 |
csdo:UniversallyUniqueIdType (M.SDT.90003) Նույնականացուցչի արժեքը՝ ԻՍՕ/IEC 9834-8-ին համապատասխան։ Ձևանմուշը՝ [0-9a-fA-F]{8}-[0-9a-fA-F]{4}-[0-9a-fA-F]{4}-[0-9a-fA-F]{4}-[0-9a-fA-F]{12} |
0..1 |
||
|
1.5. Էլեկտրոնային փաստաթղթի (տեղեկությունների) ամսաթիվը և ժամը (csdo:EDocDateTime) |
էլեկտրոնային փաստաթղթի (տեղեկությունների) ստեղծման ամսաթիվը և ժամը |
M.SDE.90002 |
bdt:DateTimeType (M.BDT.00006) ամսաթվի և ժամի նշագիրը՝ ԻՍՕ 8601-ին համապատասխան |
1 |
||
|
1.6. Լեզվի ծածկագիրը (csdo:LanguageCode) |
լեզվի ծածկագրային նշագիրը |
M.SDE.00051 |
csdo:LanguageCodeType (M.SDT.00051) Լեզվի երկտառ ծածկագիրը՝ ԻՍՕ 639-1-ին համապատասխան: Ձևանմուշը՝ [a-z]{2} |
0..1 |
||
|
2. Թարմացման ամսաթիվը և ժամը (csdo:UpdateDateTime) |
սերտիֆիկատների և հայտարարագրերի միասնական ռեեստրի թարմացման ամսաթիվը և ժամը |
M.SDE.00079 |
bdt:DateTimeType (M.BDT.00006) Ամսաթվի և ժամի նշագիրը՝ ԻՍՕ 8601-ին համապատասխան |
0..1 |
||
|
3. Մեկնարկի ամսաթիվը և ժամը (csdo:StartDateTime) |
հարցվող ժամանակահավածի մեկնարկի ամսաթիվը և ժամը |
M.SDE.00133 |
bdt:DateTimeType (M.BDT.00006) Ամսաթվի և ժամի նշագիրը՝ ԻՍՕ 8601-ին համապատասխան |
0..1 |
||
|
4. Ավարտի ամսաթիվը և ժամը (csdo:EndDateTime) |
հարցվող ժամանակահավածի ավարտի ամսաթիվը և ժամը |
M.SDE.00134 |
bdt:DateTimeType (M.BDT.00006) Ամսաթվի և ժամի նշագիրը՝ ԻՍՕ 8601-ին համապատասխան |
0..1 |
||
|
5. Երկրի ծածկագիրը (csdo:UnifiedCountryCode) |
սերտիֆիկատների և հայտարարագրերի միասնական ռեեստր տեղեկություններ ներկայացրած երկրի ծածկագրային նշագիրը |
M.SDE.00162 |
csdo:UnifiedCountryCodeType (M.SDT.00112) Երկրի երկտառ ծածկագրի արժեք այն տեղեկագրքին (դասակարգչին) համապատասխան, որի նույնականացուցիչը սահմանված է «Տեղեկագրքի (դասակարգչի) նույնականացուցիչը» ատրիբուտում։ Ձևանմուշը՝ [A-Z]{2} |
0..1 |
||
|
ա) տեղեկագրքի (դասակարգչի) նույնականացուցիչը (code List Id ատրիբուտ) |
այն տեղեկագրքի (դասակարգչի) նշագիրը, որին համապատասխան նշված է ծածկագիրը |
- |
csdo:ReferenceDataIdType (M.SDT.00091) Պայմանանշանների նորմալացված տողը: Նվազ. երկարությունը՝ 1. Առավ. երկարությունը՝ 20 |
1 |
||
|
6. Փաստաթղթի համարը (csdo:DocId) |
համապատասխանության գնահատման մասին փաստաթղթի գրանցման համարը |
M.SDE.00044 |
csdo:Id50Type (M.SDT.00093) Պայմանանշանների նորմալացված տողը: Նվազ. երկարությունը՝ 1. Առավ. երկարությունը՝ 50 |
0..1 |
||
|
7. Համապատասխանության գնահատման վերաբերյալ փաստաթղթի տեսակի ծածկագիրը (trsdo:ConformityDocKindCode) |
համապատասխանության գնահատման վերաբերյալ փաստաթղթի տեսակի ծածկագրային նշագիրը |
M.TR.SDE.00001 |
trsdo:ConformityDocKindCodeType (M.TR.SDT.00001) Ծածկագրի արժեքը՝ համապատասխանության գնահատման մասին փաստաթղթերի տեսակների դասակարգչին համապատասխան: Ձևանմուշը՝ \d{2} |
0..1 |
||
|
8. Միության տեխնիկական կանոնակարգի նշագիրը (trsdo:TechnicalRegulationId) |
Եվրասիական տնտեսական միության տեխնիկական կանոնակարգի (Մաքսային միության տեխնիկական կանոնակարգի) գրանցման համարը |
M.TR.SDE.00037 |
trsdo:TechnicalRegulationIdType (M.TR.SDT.00012) Եվրասիական տնտեսական միության տեխնիկական կանոնակարգերի (Մաքսային միության տեխնիկական կանոնակարգերի) ցանկում առկա գրանցման համարի արժեքը։ Ձևանմուշը՝ ՏԿ (ՄՄ|ԵԱՏՄ) \d{3}/\d{4} |
0..* |
||
|
9. Փաստաթղթի գործողության կարգավիճակի ծածկագիրը (trsdo:DocStatusCode) |
համապատասխանության գնահատման վերաբերյալ փաստաթղթի գործողության կարգավիճակի ծածկագրային նշագիրը |
M.TR.SDE.00053 |
trsdo:DocStatusCodeType (M.TR.SDT.00015) Ծածկագրի արժեքը՝ փաստաթղթի գործողության կարգավիճակների դասակարգչին համապատասխան: Ձևանմուշը՝ \d{1,2} |
0..1 |
||
|
10. Ժամանակահատվածը (ccdo:PeriodDetails) |
համապատասխանության գնահատման վերաբերյալ փաստաթղթի գործողության ժամկետն սկսվելու ամսաթվերի տիրույթը |
M.CDE.00044 |
ccdo:PeriodDetailsType (M.CDT.00026) Որոշվում է ներդրված տարրերի արժեքների տիրույթներով |
0..1 |
||
|
10.1. Մեկնարկի ամսաթիվը և ժամը (csdo:StartDateTime) |
մեկնարկի ամսաթիվը և ժամը |
M.SDE.00133 |
bdt:DateTimeType (M.BDT.00006) Ամսաթվի և ժամի նշագիրը՝ ԻՍՕ 8601-ին համապատասխան |
0..1 |
||
|
10.2. Ավարտի ամսաթիվը և ժամը (csdo:EndDateTime) |
վերջնական ամսաթիվը և ժամը |
M.SDE.00134 |
bdt:DateTimeType (M.BDT.00006) Ամսաթվի և ժամի նշագիրը՝ ԻՍՕ 8601-ին համապատասխան |
0..1 |
»: | |
5. Սույն որոշմամբ հաստատված՝ «Եվրասիական տնտեսական միության տեխնիկական կանոնակարգերի (Մաքսային միության տեխնիկական կանոնակարգերի) պահանջներին համապատասխանության գնահատման վերաբերյալ տրամադրված կամ ընդունված փաստաթղթերի միասնական ռեեստրների ձևավորում և վարում» ընդհանուր գործընթացին միանալու կարգը՝ տրված համապատասխանության սերտիֆիկատների և համապատասխանության մասին գրանցված հայտարարագրերի միասնական ռեեստրին վերաբերող մասով, շարադրել հետևյալ խմբագրությամբ.
|
«ՀԱՍՏԱՏՎԱԾ Է Եվրասիական տնտեսական հանձնաժողովի կոլեգիայի 2016 թվականի մայիսի 10-ի թիվ 39 որոշմամբ(Եվրասիական տնտեսական հանձնաժողովի կոլեգիայի 2024 թվականի սեպտեմբերի 23-ի թիվ 109 որոշման խմբագրությամբ) |
Կարգ
տրված համապատասխանության սերտիֆիկատների և համապատասխանության մասին գրանցված հայտարարագրերի միասնական ռեեստրին վերաբերող մասով «Եվրասիական տնտեսական միության տեխնիկական կանոնակարգերի (Մաքսային միության տեխնիկական կանոնակարգերի) պահանջներին համապատասխանության գնահատման վերաբերյալ տրամադրված կամ ընդունված փաստաթղթերի միասնական ռեեստրների ձևավորում և վարում» ընդհանուր գործընթացին միանալու
I. Ընդհանուր դրույթներ
1. Սույն կարգը մշակվել է Եվրասիական տնտեսական միության (այսուհետ՝ Միություն) իրավունքի կազմում ընգրկվող հետևյալ ակտերին համապատասխան.
«Եվրասիական տնտեսական միության մասին» 2014 թվականի մայիսի 29-ի պայմանագիր.
«Մաքսային միությունում տեխնիկական կարգավորման մասին» Մաքսային միության հանձնաժողովի 2010 թվականի հունիսի 18-ի թիվ 319 որոշում.
«Մաքսային միության շրջանակներում միասնական փաստաթղթերի տրամադրմամբ համապատասխանության պարտադիր գնահատման (հաստատման) ենթակա արտադրանքի միասնական ցանկի մասին» Մաքսային միության հանձնաժողովի 2011 թվականի ապրիլի 7-ի թիվ 620 որոշում.
«Համապատասխանության սերտիֆիկատի և Մաքսային միության տեխնիկական կանոնակարգերին համապատասխանության մասին հայտարարագրի միասնական ձևերի և դրանց ձևակերպման կանոնների մասին» Եվրասիական տնտեսական հանձնաժողովի կոլեգիայի 2012 թվականի դեկտեմբերի 25-ի թիվ 293 որոշում.
«Եվրասիական տնտեսական միության տեխնիկական կանոնակարգերի պահանջներին արտադրանքի համապատասխանության հայտարարագրերը գրանցելու, դրանց գործողությունը կասեցնելու, վերսկսելու ու դադարեցնելու կարգի մասին» Եվրասիական տնտեսական հանձնաժողովի կոլեգիայի 2018 թվականի մարտի 20-ի թիվ 41 որոշում․
«Տրված համապատասխանության սերտիֆիկատների և գրանցված համապատասխանության հայտարարագրերի միասնական ռեեստրի ձևավորման և վարման կարգի մասին» Եվրասիական տնտեսական հանձնաժողովի 2017 թվականի սեպտեմբերի 26-ի թիվ 127 որոշում:
«Ընդհանուր գործընթացներն արտաքին և փոխադարձ առևտրի ինտեգրված տեղեկատվական համակարգի միջոցներով իրագործելիս տեղեկատվական փոխգործակցությունը կանոնակարգող տեխնոլոգիական փաստաթղթերի մասին» Եվրասիական տնտեսական հանձնաժողովի կոլեգիայի 2014 թվականի նոյեմբերի 6-ի թիվ 200 որոշում.
«Արտաքին և փոխադարձ առևտրի ինտեգրված տեղեկատվական համակարգում տվյալների էլեկտրոնային փոխանակման կանոնները հաստատելու մասին» Եվրասիական տնտեսական հանձնաժողովի կոլեգիայի 2015 թվականի հունվարի 27-ի թիվ 5 որոշում.
«Եվրասիական տնտեսական միության շրջանակներում ընդհանուր գործընթացների ցանկի և Եվրասիական տնտեսական հանձնաժողովի կոլեգիայի 2014 թվականի օգոստոսի 19-ի թիվ 132 որոշման մեջ փոփոխություն կատարելու մասին» Եվրասիական տնտեսական հանձնաժողովի կոլեգիայի 2015 թվականի ապրիլի 14-ի թիվ 29 որոշում.
«Եվրասիական տնտեսական միության շրջանակներում ընդհանուր գործընթացների վերլուծության, օպտիմալացման, ներդաշնակեցման և նկարագրության մեթոդիկայի մասին» Եվրասիական տնտեսական հանձնաժողովի կոլեգիայի 2015 թվականի հունիսի 9-ի թիվ 63 որոշում.
«Եվրասիական տնտեսական միության անդամ պետությունների պետական իշխանության մարմինների` միմյանց միջև և Եվրասիական տնտեսական հանձնաժողովի հետ անդրսահմանային փոխգործակցության ընթացքում էլեկտրոնային փաստաթղթերի փոխանակման մասին հիմնադրույթի հաստատման մասին» Եվրասիական տնտեսական հանձնաժողովի կոլեգիայի 2015 թվականի սեպտեմբերի 28-ի թիվ 125 որոշում։
II. Կիրառության ոլորտը
2. Սույն կարգը սահմանում է «Եվրասիական տնտեսական միության տեխնիկական կանոնակարգերի (Մաքսային միության տեխնիկական կանոնակարգերի) պահանջներին համապատասխանության գնահատման վերաբերյալ տրամադրված կամ ընդունված փաստաթղթերի միասնական ռեեստրների ձևավորում և վարում» ընդհանուր գործընթացին (ընդհանուր գործընթացի նոր տարբերակին) տրված համապատասխանության սերտիֆիկատների և համապատասխանության մասին գրանցված հայտարարագրերի միասնական ռեեստրին վերաբերող մասով նոր մասնակցի միանալու ընթացակարգերի կազմին և բովանդակությանը ներկայացվող պահանջները (այսուհետ՝ ընդհանուր գործընթաց), ինչպես նաև դրանց կատարման ժամանակ իրականացվող տեղեկատվական փոխգործակցության պահանջների մասով։
3. Սույն կարգում սահմանված ընթացակարգերն իրականացվում են միաժամանակ կամ ընդհանուր գործընթացին նոր մասնակցի միանալու դեպքում՝ որոշակի ժամանակահատվածում:
III. Հիմնական հասկացությունները
4. Սույն կարգում օգտագործվող հասկացություններն ունեն հետևյալ իմաստը.
«Միության ինտեգրված տեղեկատվական համակարգի գործունեության ապահովման ժամանակ օգտագործվող փաստաթղթեր»՝ Եվրասիական տնտեսական հանձնաժողովի կողմից «Եվրասիական տնտեսական միության շրջանակներում տեղեկատվական-հաղորդակցական տեխնոլոգիաների և տեղեկատվական փոխգործակցության մասին» արձանագրության («Եվրասիական տնտեսական միության մասին» 2014 թվականի մայիսի 29-ի պայմանագրի թիվ 3 հավելված) 30-րդ կետին համապատասխան մշակվող և հաստատվող տեխնիկական, տեխնոլոգիական, մեթոդական և կազմակերպչական փաստաթղթեր․
«տեխնոլոգիական փաստաթղթեր»՝ Եվրասիական տնտեսական հանձնաժողովի կոլեգիայի 2014 թվականի նոյեմբերի 6-ի թիվ 200 որոշման 1-ին կետով նախատեսված՝ ընդհանուր գործընթացի իրագործման ժամանակ տեղեկատվական փոխգործակցությունը կանոնակարգող տեխնոլոգիական փաստաթղթերի տիպային ցանկում ներառված փաստաթղթեր:
Սույն կարգում օգտագործվող մյուս հասկացությունները կիրառվում են Եվրասիական տնտեսական հանձնաժողովի կոլեգիայի 2016 թվականի
մայիսի 10-ի թիվ 39 որոշմամբ հաստատված՝ Եվրասիական տնտեսական միության ինտեգրված տեղեկատվական համակարգի միջոցներով «Եվրասիական տնտեսական միության տեխնիկական կանոնակարգերի (Մաքսային միության տեխնիկական կանոնակարգերի) պահանջներին համապատասխանության գնահատման վերաբերյալ տրամադրված կամ ընդունված փաստաթղթերի միասնական ռեեստրների ձևավորում և վարում» ընդհանուր գործընթացը տրված համապատասխանության սերտիֆիկատների և համապատասխանության մասին գրանցված հայտարարագրերի միասնական ռեեստրին վերաբերող մասով իրագործելիս՝ տեղեկատվական փոխգործակցության կանոնների 4-րդ կետով սահմանված իմաստներով (այսուհետ՝ Տեղեկատվական փոխգործակցության կանոններ)։
IV. Փոխգործակցության մասնակիցները
5. Փոխգործակցության մասնակիցների դերերը սույն կարգով նախատեսված ընթացակարգերն իրենց կողմից իրականացնելիս ներկայացված են աղյուսակում։
Աղյուսակ
Փոխգործակցության մասնակիցների դերերը
|
Համարը՝ ը/կ |
Դերի անվանումը |
Դերի նկարագրությունը |
Դերը կատարող մասնակիցը |
|
1 |
2 |
3 |
4 |
|
1 |
Ընդհանուր գործընթացին միացող մասնակիցը |
կատարում է սույն կարգով նախատեսված ընթացակարգերը |
Միության անդամ պետության լիազորված մարմին (P.TS.01.ACT.002), Միության անդամ պետության՝ հարցում ներկայացնող լիազորված մարմին (P.TS.01.ACT.003), Միության անդամ պետության շահագրգիռ մարմին (P.TS.01.ACT.004) |
|
2 |
Ընդհանուր գործընթացը համակարգողը |
համակարգում է սույն կարգով նախատեսված ընթացակարգերի կատարումը |
Եվրասիական տնտեսական հանձնաժողով (P.ACT.001) |
|
3 |
Ընդհանուր գործընթացի մասնակիցը |
իրականացնում է փոխգործակցություն՝ տեխնոլոգիական փաստաթղթերին համապատասխան, և մասնակցում է ընդհանուր գործընթացին միացող մասնակցի հետ տեղեկատվական փոխգործակցության թեստավորմանը |
Միության անդամ պետության լիազորված մարմին (P.TS.01.ACT.002), Միության անդամ պետության՝ հարցում ներկայացնող լիազորված մարմին (P.TS.01.ACT.003), Միության անդամ պետության շահագրգիռ մարմին (P.TS.01.ACT.004), Եվրասիական տնտեսական հանձնաժողով (P.ACT.001) |
V. Ընդհանուր գործընթացին միանալու ընթացակարգի նկարագրությունը
6. Ընդհանուր գործընթացին միանալու համար ընդհանուր գործընթացին միացող մասնակցի կողմից պետք է կատարվեն Միության ինտեգրված տեղեկատվական համակարգի գործունեության ապահովման ժամանակ կիրառվող փաստաթղթերի, տեխնոլոգիական փաստաթղթերի պահանջները, ինչպես նաև Միության անդամ պետության օրենսդրության պահանջները, որոնք կանոնակարգում են տեղեկատվական փոխգործակցությունը Միության ինտեգրված տեղեկատվական համակարգի անդամ պետության ազգային սեգմենտի շրջանակներում (այսուհետ՝ անդամ պետության ազգային սեգմենտ)։
7. Ընդհանուր գործընթացին նոր մասնակցի միանալու ընթացակարգը ներառում է՝
ա) Եվրասիական տնտեսական հանձնաժողովի (այսուհետ՝ Հանձնաժողով) անդամ պետության կողմից ընդհանուր գործընթացին նոր մասնակցի միանալու մասին տեղեկացնելը (նշելով ընդհանուր գործընթացի շրջանակներում տեղեկատվական փոխգործակցության համար պատասխանատու անդամ պետության լիազորված մարմինը)․
բ) անդամ պետության նորմատիվ իրավական ակտերում տեխնոլոգիական փաստաթղթերի պահանջների կատարման համար անհրաժեշտ փոփոխություններ կատարելը (միանալու ընթացակարգի կատարումն սկսելու օրվանից 2 ամսվա ընթացքում).
գ) անհրաժեշտության դեպքում ընդհանուր գործընթացին միացող մասնակցի տեղեկատվական համակարգը մշակելը (լրամշակելը) (միանալու ընթացակարգի կատարումն սկսելու օրվանից 3 ամսվա ընթացքում).
դ) ընդհանուր գործընթացին միացող մասնակցի տեղեկատվական համակարգն անդամ պետության ազգային հատվածին միացնելը, եթե այդպիսի միացում նախկինում չի իրականացվել (միանալու ընթացակարգի կատարումն սկսելու օրվանից 3 ամսվա ընթացքում).
ե) Տեղեկատվական փոխգործակցության կանոնների VII բաժնում նշված՝ Հանձնաժողովի կողմից տարածվող տեղեկագրքերի ու դասակարգիչների ստացումն ընդհանուր գործընթացին միացող մասնակցի կողմից.
զ) Միության տեղեկատվական պորտալում սկզբնական հրապարակման համար միասնական ռեեստրի ազգային մասից համապատասխանության գնահատման վերաբերյալ փաստաթղթերի մասին սերտիֆիկատների և հայտարարագրերի միասնական ռեեստրի ազգային մասի ձևավորումն ու վարումն իրականացնող (P.TS.01.ACT.002) ընդհանուր գործընթացին միացող մասնակցի կողմից արդիականացված տեղեկությունների փոխանցում (միանալու ընթացակարգի կատարումը սկսելու օրվանից 6 ամսվա ընթացքում).
է) ընդհանուր գործընթացին միացող մասնակիցների և ընդհանուր գործընթացի մասնակիցների տեղեկատվական համակարգերի միջև տեղեկատվական փոխգործակցության թեստավորում՝ տեխնոլոգիական փաստաթղթերի պահանջներին համապատասխանության մասով (միանալու ընթացակարգի կատարումն սկսելու օրվանից 6 ամսվա ընթացքում):
Եթե ընդհանուր գործընթացի միացող մասնակիցը մասնակցում է միայն սերտիֆիկատների և հայտարարարգրերի միասնական ռեեստրից տեղեկություններ ստանալու ընթացակարգերի կատարմանը, ապա տեղեկատվական փոխգործակցության թեստավորումն իրականացվում է այդպիսի մասնակցի տեղեկատվական համակարգի և Հանձնաժողովի տեղեկատվական համակարգերի միջև։
8. Սույն կարգի 6-րդ և 7-րդ կետերին համապատասխան պահանջների պահպանման և գործողությունների հաջող կատարման դեպքում տեղեկությունների հետագա փոխանակումն ընդհանուր գործընթացին միացող մասնակցի և ընդհանուր գործընթացի մասնակիցների միջև իրականացվում է տեխնոլոգիական փաստաթղթերին համապատասխան:
VI. Ընդհանուր գործընթացի նոր տարբերակին միանալու ընթացակարգի նկարագրությունը
9. Ընդհանուր գործընթացի նոր տարբերակի շրջանակներում տեղեկատվական փոխգործակցությունը կանոնակարգող տեխնոլոգիական փաստաթղթերի նոր խմբագրությունը հաստատելու մասին Հանձնաժողովի կոլեգիայի որոշումն ուժի մեջ մտնելու օրվանից անդամ պետությունները Հանձնաժողովի համակարգմամբ սկսում են ընդհանուր գործընթացի նոր տարբերակին միանալու ընթացակարգի կատարումը (ընդհանուր գործընթացի նոր տարբերակին միանալու ընթացակարգի կատարումն սկսելու օրվանից 6 ամսվա ընթացքում)։
10. Ընդհանուր գործընթացի նոր տարբերակին միանալու ընթացակարգն ընդհանուր գործընթացի մասնակիցների կողմից ավարտվում է տեխնոլոգիական փաստաթղթերի նոր խմբագրության պահանջներին ընդհանուր գործընթացի մասնակիցների տեղեկատվական համակարգերի միջև տեղեկատվական փոխգործակցության համապատասխանության թեստավորման արդյունքների հիման վրա։ Եթե ընդհանուր գործընթացի մասնակիցը մասնակցում է միայն սերտիֆիկատների և հայտարարարգրերի միասնական ռեեստրից տեղեկություններ ստանալու ընթացակարգերի կատարմանը, ապա տեղեկատվական փոխգործակցության թեստավորումն իրականացվում է այդպիսի մասնակցի տեղեկատվական համակարգի և Հանձնաժողովի տեղեկատվական համակարգերի միջև։
11. Ընդհանուր գործընթացի նոր տարբերակին միանալու ընթացակարգն իր մեջ ներառում է սույն կարգի 7-րդ կետում նշված միջոցառումները՝ հաշվի առնելով սույն կարգի 9-րդ կետով նախատեսված ժամկետը։ Կոնկրետ միջոցառումների իրականացման անհրաժեշտությունը, բացառությամբ սույն կարգի 7-րդ կետի «է» ենթակետի, որոշվում է ընդհանուր գործընթացի մասնակցի կողմից ինքնուրույն։
12. Ընդհանուր գործընթացի բոլոր մասնակիցների կողմից ընդհանուր գործընթացի նոր տարբերակին միանալու ընթացակարգը կատարելուց հետո տեղեկությունների հետագա փոխանակումը նրանց միջև իրականացվում է ընդհանուր գործընթացի նոր տարբերակն իրագործելիս տեղեկատվական փոխգործակցությունը կանոնակարգող տեխնոլոգիական փաստաթղթերի խմբագրմանը համապատասխան։
13. Ավելի վաղ ձևավորված տվյալների վերափոխումը, տեխնոլոգիական փաստաթղթերի նոր խմբագրության պահանջներին համապատասխան, անհրաժեշտության դեպքում ընդհանուր գործընթացի յուրաքանչյուր մասնակցի կողմից կատարվում է ինքնուրույն:»։
Պաշտոնական հրապարակման օրը՝ 19 նոյեմբերի 2025 թվական: