Text of the Official Translation
"Registered"
by the Ministry of Justice
of the Republic of Armenia
29 December 2008
State registration No 05008408
BOARD OF THE CENTRAL BANK
OF THE REPUBLIC OF ARMENIA
16 December 2008 |
No 363-N |
D E C I S I O N
Taking as a basis part 4 of Article 14 of the Law of the Republic of Armenia “On consumer crediting” and guided by Article 20 of the Law of the Republic of Armenia “On the Central Bank of the Republic of Armenia”, the Board of the Central Bank of the Republic of Armenia decides:
1. To approve Regulation 8/01 “Explanations and examples for calculation of the actual annual interest rate”, pursuant to the Annex (attached).
2. This Decision shall enter into force on 24 January 2009.
Governor of the Central Bank of the Republic of Armenia |
A. Javadyan |
23 December 2008 city of Yerevan |
Annex To Decision of the Board of the Central Bank of the Republic of Armenia No 363-N of 16 December 2008 |
(heading edited by No 2-N of 17 January 2020)
REGULATION 8/01
EXPLANATIONS AND EXAMPLES FOR CALCULATION OF THE ACTUAL ANNUAL INTEREST RATE
CHAPTER 1
GENERAL PROVISIONS
1. This Regulation shall define explanations and examples for calculation of the actual annual interest rate to be included in the crediting contract, advertisement, announcement, proposal, offer or invitation to make an offer by banks, branches of foreign banks, credit organisations and pawnshops operating in the territory of the Republic of Armenia in the cases prescribed by the Law of the Republic of Armenia “On consumer crediting” (hereinafter referred to as "the Law") and the Law of the Republic of Armenia “On home mortgage crediting”.
2. This Regulation shall not extend to the loans provided by banks, the cards issued for which may provide an opportunity to enjoy "luxury" privileges that are not financial operations (for example, providing compensation in case of loss of luggage and flight delay, medical compensation, purchase insurance (loss, damage of purchased goods, etc.), luggage insurance, concierge service, car towing service, pass card service (Priority Pass), access to business lounges (Lounge Key), airport escort (SpeedPass service), visa assistance, skip-the-line service, etc.). Provision of goods in the field of retail sales and services in the field of service not listed in this point (for example, discounts offered, bonuses, cashback when paying by card, etc.) shall not be considered as "luxury" privileges provided for by this point.
CHAPTER 2
CONCEPTS
3. The main concepts used in this Regulation shall be the following:
(1) "Credit repayments" — all payments made by the consumer for crediting when receiving the credit and/or during the effect thereof — the principal amount of the credit and fees included in the total cost of crediting (interest amounts and other payments).
(2) “Other payments” — elements included in other payments defined by point 5 of this Regulation.
(3) “Total cost of crediting” — all interest amounts and other payments that the consumer is obliged to pay (make) for crediting (when receiving the credit and during the effect thereof);
(4) “Actual annual interest rate” — the total cost of consumer’s crediting expressed in annual interest rate of the provided credit and calculated based on the formula indicated in Article 4 of this Regulation.
(5) “Creditor” — in accordance with the meaning prescribed by the Law of the Republic of Armenia "On consumer crediting".
(6) “Credit” — in accordance with the meaning prescribed by the Law of the Republic of Armenia "On consumer crediting".
CHAPTER 3
FORMULA FOR CALCULATION OF THE ACTUAL ANNUAL INTEREST RATE
EXPLANATIONS AND EXAMPLES
4. Banks, branches of foreign banks, credit organisations and pawnshops shall calculate the actual annual interest rate for credits provided or to be provided thereby, based on the formula for calculating the actual annual interest rate provided by Article 13 of the Law:
where:
i — is the actual annual interest rate which, pursuant to parts 5 and 7 Article 2 of the Law, is the total cost of consumer’s crediting, expressed by the annual interest for the credit provided, and which includes all interests and other payments that the consumer is obliged to pay when receiving the credit and during the whole period of effect thereof.
A — is the initial amount of credit provided to the consumer.
Where the credit contract does not set a maximum credit limit, the maximum limit of the provided credit shall be one million drams.
n — is the reference number of the credit repayment (credit principal amount, interest amounts and/or other payment amounts) by the consumer (including the payment made at the moment of receiving the credit). Moreover, making the payments of the credit principal amount, interest amounts and/or other payments within one day shall be considered as one payment.
N — is the number of the last credit repayment (credit principal amount, interest amounts and/or other payment amounts) (including the payment made at the moment of receiving the credit), after which the obligations assumed by the consumer under the credit contract shall be considered as repaid. For example: the credit has been provided for 12 months, on condition of concurrent monthly payments of the principal amounts and interest amounts of the credit and other payments envisaged at the moment of providing the credit; therefore, N=13, as one payment is made at the moment of providing the credit and 12 more payments — according to the conditions of the credit contract.
Kn — is the amount of the nth payment (principal amount, interest amounts and/or other payment amounts) made by the consumer until the moment of receiving the credit, at the moment of receiving the credit and/or during the effect thereof.
In case the credit contract allows for changes in the amount or size of interests and/or other fees included in the total cost of consumer’s crediting and the changes thereto may not be expressed in monetary terms, the actual annual interest rate must be calculated assuming that the interests and/or other fees included in the total cost of consumer’s crediting will remain stable and will be applied until the end of the effect of the crediting contract.
Dn — is the number that shows how many days have passed from the day of receiving the credit until the subsequent nth day of repayment of the credit amount, inclusive.
For example, the credit was provided on 15 September, other payments are envisaged for the provision of the credit at the moment of receiving the credit, and the first partial repayment of the credit will take place on 15 October of the same year. In this case, D1=0, as other payments will be made on the day of receiving the credit, D2=30, as the number of days from the provision of the credit to the subsequent repayment is 30, and the number of the days from D3 to Dn is calculated according to the same principle.
Where the crediting contract provides that the consumer may receive the credit amount in portions or may choose the time of receiving the credit amount, the day of concluding the crediting contract shall be considered as the day of receiving the credit.
5. Other fees included in the calculation of the total cost of crediting and, therefore, the actual annual interest rate shall include the following mandatory fees (if any) paid by the consumer for crediting:
(1) credit extension fee;
(2) in case of having overdue repayments of a previously received credit, the fee for extending a new credit from the given creditor;
(3) fee for preparation of crediting documents;
(4) credit servicing fee;
(5) fee for pledging;
(6) fees for membership or subscription to organisations, unions and other groups, if the creditor is the founder or participant of those organisations, unions or other groups, and the credit terms depend on such subscription or membership:
For example: the bank announces privileged conditions for concluding a credit contract for persons that will become members of the union founded thereby. An annual membership fee shall be required for membership. The amount of the membership fee(s) to be paid by the consumer during the credit term must be included in the calculation of the actual annual interest rate;
(7) fees for insurance, valuation and other supporting services, if the use of such supporting services is a pre-condition for concluding a crediting contract or receiving the advertised annual interest rate, and the creditor is the beneficiary of those services, or the creditor establishes the scope of persons with whom the consumer has the right to conclude a contract on provision of supporting services; Examples:
a. The bank, as a pre-condition for concluding the crediting contract, requires insurance of the pledged property, being the beneficiary of the insurance contract to be concluded;
b. The bank, as a pre-condition for concluding the crediting contract, requires insurance of the pledged property, as well defines the scope of persons with whom the consumer has the right to conclude an insurance contract;
c. The bank, as a pre-condition for receiving the advertised actual annual interest rate, requires insurance of the pledged property, being the beneficiary of the insurance contract to be concluded;
d. The bank, as a pre-condition for receiving the advertised actual annual interest rate, requires insurance of the pledged property, as well defines the scope of persons with whom the consumer has the right to conclude an insurance contract;
e. The bank, as a pre-condition for concluding the crediting contract, requires insurance of the pledged property, being the beneficiary of the insurance contract to be concluded, as well defines the scope of persons with whom the consumer has the right to conclude an insurance contract;
f. The bank, as a pre-condition for receiving the advertised actual annual interest rate, requires insurance of the pledged property, being the beneficiary of the insurance contract to be concluded, as well defines the scope of persons with whom the consumer has the right to conclude an insurance contract;
(8) all types of fees associated with a payment card when the consumer has no reasonable alternative in receiving the credit:
For example, a bank provides the credit only through a new payment card provided thereby, in which case the consumer has no reasonable alternative — an opportunity to transfer to another valid payment card belonging thereto. Moreover, the payment card shall be considered as valid, if it has been provided to the consumer before submitting the application for crediting, and transactions (deposits, credits) were carried out by the consumer with the payment card before submitting the application for crediting;
(9) The commission charged for credit withdrawal, assuming that the consumer will withdraw the credit in full from the ATM of the creditor, if he or she has no reasonable alternative to use the credit amount (e.g. in person receipt from the cash register of the bank). Moreover, if mandatory replenishments are envisaged during the use of the credit, commissions for current cash withdrawals made after the mandatory replenishments shall not be included in the calculation of the actual annual interest rate;
(10) other fees related to crediting, which the consumer is obliged to pay for crediting, except for the fees not included in the total cost of consumer’s crediting prescribed by part 1 of Article 15 of the Law.
6. The size of the actual annual interest rate calculated by the formula indicated in point 4 of this Regulation must be rounded at least to one hundredth and multiplied by 100 in order to get the percentage value.
7. In case a credit repayment schedule is not defined by the crediting contract or repayment terms are not defined by the provisions of the crediting contract, the credit repayment period in the calculation of the actual annual interest rate shall be considered to be one year. In case the crediting contract defines more than one credit repayment period, the credit repayment period shall be considered to be the earlier period defined in the contract, unless otherwise provided for by the crediting contract.
8. During the calculation of the actual annual interest rate of credits provided in foreign currency, the credit amount shall be converted into AMD, and the exchange rate published on the official website of the Central Bank of the Republic of Armenia shall be taken as a basis for the conversion rate. Moreover, in the crediting contract, in the individual lists of the essential conditions of consumer credits, the basis for calculating the actual interest rate shall be the latest foreign currency exchange rate published on the official website of the Central Bank of the Republic of Armenia, and in the remaining cases, including in information bulletins and any advertisement, the foreign currency exchange rate published on the official website of the Central Bank of the Republic of Armenia as of the date of their preparation. The exchange rate taken as basis during the actual repayments of the loan may differ from the exchange rate taken as a basis during the calculation of the actual interest rate.
9. If the crediting contract allows the consumer to make repayments on a free schedule, it is assumed that the entire amount of the credit shall be repaid at the end of the period and in full.
10. If the credit envisages different forms of repayments, with different mandatory fees or interest rates, which may not be given a monetary expression and the amount of the actual annual interest rate may not be calculated in a reasonable way, it is assumed that the entire amount of the credit shall be repaid in the most common repayment form used by the financial organisation for the given/similar credits, with mandatory fees and interest rates.
11. If the crediting contract envisages different forms of repayments for different time periods, with different mandatory fees or interest rates, which are known in advance for each time period, the mandatory fees and interest rates shall be included in the amount determined for the given time period in the calculation of the actual annual interest rate.
12. In case of a credit line (overdraft), it is assumed that:
(1) the credit will be used in full by the consumer starting from the day of concluding the crediting contract;
(2) on the day following the subsequent repayment of the revolving credit line, the consumer will again use the credit line in full in the amount of the unused portion;
(3) the credit line will be repaid in full at the end of the repayment day of the crediting contract;
(4) the grace period (if any) is not taken into account in the calculation of the actual annual interest rate.
13.
Example 1: Simple loan — Equal repayment | |
13.1. Loan conditions |
Amount: AMD 500 000 |
13.2. Repayment Schedule
Repayment frequency — n |
Number of days from receiving the credit to the subsequent |
Interest amounts repaid |
Repayments of the principal amount |
Subsequent total repayment |
1 |
31 |
4,246.58 |
39,708.87 |
43,955.44 |
2 |
62 |
3,909.32 |
40,046.12 |
43,955.44 |
3 |
90 |
3,223.80 |
40,731.65 |
43,955.44 |
4 |
121 |
3,223.26 |
40,732.18 |
43,955.44 |
5 |
151 |
2,784.50 |
41,170.94 |
43,955.44 |
6 |
182 |
2,527.65 |
41,427.79 |
43,955.44 |
7 |
212 |
2,105.61 |
41,849.83 |
43,955.44 |
8 |
243 |
1,820.36 |
42,135.08 |
43,955.44 |
9 |
274 |
1,462.50 |
42,492.94 |
43,955.44 |
10 |
304 |
1,066.07 |
42,889.38 |
43,955.44 |
11 |
335 |
737.33 |
43,218.11 |
43,955.44 |
12 |
365 |
358.33 |
43,597.11 |
43,955.44 |
Total |
27,465.31 |
500,000.00 |
527,465.31 |
13.3. Calculation |
N=12 |
14.
Example 2: Simple loan - Non-equal repayment | |
14.1. Loan conditions |
Amount: AMD 500 000 |
14.2. Repayment Schedule
Repayment frequency — n |
Number of days from receiving the credit to the subsequent repayment — Dn |
Interest amounts repaid |
Repayments of the principal amount |
Subsequent total repayment amount — Kn |
1 |
31 |
4,246.58 |
41,666.67 |
45,913.24 |
2 |
62 |
3,892.69 |
41,666.67 |
45,559.36 |
3 |
90 |
3,196.35 |
41,666.67 |
44,863.01 |
4 |
121 |
3,184.93 |
41,666.67 |
44,851.60 |
5 |
151 |
2,739.73 |
41,666.67 |
44,406.39 |
6 |
182 |
2,477.17 |
41,666.67 |
44,143.84 |
7 |
212 |
2,054.79 |
41,666.67 |
43,721.46 |
8 |
243 |
1,769.41 |
41,666.67 |
43,436.07 |
9 |
274 |
1,415.53 |
41,666.67 |
43,082.19 |
10 |
304 |
1,027.40 |
41,666.67 |
42,694.06 |
11 |
335 |
707.76 |
41,666.67 |
42,374.43 |
12 |
365 |
342.47 |
41,666.67 |
42,009.13 |
Total |
27,054.79 |
500,000 |
527,054.79 |
14.3. Calculation |
N=12 |
15.
Example 3: Simple loan — Equal quarterly repayment | |
15.1. Loan conditions |
Amount: AMD 500 000 |
15.2. Repayment Schedule
Repayment frequency— n |
Number of days from receiving the credit to the subsequent repayment — Dn |
Interest amounts repaid |
Repayments of the principal amount |
Subsequent total repayment amount — Kn |
1 |
92 |
12,602.74 |
120,293.02 |
132,895.76 |
2 |
181 |
9,258.61 |
123,637.16 |
132,895.76 |
3 |
273 |
6,454.36 |
126,441.40 |
132,895.76 |
4 |
365 |
3,267.35 |
129,628.42 |
132,895.76 |
Total |
31,583.06 |
500,000 |
531,583.06 |
15.3. Calculation |
N=4 |
16.
Example 4: Simple loan — Non-equal quarterly repayment | |
16.1. Loan conditions |
Amount: AMD 500 000 |
16.2. Repayment Schedule
Repayment frequency — n |
Number of days from receiving the credit to the subsequent repayment — Dn |
Interest amounts repaid |
Repayments of the principal amount |
Subsequent total repayment amount — Kn |
1 |
92 |
12,602.74 |
125,000 |
137,602.74 |
2 |
181 |
9,143.84 |
125,000 |
134,143.84 |
3 |
273 |
6,301.37 |
125,000 |
131,301.37 |
4 |
365 |
3,150.68 |
125,000 |
128,150.68 |
Total |
31,198.63 |
500,000 |
531,198.63 |
16.3. Calculation |
N=4 |
17.
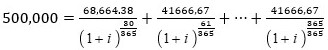
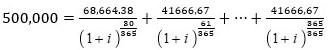
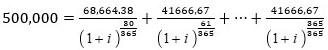
Example 5: Simple loan – Lump-sum payment of the interest amount | |
17.1. Loan conditions |
Amount: AMD 500 000 |
17.2. Repayment Schedule
Repayment frequency — n |
Number of days from receiving the credit to the subsequent repayment — Dn |
Interest amounts repaid |
Repayments of the principal amount |
Subsequent total repayment amount — Kn |
1 |
30 |
26,997.72 |
41,666.67 |
68,664.38 |
2 |
61 |
41,666.67 |
41,666.67 | |
3 |
92 |
41,666.67 |
41,666.67 | |
4 |
120 |
41,666.67 |
41,666.67 | |
5 |
151 |
41,666.67 |
41,666.67 | |
6 |
181 |
41,666.67 |
41,666.67 | |
7 |
212 |
41,666.67 |
41,666.67 | |
8 |
242 |
41,666.67 |
41,666.67 | |
9 |
273 |
41,666.67 |
41,666.67 | |
10 |
304 |
41,666.67 |
41,666.67 | |
11 |
334 |
41,666.67 |
41,666.67 | |
12 |
365 |
41,666.67 |
41,666.67 | |
Total |
26,997.72 |
500,000 |
526,997.72 |
17.3. Calculation |
N=12 i=10.82 |
18.
Example 6: Loan with other lump-sum payments at the moment of receiving the loan | |
18.1. Loan conditions |
Amount: AMD 500 000 |
18.2. Calculation |
|
18.3. Repayment Schedule
Repayment frequency — n |
Number of days from receiving the credit to the subsequent repayment — Dn |
Other fees |
Interest amounts repaid |
Repayments of the principal amount |
Subsequent total repayment amount — Kn |
1 |
0 |
6000 |
6000 | ||
2 |
30 |
4,109.59 |
39,840.90 |
43,950.49 | |
3 |
61 |
3,908.20 |
40,042.29 |
43,950.49 | |
4 |
92 |
3,568.12 |
40,382.37 |
43,950.49 | |
5 |
120 |
2,913.03 |
41,037.46 |
43,950.49 | |
6 |
151 |
2,876.60 |
41,073.88 |
43,950.49 | |
7 |
181 |
2,446.22 |
41,504.27 |
43,950.49 | |
8 |
212 |
2,175.26 |
41,775.23 |
43,950.49 | |
9 |
242 |
1,761.73 |
42,188.76 |
43,950.49 | |
10 |
273 |
1,462.14 |
42,488.35 |
43,950.49 | |
11 |
304 |
1,101.28 |
42,849.21 |
43,950.49 | |
12 |
334 |
713.57 |
43,236.92 |
43,950.49 | |
13 |
365 |
370.13 |
43,580.35 |
43,950.49 | |
Total |
6000 |
27,405.86 |
500,000 |
533,405.86 |
19.
Example 7: Loan during loan servicing with other variable payments | |
19.1. Loan conditions |
Amount: AMD 3 000 000 |
19.2. Repayment Schedule
Repayment frequency — n |
Number of days from receiving the credit to the subsequent repayment — Dn |
Other fees |
Interest amounts repaid |
Repayments of the principal amount |
Subsequent total repayment amount — Kn |
1 |
0 |
98,000 |
98000 | ||
2 |
31 |
1000 |
25,479.45 |
112,925.24 |
139,404.69 |
3 |
59 |
1000 |
22,147.42 |
116,257.27 |
139,404.69 |
4 |
90 |
1000 |
23,532.97 |
114,871.72 |
139,404.69 |
5 |
120 |
1000 |
21,829.69 |
116,575.00 |
139,404.69 |
6 |
151 |
1000 |
21,567.26 |
116,837.43 |
139,404.69 |
7 |
181 |
1000 |
19,911.23 |
118,493.46 |
139,404.69 |
8 |
212 |
1000 |
19,568.56 |
118,836.13 |
139,404.69 |
9 |
243 |
1000 |
18,559.26 |
119,845.43 |
139,404.69 |
10 |
273 |
1000 |
16,975.55 |
121,429.14 |
139,404.69 |
11 |
304 |
1000 |
16,510.08 |
121,894.61 |
139,404.69 |
12 |
334 |
1000 |
14,975.63 |
123,429.07 |
139,404.69 |
13 |
365 |
1000 |
14,426.51 |
123,978.18 |
139,404.69 |
14 |
375 |
67,500 |
67,500.00 | ||
15 |
396 |
1000 |
13,373.55 |
125,031.15 |
139,404.69 |
16 |
424 |
1000 |
11,120.19 |
127,284.50 |
139,404.69 |
17 |
455 |
1000 |
11,230.59 |
127,174.10 |
139,404.69 |
18 |
485 |
1000 |
9,823.05 |
128,581.64 |
139,404.69 |
19 |
516 |
1000 |
9,058.42 |
129,346.27 |
139,404.69 |
20 |
546 |
1000 |
7,703.09 |
130,701.60 |
139,404.69 |
21 |
577 |
1000 |
6,849.79 |
131,554.90 |
139,404.69 |
22 |
608 |
1000 |
5,732.48 |
132,672.21 |
139,404.69 |
23 |
638 |
1000 |
4,457.10 |
133,947.59 |
139,404.69 |
24 |
669 |
1000 |
3,468.04 |
134,936.66 |
139,404.69 |
25 |
699 |
1000 |
2,247.10 |
136,157.60 |
139,404.69 |
26 |
730 |
1000 |
1,165.59 |
137,239.10 |
139,404.69 |
Total |
189,500 |
321,712.61 |
3,000,000 |
3,511,212.61 |
19.3. Calculation |
|
20.
Example 8: Short-term loan | |
20.1. Loan conditions |
Amount: AMD 800 000 |
20.2. Calculation |
|
20.3. Repayment Schedule
Repayment frequency — n |
Number of days from receiving the credit to the subsequent repayment — Dn |
Other fees |
Interest amounts repaid |
Repayments of the principal amount |
Subsequent total repayment amount — Kn |
1 |
0 |
18,000 |
0 |
18,000 |
18,000 |
2 |
92 |
2,000.00 |
20,164.38 |
259,908.80 |
282,073.18 |
3 |
181 |
2,000.00 |
13,169.35 |
266,903.84 |
282,073.18 |
4 |
273 |
2,000.00 |
6,885.82 |
273,187.36 |
282,073.18 |
Total |
24,000 |
40,219.55 |
800,000.00 |
846,219.55 |
21.
Example 9: Credit line (Overdraft) | |
21.1. Loan conditions |
Type: revolving |
21.2. Calculation |
|
21.3. Repayment Schedule
Repayment frequency— n |
Number of days from receiving the credit to the subsequent repayment — Dn |
Other fees |
Interest amounts repaid |
Repayments of the principal amount |
Subsequent total repayment amount — Kn |
1 |
0 |
50,000 |
0 |
0 |
50,000 |
2 |
31 |
0 |
0 |
0 |
0 |
3 |
59 |
0 |
0 |
0 |
0 |
4 |
90 |
0 |
0 |
0 |
0 |
5 |
120 |
0 |
0 |
0 |
0 |
6 |
151 |
0 |
0 |
0 |
0 |
7 |
181 |
0 |
0 |
0 |
0 |
8 |
212 |
0 |
0 |
0 |
0 |
9 |
243 |
0 |
0 |
0 |
0 |
10 |
273 |
0 |
0 |
0 |
0 |
11 |
304 |
0 |
0 |
0 |
0 |
12 |
334 |
0 |
0 |
0 |
0 |
13 |
365 |
0 |
300,000 |
1,500,000 |
1,800,000 |
Total |
300,000 |
1,500,000 |
1,850,000 |
22.
Example 12: Revolving credit line with monthly payments of the used portion and interest amounts | |
22.1. Loan conditions |
Amount: AMD 750 000 |
22.2. Calculation |
|
22.3. Repayment Schedule
Repayment frequency — n |
Number of days from receiving the credit to the subsequent repayment — Dn |
Other fees |
Interest amounts repaid |
Repayments of the principal amount |
Subsequent total repayment amount — Kn |
1 |
0 |
23,750 |
0 |
0 |
23,750.00 |
2 |
31 |
0 |
9,554.79 |
9,554.79 | |
3 |
59 |
0 |
8,630.14 |
8,630.14 | |
4 |
90 |
0 |
9,554.79 |
9,554.79 | |
5 |
120 |
0 |
9,246.58 |
9,246.58 | |
6 |
151 |
0 |
9,554.79 |
9,554.79 | |
7 |
181 |
0 |
9,246.58 |
9,246.58 | |
8 |
212 |
0 |
9,554.79 |
9,554.79 | |
9 |
243 |
0 |
9,554.79 |
9,554.79 | |
10 |
273 |
0 |
9,246.58 |
9,246.58 | |
11 |
304 |
0 |
9,554.79 |
9,554.79 | |
12 |
334 |
0 |
9,246.58 |
9,246.58 | |
13 |
365 |
0 |
9,554.79 |
750,000 |
759,554.79 |
Total |
23,750 |
112,500 |
750,000 |
886,250 |
23.
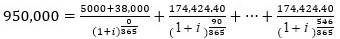
Example 10: Agricultural loan in foreign currency | |
23.1. Loan conditions |
Amount: USD 2000 |
23.2. Calculation |
|
23.3
Repayment frequency — n |
Number of days from receiving the credit to the subsequent repayment — Dn |
Other fees |
Interest amounts repaid |
Repayments of the principal amount |
Subsequent total repayment amount — Kn |
1 |
0 |
43,000 |
0 |
0 |
43,000.00 |
2 |
31 |
2000 |
8,875.34 |
48,601.80 |
59,477.14 |
3 |
59 |
2000 |
7,606.32 |
49,870.83 |
59,477.14 |
4 |
90 |
2000 |
7,955.37 |
49,521.78 |
59,477.14 |
5 |
120 |
2000 |
7,251.01 |
50,226.13 |
59,477.14 |
6 |
151 |
2000 |
7,023.47 |
50,453.67 |
59,477.14 |
7 |
181 |
2000 |
6,340.75 |
51,136.39 |
59,477.14 |
8 |
212 |
2000 |
6,074.37 |
51,402.77 |
59,477.14 |
9 |
243 |
2000 |
5,594.14 |
51,883.00 |
59,477.14 |
10 |
273 |
2000 |
4,944.61 |
52,532.54 |
59,477.14 |
11 |
304 |
2000 |
4,618.64 |
52,858.50 |
59,477.14 |
12 |
334 |
2000 |
3,991.76 |
53,485.39 |
59,477.14 |
13 |
365 |
2000 |
3,625.13 |
53,852.01 |
59,477.14 |
14 |
396 |
2000 |
3,122.02 |
54,355.12 |
59,477.14 |
15 |
424 |
2000 |
2,361.22 |
55,115.92 |
59,477.14 |
16 |
455 |
2000 |
2,099.29 |
55,377.85 |
59,477.14 |
17 |
485 |
2000 |
1,530.90 |
55,946.25 |
59,477.14 |
18 |
516 |
2000 |
1,059.25 |
56,417.90 |
59,477.14 |
19 |
546 |
2000 |
515.00 |
56,962.14 |
59,477.14 |
Total |
79,000 |
84,588.60 |
950,000 |
1,113,588.60 |
24.
Example 11: Phased loan for agricultural purposes | |
24.1. Loan conditions |
Amount: USD 2000 |
24.2. Calculation |
|
24.3. Repayment Schedule
Repayment frequency — n |
Number of days from receiving the credit to the subsequent repayment — Dn |
Other fees |
Interest amounts repaid |
Repayments of the principal amount |
Subsequent total repayment amount — Kn |
1 |
0 |
43000 |
0 |
0 |
43,000.00 |
2 |
31 |
2000 |
4,034.25 |
0 |
6,034.25 |
3 |
59 |
2000 |
3,643.84 |
0 |
5,643.84 |
4 |
90 |
2000 |
4,034.25 |
0 |
6,034.25 |
5 |
120 |
2000 |
3,904.11 |
0 |
5,904.11 |
6 |
151 |
2000 |
4,034.25 |
0 |
6,034.25 |
7 |
181 |
2000 |
3,904.11 |
0 |
5,904.11 |
8 |
212 |
2000 |
4,034.25 |
0 |
6,034.25 |
9 |
243 |
2000 |
4,034.25 |
0 |
6,034.25 |
10 |
273 |
2000 |
3,904.11 |
0 |
5,904.11 |
11 |
304 |
2000 |
4,034.25 |
0 |
6,034.25 |
12 |
334 |
2000 |
3,904.11 |
0 |
5,904.11 |
13 |
365 |
2000 |
4,034.25 |
0 |
6,034.25 |
14 |
396 |
2000 |
4,034.25 |
0 |
6,034.25 |
15 |
424 |
2000 |
7,287.67 |
0 |
9,287.67 |
16 |
455 |
2000 |
8,068.49 |
0 |
10,068.49 |
17 |
485 |
2000 |
7,808.22 |
0 |
9,808.22 |
18 |
516 |
2000 |
8,068.49 |
0 |
10,068.49 |
19 |
546 |
2000 |
7,808.22 |
0 |
9,808.22 |
20 |
577 |
2000 |
8,068.49 |
0 |
10,068.49 |
21 |
608 |
2000 |
8,068.49 |
0 |
10,068.49 |
22 |
638 |
2000 |
7,808.22 |
0 |
9,808.22 |
23 |
669 |
2000 |
8,068.49 |
0 |
10,068.49 |
24 |
699 |
2000 |
7,808.22 |
0 |
9,808.22 |
25 |
730 |
2000 |
8,068.49 |
950,000 |
960,068.49 |
Total |
91,000 |
138,465.75 |
950,000 |
1,179,465.75 |
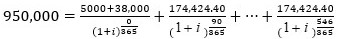
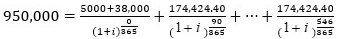
25.
Example 11: Agricultural loan with quarterly repayment | |
25.1. Loan conditions |
Amount: USD 2000 |
25.2. Calculation |
|
25.3. Repayment Schedule
Repayment frequency — n |
Number of days from receiving the credit to the subsequent repayment — Dn |
Other fees |
Interest amounts repaid |
Repayments of the principal amount |
Subsequent total repayment amount — Kn |
0 |
0 |
43,000 |
0 |
0 |
43,000.00 |
1 |
90 |
2000 |
23,424.66 |
148,999.75 |
174,424.40 |
2 |
181 |
2000 |
19,970.14 |
152,454.26 |
174,424.40 |
3 |
273 |
2000 |
16,346.91 |
156,077.49 |
174,424.40 |
4 |
365 |
2000 |
12,412.90 |
160,011.50 |
174,424.40 |
5 |
455 |
2000 |
8,197.57 |
164,226.83 |
174,424.40 |
6 |
546 |
2000 |
4,194.23 |
168,230.17 |
174,424.40 |
Total |
55,000 |
84,546.42 |
950,000 |
1,089,546.42 |
26.
Example 13: Mortgage loan in dram, with fixed interest rate | |
26.1. Loan conditions |
Amount: AMD 15,000,000 |
26.2. Calculation |
N=121, of which one payment is the payment at the moment of receiving the loan and the other 120 are the payments of the principal amount and interests. |
26.3. Repayment Schedule
Repayment frequency — n |
Number of days from receiving the credit to the subsequent repayment — Dn |
Other fees |
Interest amounts repaid |
Repayments of the principal amount |
Subsequent total repayment amount — Kn |
1 |
0 |
150,000 |
0 |
0 |
150,000 |
2 |
30 |
0 |
147,945.21 |
70,618.65 |
218,563.86 |
3 |
61 |
0 |
152,156.98 |
66,406.87 |
218,563.86 |
4 |
92 |
0 |
151,480.18 |
67,083.68 |
218,563.86 |
5 |
120 |
0 |
136,203.27 |
82,360.59 |
218,563.86 |
6 |
151 |
0 |
149,957.07 |
68,606.78 |
218,563.86 |
7 |
181 |
0 |
144,443.08 |
74,120.78 |
218,563.86 |
8 |
212 |
0 |
148,502.43 |
70,061.43 |
218,563.86 |
9 |
242 |
0 |
143,021.01 |
75,542.85 |
218,563.86 |
10 |
273 |
0 |
147,018.46 |
71,545.40 |
218,563.86 |
11 |
304 |
0 |
146,289.29 |
72,274.57 |
218,563.86 |
12 |
334 |
0 |
140,857.43 |
77,706.43 |
218,563.86 |
13 |
365 |
45,000 |
144,760.71 |
28,803.15 |
218,563.86 |
14 |
395 |
0 |
139,806.93 |
78,756.93 |
218,563.86 |
15 |
426 |
0 |
143,664.48 |
74,899.37 |
218,563.86 |
16 |
457 |
0 |
142,901.12 |
75,662.73 |
218,563.86 |
17 |
485 |
0 |
128,375.47 |
90,188.38 |
218,563.86 |
18 |
516 |
0 |
141,210.81 |
77,353.05 |
218,563.86 |
19 |
546 |
0 |
135,892.69 |
82,671.17 |
218,563.86 |
... |
218,563.86 | ||||
119 |
3591 |
0 |
6,550.14 |
212,013.72 |
218,563.86 |
120 |
3621 |
0 |
4,247.75 |
214,316.10 |
218,563.86 |
121 |
3652 |
0 |
2,205.08 |
216,358.78 |
218,563.86 |
Total |
555,000 |
10,822,663 |
15,000,000 |
26,377,663 |
27.
Example 14: Mortgage loan in dram, non-equal | |
27.1. Loan conditions |
Amount: AMD 15,000,000 |
27.2. Calculation |
N=121, of which one payment is the payment at the moment of receiving the loan and the other 120 are the payments of the principal amount and interests. |
27.3. Repayment Schedule
Repayment frequency — n |
Number of days from receiving the credit to the subsequent repayment — Dn |
Other fees |
Interest amounts repaid |
Repayments of the principal amount |
Subsequent total repayment amount — Kn |
1 |
0 |
150,000 |
0 |
0 |
150,000 |
2 |
30 |
0 |
147,945.21 |
125,000.00 |
272,945.21 |
3 |
61 |
0 |
151,602.74 |
125,000.00 |
276,602.74 |
4 |
92 |
0 |
150,328.77 |
125,000.00 |
275,328.77 |
5 |
120 |
0 |
134,630.14 |
125,000.00 |
259,630.14 |
6 |
151 |
0 |
147,780.82 |
125,000.00 |
272,780.82 |
7 |
181 |
0 |
141,780.82 |
125,000.00 |
266,780.82 |
8 |
212 |
0 |
145,232.88 |
125,000.00 |
270,232.88 |
9 |
242 |
0 |
139,315.07 |
125,000.00 |
264,315.07 |
10 |
273 |
0 |
142,684.93 |
125,000.00 |
267,684.93 |
11 |
304 |
0 |
141,410.96 |
125,000.00 |
266,410.96 |
12 |
334 |
0 |
135,616.44 |
125,000.00 |
260,616.44 |
13 |
365 |
45,000 |
138,863.01 |
125,000.00 |
308,863.01 |
14 |
395 |
0 |
133,150.68 |
125,000.00 |
258,150.68 |
15 |
426 |
0 |
136,315.07 |
125,000.00 |
261,315.07 |
16 |
457 |
0 |
135,041.10 |
125,000.00 |
260,041.10 |
17 |
485 |
0 |
120,821.92 |
125,000.00 |
245,821.92 |
18 |
516 |
0 |
132,493.15 |
125,000.00 |
257,493.15 |
19 |
546 |
0 |
126,986.30 |
125,000.00 |
251,986.30 |
... |
|||||
119 |
3591 |
0 |
3,821.92 |
125,000.00 |
128,821.92 |
120 |
3621 |
0 |
2,465.75 |
125,000.00 |
127,465.75 |
121 |
3652 |
0 |
1,273.97 |
125,000.00 |
126,273.97 |
Total |
555,000 |
9,076,603 |
15,000,000 |
24,631,603 |
28.
Example 15: Mortgage loan in foreign currency, with fixed interest rate | |
28.1. Loan conditions |
Amount: USD 40,000 |
28.2. Calculation |
Taking into account the conditions of the loan, as well as the fact that the values expressed in foreign currency are converted at the settlement rate of the Central Bank on the day of providing (extending) the loan, we will get the following indicators: |
28.3. Repayment Schedule
Repayment frequency — n |
Number of days from receiving the credit to the subsequent repayment — Dn |
Other fees |
Interest amounts repaid |
Repayments of the principal amount |
Subsequent total repayment amount — Kn |
1 |
0 |
265,000 |
0 |
0 |
265,000 |
2 |
30 |
0 |
140,547.95 |
103,508.92 |
244,056.86 |
3 |
61 |
0 |
144,441.67 |
99,615.19 |
244,056.86 |
4 |
92 |
0 |
143,680.23 |
100,376.63 |
244,056.86 |
5 |
120 |
0 |
129,082.68 |
114,974.18 |
244,056.86 |
6 |
151 |
0 |
142,034.12 |
102,022.74 |
244,056.86 |
7 |
181 |
0 |
136,697.69 |
107,359.17 |
244,056.86 |
8 |
212 |
0 |
140,433.64 |
103,623.22 |
244,056.86 |
9 |
242 |
0 |
135,137.00 |
108,919.86 |
244,056.86 |
10 |
273 |
0 |
138,809.00 |
105,247.86 |
244,056.86 |
11 |
304 |
0 |
138,004.50 |
106,052.36 |
244,056.86 |
12 |
334 |
0 |
132,768.25 |
111,288.62 |
244,056.86 |
13 |
365 |
45,000 |
136,343.18 |
62,713.68 |
244,056.86 |
14 |
395 |
0 |
131,481.11 |
112,575.76 |
244,056.86 |
... |
244,056.86 | ||||
119 |
3591 |
0 |
5,513.01 |
238,543.85 |
244,056.86 |
120 |
3621 |
0 |
3,570.60 |
240,486.26 |
244,056.86 |
121 |
3652 |
0 |
1,851.38 |
242,205.48 |
244,056.86 |
Total |
670,000 |
9,881,823 |
19,000,000 |
29,551,823 |
29.
Example 16: Mortgage loan in foreign currency, with floating interest rate | |
29.1. Loan conditions |
Amount: USD 40,000 |
29.2. Calculation |
Taking into account the conditions of the loan, as well as the fact that the values expressed in foreign currency are converted at the settlement rate of the Central Bank on the day of providing (extending) the loan, we will get the following indicators: |
29.3. Repayment Schedule
Repayment frequency — n |
Number of days from receiving the credit to the subsequent repayment — Dn |
Other fees |
Interest amounts repaid |
Repayments of the principal amount |
Subsequent total repayment amount — Kn |
1 |
0 |
265,000 |
0 |
0 |
265,000 |
2 |
30 |
0 |
156,164.38 |
98,291.04 |
254,455.42 |
3 |
61 |
0 |
160,535.06 |
93,920.36 |
254,455.42 |
4 |
92 |
0 |
159,737.38 |
94,718.04 |
254,455.42 |
5 |
120 |
0 |
143,552.32 |
110,903.10 |
254,455.42 |
6 |
151 |
0 |
157,991.01 |
96,464.41 |
254,455.42 |
7 |
181 |
0 |
152,101.67 |
102,353.75 |
254,455.42 |
8 |
212 |
0 |
156,302.42 |
98,153.00 |
254,455.42 |
9 |
242 |
0 |
150,453.67 |
104,001.75 |
254,455.42 |
10 |
273 |
0 |
154,585.49 |
99,869.93 |
254,455.42 |
11 |
304 |
0 |
153,737.28 |
100,718.14 |
254,455.42 |
12 |
334 |
0 |
147,950.19 |
106,505.23 |
254,455.42 |
13 |
365 |
45,000 |
151,977.30 |
57,478.12 |
254,455.42 |
14 |
395 |
146,602.38 |
107,853.04 |
254,455.42 | |
... |
|||||
119 |
3591 |
0 |
8,824.98 |
263,444.47 |
272,269.44 |
120 |
3621 |
0 |
5,725.42 |
266,544.03 |
272,269.44 |
121 |
3652 |
0 |
2,973.32 |
269,296.12 |
272,269.44 |
Total |
670,000 |
12,198,492 |
19,000,000 |
31,868,492 |
30.
Example 13: Programme mortgage loan in dram, with fixed interest rate | |
30.1. Loan conditions |
Amount: AMD 15,000,000 |
30.2. Calculation |
N=121, of which one payment is the payment at the moment of receiving the credit and the other 120 are the payments of the principal amount and interests. |
30.3. Repayment Schedule
Repayment frequency — n |
Number of days from receiving the credit to the subsequent repayment — Dn |
Other fees |
Interest amounts repaid |
Repayments of the principal amount |
Subsequent total repayment amount — Kn |
1 |
0 |
150,000 |
0 |
0 |
150,000 |
2 |
30 |
0 |
98,630.14 |
86,735.58 |
185,365.71 |
3 |
61 |
0 |
101,328.48 |
84,037.23 |
185,365.71 |
4 |
92 |
0 |
100,757.49 |
84,608.22 |
185,365.71 |
5 |
120 |
0 |
90,487.52 |
94,878.19 |
185,365.71 |
6 |
151 |
0 |
99,537.96 |
85,827.75 |
185,365.71 |
7 |
181 |
0 |
95,762.72 |
89,603.00 |
185,365.71 |
8 |
212 |
0 |
98,346.00 |
87,019.72 |
185,365.71 |
9 |
242 |
0 |
94,601.36 |
90,764.35 |
185,365.71 |
10 |
273 |
0 |
97,138.04 |
88,227.67 |
185,365.71 |
11 |
304 |
0 |
96,538.57 |
88,827.14 |
185,365.71 |
12 |
334 |
0 |
92,840.36 |
92,525.35 |
185,365.71 |
13 |
365 |
45,000 |
95,306.37 |
45,059.34 |
185,365.71 |
14 |
395 |
0 |
91,935.69 |
93,430.02 |
185,365.71 |
15 |
426 |
0 |
94,365.40 |
91,000.31 |
185,365.71 |
16 |
457 |
0 |
93,747.10 |
91,618.61 |
185,365.71 |
17 |
485 |
0 |
84,112.54 |
101,253.18 |
185,365.71 |
18 |
516 |
0 |
92,436.63 |
92,929.09 |
185,365.71 |
19 |
546 |
0 |
88,843.76 |
96,521.95 |
185,365.71 |
... |
185,365.71 | ||||
119 |
3591 |
0 |
3,728.18 |
181,637.53 |
185,365.71 |
120 |
3621 |
0 |
2,413.59 |
182,952.12 |
185,365.71 |
121 |
3652 |
0 |
1,250.97 |
184,114.74 |
185,365.71 |
Total |
555,000 |
6,838,886 |
15,000,000 |
22,393,886 |
(Annex edited by No 2-N of 17 January 2020)
Translation published on a joint site 18 december 2023
