ՀԱՅԱՍՏԱՆԻ ՀԱՆՐԱՊԵՏՈՒԹՅԱՆ ԿԱՌԱՎԱՐՈՒԹՅՈՒՆ
Ո Ր Ո Շ ՈՒ Մ
14 սեպտեմբերի 2023 թվականի N 1595-Ն
ՀԱՅԱՍՏԱՆԻ ՀԱՆՐԱՊԵՏՈՒԹՅԱՆ ԱՐԱԳԱԾՈՏՆԻ ՄԱՐԶԻ ԱՊԱՐԱՆ ՀԱՄԱՅՆՔԻ ՎԱՐԴԵՆՈՒՏ ԵՎ ԱՐԱԳԱԾ ԲՆԱԿԱՎԱՅՐԵՐՈՒՄ ԳՏՆՎՈՂ ՈՐՈՇ ՏԱՐԱԾՔՆԵՐԻ ՆԿԱՏՄԱՄԲ ՀԱՆՐՈՒԹՅԱՆ ԳԵՐԱԿԱ ՇԱՀ ՃԱՆԱՉԵԼՈՒ ՄԱՍԻՆ
Ղեկավարվելով «Հանրության գերակա շահերի ապահովման նպատակով սեփականության օտարման մասին» Հայաստանի Հանրապետության օրենքի 4-րդ, 5-րդ և 7-րդ հոդվածների դրույթներով` Հայաստանի Հանրապետության կառավարությունը որոշում է.
1. Հայաստանի Հանրապետության կառավարության 2023 թվականի մարտի 2-ի N 279-Ա որոշմամբ (այսուհետ՝ որոշում) հավանություն ստացած՝ «ՌԻԴ» սահմանափակ պատասխանատվությամբ ընկերության (այսուհետ՝ ընկերություն) կողմից ներկայացված՝ ամառային և ձմեռային զբոսաշրջային, լեռնադահուկային, էկոգյուղատնտեսական արտադրության կենտրոնի ստեղծման և ջրամբարի կառուցման «Արագած» ներդրումային ծրագիրը (այսուհետ՝ ծրագիր) իրականացնելու նպատակով սույն որոշման N 2 հավելվածում նշված տարածքներում ներառված՝ N 1 հավելվածում նշված հողամասերի (կադաստրային ծածկագրերով անշարժ գույքի միավորների) նկատմամբ ճանաչել հանրության գերակա շահ` հետևյալ հիմնավորումներով`
1) ծրագրի իրականացման շահը գերակայում է օտարվող սեփականության սեփականատերերի շահերից, քանի որ՝
ա. ծրագրի իրականացման արդյունքում կներգրավվեն նոր ներդրումներ, կստեղծվեն նոր աշխատատեղեր, կբարձրանա մարզի նկատմամբ գրավչությունը, կբարելավվի զբոսաշրջությունը, ինչը բնականաբար կունենա սոցիալ-տնտեսական բարձր նշանակություն մարզի և ամբողջ հանրապետության համար,
բ. ծրագրի իրականացումը կունենա նաև բնապահպանական, առողջության, սպորտի, մշակույթի զարգացման նշանակություն.
2) ծրագրի արդյունավետ իրագործումը չի կարող ապահովվել առանց սույն որոշման N 1 հավելվածում ընդգրկված կադաստրային ծածկագրերով անշարժ գույքի միավորների oտարման:
2. Հաստատել՝
1) Հայաստանի Հանրապետության Արագածոտնի մարզի Ապարան համայնքի Վարդենուտ և Արագած բնակավայրերի վարչական սահմաններում գտնվող այն հողամասերի ցանկը և սխեման, որոնց նկատմամբ ճանաչվել է հանրության գերակա շահ՝ համաձայն NN 1 և 2 հավելվածների։
3. Սահմանել, որ`
1) սույն որոշման 2-րդ կետով հաստատված հավելվածներում նշված տարածքների ձեռք բերող է հանդիuանում ընկերությունը.
2) նախատեսված օտարման գործառույթների իրականացումը համակարգող է հանդիսանում Հայաստանի Հանրապետության էկոնոմիկայի նախարարությունը․
3) սեփականության օտարման գործընթացն սկսելու վերջնական ժամկետը 2024 թվականի ապրիլի 1-ն է.
4) սույն որոշմամբ հանրության գերակա շահ ճանաչված անշարժ գույքի միավորների և դրանցում առկա սեփականության օբյեկտների նկարագրության արձանագրության կազմման գործառույթներն իրականացնում է սույն որոշման 3-րդ կետի 2-րդ ենթակետով նախատեսված՝ օտարման գործառույթների իրականացումը համակարգող ճանաչված՝ Հայաստանի Հանրապետության էկոնոմիկայի նախարարությունը.
5) սույն որոշմամբ հանրության գերակա շահ ճանաչված անշարժ գույքի միավորների և դրանցում առկա սեփականության օբյեկտների նկարագրության արձանագրության կազմման աշխատանքներն իրականացվում են Հայաստանի Հանրապետության կառավարության 2007 թվականի հունվարի 25-ի N 108-Ն որոշմամբ սահմանված կարգով և նկարագրության արձանագրության օրինակելի ձևով.
6) օտարվող սեփականություն ձեռք բերողի իրավունքներն ու պարտականությունները սահմանվում են «Հանրության գերակա շահերի ապահովման նպատակով uեփականության oտարման մաuին» օրենքի հիման վրա տարածքները ձեռք բերողի և լիազոր մարմնի միջև կնքված և սույն որոշմանը կցված պայմանագրին համապատասխան:
4. Սահմանել, որ սույն որոշման NN 1 և 2 հավելվածներում նշված տարածքները կարող են օգտագործվել բացառապես որոշմամբ հավանություն ստացած ծրագրով նախատեսված գործողություններն իրականացնելու նպատակով:
5. Սահմանել, որ պայմանագրի նոտարական վավերացման և դրանից բխող գույքային իրավունքների պետական գրանցման հետ կապված վճարներն ու տուրքերը պետք է վճարվեն ընկերության միջոցների հաշվին։
6. Ընդունել ի գիտություն, որ օտարվող սեփականություն ձեռք բերողն ստանձնել է պայմանագրային պարտավորություն` պետությանը զերծ պահելու ցանկացած վնասից և պատասխանատվությունից, որոնք կարող են առաջանալ սեփականության օտարման արդյունքում կամ հետևանքով` կապված սեփականության դիմաց փոխհատուցման անհամարժեքության, ինչպես նաև քաղաքաշինական ծրագրի իրականացման հետ:
7. Առաջարկել Ապարան համայնքի ղեկավարին օժանդակել Հայաստանի Հանրապետության օրենսդրությամբ սահմանված կարգով հողամասերի նպատակային նշանակության փոփոխության, օտարման և ընկերության հետ պայմանագրի սահմանված կարգով կնքման գործընթացին։
8. Սույն որոշումն ուժի մեջ է մտնում պաշտոնական հրապարակման օրվան հաջորդող տասներորդ օրը:
|
Հայաստանի Հանրապետության |
Ն. Փաշինյան |
|
Երևան |
|
18.09.2023 ՀԱՎԱՍՏՎԱԾ Է ԷԼԵԿՏՐՈՆԱՅԻՆ ՍՏՈՐԱԳՐՈՒԹՅԱՄԲ |
|
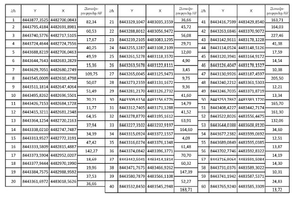
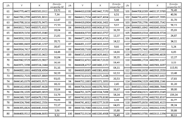
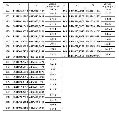
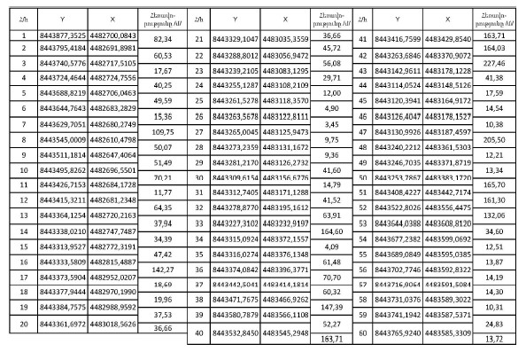
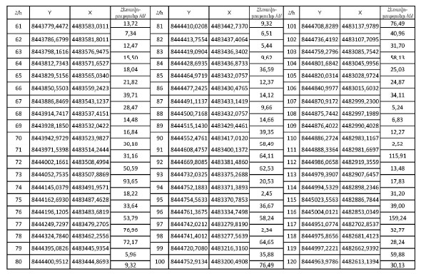
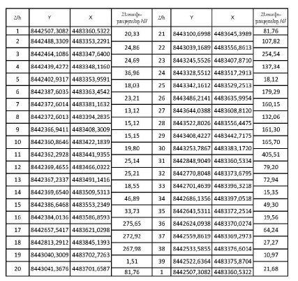
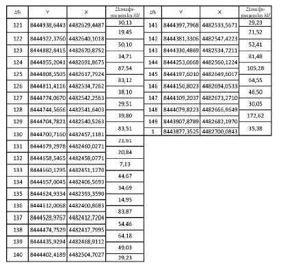
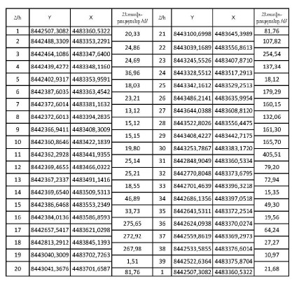
Հավելված N 1 ՀՀ կառավարության 2023 թվականի սեպտեմբերի 14-ի N 1595-Ն որոշման |
Ց Ա Ն Կ
ՀԱՅԱՍՏԱՆԻ ՀԱՆՐԱՊԵՏՈՒԹՅԱՆ ԱՐԱԳԱԾՈՏՆԻ ՄԱՐԶԻ ԱՊԱՐԱՆ ՀԱՄԱՅՆՔԻ ՎԱՐԴԵՆՈՒՏ ԵՎ ԱՐԱԳԱԾ ԲՆԱԿԱՎԱՅՐԵՐԻ ՎԱՐՉԱԿԱՆ ՍԱՀՄԱՆՆԵՐՈՒՄ ԳՏՆՎՈՂ ԱՅՆ ՀՈՂԱՄԱՍԵՐԻ, ՈՐՈՆՑ ՆԿԱՏՄԱՄԲ ՃԱՆԱՉՎԵԼ Է ՀԱՆՐՈՒԹՅԱՆ ԳԵՐԱԿԱ ՇԱՀ
ԲՆԱԿԱՎԱՅՐ ՎԱՐԴԵՆՈՒՏ
|
NN ը/կ |
Հողամասի կադաստրային ծածկագիր |
|
1 |
2 |
|
1. |
02-102-0101-0001 |
|
2. |
02-102-0101-0002 |
|
3. |
02-102-0101-0003 |
|
4. |
02-102-0101-0013 |
|
5. |
02-102-0101-0014 |
|
6. |
02-102-0101-0015 |
|
7. |
02-102-0101-0016 |
|
8. |
02-102-0101-0020 |
|
9. |
02-102-0101-0021 |
|
10. |
02-102-0101-0022 |
|
11. |
02-102-0101-0023 |
|
12. |
02-102-0101-0026 |
|
13. |
02-102-0101-0027 |
|
14. |
02-102-0101-0028 |
|
15. |
02-102-0101-0029 |
|
16. |
02-102-0101-0030 |
|
17. |
02-102-0101-0031 |
|
18. |
02-102-0101-0032 |
|
19. |
02-102-0101-0033 |
|
20. |
02-102-0101-0034 |
|
21. |
02-102-0101-0035 |
|
22. |
02-102-0101-0036 |
|
23. |
02-102-0101-0037 |
|
24. |
02-102-0101-0038 |
|
25. |
02-102-0101-0045 |
|
26. |
02-102-0101-0047 |
|
27. |
02-102-0101-0057 |
|
28. |
02-102-0102-0001 |
|
29. |
02-102-0102-0010 |
|
30. |
02-102-0102-0011 |
|
31. |
02-102-0102-0012 |
|
32. |
02-102-0102-0013 |
|
33. |
02-102-0102-0014 |
|
34. |
02-102-0102-0015 |
|
35. |
02-102-0102-0016 |
|
36. |
02-102-0102-0017 |
|
37. |
02-102-0102-0018 |
|
38. |
02-102-0102-0019 |
|
39. |
02-102-0102-0020 |
|
40. |
02-102-0102-0023 |
|
41. |
02-102-0102-0024 |
|
42. |
02-102-0102-0025 |
|
43. |
02-102-0102-0026 |
|
44. |
02-102-0102-0027 |
|
45. |
02-102-0102-0028 |
|
46. |
02-102-0102-0029 |
|
47. |
02-102-0102-0030 |
|
48. |
02-102-0102-0031 |
|
49. |
02-102-0102-0032 |
|
50. |
02-102-0102-0033 |
|
51. |
02-102-0102-0034 |
|
52. |
02-102-0102-0035 |
|
53. |
02-102-0102-0036 |
|
54. |
02-102-0102-0037 |
|
55. |
02-102-0102-0038 |
|
56. |
02-102-0102-0039 |
|
57. |
02-102-0102-0040 |
|
58. |
02-102-0102-0041 |
|
59. |
02-102-0102-0042 |
|
60. |
02-102-0102-0043 |
|
61. |
02-102-0102-0044 |
|
62. |
02-102-0102-0045 |
|
63. |
02-102-0102-0052 |
|
64. |
02-102-0102-0053 |
|
65. |
02-102-0103-0003 |
|
66. |
02-102-0103-0004 |
|
67. |
02-102-0103-0005 |
|
68. |
02-102-0103-0006 |
|
69. |
02-102-0103-0007 |
|
70. |
02-102-0103-0019 |
|
71. |
02-102-0103-0020 |
|
72. |
02-102-0103-0021 |
|
73. |
02-102-0103-0022 |
|
74. |
02-102-0103-0023 |
|
75. |
02-102-0103-0024 |
|
76. |
02-102-0103-0025 |
|
77. |
02-102-0104-0001 |
|
78. |
02-102-0104-0002 |
|
79. |
02-102-0104-0003 |
|
80. |
02-102-0104-0004 |
|
81. |
02-102-0104-0005 |
|
82. |
02-102-0104-0006 |
|
83. |
02-102-0104-0007 |
|
84. |
02-102-0104-0008 |
|
85. |
02-102-0104-0009 |
|
86. |
02-102-0104-0010 |
|
87. |
02-102-0104-0011 |
|
88. |
02-102-0104-0012 |
|
89. |
02-102-0104-0013 |
|
90. |
02-102-0104-0014 |
|
91. |
02-102-0104-0015 |
|
92. |
02-102-0104-0016 |
|
93. |
02-102-0104-0017 |
|
94. |
02-102-0104-0018 |
|
95. |
02-102-0104-0019 |
|
96. |
02-102-0104-0020 |
|
97. |
02-102-0104-0021 |
|
98. |
02-102-0104-0022 |
|
99. |
02-102-0104-0023 |
|
100. |
02-102-0104-0024 |
|
101. |
02-102-0104-0025 |
|
102. |
02-102-0104-0026 |
|
103. |
02-102-0104-0027 |
|
104. |
02-102-0104-0028 |
|
105. |
02-102-0104-0029 |
|
106. |
02-102-0104-0030 |
|
107. |
02-102-0104-0045 |
|
108. |
02-102-0104-0046 |
|
109. |
02-102-0104-0047 |
|
110. |
02-102-0104-0048 |
|
111. |
02-102-0104-0049 |
|
112. |
02-102-0104-0050 |
|
113. |
02-102-0104-0051 |
|
114. |
02-102-0104-0061 |
|
115. |
02-102-0104-0062 |
|
116. |
02-102-0104-0063 |
|
117. |
02-102-0104-0064 |
|
118. |
02-102-0104-0065 |
|
119. |
02-102-0104-0073 |
|
120. |
02-102-0104-0083 |
|
121. |
02-102-0106-0001 |
|
122. |
02-102-0106-0002 |
|
123. |
02-102-0106-0003 |
|
124. |
02-102-0106-0004 |
|
125. |
02-102-0106-0010 |
|
126. |
02-102-0106-0011 |
|
127. |
02-102-0106-0015 |
|
128. |
02-102-0106-0076 |
|
129. |
02-102-0106-0077 |
|
130. |
02-102-0106-0078 |
|
131. |
02-102-0106-0079 |
|
132. |
02-102-0106-0080 |
|
133. |
02-102-0106-0081 |
|
134. |
02-102-0106-0082 |
|
135. |
02-102-0106-0083 |
|
136. |
02-102-0106-0084 |
|
137. |
02-102-0106-0085 |
|
138. |
02-102-0106-0086 |
|
139. |
02-102-0106-0087 |
|
140. |
02-102-0106-0088 |
|
141. |
02-102-0106-0089 |
|
142. |
02-102-0106-0090 |
|
143. |
02-102-0106-0091 |
|
144. |
02-102-0106-0097 |
|
145. |
02-102-0107-0002 |
|
146. |
02-102-0107-0003 |
|
147. |
02-102-0107-0004 |
|
148. |
02-102-0107-0005 |
|
149. |
02-102-0107-0006 |
|
150. |
02-102-0107-0007 |
|
151. |
02-102-0107-0008 |
|
152. |
02-102-0107-0009 |
|
153. |
02-102-0107-0010 |
|
154. |
02-102-0107-0011 |
|
155. |
02-102-0107-0012 |
|
156. |
02-102-0107-0013 |
|
157. |
02-102-0107-0015 |
|
158. |
02-102-0107-0016 |
|
159. |
02-102-0107-0017 |
|
160. |
02-102-0107-0018 |
|
161. |
02-102-0107-0019 |
|
162. |
02-102-0108-0001 |
|
163. |
02-102-0108-0002 |
|
164. |
02-102-0108-0003 |
|
165. |
02-102-0108-0004 |
|
166. |
02-102-0108-0005 |
|
167. |
02-102-0108-0006 |
|
168. |
02-102-0108-0007 |
|
169. |
02-102-0101-0004 |
|
170. |
02-102-0101-0005 |
|
171. |
02-102-0101-0006 |
|
172. |
02-102-0101-0007 |
|
173. |
02-102-0101-0008 |
|
174. |
02-102-0101-0009 |
|
175. |
02-102-0101-0010 |
|
176. |
02-102-0101-0011 |
|
177. |
02-102-0101-0012 |
|
178. |
02-102-0101-0017 |
|
179. |
02-102-0101-0018 |
|
180. |
02-102-0101-0019 |
|
181. |
02-102-0101-0024 |
|
182. |
02-102-0101-0025 |
|
183. |
02-102-0101-0039 |
|
184. |
02-102-0101-0040 |
|
185. |
02-102-0101-0041 |
|
186. |
02-102-0101-0042 |
|
187. |
02-102-0101-0043 |
|
188. |
02-102-0101-0044 |
|
189. |
02-102-0101-0051 |
|
190. |
02-102-0102-0002 |
|
191. |
02-102-0102-0003 |
|
192. |
02-102-0102-0004 |
|
193. |
02-102-0102-0005 |
|
194. |
02-102-0102-0006 |
|
195. |
02-102-0102-0007 |
|
196. |
02-102-0102-0008 |
|
197. |
02-102-0102-0009 |
|
198. |
02-102-0102-0021 |
|
199. |
02-102-0102-0022 |
|
200. |
02-102-0103-0008 |
|
201. |
02-102-0103-0009 |
|
202. |
02-102-0103-0010 |
|
203. |
02-102-0103-0011 |
|
204. |
02-102-0103-0012 |
|
205. |
02-102-0103-0013 |
|
206. |
02-102-0103-0014 |
|
207. |
02-102-0103-0015 |
|
208. |
02-102-0103-0016 |
|
209. |
02-102-0103-0017 |
|
210. |
02-102-0103-0018 |
|
211. |
02-102-0103-0026 |
|
212. |
02-102-0103-0027 |
|
213. |
02-102-0103-0028 |
|
214. |
02-102-0103-0029 |
|
215. |
02-102-0103-0030 |
|
216. |
02-102-0103-0031 |
|
217. |
02-102-0103-0032 |
|
218. |
02-102-0103-0033 |
|
219. |
02-102-0103-0034 |
|
220. |
02-102-0103-0035 |
|
221. |
02-102-0103-0038 |
|
222. |
02-102-0103-0049 |
|
223. |
02-102-0104-0052 |
|
224. |
02-102-0104-0053 |
|
225. |
02-102-0104-0054 |
|
226. |
02-102-0104-0055 |
|
227. |
02-102-0104-0056 |
|
228. |
02-102-0104-0057 |
|
229. |
02-102-0104-0058 |
|
230. |
02-102-0104-0059 |
|
231. |
02-102-0104-0060 |
|
232. |
02-102-0106-0005 |
|
233. |
02-102-0106-0006 |
|
234. |
02-102-0106-0007 |
|
235. |
02-102-0106-0008 |
|
236. |
02-102-0106-0009 |
|
237. |
02-102-0106-0022 |
|
238. |
02-102-0107-0001 |
|
239. |
02-102-0107-0020 |
|
240. |
02-102-0107-0021 |
|
241. |
02-102-0107-0022 |
|
242. |
02-102-0107-0023 |
|
243. |
02-102-0107-0024 |
|
244. |
02-102-0107-0025 |
|
245. |
02-102-0107-0026 |
|
246. |
02-102-0108-0008 |
|
247. |
02-102-0108-0009 |
|
248. |
02-102-0108-0010 |
|
249. |
02-102-0108-0011 |
|
250. |
02-102-0108-0012 |
|
251. |
02-102-0108-0013 |
|
252. |
02-102-0108-0014 |
|
253. |
02-102-0108-0015 |
|
254. |
02-102-0108-0023 |
|
255. |
02-102-0108-0025 |
|
256. |
02-102-0108-0026 |
|
257. |
02-102-0108-0027 |
|
258. |
02-102-0108-0028 |
|
259. |
02-102-0108-0029 |
|
260. |
02-102-0108-0030 |
|
261. |
02-102-0108-0031 |
|
262. |
02-102-0108-0032 |
|
263. |
02-102-0108-0033 |
|
264. |
02-102-0108-0034 |
|
265. |
02-102-0108-0035 |
|
266. |
02-102-0108-0036 |
|
267. |
02-102-0108-0037 |
|
268. |
02-102-0108-0038 |
|
269. |
02-102-0108-0050 |
|
270. |
02-102-0103-0050 |
|
271. |
02-102-0106-0012 |
|
272. |
02-102-0106-0013 |
|
273. |
02-102-0106-0104 |
|
274. |
02-102-0106-0014 |
ԲՆԱԿԱՎԱՅՐ ԱՐԱԳԱԾ
|
NN ը/կ |
Հողամասի կադաստրային ծածկագիր |
|
1. |
02-015-0234-0159 |
|
2. |
02-015-0234-0160 |
|
3. |
02-015-0234-0161 |
|
4. |
02-015-0234-0162 |
|
5. |
02-015-0234-0163 |
|
6. |
02-015-0234-0164 |
|
7. |
02-015-0234-0165 |
|
8. |
02-015-0234-0166 |
|
9. |
02-015-0234-0167 |
|
10. |
02-015-0234-0168 |
|
11. |
02-015-0234-0169 |
|
12. |
02-015-0234-0170 |
|
13. |
02-015-0234-0172 |
|
14. |
02-015-0234-0173 |
|
15. |
02-015-0234-0210 |
|
16. |
02-015-0234-0211 |
|
17. |
02-015-0234-0212 |
|
Հայաստանի Հանրապետության |
Ա. Հարությունյան |
|
18.09.2023 ՀԱՎԱՍՏՎԱԾ Է ԷԼԵԿՏՐՈՆԱՅԻՆ ՍՏՈՐԱԳՐՈՒԹՅԱՄԲ |
|
Հավելված N 2 ՀՀ կառավարության 2023 թվականի սեպտեմբերի 14-ի N 1595-Ն որոշման |
Ս Խ Ե Մ Ա
ՀԱՅԱՍՏԱՆԻ ՀԱՆՐԱՊԵՏՈՒԹՅԱՆ ԱՐԱԳԱԾՈՏՆԻ ՄԱՐԶԻ ԱՊԱՐԱՆ ՀԱՄԱՅՆՔԻ ՎԱՐԴԵՆՈՒՏ ԵՎ ԱՐԱԳԱԾ ԲՆԱԿԱՎԱՅՐԵՐԻ ՎԱՐՉԱԿԱՆ ՍԱՀՄԱՆՆԵՐՈՒՄ ԳՏՆՎՈՂ ԱՅՆ ՀՈՂԱՄԱՍԵՐԻ, ՈՐՈՆՑ ՆԿԱՏՄԱՄԲ ՃԱՆԱՉՎԵԼ Է ՀԱՆՐՈՒԹՅԱՆ ԳԵՐԱԿԱ ՇԱՀ
(112.8913 հա)
|
Հայաստանի Հանրապետության |
Ա. Հարությունյան |
|
18.09.2023 ՀԱՎԱՍՏՎԱԾ Է ԷԼԵԿՏՐՈՆԱՅԻՆ ՍՏՈՐԱԳՐՈՒԹՅԱՄԲ |
Պաշտոնական հրապարակման օրը՝ 18 սեպտեմբերի 2023 թվական: