«Գրանցված է»
ՀՀ արդարադատության
նախարարության կողմից
20 ապրիլի 2005 թ.
Պետական գրանցման թիվ 60005169
ՀԱՅԱՍՏԱՆԻ ՀԱՆՐԱՊԵՏՈՒԹՅԱՆ
ՀԱՆՐԱՅԻՆ ԾԱՌԱՅՈՒԹՅՈՒՆՆԵՐԸ ԿԱՐԳԱՎՈՐՈՂ ՀԱՆՁՆԱԺՈՂՈՎ
5 ապրիլի 2005 թ. |
N 33-Ն |
Ո Ր Ո Շ ՈՒ Մ
ԽՄԵԼՈՒ ՋՐԻ ՄԱՏԱԿԱՐԱՐՄԱՆ, ՋՐԱՀԵՌԱՑՄԱՆ ԵՎ ԿԵՂՏԱՋՐԵՐԻ ՄԱՔՐՄԱՆ ԾԱՌԱՅՈՒԹՅՈՒՆՆԵՐԻ ՄԱՏՈՒՑՄԱՆ ՍԱԿԱԳՆԵՐԻ ՄՇԱԿՄԱՆ ՄԵԹՈԴԱԲԱՆՈՒԹՅՈՒՆԸ ՀԱՍՏԱՏԵԼՈՒ ՄԱՍԻՆ
Հիմք ընդունելով Հայաստանի Հանրապետության ջրային օրենսգրքի 14-րդ հոդվածը` Հայաստանի Հանրապետության հանրային ծառայությունները կարգավորող հանձնաժողովը որոշում է.
1. Հաստատել խմելու ջրի մատակարարման, ջրահեռացման և կեղտաջրերի մաքրման ծառայությունների մատուցման սակագների մշակման մեթոդաբանությունը (հավելված)։
2. Սույն որոշումն ուժի մեջ է մտնում պաշտոնական հրապարակման օրվան հաջորդող տասներորդ օրը։
ՀՀ հանրային ծառայությունները կարգավորող հանձնաժողովի նախագահ` |
Ռ. Նազարյան |
Հավելված | |
|
ԽՄԵԼՈՒ ՋՐԻ ՄԱՏԱԿԱՐԱՐՄԱՆ, ՋՐԱՀԵՌԱՑՄԱՆ ԵՎ ԿԵՂՏԱՋՐԵՐԻ ՄԱՔՐՄԱՆ ԾԱՌԱՅՈՒԹՅՈՒՆՆԵՐԻ ՄԱՏՈՒՑՄԱՆ ՍԱԿԱԳՆԵՐԻ ՄՇԱԿՄԱՆ ՄԵԹՈԴԱԲԱՆՈՒԹՅՈՒՆ
Սույն մեթոդաբանությունը սահմանում է խմելու ջրի մատակարարման, ջրահեռացման և կեղտաջրերի մաքրման ծառայություններ (այսուհետ՝ Ծառայություններ) մատուցող ընկերությունների (այսուհետ՝ Ընկերություններ) կողմից մատուցվող ծառայությունների սակագնային համակարգի մշակման սկզբունքները։
Սույն մեթոդաբանությունը չի կիրառվում այն Ընկերությունների նկատմամբ, որոնց համար ջրային համակարգի օգտագործման իրավունքի փոխանցման արդյունքում տրված ջրային համակարգի օգտագործման թույլտվությամբ սահմանվել են սակագների սահմանման և վերանայման այլ սկզբունքներ։
1. Սակագնային համակարգի մշակման փուլերը
1.1 Սակագնային համակարգի մշակումը իրականացվում է հետևյալ փուլերով՝
ա) Ընկերությունների տարեկան անհրաժեշտ հասույթների որոշում,
բ) ծախսերի վերլուծություն և սպառողներին ու սպառողական խմբերին մատուցվող ծառայությունների արժեքի որոշում,
գ) սակագների կառուցվածքների մշակում և սակագնային դրույքների որոշում։
2. Անհրաժեշտ հասույթի որոշումը
2.1 Սակագների մշակման գործընթացն իրականացնելիս Ընկերություններն առաջնորդվում են անհրաժեշտ տարեկան հասույթի ապահովման սկզբունքով, համաձայն որի անհրաժեշտ հասույթը բավարարում է իրականացնելու Ընկերությունների հուսալի, անվտանգ և շարունակական գործունեության համար պահանջվող բոլոր գործառնական ծախսերը և ապահովելու ներգրավված կապիտալի դիմաց ողջամիտ շահույթը:
Անհրաժեշտ հասույթը (ԱՀ) հաշվարկվում է հետևյալ բանաձևով՝
ԱՀ = ԹԾ + Մ + ԹՇ - ԱԵ,
որտեղ՝
ԹԾ - թույլատրելի տարեկան ծախսերն են,
Մ - հիմնական միջոցների տարեկան մաշվածության գումարն է,
ԹՇ - թույլատրելի շահույթն է,
ԱԵ - այլ եկամուտներն են։
2.2 Թույլատրելի ծախսերում (ԹԾ) ներառվում են սակագների հաշվարկման 12 ամսյա ժամանակաշրջանի (այսուհետ` հաշվարկային տարի) ընթացքում Ծառայություններ մատուցելու համար կատարվող ողջամիտ և անհրաժեշտ ընթացիկ ծախսերը, այդ թվում՝
ա) շահագործման և պահպանման ծախսերը, այդ թվում` աշխատավարձերը, նպաստները, ինչպես նաև ջրային համակարգերի շահագործման և ընթացիկ վերանորոգման համար պահանջվող ծախսերը,
բ) հարկերը (բացի շահութահարկից և ավելացված արժեքի հարկից) և Հայաստանի Հանրապետության օրենսդրությամբ սահմանված տուրքերն ու պարտադիր այլ վճարները,
գ) Հայաստանի Հանրապետության օրենսդրությամբ նախատեսված հիմնավորված և անհրաժեշտ այլ ծախսերը,
դ) Հայաստանի Հանրապետության կառավարությունից կամ Հայաստանի Հանրապետության կառավարության երաշխավորմամբ ստացված արտոնյալ վարկերի սպասարկման և մարման հետ կապված ծախսերը:
Ծառայությունների մատուցման հետ չառնչվող ծախսերը չեն ընդգրկվում անհրաժեշտ հասույթի հաշվարկում։
2.3 Հիմնական միջոցների տարեկան մաշվածության (Մ) գումարները հաշվարկվում են գծային մեթոդով` ելնելով Ծառայությունների մատուցման համար Հայաստանի Հանրապետության հանրային ծառայությունները կարգավորող հանձնաժողովի (այսուհետ՝ Հանձնաժողով) կողմից օգտակար և օգտագործվող ճանաչված հիմնական միջոցների սկզբնական (ձեռքբերման) արժեքից կամ ֆինանսական հաշվետվություններում դրան փոխարինող այլ գումարից և օգտակար ծառայության ժամանակահատվածից:
2.4 Թույլատրելի է համարվում շահույթի (ԹՇ) այն մեծությունը, որն Ընկերություններին հնարավորություն է տալիս կատարել ակտիվների ֆինանսավորման համար ներգրավված կապիտալի հետ կապված պարտավորությունները և չխոչընդոտել Ընկերությունների զարգացման համար անհրաժեշտ լրացուցիչ սեփական կամ փոխառու միջոցների ներգրավումը:
Ընկերության ակտիվների ֆինանսավորման աղբյուրներից, պայմաններից և հնարավորություններից ելնելով` թույլատրելի շահույթի որոշման համար օգտագործվում են հետևյալ եղանակները.
ա) զուտ ակտիվների շահույթի նորմայի եղանակ,
բ) անհրաժեշտ ֆինանսական ծախսերի հատուցման եղանակ:
2.5 Զուտ ակտիվների շահույթի նորմայի եղանակի կիրառման դեպքում թույլատրելի շահույթը հաշվարկվում է որպես շահույթի հաշվարկման բազայի (ՇԲ) և թույլատրելի շահույթի նորմայի (ՇՆ) արտադրյալ`
ԹՇ = ՇԲ * ՇՆ:
Շահույթի հաշվարկման բազա է հանդիսանում Ընկերության զուտ ակտիվների արժեքը, որը հաշվարկվում է հետևյալ բանաձևով`
ՇԲ = ՕՕՈԸԱ - ԿՄ + ՇԿ,
որտեղ`
ՕՕՈԸԱ - Ծառայությունների մատուցման համար Հանձնաժողովի կողմից օգտակար և օգտագործվող ճանաչված ոչ ընթացիկ ակտիվների, այդ թվում` հողի, շենքերի, կառուցվածքների և սարքավորումների, մեքենա-մեխանիզմների և այլ նյութական ակտիվների արժեքն է,
ԿՄ - ոչ ընթացիկ ակտիվների կուտակված մաշվածությունն է, որը հաշվարկվում է սույն մեթոդաբանության 2.3 կետով սահմանված սկզբունքով,
ՇԿ - շրջանառու կապիտալի՝ Հանձնաժողովի կողմից թույլատրելի համարվող մեծությունն է, որի մեջ մտնում են Ծառայությունների իրականացման գծով Ընկերությունների ընթացիկ պարտավորությունների կատարման համար պահանջվող կանխիկ միջոցները, նյութերը և պահեստամասերը:
Շահույթի թույլատրելի նորման Ընկերության փոխառու և սեփական կապիտալի միջին արժեքն է՝ հաշվարկված կապիտալի կառուցվածքում նրանց բաժնեմասերին համապատասխան`
որտեղ`
ՍԿ և rս - համապատասխանաբար սեփական կապիտալի մեծությունն է հաշվարկային
տարվա սկզբում և նրա թույլատրելի (ողջամիտ) շահույթի նորման մինչև հարկումը,
ՓԿi և rՓi - համապատասխանաբար i-րդ փոխառության չմարված մնացորդն է հաշվարկային տարվա սկզբում և նրա սպասարկման արժեքը:
Այս եղանակի կիրառման դեպքում ներգրավված կապիտալի նկատմամբ պարտավորություններն ամբողջությամբ իրականացվում են շահույթի և մաշվածության գումարների հաշվին: Հանձնաժողովի կողմից հաստատված ներդրումային ծրագրերի համաձայնեցման կարգի պահանջներին համապատասխան կատարված ներդրումները հաշվի են առնվում դրանց իրականացումից հետո` շահույթի և մաշվածության բազայում ներառման միջոցով:
2.6 Շահույթի և մաշվածության հաշվարկման բազայում, ինչպես նաև շահույթի թույլատրելի նորմայի հաշվարկում չեն ընդգրկվում այն ներդրումները, որոնք իրականացվում են դրամաշնորհների, Հայաստանի Հանրապետության կառավարությունից կամ Հայաստանի Հանրապետության կառավարության երաշխավորմամբ ստացված արտոնյալ վարկերի հաշվին:
2.7 Անհրաժեշտ ֆինանսական ծախսերի հատուցման եղանակի կիրառման դեպքում թույլատրելի շահույթը հաշվարկվում է` հաշվի առնելով Ընկերության փաստացի ֆինանսական պարտավորությունները և սույն մեթոդաբանության 2.2 կետում նշված թույլատրելի ծախսերի կազմում չընդգրկված այն լրացուցիչ ծախսերը, որոնք անհրաժեշտ են ջրային համակարգի պահպանման և համալրման համար: Հաշվի առնելով, որ այդպիսի ծախսերի ֆինանսավորման աղբյուր են նաև մաշվածության գումարները, անհրաժեշտ հասույթի հաշվարկում մաշվածության և շահույթի փոխարեն ընդգրկվում են հետևյալ մեծությունները`
ա) Հանձնաժողովի հետ համաձայնեցված փոխառու միջոցների սպասարկման (տոկոսավճարներ) և մարման ծախսերը, որոնք որոշվում են Ընկերության առկա պարտքերի սպասարկման և մարման ժամանակացույցից,
բ) փոխառու միջոցներով և շահագործման ծախսերով չֆինանսավորվող տարեկան կապիտալ ծախսերը, որոնք Ընկերությունը կատարում է հիմնական միջոցների համալրման համար` Ծառայությունների անխափանությունն ապահովելու նպատակով, և որի ֆինանսավորումը պետք է իրականացվի տվյալ տարվա հասույթից:
Նշված ծախսերը ներառվում են անհրաժեշտ հասույթի կազմում` Հանձնաժողովի հետ նախապես համաձայնեցված ներդրումային ծրագրերում նախատեսված չափերով:
2.8 Այլ եկամուտները ներառում են Ծառայությունների մատուցման համար ներգրավված ակտիվների այլ նպատակներով օգտագործումից (օտարումից) ստացվող լրացուցիչ հասույթների և դրանց պատճառով առաջացող լրացուցիչ ծախսերի տարբերությունը:
2.9 Անհրաժեշտ հասույթի հաշվարկում ընդգրկված ծախսերի որոշման համար հիմք են հանդիսանում հաշվարկային տարվան նախորդող 12-ամսյա ժամանակաշրջանում Ծառայությունների մատուցման համար Ընկերությունների կողմից կատարված փաստացի ծախսերը, որոնց վերաբերյալ գոյություն ունի սպառիչ տեղեկատվություն։
Նշված փաստացի ծախսերը ճշգրտվում են՝ հաշվի առնելով սակագնային հայտի ներկայացման պահին արդեն հայտնի և նոր սակագնի գործողության ընթացքում կանխատեսվող ողջամիտ փոփոխությունները։
3. Ծախսերի վերլուծություն և Ծառայությունների արժեքի որոշում
3.1 Սակագների մշակման հաջորդ փուլը ծախսերի վերլուծությունն է, որի միջոցով որոշվում է տարբեր սպառողների խմբերի մասնաբաժինը ընդհանուր ծախսերում և կատարվում այդ ծախսերի բաշխումը բոլոր սպառողական խմբերի միջև:
Ծախսերի վերլուծությունը բաղկացած է հետևյալ քայլերից՝
ա) ծախսերի տարանջատում ըստ գործառույթների,
բ) ծախսերի դասակարգում,
գ) սպառողների խմբավորում,
դ) բաշխման գործակիցների որոշում և ծախսերի բաշխում։
3.2 Ծառայությունների մատուցման համար Ընկերությունների կողմից իրականացվող ծախսերի յուրաքանչյուր տարր բաժանվում է հետևյալ ֆունկցիոնալ տիրույթների միջև` ջրառ (կապտաժ), մայրուղային ջրատարներով ջրի տեղափոխում, ջրի բաշխում և կարգավարում, ջրահեռացում և կեղտաջրերի մաքրում:
3.3 Ծախսերը դասակարգվում են հաստատուն, փոփոխական և սպառողների սպասարկման ծախսերի:
Հաստատուն են այն ծախսերը, որոնք Ընկերությունը կատարում է անկախ մատակարարված ջրի և սպառողների քանակից: Դրանք հիմնականում Ընկերության հիմնական միջոցների սպասարկման հետ կապված ծախսերն են և այլ ծախսերը, որոնք պետք է հատուցվեն անկախ սպառված ջրի քանակից (ԾQ):
Փոփոխական են այն ծախսերը, որոնք փոփոխվում են՝ կախված խմելու ջրի մատակարարման, ջրահեռացման ու կեղտաջրերի մաքրման ծավալներից: Այդ ծախսերն ընդգրկում են գնովի ջրի արժեքը, պոմպակայաններում ծախսված էլեկտրաէներգիայի արժեքը և ջրի քանակի հետ կապված այլ ծախսերը (ԾV):
Սպառողների սպասարկման ծախսերն անմիջականորեն կապված են սպառողների սպասարկման հետ և ընդգրկում են ջրաչափերի ցուցմունքները վերցնելու, հաշիվները ներկայացնելու և վճարները հավաքագրելու ծախսերը (Ծn):
3.4 Սպառողների խմբավորումն Ընկերություններն իրականացնում են այնպես, որ նույն խմբում ընդգրկվեն սպառողներ, որոնց սպասարկումը գրեթե միանման ծախսային բեռնվածք է ստեղծում։ Սպառողների խմբավորման ժամանակ հաշվի են առնվում ջրամատակարարման ծավալը և պահանջվող ելքը, տեսակը (ինքնահոս, թե մեխանիկական), ջրի կեղտոտման աստիճանը, հաշվառման տեսակը և այլն:
Խմբավորման ժամանակ տարանջատվում են մանրածախ և մեծածախ Ծառայություններից օգտվող սպառողները (սպառողական խմբերը): Մեծածախ են այն Ծառայությունները, որոնք մատուցվում են Ծառայություններ մատուցող ջրային համակարգի օգտագործման թույլտվություն ունեցող այլ անձանց կամ համայնքներին:
3.5 Դասակարգված ծախսերը բաշխման գործակիցների միջոցով բաշխվում են սպառողական խմբերի միջև: Գործակիցները որոշվում են այնպես, որ հնարավորինս ճշգրիտ արտացոլեն սպառողական խմբերի ծախսերի առաջացման պատճառները:
Հաստատուն ծախսերի բաշխման գործակիցները որոշվում են հետևյալ բանաձևով`
որտեղ`
kQi - i-րդ սպառողական խմբի հաստատուն ծախսերի բաշխման գործակիցն է,
Qi - i-րդ սպառողական խմբի՝ տարվա ընթացքում առավելագույն սպառումով ամսվա միջին օրական սպառումն է:
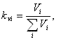
Փոփոխական ծախսերի բաշխման գործակիցները որոշվում են հետևյալ բանաձևով`
որտեղ՝
kVi - i-րդ սպառողական խմբի փոփոխական ծախսերի բաշխման գործակիցն է,
Vi - i-րդ սպառողական խմբի կողմից խմելու ջրի սպառման կամ ջրահեռացման տարեկան ծավալն է:
Սպառողների սպասարկման ծախսերի բաշխման գործակիցները որոշելիս՝ նկատի ունենալով, որ տարբեր սպառողական խմբերում ընդգրկված սպառողների սպասարկումն Ընկերությունում տարբեր ծախսեր է առաջացնում և որպես միավոր ընդունելով մեկ բնակիչ-սպառողը, մնացած խմբերի սպառողների համար կիրառվում են «բերման» գործակիցներ, որոնք այս կամ այն ճշտությամբ արտացոլում են այդ տարբերությունները:
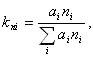
Հաշվի առնելով նշվածը՝ սպառողների սպասարկման ծախսերի բաշխման գործակիցները որոշվում են հետևյալ բանաձևով՝
որտեղ`
ni - i-րդ սպառողական խմբի բաժանորդների քանակն է,
a i - i-րդ սպառողական խմբի մեկ սպառողի բնակիչ-սպառողին «բերման» գործակիցն է, որը ցույց է տալիս, թե տվյալ խմբի մեկ սպառողի սպասարկման ծախսերը մոտավորապես քանի բնակիչ-սպառողի սպասարկման ծախսերին են համարժեք:
Դասակարգված ծախսերի բաշխումը կատարվում է սույն ենթակետով որոշված բաշխման գործակիցների հիման վրա՝ հետևյալ բանաձևերով`
ԾQi = kQi *ԾQ,
ԾVi = kVi *ԾV,
Ծni = kni *Ծn,
որտեղ`
ԾQ, ԾV և Ծn - համապատասխանաբար հաստատուն, փոփոխական և սպառողների սպասարկման ծախսերն են,
ԾQi, ԾVi և Ծni - i-րդ սպառողական խմբի կողմից հատուցվող համապատասխան ծախսերի մասնաբաժիններն են:
4. Սակագների մշակումը
4.1 Սակագների մշակումը ենթադրում է մանրածախ և մեծածախ սակագների հետևյալ տեսակների հաշվարկը`
ա) ջրամատակարարման սակագներ,
բ) ջրահեռացման սակագներ,
գ) կեղտաջրերի մաքրման սակագներ:
4.2 Սպառողական տարբեր խմբերի համար սակագների կառուցվածքը կարող է լինել տարբեր, բայց նրանք պետք է ընտրվեն այնպես, որ առավելագույն չափով համապատասխանեն ծախսերի ուսումնասիրության արդյունքում որոշված տարբեր սպառողական խմբերի Ծառայությունների մատուցման ծախսերին:
Ծառայության տեսակից, նրա տեխնիկական ցուցանիշներից և հաշվառման հնարավորություններից կախված՝ սպառողական տարբեր խմբերի համար կարող են կիրառվել մեկ կամ բազմադրույք սակագներ: Սակագնային դրույքների հաշվարկի հիմք են հանդիսանում տարբեր սպառողական խմբերի միջև բաշխված ծախսերը (ԾVi, ԾQi և Ծni):
4.3 Սակագնային դրույքների հաշվարկներն իրականացվում են՝
ա) միադրույք սակագնային համակարգում,
բ) երկդրույք սակագնային համակարգում:
Ընկերությունների կողմից կարող են առաջարկվել սակագնի կառուցվածքի և սակագնային դրույքի հաշվարկների այլ մոտեցումներ։
4.4 Միադրույք սակագնային համակարգում տվյալ սպառողական խմբի սակագնային դրույքը որոշվում է հետևյալ բանաձևով`
որտեղ՝
ՉՄՔi - տվյալ սպառողական խմբին մատուցվող Ծառայությունները չափելու համար օգտագործվող հաշվարկային մեծությունն է: Եթե տվյալ խմբի բոլոր սպառողների մոտ տեղադրված են ջրաչափական սարքեր, ապա այդ խմբի համար մատուցված Ծառայությունների չափման միավոր է հանդիսանում ջրի մեկ խորանարդ մետրը և այդ դեպքում ՉՄՔ-ն հանդիսանում է սպառողների տվյալ խմբի կողմից տարվա ընթացքում ծախսվող ջրի ծավալը:
Այդ խմբի սպառողներին մատուցված Ծառայությունների դիմաց ամսական վճարը (ԱՎ) որոշվում է հետևյալ բանաձևով՝
ԱՎ= Ui *Vա ,
որտեղ՝ Vա - ջրաչափական սարքերով հաշվառված ամսական ջրի ծախսն է:
Ջրաչափական սարքերի բացակայության կամ ընդհանուր բակային ծորակներից օգտվելու դեպքերում միադրույք սակագինը հաստատագրված ամսական բաժանորդային վճարն է: Նման դեպքերում Ծառայության չափման միավորը բաժանորդն է կամ բնակիչը, և ՉՄՔ-ն տվյալ խմբի բաժանորդների կամ բնակիչների քանակն է:
Եթե նույն սպառողական խմբում ընդգրկված են ջրաչափական սարքեր ունեցող և չունեցող սպառողներ (օրինակ, բնակչության խմբում), ապա սակագնային հաշվարկից առաջ տվյալ խմբի ծախսերը (Ծi = ԾQi + ԾVi + Ծni ) բաժանվում են տարբեր ջրամատակարարման կամ հաշվառման համակարգ ունեցող սպառողների ենթախմբերի միջև, և միայն բաշխված ծախսերով հաշվարկվում ամսական և բաժանորդային վճարները:
Ծախսերի բաշխումը կարելի է իրականացնել բաշխման գործակիցների միջոցով, որոնք որոշվում են հետևյալ բանաձևով՝
որտեղ`
kij - i-րդ խմբի j-րդ ենթախմբի բաշխման գործակիցն է,
Vij - i-րդ խմբի j-րդ ենթախմբի տարեկան օգտագործվող ջրի ծավալն է,
Vi - i-րդ խմբի բոլոր սպառողների տարեկան գումարային օգտագործված ջրի ծավալն է:
Ենթախմբերի տարեկան օգտագործվող ջրի ծավալները Ընկերությունները որոշում են համապատասխան հետազոտությունների միջոցով:
Բաշխման գործակիցների որոշման համար Ընկերությունները կարող են կիրառել Հանձնաժողովի հետ համաձայնեցված այլ մոտեցումներ:
4.5 Երկդրույք սակագնային համակարգում սահմանվում են սակագնային հետևյալ դրույքները`
ա) օգտագործված ջրի քանակի դրույք,
բ) ամսական բաժանորդային վճար:
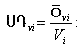
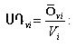
Օգտագործված ջրի քանակի սակագնային դրույքը (ՍԴvi) յուրաքանչյուր սպառողական խմբի համար որոշվում է տվյալ խմբին վերագրված փոփոխական ծախսերի (Ծvi) և այդ խմբի սպառողների կողմից տարվա ընթացքում օգտագործվող ջրի քանակի (Vi) հարաբերությամբ՝
Ամսական բաժանորդային վճարը կարող է լինել երկու տեսակ՝
ա) մեկ բաժանորդի ամսական հաստատագրված բաժանորդային վճար (դրամ/ամիս), որը որոշվում է հետևյալ բանաձևով՝
որտեղ` ni - տվյալ խմբի բաժանորդների քանակն է:
Ամսական հաստատագրված բաժանորդային վճարի դրույքը կարող է օգտագործվել բնակչության և օրական փոքր սպառում ունեցող այլ սպառողների համար: Այս դեպքում երկդրույք սակագնային համակարգում Ծառայությունների դիմաց սպառողների ամսական վճարը որոշվում է հետևյալ բանաձևով՝
ԱՎ= ԲՎ+ՍԴv *Vամս ,
որտեղ՝ Vամս - տվյալ սպառողի ամսական ջրի ծախսն է.
Օրվա մեկ խորանարդ մետր առավելագույն սպառման համար սակագնային դրույքը որոշվում է հետևյալ բանաձևով`
Այս դեպքում ամսական բաժանորդային վճարը որոշվում է հետևյալ բանաձևով՝
