Text of the Official Translation
LAW
OF THE REPUBLIC OF ARMENIA
Adopted on 17 June 2008
The purpose of this Law shall be to protect the rights of consumers acting as parties to contracts on consumer crediting or those of consumers wishing to avail of consumer crediting, to develop the crediting system and to establish unified rules, to enhance the financial mediation and to increase the level of trust of customers towards the financial system in the Republic of Armenia.
CHAPTER 1
GENERAL PROVISIONS
Article 1. |
Subject matter of the Law |
1. This Law shall regulate the relations arising from contracts on crediting, the peculiarities of and mandatory conditions for the types thereof, the procedure and the conditions for calculation of Annual Percentage Rate under contracts on crediting, the liability of the creditor, the rights of consumers under contracts on crediting and other relations pertaining to these contracts.
2. This Law shall extend to agricultural credits provided in the amount of up to 5.000.000 drams (AMD 5.000.000 inclusive) and (or) those provided in foreign currency equivalent thereto, as well as to credits provided to micro commercial organisations and individual entrepreneurs prescribed by Law “On state assistance to small and medium entrepreneurship” in the amount of up to 5.000.000 drams (AMD 5.000.000 inclusive) and (or) those provided in foreign currency equivalent thereto, unless otherwise provided for by law.
(Article 1 supplemented by HO-4-N of 21 December 2015, edited by HO-93-N of 19 June 2019)
Article 2. |
Main concepts used in the Law |
1. The following main concepts shall be used in this Law:
(1) credit — the right for deferred payment of a liability, loan, borrowing, financial leasing or any other agreement or arrangement aimed at financing the acquisition of goods, services or works;
(2) creditor — a bank, branch of foreign bank, credit organisation or pawn shop providing credit;
(3) contract on crediting — a transaction by which the creditor provides or promises to provide credit to a consumer;
(4) supplier — a natural or legal person selling goods or providing services or performing works;
(5) Annual Percentage Rate or APR — the total cost of consumer crediting, expressed in annual interest rate of provided credit and calculated based on the formula referred to in Article 13 of this Law;
(6) consumer —
a. a natural person receiving credit for the purpose of ordering or acquiring goods (works, services) designed for personal, family, home use or for other purposes not related to entrepreneurship;
b. a natural person receiving agricultural credit or an individual entrepreneur receiving agricultural credit;
c. micro commercial organisations and individual entrepreneurs, prescribed by Law “On state assistance to small and medium entrepreneurship”, receiving credit;
(7) total cost of consumer crediting — all interests and other payments which the consumer is obliged to pay (make) for crediting;
(8) overdraft — an amount provided by the bank in the form of credit, for consumer purposes, on a bank account, deposit account or other account, or a promise to provide such amount, including that to be provided via payment cards;
(9) contract on crediting with credit cards — contract on crediting under which the creditor provides, on a permanent basis, renewable or non-renewable credit line to the consumer within priorly established limit, regardless the availability of banking, deposit, or other accounts, in order to finance the consumer’s procurements, other payments and demand for cash by means of a credit card;
(10) Financial System Mediator — a person prescribed by the Law of the Republic of Armenia “On Financial System Mediator”.
(Article 2 supplemented by HO-4-N of 21 December 2015, edited by HO-93-N of 19 June 2019)
Article 3. |
Contracts on crediting falling under exception |
1. The requirements prescribed by this Law shall not extend to:
(1) contracts on crediting, for which no payment (making) of any interest rate or other compensation is provided for;
(2) contract on crediting exceeding the amount of AMD fifteen million;
(3) residential mortgage contracts on crediting provided for by the Law of the Republic of Armenia “On residential mortgage crediting”, except for the cases provided for by Law of the Republic of Armenia “On residential mortgage crediting”;
(4) leasing contracts, except for the cases where these contracts stipulate that the right of ownership over the object of leasing shall be transferred to the lessee.
(5) (Point repealed by HO-183-N of 25 October 2017);
(Article 3 amended and edited by HO-183-N of 25 October 2017, edited by HO-85-N of 19 June 2019)
(Amendment to Article 3 of Law HO-93-N of 19 June 2019 was not made due to the absence of the indicated words)
CHAPTER 2
CONTRACTS ON CREDITING
Article 4. |
Contracts on crediting |
1. Contract on crediting shall be concluded in writing.
2. The consumer shall necessarily receive one original copy of the contract on crediting.
3. The creditor shall be obliged to ensure that the contract on crediting includes at least the following:
(1) an indication on the amount of Annual Percentage Rate;
(2) an indication on the procedure, conditions and time limits for changing Annual Percentage Rate;
(3) an indication, where applicable, on the amount, number, frequency or the schedule of due payments, interest rates and other mandatory fees, as well as on the full (total) amount of these payments made by the consumer to repay the credit;
(4) an indication on the cost of insurance, valuation and other supporting services, provided that the use of these supporting services proves to be a prerequisite for concluding a contract on crediting or receiving the advertised Annual Percentage Rate, and creditor is the beneficiary of these supporting services, or the creditor establishes the scope of persons with whom the consumer is entitled to conclude contracts on delivery of supporting services;
(5) indications on sanctions (default penalties or any other measures aggravating the situation of the consumer) applied by creditor in case of failure, by the consumer, to fulfil or improper fulfilment of his or her obligations, as well as indications on the cases and the procedure for the application thereof;
(6) an indication on consumer rights prescribed by Article 10 of this Law;
(7) an indication on contemplation period;
(8) indications on information, conditions, procedure and time limits established by this Law and the regulatory legal acts of the Central Bank of the Republic of Armenia (hereinafter referred to as “the Central Bank”), depending on the type of the contract on crediting.
3.1. In the contract on crediting, the consumer shall write in handwritten form, and where the contract is concluded in an electronic form, he or she shall type, in an electronic form, that he or she is aware of the amount of the Annual Percentage Rate, by indicating this interest rate.
4. The Central Bank may, by its regulatory legal acts, define the texts or model forms subject to mandatory application or other minimum requirements for certain information to be disclosed under the contracts on crediting.
5. The conditions of contracts on crediting must be formulated in precise literary Armenian.
(Article 4 amended by HO-471-N of 27 October 2020, supplemented by HO-288-N of 3 June 2020)
Article 5. |
Contracts on crediting for financing the purchase of goods, services and works |
1. In addition to conditions and indications provided for by part 3 of Article 4 of this Law, contracts on crediting for financing the purchase of goods, services and works shall include the following:
(1) description of goods, services and works financed under contract on crediting;
(2) price for goods, services and works acquired under the contract on crediting, as well as price of the same goods, services and works without crediting (cash price);
(3) the amount of prepayment or other amount to be deposited as security;
(4) the amount of deferred payments or advanced payments or other fees and the day, month, year for the payment thereof;
(5) information on the owner of goods, as well as the procedure and conditions for transferring to consumer the right of ownership over these goods, where the right of ownership over these goods is not to be transferred to the consumer at the time of concluding the contract;
(6) description of the measure for securing the fulfilment of obligation, if available;
(7) where the consumer is obliged to deposit funds on special account during the validity period of the contract on crediting, the contract on crediting must also contain information on the amount, time limit, procedure for and other conditions of use of the funds to be deposited;
(8) where the conditions and information prescribed by points 3 and (or) 4 of this Article are not possible to determine at the time of concluding a contract on crediting, the latter shall contain information on the procedure and conditions for determining them.
Article 6. |
Contract on crediting with credit cards |
1. In addition to conditions and indications provided for by part 3 of Article 4 of this Law, contract on crediting with credit cards shall include the following:
(1) maximum credit limit provided with credit card;
(2) conditions for repayment of credit or the procedure for determining them.
2. Credit card may be provided to the consumer only in case of written consent of the latter.
Article 7. |
Contracts containing overdrafts or contracts serving as a ground for overdraft |
1. In addition to conditions and indications provided for by part 3 of Article 4 of this Law, contracts containing overdrafts or contracts serving as a ground for overdraft shall include the following:
(1) indication on maximum overdraft limit;
(2) indication on the conditions of using and repaying overdraft;
(3) procedure, conditions and time periods for rescinding the contracts containing overdrafts or contracts serving as a ground for overdraft.
Article 8. |
Other contracts on crediting falling within the scope of this Law |
1. In addition to conditions and indications provided for by part 3 of Article 4 of this Law, other contracts on crediting falling within the scope of this Law shall include the following:
(1) maximum limit of the credit provided;
(2) description of the measure for securing the fulfilment of obligation, if available;
(3) conditions for use or repayment of credit.
CHAPTER 3
RIGHTS OF CONSUMERS
Article 9. |
The right of consumer to rescind the contract on crediting |
1. The consumer shall have the right to unilaterally rescind the contract on crediting without any reasoning, within 7 working days following the conclusion thereof, unless a longer time period is provided for by contract on crediting (contemplation period).
In this case, the consumer shall be obliged to pay to the creditor the interests for using the credit amount, which shall be calculated according to the Annual Percentage Rate provided for by the contract on crediting. No other compensation related to rescission of the contract on crediting may be required.
2. The consumer shall have the right to rescind the contract on crediting as prescribed by part 1 of this Article also in the cases where the purchase and sales contract or the contract on delivery of services or the contract on performance of works, financed by the credit, is rescinded.
Article 10. |
The right of the consumer to early fulfilment of obligations under the contract on crediting |
1. The consumer shall have the right to early fulfil (repay) the obligations under the contract on crediting, regardless of the fact of whether or not such right is provided for by the contract on crediting.
2. Where the consumer early fulfils (repays) the obligations under the contract on crediting, the total cost of consumer crediting shall be reduced proportionally.
3. The accord restricting the right of the consumer, provided for by parts 1 and 2 of this Article, as well as that stipulating sanctions provided for by part 4 of this Article, shall be null and void.
4. In case of exercising the right of the consumer, provided for by parts 1 and 2 of this Article, the creditor may not impose sanctions (default penalties or any other measures aggravating the situation of the consumer).
Article 11. |
Implications of transferring the rights of the creditor |
1. Where the rights of the creditor are transferred to other persons, the consumer shall have the right to:
(1) file against the new creditor all objections which he or she has had against the initial creditor at the time of receiving the notification on transferring the rights to the new creditor.
(2) carry out offset of cross obligations, unless otherwise provided for by law.
Article 12. |
The right of the consumer to submit claims to the creditor |
1. The consumer shall have the right to submit the claims prescribed by the Law of the Republic of Armenia “On protection of consumer rights”, other laws and legal acts, as well as contracts, directly to the creditor, where:
(1) with the purpose of purchasing goods or receiving services or works, the consumer has concluded a contract on crediting with a person not considered as a supplier; and
(2) prior to concluding the contract referred to in point 1 of this part, the creditor and the supplier have concluded a written contract whereby the creditor has agreed to provide credit to the customers and counterparties of the given supplier for purchasing goods or receiving services and works from the given supplier, or the consumer has used the credit card provided by the creditor when paying for goods or services or works; and
(3) the goods, services or works procured with the contract on crediting or through credit provided on the basis of this contract, were not received (provided) or were partially received (provided) or do not comply with the requirements established by law and (or) transactions ensuring the procurement of goods, services or works; and
(4) while the consumer has duly attempted to exercise the rights reserved thereto by law or contract, as well as to submit claims, the supplier failed to fulfil the obligations, referred to in the law or contract, under the procedure and to the extent prescribed by law and the contract.
2. Where the consumer is entitled to return the goods to the supplier and submits a claim to the creditor as prescribed by part 1 of this Article, the latter may refuse to accept the goods, if:
(1) the packaging of goods was not preserved, or
(2) the goods were used in violation of the requirements prescribed by laws, other legal acts or the supporting documents of goods.
CHAPTER 4
CALULATION OF ANNUAL PERCENTAGE RATE
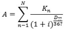
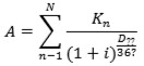
Article 13. |
Formula for calculation of Annual Percentage Rate and explanations thereto |
1. The Annual Percentage Rate shall be calculated based on the following formula:
where:
i — Annual Percentage Rate (APR);
A — credit amount (initial amount of credit provided to the consumer by creditor);
n — number of payments made for repayment of credit;
N — amount of the last payment made for repayment of credit;
Kn — amount of the n-th payment made for repayment of credit;
Dn — time period between the date of providing the credit and the date of making the n-th payment made for repayment of credit, expressed in number of days;
i — Annual Percentage Rate, may be calculated where other data of equation are known under the contract on crediting or elsewhere.
Article 14. |
The procedure for calculation of Annual Percentage Rate |
1. Annual Percentage Rate shall be calculated at the time of concluding the contract on crediting, by presuming that contract on crediting shall remain effective during the agreed period, and the parties to the contract shall, duly and within the agreed period, fulfil the obligations assumed under the contract.
2. Where the contract on crediting contains provisions authorising changes or fluctuations to be made to the interests and (or) the number or the amount of other fees included in total cost of consumer crediting, and the changes thereto may not be expressed in monetary terms, the Annual Percentage Rate must be calculated by presuming that the interests and (or) other fees included in total cost of consumer crediting will remain stable and will apply till the expiry of the validity period of the contract on crediting.
3. When calculating the Annual Percentage Rate the following principles shall be applied, where appropriate:
(1) where the contract on crediting does not provide for the maximum credit limit, the maximum limit of provided credit shall be equal to one million drams;
(2) where the contract on crediting provides that the consumer may receive the credit in parts, or may choose the time of receiving the credit, it shall be assumed that the credit amount has been fully transferred to consumer at the time of concluding the contract on crediting;
(3) where the contract on crediting does not establish credit repayment schedule, or the provisions of contract on crediting
do not establish repayment periods and measures, the credit repayment period shall be one year;
(4) where the contract on crediting establishes more than one credit repayment period, the credit shall be repaid within the nearest repayment period established by contract on crediting, unless otherwise provided for by the contract on crediting.
4. The Central Bank may, by its regulatory legal acts, provide for explanations and examples for calculation of the formula and the Annual Percentage Rate prescribed by Article 13 of this Law.
Article 15. |
Fees not included in the total cost of consumer crediting |
1. The following fees shall not be included in the total cost of consumer crediting:
(1) default penalties and other fees paid or to be paid for failure to fulfil or improper fulfilment of the obligations prescribed by law and contract on crediting;
(2) fees to be paid by the consumer regardless of the fact of payment for goods, services or works by credit or in cash price;
(3) payments which the consumer makes for transfers aimed at repaying the credit and paying the interests, as well as for account service of the accounts opened for that purpose, except for the cases where the consumer does not have a reasonable alternative to that regard and where such payments exceed 1.5-fold of the average amount of relevant payments applicable in the Republic of Armenia. The Central Bank shall announce, as statistical data, the average amount of payments applicable in the Republic of Armenia, referred to in this point;
(4) fees prescribed for membership in or subscription to the organisations, unions or other groups (except for those the founder or a participant whereof is the creditor), arising from contracts not forming an integral part of the contract on crediting even where the conditions of the credit depend on such membership or subscription;
(5) payments made for insurance, valuation and other supporting services, except for the cases where the use of these services is a prerequisite for concluding a contract on crediting or receiving the advertised Annual Percentage Rate, and
a. the creditor is the beneficiary of these services, or
b. the creditor establishes the scope of persons, with whom the consumer is entitled to conclude contracts on delivery of supporting services.
CHAPTER 5
ADVERTISING AND COMMUNICATION
Article 16. |
Advertising |
1. Any advertisement, announcement, proposal, offer or an invitation to make an offer, which is made at the place of activities of the creditor or on the Internet website of the creditor or on another Internet website or through electronic or printed mass media or another method of dissemination of advertisement, announcement, proposal or offer, and which contains an indication on the amount of interest or any other payment or cost relating to the provision of credit, must include the amount of Annual Percentage Rate, moreover, where the amount of Annual Percentage Rate is not possible to reasonably make available for consumers, an example of calculation thereof shall be submitted.
2. Any advertisement, announcement, proposal, offer or an invitation to make an offer carried out in the Republic of Armenia or posted on Internet network must not be confusing, complicated or misleading.
Article 17. |
Communication between the creditor and the consumer |
1. Any communication between the creditor and the consumer which is related to establishing, amending or terminating the conditions of the contract on crediting, or the procedure for communication between the parties, or the rights, obligations or liability of the parties, or concerns laws, regulatory legal acts or internal acts of the creditor affecting the contract on crediting, shall be carried out in writing, through electronic communication means, except for the cases referred to in part 3 of this Article. Moreover, the information referred to in this part shall constitute information subject to mandatory submission.
2. The creditor shall, with the frequency established thereby or under contract on crediting, which must not exceed the period of one month, be obliged to submit to the consumer written information on the obligations of the consumer arising from contract on crediting and on the grounds for occurrence thereof and repayments, including the exhaustive list of sanctions (default penalties or any other measures aggravating the situation of the consumer) being applied or applied by creditor in case of failure to fulfil or improper fulfilment, by consumers, of their obligations, the cases and the procedure for the application thereof through means of electronic communication, except for the cases referred to in part 3 of this Article. Moreover, the information referred to in this part shall constitute information subject to mandatory submission.
3. The consumer may, upon written application submitted thereby, including that submitted in an electronic form, waive the right to receive through means of electronic communication the information prescribed by parts 1 and 2 of this Article, provided that the information subject to mandatory submission is received through postal or other means of communication. Moreover, the consumer shall have the right to unilaterally change, upon written application submitted thereby, the means of communication not more than once a year, and this change shall apply to the communication held 30 days after the creditor receives the written application. The consumer shall also have the right to receive, in person, the information prescribed by parts 1 and 2 of this Article, in the premises of the creditor, where the creditor shall be obliged to provide the same information to the consumer through postal communication, means of electronic communication or other means of communication.
The condition or accord restricting the right of the consumer — prescribed by parts 1 and 3 of this Law — to receive through postal communication, means of electronic communication or other means of communication or in person, shall be null and void.
3.1. In case the procedure for communication, prescribed by this Article, is violated during the state of emergency or the martial law in the Republic of Armenia, the creditor shall be exempt from the liability provided for by this Law, where the impossibility of ensuring such procedure is related to declaration of state of emergency or martial law.
4. (Part repealed by HO-93-N of 19 June 2019)
5. For the purpose of protection of the rights of consumers, the Central Bank may establish by its regulatory legal acts the procedure, conditions, forms and minimum requirements for the communication provided for by this Article.
(Article 17 amended and edited by HO-93-N of 19 June 2019, edited and supplemented by HO-471-N of 27 October 2020)
(Law HO-471-N of 27 October 2020 contains a transitional provision)
CHAPTER 6
PROTECTION OF THE RIGHTS OF CONSUMERS, SUPERVISION AND LIABILITY FOR VIOLATION OF THIS LAW
Article 18. |
Judicial protection, arbitration protection of the rights of consumers, as well as the protection thereof through the Financial System Mediator |
1. The rights of consumers prescribed by this Law and other regulatory legal acts shall be subject to protection through judicial procedure, and in the cases prescribed by law — through arbitration procedure, as well as through the Financial System Mediator.
2. Where an arbitration agreement is concluded between the creditor and the consumer in relation to the contract on crediting, the creditor shall be obliged to disclose to the consumer sufficient information on the rights and obligations of the parties.
3. For the purpose of protecting the rights of consumers, the Central Bank may establish, by its regulatory legal acts, the minimum requirements to and (or) model form of the information provided for by part 2 of this Article.
4. The creditor shall not have the right to make the conclusion of the contract on crediting conditional upon the conclusion of an arbitration agreement.
Article 19. |
Fine as a form of liability of the creditor |
(Title edited by HO-141-N of 24 March 2021)
1. The Central Bank may impose fine in the amount of three hundred thousand to five hundred thousand Armenian drams for violating, by the creditor, once in 365 days, of the requirements of this Law or other legal acts adopted on the basis of this Law.
2. The Central Bank may impose fine in the amount of five hundred thousand to one million Armenian drams for violating, by the creditor, twice within 365 days, the requirements of this Law or other legal acts adopted on the basis of this Law.
3. The Central Bank may impose fine in the amount of one million to two million Armenian drams for violating, by the creditor, thrice or more times within 365 days, the requirements of this Law or other legal acts adopted on the basis of this Law.
4. The fine shall be charged upon the claim brought by the Central Bank, under the civil judgement of the court, if the creditor disagrees with the imposition of the fine or the amount of the fine imposed. The fine shall be charged to the benefit of revenues of the State Budget of the Republic of Armenia.
5. Within the meaning of this Law, in case of committing several violations of each requirement of this Law or other legal acts adopted on the basis of this Law, each violation shall constitute a separate violation.
6. The Central Bank shall, in case of imposing fine as a form of sanction when applying sanctions within the scope of its competences, be guided by this Article for violations of this Law or other legal acts adopted on the basis of this Law. The fine prescribed by this Article, as a form of sanction, shall be applied by the Central Bank as prescribed by the Law of the Republic of Armenia “On the Central Bank of the Republic of Armenia”.
(Article 19 edited by HO-141-N of 24 March 2021)
(Law HO-141-N of 24 March 2021 contains a transitional provision)
Article 20. |
The liability of the creditor before the consumer |
(Title edited by HO-93-N of 19 June 2019)
1. In the case where any right prescribed by this Law or other legal acts adopted on the basis thereof is violated by the creditor, the consumer shall have the right to immediately apply to the court, and in the cases provided for by law — to the commercial arbitration, as well as to the Financial System Mediator.
2. In case the fact of violation of any right of the consumer availing of the services of the creditor, prescribed by this Law or other legal acts adopted on the basis thereof, is established, AMD 300 000 (three hundred thousand) shall be charged to the benefit of the consumer upon the civil judgment of the court, decision of the commercial arbitration or that of the Financial System Mediator, except for the cases where as of the day of applying to the court, the commercial arbitration or the Financial System Mediator:
(1) the creditor has undertaken actions necessary to restore the violated right of the consumer, and
(2) the violation of the right of the consumer that is capable of being eliminated, has actually ceased to exist, and
(3) the consumer has not actually incurred real damage prescribed by the Civil Code of the Republic of Armenia as a result of violation of the right of the consumer, whereas if such damage was incurred, it has been compensated by the creditor.
2.1. In case it is impossible to eliminate the violations of the right prescribed by this Law or legal acts adopted on the basis thereof, the existence of the conditions prescribed by points 1 and 3 of part 2 of this Article shall be sufficient for application of the exemption provided for by this Article.
Moreover, the right of the consumer provided for by this Article may not be interpreted as a provision restricting or excluding the right of the consumer to claim compensation for damages.
3. Where the creditor has failed to include in the contract on crediting the minimum information (conditions) which is provided for by Article 4 of this Law and regulatory legal acts adopted on the basis thereof and which is to be included in contract on crediting, the creditor shall, upon the initiative thereof or the request of the consumer, be obliged to bring the contract on crediting in conformity with the requirements provided for by Article 4 of this Law and regulatory legal acts adopted on the basis thereof, within three working days following the time of detection of the violation or submission of the request by the consumer. The creditor shall bear all costs related to bringing the contract on crediting in conformity with the requirements provided for by Article 4 of this Law and regulatory legal acts adopted on the basis thereof.
(Article 20 supplemented by HO-183-N of 25 October 2017, edited by HO-93-N of 19 June 2019, edited and supplemented by HO-471-N of 27 October 2020)
(Law HO-471-N of 27 October 2020 contains a transitional provision)
Article 21. |
Supervision over observance of the requirements of this Law |
1. Supervision over observance of the requirements of this Law shall be carried out by the Central Bank.
CHAPTER 7
TRANSITIONAL PROVISIONS
Article 22. |
Transitional provisions |
1. This Law shall enter into force six months following the date of its official promulgation, except for Article 12 of this Law, which shall enter into force five years following the date of its official promulgation.
This Law shall not extend to the contracts on crediting concluded prior to the entry into force of this Law, except for the cases where at least one of the essential conditions of the contract on crediting concluded prior to the entry into force of this Law is amended. Where at least one of the essential conditions of the contract on crediting concluded prior to the entry into force of this Law is amended, the whole contract on crediting must be brought in conformity with the requirements of this Law.
The Central Bank shall establish, by its regulatory legal acts, mandatory requirements and conditions, crediting rules for consumer credits in the amount of up to AMD 300,000 concluded for the time period of up to three months, based on the criteria for assessing, on the part of the consumer, the creditworthiness, consumer debt and revenue ratio, as well as servicing the debt.
(Article 22 supplemented by HO-288-N of 3 June 2020)
(Law HO-288-N of 3 June 2020 contains a transitional provision)
President of the Republic of Armenia |
S. Sargsyan |
12 July, 2008, Yerevan, HO-122-N |
Published on a joint site 14.09.2023
