Տե'ս սույն որոշման 3-6-րդ կետերը:
ՀԱՅԱՍՏԱՆԻ ՀԱՆՐԱՊԵՏՈՒԹՅԱՆ
ԿԵՆՏՐՈՆԱԿԱՆ ԲԱՆԿԻ ԽՈՐՀՈՒՐԴ
15 նոյեմբերի 2022 թվականի |
թիվ 195-Ն |
Ո Ր Ո Շ ՈՒ Մ
ՀԱՅԱՍՏԱՆԻ ՀԱՆՐԱՊԵՏՈՒԹՅԱՆ ԿԵՆՏՐՈՆԱԿԱՆ ԲԱՆԿԻ ԽՈՐՀՐԴԻ 2007 ԹՎԱԿԱՆԻ ՓԵՏՐՎԱՐԻ 9-Ի ԹԻՎ 39-Ն ՈՐՈՇՄԱՆ ՄԵՋ ՓՈՓՈԽՈՒԹՅՈՒՆՆԵՐ ԵՎ ԼՐԱՑՈՒՄՆԵՐ ԿԱՏԱՐԵԼՈՒ ՄԱՍԻՆ
Նպատակ ունենալով՝ համապատասխանեցնել բանկերի կապիտալի համարժեքության նորմատիվի հաշվարկման մեթոդաբանությունը միջազգային ստանդարտներին՝ որոշակի դեպքերում պահպանելով Հայաստանի Հանրապետության բանկային համակարգի յուրահատկություններով պայմանավորված Կենտրոնական բանկի առանձնահատուկ կարգավորումները, ճշգրտել կապիտալի համարժեքության նվազագույն սահմանաչափերը Բազելյան կոմիտեի կողմից սահմանված կապիտալի բուֆերների և Բազելի 2-րդ հենասյան (Pillar 2) պահանջների ներդրմանը զուգահեռ, ինչպես նաև խթանել բանկային համակարգի թվայնացման գործընթացները՝ արդի մարտահրավերներին դիմակայելու համար,
հիմք ընդունելով «Բանկերի և բանկային գործունեության մասին» օրենքի 5-րդ գլուխը,
ղեկավարվելով «Հայաստանի Հանրապետության կենտրոնական բանկի մասին» օրենքի 2-րդ հոդվածի 3-րդ մասով, 20-րդ հոդվածի 1-ին մասի «ե» կետով, «Նորմատիվ իրավական ակտերի մասին» օրենքի 33-րդ հոդվածի 1-ին և 3-րդ մասերով և 34-րդ հոդվածով` Հայաստանի Հանրապետության կենտրոնական բանկի խորհուրդը
Որոշում է.
1. Հայաստանի Հանրապետության կենտրոնական բանկի խորհրդի 2007 թվականի փետրվարի 9-ի ««Բանկերի գործունեության կարգավորումը, բանկային գործունեության հիմնական տնտեսական նորմատիվները» կանոնակարգ 2-ը հաստատելու մասին» թիվ 39-Ն որոշմամբ հաստատված «Բանկերի գործունեության կարգավորումը, բանկային գործունեության հիմնական տնտեսական նորմատիվները» կանոնակարգ 2-ում (այսուհետ՝ Կանոնակարգ) կատարել հետևյալ փոփոխությունները և լրացումները.
1) Կանոնակարգի 11-րդ կետի 2-րդ ենթակետը շարադրել հետևյալ խմբագրությամբ.
«2) բանկի կապիտալի համարժեքության նորմատիվները.
ա. առաջին մակարդակի հիմնական կապիտալի համարժեքության նորմատիվ,
բ. առաջին մակարդակի կապիտալի համարժեքության նորմատիվ,
գ. ընդհանուր կապիտալի համարժեքության նորմատիվ,»։
2) Կանոնակարգի 15-րդ կետը շարադրել հետևյալ խմբագրությամբ.
«15. Բանկի կանոնադրական կապիտալի նվազագույն չափը մեկ միլիարդ (1.000.000.000) Հայաստանի Հանրապետության դրամ է: Մինչև 2005 թվականի հունիսի 28-ը բանկերի կանոնադրական կապիտալի արտարժույթով համալրված մասը վերագնահատման ենթակա չէ:»:
3) Կանոնակարգի 16.1-րդ կետը շարադրել հետևյալ խմբագրությամբ.
«16.1. Առաջին մակարդակի հիմնական կապիտալի համարժեքության նորմատիվը (Ն11 նորմատիվ) սահմանվում է նվազագույնը 6.2 տոկոս:»։
4) Կանոնակարգը 16.1-րդ կետից հետո լրացնել հետևյալ բովանդակությամբ 16.2-րդ կետով.
«16.2. Առաջին մակարդակի կապիտալի համարժեքության նորմատիվը (Ն12 նորմատիվ) սահմանվում է նվազագույնը 8.3 տոկոս:»։
5) Կանոնակարգի 17-րդ կետը շարադրել հետևյալ խմբագրությամբ.
«17. Ընդհանուր կապիտալի համարժեքության նորմատիվը (Ն1 նորմատիվ) սահմանվում է նվազագույնը 11 տոկոս:»։
6) Կանոնակարգի 25-րդ կետում «Ն11, Ն12» բառերը փոխարինել «Ն11, Ն12, Ն1» բառերով:
7) Կանոնակարգի 26-րդ կետում.
ա. «կարգերին» բառից հետո լրացնել «(այսուհետ՝ Ակտիվների դասակարգման և պահուստավորման կարգ)» բառերը,
բ. «չափով։» բառից հետո լրացնել «Սույն Կանոնակարգի իմաստով ընդհանուր պահուստը ներառում է ստանդարտ դասով դասակարգված ակտիվների և ոչ ռիսկային դասակարգված արժեթղթերի գծով ձևավորված հնարավոր կորուստների պահուստները, իսկ հատուկ պահուստը ներառում է հսկվող, ոչ ստանդարտ, կասկածելի, անհուսալի դասակարգված ակտիվների և ռիսկային, միջին ռիսկային, բարձր ռիսկային, անհուսալի դասով դասակարգված արժեթղթերի գծով ձևավորված հնարավոր կորուստների պահուստները:» նախադասությամբ:
8) Կանոնակարգի 27-րդ կետից հանել «սույն կանոնակարգի 16-րդ կետում սահմանված ժամանակացույցի առաջին օրերի դրությամբ, ինչպես նաև» բառերը:
9) Կանոնակարգի 28.1-րդ կետում 1-ին ենթակետի «գ» պարբերությունը շարադրել հետևյալ խմբագրությամբ. «գ. չբաշխված շահույթ (վնաս),»:
10) Կանոնակարգի 28-րդ, 28․1-րդ և 28․2-րդ կետերը շարադրել հետևյալ խմբագրությամբ.
«28. Բանկի ընդհանուր կապիտալը նրա առաջին և երկրորդ մակարդակի կապիտալների հանրագումարն է:
28.1. Բանկի առաջին մակարդակի կապիտալը բանկի՝ առաջին մակարդակի հիմնական կապիտալի և առաջին մակարդակի լրացուցիչ կապիտալի հանրագումարն է` համապատասխան նվազեցումները և ճշգրտումները կատարելուց հետո:
28.2. Բանկի առաջին մակարդակի հիմնական կապիտալի կազմում ընդգրկվում են հետևյալ տարրերը.
1) ամբողջությամբ վճարված սովորական բաժնետոմսերը, բաժնեմասերը կամ փայերը (այսուհետ՝ սովորական բաժնետոմս) հետևյալ արժեքով՝ անվանական արժեքի և սովորական բաժնետոմսերից էմիսիոն եկամտի գումարից նվազեցրած զեղչ,
2) չբաշխված շահույթը կամ վնասը, ընդ որում չբաշխված շահույթը հաշվարկում ներառվում է սույն Կանոնակարգի Հավելված 14-ի Գլուխ 1-ի համաձայն,
3) այլ համապարփակ եկամտի տարրերը և հաշվեկշռային կապիտալում հաշվառվող պահուստները:»:
11) Կանոնակարգը լրացնել հետևյալ բովանդակությամբ 28.3-28.7-րդ կետերով․
«
28.3. Բանկի առաջին մակարդակի հիմնական կապիտալը նվազեցվում է.
1) բանկի կողմից թողարկված այն սովորական բաժնետոմսերի անվանական արժեքի չափով, որոնք`
ա. հետ են գնվել բանկի կողմից, եթե արդեն իսկ չեն նվազեցվում առաջին մակարդակի կապիտալից՝ կիրառվող հաշվապահական հաշվառման ստանդարտների համաձայն, կամ
բ. ձեռք են բերվել այնպիսի կազմակերպությունների կողմից, որոնցում բանկը նշանակալից մասնակից է, կամ ձեռք են բերվել բանկի անուղղակի ֆինանսավորմամբ, կամ
գ. բանկը, որևէ իրավաբանական փաստաթղթի հիման վրա, պարտավոր է կամ կարող է պարտավորվել ձեռք բերել հետագայում (բացառությամբ` օրենսդրությամբ նախատեսված պարտադիր հետգնման դեպքերի), կամ
դ. ապահովված են բանկի հետ փոխկապակցված անձանց երաշխիքով կամ երաշխավորությամբ, կամ որոնց սեփականատերերը տնտեսապես կամ իրավական տեսանկյունից ավելի բարենպաստ կարգավիճակում են հայտնվում այն բանի արդյունքում, որ նրանց` սովորական բաժնետոմսի նկատմամբ սեփականության իրավունքից բխող պահանջը, կանոնադրության համաձայն կամ որևէ այլ կերպ ենթակա է բավարարման ավելի շուտ, քան օրենքով տվյալ պահանջի համար սահմանված բավարարման հերթը:
2) բանկի կողմից տրամադրված երկարաժամկետ ստորադաս փոխառությունների հաշվեկշռային արժեքի չափով: Ընդ որում, սույն ենթակետի իմաստով՝ երկարաժամկետ ստորադաս փոխառություն է համարվում Հայաստանի Հանրապետության քաղաքացիական օրենսգրքով նախատեսված այն ստորադաս փոխառությունը, որը տրամադրվել է առնվազն հինգ տարի ժամկետով:
3) ոչ նյութական ակտիվների և օգտագործման իրավունքի ձևով ակտիվների (հիմքում՝ ոչ նյութական ակտիվներ) (բացառությամբ` սույն կետի 4-րդ ենթակետով սահմանված ակտիվների), դրանց վրա կատարված կապիտալ ներդրումների հաշվեկշռային արժեքի (այդ թվում՝ այլ համապարփակ եկամտում գրանցված վերագնահատման արդյունքը) չափով:
4) ծրագրային ապահովումների և դրանց օգտագործման իրավունքների, տեղեկատվական և կիբեռանվտանգության ապահովման համար ներդրվող լուծումների (օրինակ՝ կրիպտոգրաֆիայի, թոքենիզացիայի), առանց շփման տեխնոլոգիաների ծրագրերի (օրինակ՝ ՔՅՈՒԱՐ, ԷՆԷՖՍԻ), հեռահար նույնականացման տեխնոլոգիաների ծրագրերի, զեղծարար գործողությունների բացահայտման ծրագրերի, ամպային ծառայությունների, ինչպես նաև տեղեկատվական տեխնոլոգիաների ոլորտում կիրառվող ստանդարտների և դրանց համապատասխանության սերտիֆիկացման (այսուհետ՝ Ծրագրային ակտիվների) գծով ոչ նյութական ակտիվների, դրանց վրա կատարված կապիտալ ներդրումների հաշվեկշռային արժեքների (այդ թվում՝ այլ համապարփակ եկամտում գրանցված վերագնահատման արդյունքը)՝ բանկի առաջին մակարդակի հիմնական կապիտալի տարրերի հանրագումարի՝ 10 տոկոսը գերազանցող գումարի չափով` մինչև 2023 թվականի դեկտեմբերի 31-ը, իսկ 2024 թվականի հունվարի 1-ից սկսած՝ 15 տոկոսը գերազանցող գումարի չափով: Ընդ որում, սույն ենթակետով սահմանված հաշվարկի ժամանակ առաջին մակարդակի հիմնական կապիտալի տարրերի հանրագումարը նվազեցվում է հիմնական միջոցների, այլ նյութական ակտիվների, Ծրագրային ակտիվների արժեքի վերագնահատման արդյունքում ձևավորված այլ համապարփակ եկամտի չափով:
5) հիմնական միջոցների, այլ նյութական ակտիվների (բացառությամբ սույն կետի 6-րդ ենթակետով սահմանված անշարժ գույքի) և օգտագործման իրավունքի ձևով ակտիվների (հիմքում՝ նյութական ակտիվներ), դրանց վրա կատարված կապիտալ ներդրումների հաշվեկշռային արժեքների (այդ թվում՝ այլ համապարփակ եկամտում գրանցված վերագնահատման արդյունքը)` բանկի առաջին մակարդակի հիմնական կապիտալի տարրերի հանրագումարի՝ 15 տոկոսը գերազանցող գումարի չափով` մինչև 2023 թվականի դեկտեմբերի 31-ը, իսկ 2024 թվականի հունվարի 1-ից սկսած՝ 10 տոկոսը գերազանցող գումարի չափով: Ընդ որում, սույն ենթակետով սահմանված հաշվարկի ժամանակ առաջին մակարդակի հիմնական կապիտալի տարրերի հանրագումարը նվազեցվում է հիմնական միջոցների, այլ նյութական ակտիվների, Ծրագրային ակտիվների արժեքի վերագնահատման արդյունքում ձևավորված այլ համապարփակ եկամտի չափով:
6) գրավի տնօրինման արդյունքում բանկին սեփականության իրավունքով անցած և ՖՀՄՍ 5-ի համաձայն վաճառքի համար պահվող դասակարգված անշարժ գույքի և դրա վրա կատարված կապիտալ ներդրումների հաշվեկշռային արժեքի չափով՝ այդ գույքը օրենքով սահմանված կարգով բանկի սեփականությունը դառնալու օրվանից երկու տարի հետո:
7) գրավի առարկայի տնօրինման արդյունքում բանկին սեփականության իրավունքով անցած բաժնետոմսերի հաշվեկշռային արժեքի չափով` այդ բաժնետոմսերը օրենքով սահմանված կարգով բանկի սեփականությունը դառնալու օրվանից վեց ամիս հետո: Ընդ որում, սույն ենթակետում նշված բաժնետոմսերը ենթակա չեն նվազեցման (առավելագույնը՝ այդ բաժնետոմսերով ապահովված պահանջի գումարի չափով) մինչև սույն ենթակետում նշված վեցամսյա ժամկետի ավարտը միայն այն դեպքում, երբ տվյալ բաժնետոմսերի գծով առկա է անկախ գնահատողի կողմից գնահատված իրական արժեքը, որը տրվել է սույն ենթակետում նշված բաժնետոմսերը օրենքով սահմանված կարգով բանկի սեփականությունը համարվելու օրվանից առավելագույնը 6 ամիս առաջ, հակառակ դեպքում բաժնետոմսերը նվազեցվում են առաջին մակարդակի հիմնական կապիտալի մեծությունից բանկի սեփականությունը դառնալու օրվանից:
8) հետաձգված հարկային ակտիվների հաշվեկշռային արժեքի և հետաձգված հարկային պարտավորությունների հաշվեկշռային արժեքի դրական տարբերության չափով:
9) այլ բանկերի, վարկային կազմակերպությունների, ապահովագրական ընկերությունների, ներդրումային ընկերությունների, ներդրումային ֆոնդի կառավարիչների, ինչպես նաև «Բանկերի և բանկային գործունեության մասին» Հայաստանի Հանրապետության օրենքի 34-րդ հոդվածի 1-ին մասով սահմանված ֆինանսական գործառնություններ իրականացնող անձանց կանոնադրական կապիտալներում իրականացված ներդրումների հաշվեկշռային արժեքի չափով (բացառությամբ՝ սույն կետի 10-րդ ենթակետով նախատեսված դեպքի), եթե`
ա. կանոնադրական կապիտալում ներդրումը կազմում է տվյալ անձի կանոնադրական կապիտալի 4.99 տոկոսը կամ ավելին, կամ
բ. բոլոր անձանց (այդ թվում` սույն կետի 11-րդ ենթակետում նշված) կանոնադրական կապիտալներում ներդրումները գերազանցում են բանկի առաջին մակարդակի հիմնական և լրացուցիչ կապիտալների հանրագումարի (նվազեցրած (ճշգրտած) սույն կետի 1-8-րդ ենթակետերում, սույն կանոնակարգի 28.4-րդ և 28.6-րդ կետերում նշված տարրերը) 10 տոկոսը:
10) սույն կետի 9-րդ ենթակետով նախատեսված այն ներդրումները, որոնց արդյունքում բանկը սույն կետի 9-րդ ենթակետում նշված կազմակերպության կապիտալում ձեռք է բերում 100 տոկոս մասնակցություն, և ներդրումը կատարվել է այդ կազմակերպությունը հետագայում լուծարելու (նաև՝ բանկին միացնելու) նպատակով, և Կենտրոնական բանկը տեղեկացվել է այդ նպատակի մասին, իրենց հաշվեկշռային արժեքի չափով նվազեցվում են ներդրումը կատարելու պահից 6 ամիս հետո:
11) սույն կետի 9-րդ ենթակետում չնշված այլ կազմակերպության կանոնադրական կապիտալում կատարված ներդրումները նվազեցվում են հետևյալ չափով.
Ն = Max [(Նա - Չ), (Նբ - Կ), 0],
Որտեղ՝
Ն |
-ն բանկի առաջին մակարդակի հիմնական կապիտալից կատարվող նվազեցման չափն է, |
Նա |
-ն տվյալ անձի կանոնադրական կապիտալում կատարված ներդրման չափն է, |
Չ |
-ն տվյալ անձի կանոնադրական կապիտալի 4.99 տոկոսն է, |
Նբ |
-ն բոլոր անձանց (այդ թվում` սույն կետի 9-րդ ենթակետում նշված) կանոնադրական կապիտալում կատարված ներդրումների հանրագումարն է, |
Կ |
-ն բանկի առաջին մակարդակի հիմնական և լրացուցիչ կապիտալների հանրագումարի (նվազեցրած (ճշգրտած) սույն կետի 1-8-րդ ենթակետերում, սույն կանոնակարգի 28.4-րդ և 28.6-րդ կետերում նշված տարրերը) 10 տոկոսն է: |
12) այլ կազմակերպություններում կատարված փոխադարձ ներդրումների դեպքում բանկի կապիտալում կատարված ներդրման հաշվեկշռային արժեքի չափով, եթե Կենտրոնական բանկի հիմնավոր կարծիքով այդ ներդրումը կատարվել է բանկի կապիտալն արհեստականորեն մեծացնելու նպատակով: Սույն ենթակետի իմաստով՝ փոխադարձ է համարվում այն ներդրումը, որի արդյունքում բանկը կամ այն կազմակերպությունը, որի կապիտալում բանկն ունի նշանակալից մասնակցություն (այսուհետ՝ սույն պարբերությունում` բանկ), մասնակցություն է ձեռք բերում մեկ այլ անձի կամ այն կազմակերպության կապիտալում, որում այդ անձն ունի նշանակալից մասնակցություն, և նա (նրա նշանակալից մասնակիցը) իր հերթին մասնակցություն ունի (ունեն) բանկի կապիտալում:
28.4. Առաջին մակարդակի հիմնական կապիտալը ճշգրտվում է.
1) իրական արժեքով չհաշվառվող ակտիվների գծով ձևավորված դրամական հոսքերի հեջավորման պահուստն ապաճանաչելու միջոցով՝ դրական մեծությունը նվազեցվում է, իսկ բացասականը` գումարվում:
2) բանկի սեփական վարկային ռիսկի փոփոխության արդյունքում իրական արժեքով հաշվառվող պարտավորությունների իրական արժեքի փոփոխությամբ պայմանավորված չիրացված շահույթը և վնասն ապաճանաչելու միջոցով՝ դրական մեծությունը նվազեցվում է, իսկ բացասականը` գումարվում:
28.5. Առաջին մակարդակի լրացուցիչ կապիտալի կազմում ընդգրկվում են սույն կանոնակարգի հավելված 9-ի բոլոր պահանջներին բավարարող արտոնյալ բաժնետոմսերը հետևյալ արժեքով՝ բաժնետոմսի անվանական արժեքի և արտոնյալ բաժնետոմսերից էմիսիոն եկամտի գումարից նվազեցրած զեղչ:
28.6. Առաջին մակարդակի լրացուցիչ կապիտալը նվազեցվում է սույն կանոնակարգի հավելված 9-ի բոլոր պահանջներին բավարարող այն արտոնյալ բաժնետոմսերի անվանական արժեքի չափով, որոնք հետ են գնվել բանկի կողմից (եթե արդեն իսկ չեն նվազեցվել կիրառվող հաշվապահական հաշվառման ստանդարտների համաձայն) կամ ձեռք են բերվել այնպիսի կազմակերպությունների կողմից, որոնցում բանկը նշանակալից մասնակից է, կամ որոնք բանկը որևէ իրավաբանական փաստաթղթի հիման վրա պարտավոր է կամ կարող է պարտավորվել ձեռք բերել (բացառությամբ` օրենսդրությամբ նախատեսված պարտադիր հետգնման դեպքերի) հետագայում:
28.7. Երկրորդ մակարդակի կապիտալի կազմում ընդգրկվում են հետևյալ տարրերը.
1) Սույն կանոնակարգի Հավելված 10-ի բոլոր պահանջներին բավարարող երկարաժամկետ ստորադաս փոխառությունները (այդ թվում՝ վարկերով և պարտատոմսերով ներգրավված միջոցները)՝ պայմանագրային մայր գումարի (անվանական արժեքի) չափով: Ընդ որում, ստորադաս փոխառության մայր գումարը (անվանական արժեքը) ենթակա է օրական ամորտիզացիայի՝ սույն Կանոնակարգի Հավելված 14-ի Գլուխ 2-ով սահմանված կարգով:
2) Ակտիվների դասակարգման և պահուստավորման կարգի համաձայն ձևավորված հնարավոր կորուստների ընդհանուր պահուստը՝ առավելագույնը սույն կանոնակարգի համաձայն հաշվարկված ռիսկով կշռված ակտիվների հաշվարկում ներառված «վարկային ռիսկ» տարրի մեծության 1,25 տոկոսի չափով:»:
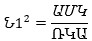
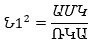
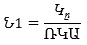
12) Կանոնակարգի 29-րդ կետը շարադրել հետևյալ խմբագրությամբ․
«29. Բանկի առաջին մակարդակի հիմնական կապիտալի համարժեքության նորմատիվը հաշվարկվում է հետևյալ բանաձևով.
,
որտեղ`
ԱՄԿհիմն - առաջին մակարդակի հիմնական կապիտալն է` ամսվա միջին օրական հաշվարկով,
ՌԿԱ - վարկային ռիսկի, շուկայական ռիսկի և գործառնական ռիսկի հանրագումարն է, որը հաշվարկվում է հետևյալ բանաձևով`
ՎՌ - վարկային ռիսկն է` հաշվարկված սույն կանոնակարգի հավելված 3-ով սահմանված կարգի համաձայն,
ՇՌ – շուկայական ռիսկն է` հաշվարկված սույն կանոնակարգի հավելված 4-ով սահմանված կարգի համաձայն,
ԳՌ – գործառնական ռիսկն է` հաշվարկված սույն կանոնակարգի հավելված 5-ով սահմանված կարգի համաձայն:»:
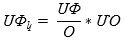
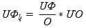
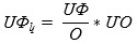
13) Կանոնակարգի 30․1-րդ կետը շարադրել հետևյալ խմբագրությամբ․
«30.1 Բանկի առաջին մակարդակի կապիտալի համարժեքության նորմատիվը հաշվարկվում է հետևյալ բանաձևով.
որտեղ`
ԱՄԿ - առաջին մակարդակի կապիտալն է` ամսվա միջին օրական հաշվարկով,
ՌԿԱ - վարկային ռիսկի, շուկայական ռիսկի և գործառնական ռիսկի հանրագումարն է, որը հաշվարկվում է հետևյալ բանաձևով`
ՎՌ - վարկային ռիսկն է` հաշվարկված սույն կանոնակարգի հավելված 3-ով սահմանված կարգի համաձայն,
ՇՌ – շուկայական ռիսկն է` հաշվարկված սույն կանոնակարգի հավելված 4-ով սահմանված կարգի համաձայն,
ԳՌ – գործառնական ռիսկն է` հաշվարկված սույն կանոնակարգի հավելված 5-ով սահմանված կարգի համաձայն:»:
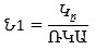
14) Կանոնակարգի 31-րդ կետը շարադրել հետևյալ խմբագրությամբ․
«31. Բանկի ընդհանուր կապիտալի համարժեքության նորմատիվը հաշվարկվում է հետևյալ բանաձևով.
որտեղ`
Կը- ընդհանուր կապիտալն է՝ ամսվա միջին օրական հաշվարկով,
ՌԿԱ- վարկային ռիսկի, շուկայական ռիսկի և գործառնական ռիսկի հանրագումարն է, որը հաշվարկվում է հետևյալ բանաձևով՝
ՎՌ-վարկային ռիսկն է՝ հաշվարկված սույն կանոնակարգի հավելված 3-ով սահմանված կարգի համաձայն,
ՇՌ-շուկայական ռիսկն է` հաշվարկված սույն կանոնակարգի հավելված 4-ով սահմանված կարգի համաձայն,
ԳՌ-գործառնական ռիսկն է` հաշվարկված սույն կանոնակարգի հավելված 5-ով սահմանված կարգի համաձայն:»:
15) Կանոնակարգը 31-րդ կետից հետո լրացնել հետևյալ բովանդակությամբ 31.1-րդ կետով.
«31.1. Սույն Կանոնակարգի համաձայն բանկի էմիսիոն եկամուտը ներառվում է առաջին մակարդակի կապիտալի կազմում, եթե բանկի կանոնադրությամբ սահմանվել է, որ բանկի էմիսիոն եկամուտը կարող է օգտագործվել միայն «Բանկերի և բանկային գործունեության մասին» Հայաստանի Հանրապետության օրենքի 36-րդ հոդվածի համաձայն կանոնադրական կապիտալը նվազեցնելու դեպքում կամ բանկի անվճարունակության դեպքում կորուստները ծածկելու նպատակով կամ կարող է ուղղվել բանկի բաժնետոմսերի (բաժնեմասերի) անվանական արժեքի ավելացմանը:»:
16) Կանոնակարգի 46-րդ կետում «28.1-րդ կետի 2-րդ ենթակետով սահմանված հիմնական կապիտալի մեծությունից պակասեցվող տարրերը» բառերը փոխարինել «28.3-րդ կետով սահմանված՝ առաջին մակարդակի հիմնական կապիտալի մեծությունից նվազեցվող տարրերը» բառերով:
17) Կանոնակարգի 53.1-րդ կետում «28.1-րդ կետի համաձայն հիմնական կապիտալի կազմի մեջ մտնող» բառերը փոխարինել «28.2-րդ կետի համաձայն առաջին մակարդակի հիմնական կապիտալի կազմում ներառվող» բառերով:
18) Կանոնակարգը 6.1-րդ գլխից հետո լրացնել հետևյալ բովանդակությամբ 6.2-րդ և 6․3-րդ գլուխներով.
«ԳԼՈՒԽ 6.2
ՀԻՄՆԱԿԱՆ ՏՆՏԵՍԱԿԱՆ ՆՈՐՄԱՏԻՎՆԵՐԻ ՀԱՇՎԱՐԿՄԱՆ ԺԱՄԱՆԱԿ ՎԱՐԿԱՆԻՇԱՅԻՆ ԳՈՐԾԱԿԱԼՈՒԹՅՈՒՆՆԵՐԻ ԸՆՏՐՈՒԹՅԱՆ ՍԿԶԲՈՒՆՔՆԵՐԸ
88. Սույն կանոնակարգով սահմանված նորմատիվների հաշվարկման ժամանակ կիրառվում են հետևյալ վարկանիշային գործակալությունների սահմանած վարկանիշերը.
1) Ստանդարտ և Փուրզ,
2) Ֆիթչ,
3) Մուդիզ,
4) ՀՀ կենտրոնական բանկի նախագահի որոշմամբ սահմանված այլ վարկանիշային գործակալություններ, որոնք բավարարում են հետևյալ պայմաններին.
ա. հավաստագրվել են վարկանիշային կազմակերպություններին գրանցող, հաշվառող կամ վերահսկող միջազգայնորեն ճանաչված մարմիններից առնվազն երկուսի կողմից,
բ. բավարարում են Բազելյան կոմիտեի կողմից վարկային ռիսկի ստանդարտացված մոտեցման դեպքում կիրառվող արտաքին վարկանիշային կազմակերպությունների համար սահմանված չափանիշներին, որոնք առնվազն ներառում են օբյեկտիվության, անկախության, թափանցիկության, հաշվետվողականության, անհրաժեշտ ռեսուրսների առկայության և վերահսկող մարմնի հետ համագործակցության չափանիշները:
գ. տվյալ վարկանիշային կազմակերպության կողմից սահմանված վարկանիշերի սանդղակը ամբողջությամբ համապատասխանեցված է (կամ հնարավոր է համապատասխանեցնել) սույն կետի 1-3-րդ ենթակետերով սահմանված վարկանիշային կազմակերպություններից առնվազն մեկի վարկանիշերի սանդղակին: Ընդ որում, սանդղակների համապատասխանեցման վերաբերյալ առկա է ֆինանսական համակարգի կարգավորման կամ վերահսկողության ոլորտում միջազգայնորեն ճանաչված մարմիններից որևէ մեկի կողմից հրապարակված վերլուծությունը:
89. Սույն կանոնակարգի 88-րդ կետի 4-րդ ենթակետով սահմանված՝ Կենտրոնական բանկի նախագահի որոշման հիման վրա ձևավորված կազմակերպությունների ցանկը հրապարակվում է Կենտրոնական բանկի պաշտոնական կայքէջում:
ԳԼՈՒԽ 6.3
ՀԻՄՆԱԿԱՆ ՏՆՏԵՍԱԿԱՆ ՆՈՐՄԱՏԻՎՆԵՐԻ ՀԱՇՎԱՐԿՄԱՆ ԺԱՄԱՆԱԿ ՎԱՐԿԱՆԻՇԵՐԻ ԿԻՐԱՌՄԱՆ ՍԿԶԲՈՒՆՔՆԵՐ
90. Հիմնական տնտեսական նորմատիվների հաշվարկման ժամանակ սույն Կանոնակարգի 88-րդ կետի 4-րդ ենթակետով սահմանված կազմակերպությունների կողմից տրված վարկանիշերը կիրառելիս հիմք են ընդունվում Կենտրոնական բանկի պաշտոնական կայքէջում հրապարակած վարկանիշերի համեմատական սանդղակում տվյալ վարկանիշին համապատասխան սույն կանոնակարգի 88-րդ կետի 1-3-րդ ենթակետերով սահմանված վարկանիշային կազմակերպությունների տված վարկանիշերի համար սահմանված պահանջները:
91. Բանկերը պարտավոր են թարմացնել վարկանիշային գործակալությունների սահմանած վարկանիշերը՝ հիմք ընդունելով սույն կանոնակարգի 88-րդ կետով սահմանված վարկանիշային գործակալությունների կողմից տվյալ օրվան վերաբերող վարկանիշերը:
92. Եթե տվյալ գործիքը կամ կազմակերպությունն ունի միայն մեկ վարկանիշային գործակալության կողմից տրված վարկանիշ, ապա հիմք է ընդունվում միայն տվյալ վարկանիշը: Եթե միևնույն ակտիվի կամ կազմակերպության համար առկա է երկու տարբեր վարկանիշ՝ տրամադրված տարբեր վարկանիշային գործակալությունների կողմից, բանկը պետք է հիմք ընդունի ամենացածր վարկանիշը: Իսկ երեք և ավելի վարկանիշերի առկայության դեպքում բանկը պետք է հիմք ընդունի երկու ամենաբարձր վարկանիշերից առավել ցածր վարկանիշը:
93. Ֆինանսական խմբի մեջ գտնվող ցանկացած անձի տրված վարկանիշը չի տարածվում (կիրառվում) ֆինանսական խմբի և ֆինանսական խմբի մեջ մտնող այլ անձանց վրա:
94. Ֆինանսական խմբին տրված վարկանիշը չի տարածվում (կիրառվում) խմբի մեջ մտնող անձանց վրա:»։
19) Կանոնակարգի Հավելված 3-ում և Հավելված 4-ում բոլոր «հիմնական կապիտալ» բառերը դրանց համապատասխան հոլովաձևերով փոխարինել «առաջին մակարդակի հիմնական կապիտալ» բառերով՝ դրանց համապատասխան հոլովաձևերով:
20) Կանոնակարգի Հավելված 3-ում.
ա. 3-րդ կետից հանել «Ընդ որում, վարկային ռիսկի հաշվարկում չեն ընդգրկվում սույն կանոնակարգի 28.1-րդ կետով սահմանված հիմնական կապիտալի մեծությունից պակասեցվող ակտիվները:» նախադասությունը,
բ. 3-րդ կետից հետո լրացնել հետևյալ բովանդակությամբ 3.1-րդ կետով.
«3.1. Սույն կանոնակարգով սահմանված վարկային ռիսկի հաշվարկում չեն ներառվում.
1) առաջին մակարդակի հիմնական կապիտալի մեծությունից նվազեցվող ակտիվները.
2) շահույթ/վնասով վերաչափվող իրական արժեքով հաշվառվող և իրական արժեքով՝ այլ համապարփակ ֆինանսական արդյունքի միջոցով չափվող այն ակտիվները, որոնց գծով հաշվարկվում է տոկոսադրույքի հատուկ ռիսկը՝ համաձայն սույն կանոնակարգի Հավելված 4-ի:»,
գ. 4-րդ կետը «հաշվեկշռային արժեքով» բառերից հետո լրացնել «(բացառությամբ ստանդարտ դասով դասակարգված ակտիվների և ոչ ռիսկային դասակարգված արժեթղթերի, որոնք ներառվում են համախառն հաշվեկշռային արժեքով)» բառերով,
դ. 6-րդ կետի Աղյուսակ 1-ը 6.14-րդ տողից հետո լրացնել հետևյալ բովանդակությամբ 6.14.1-րդ տողով, իսկ 6․23-րդ տողից հետո 6.23.1-րդ տողերով.
« |
|
», |
ե. 6-րդ կետի աղյուսակ 1-ի 6.31-րդ տողում «28.1-րդ կետի երկրորդ պարբերության «ժա» ենթակետով» բառերը փոխարինել «28.3-րդ կետի 11-րդ ենթակետով» բառերով,
զ. 7-րդ կետն ուժը կորցրած ճանաչել,
է. 12-րդ կետը «նվազեցնելուց հետո» բառերից հետո լրացնել «(բացառությամբ ստանդարտ դասով դասակարգված հետհաշվեկշռային հոդվածների, որոնք դրանց գծով ձևավորված ընդհանուր պահուստի չափով չեն նվազեցվում)» բառերով,
ը. 16-րդ կետի «ա» պարբերությունում «երաշխիք կամ երաշխավորություն,» բառերից հետո լրացնել «կամ ՀՀ վարկանիշին համապատասխան կամ բարձր վարկանիշ ստացած ապահովագրական ընկերությունների կողմից վարկի ապահովագրության, երաշխիքի տրամադրման և ֆինանսական վնասների դասերով տրամադրված արտահանման ապահովագրություն (սույն գլխում այսուհետ նաև՝ ապահովագրություն)» բառերը,
թ. 16-րդ կետի «գ» պարբերությունում «երաշխավորության» բառից հետո լրացնել «, ապահովագրության» բառը,
ժ. 16-րդ կետի «դ» պարբերությունում «երաշխավորություն» բառից հետո լրացնել «, ապահովագրություն» բառը,
ժա. 20-րդ կետում «հնարավոր կորուստների պահուստի» բառերը փոխարինել «հնարավոր կորուստների հատուկ պահուստի (առկայության դեպքում),» բառերով,
ժբ. 21-րդ կետը շարադրել հետևյալ խմբագրությամբ․
«21. ՎՌԶՄ շրջանակներում բանկը ճշգրտում է ապահովվածության արժեքը՝ ՎՌԶՄ ենթակա պահանջը և ապահովվածությունը տարբեր արժույթներով լինելու դեպքում, սույն հավելվածի 25-րդ կետով արժեքի տատանման գործակիցներ սահմանված լինելու դեպքում կամ սույն գլխով սահմանված ապահովագրության՝ որպես ապահովվածություն առկայության դեպքում: Հաշվարկն իրականացվում է հետևյալ բանաձևի համաձայն.
Աճ = Ա *(1-Գգ-Գփխ- ԳԱ),
որտեղ՝
«Աճ»-ապահովվածության ճշգրտված արժեքն է,
«Ա»-ապահովվածության արժեքն է,
«Գգ»-25-րդ կետով սահմանված արժեքի տատանման գործակիցն է,
«Գփխ»-փոխարժեքի տատանման գործակիցն է, որը սահմանվում է՝
8%, եթե ՎՌԶՄ-ին ենթակա պահանջը և ապահովվածությունը տարբեր արժույթներով են,
0%, եթե ՎՌԶՄ-ին ենթակա պահանջը և ապահովվածությունը միևնույն արժույթներով են,
«ԳԱ»- ապահովագրության պայմանագրի ճշգրտման գործակիցն է, որը սահմանվում է
20%, եթե առկա է սույն գլխով սահմանված ապահովագրությունը,
0%, եթե առկա չէ սույն գլխով սահմանված ապահովագրությունը:»,
ժգ. 22-րդ կետում առաջին նախադասությունը շարադրել հետևյալ բովանդակությամբ.
«Եթե պահանջի գծով առկա չեն տատանման (ճշգրտման) գործակիցներ, ապա ՎՌԶՄ ենթակա պահանջի արժեքը հավասար է պահանջի և հնարավոր կորուստների հատուկ պահուստի (առկայության դեպքում) տարբերությանը: Եթե պահանջի գծով առկա է արժեքի տատանման (ճշգրտման) գործակից, ապա ՎՌԶՄ ենթակա պահանջի ճշգրտված արժեքը որոշվում է սույն հավելվածի 20-րդ կետի համաձայն:»,
ժդ. 22.1-րդ կետը «հաշվեկշռային արժեքի» բառերից հետո լրացնել «(ստանդարտ դասով դասակարգված ակտիվների և ոչ ռիսկային դասակարգված արժեթղթերի դեպքում՝ համախառն հաշվեկշռային արժեքի)» բառերով,
ժե. 22.2-րդ կետը «հաշվեկշռային արժեքը» բառերից հետո լրացնել «(ստանդարտ դասով դասակարգված ակտիվների և ոչ ռիսկային դասակարգված արժեթղթերի դեպքում՝ համախառն հաշվեկշռային արժեքը)» բառերով,
ժզ. 30-րդ կետը շարադրել հետևյալ բովանդակությամբ.
«30. Վարկային ռիսկի հաշվարկման ժամանակ վարկանիշերի կիրառման սկզբունքները պետք է համապատասխանեն սույն կանոնակարգի 6․2-րդ և 6․3-րդ գլուխներով սահմանված պահանջներին:»,
ժէ. 31-րդ, 32-րդ և 40-րդ, 41-րդ կետերն ուժը կորցրած ճանաչել:
ժը. 43-րդ կետում բոլոր «սույն Հավելվածի 32-րդ կետով» բառերը փոխարինել «սույն կանոնակարգի 92-րդ կետով» բառերով,
21) Կանոնակարգի Հավելված 4-ի 6.7-րդ կետում «12» թիվը փոխարինել «11» թվով:
22) Հավելված 9-ում բոլոր «հիմնական կապիտալի» բառերը փոխարինել «ընդհանուր կապիտալի» բառերով:
23) Կանոնակարգի Հավելված 10-ում բոլոր «լրացուցիչ կապիտալի» բառերը փոխարինել «երկրորդ մակարդակի կապիտալ» բառերով:
24) Կանոնակարգի Հավելված 10-ի 1-ին կետի 5-րդ ենթակետից հանել «Ընդ որում, փոխառության պայմանագրով փոխառության մայր գումարի մարում կարող է նախատեսվել միայն փոխառության գումարի լրիվ մարման վերջնաժամկետին նախորդող մեկ օրացուցային տարվա ընթացքում, իսկ փոխառության պայմանագրի երկարաձգման դեպքում` երկարաձգված ամբողջական մարման վերջնաժամկետին նախորդող մեկ օրացուցային տարվա ընթացքում (բացառությամբ՝ սույն Հավելվածի 7-րդ ենթակետով սահմանված կարգով փոխառության ամբողջ գումարի վաղաժամկետ մարման դեպքերի):» նախադասությունը:
25) Կանոնակարգի Հավելված 10-ի 1-ին կետի 7-րդ ենթակետի «բ» պարբերությունում և 17-րդ ենթակետում, «28.1-րդ կետի համաձայն հիմնական կապիտալի կազմի մեջ մտնող» բառերը փոխարինել «առաջին մակարդակի հիմնական կապիտալի կազմում ներառվող սովորական» բառերով:
26) Կանոնակարգի Հավելված 10-ի 1-ին կետի 8-րդ ենթակետի «բ» պարբերությունում «նորմատիվային կապիտալի մակարդակը, առանց սույն կետում նշված ստորադաս փոխառության, բավարար չափով բարձր է,» բառերը փոխարինել «կապիտալի համարժեքության նորմատիվները բավարար չափով բարձր են սույն կանոնակարգով սահմանված նվազագույն սահմանաչափերից՝ առանց սույն կետում նշված ստորադաս փոխառության,» բառերով:
27) Կանոնակարգի Հավելված 10-ի 1-ին կետի 17-րդ ենթակետում «քան այն առավելագույն գումարը, որով փոխառությունը սույն հավելվածի 2-րդ կետով սահմանված իրավիճակն ի հայտ գալուն նախորդող 120 օրվա ընթացքում ներառվել է բանկի ընդհանուր կապիտալի հաշվարկում» բառերը փոխարինել «քան փոխառության մայր գումարն (անվանական արժեքն) է»:
28) Կանոնակարգի Հավելված 10-ի 1-ին կետի 18-րդ ենթակետում «հիմնական կապիտալի կազմի մեջ մտնող» բառերը փոխարինել «առաջին մակարդակի հիմնական կապիտալի կազմում ներառվող սովորական» բառերով:
29) Կանոնակարգի Հավելված 10-ի 2-րդ կետը շարադրել հետևյալ խմբագրությամբ.
«2. Սույն կանոնակարգի իմաստով՝ ֆինանսական վիճակի վատթարացում է համարվում հետևյալ իրավիճակներից որևէ մեկի ի հայտ գալը.
1) բանկը խախտում է առաջին մակարդակի հիմնական կապիտալի համարժեքության նվազագույն սահմանաչափը:
2) Կենտրոնական բանկը գրավոր կերպով տեղեկացնում է բանկին այն մասին, որ Կենտրոնական բանկի կողմից հաշվարկված գնահատականը վատթարացել է կամ կարող է վատթարանալ սահմանված չափից:
3) Կենտրոնական բանկը գրավոր եղանակով տեղեկացնում է բանկին այն մասին, որ առանց Կենտրոնական բանկի կամ պետական այլ օժանդակության բանկի մոտ կառաջանան (հնարավոր է, որ առաջանան) «Բանկերի, վարկային կազմակերպությունների, ներդրումային ընկերությունների, ներդրումային ֆոնդի կառավարիչների և ապահովագրական ընկերությունների սնանկության մասին» Հայաստանի Հանրապետության օրենքով սահմանված հիմքերից որևէ մեկը:»:
30) Կանոնակարգի Հավելված 10-ի 3-րդ կետում «երկարաժամկետ ստորադաս փոխառության (փոխառությունների) գումարն է» բառերը փոխարինել «երկարաժամկետ ստորադաս փոխառության (փոխառությունների) մայր գումարն է» բառերով:
31) Կանոնակարգի Հավելված 10-ի 4-րդ կետը շարադրել հետևյալ բովանդակությամբ.
«4. Կենտրոնական բանկի նախնական համաձայնությունը չի պահանջվում այն դեպքում, երբ ստորադաս փոխառության ներգրավման արդյունքում սույն Հավելվածի 3-րդ կետով հաշվարկվող ցուցանիշը գերազանցում է տվյալ կետով սահմանված որոշակի սահմանաչափը, սակայն ստորադաս փոխառության պայմանագրով սահմանվել է, որ
1) փոխատուն ձեռք չի բերելու տվյալ սահմանաչափը գերազանցող ձայնի իրավունք տվող բաժնետոմսեր,
2) փոխատուն գիտակցում է, որ փոխառության փոխարկման դեպքում, սահմանված սահմանաչափը գերազանցող մասն ուղղվում է բանկի էմիսիոն եկամտի կամ շահույթի հաշվին՝ սույն հավելվածի 1-ին կետի 17-րդ ենթակետի համաձայն ֆինանսական վիճակի վատթարացման հիմքերը վերացնելու (մեղմելու) համար անհրաժեշտ գումարը լրացնելու նպատակով:
32) Կանոնակարգի Հավելված 10-ը 4-րդ կետից հետո լրացնել հետևյալ բովանդակությամբ 5-րդ կետով.
«5. Սույն հավելվածի 2-րդ կետով սահմանված դեպքում բանկի երկրորդ մակարդակի կապիտալի կազմում ներառված ստորադաս փոխառությունները սույն Կանոնակարգի 1-ին կետի 17-րդ ենթակետի համաձայն փոխարկվում են առաջին մակարդակի կապիտալի կազմում ներառվող բաժնետոմսերի կամ ուղղվում են էմիսիոն եկամտի կամ շահույթի հաշվին (սույն հավելվածի 4-րդ կետով սահմանված դեպքում) հետևյալ չափով.
33) Կանոնակարգի Հավելված 13-ի 5-րդ կետի Աղյուսակ 1-ի 1-ին և 2-րդ կետերը շարադրել հետևյալ բովանդակությամբ.
1. Առաջին մակարդակի կապիտալի տարրերի հանրագումարը. այն է՝ սույն Կանոնակարգի 28.2-րդ կետով և 28.5-րդ կետով սահմանված տարրերի հանրագումարը, որը նվազեցվում է սույն Կանոնակարգի 28.3-րդ կետի 1-ին ենթակետով և 28.6-րդ կետով սահմանված տարրերով: |
100% | |
2. Երկրորդ մակարդակի կապիտալի տարրերի հանրագումարը, ընդ որում՝ ստորադաս փոխառությունը ներառվում է, եթե դրա մարմանը մնացած ժամկետը հավասար է կամ գերազանցում է մեկ տարին: |
100% |
34) Կանոնակարգը Հավելված 13-ից հետո լրացնել Հավելված 14-ով՝ համաձայն սույն որոշման Հավելված 1-ի:
2. Սույն որոշումն ուժի մեջ է մտնում պաշտոնական հրապարակմանը հաջորդող վեցերորդ ամսվան հաջորդող ամսվա 1-ից, բացառությամբ սույն որոշման 1-ին կետի 2-րդ և 9-րդ ենթակետերի, որոնք ուժի մեջ են մտնում պաշտոնական հրապարակման օրվան հաջորդող տասներորդ օրը:
3. Սույն որոշմամբ սահմանված կապիտալի համարժեքության նորմատիվների հաշվարկման սկզբունքները տարածվում են սույն որոշումն ուժի մեջ մտնելու դրությամբ բանկի չմարված հաշվեկշռային հոդվածների նկատմամբ:
4. Սույն որոշման 1-ին կետի 24-րդ, 25-րդ, 27-րդ, 28-րդ ենթակետերը, 29-րդ ենթակետով փոփոխվող Հավելված 10-ի 2-րդ կետի 2-րդ ենթակետը և 31-րդ ենթակետը տարածվում են սույն որոշումն ուժի մեջ մտնելուց հետո կնքվող ստորադաս փոխառության պայմանագրերի և գործողության ժամկետը երկարաձգվող ստորադաս փոխառության պայմանագրերի վրա։
5. Սույն որոշման 1-ին կետի 29-րդ ենթակետով փոփոխվող Հավելված 10-ի 2-րդ կետի 1-ին և 3-րդ ենթակետերը տարածվում են նաև սույն որոշումն ուժի մեջ մտնելու պահին գործող ստորադաս փոխառության պայմանագրերի վրա։
6. Մինչև սույն որոշման ուժի մեջ մտնելը կնքված այն ստորադաս փոխառության պայմանագրերի գծով, որոնցում Կանոնակարգ 2-ի Հավելված 10-ի 1-ին կետի 5-րդ ենթակետի համաձայն նախատեսվել է փոխառության մայր գումարի մասնակի մարում, սույն որոշման հավելված 2-ի 2-րդ գլխով սահմանված հաշվարկում ստորադաս փոխառության մարման օր է համարվում Կանոնակարգի Հավելված 10-ի 1-ին կետի 5-րդ ենթակետի համաձայն փոխառության պայմանագրով նախատեսված մասնակի մարման օրը, ընդ որում հաշվարկվում ներառվում է ստորադաս փոխառության ամբողջ գումարը:
Հայաստանի Հանրապետության կենտրոնական բանկի նախագահ |
Մ. Գալստյան |
2022 թ. նոյեմբերի 22 Երևան |
ՀԱՎԵԼՎԱԾ 1 ՀՀ կենտրոնական բանկի խորհրդի 2022 թվականի նոյեմբերի 15-ի թիվ 195-Ն որոշման |
«Հավելված 14 ՀՀ կենտրոնական բանկի խորհրդի 2007 թվականի փետրվարի 9-ի թիվ 39-Ն որոշմամբ հաստատված «Բանկերի գործունեության կարգավորումը, բանկային գործունեության հիմնական տնտեսական նորմատիվները» կանոնակարգ 2-ի |
ԳԼՈՒԽ 1
ԲԱՆԿԻ ՇԱՀՈՒՅԹԻ՝ ԱՌԱՋԻՆ ՄԱԿԱՐԴԱԿԻ ՀԻՄՆԱԿԱՆ ԿԱՊԻՏԱԼՈՒՄ ԸՆԴԳՐԿՄԱՆ ՍԿԶԲՈՒՆՔՆԵՐԸ
1. Բանկի չբաշխված շահույթը ընթացիկ ժամանակաշրջանի չբաշխված շահույթ/վնասի և նախորդ ժամանակաշրջանների չբաշխված շահույթ/վնասի դրական հանրագումարն է:
2. Բանկի չբաշխված շահույթը ներառվում է առաջին մակարդակի հիմնական կապիտալի կազմում՝ սույն հավելվածի 3-րդ կետի համաձայն՝ հաշվի առնելով սույն գլխի 4-րդ և 5-րդ կետերով սահմանված պահանջները:
3. Բանկի չբաշխված շահույթը առաջին մակարդակի հիմնական կապիտալի կազմում ներառվում է հետևյալ բանաձևով հաշվարկված չափով՝
Շ = Շահույթ - ՎՀՇ
որտեղ՝
Շ-ն – առաջին մակարդակի հիմնական կապիտալի կազմում ներառվող չբաշխված շահույթի մեծությունն է,
Շահույթ-ը – նորմատիվային կապիտալի հաշվարկման պահի դրությամբ չբաշխված շահույթն է,
ՎՀՇ-ն – տվյալ տարվա ընթացքում վճարման ենթակա հավանական շահաբաժինների չափն է, որը հաշվարկվում է հետևյալ բանաձևով՝
ՎՀՇ = Max ((Շահույթ + ՇԲ) * Բաշխման դրույք – ՇԲ ; 0),
որտեղ՝
ՇԲ –ն – տվյալ տարվա ընթացքում արդեն վճարված շահութաբաժինների չափն է (առկայության դեպքում),
Բաշխման դրույք–ը – հաշվարկվում է հետևյալ բանաձևով՝
Բաշխման դրույք = Max (Դ-1 ; (Դ-1 + Դ-2 + Դ-3)/3),
որտեղ՝
Դ-i (i=1,2,3) – տվյալ տարվան անմիջապես նախորդող i-րդ տարվա Բաշխման դրույքն է, որը ցույց է տալիս, թե i-րդ տարվա հունվարի 1-ից դեկտեմբերի 31-ն ընկած ժամանակահատվածում բանկի շահույթի (նախորդող տարվա վերջին օրվա դրությամբ բանկի չբաշխված շահույթի և տվյալ տարվա զուտ շահույթի գումարի) որ մասն է փաստացի վճարվել շահութաբաժինների տեսքով:
4. Այն դեպքում, երբ բանկի կողմից շահութաբաժնի բաշխումից հետո գումարը մինչև տվյալ բաշխման օրացուցային տարվա ավարտը ուղղվել է բանկի առաջին մակարդակի կապիտալի տարր(եր)ի (բացառությամբ՝ չբաշխված շահույթի կամ վնասի) համալրմանը, ապա սույն գլխի 3-րդ կետով նախատեսված բաշխման դրույքի հաշվարկում փաստացի վճարված շահութաբաժնի գումարից տվյալ գումարը նվազեցվում է:
5. Այն դեպքում, երբ բանկը խախտում է կամ վճարման ենթակա հավանական շահաբաժինների նվազեցման դեպքում կարող է խախտել «Հայաստանի Հանրապետության տարածքում գործող առևտրային բանկերի կապիտալի համարժեքության նորմատիվի սահմանաչափից բարձր շեմերի սահմանման և հաշվարկման կարգի» համաձայն սահմանված համախմբված շեմը, ապա բանկը ամբողջությամբ կամ մասնակի նվազեցնում է վճարման ենթակա հավանական շահաբաժինների չափը (ՎՀՇ) համապատասխանաբար մինչև խախտման վերացումը կամ մինչև բանկի կապիտալի համարժեքության նորմատիվի սահմանաչափը հավասարվի համախմբված շեմին:
ԳԼՈՒԽ 2
ԵՐԿՐՈՐԴ ՄԱԿԱՐԴԱԿԻ ԿԱՊԻՏԱԼԻ ԿԱԶՄՈՒՄ ԵՐԿԱՐԱԺԱՄԿԵՏ ՍՏՈՐԱԴԱՍ ՓՈԽԱՌՈՒԹՅՈՒՆՆԵՐԸ ՆԵՐԱՌԵԼՈՒ ՀԱՇՎԱՐԿ
Բանկի կողմից ներգրավված երկարաժամկետ ստորադաս փոխառությունները երկրորդ մակարդակի կապիտալի կազմում ներառելիս օրական ամորտիզացվում են՝ սկսած դրանց մարման օրվան նախորդող հինգերորդ տարվա առաջին օրվանից և բանկի երկրորդ մակարդակի կապիտալի կազմում ներառվող ստորադաս փոխառության չափը հաշվարկվում է հետևյալ բանաձևով՝
Որտեղ՝
ՍՓկ – |
ստորադաս փոխառության՝ երկրորդ մակարդակի կապիտալի կազմում ներառման ենթակա |
ՍՓ – |
ստորադաս փոխառության մայր գումարն է՝ մարման օրվան նախորդող 5-րդ տարվա առաջին օրվա դրությամբ, |
Օ – |
մարման օրվան նախորդող 5-րդ տարվա առաջին օրվանից մինչև մարման օրն ընկած ժամանակահատվածի օրացուցային օրերի քանակն է, |
ՄՕ – |
տվյալ օրվա դրությամբ՝ ստորադաս փոխառության մինչև մարում մնացած օրերի քանակն է: |
Դեպք 1.
Դիցուք՝ բանկը 15/11/2020 թվականին ներգրավել է 10.000 միավոր երկարաժամկետ ստորադաս փոխառություն 8 տարի մարման ժամկետով և փոխառությունն ամբողջությամբ պետք է մարվի 15/11/2028 թվականին:
Այս դեպքում՝ փոխառության սկզբնական մարման օրը 2028 թվականի նոյեմբերի 15-ն է և նախորդող 5-րդ տարին է 2023 թվականի նոյեմբերի 15-ը, արդյունքում, բանկը պետք է 2023 թվականի նոյեմբերի 15-ից իր երկրորդ մակարդակի կապիտալը նվազեցնի օրական ամորտիզացնելու միջոցով (տե՛ս Աղյուսակ 1-ը):
Աղյուսակ 1
Ամսաթիվ |
Փոխառության մայր գումար |
Նորմատիվի հաշվարկին մասնակցող մաս |
Ամորտիզացիայի չափ |
Մարվող գումար |
Նշումներ |
15/11/2020 |
10,000.00 |
10,000.00 |
- |
փոխառության ներգրավման օր | |
……… |
|||||
15/11/2021 |
10,000.00 |
10,000.00 |
- |
||
……… |
|||||
15/11/2022 |
10,000.00 |
10,000.00 |
- |
||
……… |
|||||
15/11/2023 |
10,000.00 |
9,994.53 |
5.47 |
սկզբնական մարման օրվան նախորդող 5-րդ տարվա 1-ին օր | |
16/11/2023 |
10,000.00 |
9,989.05 |
10.95 |
||
17/11/2023 |
10,000.00 |
9,983.58 |
16.42 |
||
……… |
|||||
13/11/2028 |
10,000.00 |
10.95 |
9,989.05 |
||
14/11/2028 |
10,000.00 |
5.47 |
9,994.53 |
||
15/11/2028 |
10,000.00 |
- |
- |
10,000.00 |
Ամբողջական |
Դեպք 2.
Դիցուք՝ բանկը 15/11/2020 թվականին ներգրավել է 10.000 միավոր երկարաժամկետ ստորադաս փոխառություն 5 տարի մարման ժամկետով և փոխառությունն ամբողջությամբ պետք է մարվի 15/11/2025 թվականին:
Այս դեպքում՝ փոխառության սկզբնական մարման օրը 2025 թվականի նոյեմբերի 15-ն է և արդյունքում, բանկը պետք է 2020 թվականի նոյեմբերի 15-ից իր երկրորդ մակարդակի կապիտալը նվազեցնի օրական ամորտիզացնելու միջոցով (տե՛ս Աղյուսակ 2-ը):
Աղյուսակ 2
Ամսաթիվ |
Փոխառության մայր գումար |
Նորմատիվի հաշվարկին մասնակցող մաս |
Ամորտիզացիայի չափ |
Մարվող գումար |
Նշումներ |
15/11/2020 |
10,000.00 |
9,994.53 |
5.47 |
փոխառության ներգրավման օրն է, ինչպես նաև սկզբնական մարման օրվան նախորդող 5-րդ տարվա 1-ին օրը | |
16/11/2020 |
10,000.00 |
9,989.05 |
10.95 |
||
17/11/2020 |
10,000.00 |
9,983.58 |
16.42 |
||
18/11/2020 |
10,000.00 |
9,978.11 |
21.89 |
||
19/11/2020 |
10,000.00 |
9,972.63 |
27.37 |
||
20/11/2020 |
10,000.00 |
9,967.16 |
32.84 |
||
……… |
|||||
10/11/2025 |
10,000.00 |
27.37 |
9,972.63 |
||
11/11/2025 |
10,000.00 |
21.89 |
9,978.11 |
||
12/11/2025 |
10,000.00 |
16.42 |
9,983.58 |
||
13/11/2025 |
10,000.00 |
10.95 |
9,989.05 |
||
14/11/2025 |
10,000.00 |
5.47 |
9,994.53 |
||
15/11/2025 |
10,000.00 |
- |
- |
10,000.00 |
Ամբողջական մարման օր |
Պաշտոնական հրապարակման օրը՝ 24 նոյեմբերի 2022 թվական:
