ՀԱՅԱՍՏԱՆԻ ՀԱՆՐԱՊԵՏՈՒԹՅԱՆ ԿԱՌԱՎԱՐՈՒԹՅՈՒՆ
Ո Ր Ո Շ ՈՒ Մ
17 նոյեմբերի 2022 թվականի N 1755-Ն
ԳԵՏԻ ԻՆՔՆԱՄԱՔՐՄԱՆ ԿԱՐՈՂՈՒԹՅԱՆ ԳՆԱՀԱՏՄԱՆ ՄԵԹՈԴԸ ԵՎ ԿԻՐԱՐԿՄԱՆ ՄԵԽԱՆԻԶՄՆԵՐԸ ՍԱՀՄԱՆԵԼՈՒ ՄԱՍԻՆ
Ղեկավարվելով Հայաստանի Հանրապետության ջրային օրենսգրքի 68.1-ին հոդվածի 4-րդ մասով՝ Հայաստանի Հանրապետության կառավարությունը որոշում է.
1. Սահմանել գետի ինքնամաքրման կարողության գնահատման մեթոդը և կիրարկման մեխանիզմները՝ համաձայն հավելվածի:
2. Սույն որոշումն ուժի մեջ է մտնում 2024 թվականի հունվարի 1-ից:
Հայաստանի Հանրապետության վարչապետ |
Ն. Փաշինյան |
Երևան |
17.11.2022 ՀԱՎԱՍՏՎԱԾ Է ԷԼԵԿՏՐՈՆԱՅԻՆ ՍՏՈՐԱԳՐՈՒԹՅԱՄԲ |
Հավելված ՀՀ կառավարության 2022 թվականի նոյեմբերի 17-ի N 1755-Ն որոշման |
ԳԵՏԻ ԻՆՔՆԱՄԱՔՐՄԱՆ ԿԱՐՈՂՈՒԹՅԱՆ ԳՆԱՀԱՏՄԱՆ ՄԵԹՈԴԸ ԵՎ ԿԻՐԱՐԿՄԱՆ ՄԵԽԱՆԻԶՄՆԵՐԸ
1. Սույն հավելվածով սահմանվում են գետի ինքնամաքրման կարողության գնահատման մեթոդը (այսուհետ՝ մեթոդ) և վերջինիս կիրարկման մեխանիզմները։
2. Սույն մեթոդի մշակման հիմք է հանդիսացել «Գետի ինքնամաքրման կարողության գնահատման մեթոդի օգտագործողի ձեռնարկը»*, ինչը կիրառելի է Հայաստանի Հանրապետության գետերի ինքնամաքրման կարողության գնահատման ժամանակ։
3. Գետերի ինքնամաքրման կարողության գնահատման ժամանակ պետք է հաշվի առնվեն գետերի հիդրոմորֆոլոգիական, հիդրոքիմիական և հիդրոկենսաբանական առանձնահատկություները՝ հիմք ընդունելով ելակետային ցուցանիշների բազմազանությունը և դրանց ընտրության հնարավորությունը, ինչպես նաև տեղեկատվությունը գետի ինքնամաքրման կարողության տարեկան, սեզոնային ու ամսական փոփոխությունների, խոչընդոտող գործոնների, այդ թվում՝ նաև աղտոտիչների խմբի վերաբերյալ։
4. Գետի ինքնամաքրման կարողության գնահատումն իրականացվում է գետի ինքնամաքրման կարողության գնահատման ինտեգրալ գործակցի (այսուհետ՝ ինտեգրալ գործակից) միջոցով, որի ստացման համար կիրառվում է հիդրոքիմիական, հիդրոկենսաբանական և հիդրոմորֆոլոգիական գործակիցների հիման վրա հաշվարկվող հետևյալ ընդհանրական բանաձևը.
ԻՄԳ = ՀՄ ∗ 𝟎, 𝟐 + ՀՔ ∗ 𝟎, 𝟒 + ՀԿ ∗ 𝟎, 𝟒
որտեղ՝
ՀՔ-ն հիդրոքիմիական ցուցանիշների հիման վրա ստացված գործակիցն է,
ՀԿ-ն հիդրոկենսաբանական ցուցանիշների հիման վրա ստացված գործակիցն է,
ՀՄ-ն հիդրոմորֆոլոգիական բազմազանության գործակիցն է։
5. Գետի ինքնամաքրման կարողության գնահատման հիդրոքիմիական բաղադրիչի հաշվարկի համար կիրառվում է հետևյալ բանաձևը.
որտեղ՝
ՀՔ-ն գետի տվյալ հատվածի ջրի ինքնամաքրման կարողությունն է (վրկ-1),
Q-ն՝ տվյալ հատվածում գետի ջրի ծախսը (մ3/վրկ) (գետահատվածի սկզբում (Q1) և վերջում (Q2)),
C-ն գետի ջրի որակի գնահատման ընդհանրական/համալիր արժեքն է՝ հաշվարկված ջրի որակի կանադական ինդեքսով (գետահատվածի սկզբում (C1) և վերջում(C2)),
L-ը գետահատվածի երկարությունն է (մ),
U2-ն՝ գետի հոսքի արագությունը (մ/վրկ) գետահատվածի վերջում։
6. Գետի ինքնամաքրման կարողության գնահատման հիդրոկենսաբանական բաղադրիչի հաշվարկի համար կիրառվում է հետևյալ բանաձևը.
L = L ∗ exp(−ՀԿ ∗ t)
որտեղ`
ՀԿ-ն գետի ջրի ինքնամաքրման կարողության գործակիցն է,
L0-ը՝ գետի ջրի աղտոտվածության հիդրոկենսաբանական ցուցչի արժեքն աղտոտման կետում,
L-ը՝ հիդրոկենսաբանական ցուցչի արժեքն աղտոտման աղբյուրից t ժամանակամիջոց հետո,
S-ը՝ ուսումնասիրվող գետահատվածի երկարությունը,
V-ն` գետի հոսքի միջին արագությունն ուսումնասիրվող գետահատվածում:
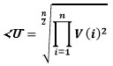
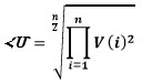
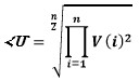
7. Գետի ինքնամաքրման կարողության գնահատման հիդրոմորֆոլոգիական բաղադրիչը ստանալու համար անհրաժեշտ է գնահատել գետի ջրի տուրբուլենտությունը, գետի հատակի նստվածքների տեղափոխման լարվածությունը, հատակի մորֆոլոգիան, գետի հոսքի արագությունը և խորությունը.
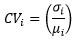
1) հիդրոմորֆոլոգիական գործակցի ստացման համար կիրառվում է հետևյալ մեթոդը.
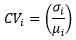
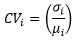
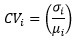
ա․ հաշվարկվում է տեղամասի բոլոր հատվածների համար պարամետրերի վարիացիայի գործակիցները հետևյալ բանաձևով՝
որտեղ`
𝐶𝑉𝑖-ն 𝑖-րդ պարամետրի վարիացիայի գործակիցն է, 𝜎𝑖-ն 𝑖-րդ պարամետրի արժեքների միջին քառակուսային շեղումը, 𝜇𝑖-ն 𝑖-րդ պարամետրի արժեքների միջին թվաբանականը,
բ․ յուրաքանչյուր պարամետրի համար որոշվում է պարցիալ գործակիցը (𝑉(𝑖)), որն ստացվում է հետևյալ բանաձևով՝
2) տեղամասի հիդրոմորֆոլոգիական բազմազանության գործակիցը (ՀՄ) որոշվում է հետևյալ բանաձևով՝
որտեղ՝ n-ը պարամետրերի քանակն է։
8. Գետի ինքնամաքրման կարողության գնահատման ինտեգրալ գործակցի հիման վրա գետի ինքնամաքրման կարողությունը բաժանվում է հետևյալ դասերի.
Գործակից |
Դաս |
0-0.1 |
V (վատ) |
0.11-0.2 |
IV (անբավարար) |
0.21-0.3 |
III (միջակ) |
0.31-0.44 |
II (լավ) |
0.44 -ից մեծ |
I (գերազանց) |
9. Մեթոդը կիրառվում է հետևյալ ոլորտներում՝ յուրաքանչյուր ոլորտում առկա իրավական կարգավորումներին և մեխանիզմներին համապատասխան.
1) ջրավազանային կառավարման պլանների մշակման դեպքում.
2) մոնիտորինգային ծրագրերի մշակման ժամանակ.
3) մակերևութային ջրային մարմինների որակի նորմերի սահմանման ժամանակ.
4) ջրային ռեսուրսներ թափվող կեղտաջրերի թույլատրելի սահմանային արտահոսքի չափաքանակների և դրանց ներկայացվող պահանջների սահմանման համար.
5) ջրային ռեսուրսների կառավարման միջոցառումների նախագծման, մշակման և շրջակա միջավայրի պահպանության հիմնախնդիրների լուծման համար.
6) ջրային ռեսուրսների էկոլոգիական կարգավիճակի բացահայտման համար.
7) կլիմայի փոփոխության նկատմամբ ջրային ռեսուրսների խոցելիության գնահատման և հարմարվողականության միջոցառումների մշակման համար.
8) ուսուցողական, գիտահետազոտական և այլ նպատակներով։
_________________
* Ձեռնարկը տեղադրված է http://env.am/ կայքում
Հայաստանի Հանրապետության |
Ա. Հարությունյան |
17.11.2022 ՀԱՎԱՍՏՎԱԾ Է ԷԼԵԿՏՐՈՆԱՅԻՆ ՍՏՈՐԱԳՐՈՒԹՅԱՄԲ |
Պաշտոնական հրապարակման օրը՝ 17 նոյեմբերի 2022 թվական:
