ԵՎՐԱՍԻԱԿԱՆ ՏՆՏԵՍԱԿԱՆ ՀԱՆՁՆԱԺՈՂՈՎ
ԽՈՐՀՈՒՐԴ
Ո Ր Ո Շ ՈՒ Մ
8 օգոստոսի 2019 թվականի |
թիվ 114 |
քաղ. Չոլպոն-Աթա |
«ԷՆԵՐԳԱՍՊԱՌՈՂ ՍԱՐՔՎԱԾՔՆԵՐԻ ԷՆԵՐԳԵՏԻԿ ԱՐԴՅՈՒՆԱՎԵՏՈՒԹՅԱՆԸ ՆԵՐԿԱՅԱՑՎՈՂ ՊԱՀԱՆՋՆԵՐԻ ՄԱՍԻՆ» ԵՎՐԱՍԻԱԿԱՆ ՏՆՏԵՍԱԿԱՆ ՄԻՈՒԹՅԱՆ ՏԵԽՆԻԿԱԿԱՆ ԿԱՆՈՆԱԿԱՐԳԻ ՄԱՍԻՆ
«Եվրասիական տնտեսական միության մասին» 2014 թվականի մայիսի 29-ի պայմանագրի 52-րդ հոդվածին և Եվրասիական տնտեսական բարձրագույն խորհրդի 2014 թվականի դեկտեմբերի 23-ի թիվ 98 որոշմամբ հաստատված` Եվրասիական տնտեսական հանձնաժողովի աշխատանքի կանոնակարգի թիվ 1 հավելվածի 29-րդ կետին համապատասխան` Եվրասիական տնտեսական հանձնաժողովի խորհուրդը որոշեց.
1. Ընդունել կից ներկայացվող՝ «Էներգասպառող սարքվածքների էներգետիկ արդյունավետությանը ներկայացվող պահանջների մասին» Եվրասիական տնտեսական միության տեխնիկական կանոնակարգը (ԵԱՏՄ ՏԿ 048/2019):
2. Եվրասիական տնտեսական հանձնաժողովի կոլեգիային՝ Եվրասիական տնտեսական միության անդամ պետությունների կառավարությունների հետ համատեղ ապահովել տարբեր տեսակի էներգասպառող սարքվածքների պիտակների ձևերը և դրանց ձևավորման կանոնները սահմանող՝ Եվրասիական տնտեսական հանձնաժողովի խորհրդի որոշման նախագծի մշակումը՝ հաշվի առնելով նշված որոշման՝ 2021 թվականի մարտի 1-ից ոչ ուշ ուժի մեջ մտնելու անհրաժեշտությունը։
3. Սահմանել, որ «Էներգասպառող սարքվածքների էներգետիկ արդյունավետությանը ներկայացվող պահանջների մասին» Եվրասիական տնտեսական միության տեխնիկական կանոնակարգը (ԵԱՏՄ ՏԿ 048/2019) ուժի մեջ է մտնում սույն որոշման 2-րդ կետում նշված՝ Եվրասիական տնտեսական հանձնաժողովի խորհրդի որոշումն ուժի մեջ մտնելու օրվանից, սակայն 2021 թվականի սեպտեմբերի 1-ից ոչ շուտ։
4. Սույն որոշումն ուժի մեջ է մտնում դրա պաշտոնական հրապարակման օրվանից 30 օրացուցային օրը լրանալուց հետո:
Եվրասիական տնտեսական հանձնաժողովի խորհրդի անդամներ՝
Հայաստանի Հանրապետությունից` |
Բելառուսի Հանրապետությունից` |
Ղազախստանի Հանրապետությունից` |
Ղրղզստանի Հանրապետությունից` |
Ռուսաստանի Դաշնությունից` |
|
|
|
|
|
Մ. Գրիգորյան |
Ի. Պետրիշենկո |
Ա. Սմայիլով |
Ժ. Ռազակով |
Ա. Սիլուանով |
ԸՆԴՈՒՆՎԱԾ Է Եվրասիական տնտեսական հանձնաժողովի խորհրդի 2019 թվականի օգոստոսի 8-ի թիվ 114 որոշմամբ |
ՏԵԽՆԻԿԱԿԱՆ ԿԱՆՈՆԱԿԱՐԳ
Եվրասիական տնտեսական միության «Էներգասպառող սարքվածքների էներգետիկ արդյունավետությանը ներկայացվող պահանջների մասին» (ԵԱՏՄ ՏԿ 048/2019)
I, Կիրառության ոլորտը
1. Սույն տեխնիկական կանոնակարգը մշակվել է Եվրասիական տնտեսական միության (այսուհետ՝ Միություն) շրջանակներում էներգետիկ արդյունավետության և ռեսուրսախնայողության ապահովման նպատակով, ինչպես նաև էներգասպառող սարքվածքների էներգետիկ արդյունավետության առնչությամբ սպառողներին մոլորության մեջ գցող գործողությունները կանխարգելելու նպատակով։
2. Սույն տեխնիկական կանոնակարգը տարածվում է Միության տարածքում շրջանառության մեջ դրվող էներգասպառող սարքվածքների (այսուհետ՝ սարքվածքներ) վրա՝ ըստ թիվ 1 հավելվածով սահմանված ցանկի։
3. Սույն տեխնիկական կանոնոնակարգով սահմանվում են Միության տարածքում կիրառման ու կատարման համար պարտադիր՝ սարքվածքներին ներկայացվող պահանջները՝ դրանց էներգետիկ արդյունավետության և մակնշման մասով։
4. Եթե սարքվածքների մասով ընդունվել են Միության այլ տեխնիկական կանոնակարգեր (Մաքսային միության տեխնիկական կանոնակարգեր), որոնցով սահմանվում են նրանց ներկայացվող պահանջներ, ապա սարքվածքները պետք է համապատասխանեն Միության բոլոր այն տեխնիկական կանոնակարգերի (Մաքսային միության տեխնիկական կանոնակարգերի) պահանջներին, որոնց գործողությունը տարածվում է դրանց վրա։
II. Հիմնական հասկացությունները
5. Սույն տեխնիկական կանոնակարգի նպատակներով օգտագործվում են հասկացություններ, որոնք ունեն հետևյալ իմաստը՝
անվանական արժեք՝ սարքվածքն արտադրողի կողմից սարքվածքի շահագործման փաստաթղթերում նշված արժեքը (օրինակ՝ ծավալը, սնուցման լարումը և այլն).
սարքվածքների խմբաքանակ՝ միևնույն անվանումով և (կամ) նշագրով սարքվածքների ամբողջություն, որոնք արտադրվել են որոշակի ժամանակահատվածում՝ միևնույն արտադրական պայմաններում և ուղեկցվում են մեկ ապրանքաուղեկից փաստաթղթով.
էներգետիկ արդյունավետության ցուցանիշ՝ սարքվածքի էներգետիկ ռեսուրսների սպառման կամ կորուստների բացարձակ, տեսակարար կամ հարաբերական մեծությունը.
սարքվածքի կիրառում ըստ նշանակության՝ սարքվածքի օգտագործում՝ սարքվածքն արտադրողի կողմից այդ սարքվածքի վրա և (կամ) շահագործման փաստաթղթերում նշված նշանակությանը համապատասխան.
արտադրողի սեփական փորձարկման լաբորատորիա՝ Միության անդամ պետության տարածքում՝ դրա օրենսդրությամբ սահմանված կարգով գրանցված՝ հետազոտություններ (փորձարկումներ) ու չափումներ իրականացնող և արտադրողի սեփականության մեջ գտնվող իրավաբանական անձ կամ այդ իրավաբանական անձի՝ իր անունից գործող կառուցվածքային ստորաբաժանում.
տեխնիկական թերթիկ՝ փաստաթուղթ, որը պարունակում է տեղեկատվություն սարքվածքի այն գործառութային բնութագրերի ու առանձնահատկությունների մասին, որոնք վերաբերում են դրա էներգետիկ արդյունավետությանը.
վառելիքաէներգետիկ ռեսուրսներ՝ բնական և արտադրական էներգակիրների ամբողջություն, որոնց կուտակած էներգիան տեխնիկայի ու տեխնոլոգիայի զարգացման առկա մակարդակի դեպքում հասանելի է տնտեսական գործունեության մեջ օգտագործելու համար.
պիտակ՝ փաստաթուղթ, որը պարունակում է տեղեկություններ սարքվածքի էներգետիկ արդյունավետության դասի, հիմնական ցուցանիշների և սպառողական բնութագրերի մասին։
Սույն տեխնիկական կանոնակարգում օգտագործվող մյուս հասկացությունները կիրառվում են «Եվրասիական տնտեսական միության շրջանակներում տեխնիկական կանոնակարգման մասին» արձանագրությամբ («Եվրասիական տնտեսական միության մասին» 2014 թվականի մայիսի 29-ի պայմանագրի թիվ 9 հավելված), և Եվրասիական տնտեսական հանձնաժողովի խորհրդի 2018 թվականի ապրիլի 18-ի թիվ 44 որոշմամբ հաստատված՝ համապատասխանության գնահատման տիպային սխեմաներով սահմանվող իմաստներով։
III. Սարքվածքի նույնականացման կանոնները
6. Սարքվածքը տեխնիկական կանոնակարգման այն օբյեկտներին դասելու նպատակով, որոնց մասով կիրառվում է սույն տեխնիկական կանոնակարգը, սարքվածքի նույնականացումն իրականացվում է հայտատուի, Միության անդամ պետությունների (այսուհետ՝ անդամ պետություններ) պետական հսկողության (վերահսկողության) մարմինների, անդամ պետությունների համապատասխանության գնահատման մարմինների, ինչպես նաև շահագրգիռ անձանց կողմից՝ թիվ 2-19 հավելվածների համաձայն պահանջներով սահմանված և սարքվածքին կցվող ու սպառողի (օգտագործողի) համար նախատեսված շահագործման փաստաթղթերում (այսուհետ՝ շահագործման փաստաթղթեր) նշված պարամետրերին սարքվածքի անվանման և բնութագրերի համապատասխանությունը որոշելու միջոցով։
IV. Միության տարածքում սարքվածքների շրջանառության կանոնները
7. Սարքվածքը Միության տարածքում շրջանառության մեջ է դրվում սույն տեխնիկական կանոնակարգի, ինչպես նաև Միության այն տեխնիկական կանոնակարգերի (Մաքսային միության տեխնիկական կանոնակարգերի) պահանջներին դրա համապատասխանության դեպքում, որոնց գործողությունը տարածվում է դրա վրա, և պայմանով, որ այն անցել է համապատասխանության գնահատման ընթացակարգը՝ սույն տեխնիկական կանոնակարգի VII բաժնի, ինչպես նաև Միության մյուս այն տեխնիկական կանոնակարգերի (Մաքսային միության տեխնիկական կանոնակարգերի) համաձայն, որոնց գործողությունը տարածվում է դրա վրա։
8. Այն սարքվածքները, որոնց համապատասխանությունը սույն տեխնիկական կանոնակարգի, ինչպես նաև Միության մյուս այն տեխնիկական կանոնակարգերի (Մաքսային միության տեխնիկական կանոնակարգերի) պահանջներին, որոնց գործողությունը տարածվում է դրանց վրա, չի հաստատվել, չեն մակնշվում Միության շուկայում արտադրանքի շրջանառության միասնական նշանով, և չի թույլատրվում Միության տարածքում դրանք շրջանառության մեջ դնելը։
V. Սարքվածքների էներգետիկ արդյունավետությանը, ինչպես նաև դրանց մակնշմանն ու շահագործման փաստաթղթերին ներկայացվող պահանջները
9. Սարքվածքը մշակվում և արտադրվում է այնպես, որ ըստ նշանակության օգտագործելու դեպքում այդ սարքվածքը համապատասխանի սույն տեխնիկական կանոնակարգի համապատասխան հավելվածով սահմանված՝ էներգետիկ արդյունավետությանը ներկայացվող պահանջներին։
10. Սարքվածքի մականշվածքը պետք է պարունակի սարքվածքի անվանումը և (կամ) նշագիրը (տեսակը, մակնիշը, մոդելը), դրա հիմնական պարամետրերը, արտադրողի անվանումը և (կամ) ապրանքային նշանը (առկայության դեպքում), այն երկրի անվանումը, որի տարածքում արտադրվել է սարքվածքը։ Նշված տեղեկությունները զետեղվում են սարքվածքի վրա և նշվում դրան կցվող շահագործման փաստաթղթերում։
Արտադրողի անվանումը և (կամ) ապրանքային նշանը (առկայության դեպքում), սարքվածքի անվանումը և (կամ) նշագիրը (տեսակը, մակնիշը, մոդելը) զետեղվում են սարքվածքի փաթեթվածքի վրա։
11. Եթե սույն տեխնիկական կանոնակարգի 10-րդ կետով նախատեսված տեղեկությունները հնարավոր չէ զետեղել սարքվածքի վրա, ապա դրանք նշվում են միայն այդ սարքվածքին կցվող շահագործման փաստաթղթերում:
12. Սարքվածքի մականշվածքը պետք է լինի պարզ, դյուրընթեռնելի և սարքվածքի վրա զետեղված լինի այնպիսի տեղում, որը հասանելի է տեսազննման համար՝ առանց գործիքի կիրառմամբ իրականացվող կազմատման՝ ռուսերենով, և անդամ պետությունների օրենսդրության համապատասխան պահանջների առկայության դեպքում՝ այն անդամ պետության պետական լեզվով (լեզուներով), որի տարածքում իրացվում է սարքվածքը։ Չափման միավորները, տառային ապրանքային նշանները (առկայության դեպքում), հատուկ անունները, բնակավայրերի անվանումները կարող են բերվել այլ լեզուներով։
13. Շահագործման փաստաթղթերը պետք է պարունակեն՝
ա) սույն տեխնիկական կանոնակարգի 10-րդ կետով նախատեսված տեղեկատվությունը.
բ) սարքվածքի նշանակության մասին տեղեկատվությունը.
գ) սարքվածքի մոնտաժման, ցանցին և ըստ նշանակության կիրառելու համար անհրաժեշտ վառելիքաէներգետիկ ռեսուրսների այլ աղբյուրներին դրա միացման, գործարկման, կարգավորման և շահագործման մեջ դնելու կանոններն ու պայմանները (այն դեպքում, երբ նշված կանոնների և պայմանների սահմանումն անհրաժեշտ է սույն տեխնիկական կանոնակարգի պահանջներին սարքվածքի համապատասխանությունն ապահովելու համար).
դ) բնութագրերը և պարամետրերը, այդ թվում՝ սույն տեխնիկական կանոնակարգի համապատասխան հավելվածով սահմանված բնութագրերն ու պարամետրերը.
ե) արտադրողի (արտադրողի կողմից լիազորված անձի), ներմուծողի անվանումները և գտնվելու վայրերը, տեղեկատվություն՝ նրանց հետ կապ հաստատելու համար.
զ) սարքվածքի արտադրման ամիսն ու տարին և (կամ) այդ տեղեկությունների զետեղման տեղի կամ դրանց որոշման եղանակի մասին տեղեկատվությունը.
է) պիտակը և տեխնիկական թերթիկը (այն դեպքում, երբ դրանց առկայության վերաբերյալ պահանջը սահմանված է սույն տեխնիկական կանոնակարգի համապատասխան հավելվածով։
14. Տեխնիկական թերթիկների և պիտակների բովանդակությունը, ինչպես նաև սարքվածքների էներգետիկ արդյունավետության դասերը սահմանվում են սույն տեխնիկական կանոնակարգի հավելվածներում։
Պիտակների ձևերը և դրանց ձևակերպման կանոնները պետք է համապատասխանեն Եվրասիական տնտեսական հանձնաժողովի (այսուհետ՝ Հանձնաժողով) խորհրդի կողմից հաստատված պահանջներին (այսուհետ սույն բաժնում՝ պահանջներ)։
Արտադրողը (արտադրողի կողմից լիազորված անձը) կամ ներմուծողը, պահանջներին համապատասխան, որոշում է սարքվածքի էներգետիկ արդյունավետության դասը և դրա էներգետիկ արդյունավետությունը։
Սարքվածքի էներգետիկ արդյունավետության դասի և դրա էներգետիկ արդյունավետության մասին տեղեկատվությունն արտադրողի (արտադրողի կողմից լիազորված անձի), ներմուծողի կողմից զետեղվում է վաճառքի հանվող սարքվածքների ցուցանմուշների մակնշման համար նախատեսված պիտակի վրա։
Արտադրողը (արտադրողի կողմից լիազորված անձը), ներմուծողը, պահանջներին համապատասխան, ապահովում են պիտակի, այդ թվում՝ վաճառքի հանվող սարքվածքների ցուցանմուշների մակնշման համար նախատեսված պիտակի, և շահագործման փաստաթղթերի առկայությունը։
Վաճառողը վաճառքի վայրում պիտակը զետեղում է սարքվածքի նմուշի վրա։ Պիտակները պետք է տեղադրվեն տեսանելի տեղում, լինեն դյուրընթեռնելի և ձևակերպվեն պահանջներին համապատասխան։
Սարքվածքը հեռակա եղանակով վաճառելու դեպքում վաճառողը, նախքան առքուվաճառքի պայմանագիր կնքելը, սպառողին տեղեկատվություն է տրամադրում էներգետիկ արդյունավետության ցուցանիշների մասին։
Տեխնիկական թերթիկը և պիտակը (եթե դրանց առկայության վերաբերյալ պահանջը սարքվածքի մասով սահմանված է սույն տեխնիկական կանոնակարգի համապատասխան հավելվածով) պետք է ներառեն հետևյալ տեղեկությունները՝
արտադրողի անվանումը և ապրանքային նշանը (առկայության դեպքում), մոդելի նշագիրը,
սարքվածքի էներգետիկ արդյունավետության դասի մասին տեղեկատվությունը,
էներգետիկ արդյունավետության ցուցանիշները և դրանց անվանական արժեքները,
սարքվածքների առանձին տեսակների համար պահանջներով սահմանված այլ տեղեկություններ։
Տեխնիկական թերթիկի և պիտակի առկայությունը (եթե դրանց առկայության վերաբերյալ պահանջը սարքվածքի մասով սահմանված է սույն տեխնիկական կանոնակարգի համապատասխան հավելվածով) պարտադիր պայման է՝ սարքվածքը Միության տարածքում շրջանառելու համար։ Տեխնիկական թերթիկը և պիտակը ձևակերպվում են արտադրողի (արտադրողի կողմից լիազորված անձի) կամ ներմուծողի կողմից։
Տեխնիկական թերթիկը լրացվում է ռուսերենով և անդամ պետության օրենսդրության համապատասխան պահանջի առկայության դեպքում՝ այն անդամ պետության պետական լեզվով (լեզուներով), որի տարածքում իրացվում է սարքվածքը: Արտադրողի անվանումը և ապրանքային նշանը (առկայության դեպքում), ինչպես նաև գրանցված ապրանքային նշանի (առկայության դեպքում) կամ արդյունաբերական նմուշի վերաբերյալ այլ տեղեկություններ, մոդելի նշագիրը կարող են նշվել լատինական այբուբենի տառերի օգտագործմամբ։
15. Շահագործման փաստաթղթերը կազմվում են ռուսերենով և անդամ պետությունների օրենսդրության մեջ համապատասխան պահանջների առկայության դեպքում՝ այն անդամ պետության պետական լեզվով (պետական լեզուներով), որի տարածքում սարքվածքն իրացվում է։ Չափման միավորները, տառային ապրանքային նշանները (առկայության դեպքում), հատուկ անունները, բնակավայրերի անվանումները շահագործման փաստաթղթերում կարող են ներկայացվել այլ լեզուներով։
Շահագործման փաստաթղթերը կազմվում են թղթային կրիչներով՝ փաստաթղթերի տեսքով։ Դրանց կից կարող են ներկայացվել էլեկտրոնային կրիչներով շահագործման փաստաթղթեր։ Շահագործման փաստաթղթերը՝ բացառությամբ տեխնիկական թերթիկի և պիտակի, ոչ կենցաղային նշանակության սարքվածքի մասով կարող են կցվել միայն էլեկտրոնային կրիչների վրա։
Եթե սույն տեխնիկական կանոնակարգի 13-րդ կետում նշված տեղեկությունների ծավալը հնարավորություն է տալիս չկազմել շահագործման փաստաթղթեր, ապա թույլատրվում է համապատասխան տեղեկությունները զետեղել սարքվածքի կամ դրա փաթեթվածքի վրա։
VI. Տեխնիկական կանոնակարգի պահանջներին սարքվածքների համապատասխանության ապահովումը
16. Սույն տեխնիկական կանոնակարգի պահանջներին սարքվածքի համապատասխանությունն ապահովվում է դրա պահանջների կատարման միջոցով։
Սարքվածքի հետազոտությունների (փորձարկումների) և չափումների մեթոդները սահմանվում են միջազգային և տարածաշրջանային (միջպետական) ստանդարտների, իսկ դրանց բացակայության դեպքում՝ ազգային (պետական) ստանդարտների ցանկում ներառված ստանդարտներով, որոնք պարունակում են հետազոտությունների (փորձարկումների) և չափումների կանոններ ու մեթոդներ, այդ թվում՝ նմուշառման կանոններ, որոնք անհրաժեշտ են սույն տեխնիկական կանոնակարգի պահանջները կիրառելու և կատարելու և սարքվածքի համապատասխանության գնահատում իրականացնելու համար:
VII. Համապատասխանության գնահատումը
17. Նախքան Միության տարածքում շրջանառության մեջ դնելը՝ սարքվածքը ենթակա է սույն տեխնիկական կանոնակարգի պահանջներին, ինչպես նաև Միության մյուս այն տեխնիկական կանոնակարգերի (Մաքսային միության տեխնիկական կանոնակարգերի) պահանջներին համապատասխանության գնահատմանը, որոնց գործողությունը տարածվում է դրա վրա։
18. Սույն տեխնիկական կանոնակարգի պահանջներին սարքվածքի համապատասխանության գնահատումն անցկացվում է սույն բաժնին և Եվրասիական տնտեսական հանձնաժողովի խորհրդի 2018 թվականի ապրիլի 18-ի թիվ 44 որոշմամբ հաստատված՝ համապատասխանության գնահատման տիպային սխեմաներին համապատասխան, համապատասխանության հաստատման ձևով։
19. Սարքվածքի համապատասխանությունը հաստատելիս հայտատուներ են անդամ պետության տարածքում դրա օրենսդրությանը համապատասխան գրանցված իրավաբանական անձը կամ որպես անհատ ձեռնարկատեր գրանցված ֆիզիկական անձը, որը արտադրող, արտադրողի կողմից լիազորված անձ, վաճառող (ներմուծող) է։
20. Սարքվածքների համապատասխանության հաստատումը սերտիֆիկացման ձևով իրականացվում է ըստ 1ս, 3ս և 4ս սխեմաների, համապատասխանության հայտարարագրման ձևով՝ ըստ 1հ, 2հ, 3հ, 4հ և 6հ սխեմաների։ Սարքվածքների առանձին տեսակների համապատասխանության հաստատումն անցկացվում է սույն տեխնիկական կանոնակարգի թիվ 1 հավելվածով նախատեսված ձևերով։
Այն սարքվածքների համապատասխանության հայտարարագրման սխեմայի ընտրությունը, որոնց մասով համապատասխանության հաստատումն անցկացվում է համապատասխանության հայտարարագրման ձևով, իրականացվում է հայտատուի կողմից։
Հայտատուի որոշմամբ՝ այն սարքվածքների համապատասխանության հայտարարագրման փոխարեն, որոնց մասով համապատասխանության հաստատումն անցկացվում է համապատասխանության հայտարարագրման ձևով, կարող է անցկացվել սերտիֆիկացում՝ ըստ սույն տեխնիկական կանոնակարգով նախատեսված սխեմաների։
21. Սերիական թողարկման սարքվածքի սերտիֆիկացումն իրականացվում է ըստ 1ս սխեմայի, սարքվածքների խմբաքանակը՝ ըստ 3ս սխեմայի, եզակի սարքվածքինը՝ ըստ 4ս սխեմայի։
Սարքվածքի սերտիֆիկացման ժամանակ հայտատու է համարվում՝
ա) 1ս սխեմայի համար՝ արտադրողը (արտադրողի կողմից լիազորված անձը).
բ) 3ս և 4ս սխեմաների համար՝ արտադրողը (արտադրողի կողմից լիազորված անձը) կամ վաճառողը (ներմուծողը)։
22. Սարքվածքի սերտիֆիկացումն անցկացվում է անդամ պետության՝ սարքվածքի սերտիֆիկացման հավատարմագրված մարմնի կողմից, որը ներառված է Միության՝ համապատասխանության գնահատման մարմինների միասնական ռեեստրում (այսուհետ՝ սերտիֆիկացման մարմին)։
Սարքվածքի նմուշների (տիպային նմուշների) հետազոտությունները (փորձարկումները) և չափումները սերտիֆիկացման նպատակով անցկացվում են Միության՝ համապատասխանության գնահատման մարմինների միասնական ռեեստրում ներառված՝ հավատարմագրված փորձարկման լաբորատորիայում (կենտրոնում) (այդ թվում՝ արտադրողի սեփական փորձարկման լաբորատորիայում) (այսուհետ՝ փորձարկման լաբորատորիա (կենտրոն))։
Արտադրողն անհրաժեշտ միջոցներ է ձեռնարկում՝ արտադրության կայուն գործընթացի ապահովման և սույն տեխնիկական կանոնակարգի պայմաններին արտադրվող սարքվածքների համապատասխանության ապահովման համար, ինչպես նաև արտադրական հսկողություն է իրականացնում (1ս սխեմայի համար)։
23. Սարքվածքի սերտիֆիկացման ժամանակ հայտատուն՝
ա) սերտիֆիկացման մարմին է ներկայացնում սերտիֆիկացման աշխատանքների անցկացման հայտը և փաստաթղթերի փաթեթը, որը ներառում է՝
այն փաստաթղթի պատճենը, որին համապատասխան արտադրված է սարքվածքը (ստանդարտ, կազմակերպության ստանդարտ, տեխնիկական պայմաններ կամ այլ փաստաթուղթ) (առկայության դեպքում).
շահագործման փաստաթղթերի պատճենները.
պայմանագրի (մատակարարման պայմանագրի) և ապրանքաուղեկից փաստաթղթերի պատճենները, որոնցով նույնականացվում է սարքվածքների խմբաքանակը, այդ թվում դրա չափսը, կամ միավոր սարքվածքը (3ս և 4ս սխեմաների համար).
արտադրողի (այդ թվում՝ օտարերկրյա արտադրողի) հետ կնքված այն պայմանագրի պատճենը, որի հիման վրա արտադրանքի համապատասխանության գնահատման և Միության տարածքում այն շրջանառության մեջ դնելու ժամանակ արտադրողի անունից իրականացվում են գործողություններ (արտադրողի կողմից լիազորված անձի համար) (1ս սխեմայի համար),
կառավարման համակարգերի սերտիֆիկացման մարմնի կողմից տրված՝ կառավարման համակարգի համապատասխանության այն սերտիֆիկատի պատճենը, որի գործողությունը տարածվում է սարքվածքի արտադրության վրա, և որով հաստատվում է արտադրողի կողմից ներդրված կառավարման համակարգի համապատասխանությունը համապատասխան ստանդարտի պահանջներին (առկայության դեպքում).
սարքվածքների արտադրության վիճակի՝ նախկինում անցկացված վերլուծության մասին հաշվետվության պատճենը (սերտիֆիկացման կամ «Ցածրավոլտ սարքավորումների անվտանգության մասին» (ՄՄ ՏԿ 004/2011) և (կամ) «Տեխնիկական միջոցների էլեկտրամագնիսական համատեղելիություն» (ՄՄ ՏԿ 020/2011) Մաքսային միության տեխնիկական կանոնակարգերի պահանջներին սերտիֆիկացված սարքվածքների համապատասխանության պարբերական գնահատման շրջանակներում սերտիֆիկացման մարմինների կողմից անցկացված արտադրության վիճակի վերլուծության ակտը) այն դեպքում, երբ վերլուծության անցկացման ամսաթվից անցել է 3 տարուց ոչ ավելի.
սարքվածքի նմուշի (տիպային նմուշի) այն հետազոտությունների (փորձարկումների) արձանագրության պատճենը, որոնք անցկացվել են՝ հաստատելու համար դրա բնութագրերի և պարամետրերի համապատասխանությունը սույն տեխնիկական կանոնակարգի համապատասխան հավելվածով սահմանված արժեքներին, եթե հետազոտությունների (փորձարկումների) անցկացման ամսաթվից անցել է 5 տարուց ոչ ավելի և սարքվածքի կառուցվածքում չեն կատարվել փոփոխություններ, որոնք կարող էին ազդել էներգետիկ արդյունավետության ցուցանիշների վրա (առկայության դեպքում).
անդամ պետության օրենսդրությանը համապատասխան՝ իրավաբանական անձի կամ որպես անհատ ձեռնարկատեր գրանցված ֆիզիկական անձի պետական գրանցման ժամանակ տրվող հայտատուի գրանցման կամ հաշվառման (անհատական, նույնականացման) համարի մասին տեղեկություններ.
սույն տեխնիկական կանոնակարգի հավելվածին համապատասխան նշված այլ փաստաթղթեր (այն դեպքում, երբ դրանց առկայության մասին պահանջը սահմանված է սույն տեխնիկական կանոնակարգի հավելվածով).
հայտատուի ընտրությամբ՝ որպես սույն տեխնիկական կանոնակարգի պահանջներին սարքվածքի համապատասխանության ապացույց ներկայացված այլ փաստաթղթեր (առկայության դեպքում).
բ) սերտիֆիկացման մարմնի հետ սերտիֆիկացում կամ սերտիֆիկացում, հետազոտություններ (փորձարկումներ) և չափումներ անցկացնելու մասին պայմանագիր է կնքում (նախկինում կնքված պայմանագրի բացակայության դեպքում).
գ) սերտիֆիկացման ընթացակարգն ավարտվելուց հետո ապահովում է սարքվածքի՝ Միության շուկայում արտադրանքի շրջանառության միասնական նշանով մակնշումը.
դ) սերտիֆիկացման ընթացակարգն ավարտվելուց հետո իրականացնում է հետևյալ փաստաթղթերի փաթեթի կազմումն ու պահպանումը՝
սույն կետի «ա» ենթակետով նախատեսված փաստաթղթերը.
փորձարկման լաբորատորիայում (կենտրոնում) սարքվածքի նմուշների (տիպային նմուշների) հետազոտությունների (փորձարկումների) և չափումների արձանագրությունը (արձանագրությունները), որով (որոնցով) հաստատվում է սարքվածքի համապատասխանությունը սույն տեխնիկական կանոնակարգի պահանջներին.
արտադրության վիճակի վերլուծության ակտը (1ս սխեմայի համար)․
սույն տեխնիկական կանոնակարգի պահանջներին սարքվածքի համապատասխանության սերտիֆիկատը (այսուհետ՝ համապատասխանության սերտիֆիկատ).
24. Սարքվածքի սերտիֆիկացման ժամանակ սերտիֆիկացման մարմինը՝
ա) իրականացնում է հայտի և սույն տեխնիկական կանոնակարգի 23-րդ կետի «ա» ենթակետով նախատեսված փաստաթղթերի ուսումնասիրումն ու վերլուծությունը, սերտիֆիկացում անցկացնելու վերաբերյալ որոշում է ընդունում և իր որոշման մասին տեղեկացնում է հայտատուին.
բ) սույն տեխնիկական կանոնակարգի III բաժնին համապատասխան՝ անցկացնում է սարքվածքի նույնականացում՝ սույն տեխնիկական կանոնակարգի համապատասխան հավելվածով սահմանված և շահագործման փաստաթղթերում նշված պարամետրերին դրա բնութագրերի համապատասխանությունը որոշելու միջոցով.
գ) իրականացնում է հայտատուից սարքվածքի նմուշներ (տիպային նմուշներ) վերցնելը՝ հետազոտություններ (փորձարկումներ) և չափումներ անցկացնելու համար․
դ) կազմակերպում է փորձարկման լաբորատորիայում (կենտրոնում) սարքվածքի նմուշների (փորձանմուշների) հետազոտությունների (փորձարկումների) և չափումների անցկացումը.
ե) անցկացնում է արտադրողի մոտ արտադրության վիճակի վերլուծությունը (1ս սխեմայի համար).
զ) ամփոփում է հայտատուի կողմից ներկայացված փաստաթղթերի, սարքվածքի նմուշների (տիպային նմուշների) մասով անցկացված հետազոտությունների (փորձարկումների) և չափումների արդյունքները, ինչպես նաև արտադրության վիճակի վերլուծության արդյունքները (1ս սխեմայի համար).
է) հայտատուի կողմից ներկայացված փաստաթղթերի, սարքվածքի նմուշների (տիպային նմուշների) մասով անցկացված հետազոտությունների (փորձարկումների) և չափումների արդյունքների վերլուծության ու արտադրողի մոտ արտադրության վիճակի վերլուծության (1ս սխեմայի համար) դրական արդյունքների դեպքում, որոշում է ընդունում համապատասխանության սերտիֆիկատի տրամադրման մասին, ձևակերպում է համապատասխանության սերտիֆիկատը Հանձնաժողովի կողմից հաստատված միասնական ձևի և կանոնների համաձայն և համապատասխանության սերտիֆիկատը տրամադրում է հայտատուին.
ը) տրված համապատասխանության սերտիֆիկատի մասին տեղեկությունները ներառում է տրված համապատասխանության սերտիֆիկատների և համապատասխանության գրանցված հայտարարագրերի միասնական ռեեստրում
թ) իրականացնում է սույն տեխնիկական կանոնակարգի պահանջներին սարքվածքի համապատասխանությունը հաստատող՝ ապացուցողական նյութերի կազմում և պահպանում.
ժ) անցկացնում է սերտիֆիկացված սարքվածքի պարբերական գնահատում (տեսչական հսկողություն) 12 ամիսը 1 անգամ՝ համապատասխանության սերտիֆիկատի գործողության ամբողջ ժամկետի ընթացքում՝ փորձարկման լաբորատորիայում (կենտրոնում) սարքվածքի նմուշների (տիպային նմուշների) նույնականացման, հետազոտությունների (փորձարկումների) ու չափումների և (կամ) արտադրության վիճակի վերլուծության միջոցով (1ս սխեմայի համար).
25. Սերիական թողարկման սարքվածքների համապատասխանության սերտիֆիկատի գործողության ժամկետը սահմանվում է՝ հաշվի առնելով սույն տեխնիկական կանոնակարգի համապատասխան հավելվածով սահմանված՝ էներգետիկ արդյունավետությանը ներկայացվող պահանջների գործողության մեկնարկի ժամկետները, սակայն այն չպետք է գերազանցի 5 տարին։
Սարքվածքների խմբաքանակի (եզակի սարքվածքի) համար համապատասխանության սերտիֆիկատի գործողության ժամկետ չի սահմանվում:
26. Սերիական թողարկման սարքվածքի համապատասխանության հայտարարագրումն իրականացվում է ըստ 1հ, 3հ և 6հ սխեմաների, սարքվածքների խմբաքանակինը (եզակի սարքվածքինը)՝ ըստ 2հ և 4հ սխեմաների։
Սարքվածքի համապատասխանության հայտարարագրման ժամանակ հայտատու է համարվում՝
1հ, 3հ և 6հ սխեմաների համար՝ արտադրողը (արտադրողի կողմից լիազորված անձը).
2հ և 4հ սխեմաների համար՝ արտադրողը (արտադրողի կողմից լիազորված անձը), վաճառողը (ներմուծողը).
27. Ըստ 1հ և 2հ սխեմաների սարքվածքի համապատասխանության հայտարարագրումը հայտատուի կողմից իրականացվում է սեփական ապացույցների հիման վրա։
Սարքվածքի նմուշների (տիպային նմուշների) հետազոտությունները (փորձարկումները) և չափումները հայտատուի ընտրությամբ անցկացվում են արտադրողի սեփական փորձարկման լաբորատորիայում կամ փորձարկման լաբորատորիայում (կենտրոնում)։
Ըստ 3հ, 4հ և 6հ սխեմաների սարքվածքի համապատասխանության հայտարարագրումը հայտատուի կողմից իրականացվում է սեփական ապացույցների և փորձարկման լաբորատորիայում (կենտրոնում) անցկացված հետազոտությունների (փորձարկումների) և չափումների արդյունքում ստացված ապացույցների հիման վրա։
Արտադրողը՝
իրականացնում է արտադրական հսկողություն (1հ, 3հ և 6հ սխեմաների համար)
ձեռնարկում է անհրաժեշտ միջոցներ, որպեսզի արտադրության գործընթացով ապահովվի սարքվածքի համապատասխանությունը սույն տեխնիկական կանոնակարգի պահանջներին (1հ և 3հ սխեմաների համար).
ձեռնարկում է անհրաժեշտ միջոցներ՝ ներդրված և կառավարման սերտիֆիկացված համակարգի գործելու կայունությունը, և սույն տեխնիկական կանոնակարգի պահանջներին համապատասխանող սարքվածքներն արտադրելու համար արտադրության պայմանները ապահովելու նպատակով (6հ սխեմայի համար)
28. Ըստ 1հ և 2հ սխեմաների սարքվածքի համապատասխանության հայտարարագրման դեպքում՝ հայտատուն.
ա) կազմում է համապատասխանության հայտարարագիր ընդունելու համար հիմք հանդիսացած փաստաթղթերի փաթեթը, որն իր մեջ ներառում է՝
այն փաստաթղթի պատճենը, որին համապատասխան արտադրվել է սարքվածքը (ստանդարտ, կազմակերպության ստանդարտ, տեխնիկական պայմաններ կամ այլ փաստաթուղթ) (առկայության դեպքում)
շահագործման փաստաթղթերի պատճենները
սարքվածքի նմուշի (տիպային նմուշի) այն հետազոտությունների (փորձարկումների) և չափումների արձանագրությունը (արձանագրությունները), որոնք անցկացվել են արտադրողի սեփական փորձարկման լաբորատորիայում կամ փորձարկման լաբորատորիայում (կենտրոնում), այն դեպքում, երբ հետազոտությունների (փորձարկումների) և չափումների անցկացման ամսաթվից անցել է 5 տարուց ոչ ավելի և սարքվածքի կառուցվածքում չեն կատարվել փոփոխություններ, որոնք կարող էին ազդել էներգետիկ արդյունավետության ցուցանիշների վրա.
պայմանագրի (մատակարարման պայմանագրի) և սարքվածքների խմբաքանակը, այդ թվում՝ դրա չափսը, կամ միավոր սարքվածքը նույնականացնող ապրանքաուղեկից փաստաթղթերի պատճենները (2հ սխեմայի համար)
արտադրողի (այդ թվում՝ օտարերկրյա արտադրողի) հետ կնքված պայմանագրի պատճենը, որի հիման վրա համապատասխանության գնահատման և Միության տարածքում արտադրանքը շրջանառության մեջ դնելու ժամանակ այդ արտադրողի անունից իրականացվում են գործողություններ (արտադրողի կողմից լիազորված անձի համար) (1հ սխեմայի համար)
սույն տեխնիկական կանոնակարգի համապատասխան հավելվածում նշված այլ փաստաթղթեր (այն դեպքում, երբ դրանց առկայության մասին պահանջը սահմանված է սույն տեխնիկական կանոնակարգի հավելվածով).
հայտատուի ընտրությամբ՝ համապատասխանության հայտարարագրի ընդունման համար հիմք հանդիսացած այլ փաստաթղթեր (առկայության դեպքում)
բ) անցկացնում է սույն տեխնիկական կանոնակարգի III բաժնին համապատասխան սարքվածքի նույնականացումը, ինչպես նաև սարքվածքի նմուշների (տիպային նմուշների) վերցնումը Հայտատուի հանձնարարությամբ՝ սարքվածքի նույնականացումը և նմուշների (տիպային նմուշների) վերցնումը կարող են անցկացվել սերտիֆիկացման մարմնում, կամ փորձարկման լաբորատորիայում (կենտրոնում) կամ արտադրողի սեփական լաբորատորիայում
գ) ապահովում է փորձարկման լաբորատորիայում (կենտրոնում) կամ արտադրողի սեփական փորձարկման լաբորատորիայում սարքվածքի վերցված նմուշների (տիպային նմուշների) հետազոտությունների (փորձարկումների) և չափումների անցկացումը.
դ) ընդունում է սույն տեխնիկական կանոնակարգի պահանջներին սարքվածքի համապատասխանության հայտարարագիրը՝ Հանձնաժողովի կողմից հաստատված միասնական ձևի և կանոնների համաձայն, գրանցում է այն համապատասխանության տրված սերտիֆիկատների և համապատասխանության գրանցված հայտարարագրերի միասնական ռեեստրում.
ե) ապահովում է սարքվածքի մակնշումը Միության շուկայում արտադրանքի շրջանառության միասնական նշանով
զ) իրականացնում է այն ապացուցողական նյութերի փաթեթի կազմումն ու պահպանումը, որոնք հիմք են հանդիսացել համապատասխանության հայտարարագրի ընդունման համար և որով հաստատվում է արտադրանքի համապատասխանությունը սույն տեխնիկական կանոնակարգի պահանջներին, որն իր մեջ ներառում է սույն կետի «ա» ենթակետում նշված փաստաթղթերը, անցկացված հետազոտությունների (փորձարկումների) և չափումների արձանագրություններն ու համապատասխանության հայտարարագիրը։
29. Ըստ 3հ, 4հ և 6հ սխեմաների սարքվածքի համապատասխանության հայտարարագրման դեպքում հայտատուն
ա) կազմում է փաստաթղթերի փաթեթ, որն իր մեջ ներառում է՝
այն փաստաթղթի պատճենը, որին համապատասխան արտադրված է սարքվածքը (ստանդարտ, կազմակերպության ստանդարտ, տեխնիկական պայմաններ կամ այլ փաստաթուղթ) (առկայության դեպքում).
շահագործման փաստաթղթերի պատճենները.
պայմանագրի (մատակարարման պայմանագրի) և ապրանքաուղեկից փաստաթղթերի պատճենները, որոնցով նույնականացվում է սարքվածքների խմբաքանակը, այդ թվում՝ դրա չափսը կամ միավոր սարքվածքը (4հ սխեմայի համար).
կառավարման համակարգի սերտիֆիկացման մարմինների կողմից տրված՝ կառավարման համակարգի համապատասխանության այն սերտիֆիկատը, որի գործողությունը տարածվում է սարքվածքի արտադրության վրա և որով հաստատվում է արտադրողի կողմից ներդրված կառավարման համակարգի համապատասխանությունը համապատասխան ստանդարտի պահանջներին (սերտիֆիկատի պատճենը) (6հ սխեմայի համար).
սարքվածքի նմուշի (տիպային նմուշի) այն հետազոտությունների (փորձարկումների) արձանագրության պատճենը, որոնք անցկացվել են հաստատելու համար դրա բնութագրերի և պարամետրերերի համապատասխանությունը սույն տեխնիկական կանոնակարգի համապատասխան հավելվածով սահմանված արժեքներին, այն դեպքում, երբ հետազոտությունների (փորձարկումների) անցկացման ամսաթվից անցել է 5 տարուց ոչ ավելի և սարքվածքի կառուցվածքում չեն կատարվել փոփոխություններ, որոնք կարող էին ազդել էներգետիկ արդյունավետության ցուցանիշների վրա.
տեղեկություններ հայտատուի գրանցման կամ հաշվառման (անհատական, նույնականացման) համարի մասին, որը, անդամ պետության օրենսդրությանը համապատասխան, պետական գրանցման ժամանակ տրվում է իրավաբանական անձին կամ որպես անհատ ձեռնարկատեր հանդես եկող ֆիզիկական անձին.
սույն տեխնիկական կանոնակարգի համապատասխան հավելվածում նշված այլ փաստաթղթեր (այն դեպքում, երբ դրանց առկայության մասին պահանջը սահմանված է սույն տեխնիկական կանոնակարգի հավելվածով).
հայտատուի ընտրությամբ՝ համապատասխանության հայտարարագրի ընդունման համար հիմք հանդիսացած այլ փաստաթղթեր (առկայության դեպքում)
բ) անցկացնում է սարքվածքի նույնականացում՝ սույն տեխնիկական կանոնակարգի III բաժնին համապատասխան, ինչպես նաև սարքվածքի նմուշների (տիպային նմուշների) վերցնում։ Հայտատուի հանձնարարությամբ՝ սարքվածքի նույնականացումն ու նմուշներ (տիպային նմուշներ) վերցնելը կարող են անցկացվել սերտիֆիկացման մարմնում կամ փորձարկման լաբորատորիայում (կենտրոնում) կամ էլ արտադրողի սեփական փորձարկման լաբորատորիայում.
գ) ապահովում է փորձարկման լաբորատորիայում (կենտրոնում) սարքվածքի վերցված նմուշների (տիպային նմուշների) հետազոտությունների (փորձարկումների) և չափումների անցկացումը.
դ) իրականացնում է արտադրական վերհսկողություն և ձեռնարկում է անհրաժեշտ միջոցներ, որպեսզի արտադրության գործընթացով ապահովվի սարքվածքի համապատասխանությունը սույն տեխնիկական կանոնակարգի պահանջներին (3հ և 6հ սխեմաների համար), ինպես նաև որակի կառավարման համակարգի գործելու կայունությունն ապահովելու համար (6հ սխեմայի համար).
ե) ընդունում է սույն տեխնիկական կանոնակարգի պահանջներին սարքվածքի համապատասխանության հայտարարագիրը՝ Հանձնաժողովի կողմից հաստատված միասնական ձևի և կանոնների համաձայն, գրանցում է այն տրված համապատասխանության սերտիֆիկատների և համապատասխանության գրանցված հայտարարագրերի միասնական ռեեստրում.
զ) ապահովում է սարքվածքի մակնշումը Միության շուկայում արտադրանքի շրջանառության միասնական նշանով.
է) իրականացնում է այն ապացուցողական նյութերի փաթեթի կազմումն ու պահպանումը, որոնք հիմք են հանդիսացել համապատասխանության հայտարարագրի ընդունման համար և որով հաստատվում է արտադրանքի համապատասխանությունը սույն տեխնիկական կանոնակարգի պահանջներին, որն իր մեջ ներառում է սույն կետի «ա» ենթակետում նշված փաստաթղթերը, անցկացված հետազոտությունների (փորձարկումների) և չափումների արձանագրություններն ու համապատասխանության հայտարարագիրը.
30. Համապատասխանության հայտարարագիրը ենթակա է գրանցման Հանձնաժողովի կողմից սահմանված կարգով։
31. Սերիական թողարկման սարքվածքների համապատասխանության հայտարարագրի գործողության ժամկետը սահմանվում է՝ հաշվի առնելով սույն տեխնիկական կանոնակարգի համապատասխան հավելվածով սահմանված՝ էներգետիկ արդյունավետությանը ներկայացվող պահանջների գործողության մեկնարկի ժամկետները, սակայն չպետք է գերազանցի 5 տարին։
Սարքվածքների խմբաքանակի (եզակի սարքվածքի) համար համապատասխանության հայտարարագրի գործողության ժամկետ չի սահմանվում:
32. Սույն տեխնիկական կանոնակարգի պահանջներին սարքվածքի համապատասխանությունը հաստատվելուց հետո կազմված փաստաթղթերի փաթեթը պահվում է հայտատուի մոտ՝ հետևյալ ժամկետների ընթացքում՝
ա) սերիական թողարկման սարքվածքների համար համապատասխանության հայտարարագրի կամ համապատասխանության սերտիֆիկատի գործողությունը դադարեցվելու օրվանից առնվազն 10 տարի.
բ) սարքվածքների խմբաքանակի համար խմբաքանակից վերջին սարքվածքի իրացման օրվանից առնվազն 10 տարի.
գ) եզակի սարքվածքի համար այդ սարքվածքի իրացման օրվանից առնվազն 10 տարվա ընթացքում։
33. Սարքվածքների մասով սույն տեխնիկական կանոնակարգի պահանջների կատարման նկատմամբ պետական հսկողությունը (վերահսկողությունը) իրականացվում է անդամ պետությունների օրենսդրությանը համապատասխան:
Սարքվածքները Միության տարածքում շրջանառության մեջ դնելուց հետո հետազոտություններ (փորձարկումներ) և չափումներ անցկացնելիս դրանց էներգետիկ արդյունավետության պարամետրերի՝ սույն տեխնիկական կանոնակարգի թիվ 2-19 հավելվածներով նախատեսված թույլատրելի շեղումները չպետք է հայտատուների և սերտիֆիկացման մարմինների կողմից օգտագործվեն որպես չափանիշներ՝ սույն տեխնիկական կանոնակարգի պահանջներին սարքվածքների համապատասխանությունը հաստատելիս։
VIII. Սարքվածքների մակնշումը Միության շուկայում արտադրանքի շրջանառության միասնական նշանով
34. Այն սարքվածքը, որը համապատասխանում է սույն տեխնիկական կանոնակարգի պահանջներին, ինչպես նաև Միության մյուս այն տեխնիկական կանոնակարգերի (Մաքսային միության տեխնիկական կանոնակարգերի) պահանջներին, որոնց գործողությունը տարածվում է դրա վրա, և անցել է համապատասխանության հաստատման ընթացակարգը, մակնշվում է Միության շուկայում արտադրանքի շրջանառության միասնական նշանով։
35. Միության շուկայում արտադրանքի շրջանառության միասնական նշանով մակնշումն իրականացվում է՝ նախքան սարքվածքն այդ շուկայում շրջանառության մեջ դնելը։
36. Միության շուկայում արտադրանքի շրջանառության միասնական նշանը զետեղվում է յուրաքանչյուր սարքվածքի վրա՝ սարքվածքի ծառայության ամբողջ ժամկետի ընթացքում հստակ և պարզ պատկերումն ապահովող ցանկացած եղանակով, ինչպես նաև բերվում է կցվող շահագործման փաստաթղթերում։
Թույլատրվում է Միության շուկայում արտադրանքի շրջանառության միասնական նշանը զետեղել սարքվածքի փաթեթվածքի վրա՝ անմիջականորեն սարքվածքի վրա դրա զետեղման անհնարինության դեպքում։
ՀԱՎԵԼՎԱԾ ԹԻՎ 1 «Էներգասպառող սարքվածքների էներգետիկ արդյունավետությանը ներկայացվող պահանջների մասին» Եվրասիական տնտեսական միության տեխնիկական կանոնակարգի (ԵԱՏՄ ՏԿ 048/2019) |
ՑԱՆԿ
այն էներգասպառող սարքվածքների, որոնց վրա տարածվում է «Էներգասպառող սարքվածքների էներգետիկ արդյունավետությանը ներկայացվող պահանջների մասին» Եվրասիական տնտեսական միության տեխնիկական կանոնակարգի (ԵԱՏՄ ՏԿ 048/2019) գործողությունը
Էներգասպառող սարքվածքները |
Համապատասխանության հաստատման ձևը |
1. «Էներգասպառող սարքվածքների էներգետիկ արդյունավետությանը ներկայացվող պահանջների մասին» Եվրասիական տնտեսական միության տեխնիկական կանոնակարգի (ԵԱՏՄ ՏԿ 048/2019 (այսուհետ՝ տեխնիկական կանոնակարգ) թիվ 2 հավելվածի 1-ին կետում նշված սառնարանային սարքեր |
համապատասխանության հայտարարագրում |
2. Տեխնիկական կանոնակարգի թիվ 3 հավելվածի 1-ին կետում նշված էլեկտրական շարժիչներ՝ ասինքրոն |
համապատասխանության հայտարարագրում |
3. Տեխնիկական կանոնակարգի թիվ 4 հավելվածի 1-ին կետում նշված հեռուստացույցներ |
համապատասխանության հայտարարագրում |
4. Տեխնիկական կանոնակարգի թիվ 5 հավելվածի 1-ին կետում նշված կենցաղային և գրասենյակային էլեկտրական սարքավորումներ՝ սպասման և անջատման ռեժիմում |
համապատասխանության հայտարարագրում |
5. Տեխնիկական կանոնակարգի թիվ 6 հավելվածի 1-ին կետում նշված կենցաղային` լվացքի մեքենաներ |
համապատասխանության հայտարարագրում |
6. Տեխնիկական կանոնակարգի թիվ 7 հավելվածի 1-ին կետում նշված կենցաղային` սպասք լվացող մեքենաներ |
համապատասխանության հայտարարագրում |
7. Տեխնիկական կանոնակարգի թիվ 8 հավելվածի 1-ին կետում նշված հեռուստացուցային կցուրդներ |
համապատասխանության հայտարարագրում |
8. Տեխնիկական կանոնակարգի թիվ 9 հավելվածի 1-ին կետում նշված էլեկտրական լամպեր |
սերտիֆիկացում |
9. Տեխնիկական կանոնակարգի թիվ 10 հավելվածի 1-ին կետում նշված՝ սնուցման արտաքին աղբյուրներ |
համապատասխանության հայտարարագրում |
10. Տեխնիկական կանոնակարգի թիվ 11 հավելվածի 1-ին կետում նշված շրջանառու պոմպեր |
համապատասխանության հայտարարագրում |
11. Տեխնիկական կանոնակարգի թիվ 12 հավելվածի 1-ին կետում նշված օդափոխիչներ՝ էլեկտրաշարժաբերով |
համապատասխանության հայտարարագրում |
12. Տեխնիկական կանոնակարգի թիվ 13 հավելվածի 1-ին կետում նշված լյումինեսցենտային լամպեր՝ առանց ներկառուցված գործարկումը կարգավորող ապարատի, բարձր ճնշման գազապարպումային լամպեր, գործարկումը կարգավորող ապարատներ և լուսատուներ՝ այդպիսի լամպերի համար |
սերտիֆիկացում |
13. Տեխնիկական կանոնակարգի թիվ 14 հավելվածի 1-ին կետում նշված՝ ուղղորդված լույսի լամպեր, լուսադիոդային լամպեր և հարակից սարքավորումներ |
սերտիֆիկացում |
14. Տեխնիկական կանոնակարգի թիվ 15 հավելվածի 1-ին կետում նշված՝ թմբուկային տեսակի չորացնող մեքենաներ |
համապատասխանության հայտարարագրում |
15. Տեխնիկական կանոնակարգի թիվ 16 հավելվածի 1-ին կետում նշված փոշեկուլներ |
համապատասխանության հայտարարագրում |
16. Տեխնիկական կանոնակարգի թիվ 17 հավելվածի 1-ին կետում նշված՝ համակարգիչներ և սերվերներ |
սերտիֆիկացում |
17. Տեխնիկական կանոնակարգի թիվ 18 հավելվածի 1-ին կետում նշված ջրի պոմպեր |
համապատասխանության հայտարարագրում |
18. Տեխնիկական կանոնակարգի թիվ 19 հավելվածի 1-ին կետում նշված՝ օդի օդորակիչներ և սենյակային օդափոխիչներ |
համապատասխանության հայտարարագրում |
ՀԱՎԵԼՎԱԾ ԹԻՎ 2 «Էներգասպառող սարքվածքների էներգետիկ արդյունավետությանը ներկայացվող պահանջների մասին» Եվրասիական տնտեսական միության տեխնիկական կանոնակարգի (ԵԱՏՄ ՏԿ 048/2019) |
ՊԱՀԱՆՋՆԵՐ
սառնարանային սարքերի էներգետիկ արդյունավետությանը ներկայացվող
I. Կիրառության ոլորտը
1. Սույն պահանջները տարածվում են Եվրասիական տնտեսական միության (այսուհետ՝ Միություն) մաքսային տարածքում շրջանառության մեջ դրվող կենցաղային նշանակության սառնարանային սարքերի վրա (սառնարաններ, սառցարաններ և դրանց համակցությունները), որոնք կարող են կիրառվել առևտրային նպատակներով (արտադրության մեջ, առևտրի և ծառայությունների ոլորտում), սնուցվում են մինչև 250Վ (ներառյալ) անվանական լարմամբ փոփոխական հոսանքի ցանցից և ունեն պաղեցրած և (կամ) սառեցրած սննդամթերքի և (կամ) այլ արտադրանքի՝ 1500լ-ից ոչ ավելի օգտակար ծավալ՝ բացառությամբ հետևյալ սառնարանային սարքերի՝
որոնք աշխատում են էլեկտրական մարտկոցներից և (կամ) կուտակիչներից և որոնք հնարավոր է միացնել մինչև 250Վ (ներառյալ) անվանական լարմամբ ցանցին՝ էլեկտրական սնուցման արտաքին (այդ սարքերում չներկառուցված) աղբյուրի (հաստատուն (փոփոխական) հոսանքի կերպափոխիչի) միջոցով.
որոնց աշխատանքի համար չի պահանջվում էլեկտրական էներգիա.
որոնք արտադրված են ըստ պատվերի և շուկայում հասանելի չեն այլ սպառողների (օգտագործողների)՝ բացի պատվիրատուներից.
որոնք կիրառվում են առևտրի ու ծառայությունների ոլորտում և ունեն պաղեցրած սննդամթերքը և (կամ) այլ արտադրանք հանելու գործընթացին արձագանքող սարքվածք՝ հաշվառման համար տեղեկատվությունը հեռակառավարման համակարգի միջոցով՝ ցանցային միացմամբ ավտոմատ փոխանցելու գործառույթով.
որոնց գործառույթը պաղեցրած և (կամ) սառեցրած սննդամթերքի և (կամ) այլ արտադրանքի պահպանումը չէ, այլ միայն խմիչքների պաղեցումը (պաղեցրած խմիչքների բաշխիչներ (դիսպենսերներ)) կամ սառույցի ստացումն ու պահպանումը (սառույց պատրաստող մեքենաներ)։
II. Հիմնական հասկացությունները
2. Սույն պահանջները կիրառելու նպատակներով օգտագործվում են հասկացություններ, որոնք ունեն հետևյալ իմաստը.
արագ սառեցում՝ դարձափոխային (անջատվող) գործառույթ, որի իրականացման ժամանակ օգտագործողը, արտադրողի հրահանգներին համապատասխան, ցածրացնում է սառցարանի կամ սառցարանային բաժանմունքի ջերմաստիճանը՝ չսառեցրած սննդամթերքի առավել արագ սառեցումն ապահովելու համար.
ներկառուցվող սառնարանային սարք՝ կահույքի մեջ, պատի խորշում կամ հատուկ հարմարեցված այլ վայրում տեղադրելու համար նախատեսված ստացիոնար սառնարանային սարք.
այլ բաժանմունք՝ գինու պահման բաժանմունքից տարբեր բաժանմունք, որը նախատեսված է +14 ՛С-ից բարձր ջերմաստիճանում որոշակի սննդամթերքի պահման համար
սառեցրած սննդամթերքի պահման համար նախատեսված խցիկ՝ սառեցրած սննդամթերքի պահման համար նախատեսված մեկ կամ մի քանի բաժանմունք ունեցող խցիկ.
սառեցրած սննդամթերքի պահման համար նախատեսված խցիկ՝ առանց եղյամի առաջացմանե՝ սառեցրած սննդամթերքի պահման համար նախատեսված խցիկ, որի բոլոր բաժանմունքներն ապասառեցվում են ավտոմատ կերպով՝ ձնաջրի ավտոմատ հեռացմամբ, և որը պաղեցվում է առանց եղյամի առաջացման համակարգով.
սառցարան՝ շրջակա միջավայրի ջերմաստիճանից մինչև -18 ՛C ջերմաստիճանի պայմաններում սննդամթերքի սառեցման և «***» ռեժիմին համապատասխանող պայմաններում սառեցրած սննդամթերքի պահման համար նախատեսված մեկ կամ մի քանի բաժանմունք ունեցող սառնարանային սարք.
սառցարան՝ առանց եղյամի առաջացման՝ սառցարան, որի բոլոր բաժանմունքներն ավտոմատ են ապասառեցվում՝ ձնաջրի ավտոմատ հեռացմամբ, և որի առնվազն մեկ բաժանմունքը պաղեցվում է առանց եղյամի առաջացման համակարգով.
սառցարանային բաժանմունք («****» մականշվածքով բաժանմունք)՝ սննդամթերքը մինչև -18 ՛C-ից ոչ բարձր ջերմաստիճանը սառեցնելու և սառեցրած սննդամթերքը «***» ռեժիմին համապատասխանող պայմաններում պահելու համար նախատեսված բաժանմունք (բաժանմունքի ներսում թույլատրվում են «**» մականշվածքով գոտիներ և (կամ) բաժանմունքներ).
ընդհանուր բրուտտո ծավալ՝ արտաքին դռնով, առանց ներքին լրակազմող պարագաների սառնարանային սարքի կամ բաժանմունքի ներքին միջնորմներով սահմանափակված ծավալ՝ սարքի փակ դռներով կամ կափարիչներով.
պաղեցրած սննդամթերքի համար նախատեսված բաժանմունք՝ արագ փչացող սննդամթերքի պահման համար նախատեսված բաժանմունք.
սառույց ստանալու համար նախատեսված բաժանմունք՝ սառույց ստանալու և պահելու համար նախատեսված ցածր ջերմաստիճանային բաժանմունք.
գինու պահման համար նախատեսված բաժանմունք՝ բաժանմունք, որը ստեղծված է անմիջականորեն գինու պահման համար և ունի + 5 ՛С-ից մինչև + 20 ՛С-ի միջակայքում պահման հաստատուն ջերմաստիճան, որը փոփոխվում է կենցաղային սառնարանային սարքերի համար համապատասխան կլիմայի դասի շրջակա միջավայրի ջերմաստիճանի յուրաքանչյուր հայտարարված արժեքի համար ժամանակի ընթացքում 0,5 Կ-ից պակաս, ունի 50%-ից մինչև 80%-ի միջակայքում բաժանմունքի խոնավության ակտիվ կամ պասիվ հսկողություն և սառնարանի ճնշակից կամ ցանկացած այլ արտաքին աղբյուրից թրթռման տարածումը նվազեցնող կառուցվածք.
սառեցրած սննդամթերքի պահման համար նախատեսված բաժանմունք՝ սառեցրած սննդամթերքի պահման համար նախատեսված ցածր ջերմաստիճանային բաժանմունք.
թարմ սննդամթերքի պահման համար նախատեսված բաժանմունք՝ չսառեցրած սննդամթերքի պահման համար նախատեսված բաժանմունք, որը կարող է բաժանվել մի քանի բաժինների.
«*» մականշվածքով բաժանմունք՝ սառեցրած սննդամթերքի պահման համար նախատեսված բաժանմունք, որտեղ ջերմաստիճանը չի գերազանցում-6 ՛C-ը.
«**» մականշվածքով բաժանմունք՝ սառեցրած սննդամթերքի պահման համար նախատեսված բաժանմունք, որտեղ ջերմաստիճանը չի գերազանցում -12 ՛C-ը.
«***» մականշվածքով բաժանմունք՝ սառեցրած սննդամթերքի պահման համար նախատեսված բաժանմունք, որտեղ ջերմաստիճանը չի գերազանցում -18 ՛C-ը.
չափավոր ջերմաստիճանով բաժանմունք՝ թարմ սննդամթերքի պահման համար նախատեսված բաժանմունքի ջերաստիճանից ավելի բարձր ջերմաստիճանի պայմաններում սննդամթերքի կամ խմիչքների պահման համար նախատեսված բաժանմունք.
պահման օգտակար մակերես՝ օգտակար ծավալի սահմաններում սննդամթերքի պահման համար հորիզոնական մակերևույթների մակերեսների գումար՝ ներառյալ դռան դարակաշարերը և յուրաքանչյուր բաժանմունքի ներքնամասը.
օգտակար ծավալ՝ յուրաքանչյուր բաժանմունքի ընդհանուր բրուտտո ծավալի և սննդամթերքի պահման համար չօգտագործվող տարրերի և տարածքի ծավալի միջև տարբերությունը.
դարակ՝ հորիզոնական մակերևույթ (վանդակաճաղ, միջնապատ և այլն), որի վրա կարող է տեղադրվել սննդամթերքը և որը կազմված է կողք կողքի դասավորված մեկ կամ մի քանի ամրացված, կամ հանովի տարրերից.
էներգիայի սպառում՝ սառնարանային սարքի կողմից 24 ժամվա ընթացքում սպառվող էներգիայի մեծությունը բնութագրող պարամետր.
«**» մականշվածքով բաժին՝ սառցարանային բաժանմունքի կամ «***» մականշվածքով խցիկի բաժին, որը չունի առանձին դուռ կամ կափարիչ, և որի ջերմաստիճանը չի գերազանցում -12 ՛C-ը.
առանց եղյամի առաջացման համակարգ՝ ավտոմատ գործարկման համակարգ, որը կանխում է եղյամի մշտական առաջացումը և ապահովում պաղեցումը՝ օդի հարկադրական շրջանառության միջոցով՝ գոլորշիչի ավտոմատ ապասառեցմամբ և ձնաջրի հեռացմամբ.
սառնարան՝ սննդամթերքի պահման համար նախատեսված սառնարանային սարք, որի մեկ կամ մի քանի բաժանմունքները նախատեսված են թարմ սննդամթերքի տեղադրման համար.
սառնարան՝ առանց եղյամի առաջացման՝ ավտոմատ ապասառեցմամբ և բոլոր բաժանմունքներից ձնաջրի հեռացմամբ սառնարանային սարք, որն ունի 2-ից ոչ պակաս բաժանմունքներ, որոնցից առնվազն մեկը պաղեցվում է առանց եղյամի առաջացման համակարգով, և որոնցից առնվազն մեկը նախատեսված է սառեցրած սննդամթերքի պահման համար (նույնիսկ առանց եղյամի առաջացման համակարգի առկայության դեպքում մեկ բաժանմունք ունեցող սառնարանը չի համապատասխանում այս սահմանմանը).
սառնարան-սառցարան՝ սառնարան, որն ունի 2-ից ոչ պակաս բաժանմունքներ, որոնցից առնվազն մեկը նախատեսված է թարմ սննդամթերքի պահման համար (թարմ սննդամթերքի պահման համար նախատեսված բաժանմունք), և առնվազն մեկը (սառցարանային բաժանմունք)՝ «***» ռեժիմին համապատասխանող պայմաններում՝ թարմ սննդամթերքի սառեցման և սառեցրած սննդամթերքի պահման համար.
սառնարան-սառցարան, որի առնվազն 1 բաժանմունքը պաղեցվում է առանց եղյամի առաջացման համակարգով՝ ավտոմատ ապասառեցմամբ և դրանից ձնաջրի հեռացմամբ.
սառնարան-պաղեցուցիչ՝ սառնարան, որում առկա են թարմ սննդամթերքի պահման համար նախատեսված առնվազն 1 բաժանմունք և պաղեցման բաժանմունք, սակայն բացակայում են սառեցրած սննդամթերքի պահման համար նախատեսված բաժանմունքներ.
սառնարանային սարք՝ գործարանային արտադրության ջերմամեկուսացված խցիկ՝ 1 կամ մի քանի բաժանմունքներով, որոնց պաղեցումն ապահովվում է 1 կամ մի քանի սառնարանային ագրեգատներով, բնական կոնվեկցիայով և (կամ) առանց եղյամի առաջացման համակարգով.
աբսորբցիոն տեսակի սառնարանային սարք՝ սառնարանային սարք, որում սառնության առաջացումն իրականացվում է աբսորբման եղանակով՝ որպես էներգիայի աղբյուր՝ ջերմության օգտագործմամբ.
գինու պահման համար նախատեսված սառնարանային սարք, գինու պահարան, գինու մառան՝ սառնարանային սարք, որը կազմված է գինու պահման համար նախատեսված մեկ կամ մի քանի բաժանմունքից և չունի որևէ այլ բաժանմունք.
սեղմումային տեսակի սառնարանային սարք՝ սառնարանային սարք, որում սառնության առաջացումն իրականացվում է սեղմումային սառնարանային ագրեգատի միջոցով.
«արկղ» տեսակի սառնարանային սարք՝ սառնարանային սարք, որի բաժանմունքը (բաժանմունքները) հասանելի է (հասանելի են) վերևից.
«պահարան» տեսակի սառնարանային սարք՝ սառնարանային սարք, որի բաժանմունքը (բաժանմունքները) հասանելի է (հասանելի են) առջևից.
համարժեք սառնարանային սարք՝ միևնույն ընդհանուր բրուտտո ծավալով և օգտակար ծավալով սառնարանային սարքի մոդել, որն ունի նույնպիսի տեխնիկական, արտադրական և շահագործման բնութագրեր ու բաժանմունքների տեսակներ, ինչ նույն արտադրողի մեկ այլ սառնարանային սարք, որը Միության մաքսային տարածքում շրջանառության մեջ է դրվում այլ առևտրային նշանի ներքո։
III. Սառնարանային սարքերի էներգետիկ արդյունավետությանը ներկայացվող պահանջները և էներգետիկ արդյունավետության ցուցանիշների սահմանման առանձնահատկությունները
3. Սառնարանային սարքերի նկատմամբ անցկացվում են համապատասխան փորձարկումներ և որոշվում են էներգետիկ արդյունավետության ցուցիչների (EEI) արժեքները։
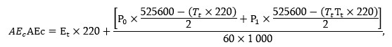
Սառնարանային սարքի EEI-ը հաշվարկվում է հետևյալ բանաձևով՝
որտեղ՝
AEc՝ էներգիայի տարեկան սպառումն է (մինչև 2 տասնորդական նիշ կլորացմամբ).
SAEc՝ էներգիայի ստանդարտ տարեկան սպառումը։
AEc-ը հաշվարկվում է կՎտ∙ժ/տարի-ով՝ հետևյալ բանաձևով՝
AE = E24h x 365,
որտեղ E24h-ը՝ էներգիայի օրական սպառումն է, 24 ժամում՝ կՎտ∙ժ-ով (մինչև 3 տասնորդական նիշ կլորացմամբ)։
SAEC-ը հաշվարկվում է կՎտ∙ժ-ով՝ հետևյալ բանաձևով (մինչև 2 տասնորդական նիշ կլորացմամբ)՝
SAEc = Veq x M + N + CH,
որտեղ՝
Veq-ը՝ սառնարանային սարքի համարժեք ծավալն է (լիտրերով).
CH՝ մեծություն, որը հավասար է 50 կՎտ∙ժ/տարի՝ պաղեցրած սննդամթերքի համար նախատեսված բաժանմունքի՝ 15լ-ից ոչ պակաս օգտակար ծավալ ունեցող սառնարանային սարքերի համար.
M և N՝ ճշգրտման գործակիցներ, որոնց արժեքները տարբեր տեսակի սառնարանային սարքերի համար բերված են 1-ին աղյուսակում (անկախ դռների կամ շարժական արկղերի քանակից)։
Աղյուսակ 1
Սառնարանային սարքերի դասակարգումը և բաժանմունքի համապատասխան կառուցվածքը
Սառնարանային սարքի նկարագրությունը |
Սառնարանային սարքում բաժանմունքների (խցիկների) առկայությունը և զուգակցումը1 |
M, N արժեքներով սառնարանային սարքերի դասակարգում | |||||||||
Պահման անվանական ջերմաստիճանը (Tc՝ EEI-ը հաշվարկելիս) ( ՛C) |
+14 և բարձր (հաշվարկային Т) |
+12 |
+12 |
+5 |
0 |
0 |
-6 |
-12 |
-18 |
-18 | |
Բաժանմունքների տեսակները |
Այլ |
գինու պահման համար2 |
գինու մառան3 |
թարմ սննդամթերքի պահման համար4 |
պաղեցման համար5 |
սառույցի ստացման համար6 |
«*»7 |
«**»8 |
«***»9 |
«****»10 | |
Սարքավորումների կատեգորիա |
Բաժանմունքի կառուցվածքը | ||||||||||
Սառնարան |
- |
- |
- |
+ |
- |
- |
- |
- |
- |
- |
տեսակ 1 |
Գինու պահման համար նախատեսված սառնարանային սարք (գինու պահարան, գինու մառան) |
՞ |
՞ |
՞ |
+ |
- |
- |
- |
- |
- |
- |
տեսակ 2 |
՞ |
՞ |
+ |
- |
- |
- |
- |
- |
- |
- | ||
- |
+ |
- |
- |
- |
- |
- |
- |
- |
- | ||
Սառնարան-պաղեցուցիչ և սառնարան՝ առանց մականշվածքով բաժանմունքների |
՞ |
՞ |
՞ |
+ |
+ |
՞ |
- |
- |
- |
- |
տեսակ 3 |
՞ |
՞ |
՞ |
+ |
՞ |
+ |
- |
- |
- |
- | ||
«*» մականշվածքով բաժանմունքներ ունեցող սառնարան |
՞ |
՞ |
՞ |
+ |
՞ |
՞ |
+ |
- |
- |
- |
տեսակ 4 |
«**» մականշվածքով բաժանմունքներ ունեցող սառնարան |
՞ |
՞ |
՞ |
+ |
՞ |
՞ |
՞ |
+ |
- |
- |
տեսակ 5 |
«***» մականշվածքով բաժանմունքներ ունեցող սառնարան |
՞ |
՞ |
՞ |
+ |
՞ |
՞ |
՞ |
՞ |
+ |
- |
տեսակ 6 |
Սառնարան-սառցարան |
՞ |
՞ |
՞ |
+ |
՞ |
՞ |
՞ |
՞ |
՞ |
+ |
տեսակ 7 |
«Պահարան» տեսակի սառնարանային սարք |
- |
- |
- |
- |
- |
- |
- |
՞ |
+11 |
+ |
տեսակ 8 |
«Արկղ» տեսակի սառնարանային սարք |
- |
- |
- |
- |
- |
- |
- |
՞ |
- |
+ |
տեսակ 9 |
Ունիվերսալ և այլ կիրառման սառնարանային սարքեր |
՞ |
՞ |
՞ |
՞ |
՞ |
՞ |
՞ |
՞ |
՞ |
՞ |
տեսակ 1012 |
Սառնարանային սարքը պետք է միաժամանակ պահպանի պահման՝ պահանջվող ջերմաստիճանը տարբեր բաժանմունքներում տարբեր տեսակի սառնարանային սարքերի և համապատասխան կլիմայական դասերի համար 2-րդ աղյուսակում նշված թույլատրելի շեղումների դեպքում (հալեցման ցիկլի ժամանակ)
Բազմաֆունկցիոնալ սարքերը և (կամ) բաժանմունքները պետք է ունակ լինեն պահպանելու բաժանմունքների տարբեր տեսակների պահման ջերմաստիճանը, որոնցում այդ ջերմաստիճանները կարող են սահմանվել օգտագործողի կողմից՝ արտադրողի ցուցումներին համապատասխան։
Աղյուսակ 2
Պահման ջերմաստիճանը (՛С)
Այլ բաժանմունք |
tоm |
>+14 |
Գինու պահման համար նախատեսված բաժանմունք |
twmа |
+5 ≤ twma ≤ +20 |
Չափավոր ջերմաստիճանով բաժանմունք |
tcm |
+8 ≤tcm ≤ +14 |
Թարմ սննդամթերքի պահման համար նախատեսված բաժանմունք |
t1m, t2m, t3m, tmа |
0 ≤ t1m, t2m, t3m ≤ +8 tma ≤ +4 |
Արագ փչացող սննդամթերքի համար նախատեսված բաժանմունք |
tcc |
-2 ≤ tcc ≤ +3 |
«մեկ աստղանիշ» մականշվածքով բաժանմունք |
t* |
≤-6 |
«երկու աստղանիշ» մականշվածքով բաժանմունք |
t** |
≤-12 а) |
Սառցարան և «երեք աստղանիշ» մականշվածքով բաժանմունք (խցիկ) |
t*** |
≤-18 а) |
Ծանոթագրություն. tom ՝ այլ բաժանմունքի պահման ջերմաստիճանը, twmа ՝ գինու պահման համար նախատեսված բաժանմունքի պահման ջերմաստիճանը՝ 0,5 Կ սխալանքով, tcm՝ չափավոր ջերաստիճանով բաժանմունքի պահման ջերմաստիճանը, t1m, t2m, t3m ՝ թարմ սննդամթերքի համար նախատեսված բաժանմունքի պահման ջերմաստիճանը, tma ՝ թարմ սննդամթերքի համար նախատեսված բաժանմունքի պահման միջին ջերմաստիճանը, tсс՝ արագ փչացող սննդամթերքի համար նախատեսված բաժանմունքի պահման ակնթարթային ջերմաստիճանը, t*, t**, t***՝ սառեցված սննդամթերքի պահման համար բաժանմունքների առավելագույն ջերմաստիճանը, սառույցի ստացման համար նախատեսված բաժանմունքի և «0 աստղանիշ» մականշվածքով բաժանմունքի պահման ջերմաստիճանը, որը ցածր է 0 ՛C –ից: |
Veq-ը հաշվարկվում է հետևյալ բանաձևով.
որտեղ՝
n-ը՝ բաժանմունքների քանակն է.
Vc- ը ՝ բաժանմունքի ներքին օգտակար ծավալը (լիտրերով).
Tc -ը ՝ բաժանմունքի անվանական ջերմաստիճանը (՛C-ով).
|
բաժանմունքի (խցիկի) համար թերմոդինամիկական ճշգրտման գործակիցը, որը հավասար է |
փորձարկման ստանդարտ պայմաններում (25 ՛C) բաժանմունքի անվանական Тс ջերմաստիճանի ու շրջակա միջավայրի ջերմաստիճանի միջև տարբերության, և 5 ՛C ջերմաստիճանի պայմաններում՝ թարմ սննդամթերքի պահման համար նախատեսված բաժանմունքում այդ ջերմաստիճանների տարբերության հարաբերությանը, արժեքները բերված են 3-րդ աղյուսակում.
FFc, CC և BI՝ ճշգրտման գործակիցներ, որոնց արժեքները բերված են 4-րդ աղյուսակում։
Աղյուսակ 3
Թերմոդինամիկական ճշգրտման գործակիցները սառնարանային սարքի բաժանմունքների համար
Բաժանմունքի տեսակը |
Անվանական ջերմաստիճան (C) |
(25 - Тс) / 20 |
Այլ բաժանմունք |
Հաշվարկային ջերմաստիճան |
՝ |
Չափավոր ջերմաստիճանով բաժանմունք / Գինու պահման համար նախատեսված բաժանմունք |
+ 12 |
0,65 |
Թարմ սննդամթերքի պահման համար նախատեսված բաժանմունք |
+ 5 |
1,00 |
Արագ փչացող սննդամթերքի համար նախատեսված բաժանմունք |
0 |
1,25 |
Սառույցի ստացման համար նախատեսված բաժանմունք և «0 աստղանիշ» մականշվածքով բաժանմունք |
0 |
1,25 |
«մեկ աստղանիշ» մականշվածքով բաժանմունք |
- 6 |
1,55 |
«երկու աստղանիշ» մականշվածքով բաժանմունք |
- 12 |
1,85 |
«երեք աստղանիշ» մականշվածքով բաժանմունք |
- 18 |
2,15 |
Սառցարանային բաժանմունք (,չորս աստղանիշ» մականշվածքով բաժանմունքը) |
- 18 |
2,15 |
Ծանոթագրություն 1 Բազմաֆունկցիոնալ բաժանմունքների համար թերմոդինամիկական ճշգրտման գործակիցը որոշում են օգտագործողի կողմից արտադրողի ցուցումներին համապատասխան մշտական շահագործման համար սահմանված՝ ամենասառը բաժանմունքի անվանական ջերմաստիճանի պայմաններում (աղյուսակ 1) | ||
Ծանոթագրություն 2 ,երկու աստղանիշ» մականշվածքով որևէ բաժնի համար (սառցարանում) թերմոդինամիկական ճշգրտման գործակիցը որոշվում է Тс = -12 ՛С ջերմաստիճանի պայմաններում | ||
Ծանոթագրություն 3 Այլ բաժանմունքների համար թերմոդինամիկական ճշգրտման գործակիցը որոշվում է օգտագործողի կողմից արտադրողի ցուցումներին համապատասխան մշտական շահագործման համար սահմանված ամենացածր հաշվարկային ջերմաստիճանի պայմաններում |
Աղյուսակ 4
Ճշգրտման գործակիցների արժեքները՝ տարբեր սառնարանային սարքերի և սառնարանային սարքերի տարբեր բաժանմունքների համար
Ճշգրտման գործակիցը |
Արժեքը |
Գործակցի կիրառումը |
FF |
1,2 |
առանց եղյամի առաջացման սառնարանային սարքի՝ սառեցրած սննդամթերքի պահման համար նախատեսված բաժանմունքներ (խցիկներ) |
1 |
այլ սառնարանային սարքեր և սառնարանային սարքերի բաժանմունքներ (խցիկներ) | |
СС |
1,2 |
արևադարձային կլիմայում՝ +16 ՛C-ից մինչև +43 ՛C շրջակա միջավայրի միջին ջերմաստիճանի պայմաններում շահագործման համար նախատեսված սառնարանային սարքեր (Т կատարում) |
1,1 |
մերձարևադարձային կլիմայում՝ +16 ՛C-ից մինչև +38 ՛C շրջակա միջավայրի միջին ջերմաստիճանի պայմաններում շահագործման համար նախատեսված սառնարանային սարքեր (SТ կատարում) | |
1 |
բառեխառն ցուրտ և բարեխառն կլիմայում՝ համապատասխանաբար +10 ՛C-ից մինչև +32 ՛C (SN կատարում) և +16 ՛C մինչև +32 ՛C (N կատարում) շրջակա միջավայրի միջին ջերմաստիճանի պայմաններում շահագործման համար նախատեսված սառնարանային սարքեր | |
BI (ներկառուցված) |
1,2 |
ներկառուցվող սառնարանային սարքեր՝ 580 մմ-ից ոչ ավելի լայնությամբ |
1 |
այլ սառնարանային սարքեր |
4. Սառնարանային սարքերը (բացառությամբ գինու պահարանների, 10 լ-ից պակաս օգտակար ծավալ ունեցող սառնարանային սարքերի) պետք է ունենան էներգետիկ արդյունավետության ցուցիչի (EEI) 42-ից պակաս արժեքը՝ սեղմումային տեսակի սառնարանային սարքերի համար և 110-ից պակաս՝ աբսորբցիոն տեսակի սառնարանային սարքերի համար:
5. Արագ սառեցման գործառույթով կամ օգտագործողի կողմից շահագործման փաստաթղթերին համապատասխան մեկ անգամ գործողության մեջ դրված՝ սառցարաններում և սառցարանային բաժանմունքներում կառավարման կարգաբերումների մոդիֆիկացման միջոցով իրագործվող նույնանման գործառույթով սառնարանային սարքում պետք է ոչ ուշ, քան 72 ժամ հետո ավտոմատ վերականգնվեն պահման նախկին նորմալ ջերմաստիճանային պայմանները։
Նշված պահանջը չի կիրառվում մեկ ջերմապահպանիչով և մեկ ճնշակով սառնարան-սառցարանների նկատմամբ, որոնք սարքավորված են կառավարման էլեկտրամեխանիկական համակարգով։
Մեկ ջերմապահպանիչով և մեկ ճնշակով սառնարան-սառցարանները, որոնք սարքավորված են կառավարման էլեկտրոնային վահանակով և, շահագործման փաստաթղթերի համաձայն, կարող են օգտագործվել շրջակա միջավայրի +16 ՛C-ից ցածր ջերմաստիճանի պայմաններում, պետք է ունենան փոխարկչի՝ «ձմեռային ռեժիմ» գործառույթի կամ համանման գործառույթի հատուկ կարգաբերում, որն ավտոմատ ապահովում է սառեցրած սննդամթերքի պահման ճիշտ ջերմաստիճանը՝ շրջակա միջավայրի ջերմաստիճանին համապատասխան։
10 լ-ից պակաս օգտակար ծավալ ունեցող սառնարանային սարքերը պետք է ոչ ուշ, քան դատարկ վիճակում 1 ժամ աշխատելուց հետո ավտոմատ անցնեն 0,00 Վտ սպառվող հզորությամբ աշխատանքային ռեժիմի։ Սարքը սնուցման ցանցից անջատող անջատիչի առկայությունը բավարար պայման չէ` տվյալ պահանջը կատարելու համար։
6. Սառնարանային սարքերի փորձարկումները (չափումները) անցկացվում են` հաշվի առնելով հետևյալ առանձնահատկությունները.
ա) եթե սառնարանային սարքի կազմում առկա են հակակոնդենսացիոն տաքացուցիչներ, որոնք վերջնական օգտագործողը կարող է միացնել և անջատել, ապա էներգիայի սպառման փորձարկումներ (չափումներ) անցկացնելիս դրանք պետք է միացված լինեն, և կարգավորման առկայության դեպքում պետք է միացվի առավելագույն տաքացման ռեժիմը.
բ) եթե սառնարանային սարքի կազմում առկա են սարքեր, որոնց հասանելիությունն ապահովվում է հատուկ դռնակի միջոցով (օրինակ՝ սառույցի կամ պաղեցրած խմիչքների մատուցման ավտոմատ սարք), և որոնք վերջնական օգտագործողը կարող է միացնել և անջատել, ապա էներգիայի սպառման փորձարկումներ (չափումներ) անցկացնելիս դրանք պետք է միացված լինեն, սակայն չպետք է գործեն.
գ) ունիվերսալ սառնարանային սարքերի և բաժանմունքների համար էներգիայի սպառման փորձարկման (չափման) ժամանակ պահման ջերմաստիճանը պետք է համապատասխանի տվյալ սառնարանային սարքի կազմում առկա ամենասառը տեսակի բաժանմունքի անվանական ջերմաստիճանին.
դ) էներգիայի սպառումը որոշվում է ամենասառը փոխդասավորությամբ՝ շահագործման փաստաթղթերին համապատասխան՝ մշտական նորմալ օգտագործման համար.
ե) փորձարկումներ (չափումներ) անցկացնելիս որոշվում են հետևյալ պարամետրերը՝
եզրաչափերը (մինչև մմ ճշտությամբ).
ընդհանուր բրուտտո ծավալը (մինչև ամբողջ թիվ կլորացմամբ՝ խոր. դմ-ով կամ լ-ով).
օգտակար ծավալը (ծավալները) և ամբողջական օգտակար ծավալը (ծավալները)՝ պահման համար (մինչև ամբողջ թիվ կլորացմամբ՝ խոր. դմ-ով կամ լ-ով).
հալեցման տեսակը.
պահման ջերմաստիճանը.
էներգիայի սպառումը (կՎտժժ/24 ժ) (մինչև 3 տասնորդական նիշ կլորացմամբ).
սառեցման արտադրողականությունը (24 ժամում կգ-ով).
սպառվող հզորությունը (Վտ) (մինչև 2 տասնորդական նիշ կլորացմամբ)․
գինու պահման համար նախատեսված բաժանմունքի խոնավությունը (%) (մինչև ամբողջ թիվ կլորացմամբ):
7. Սառնարանային սարքերին կցվող՝ «Էներգասպառող սարքվածքների էներգետիկ արդյունավետությանը ներկայացվող պահանջների մասին» Եվրասիական տնտեսական միության տեխնիկական կանոնակարգի (ԵԱՏՄ ՏԿ 048/2019) (այսուհետ՝ տեխնիկական կանոնակարգ) 13-րդ կետով նախատեսված շահագործման փաստաթղթերը պետք է պարունակեն դրանց բնութագրերի և պարամետրերի մասին հետևյալ տեղեկությունները.
ա) բաժինների, շարժական արկղերի և դարակների՝ էներգիայի առավել արդյունավետ սպառումն ապահովող համակցության մասին տեղեկատվությունը.
բ) էներգիայի նվազագույն սպառումն ապահովելու եղանակների մասին տեղեկատվությունը.
գ) գինու պահման համար նախատեսված սառնարանային սարքի համար՝ բացառապես գինու պահման համար դրա նշանակության մասին տեղեկությունները։
IV. Սառնարանային սարքերը շրջանառության մեջ դնելուց հետո փորձարկումների (չափումների) անցկացման ժամանակ դրանց էներգետիկ արդյունավետության պարամետրերի թույլատրելի շեղումները
8. Սառնարանային սարքերը Միության մաքսային տարածքում շրջանառության մեջ դնելուց հետո դրանց փորձարկումներ (չափումներ) անցկացնելիս, անցկացվում են սառնարանային սարքի յուրաքանչյուր մոդելի մեկ նմուշի փորձարկումներ (չափումներ):
Սառնարանային սարքի նմուշը համարվում է սույն պահանջներին համապատասխանող, եթե սառնարանային սարքի պարամետրերի և բնութագրերի ստացված արժեքները համապատասխանում են սույն պահանջների III բաժնին և արտադրողի կողմից հայտարարված անվանական արժեքներին՝ 5-րդ աղյուսակում նշված թույլատրելի շեղումների սահմաններում:
Աղյուսակ 5
Թույլատրելի շեղումները
Չափվող պարամետրը |
Թույլատրելի շեղումը* |
Ընդհանուր բրուտտո ծավալը |
արժեքը չպետք է պակաս լինի անվանական արժեքից ավելի քան 3 %-ով կամ 1 լ-ով՝ պայմանավորված նրանով, թե այդ մեծություններից որն է ավելի մեծ |
Օգտակար ծավալը |
արժեքը չպետք է պակաս լինի անվանական արժեքից ավելի քան 3 %-ով կամ կամ 1 լ-ով՝ պայմանավորված նրանով, թե այդ մեծություններից որն է ավելի մեծ (եթե օգտագործողը կարող է չափավոր ջերմաստիճանով բաժանմունքի և թարմ սննդամթերքի պահման համար նախատեսված բաժանմունքի ծավալները միմյանց նկատմամբ փոփոխել, ապա չափումներն անցկացվում են այնպիսի փոխդասավորությամբ, որի դեպքում չափավոր ջերմաստիճանով բաժանմունքը կարգավորված է մինչև նվազագույն ծավալը) |
Սառեցման ունակությունը |
արժեքը չպետք է պակաս լինի անվանական արժեքից ավելի քան 10 %-ով |
Էներգիայի սպառումը (E24h) |
արժեքը չպետք է գերազանցի E24h անվանական արժեքն ավելի քան 10 %-ով |
10 լ-ից պակաս օգտակար ծավալով սառնարանային սարքերի էներգիայի սպառումը |
արժեքը չպետք է գերազանցի սույն պահանջների 5-րդ կետի չորրորդ պարբերությունում նշված սահմանային արժեքներն ավելի քան 0,10 Վտ-ով՝ 95% հավաստիությամբ |
Գինու պահարանում հարաբերական խոնավությունը |
արժեքը չպետք է գերազանցի անվանական արժեքն ավելի քան 10%-ը ցանկացած ուղղությամբ, այսինքն՝ ՞ 10 %-ը։ |
Ձայնային հզորության ճշգրտված մակարդակը |
չափված արժեքը չպետք է հայտարարված արժեքից ավելի բարձր լինի |
Եթե սառնարանային սարքի նմուշի (տիպային նմուշի) պարամետրերի և բնութագրերի ստացված արժեքները չեն համապատասխանում արժեքներին՝ հաշվի առնելով 5-րդ աղյուսակում նշված թույլատրելի շեղումները, ապա փորձարկումները հարկավոր է անցկացնել սառնարանային սարքի լրացուցիչ 3 նմուշների նկատմամբ։
Սառնարանային սարքի լրացուցիչ 3 նմուշների պարամետրերի և բնութագրերի միջին արժեքները պետք է համապատասխանեն 3-րդ աղյուսակում նշված արժեքներին։
Այլ դեպքերում սառնարանային սարքի տվյալ մոդելը և այլ համարժեք սառնարանային սարքեր հարկավոր է դիտարկել որպես տեխնիկական կանոնակարգի պահանջներին չհամապատասխանող։
V. Սառնարանային սարքերի պիտակի և տեխնիկական թերթիկի բովանդակությունը
9. Սառնարանային սարքերի պիտակը պետք է պարունակի հետևյալ տեղեկությունները,
I. արտադրողի անվանումը կամ առևտրային նշանը (առկայության դեպքում),
II. մոդելի նշագիրը,
III. էներգետիկ արդյունավետության դասը,
IV. էներգիայի տարեկան սպառումը (կՎտ∙ժ/տարի) (մինչև ամբողջ թիվը կլորացմամբ),
V. -6՛С ջերմաստիճանից բարձր պաղեցված սննդամթերքի համար նախատեսված բաժանմունքի օգտակար գումարային ծավալը (մինչև ամբողջ թիվը կլորացմամբ),
VI. -6 ՛С-ից ոչ ավելի ջերմաստիճանով սառեցված սննդամթերքի պահման համար նախատեսված բաժանմունքի օգտակար գումարային ծավալը (մինչև ամբողջ թիվը կլորացմամբ)։ Եթե կենցաղային սառնարանային սարքը չունի սառցարանային բաժին, ապա սյունակը մնում է դատարկ։
Եթե սառնարանային սարքն օգտագործվում է գինու պահման համար, ապա V և VI կետերը ձևափոխվում են և նշվում է այն ստանդարտ շշերի քանակը, որոնք, արտադրողի ցուցումներին համապատասխան, կարելի է տեղադրել սարքի մեջ։
VII. ձայնային հզորության ճշգրտված մակարդակը՝ արտահայտված դԲ (Ա)-ով, 1 պՎտ-ի հաշվով (մինչև ամբողջ թիվը կլորացմամբ) (նշվում է դԲ-ով)։
10. Սառնարանային սարքերի շահագործման փաստաթղթերի կազմում ներառվող տեխնիկական թերթիկը պետք է պարունակի հետևյալ տեղեկությունները.
ա) արտադրողի անվանումը կամ ապրանքային նշանը (առկայության դեպքում),
բ) մոդելի նշագիրը,
գ) մոդելի կատեգորիան՝ 1-ին աղյուսակում ներկայացված դասակարգմանը համապատասխան,
դ) էներգետիկ արդյունավետության դասը,
ե) էներգիայի տարեկան սպառումը (կՎտ∙ժ/տարի) (մինչև ամբողջ թիվը կլորացմամբ) հետևյալ գրառման տեսքով․ «Էներգիայի սպառումը, որը հիմնված է 24 ժամվա ընթացքում անցկացվող ստանդարտ փորձարկման արդյունքների վրա, կազմում է «XYZ» կՎտ∙ժ/տարի։ Էներգիայի փաստացի սպառումը պայմանավորված է նրանով, թե ինչպես է օգտագործվելու սառնարանային սարքը և թե որտեղ է այն տեղակայված.,
զ) յուրաքանչյուր բաժանմունքի օգտակար ծավալը և մականշվածքում «աստղանիշերի» քանակը (առկայության դեպքում),
է) «այլ բաժանմունքների» հաշվարկային ջերմաստիճանը։ Գինու պահման համար նախատեսված բաժանմունքների համար նշվում է բաժանմունքում նախօրոք սահմանված կամ օգտագործողի իսկ կողմից շահագործման ձեռնարկին համապատասխան սահմանվող՝ պահման ամենացածր ջերմաստիճանը,
ը) «առանց եղյամի առաջացման» գրառումը համապատասխան բաժանմունքի (ների) համար,
թ) սառցարանային բաժանմունքում սննդամթերքի ջերմաստիճանի բարձրացման անվանական ժամանակը (ժամերով),
ժ) սառեցման ունակությունը (օրական կգ-ով),
ժա) կլիմայական դասը հետևյալ գրառման տեսքով.,Կլիմայական դաս.W [կլիմայական դաս]։ Այս սարքը նախատեսված է շրջակա միջավայրի «X» ՛С -ից [ստորին ջերմաստիճան] մինչև «X» ՛С [վերին ջերմաստիճանը] ջերմաստիճանի պայմաններում օգտագործման համար,
ժբ) ձայնային հզորության ճշգրտված մակարդակը՝ արտահայտված դԲ (Ա)-ով, 1 պՎտ-ի հաշվով (մինչև ամբողջ թիվը կլորացմամբ) (նշվում է դԲ-ով).
ժգ) ներկառուցվող սառնարանային սարքի համար կատարվում է համապատասխան գրառում,
ժդ) գինու պահարանի համար կատարվում է հետևյալ գրառումը. «Այս սարքը նախատեսված է բացառապես գինու պահման համար»։ Այդ գրառումը չի նշվում այն սառնարանային սարքերի համար, որոնք հատուկ նախատեսված չեն գինու պահման համար, բայց կարող են օգտագործվել այդ նպատակով և այն սառնարանային սարքերի համար, որոնք այլ բաժանմունքի հետ միավորված ունեն գինու պահման համար նախատեսված բաժանմունք։
11. Մեկ տեխնիկական թերթիկում թույլատրվում է նշել մեկ արտադրողի մի քանի սառնարանային սարքերի մասին տեղեկությունները։
12. Տեխնիկական թերթիկում պարունակվող տեղեկատվությունը կարող է տրամադրվել պիտակի գունավոր կամ սև ու սպիտակ պատճենի տեսքով։ Այդպիսի իրավիճակում նույնպես պետք է ներկայացվի 10-րդ կետում նշված և պիտակի վրա չարտացոլված տեղեկատվությունը։
VI. Սառնարանային սարքերի էներգետիկ արդյունավետության դասը
13. Սառնարանային սարքերի էներգետիկ արդյունավետությունը նշելու համար, էներգետիկ արդյունավետության ցուցիչով պայմանավորված, սահմանված են 6-րդ աղյուսակում բերված 7 դասեր (նվազման կարգով)։
Աղյուսակ 6
Էներգետիկ արդյունավետության դասը |
Էներգետիկ արդյունավետության ցուցիչը |
А +++ |
ЕЕI < 22 |
А ++ |
22 ≤ ЕЕI < 33 |
А + |
33 ≤ ЕЕ1 < 42 |
А |
42 ≤ ЕЕ1 < 55 |
В |
55 ≤ЕЕI < 75 |
С |
75 ≤ ЕЕI < 95 |
D (նվազագույն արդյունավետ) |
95 ≤ ЕЕI < 110 |
__________________
1 «+ե՝ առկա է, «-ե՝ բացակայում է, «՞ե՝ արտադրողի հայեցողությամբ։
2 Խցիկում կամ բաժանմունքում պահման ջերմաստիճանը (Тс)՝ +5 ՛C-ից մինչև +20 ՛C։
3 Tc՝ +8 ՛C-ից մինչև 14 ՛C։
4 Tc՝ 0 ՛C-ից մինչև +8 ՛C, միջին Тс՝ +4 ՛C։
5 Tc՝ -2 ՛C-ից մինչև +3՛С։
6 Tc՝ 0 ՛C և ցածր։
7 «*» մականշվածքով բաժանմունք։
8 «**» մականշվածքով բաժանմունք։
9 «***» մականշվածքով բաժանմունք։
10 «****» մականշվածքով բաժանմունք։
11 Այդ թվում՝ սառեցրած սննդամթերքի պահման համար նախատեսված պահարաններ՝ «***» մականշվածքով։
12 10-րդ տեսակի համար M և N ճշգրտման գործակիցներն ընտրվում են 1-9-րդ տեսակների համար նշված արժեքներից՝ ելնելով պահման ամենացածր ջերմաստիճանից (7-9-րդ տեսակներ) կամ արտադրողի կողմից սահմանված՝ առավելագույն թվով «աստղանիշերով» մականշվածք ունեցող բաժանմունքների առկայությունից (1-6-րդ տեսակներ)։
ՀԱՎԵԼՎԱԾ ԹԻՎ 3 «Էներգասպառող սարքվածքների էներգետիկ արդյունավետությանը ներկայացվող պահանջների մասին» Եվրասիական տնտեսական միության տեխնիկական կանոնակարգի (ԵԱՏՄ ՏԿ 048/2019) |
ՊԱՀԱՆՋՆԵՐ
Էլեկտրական ասինքրոն շարժիչների էներգետիկ արդյունավետությանը ներկայացվող
I. Կիրառության ոլորտը
1. Սույն պահանջները տարածվում են Եվրասիական տնտեսական միության (այսուհետ՝ Միություն) մաքսային տարածքում շրջանառության մեջ դրվող, կարճ միակցված ռոտորով, 2-ից մինչև 6 բևեռներով, մինչև 1000 Վ անվական լարմամբ, 50 կամ 50/60 Հց անվանական հաճախությամբ և 0,75-ից մինչև 375 կՎտ անվանական հզորությամբ՝ մեկ արագությամբ եռաֆազ էլեկտրական ասինքրոն (ինդուկցիոն) շարժիչների վրա (այդ թվում՝ այլ արտադրատեսակներում ներկառուցված), որոնք նախատեսված են անընդմեջ ռեժիմով աշխատելու համար (այսուհետ՝ շարժիչներ)՝ բացառությամբ՝
հեղուկում ամբողջական ընկղման դեպքում աշխատելու համար նախատեսված շարժիչների.
շարժիչների, որոնք ամբողջությամբ ներկառուցված են այլ արտադրատեսակներում (օրինակ՝ ռեդուկտորներ, պոմպեր, օդափոխիչներ կամ ճնշակներ) այնպես, որ դրանց կողմից էներգիայի սպառումը չի կարող ստուգվել այդ արտադրատեսակից առանձին.
տարբեր արգելակային ռեժիմներով աշխատելու համար նախատեսված շարժիչների (օրինակ՝ ռեկուպերատիվ արգելակման գործառույթով շարժիչներ).
շարժիչների, որոնք նախագծված են բացառապես հետևյալ պայմաններում կիրառելու համար՝
ծովի մակերևույթից 4000 մ-ը գերազանցող բարձրության վրա,
շրջակա միջավայրի 60 ՛C-ից բարձր ջերմաստիճանի դեպքում,
400 ՛C-ից բարձր առավելագույն աշխատանքային ջերմաստիճանի դեպքում,
շրջակա միջավայրի -30՛C-ից ցածր ջերմաստիճանի դեպքում՝ ցանկացած շարժիչի համար, կամ 0 ՛C-ից ցածր՝ ջրային հովացմամբ շարժիչի համար.
շարժիչի մուտքի մոտ հովացնող հեղուկի՝ 0 ՛C-ից ցածր կամ 32 ՛C-ից բարձր ջերմաստիճանի դեպքում.
հնարավոր պայթյունավտանգ միջավայրերում։
II. Հիմնական հասկացությունները
2. Սույն պահանջները կիրառելու նպատակներով օգտագործվում են հասկացություններ, որոնք ունեն հետևյալ իմաստը.
կարճ միակցված ռոտորով շարժիչ՝ առանց շարժական կոնտակտների, կոլեկտորների, կոնտակտային օղակների կամ ռոտորին միացված էլեկտրական կոնտակտների տեսակ
թույլատրելի շեղում՝ փորձարկումների արդյունքում ստացված՝ շարժիչի պարամետրերի արժեքների առավելագույն թույլատրելի շեղումը՝ անձնագրային ցուցանակի վրա կամ շահագործման փաստաթղթերում նշված արժեքների համեմատությամբ.
օգտակար գործողության անվանական գործակից (գN)՝ օգտակար գործողության գործակից, որի արժեքը սահմանված է արտադրողի կողմից և հավասար է օգտակար գործողության նորմավորված գործակցի (գn) արժեքին կամ գերազանցում է այն.
օգտակար գործողության նորմավորված գործակից (пп)՝ օգտակար գործողության գործակից, որի արժեքով ապահովվում է շարժիչի համապատասխանությունը էներգետիկ արդյունավետության որոշակի դասին.
անընդմեջ ռեժիմով աշխատանք՝ հովացման ներկառուցված համակարգով շարժիչի՝ անվանական բեռնվածքի դեպքում առանց ընդհատման աշխատելու ունակությունը՝ առանց հասնելու անվանական առավելագույն ջերմաստիճանի.
օգտակար գործողության միջին գործակից՝ միևնույն կառուցվածքով և միևնույն տեխնիկական բնութագրերով շարժիչների ամբողջության համար միջին արժեք ունեցող օգտակար գործողության գործակից.
արգելակային շարժիչ՝ արգելակման էլեկտրամեխանիկական սարքվածքով, որն անմիջականորեն (առանց կցորդիչային միացումների) ներգործում է շարժիչի լիսեռի վրա.
հաճախության կերպափոխիչ՝ պտտման արագությունը կարգավորելու համար՝ էլեկտրական էներգիայի կերպափոխիչ, որով անընդհատ հսկվում է շարժիչի վրա մատուցվող էլեկտրական էներգիան՝ այն մեխանիկական էներգիայի կերպափոխելու նպատակով՝ բեռնվածքի պտտող մոմենտի արագության տրված բնութագրին համապատասխան՝ սնուցման ցանցի փոփոխական հոսանքի հաճախությունը փոփոխելու միջոցով։
III. Շարժիչների էներգետիկ արդյունավետությանը ներկայացվող պահանջները և էներգետիկ արդյունավետության ցուցանիշների սահմանման առանձնահատկությունները
3. 2021 թվականի սեպտեմբերի 1-ից օգտակար գործողության նորմավորված գործակցի (գn) արժեքը չպետք է պակաս լինի 1-ին աղյուսակում էներգետիկ արդյունավետության IE2 դասի համար սահմանված արժեքներից։
Աղյուսակ 1
Էներգետիկ արդյունավետության IE2 դասի համար օգտակար գործողության նորմավորված գործակցի (գn) արժեքները՝ 50 Հց հաճախությամբ փոփոխական հոսանքի ցանցից շարժիչների սնուցման դեպքում
Անվանական հզորությունը, կՎտ |
Բևեռների քանակը | ||
2 |
4 |
6 | |
0,75 |
77,4 |
79,6 |
75,9 |
1,1 |
79,6 |
81,4 |
78,1 |
1,5 |
81,3 |
82,8 |
79,8 |
2,2 |
83,2 |
84,3 |
81,8 |
3 |
84,6 |
85,5 |
83,3 |
4 |
85,8 |
86,6 |
84,6 |
5,5 |
87,0 |
87,7 |
86,0 |
7,5 |
88,1 |
88,7 |
87,2 |
11 |
89,4 |
89,8 |
88,7 |
15 |
90,3 |
90,6 |
89,7 |
18,5 |
90,9 |
91,2 |
90,4 |
22 |
91,3 |
91,6 |
90,9 |
30 |
92,0 |
92,3 |
91,7 |
37 |
92,5 |
92,7 |
92,2 |
45 |
92,9 |
93,1 |
92,7 |
55 |
93,2 |
93,5 |
93,1 |
75 |
93,8 |
94,0 |
93,7 |
90 |
94,1 |
94,2 |
94,0 |
110 |
94,3 |
94,5 |
94,3 |
132 |
94,6 |
94,7 |
94,6 |
160 |
94,8 |
94,9 |
94,8 |
201 - 375 |
95,0 |
95,1 |
95,0 |
4. 2023 թվականի սեպտեմբերի 1-ից օգտակար գործողության նորմավորված գործակցի (գn) արժեքը 7,5-ից մինչև 375 կՎտ անվանական հզորությամբ շարժիչների համար չպետք է պակաս լինի 2-րդ աղյուսակում էներգետիկ արդյունավետության IE3 դասի համար սահմանված արժեքներից, կամ պետք է համապատասխանի էներգետիկ արդյունավետության IE2 դասին՝ պտտման արագության կարգավորման համար հաճախության կերպափոխիչներով սարքավորված շարժիչների համար։
Աղյուսակ 2
Էներգետիկ արդյունավետության IE3 դասի համար օգտակար գործողության նորմավորված գործակցի (գn) արժեքները՝ 50 Հց հաճախությամբ փոփոխական հոսանքի ցանցից շարժիչների սնուցման դեպքում
Անվանական հզորությունը, կՎտ |
Բևեռների քանակը | ||
2 |
4 |
6 | |
0.75 |
80.7 |
82.5 |
78.9 |
1.1 |
82.7 |
84.1 |
81.0 |
1.5 |
84.2 |
85.3 |
82.5 |
2.2 |
85.9 |
86.7 |
84.3 |
3 |
87.1 |
87.7 |
85.6 |
4 |
88.1 |
88.6 |
86.8 |
5.5 |
89.2 |
89.6 |
88.0 |
7.5 |
90.1 |
90.4 |
89.1 |
11 |
91.2 |
91.4 |
90.3 |
15 |
91.9 |
92.1 |
91.2 |
18.5 |
92.4 |
92.6 |
91.7 |
22 |
92.7 |
93.0 |
92.2 |
30 |
93.3 |
93.6 |
92.9 |
37 |
93.7 |
93.9 |
93.3 |
45 |
94.0 |
94.2 |
93.7 |
55 |
94.3 |
94.6 |
94.1 |
75 |
94.7 |
95.0 |
94.6 |
90 |
95.0 |
95.2 |
94.9 |
110 |
95.2 |
95.4 |
95.1 |
132 |
95.4 |
95.6 |
95.4 |
160 |
95.6 |
95.8 |
95.6 |
201 - 375 |
95.8 |
96.0 |
95.8 |
5. 2025 թվականի սեպտեմբերի 1-ից օգտակար գործողության նորմավորված գործակցի (գn) արժեքը 0,75-ից մինչև 375 կՎտ անվանական հզորությամբ շարժիչների համար չպետք է պակաս լինի էներգետիկ արդյունավետության IE3 դասի համար սահմանված արժեքներից, կամ պետք է համապատասխանի էներգետիկ արդյունավետության IE2 դասին՝ պտտման արագության կարգավորման համար հաճախության կերպափոխիչներով սարքավորված շարժիչների համար։
6. Օգտակար գործողության նորմավորված գործակցի (գn) արժեքը որոշվում է արտադրողի կողմից սահմանված՝ անվանական ելքային հզորության (PN), անվանական լարման (UN) և անվանական հաճախության (fN) դեպքում։
7. Շարժիչներին կցվող՝ «Էներգասպառող սարքվածքների էներգետիկ արդյունավետությանը ներկայացվող պահանջների մասին» Եվրասիական տնտեսական միության տեխնիկական կանոնակարգի (ԵԱՏՄ ՏԿ 048/2019) (այսուհետ՝ տեխնիկական կանոնակարգ) 13-րդ կետով նախատեսված շահագործման փաստաթղթերը պետք է պարունակեն դրանց բնութագրերի և պարամետրերի մասին հետևյալ տեղեկությունները՝
ա) օգտակար գործողության անվանական գործակիցը (գN)՝ ամբողջական հզորության, 75 % և 50 % անվանական բեռնվածքի և լարման (UN) դեպքում.
բ) էներգետիկ արդյունավետության դասը (IE2 կամ IE3).
գ) բևեռների քանակը.
դ) անվանական ելքային հզորությունը կամ անվանական ելքային հզորության արժեքների տիրույթը (կՎտ).
ե) անվանական հաճախությունը (Հց).
զ) շարժիչի անվանական լարումը կամ անվանական լարման արժեքների ընդգրկույթը (Վ).
է) պտտման անվանական արագությունը կամ անվանական արագության արժեքների ընդգրկույթը (պտույտ/րոպե).
ը) տեղեկատվություն շարժիչների քանդման, վերափոխման և օգտահանման մասին
թ) տեղեկատվություն շահագործման այն պայմանների մասին, որոնցում կիրառելու համար նախագծվել է շարժիչը՝
ծովի մակերևույթից բարձրությունը, արտաքին միջավայրի ջերմաստիճանը (այդ թվում՝ ջրային հովացմամբ շարժիչների համար).
շարժիչի մուտքի մոտ հովացնող հեղուկի ջերմաստիճանը.
շարժիչի առավելագույն աշխատանքային ջերմաստիճանը.
պոտենցիալ պայթունավտանգ միջավայրը։
8. Սույն պահանջների 7-րդ կետի «ա» և «բ» ենթակետերում նշված տեղեկությունները, ինչպես նաև շարժիչի արտադրության տարին զետեղվում են շարժիչի անձնագրային ցուցանակի վրա կամ դրա կողքին։
Եթե շարժիչի անձնագրային ցուցանակի չափը թույլ չի տալիս նշված տեղեկությունների զետեղումը, ապա անձնագրային ցուցանակի վրա զետեղվում է միայն լրիվ անվանական բեռնվածքի և անվանական լարման (UN) դեպքում օգտակար գործողության անվանական գործակցի (գN) մասին տեղեկատվությունը։
Պտտման արագության հաճախության կերպափոխիչի՝ էներգաարդյունավետության ամենացածր դասի էլեկտրաշարժիչի հետ համատեղ պարտադիր օգտագործման մասին տեղեկատվությունը, սույն պահանջների 4-րդ և 5-րդ կետերին համապատասխան, պետք է նշված լինի տեխնիկական փաստաթղթերում և (կամ) անձնագրային ցուցանակում։ Տեխնիկական փաստաթղթերում պետք է բերվի տեղեկատվություն անվտանգության ցանկացած որոշակի միջոցի մասին, որը պետք է ձեռնարկվի, եթե շարժիչը լրակազմվում է կամ օգտագործվում է պտտման արագության կարգավորման հաճախության կերպափոխիչի հետ համատեղ։
IV. Շարժիչները շրջանառության մեջ դնելուց հետո փորձարկումների (չափումների) անցկացման ժամանակ դրանց էներգետիկ արդյունավետության պարամետրերի թույլատրելի շեղումները
9. Շարժիչները Եվրասիական տնտեսական միության մաքսային տարածքում շրջանառության մեջ դնելուց հետո դրանց փորձարկումներ (չափումներ) անցկացնելիս, անցկացվում են շարժիչի յուրաքանչյուր մոդելի մեկ նմուշի փորձարկումներ (չափումներ):
Շարժիչի նմուշը համարվում է սույն պահանջներին համապատասխանող, եթե կորուստների ստացված արժեքները (1-գN) չեն գերազանցում սույն պահանջների 1-ին և 2-րդ աղյուսակներում սահմանված՝ օգտակար գործողության նորմավորված գործակցի (գn) արժեքներին համապատասխանող կորուստների արժեքներն (1-գn) ավելի քան 15 %-ով (0,75-ից մինչև 150 կՎտ անվանական հզորությամբ շարժիչների համար) և ավելի քան 10 %-ով (150-ից մինչև 375 կՎտ անվանական հզորությամբ շարժիչների համար)։
Եթե ստացված արժեքները չեն համապատասխանում նշված արժեքներին, ապա փորձարկումները (չափումները) հարկավոր է անցկացնել տվյալ մոդելի շարժիչի լրացուցիչ 3 նմուշների նկատմամբ։ Շարժիչի մոդելը համարվում է սույն պահանջներին համապատասխանող, եթե փորձարկված 3 շարժիչների համար կորուստների միջին արժեքները (l-գN) չեն գերազանցում սույն կետի երկրորդ պարբերությունում նշված արժեքները:
Այլ դեպքերում շարժիչի տվյալ մոդելը հարկավոր է դիտարկել որպես տեխնիկական կանոնակարգի պահանջներին չհամապատասխանող։
ՀԱՎԵԼՎԱԾ ԹԻՎ 4 «Էներգասպառող սարքվածքների էներգետիկ արդյունավետությանը ներկայացվող պահանջների մասին» Եվրասիական տնտեսական միության տեխնիկական կանոնակարգի (ԵԱՏՄ ՏԿ 048/2019) |
ՊԱՀԱՆՋՆԵՐ
հեռուստացույցների էներգետիկ արդյունավետությանը ներկայացվող
I. Կիրառության ոլորտը
1. Սույն պահանջները տարածվում են Եվրասիական տնտեսական միության (այսուհետ՝ Միություն) մաքսային տարածքում շրջանառության մեջ դրվող հեռուստացույցների վրա, որոնց սնուցումն իրականացվում է մինչև 250 Վ (ներառյալ) անվանական լարման էլեկտրական ցանցից, և որոնք նախատեսված են բնակելի և գրասենյակային տարածքներում շահագործման համար։
II. Հիմնական հասկացությունները
2. Սույն պահանջները կիրառելու նպատակներով օգտագործվում են հետևյալ հասկացությունները, որոնք ունեն հետևյալ իմաստը.
տնային ռեժիմ՝ հեռուստացույցի այն վիճակը, որն արտադրողը առաջարկում է տնային օգտագործման համար.
պատկերման ռեժիմների նախադրված համալարումներով ընտրացանկ՝ հեռուստացույցի՝ արտադրողի կողմից նախապես սահմանված համալարումների հավաքակազմը, որից օգտագործողը հեռուստացույցը միացնելուց հետո կարող է ընտրել պատկերման ռեժիմի համալարումը.
ամբողջական HD լուծաչափ՝ էկրանի լուծաչափը՝ առնվազն 1920 ճ 1080 ֆիզիկական փիքսելների ընդհանուր քանակով.
աշխատանքի ռեժիմ՝ հեռուստացույցի վիճակ, որի ժամանակ այն միացված է սնուցման աղբյուրին և վերարտադրում է ձայն ու պատկեր.
անջատման ռեժիմ՝ հեռուստացույցի վիճակը, որի ժամանակ այն միացված է սնուցման աղբյուրին, չի գտնվում աշխատանքի ռեժիմի կամ սպասման ռեժիմի մեջ և ապահովում է էլեկտրամագնիսական համատեղելիությանը ներկայացվող պահանջների կատարումը (անկախ անջատման ռեժիմի ցուցանշման գործառույթի առկայությունից կամ բացակայությունից)
սպասման ռեժիմ՝ հեռուստացույցի վիճակը, որի ժամանակ այն միացված է սնուցման աղբյուրին և անսահմանափակ ժամանակով իրականացնում է վերաակտիվացման գործառույթը (այդ թվում՝ վերաակտիվացման (պատրաստության) ունակության ցուցանշմամբ) և (կամ) տեղեկացման կամ վիճակի արտացոլման գործառույթը.
հեռուստացույցի մոնիտոր՝ ներկառուցված էկրանով հեռուստացույց, որը նախատեսված է տեսալսողական ազդանշանների վերաարտադրման համար, որոնք փոխանցվում են մեկ կամ մի քանի արտաքին սարքվածքներից, որոնք միացված են տեսալսողական ազդանշանների փոխանցման՝ լարով (RCA, SCART, HDMI և այլն) և (կամ) անլար ստանդարտ միջերեսի միջոցով (բացառությամբ DVI և SDI ոչ ստանդարտ տեսաազդանշանների), և որը չունի հեռուստա- և ռադիոհեռարձակման ազդանշանների ընդունման և վերաարտադրման ներկառուցված միջոցներ.
հեռուստատեսային ընդունիչ՝ տեսալսողական ազդանշանների ընդունման և վերաարտադրման համար նախատեսված հեռուստացույց, որը Միության մաքսային տարածքում շրջանառության մեջ բաց է թողնվում ապարատի կամ համակարգի տեսքով և բաղկացած է դիսփլեյից ու մեկ կամ մի քանի թյուներներից (ընդունիչներից), ինչպես նաև անհրաժեշտության դեպքում՝ գրանցման և վերաարտադրման գործառույթներ ունեցող լրացուցիչ սարքվածքներից (DVD-նվագարկիչ, մագնիսական կոշտ սկավառակի վրա կուտակիչ, տեսամագնիտոֆոն և այլն)՝ ապարատի (միասնական համակցված սարքվածքի) կամ մի քանի ապարատներից բաղկացած համակարգի տեսքով.
հեռուստացույց՝ հեռուստատեսային ընդունիչ կամ հեռուստացույցի մոնիտոր.
տեղեկացման կամ վիճակի արտացոլման գործառույթ՝ գործառույթ, որն ապահովում է տեղեկատվության տրամադրումը կամ հեռուստացույցի վիճակի արտացոլումը դրա էկրանի վրա, այդ թվում՝ ժամանակի ցուցանշումը.
վերաակտիվացման գործառույթ՝ գործառույթ, որը հեռահար կառավարման սարքվածքների, թայմերների միջոցով ապահովում է սպասման ռեժիմից աշխատանքի ռեժիմի անցնելու ունակությունը, որի ժամանակ տեղի է ունենում լրացուցիչ գործառույթների կատարման ակտիվացում։
III. Հեռուստացույցների էներգետիկ արդյունավետությանը ներկայացվող պահանջները և էներգետիկ արդյունավետության ցուցանիշների սահմանման առանձնահատկությունները
3. Հեռուստացույցը պետք է ունենա էլեկտրասնուցման ռեժիմի կառավարման՝ հետևյալ առնվազն մեկ տեսակի սարքվածք (սարքվածքներ)՝
ա) ավտոմատ կառավարման սարքվածք, որն օգտագործողի վերջին գործողություններին (օրինակ՝ ալիքների փոխարկումը և նմ) հաջորդող՝ առավելագույնը 4 ժամվա ընթացքում ցանցին միացված հեռուստացույցը բերում է սպասման ռեժիմի կամ անջատման ռեժիմի կամ ցանկացած այլ ռեժիմի, որի դեպքում օգտագործվող թույլատրելի հզորությունը չի գերազանցում սպասման ռեժիմի կամ անջատման ռեժիմի համար սահմանված արժեքները
բ) մեխանիկական կառավարման սարքվածք, որը տեղակայված է ցանցին միացված հեռուստացույցի առջևի վահանակի վրա կամ հեռուստացույցի վրա տեսանելի ու հեշտ հասանելի մեկ այլ տեղում, և որը ձեռքի ռեժիմում հեռուստացույցը փոխարկում է 0,01 Վտ-ից ոչ ավելի սպառվող հզորության ռեժիմի։
4. Նախքան հեռուստացույցի՝ ավտոմատ կառավարման սարքվածքի միջոցով աշխատանքի ռեժիմից մեկ այլ ռեժիմի փոխարկվելը, դրա էկրանին պետք է արտացոլվի այդ մասին նախազգուշացնող հաղորդում։
5. Աշխատանքի ռեժիմում հեռուստացույցի սպառվող հզորությունը դրա էկրանի հնարավոր առավելագույն պայծառության առնվազն 65 %-ի դեպքում չպետք է գերազանցի 1-ին աղյուսակում նշված արժեքները։
Աղյուսակ 1
Աշխատանքի ռեժիմում հեռուստացույցի սպառվող հզորությունը
Հեռուստացույցի տեսակը |
Սպառվող հզորությունը |
Հեռուստատեսային ընդունիչ |
16 Վտ + А х 3,4579 Վտ/դմ2 |
Հեռուստացույցի մոնիտոր |
12 Վտ + А х 3,4579 Վտ/դմ2 |
Ծանոթագրություն. А՝ էկրանի վրա պատկերի տեսանելի տիրույթի մակերեսը (քառ. դմ-ով)։
6. Սպասման ռեժիմում հեռուստացույցի սպառվող հզորությունը չպետք է գերազանցի 2-րդ աղյուսակում նշված արժեքները։
Աղյուսակ 2
Սպասման ռեժիմում հեռուստացույցի սպառվող հզորությունը
Սպասման ռեժիմում կատարվող գործառույթներ |
Սպառվող հզորություն, (Վտ), ոչ ավելի |
Վերաակտիվացման գործառույթ (այդ թվում՝ վերաակտիվացման (պատրաստության) ունակության ցուցանշմամբ) |
0,50 |
Վերաակտիվացման գործառույթ և տեղեկացման կամ վիճակի արտացոլման գործառույթ |
1,00 |
7. Անջատման ռեժիմում հեռուստացույցի սպառվող հզորությունը չպետք է գերազանցի 3-րդ աղյուսակում նշված արժեքները։
Աղյուսակ 3
Անջատման ռեժիմում հեռուստացույցի սպառվող հզորությունը
Էլեկտրասնուցման ռեժիմի կառավարման սարքվածքի տեսակ |
Սպառվող հզորություն, (Վտ), ոչ ավելի |
Ավտոմատ կառավարման սարքվածք |
0,30 |
Մեխանիկական կառավարման սարքվածք (տեղակայված է ցանցին միացված հեռուստացույցի առջևի վահանակի վրա կամ հեռուստացույցի վրա տեսանելի ու հեշտ հասանելի մեկ այլ տեղում, և որը ձեռքի ռեժիմով հեռուստացույցը փոխարկում է 0,01 Վտ-ից ոչ ավելի սպառվող հզորության ռեժիմի) |
0,50 |
8. Հեռուստացույցի մոնիտորները և հեռուստատեսային ընդունիչների՝ առանձին մատակարարվող լրացուցիչ ապարատները պետք է համապատասխանեն սույն պահանջների 6-րդ և 7-դ կետերում նշված՝ սպառվող հզորությանը ներկայացվող պահանջներին։
9. Պատկերման ռեժիմների նախադրված համալարումներով ընտրացանկ ունեցող հեռուստացույցները սկզբնական ակտիվացման դեպքում պետք է ապահովեն աշխատանքը տնային ռեժիմում, որը պետք է լինի սկզբնադրված։
Եթե օգտագործողն ընտրում է տնային ռեժիմից տարբեր ռեժիմ, ապա պետք է նախատեսված լինի ռեժիմը հաստատելու հնարավորություն։
10. Աշխատանքի ռեժիմում հեռուստացույցների սպառվող հզորության չափումն իրականացվում է հետևյալ պայմանների պահպանմամբ.
ա) պատկերման ռեժիմների նախադրված համալարումներով ընտրացանկ չունեցող հեռուստացույցների համար պայծառության և ցայտունության կարգավորիչները սահմանվում են սույն պահանջների 11-րդ կետի «գ» ենթակետին համապատասխան.
բ) պատկերման ռեժիմների նախադրված համալարումներով ընտրացանկ ունեցող հեռուստացույցների համար սահմանվում է չափման ռեժիմ՝ սույն պահանջների 11-րդ կետի «բ» ենթակետին համապատասխան
գ) հեռուստացույցի մոնիտորը պետք է միացված լինի համապատասխան թյուներին, որի սպառվող հզորությունը չպետք է հեռուստացույցի մոնիտորի սպառվող հզորությունը չափելիս հաշվի առնվի.
դ) հեռուստացույցի մոնիտորի աուդիոմուտքի վրա տրվում է 0,5 Վ լարմամբ՝ 1000 Հց ձայնային հաճախության ազդանշան։ Բարձրախոսների սեղմակների վրա հեռուստացույցի մոնիտորի ձայնի բարձրության կարգավորիչով սահմանվում է 50 մՎտ հզորությանը համապատասխանող լարում.
ե) սպառվող հզորությունը չափելու ժամանակ հեռուստացույցի ձայնի բարձրության կարգավորիչը պետք է լինի սահմանված դիրքով.
զ) չափումները պետք է անցկացվեն.
շրջակա միջավայրի 23 ՞ 5 ՛C ջերմաստիճանում.
հեռուստացույցի մուտքի վրա հեռարձակող հեռուստատեսության դինամիկական հեռուստատեսային ազդանշանի տրման դեպքում,
հեռուստացույցի պայծառության, ցայտունության, ձայնի բարձրության կարգավորիչների դիրքերի դեպքում՝ սույն կետի «ա», «բ», «դ»-«զ» ենթակետերին համապատասխան.
է) սպառվող միջին հզորությունը պետք է չափվի 10 րոպեի ընթացքում,
այն բանից հետո, երբ հեռուստացույցն առնվազն 1 ժամ գտնվել է սպասման ռեժիմում, իսկ հետո՝ առնվազն 1 ժամ՝ աշխատանքի ռեժիմում։ Չափումները պետք է անցկացվեն նախքան հեռուստացույցի՝ աշխատանքի ռեժիմում առավելագույնը 3 ժամ գտնվելու պահը։ Հեռուստացույցի՝ աշխատանքի ռեժիմում գտնվելու ժամանակ էկրանին պետք է արտացոլվի տրվող հեռուստատեսային ազդանշանը։ Այն հեռուստացույցների համար, որոնց կայունացման ժամանակը 1 ժամից պակաս է, սպառվող հզորության չափման տևողությունը կարող է կրճատվել, եթե չափումների արդյունքների ստացված արժեքները նշված մեթոդիկայի համաձայն ստացված չափումների արդյունքների արժեքներից 2 %-ից ավելի չեն տարբերվի առանց պայծառության ավտոմատ կարգավորման գործառույթն ակտիվացնելու (դրա առկայության դեպքում)։ Եթե նման գործառույթ նախատեսված է և այն չի կարող անջատվել, չափումներն անցկացվում են լույսի միացված արտաքին աղբյուրի առկայությամբ, որն անմիջապես արտաքին լուսավորվածության տվիչի վրա ստեղծում է առնվազն 300 լք լուսավորվածության մակարդակ։ Սպառվող հզորության միջին արժեքը չպետք է գերազանցի սույն պահանջների 5-րդ կետով սահմանված արժեքները՝ հաշվի առնելով թույլատրելի շեղումը։
11. Առավելագույն պայծառության չափումը պետք է իրականացվի հետևյալ պայմանների պահպանմամբ.
ա) «Օգտագործող» ռեժիմում առավելագույն պայծառության արժեքը որոշելու համար հեռուստացույցի մուտքի վրա տրվում է «սպիտակ դաշտ» տեսաազդանշանը։ Հեռուստացույցի ցայտունության և պայծառության կարգավորիչները սահմանվում են առավելագույն դիրքի վրա։ Պայծառաչափով չափվում է պայծառությունը՝ հեռուստացույցի էկրանի կենտրոնում։ Այս կերպ չափված արժեքն էլ կլինի հեռուստացույցի առավելագույն պայծառությունը.
բ) պատկերման ռեժիմների նախադրված համալարումներով ընտրացանկ ունեցող հեռուստացույցների համար պետք է ընտրվի այնպիսի ռեժիմ, որի դեպքում հեռուստացույցի էկրանի կենտրոնում պայծառությունը կկազմի առավելագույն պայծառության առնվազն 65 %-ը։ Այդ ռեժիմը պետք է սահմանվի սպառվող հզորությունը չափելիս.
գ) պատկերման ռեժիմների նախադրված համալարումներով ընտրացանկ չունեցող հեռուստացույցների համար դրանց էկրանների կենտրոնում պայծառության և ցայտունության կարգավորիչներով սահմանվում է պայծառություն՝ առավելագույն պայծառության առնվազն 65 %-ը։
12. Հեռուստացույցների էներգետիկ արդյունավետության ցուցիչը (EEI) հաշվարկվում է հետևյալ բանաձևով.
որտեղ.
Pref(A) = Pbasic + A х 4,3224 Վտ/դմ2,
PBasic = 20 Վտ մեկ թյուներով (ընդունիչով) և առանց կոշտ սկավառակի հեռուստացույցների համար,
Pbasic = 24 Վտ կոշտ սկավառակով (ներով) հեռուստացույցների համար,
Pbasic = 24 Վտ երկու կամ մի քանի թյուներներով (ընդունիչներով) հեռուստացույցների համար,
Pbasic = 28 Վտ կոշտ սկավառակով (ներով) և երկու կամ ավելի թյուներներով (ընդունիչներով) հեռուստացույցների համար․
Pbasic = 15 Վտ հեռուստատեսային մոնիտորների համար,
Р – աշխատանքի ռեժիմում հեռուստացույցի սպառվող հզորությունը Վտ-ով (մինչև 1 տասնորդական նիշ կլորացմամբ),
А = էկրանի տեսանելի տիրույթը, դմ2։
13. Աշխատանքի ռեժիմում էներգիայի տարեկան սպառումը (Е), կՎտգժ, հաշվարկվում է որպես E = 1,46 х P։
14. Պայծառության ավտոմատ կարգավորմամբ հեռուստացույցներ։
Սույն պահանջների 12-րդ և 13-րդ կետերում նշված՝ աշխատանքի ռեժիմում էներգետիկ արդյունավետության ցուցիչը և էներգիայի տարեկան սպառումը հաշվարկելու նպատակով սույն պահանջների 17-րդ կետում շարադրված ընթացակարգին համապատասխան սահմանված՝ աշխատանքի ռեժիմում էներգասպառումը նվազեցվում է 5 %-ով, եթե հեռուստացույցը շուկա ներմուծելիս կատարվում են հետևյալ պայմանները.
- տնային ռեժիմում կամ աշխատանքի ռեժիմի պայմաններում արտադրողի կողմից սահմանված՝ հեռուստացույցի պայծառությունը ավտոմատ նվազում է լուսավորության շրջապատող ինտենսիվության մեջ առնվազն 20 լք և 0 լք-ով,
- պայծառության ավտոմատ կարգավորումը ակտիվանում է տնային պայմաններում կամ հեռուստացույցի՝ արտադրողի կողմից սահմանված աշխատանքի ռեժիմում։
15. Հեռուստացույցներին կցվող՝ «Էներգասպառող սարքվածքների էներգետիկ արդյունավետությանը ներկայացվող պահանջների մասին» Եվրասիական տնտեսական միության տեխնիկական կանոնակարգի (ԵԱՏՄ ՏԿ048/2019) (այսուհետ՝ տեխնիկական կանոնակարգ) 13-րդ կետով նախատեսված շահագործման փաստաթղթերը նույնպես պետք է պարունակեն դրանց բնութագրերի և պարամետրերի մասին տեղեկություններ.
ա) աշխատանքի ռեժիմում սպառվող հզորության արժեքը՝ (Վտ-ով), (մինչև 1 տասնորդական նիշ 100 Վտ-ը չգերազանցող հզորության համար կամ մինչև ամբողջ թիվ՝ (100 Վտ-ը գերազանցող հզորության համար կլորացմամբ).
բ) սպասման ռեժիմում և անջատման ռեժիմում սպառվող հզորության արժեքը՝
(Վտ-ով), (մինչև 2 տասնորդական նիշ կլորացմամբ):
16. Տեխնիկական կանոնակարգի 28-րդ կետի «ա» ենթակետում կամ 29-րդ կետի «ա» ենթակետում հայտատուի կողմից ընտրված համապատասխանության հայտարարագրման սխեմային համապատասխան նշված հեռուստացույցների փաստաթղթերի լրակազմ փաթեթում հեռուստացույցների համար լրացուցիչ պետք է ներառվի հետևյալ տեղեկատվությունը.
ա) փորձարկումների (չափումների) ժամանակ վերահսկվող հետևյալ պարամետրերի մասին.
շրջակա միջավայրի ջերմաստիճանը (՛C-ով),
փորձարկման լարումը (Վ-ով) և հաճախությունը (Հց-ով),
լարման կորի սինուսոիդության աղավաղման գործակիցը,
փորձարկման ձայնա- և տեսաազդանշանների աղբյուրների միացման պայմանները,
փորձարկումների (չափումների) ժամանակ օգտագործվող սարքավորումների մասին տեղեկատվությունը (փաստաթղթերը), փորձարկումների (չափումների) կատարման մասին և չափումների կատարման ժամանակ միացումների սխեմայի մասին տեղեկությունները.
բ) սպասման ռեժիմում և անջատման ռեժիմում պարամետրերի մասին տեղեկությունները.
սպասման ռեժիմում սպառվող հզորության արժեքը և սպառվող հզորությունը անջատման ռեժիմում (Վտ-ով) (մինչև 2 տասնորդական նիշ կլորացմամբ),
հեռուստացույցի աշխատանքի ռեժիմի ընտրության կամ ծրագրավորման եղանակի նկարագրությունը,
այն ռեժիմի ապահովման համար գործողությունների հաջորդականությունը, որի դեպքում հեռուստացույցն ավտոմատ փոփոխում է աշխատանքի ռեժիմը։
գ) աշխատանքի ռեժիմում հեռուստացույցի հետևյալ պարամետրերի մասին՝
սպառվող հզորության արժեքը (Վտ-ով) (100 Վտ-ից ոչ ավելի սպառվող հզորության համար մինչև 1 տասնորդական նիշ կամ 100 Վտ-ից ավելի սպառվող հզորության համար մինչև ամբողջ թիվ կլորացմամբ),
հեռարձակող հեռուստատեսության դինամիկական հեռուստատեսային ազդանշանի բնութագրերը,
սպառվող հզորության նկատմամբ կայուն վիճակի ապահովման համար գործողությունների հաջորդականությունը,
պատկերի ռեժիմների նախադրված սարքաբերումներով ընտրացանկ ունեցող հեռուստացույցների համար՝ տնային ռեժիմում էկրանի պայծառության հարաբերությունը դրա առավելագույն պայծառության նկատմամբ (%-ով),
հեռուստատեսային մոնիտորների համար՝ փորձարկումների (չափումների) կատարման ժամանակ օգտագործվող թյուների համապատասխան բնութագրերի նկարագրությունը.
դ) սպասման ռեժիմում և անջատման ռեժիմում հեռուստացույցի հետևյալ պարամետրերի մասին՝
չափման կիրառվող մեթոդը,
աշխատանքի ռեժիմի տևողությունը օգտագործողի վերջին գործողությունից հետո՝ մինչ հեռուստացույցն ավտոմատ անցնում է սպասման ռեժիմի կամ անջատման ռեժիմի կամ էլ մեկ այլ ռեժիմի, որի ժամանակ սպառվող հզորության սահմանային արժեքը չի գերազանցվում:
IV. Հեռուստացույցների էներգետիկ արդյունավետության պարամետրերի թույլատրելի շեղումները՝ դրանք շրջանառության մեջ դրվելուց հետո փորձարկումների (չափումների) կատարման ժամանակ
17. Միության մաքսային տարածքում հեռուստացույցները շրջանառության մեջ դրվելուց հետո դրանց փորձարկումներ (չափումներ) անցկացնելիս, անցկացվում են հեռուստացույցի յուրաքանչյուր մոդելի մեկ նմուշի փորձարկումներ (չափումներ):
Հեռուստացույցի նմուշը համարվում է սույն պահանջներին համապատասխանող հետևյալ արդյունքներն ստանալու դեպքում՝
աշխատանքի ռեժիմում հեռուստացույցի սպառվող հզորությունը չպետք է ավելի քան 7 %-ով գերազանցի սույն պահանջների 1-ին աղյուսակում նշված արժեքը.
սպասման ռեժիմում և անջատման ռեժիմում հեռուստացույցի սպառվող հզորությունը չպետք է ավելի քան 0,10 Վտ-ով գերազանցի սույն պահանջների համապատասխանաբար 2-րդ և 3-րդ աղյուսակներում նշված արժեքները.
պայծառությունը չպետք է լինի հեռուստացույցի առավելագույն պայծառության 60 %-ից պակաս:
Եթե ստացված արժեքները չեն համապատասխանում նշված արժեքներին, ապա փորձարկումները (չափումները) հարկավոր է կատարել հեռուստացույցի 3 լրացուցիչ նմուշների նկատմամբ։
Հեռուստացույցի մոդելը համարվում է սույն պահանջների պահանջներին համապատասխանող, եթե հեռուստացույցի այդ մոդելի 3 լրացուցիչ նմուշների համար պարամետրերի միջին արժեքները համապատասխանում են սույն պահանջներին:
Այլ դեպքերում հեռուստացույցի տվյալ մոդելը հարկավոր է դիտարկել որպես տեխնիկական կանոնակարգի պահանջներին չհամապատասխանող։
V. Հեռուստացույցների էներգետիկ արդյունավետության պիտակի և տեխնիկական թերթիկի բովանդակությունը
18. Հեռուստացույցների էներգետիկ արդյունավետության պիտակը պետք է պարունակի հետևյալ տեղեկությունները.
I. արտադրողի անվանումը կամ ապրանքային նշանը (առկայության դեպքում),
II. մոդելի նշագիրը,
III. էներգետիկ արդյունավետության դասը։ Էներգետիկ արդյունավետության պատկերագիրը տեղադրված է նույն մակարդակի վրա, ինչ էներգետիկ արդյունավետության համապատասխան դասի սլաքը.
IV. աշխատանքի ռեժիմում հեռուստացույցի սպառվող հզորությունը, Վտ, կլորացվում է մինչև ամբողջ թիվը.
V. աշխատանքի ռեժիմում էներգիայի տարեկան սպառումը, կՎտգժ/տարի` կլորացված մինչև ամբողջ թիվը.
VI. էկրանի տեսանելի անկյունագիծը` դյույմերով և սանտիմետրերով.
VII. պատկերագիրը արտապատկերվում է սպասման ռեժիմի փոխարկվող տեսանելի փոխարկիչով հեռուստացույցների համար։
19. Հեռուստացույցների շահագործման փաստաթղթերի կազմում ներառված տեխնիկական թերթիկը պետք է պարունակի հետևյալ տեղեկությունները`
ա) արտադրողի անվանումը կամ ապրանքային նշանը (առկայության դեպքում),
բ) արտադրողի մոդելի նույնականացման համարը, որտեղ մոդելի նույնականացման համարը ծածկագիր է, որպես կանոն՝ տառաթվանշանային, որը հեռուստացույցի որոշակի մոդելը տարբերակում է միևնույն ապրանքանիշի կամ նույն անվանմամբ արտադրողի այլ մոդելներից.
գ) էներգետիկ արդյունավետության դասը.
դ) էկրանի տեսանելի անկյունագիծը՝ դյույմերով և սանտիմետրերով.
ե) աշխատանքի ռեժիմում հեռուստացույցի սպառվող հզորությունը, Վտ, կլորացվում է մինչև ամբողջ թիվը.
զ) աշխատանքի ռեժիմում էներգիայի տարեկան սպառումը, կՎտգժ/տարի, կլորացված է մինչև ամբողջ թիվը.
է) սպասման ռեժիմը և անջատված վիճակում էներգասպառման ռեժիմը կամ և մեկը, և մյուսը.
ը) էկրանի լուծաչափը՝ փիքսելների ֆիզիկական հորիզոնական և ուղղահայաց թվի հաշվարկով։
20. Հեռուստացույցի մեկ տեխնիկական թերթիկում կարող են պատկերվել միևնույն արտադրողի կողմից մատակարարվող մի շարք հեռուստատեսային մոդելներ։
21. Հեռուստացույցների տեխնիկական թերթիկում պարունակվող տեղեկատվությունը կարող է տրամադրվել պիտակի գունավոր կամ սև ու սպիտակ կրկնօրինակի տեսքով։ Այդպիսի իրավիճակում նույնպես պետք է ներկայացվի 19-րդ կետում նշված և պիտակի վրա չարտացոլված տեղեկատվությունը։
VI. Հեռուստացույցների էներգետիկ արդյունավետության դասերի որոշումը
22. Հեռուստացույցների էներգետիկ արդյունավետության դասը որոշվում է 4-րդ աղյուսակին համապատասխան դրանց էներգիայի տարեկան սպառման հիման վրա։
Աղյուսակ 4
Հեռուստացույցների էներգետիկ արդյունավետության դասերը
Էներգետիկ արդյունավետության դասը |
Էներգետիկ արդյունավետության ցուցիչը (EEI) |
A +++ |
EEI <0,10 |
A ++ |
0,10 ≤ EEI < 0,16 |
A + |
0,16 ≤ EEI < 0,23 |
A |
0,23 ≤ EEI < 0,30 |
В |
0,30 ≤ EEI < 0,42 |
С |
0,42 ≤ EEI < 0,60 |
D |
0,60 ≤ EEI < 0,80 |
E |
0,80 ≤ EEI < 0,90 |
F |
0,90 ≤ EEI < 1,00 |
G |
1,00≤EEI |
ՀԱՎԵԼՎԱԾ ԹԻՎ 5 «Էներգասպառող սարքվածքների էներգետիկ արդյունավետությանը ներկայացվող պահանջների մասին» Եվրասիական տնտեսական միության տեխնիկական կանոնակարգի (ԵԱՏՄ ՏԿ 048/2019) |
ՊԱՀԱՆՋՆԵՐ
սպասման և անջատման ռեժիմում կենցաղային և գրասենյակային էլեկտրական սարքավորումների էներգետիկ արդյունավետությանը ներկայացվող
I. Կիրառության ոլորտը
1. Սույն պահանջները տարածվում են հատուկ պատրաստվածություն չունեցող օգտագործողների կողմից կենցաղում կամ գրասենյակում (այդ թվում` սենքերից դուրս) օգտագործման համար նախատեսված՝ անմիջապես մինչև 250 Վ (ներառյալ) անվանական լարման էլեկտրական ցանցից աշխատող՝ Եվրասիական տնտեսական միության (այսուհետ՝ Միություն) մաքսային տարածքում շրջանառության մեջ դրվող հետևյալ սարքավորումների (այսուհետ՝ սարքավորում) վրա՝
ա) լվացքի մեքենաներ, թմբուկային տեսակի չորացնող մեքենաներ և այլ սարքավորումներ՝ սպիտակեղեն, հագուստ և կոշկեղեն մշակելու (լվանալու, արդուկելու, չորացնելու, մաքրելու) համար.
բ) սպասք լվացող մեքենաներ.
գ) էլեկտրական վառարաններ, էլեկտրական սալիկներ.
դ) միկրոալիքային վառարաններ.
ե) տոստերներ, ճարպաջեռոցներ, էլեկտրադանակներ, սրճաղացներ, սրճեփ մեքենաներ և այլ սարքեր՝ սննդի պատրաստման և մշակման համար.
զ) մազերը կտրելու համար սարքեր, ֆեներ, ածելիներ, ատամի խոզանակներ, մերսման սարքավորումներ և այլ սարքավորումներ՝ մաշկի խնամքի համար.
է) սարքավորումներ՝ անոթներ ու փաթեթվածքներ փակելու և բացելու համար.
ը) կշեռքներ.
թ) կապի վերջնակետային սարքավորումներ.
ժ) տպիչներ.
ժա) տեսածրիչներ.
ժբ) ցուցասարքեր.
ժգ) փոփոխական հոսանքի ցանցից սնուցվող՝ ակտիվ ակուստիկ համակարգեր.
ժդ) մուլտիմեդիային պրոյեկտորներ.
ժե) ռադիոընդունիչներ.
ժզ) տեսամագնիտոֆոններ.
ժէ) տեսախցիկներ.
ժը) ձայնագրող ապարատուրա.
ժթ) ձայնային ուժեղարարներ.
ի) տնային կինոթատրոններ.
իա) էլեկտրաերաժշտական գործիքներ.
իբ) պատկերի և ձայնի գրառման ու վերարտադրության համար նախատեսված այլ սարքավորումներ՝ ներառյալ հեռահաղորդակցման կապուղուց բացի այլ եղանակներով՝ ազդանշանների միջոցով կամ այլ եղանակով պատկերի և ձայնի փոխանցման համար նախատեսված սարքավորումը (բացառությամբ հեռուստացույցների).
իգ) խաղալիքներ, ժամանցի անցկացման և սպորտով զբաղվելու համար նախատեսված սարքավորումներ՝ ներառյալ էլեկտրական մանրաչափ երկաթուղիները և ավտոդրոմները, տեսախաղերի համար ձեռքի բարձակները, սպորտային սարքավորումները՝ էլեկտրական և էլեկտրոնային բաղադրիչներով, այլ խաղալիքներ և մարզասարքեր:
II. Հիմնական հասկացությունները
2. Սույն պահանջների կիրառման նպատակներով օգտագործվում են հետևյալ հասկացությունները, որոնք ունեն հետևյալ իմաստը՝
աշխատանքի ռեժիմ՝ սարքավորումների այն վիճակը, որի ժամանակ այն միացված է սնուցման աղբյուրին և նշանակությանը համապատասխան կատարում է իր գլխավոր գործառույթներից առնվազն մեկը.
անջատման ռեժիմ՝ սարքավորումների այն վիճակը, որի ժամանակ այն միացված է սնուցման աղբյուրին, չի գտնվում աշխատանքի ռեժիմում կամ սպասման ռեժիմում և կարող է կատարել միայն էլեկտրամագնիսական համատեղելիությանը և (կամ) անջատման ռեժիմի ցուցանշմանը ներկայացվող պահանջների կատարումն ապահովող գործառույթը.
սպասման ռեժիմ՝ սարքավորումների այն վիճակը, որի ժամանակ սարքավորումները միացված են սնուցման աղբյուրին և միաժամանակ անսահմանափակ ժամանակով իրականացնում են վերաակտիվացման գործառույթը (այդ թվում՝ վերաակտիվացման ունակության (պատրաստության) ցուցանշմամբ) և (կամ) տեղեկացման կամ վիճակի արտացոլման գործառույթը.
տեղեկացման կամ վիճակի արտացոլման գործառույթ՝ այն գործառույթը, որն ապահովում է տեղեկատվության տրամադրումը կամ ցուցասարքի վրա սարքավորման վիճակի արտացոլումը, այդ թվում նաև՝ ժամանակի ցուցանշումը.
վերաակտիվացման գործառույթ՝ այն գործառույթը, որը հեռահար կառավարման սարքվածքների, ներքին տվիչների կամ թայմերների միջոցով ապահովում է սպասման ռեժիմից աշխատանքի ռեժիմի անցնելու ունակությունը, որի ժամանակ տեղի է ունենում սարքավորումների հիմնական և (կամ) լրացուցիչ գործառույթների կատարման ակտիվացում։
III. Սպասման և անջատման ռեժիմում սարքավորումների էներգետիկ արդյունավետությանը ներկայացվող պահանջները և էներգետիկ արդյունավետության ցուցանիշների որոշման առանձնահատկությունները
3. Սարքավորումները պետք է ունենան էլեկտրասնուցման ռեժիմի կառավարման՝ հետևյալ առնվազն մեկ տեսակի սարքվածքներ (սարքվածք)՝
ա) ավտոմատ կառավարող սարքվածք, որը կարճ ժամանակում փոխարկում է ցանցին միացված, սակայն հիմնական աշխատանքային գործառույթներ չկատարող և այլ սարքավորումների հետ կապ չունեցող սարքավորումները սպասման ռեժիմի կամ անջատման ռեժիմի, եթե տվյալ գործառույթը չի խոչընդոտում ըստ նշանակության կիրառումը.
բ) մեխանիկական կառավարող սարքվածք, որը տեղակայված է ցանցին միացված և աշխատանքի դիրքում դրված սարքավորման առջևի վահանակի վրա կամ այդ սարքավորումների վրա այլ տեսանելի և հեշտ հասանելի մեկ այլ տեղում, որը սարքավորումները ձեռքի ռեժիմում փոխարկում է սպասման ռեժիմի կամ անջատման ռեժիմի:
4. Սարքավորումները պետք է ունենան անջատման ռեժիմ և (կամ) սպասման ռեժիմ (բացառությամբ այն դեպքերի, երբ դա նպատակահարմար է սարքավորումների նշանակության տեսանկյունից):
Սպասման ռեժիմում սարքավորումների սպառվող հզորությունը չպետք է գերազանցի 1-ին աղյուսակում նշված արժեքները։
Աղյուսակ 1
Սպասման ռեժիմում սարքավորումների սպառվող հզորությունը
Էլեկտրասնուցման ռեժիմի կառավարման սարքվածքի տեսակը |
Կատարվող գործառույթները |
Սպառվող հզորությունը, (Վտ), ոչ ավելի քան |
2021 թվականի սեպտեմբերի 1-ից | ||
Ավտոմատ կառավարող սարքվածք |
վերաակտիվացման գործառույթ (այդ թվում՝ վերաակտիվացման ունակության (պատրաստության) ցուցանշմամբ) |
0,50 |
տեղեկացման կամ վիճակի արտացոլման գործառույթ (անկախ վերաակտիվացման գործառույթի առկայությունից կամ բացակայությունից) |
1,00 | |
Մեխանիկական կառավարող սարքվածք |
վերաակտիվացման գործառույթ |
0,10 |
վերաակտիվացման ունակության (պատրաստության) ցուցանշմամբ վերաակտիվացման գործառույթ |
0,30 |
5. Անջատման ռեժիմում սարքավորումների սպառվող հզորությունը չպետք է գերազանցի 2-րդ աղյուսակում նշված արժեքները։
Աղյուսակ 2
Անջատման ռեժիմում սարքավորումների սպառվող հզորությունը
Էլեկտրասնուցման ռեժիմի կառավարման սարքվածքի տեսակը |
Սպառվող հզորությունը (Վտ), ոչ ավելի քան |
2021 թվականի սեպտեմբերի 1-ից | |
Մեխանիկական կառավարող սարքվածք |
0,30 |
Ավտոմատ կառավարող սարքվածք |
1,00 |
2022 թվականի սեպտեմբերի 1-ից | |
Ավտոմատ կառավարող սարքվածք |
0,50 |
6. Սարքավորումներին կից ներկայացվող՝ «Էներգասպառող սարքվածքների էներգետիկ արդյունավետությանը ներկայացվող պահանջների մասին» Միության տեխնիկական կանոնակարգի (ԵԱՏՄ ՏԿ 048/2019) (այսուհետ՝ տեխնիկական կանոնակարգ) 13-րդ կետով նախատեսված շահագործման փաստաթղթերը պետք է պարունակեն սպասման և անջատման ռեժիմում դրանց բնութագրերի ու պարամետրերի մասին տեղեկությունները՝
ա) սպառվող հզորությունը (Վտ-ով) մինչև 1 տասնորդական նիշ կլորացմամբ.
բ) ժամանակը, որի ընթացքում սարքավորումներն ավտոմատ փոխարկվում են սպասման և (կամ) անջատման ռեժիմի:
7. Տեխնիկական կանոնակարգի 28-րդ կետի «ա» ենթակետում կամ 29-րդ կետի «ա» ենթակետում հայտատուի կողմից ընտրված համապատասխանության հայտարարագրման սխեման հաշվի առնելով՝ նշված սարքավորումների փաստաթղթերի լրակազմ փաթեթում սարքավորումների համար լրացուցիչ պետք է ներառվի հետևյալ տեղեկատվությունը՝
ա) փորձարկումների (չափումների) ժամանակ հետևյալ վերահսկվող պարամետրերի մասին՝
շրջակա միջավայրի ջերմաստիճանը (՛C-ով).
փորձարկման լարումը (Վ-ով) և հաճախությունը (Հց-ով).
էլեկտրասնուցման համակարգում ներդաշնակ աղավաղումների գումարային գործակիցը.
փորձարկումների (չափումների) ժամանակ օգտագործվող սարքավորումների մասին տեղեկատվության (փաստաթղթերի) առկայությունը, փորձարկումների (չափումների) կատարման և միացումների սխեմայի մասին տեղեկությունները.
բ) սպասման ռեժիմում և անջատման ռեժիմում սարքավորումների հետևյալ պարամետրերի մասին՝
չափման կիրառվող մեթոդը.
սարքերի բնութագրերը, որոնց միջոցով նմուշը ստուգվում է սույն պահանջների 4-րդ և (կամ) 5-րդ կետերի դրույթներին համապատասխանության մասով, և ժամանակը, որի ընթացքում նմուշն ավտոմատ փոխարկվում է սպասման ռեժիմի, անջատման ռեժիմի կամ այլ ռեժիմի, որի ժամանակ չի գերազանցվում սպառվող հզորության սահմանային արժեքը.
սպառվող հզորությունը (Վտ-ով)՝ մինչև 2 տասնորդական նիշ կլորացմամբ.
սարքավորումների աշխատանքի ռեժիմի ընտրության կամ ծրագրավորման եղանակի նկարագրությունը.
այն ռեժիմի ապահովման համար գործողությունների հաջորդականությունը, որի դեպքում սարքավորումներն ավտոմատ փոփոխում են աշխատանքի ռեժիմը.
սարքավորումների աշխատանքի մասին տեղեկությունները:
IV. Սարքավորումների էներգետիկ արդյունավետության պարամետրերի թույլատրելի շեղումները՝ դրանք շրջանառության մեջ դրվելուց հետո փորձարկումների (չափումների) կատարման ժամանակ
8. Միության մաքսային տարածքում շրջանառության մեջ դրվելուց հետո սարքավորումների փորձարկումներ (չափումներ) անցկացնելիս, անցկացվում են սարքավորումների յուրաքանչյուր մոդելի մեկ նմուշի փորձարկումներ (չափումներ)՝ սույն պահանջների 4-րդ և 5-րդ կետերի դրույթներին դրա համապատասխանության մասով:
Սարքավորումների նմուշը համարվում է սույն պահանջներին համապատասխանող, եթե ստացված արժեքները չեն գերազանցում սահմանային արժեքներն ավելի քան 10 %-ով կամ 0,10 Վտ-ով՝ սպառվող հզորության վերահսկման համար, որի մեծությունը համապատասխանաբար գերազանցում է կամ չի գերազանցում 1,00 Վտ-ը:
Եթե ստացված արժեքները չեն համապատասխանում նշված արժեքներին, ապա փորձարկումները (չափումները) հարկավոր է կատարել սարքավորումների յուրաքանչյուր մոդելի 3 լրացուցիչ նմուշի նկատմամբ։
Սարքավորումների մոդելը համարվում է սույն պահանջներին համապատասխանող, եթե այդ մոդելի 3 նմուշի համար պարամետրերի միջին արժեքները համապատասխանում են սույն կետի երկրորդ պարբերությունում նշված պահանջներին:
Այլ դեպքերում սարքավորումների տվյալ մոդելը հարկավոր է դիտարկել որպես տեխնիկական կանոնակարգի պահանջներին չհամապատասխանող։
ՀԱՎԵԼՎԱԾ ԹԻՎ 6 «Էներգասպառող սարքվածքների էներգետիկ արդյունավետությանը ներկայացվող պահանջների մասին» Եվրասիական տնտեսական միության տեխնիկական կանոնակարգի (ԵԱՏՄ ՏԿ 048/2019) |
ՊԱՀԱՆՋՆԵՐ
կենցաղային ավտոմատ լվացքի մեքենաների էներգետիկ արդյունավետությանը ներկայացվող
I. Կիրառության ոլորտը
1. Սույն պահանջները տարածվում են Եվրասիական տնտեսական միության մաքսային տարածքում (այսուհետ՝ Միություն) շրջանառության մեջ դրվող կենցաղային ավտոմատ լվացքի մեքենաների վրա (այսուհետ՝ լվացքի մեքենաներ), որոնք կարող են կիրառվել նաև կոմերցիոն նպատակներով (արտադրությունում, առևտրի մեջ և ծառայությունների ոլորտում), մինչև 250 Վ (ներառյալ) անվանական լարմամբ փոփոխական հոսանքի ցանցից սնվող լվացքի մեքենաների վրա, որոնք ցանցից սնուցումից զատ, կարող են աշխատել էլեկտրական մարտկոցների (կուտակիչների) միջոցով, ինչպես նաև ներկառուցվող լվացքի մեքենաների վրա՝ բացառությամբ համակցված լվացող-չորացնող մեքենաների:
II. Հիմնական հասկացությունները
2. Սույն պահանջների կիրառման նպատակով օգտագործվում են հետևյալ հասկացությունները, որոնք ունեն հետևյալ իմաստը՝
ավտոմատ լվացքի մեքենա՝ լվացքի մեքենա, որում տեքստիլ արտադրատեսակներ լվանալիս բոլոր գործողությունները և դրանց կառավարումն ամբողջությամբ կատարում է մեքենան՝ օգտագործողի միջամտությունը մինչ ծրագրի ավարտը դրա որևէ փուլում չի պահանջվում.
կենցաղային լվացքի մեքենա՝ ջրի օգտագործմամբ տեքստիլ արտադրատեսակներ լվանալու և պարզաջրելու համար նախատեսված ավտոմատ լվացքի մեքենա, որն իր մեջ ներառում է նաև քամելու գործառույթ և հիմնականում նախատեսված է ոչ պրոֆեսիոնալ օգտագործման համար․
ծրագրի կատարման ժամանակը՝ ծրագրի գործարկման սկզբից (օգտագործողի կողմից տրվող կասեցումից բացի) մինչ դրա ավարտն ընկած ժամանակը.
ներկառուցվող լվացքի մեքենա՝ կենցաղային ավտոմատ լվացքի մեքենա, որը նախատեսված է տեղակայելու համար պատի մեջ կամ այլ նման վայրում նախապատրաստված խորացման մեջ, պահարանում կամ այլ կահույքի մեջ.
համակցված լվացող-չորացնող մեքենա՝ կենցաղային լվացքի մեքենա, որը ներառում է ջերմամշակման և թմբուկի պտտման միջոցով տեքստիլ արտադրատեսակները քամելու և չորացնելու գործառույթ.
անվանական տարողություն՝ արտադրողի կողմից սահմանված՝ չոր տեքստիլ արտադրատեսակների առավելագույն զանգվածը կիլոգրամներով, որը կարող է մշակվել ըստ ընտրված ծրագրի.
ծրագիր՝ գործողությունների շարք, որոնք նախապես որոշված են լվացքի մեքենայում և կիրառվում են որոշակի տեսակի տեքստիլ արտադրատեսակներ լվանալու համար.
ռեժիմ «անջատված էե՝ վիճակ, երբ լվացքի մեքենան անջատվում է օգտագործողի կողմից ցուցասարքի վրա կառավարման միջոցների կամ անջատիչի օգնությամբ էներգիայի նվազագույն սպառման ռեժիմ ապահովելու համար, որը կարող է պահպանվել անսահմանափակ ժամանակով սնուցման հիմնական աղբյուրին միացնելիս և օգտագործվում է շահագործման հրահանգին համապատասխան: Օգտագործողի համար մատչելի կառավարման միջոցների բացակայությունը նշանակում է մի վիճակ, որի ժամանակ լվացքի մեքենան ինքնուրույն անցնում է էներգասպառման դրված ռեժիմի.
ռեժիմ «թողնված է միացվածե՝ էներգիայի նվազագույն սպառման ռեժիմ, որը տևում է անսահմանափակ ժամանակ՝ օգտագործողի կողմից սահմանված ծրագրի ավարտից հետո առանց օգտագործողի լրացուցիչ միջամտության.
մնացորդային խոնավության պարունակություն՝ մնացորդային խոնավության քանակը որոշող ցուցանիշ, որը պարունակվում է բազային բեռնվածքում քամելու գործառույթի ավարտից հետո.
ցիկլ՝ լվացքի մեքենայի աշխատանքի ամբողջական գործընթաց՝ ընտրված ծրագրին համապատասխան, որը բաղկացած է մի շարք տարբեր գործողություններից (լվացք, պարզաջրում, քամում և այլն).
մասնակի բեռնվածք՝ տրված ծրագրի համար լվացքի մեքենայի անվանական տարողության կեսը.
համարժեք լվացքի մեքենա՝ լվանալու և քամելու ժամանակ այնպիսի ցուցանիշներով (անվանական տարողություն, տեխնիկական և շահագործման բնութագրեր, էլեկտրաէներգիայի սպառում, ջրի ծախս, ձայնային աղմուկի արժեք) լվացքի մեքենայի մոդել, որոնք նույնանման են այլ առևտրային նշանով շրջանառության մեջ դրված՝ նույն արտադրողի լվացքի մեքենայի այլ մոդելի ցուցանիշներին:
III. Լվացքի մեքենաների էներգետիկ արդյունավետությանը ներկայացվող պահանջները և էներգետիկ արդյունավետության ցուցանիշների որոշման առանձնահատկությունները
3. Լվացքի մեքենայի մասով պետք է անցկացվեն համապատասխան փորձարկումներ (չափումներ) և որոշվեն հետևյալ ցուցանիշները.
էներգետիկ արդյունավետության ցուցիչը (EEI).
լվացքի արդյունավետության ցուցիչը (Iw).
ջրի ծախսը (Wt).
մնացորդային խոնավության պարունակությունը (D):
Անհրաժեշտ փորձարկումներով (չափումներով) հաշվարկները կատարվում են սույն պահանջների 5-7-րդ կետերին համապատասխան:
Լվացքի մեքենաների՝ էլեկտրաէներգիայի սպառումը հաշվարկելու և այլ բնութագրեր որոշելու համար անհրաժեշտ է կատարել չափումներ ամբողջական ցիկլերի համար, որոնց ընթացքում իրականացվում է ստանդարտ աղտոտման բամբակ» տեքստիլ արտադրատեսակների մշակում՝ լվացքի 60 ՛C և 40 ՛C անվանական ջերմաստիճանում (այսուհետ, համապատասխանաբար՝ «Բամբակ 60 ՛C» լվացքի ստանդարտ ծրագիր և «Բամբակ 40 ՛C» լվացքի ստանդարտ ծրագիր): Այդ ստանդարտ ծրագրերը պետք է նշված լինեն ծրագրի ընտրության սարքվածքի վրա և (կամ) լվացքի մեքենայի ցուցասարքի (առկայության դեպքում) վրա՝ որպես «Բամբակ 60 ՛C» լվացքի ստանդարտ ծրագիր և «Բամբակ 40 ՛C» լվացքի ստանդարտ ծրագիր:
«Բամբակ 60 ՛C» լվացքի ստանդարտ ծրագիրը և «Բամբակ 40 ՛C» լվացքի ստանդարտ ծրագիրը կարող են նաև նշված լինել սլաքներով ծրագրի ընտրության սարքվածքի կամ ցուցասարքի վրա.
«Բամբակ 60 ՛C» ծրագրի համար.
«Բամբակ 40 ՛C» ծրագրի համար.
կենցաղային լվացքի մեքենայում, որտեղ ծրագրերի ընտրությունը ջերմաստիճանի ընտրությունից առանձին է «Բամբակ» ստանդարտ ծրագրի համար.
4. Էներգետիկ արդյունավետության ցուցիչը հաշվարկվում է հետևյալ բանաձևով (մինչև 1 տասնորդական նիշ կլորացմամբ)՝
որտեղ՝
AEC-ն՝ լվացքի մեքենայի էլեկտրական էներգիայի տարեկան սպառումն է.
SAEC-ն՝ լվացքի մեքենայի՝ էլեկտրական էներգիայի տարեկան ստանդարտ սպառումն է.
SAEC-ն հաշվարկվում է (կՎտգժ/տարի-ով) հետևյալ բանաձևով (մինչև 2 տասնորդական նիշ կլորացմամբ)՝
SAEC = 47,0գх c + 51,7,
որտեղ с-ն՝ (կգ-ով) լրիվ բեռնվածքի դեպքում «Բամբակ 60 ՛C» լվացքի ստանդարտ ծրագրի համար կամ լրիվ բեռնվածքի դեպքում «Բամբակ 40 ՛C» լվացքի ստանդարտ ծրագրի համար անվանական տարողությունն է, որի դեպքում որոշիչ է համարվում երկու արժեքներից նվազագույնը:
Լվացքի մեքենայի էլեկտրական էներգիայի տարեկան սպառումը (AEC) կՎտգժ/տարի-ով հաշվարկվում է հետևյալ բանաձևով (մինչև 2 տասնորդական նիշ կլորացմամբ)՝
որտեղ՝
Et-ն՝ միջին էներգասպառումն է՝ կՎտգժ-ով (մինչև 3 տասնորդական նիշ կլորացմամբ).
P0-ն՝ «անջատված է» ռեժիմում միջին սպառվող հզորությունն է՝ Վտ-ով (մինչև 2 տասնորդական նիշ կլորացմամբ).
P1-ն՝ «թողնված է միացված» ռեժիմում միջին սպառվող հզորությունն է՝ Վտ-ով (մինչև 2 տասնորդական նիշ կլորացմամբ).
Tt-ն՝ ծրագրի միջին տևողությունն է՝ րոպեներով (մինչև ամբողջ արժեք կլորացմամբ).
220-ը՝ լվացքի ստանդարտ ցիկլերի տարեկան պայմանական սպասվող քանակն է:
Եթե լվացքի մեքենան համալրված է այնպիսի կառավարման համակարգով, որը ծրագիրն ավարտվելուն պես ավտոմատ փոխարկում է լվացքի մեքենան «անջատված է» ռեժիմի, ապա AEC-ն հաշվարկվում է՝ հաշվի առնելով «թողնված է միացված» ռեժիմի տևողությունը, հետևյալ բանաձևով՝
որտեղ T l-ն՝ «թողնված է միացված» ռեժիմում լվացքի մեքենայի գտնվելու ժամանակն է՝ րոպեներով (մինչև ամբողջ արժեք կլորացմամբ):
Լվացքի մեկ ցիկլում միջին էներգասպառումը (Et) (կՎտ∙ժ-ով) հաշվարկվում է հետևյալ բանաձևով (մինչև 3 տասնորդական նիշ կլորացմամբ)՝
որտեղ՝
Et60-ն՝ լրիվ բեռնվածքի դեպքում «Բամբակ 60 ՛C» լվացքի ստանդարտ ծրագրի համար էներգասպառումն է՝ (կՎտ-ով) (մինչև 3 տասնորդական նիշ կլորացմամբ).
Et,60 ½-ն՝ մասնակի բեռնվածքի դեպքում «Բամբակ 60 ՛C» լվացքի ստանդարտ ծրագրի համար էներգասպառումն է (կՎտ-ով) (մինչև 3 տասնորդական նիշ կլորացմամբ).
Et,40 ½-ն՝ մասնակի բեռնվածքի դեպքում «Բամբակ 40 ՛C» լվացքի ստանդարտ ծրագրի համար էներգասպառումն է՝ (կՎտ-ով) (մինչև 3 տասնորդական նիշ կլորացմամբ):
«Անջատված է» ռեժիմում միջին սպառվող հզորությունը (Ро) Վտ-ով հաշվարկվում է հետևյալ բանաձևով (մինչև 2 տասնորդական նիշ կլորացմամբ)՝
որտեղ՝
P0,60-ն՝ լրիվ բեռնվածքի դեպքում «Բամբակ 60 ՛C» լվացքի ստանդարտ ծրագրի համար «անջատված է» ռեժիմում սպառվող հզորությունն է (Վտ-ով) (մինչև 2 տասնորդական նիշ կլորացմամբ).
P0,60 ½-ն՝ մասնակի բեռնվածքի դեպքում «Բամբակ 60 ՛C» լվացքի ստանդարտ ծրագրի համար «անջատված է» ռեժիմում սպառվող հզորությունն է՝ (Վտ-ով) (մինչև 2 տասնորդական նիշ կլորացմամբ).
P0,40 ½-ն՝ մասնակի բեռնվածքի դեպքում «Բամբակ 40 ՛C» լվացքի ստանդարտ ծրագրի համար «անջատված է» ռեժիմում սպառվող հզորությունն է (Վտ-ով) (մինչև 2 տասնորդական նիշ կլորացմամբ):
«Թողնված է միացված» ռեժիմում միջին սպառվող հզորությունը (P1) (Վտ-ով) հաշվարկվում է հետևյալ բանաձևով (մինչև 2 տասնորդական նիշ կլորացմամբ)՝
որտեղ՝
P1,60-ն՝ լրիվ բեռնվածքի դեպքում «Բամբակ 60 ՛C» լվացքի ստանդարտ ծրագրի համար «թողնված է միացված» ռեժիմում սպառվող հզորությունն է (Վտ-ով).
P1,60 ½-ն՝ մասնակի բեռնվածքի դեպքում «Բամբակ 60 ՛C» լվացքի ստանդարտ ծրագրի համար «թողնված է միացված» ռեժիմում սպառվող հզորությունն է (Վտ-ով).
P1,40 ½-ն՝ մասնակի բեռնվածքի դեպքում «Բամբակ 40 ՛C» լվացքի ստանդարտ ծրագրի համար «թողնված է միացված» ռեժիմում սպառվող հզորությունն է (Վտ-ով):
Ծրագրի կատարման միջին տևողությունը (Tt) րոպեներով հաշվարկվում է հետևյալ բանաձևով (մինչև ամբողջ արժեք կլորացմամբ)՝
որտեղ՝
Tt,60-ն՝ լրիվ բեռնվածքի դեպքում «Բամբակ 60 ՛C» լվացքի ստանդարտ ծրագրի կատարման ժամանակն է՝ րոպեներով.
Tt,60 ½-ն՝ մասնակի բեռնվածքի դեպքում «Բամբակ 60 ՛C» լվացքի ստանդարտ ծրագրի կատարման ժամանակն է (րոպեներով).
Tt,40 ½-ն՝ մասնակի բեռնվածքի դեպքում «Բամբակ 40 ՛C» լվացքի ստանդարտ ծրագրի կատարման ժամանակն է (րոպեներով):
«Թողնված է միացված» ռեժիմում լվացքի մեքենայի գտնվելու ժամանակը (T1) րոպեներով հաշվարկվում է հետևյալ բանաձևով (մինչև ամբողջ արժեք կլորացմամբ)՝
որտեղ՝
T1,60-ն՝ անվանական բեռնվածքի դեպքում «Բամբակ 60 ՛C» լվացքի ստանդարտ ծրագրի համար «թողնված է միացված» ռեժիմում ժամանակն է (րոպեներով).
T1,60 ½-ն՝ մասնակի բեռնվածքի դեպքում «Բամբակ 60 ՛C» լվացքի ստանդարտ ծրագրի համար «թողնված է միացված» ռեժիմում ժամանակն է (րոպեներով).
T1,40 ½-ն՝ մասնակի բեռնվածքի դեպքում «Բամբակ 40 ՛C» լվացքի ստանդարտ ծրագրի համար «թողնված է միացված» ռեժիմում ժամանակն է (րոպեներով):
5. Լվացքի արդյունավետության ցուցիչը (Iw) հաշվարկելու համար փորձարկվող լվացքի մեքենայի լվացքի արդյունավետությունը համեմատում են լրիվ և մասնակի բեռնվածքի դեպքում «Բամբակ 60 ՛C» լվացքի ստանդարտ ծրագրով աշխատանքի և մասնակի բեռնվածքի դեպքում «Բամբակ 40 ՛C» լվացքի ստանդարտ ծրագրով աշխատանքի ժամանակ չափանմուշային լվացքի մեքենայի լվացքի արդյունավետության հետ:
Լվացքի արդյունավետության ցուցիչը (Iw) հաշվարկվում է հետևյալ բանաձևով (մինչև 3 տասնորդական նիշ կլորացմամբ)՝
որտեղ՝
Iw,60-ն՝ լրիվ բեռնվածքի դեպքում «Բամբակ 60 ՛C» լվացքի ստանդարտ ծրագրի համար լվացքի արդյունավետության ցուցիչն է.
Iw,60 ½-ն՝ մասնակի բեռնվածքի դեպքում «Բամբակ 60 ՛C» լվացքի ստանդարտ ծրագրի համար լվացքի արդյունավետության ցուցիչն է.
Iw,40 ½-ն՝ մասնակի բեռնվածքի դեպքում «Բամբակ 40 ՛C» լվացքի ստանդարտ ծրագրի համար լվացքի արդյունավետության ցուցիչն է:
«Բամբակ» տեքստիլ արտադրատեսակների լվացքի յուրաքանչյուր ստանդարտ ծրագրի համար լվացքի արդյունավետության ցուցիչը (Iw,p) հաշվարկվում է հետևյալ բանաձևով՝
որտեղ՝
WT,i-ն՝ մեկ ցիկլի (i ցիկլի) ընթացքում լվացքի մեքենայի փորձարկման ժամանակ լվացքի արդյունավետությունն է (մինչև 3 տասնորդական նիշ կլորացմամբ).
WR,a-ն՝ չափանմուշային լվացքի մեքենայի լվացքի միջին արդյունավետությունն է.
n-ը՝ փորձարկումների ցիկլերի քանակն է, որը պետք է լինի՝
առնվազն 3՝ լրիվ բեռնվածքի դեպքում «Բամբակ 60 ՛C» լվացքի ստանդարտ ծրագրի համար.
առնվազն 2՝ մասնակի բեռնվածքի դեպքում «Բամբակ 60 ՛C» լվացքի ստանդարտ ծրագրի համար.
առնվազն 2՝ մասնակի բեռնվածքի դեպքում «Բամբակ 40 ՛C» լվացքի ստանդարտ ծրագրի համար:
Լվացքի արդյունավետությունը (W) փորձարկումների համապատասխան ցիկլի ավարտից հետո թեստային շերտով որոշվող միջին մեծությունն է:
6. Ջրի տարեկան ծախսը (AWС) հաշվարկվում է հետևյալ բանաձևով (մինչև ամբողջ թիվ կլորացմամբ)՝
AWc = Wt x 220,
Որտեղ՝
Wt-ն՝ ջրի միջին սպառումն է.
220-ը՝ տարեկան լվացքի ստանդարտ ցիկլերի ընդհանուր քանակը։
Ջրի միջին ծախսը (Wt) հաշվարկվում է (լիտրերով) (մինչև ամբողջ թիվ կլորացմամբ) հետևյալ բանաձևով.
Wt=(3 x Wt,60 + 2x Wt,60½ + 2 x Wt,40 ½)/7,
որտեղ՝
Wt,60-ը՝ լրիվ բեռնվածքի դեպքում «Բամբակ 60 ՛С» լվացքի ստանդարտ ծրագրի համար ջրի ծախսն է.
wt,601/2-ը՝ մասնակի բեռնվածքի դեպքում «Բամբակ 40 ՛С» լվացքի ստանդարտ ծրագրի համար ջրի ծախսն է.
Wt,401/2-ը՝ մասնակի բեռնվածքի դեպքում «Բամբակ 40 ՛С» լվացքի ստանդարտ ծրագրի համար ջրի ծախսն է։
7. Մնացորդային խոնավության (D) պարունակությունը յուրաքանչյուր ծրագրի համար հաշվարկվում է (%-ով) (մինչև ամբողջ արժեք կլորացմամբ) հետևյալ բանաձևով.
D=(3 x D60 + 2 x D60 ½ + 2 x D40 ½)/7
որտեղ՝
D60-ը՝ լրիվ բեռնվածքի դեպքում «Բամբակ 60 ՛С» լվացքի ստանդարտ ծրագրի համար մնացորդային խոնավության պարունակությունն է.
D60 ½-ը՝ մասնակի բեռնվածքի դեպքում «Բամբակ 60 ՛С» լվացքի ստանդարտ ծրագրի համար մնացորդային խոնավության պարունակությունն է.
D40 1/2 -ը՝ մասնակի բեռնվածքի դեպքում «Բամբակ 40 ՛С» լվացքի ստանդարտ ծրագրի համար մնացորդային խոնավության պարունակությունն է։
8. Լվացքի մեքենաները 2021 թվականի սեպտեմբերի 1-ից պետք է համապատասխանեն հետևյալ պահանջներին՝
4 կգ և ավելի անվանական տարողությամբ լվացքի մեքենաների էներգետիկ արդյունավետության ցուցիչը (EEI) պետք է լինի 59-ից պակաս, իսկ 4 կգ-ից պակաս անվանական տարողությամբ լվացքի մեքենաներինը՝ 68-ից պակաս.
3 կգ-ից ավելի անվանական տարողությամբ լվացքի մեքենաների լվացքի արդյունավետության ցուցիչը (Iw) պետք է լինի 1,03-ից ավելի, իսկ 3 կգ-ից ոչ ավելի անվանական տարողությամբ լվացքի մեքենաներինը՝ 1,00-ից ավելի.
լվացքի մեքենաներում պետք է նախատեսվի ծրագրի ընտրության համար սարքվածքի վրա և (կամ) լվացքի մեքենայի ցուցասարքի (առկայության դեպքում) վրա համապատասխան ծրագրի նշմամբ 20 ՛C ջերմաստիճանում լվացքի հնարավորություն.
լվացքի մեքենայի ջրի ծախսը (Wt)՝ լիտրերով պետք է համապատասխանի հետևյալ անհավասարությանը՝
Wt ≤ 5 x C1/2 + 35,
որտեղ C1/2-ն՝ լվացքի ստանդարտ ծրագրի մասնակի բեռնվածքի դեպքում «Բամբակ 60 ՛C» և մասնակի բեռնվածքի դեպքում «Բամբակ 40 ՛С» լվացքի ստանդարտ ծրագրի համար լվացքի մեքենայի անվանական տարողության մեծություններից նվազագույնն է:
Ջրի ծախսը (Wt) ընդունվում է հավասար լրիվ բեռնվածքի դեպքում «Բամբակ 60 ՛С» ստանդարտ ծրագրով լվացքի դեպքում ջրի ծախսին (Wt,60) և հաշվարկվում է հետևյալ բանաձևով (մինչև 1 տասնորդական նիշ կլորացմամբ). Wt=Wt,60։
9. Լվացքի մեքենաներին կից ներկայացվող՝ «Էներգասպառող սարքվածքների էներգետիկ արդյունավետությանը ներկայացվող պահանջների մասին» Եվրասիական տնտեսական միության տեխնիկական կանոնակարգի (ԵԱՏՄ ՏԿ 048/2019) (այսուհետ՝ տեխնիկական կանոնակարգ) 13-րդ կետով նախատեսված շահագործման փաստաթղթերը պետք է պարունակեն հետևյալ տեղեկությունները՝
ա) «Բամբակ 60 ՛C» լվացքի ստանդարտ ծրագիր և «Բամբակ 60 ՛C» լվացքի ստանդարտ ծրագիր կոչվող՝ 60 ՛C և 40 ՛C ջերմաստիճաններում բամբակե արտադրատեսակների լվացքի համար ստանդարտ ծրագրերի մասին տեղեկությունները (պետք է նշվի այն, որ դրանք պիտանի են սովորական աղտոտման բամբակե արտադրատեսակների լվացքի համար, բամբակե գործվածքներ լվանալու համար՝ էլեկտրաէներգիայի սպառման և ջրի ծախսի տեսանկյունից առավել արդյունավետ ծրագրեր են, ինչպես նաև պետք է նշված լինի այն, որ ջրի փաստացի ջերմաստիճանը կարող է տարբերվել տվյալ ցիկլի համար հայտարարված ջերմաստիճանից).
բ) «անջատված է» ռեժիմում և «թողնված է միացված» ռեժիմում էլեկտրաէներգիայի սպառման մեծության մասին տեղեկատվությունը.
գ) լրիվ կամ մասնակի բեռնվածքի դեպքում կամ բեռնվածքի երկու ծավալների համար լվացքի հիմնական ծրագրերի օգտագործման ժամանակ՝ լվացքի մեքենայի աշխատանքի ցիկլի տևողության, մնացորդային խոնավության, էներգիայի սպառման և ջրի ծախսի մասին տեղեկատվությունը.
դ) առաջարկություններ տարբեր ջերմաստիճաններում լվացքի համար լվացող միջոցի տեսակն ընտրելու վերաբերյալ:
IV. Լվացքի մեքենաների էներգետիկ արդյունավետության պարամետրերի թույլատրելի շեղումները՝ դրանք շրջանառության մեջ դրվելուց հետո փորձարկումների (չափումների) կատարման ժամանակ
10. Լվացքի մեքենաները Միության մաքսային տարածքում շրջանառության մեջ դրվելուց հետո դրանց փորձարկումները (չափումները) անցկացնելու դեպքում, անցկացվում են լվացքի մեքենայի յուրաքանչյուր մոդելի մեկ տիպային օրինակի փորձարկումներ (չափումներ)։
Լվացքի մեքենայի մոդելը համարվում է սույն պահանջներին համապատասխանող, եթե փորձարկումների (չափումների) արդյունքում ստացված՝ լվացքի մեքենայի պարամետրերի և բնութագրերի արժեքները համապատասխանում են սույն պահանջների III բաժնին և արտադրողի հայտարարված անվանական արժեքներին՝ 1-ին աղյուսակում նշված թույլատրելի շեղումների սահմաններում:
Աղյուսակ 1
Թույլատրելի շեղումները
Չափվող պարամետրը |
Թույլատրելի շեղումները |
Էլեկտրաէներգիայի տարեկան սպառումը |
Չափված արժեքը չպետք է գերազանցի AEC-ի անվանական արժեքն ավելի քան 10 %-ով |
Լվացքի արդյունավետության ցուցիչը |
Չափված արժեքը չպետք է պակաս լինի Iw-ի անվանական արժեքից ավելի քան 4 %-ով |
Էլեկտրաէներգիայի սպառումը |
Չափված արժեքը չպետք է գերազանցի Et-ի անվանական արժեքն ավելի քան 10 %-ով |
Ծրագրի աշխատանքի ժամանակը |
Չափված արժեքը չպետք է գերազանցի Tt-ի սահմանված արժեքն ավելի քան 10 %-ով |
Ջրի ծախսը |
Չափված արժեքը չպետք է գերազանցի Wt-ի անվանական արժեքն ավելի քան 10 %-ով |
«Անջատված է» ռեժիմում և «թողնված է միացված» ռեժիմում էլեկտրաէներգիայի սպառումը |
Եթե Р0 և Pi արժեքները գերազանցում են 1,00 Վտ-ն, ապա դրանք չպետք է գերազանցեն անվանական արժեքն ավելի քան 10 %-ով: Եթե Р0 և Pi արժեքները չեն գերազանցում 1,00 Վտ-ն, ապա դրանք չպետք է գերազանցեն սահմանված արժեքն ավելի քան 0,10 Վտ-ով |
«Թողնված է միացված» ռեժիմում մնալու տևողությունը |
Չափված արժեքը չպետք է գերազանցի Tl-ի անվանական արժեքն ավելի քան 10 %-ով |
(*) Անվանական արժեք ասելով հասկանում ենք արտադրողի կողմից հայտարարված արժեքը:
Այլ դեպքերում փորձարկումները (չափումները) պետք է կատարվեն լվացքի մեքենայի յուրաքանչյուր մոդելի 3 լրացուցիչ օրինակների վրա: Լվացքի մեքենայի մոդելը համարվում է սույն պահանջներին համապատասխանող, եթե լվացքի մեքենաների այդ 3 լրացուցիչ օրինակների չափումների արդյունքների միջին արժեքները համապատասխանում են սույն պահանջների III բաժնում նշված պահանջներին և հայտարարված անվանական արժեքներին՝ 1-ին աղյուսակում նշված թույլատրելի շեղումների սահմաններում, բացառությամբ էլեկտրաէներգիայի սպառման արժեքի (Et), որի մեծությունը չպետք է գերազանցի արտադրողի հայտարարված արժեքն ավելի քան 6 %-ով:
Այլ դեպքերում լվացքի մեքենայի տվյալ մոդելը և բոլոր մյուս համարժեք լվացքի մեքենաները հարկավոր է դիտարկել որպես տեխնիկական կանոնակարգի պահանջներին չհամապատասխանող։
V. Լվացքի մեքենայի պիտակի և տեխնիկական թերթիկի բովանդակությունը
11. Լվացքի մեքենայի պիտակը պետք է պարունակի հետևյալ տեղեկությունները՝
I. արտադրողի անվանումը կամ ապրանքային նշանը (առկայության դեպքում),
II. մոդելի նշագիրը,
III. էներգետիկ արդյունավետության դասը։ Էներգետիկ արդյունավետության պատկերագիրը և էներգետիկ արդյունավետության համապատասխան դասի սլաքը պետք է տեղակայված լինեն նույն մակարդակի վրա,
IV. էլեկտրաէներգիայի տարեկան սպառումը (АЕС) (կՎտգժ/տարի) (մինչև մոտակա ամբողջ թիվը կլորացմամբ),
V. ջրի տարեկան ծախսը (AWC) (լ/տարի-ով) (մինչև մոտակա ամբողջ թիվը կլորացմամբ),
VI. անվանական տարողությունը (կգ-ով) լրիվ բեռնվածքի դեպքում «Բամբակ 60 ՛C» լվացքի ստանդարտ ծրագրի համար կամ լրիվ բեռնվածքի դեպքում «Բամբակ 40 ՛C» լվացքի ստանդարտ ծրագրի համար,
VII. քամելու արդյունավետության դասը,
VIII. «Բամբակ 60՛C» ստանդարտ ծրագրի համար ձայնային հզորության ճշգրտված մակարդակը համապատասխան պատկերագրերով լվացքի և քամելու ռեժիմների համար (դԲ (Ա)-ով՝ 1 պՎտ-ի հաշվով) (մինչև մոտակա ամբողջ թիվը կլորացմամբ)։
12. Լվացքի մեքենաների շահագործման փաստաթղթերի կազմի մեջ ներառված տեխնիկական թերթիկը պետք է պարունակի հետևյալ տեղեկությունները՝
ա) արտադրողի անվանումը կամ առևտրային նշանը (առկայության դեպքում),
բ) լվացքի մեքենայի մոդելի նույնականացման համարը (որպես կանոն՝ տառաթվանշանային ծածկագիր, որով լվացքի մեքենայի որոշակի մոդելը տարբերակվում է միևնույն ապրանքանիշի կամ միևնույն անվանմամբ արտադրողի այլ մոդելներից),
գ) լրիվ բեռնվածքի դեպքում «Բամբակ 60 ՛С» ստանդարտ ծրագրի համար կամ լրիվ բեռնվածքի դեպքում «Բամբակ 40 ՛С» ստանդարտ ծրագրի համար անվանական տարողությունը (կգ-ով) (որոշիչը երկու արժեքներից նվազագույնն է),
դ) էներգետիկ արդյունավետության դասը,
ե) էլեկտրաէներգիայի տարեկան սպառումը (АЕС) (կՎտգժ/տարի-ով)։ Նշվում է հետևյալ կերպ. «X» էներգասպառում, կՎտգժ/տարի, հաշվարկված է լրիվ կամ մասնակի բեռնվածքի դեպքում «Բամբակ 60 ՛С» և «Բամբակ 40 ՛С» ծրագրերի 220 ստանդարտ ցիկլերի համար, «անջատված է» և «թողնված է միացված» ռեժիմների համար։ Էլեկտրաէներգիայի փաստացի սպառումը կախված է լվացքի մեքենայի աշխատանքի ինտենսիվությունից և ռեժիմներիցե, որտեղ X-ը էլեկտրաէներգիայի տարեկան սպառման արժեքն է (մինչև ամբողջ թիվը կլորացմամբ).
զ) Еt,60, Еt,60 1/2 Еt,40 1/2 էլեկտրաէներգիայի սպառումը լրիվ և մասնակի բեռնվածքի դեպքում «Բամբակ 60 ՛С» ստանդարտ ծրագրի համար, ինչպես նաև մասնակի բեռնվածքի դեպքում «Բամբակ 40 ՛С» ստանդարտ ծրագրի համար (կՎտգժ-ով).
է) սպառվող հզորությունը «անջատված է» ռեժիմում Р0 (Վտ-ով) և «թողնված է միացված» ռեժիմում Р1 (Վտ-ով).
ը) ջրի տարեկան ծախսը (AWc) (լ/տարի-ով)։ Նշվում է հետևյալ կերպ. «Ջրի ծախսը՝ «Xե, լ/տարի, հաշվարկված է լրիվ և մասնակի բեռնվածքի դեպքում «Բամբակ 60 ՛Сե, «Բամբակ 40 ՛С» ծրագրերի լվացքի 220 ստանդարտ աշխատանքային ցիկլերի համար։ Ջրի փաստացի ծախսը կախված է շահագործման պայմաններիցե, որտեղ X-ը ջրի տարեկան ծախսի արժեքն է (մինչև ամբողջ թիվը կլորացմամբ).
թ) քամելու արդյունավետության դասը։ Նշվում է հետևյալ կերպ. «X» դասի քամելու արդյունավետությունը՝ ըստ G-ից (նվազագույն արդյունավետություն) մինչև А (առավելագույն արդյունավետություն) սանդղակիե։ Եթե տեխնիկական թերթիկում տեղեկատվությունը ներկայացված է աղյուսակի տեսքով, ապա թույլատրվում է քամելու արդյունավետության դասի մասին գրառման այլ ձևով կատարումը՝ նշելով դասի՝ G-ից (նվազագույն արդյունավետություն) մինչև А (առավելագույն արդյունավետություն) աստիճանները.
ժ) լվացքի մեքենայի՝ լրիվ բեռնվածքի դեպքում «Բամբակ 60 ՛С» լվացքի ստանդարտ ծրագրով և մասնակի բեռնվածքի դեպքում «Բամբակ 40 ՛С» լվացքի ստանդարտ ծրագրով աշխատանքի ժամանակ թմբուկի պտտման առավելագույն հաճախականությունը, որտեղ որոշիչը երկու արժեքներից նվազագույնն է, ինչպես նաև լվացքի մեքենայի՝ լրիվ բեռնվածքի դեպքում «Բամբակ 60 ՛С» լվացքի ստանդարտ ծրագրով և մասնակի բեռնվածքի դեպքում «Բամբակ 40 ՛С» լվացքի ստանդարտ ծրագրով աշխատանքի ժամանակ մնացորդային խոնավության պարունակությունը, որտեղ որոշիչը առավելագույն արժեքն է.
ժա) նշում այն մասին, որ «Բամբակ 60 ՛Сե, «Բամբակ 40 ՛С» լվացքի ստանդարտ ծրագրերը, որոնց վերաբերում է պիտակի վրա և տեխնիկական թերթիկում նշված տեղեկատվությունը, նախատեսված են ստանդարտ ձևով աղտոտված բամբակե սպիտակեղենի համար և առավել արդյունավետն են միաժամանակ էներգասպառման և ջրի ծախսի առումով.
ժբ) լրիվ և մասնակի բեռնվածքի դեպքում «Բամբակ 60՛С» և մասնակի բեռնվածքի դեպքում «Բամբակ 40 ՛С» լվացքի ստանդարտ ծրագրերի կատարման ժամանակի միջին արժեքը (րոպեներով) (մինչև ամբողջ թիվը կլորացմամբ).
ժգ) «թողնված է միացված» ռեժիմի տևողությունը TL, եթե կենցաղային լվացքի մեքենան համալրված է րոպեներով հզորության կարգավորման համակարգով.
ժդ) ձայնային հզորության ճշգրտված մակարդակը՝ «Բամբակ 60 ՛C» ստանդարտ ծրագրի համար լվացքի և քամելու ռեժիմների համար համապատասխան պատկերագրերով (դբ (Ա)-ով՝ 1 պՎտ-ի հաշվով) (մինչև ամբողջ թիվը կլորացմամբ).
ժե) անհրաժեշտության դեպքում նշում այն մասին, որ կենցաղային լվացքի մեքենան ներկառուցվող է։
13. Լվացքի մեքենայի մեկ տեխնիկական թերթիկում կարող է արտացոլվել միևնույն արտադրողի կողմից մատակարարվող մի շարք լվացքի մեքենաների մասին տեղեկատվություն։
14. Լվացքի մեքենայի տեխնիկական թերթիկում պարունակվող տեղեկատվությունը կարող է տրամադրվել պիտակի գունավոր կամ սև ու սպիտակ պատճենի տեսքով։ Այդ դեպքում նաև պետք է ներկայացվի 12-րդ կետում նշված, սակայն պիտակի վրա չնշված տեղեկատվությունը։
VI. Լվացքի մեքենաների էներգետիկ արդյունավետության դասերի և քամելու արդյունավետության որոշումը
15. Լվացքի մեքենայի էներգետիկ արդյունավետության դասը որոշվում է 2-րդ աղյուսակի համաձայն դրա էներգետիկ արդյունավետության ցուցիչին (ЕЕI) համապատասխան։
Աղյուսակ 2
Լվացքի մեքենայի էներգետիկ արդյունավետության դասը
Էներգետիկ արդյունավետության դաս |
Էներգետիկ արդյունավետության ցուցիչ |
A +++ (առավել արդունավետը) |
ЕЕI ≤ 46 |
A ++ |
46 ≤ ЕЕI < 52 |
A + |
52 ≤ ЕЕI < 59 |
A |
59 ≤ ЕЕI <68 |
В |
68 ≤ ЕЕI <77 |
С |
77 ≤ ЕЕI <87 |
D (նվազագույն արդյունավետ) |
ЕЕI ≥87 |
16. Լվացքի մեքենայի քամելու արդյունավետության դասը որոշվում է 3-րդ աղյուսակի համաձայն մնացորդային խոնավության (D) պարունակությանը համապատասխան։
Աղյուսակ 3
Լվացքի մեքենայի քամելու արդյունավետության դասերը
Քամելու արդյունավետության դասը |
Մնացորդային խոնավության պարունակությունը (D) |
А (առավել արդյունավետը) |
D < 45 |
В |
45 ≤ D < 54 |
С |
54 ≤ D < 63 |
D |
63 ≤ D < 72 |
Е |
72 ≤ D < 81 |
F |
81 ≤ D < 90 |
G (նվազագույն արդյունավետ) |
D ≥ 90 |
ՀԱՎԵԼՎԱԾ ԹԻՎ 7 «Էներգասպառող սարքվածքների էներգետիկ արդյունավետությանը ներկայացվող պահանջների մասին» Եվրասիական տնտեսական միության տեխնիկական կանոնակարգի (ԵԱՏՄ ՏԿ 048/2019) |
ՊԱՀԱՆՋՆԵՐ
կենցաղային՝ սպասք լվացող մեքենաների էներգետիկ արդյունավետությանը ներկայացվող
I. Կիրառության ոլորտը
1. Սույն պահանջները տարածվում են մինչև 230 Վ անվանական լարմամբ փոփոխական հոսանքի ցանցից սնվող՝ Եվրասիական տնտեսական միության (այսուհետ՝ Միություն) մաքսային տարածքում շրջանառության մեջ դրվող կենցաղային՝ սպասք լվացող մեքենաների վրա (այսուհետ՝ սպասք լվացող մեքենաներ), այդ թվում՝
ա) ոչ կենցաղային նպատակով կիրառվող.
բ) նաև էլեկտրական մարտկոցներից (կուտակիչներից) աշխատելու հատկություն ունեցող.
գ) ներկառուցվող:
II. Հիմնական հասկացությունները
2. Սույն պահանջները կիրառելու նպատակներով օգտագործվում են հասկացություններ, որոնք ունեն հետևյալ իմաստը՝
ներկառուցվող՝ սպասք լվացող մեքենա՝ սպասք լվացող մեքենա, որը նախատեսված է կահույքի մեջ, որմերի, պանելների, ցուցապահարանների, դարակաշարերի հատուկ պատրաստված անցքերում, խորացումներում, խորշերում, խցիկներում և այլ տեղերում զետեղելու համար.
սպասքի լրակազմ՝ մեկ անձի համար նախատեսվող սպասքի և ճաշասպասքի հավաքածու.
անվանական տարողություն՝ արտադրողի կողմից այն սպասքի լրակազմի առավելագույն սահմանված քանակը, որը կարող է մշակվել սպասք լվացող մեքենայում՝ ընտրված ծրագրին համապատասխան.
սպասք լվացող մեքենա՝ հիմնականում ոչ պրոֆեսիոնալ օգտագործման համար նախատեսված սպասք լվացող մեքենա, որը մեխանիկական, ջերմային, էլեկտրական և քիմիական ներգործության միջոցով իրականացնում է կերամիկական, ապակյա, մետաղական, պլաստմասսայե և այլ սպասքի, ճաշասպասքի ու խոհանոցային գույքի մաքրում, լվացում, պարզաջրում և չորացում.
ծրագիր՝ աղտոտման որոշակի աստիճանի և (կամ) տեսակի դեպքում սպասքի մշակման համար արտադրողի կողմից նախապես սահմանված և հայտարարված՝ միասին ամբողջական ցիկլ կազմող գործողությունների շարք.
ծրագրի տևողություն՝ ծրագրի գործարկումից մինչ դրա ավարտն ընկած ժամանակահատվածը՝ առանց հաշվի առնելու օգտագործողի կողմից տրվող (ծրագրավորվող) կասեցումները.
«անջատված է» ռեժիմ՝ սնուցման աղբյուրին միացված և շահագործման փաստաթղթերին համապատասխան օգտագործվող՝ սպասք լվացող մեքենայի վիճակ, որի ժամանակ այն անջատվում է օգտագործողին մատչելի կառավարման սարքվածքի կամ անջատիչի օգնությամբ՝ էներգիայի նվազագույն սպառման ռեժիմ ապահովելու նպատակով, որը կարող է շարունակվել անսահմանափակ ժամանակով, կամ էլ այնպիսի իրավիճակ, որի ժամանակ սպասք լվացող մեքենան անցնում է նվազագույն էներգասպառման ռեժիմի՝ օգտագործողի համար կառավարման միջոցների բացակայության դեպքում.
«թողնված է միացված» ռեժիմ՝ էլեկտրական էներգիայի նվազագույն սպառման ռեժիմ, որն առանց օգտագործողի լրացուցիչ միջամտության (բացառությամբ սպասք լվացող մեքենայի բեռնաթափման գործողությունների) կարող է շարունակվել ցիկլն ավարտվելուց հետո անսահմանափակ ժամանակվա ընթացքում.
ցիկլ՝ տարբեր գործողությունների շարքից (մաքրում, լվացում, պարզաջրում, չորացում և այլն) բաղկացած՝ ընտրված ծրագրին համապատասխան՝ սպասք լվացող մեքենայի աշխատանքի լրիվ գործընթացը.
համարժեք սպասք լվացող մեքենա՝ այնպիսի ցուցանիշներով (անվանական տարողություն, տեխնիկական և շահագործման բնութագրեր, էլեկտրական էներգիայի սպառում, ջրի ծախս, ձայնային հզորության շտկված մակարդակ) սպասք լվացող մեքենայի մոդել, որոնք համանման են այլ առևտրային նշանով (անվանումով) Միության մաքսային տարածքում շրջանառության մեջ դրված՝ նույն արտադրողի՝ սպասք լվացող մեքենայի այլ մոդելի ցուցանիշներին:
III. Սպասք լվացող մեքենաների էներգետիկ արդյունավետությանը ներկայացվող պահանջները և էներգետիկ արդյունավետության ցուցանիշների որոշման առանձնահատկությունները
3. Սպասք լվացող մեքենաների մասով պետք է կատարվեն համապատասխան փորձարկումներ (չափումներ) և որոշվեն հետևյալ պարամետրերը՝
էներգետիկ արդյունավետության ցուցիչը (EEI).
լվացման արդյունավետության ցուցիչը (IC).
չորացման արդյունավետության ցուցիչը (ID):
Անհրաժեշտ փորձարկումներով (չափումներով) համապատասխան հաշվարկները կատարվում են սույն պահանջների 4-6-րդ կետերին համապատասխան:
Սպասք լվացող մեքենաների՝ էլեկտրական էներգիայի սպառման հաշվարկի և այլ բնութագրերի որոշման համար հարկավոր է կատարել չափումներ լրիվ ցիկլի համար, որի ընթացքում իրականացվում է ստանդարտ աղտոտմամբ առավելագույն անվանական տարողության մշակում (այսուհետ՝ լվանալու ստանդարտ ծրագիր): Այդ ցիկլը պետք է ներդրվի սպասք լվացող մեքենայում և (կամ) սպասք լվացող մեքենայի ցուցասարքի վրա, եթե այդպիսին առկա է ստանդարտ ծրագրում: Սպասք լվացող այն մեքենաներում, որոնք ունեն ծրագրերի ավտոմատ ընտրություն կամ ավտոմատ ընտրության կամ ընտրված ծրագրի պահպանման գործառույթ, այդ ցիկլը պետք է ներդրվի որպես ստանդարտ օգտագործվող ծրագիր:
4. Էներգետիկ արդյունավետության ցուցիչը (EEI) հաշվարկվում է հետևյալ բանաձևով (մինչև 1 տասնորդական նիշ կլորացմամբ)՝
EEI = (AEC / SAEC) x 100,
որտեղ՝
AEC-ն՝ սպասք լվացող մեքենայի՝ էլեկտրական էներգիայի տարեկան սպառումն է.
SAEC-ն՝ սպասք լվացող մեքենայի՝ էլեկտրական էներգիայի տարեկան ստանդարտ սպառումն է:
AEC-ն հաշվարկվում է (կՎտգժ/տարի-ով) հետևյալ բանաձևով (մինչև 2 տասնորդական նիշ կլորացմամբ)՝
AEC = Et x 280 + {Р0 x [525600 - (Tt x 280)] /2 + P1 x [525600 - (Tt x 280)] /2} / (60 x 1000),
որտեղ՝
Et-ն՝ ստանդարտ ցիկլում էլեկտրական էներգիայի սպառումն է (կՎտգժ-ով) (մինչև 3 տասնորդական նիշ կլորացմամբ).
P0-ն՝ «անջատված է» ռեժիմում սպառվող հզորությունն է (Վտ-ով) (մինչև 2 տասնորդական նիշ կլորացմամբ).
P1-ն՝ «թողնված է միացված» ռեժիմում սպառվող հզորությունն է (Վտ-ով) (մինչև 2 տասնորդական նիշ կլորացմամբ).
Tt-ն՝ լվացման ստանդարտ ցիկլի ծրագրի աշխատանքի ժամանակն է (րոպեներով) (մինչև ամբողջ թիվ կլորացմամբ):
Եթե սպասք լվացող մեքենան համալրված է էներգասպառման կարգավորման համակարգով, որը ծրագիրն ավարտվելուն պես T1 ժամանակ անց սպասք լվացող մեքենան ավտոմատ փոխարկում է «անջատված է» ռեժիմի, ապա AEC-ն հաշվարկվում է (կՎտգժ/տարի-ով) հետևյալ բանաձևով (մինչև 2 տասնորդական նիշ կլորացմամբ)՝
AEC = Et x 280 + [P1 x T1 x 280 + P0 x (525600 - Tt x 280 - T1 x 280)]/(60 x 1000),
որտեղ՝
T1-ն՝ լվացման ստանդարտ ցիկլի համար միացված վիճակում («թողնված է միացված» ռեժիմում) ժամանակն է (րոպեներով) (մինչև մոտակա ամբողջ րոպե կլորացմամբ).
280-ը՝ 1 տարում լվացման ստանդարտ ցիկլերի ընդհանուր քանակն է:
Էլեկտրական էներգիայի ստանդարտ տարեկան սպառումը հաշվարկվում է (կՎտգժ/տարի-ով) (մինչև 2 տասնորդական նիշ կլորացմամբ) հետևյալ բանաձևով՝
սպասքի առնվազն 10 լրակազմ և 50 սմ-ից ոչ ավելի լայնությամբ՝ (ps) անվանական տարողությամբ՝ սպասք լվացող մեքենաների համար՝
SAEC = 7,0 ճ ps + 378,
սպասքի 9 լրակազմից ոչ ավելի և 50 սմ-ից ոչ ավելի լայնությամբ՝ (ps) անվանական տարողությամբ՝ սպասք լվացող մեքենաների համար՝
SAEC = 25,2 ճ ps + 126,
որտեղ՝
ps-ն՝ անվանական տարողությունն է:
5. Փորձարկվող՝ սպասք լվացող մեքենայի լվացման արդյունավետության ցուցիչը IC հաշվարկելու համար կատարվում է դրա լվացման արդյունավետության համեմատում չափանմուշային՝ սպասք լվացող մեքենայի լվացման արդյունավետության հետ:
Լվացման արդյունավետության ցուցիչը (IC) հաշվարկվում է հետևյալ բանաձևով (մինչև 2 տասնորդական նիշ կլորացմամբ)՝
որտեղ՝
CT,i-ն՝ 1 ցիկլի (i ցիկլի) ընթացքում փորձարկման ժամանակ թեստավորվող՝ սպասք լվացող մեքենայի լվացման արդյունավետությունն է.
CЭ,i-ն՝ 1 ցիկլի (i ցիկլի) ընթացքում փորձարկման ժամանակ չափանմուշային՝ սպասք լվացող մեքենայի լվացման արդյունավետությունն է.
n-ը՝ ցիկլերի քանակն է (պետք է լինի առնվազն 5):
Լվացման արդյունավետությունը (С) 1-ին աղյուսակի համաձայն՝ բալերով որոշվող լվացման ստանդարտ ցիկլն ավարտելուց հետո սպասք լվացող մեքենայում բեռնած սպասքի լրակազմի յուրաքանչյուր առարկայի աղտոտվածության աստիճանի միջին մեծությունն է:
Աղյուսակ 1
Աղտոտվածության աստիճանի գնահատումը
Աղտոտման կետերի քանակը (n) |
Աղտոտման ընդհանուր մակերեսը (AS) (մմ2) |
Աղտոտվածության աստիճանի գնահատումը |
n = 0 |
AS = 0 |
5 (առավելագույն արդյունավետությունը) |
0 < n ≤ 4 |
0 < AS ≤ 4 |
4 |
4 < n ≤ 10 |
0 < AS ≤ 4 |
3 |
10 < n |
4 < AS ≤ 50 |
2 |
չի դիտարկվում |
50 < AS ≤ 200 |
1 |
չի դիտարկվում |
200 < AS |
0 (նվազագույն արդյունավետությունը) |
6. Փորձարկվող՝ սպասք լվացող մեքենայի չորացման արդյունավետության ցուցիչը (ID) հաշվարկելու համար կատարվում է դրա չորացման արդյունավետության համեմատում չափանմուշային՝ սպասք լվացող մեքենայի չորացման արդյունավետության հետ:
ID-ն հաշվարկվում է հետևյալ բանաձևով (մինչև 2 տասնորդական նիշ կլորացմամբ)՝
որտեղ՝
DT,i-ն՝ 1 ցիկլի (i ցիկլի) ընթացքում փորձարկման ժամանակ թեստավորվող՝ սպասք լվացող մեքենայի չորացման արդյունավետությունն է.
DЭ,i-ն՝ 1 ցիկլի (i ցիկլի) ընթացքում փորձարկման ժամանակ չափանմուշային՝ սպասք լվացող մեքենայի չորացման արդյունավետությունն է.
n-ը՝ ցիկլերի քանակն է (պետք է լինի առնվազն 5):
Լվացման արդյունավետությունը (D) 2-րդ աղյուսակի համաձայն բալերով որոշվող լվացման ստանդարտ ցիկլն ավարտելուց հետո սպասք լվացող մեքենայում բեռնած յուրաքանչյուր ճաշասպասքի խոնավության առկայությունը բնութագրող միջին մեծությունն է:
Աղյուսակ 2
Խոնավության մակարդակի գնահատումը
Խոնավության (WT) և հոսակեղտերի (WS) կետերի քանակը |
Խոնավ հատվածների ընդհանուր մակերեսը (Aw) (մմ2) |
Խոնավության մակարդակի գնահատումը |
WT = 0 և WS = 0 |
չի դիտարկվում |
2 (առավելագույն արդյունավետությունը) |
1 < WT ≤ 2 կամ Ws = 1 |
Aw < 50 |
1 |
2 < WT և (կամ) WS = 2 կամ էլ WS = 1 և WT = 1 |
Aw > 50 |
0 (նվազագույն արդյունավետությունը) |
7. Ջրի տարեկան ծախսը (AWc) հաշվարկվում է (լ-ով) հետևյալ բանաձևով (մինչև ամբողջ թիվ կլորացմամբ)՝
AWc = Wt x 280,
որտեղ՝
Wt-ն ջրի սպառումն է լվացման ստանդարտ ցիկլի համար:
8. Սպասք լվացող մեքենաները պետք է համապատասխանեն հետևյալ պահանջներին՝
ա) սպասքի 11 և ավելի լրակազմ անվանական տարողությամբ՝ սպասք լվացող մեքենաների, ինչպես նաև սպասքի ոչ ավելի, քան 10 լրակազմ անվանական տարողությամբ և 45 սմ-ից ավելի լայնությամբ՝ սպասք լվացող մեքենաների EEI-ն պետք է լինի 63-ից պակաս.
բ) սպասքի 8 և 9 լրակազմ անվանական տարողությամբ՝ սպասք լվացող մեքենաների, ինչպես նաև սպասքի 10 լրակազմ անվանական տարողությամբ և 45 սմ-ից ոչ ավելի լայնությամբ՝ սպասք լվացող մեքենաների EEI-ն պետք է լինի 63-ից պակաս.
գ) Ic-ն պետք է լինի 1,12-ից ավելի.
դ) սպասքի 7 լրակազմից ավելի անվանական տարողությամբ՝ սպասք լվացող մեքենաների ID-ն պետք է լինի 1,08-ից ավելի.
ե) սպասքի 7 լրակազմից ոչ ավելի անվանական տարողությամբ՝ սպասք լվացող մեքենաների ID-ն պետք է լինի 0,86-ից ավելի:
9. «Էներգասպառող սարքվածքների էներգետիկ արդյունավետությանը ներկայացվող պահանջների մասին» Եվրասիական տնտեսական միության տեխնիկական կանոնակարգի (ԵԱՏՄ ՏԿ 048/2019) (այսուհետ՝ տեխնիկական կանոնակարգ) 13-րդ կետով նախատեսված շահագործման փաստաթղթերը պետք է պարունակեն սպասք լվացող մեքենաների բնութագրերի և պարամետրերի մասին հետևյալ տեղեկությունները՝
ա) լվացման ստանդարտ ծրագրի մասին տեղեկատվությունը (պետք է նշվի այն, որ սպասք լվացող մեքենան պիտանի է սովորական աղտոտման սպասք և ճաշասպասք լվանալու համար ու էլեկտրական էներգիայի սպառման և ջրի ծախսի տեսանկյունից առավել արդյունավետ ծրագիր է).
բ) սպառվող հզորությունը` միացված վիճակում («թողնված է միացված» ռեժիմում) և «անջատված է» ռեժիմում.
գ) լվացման հիմնական ծրագրի օգտագործման ժամանակ սպասք լվացող մեքենայի ցիկլի տևողության և ջրի ծախսի մասին տեղեկատվությունը:
IV. Սպասք լվացող մեքենաների էներգետիկ արդյունավետության պարամետրերի թույլատրելի շեղումները՝ դրանք շրջանառության մեջ դրվելուց հետո փորձարկումներ (չափումներ) կատարելիս
10. Սպասք լվացող մեքենաները Միության մաքսային տարածքում շրջանառության մեջ դրվելուց հետո դրանց փորձարկումները (չափումները) կատարելու դեպքում անցկացվում են սպասք լվացող մեքենայի յուրաքանչյուր մոդելի մեկ տիպային օրինակի փորձարկումներ (չափումներ)։
Սպասք լվացող մեքենայի մոդելը համարվում է սույն պահանջներին համապատասխանող, եթե սպասք լվացող մեքենայի պարամետրերի և բնութագրերի արժեքները համապատասխանում են սույն պահանջների III բաժնի պահանջներին և արտադրողի հայտարարված անվանական արժեքներին՝ 3-րդ աղյուսակում նշված թույլատրելի շեղումների սահմաններում:
Աղյուսակ 3
Թույլատրելի շեղումները
Չափվող պարամետրը |
Թույլատրելի շեղումները |
Էլեկտրական էներգիայի տարեկան սպառումը |
չափված արժեքը չպետք է գերազանցի AEC անվանական արժեքն ավելի քան 10 %-ով |
Լվացման արդյունավետության ցուցիչը |
չափված արժեքը չպետք է պակաս լինի IC անվանական արժեքից ավելի քան 10 %-ով |
Չորացման արդյունավետության ցուցիչը |
չափված արժեքը չպետք է պակաս լինի ID անվանական արժեքից ավելի քան 19 %-ով |
Էլեկտրական էներգիայի սպառումը |
չափված արժեքը չպետք է գերազանցի Et անվանական արժեքն ավելի քան 10 %-ով |
Ծրագրի տևողությունը |
չափված արժեքը չպետք է գերազանցի Tt անվանական արժեքն ավելի քան 10 %-ով |
Ջրի ծախսը |
չափված արժեքը չպետք է գերազանցի Wt անվանական արժեքն ավելի քան 10 %-ով |
«Անջատված է» ռեժիմում և «թողնված է միացված» ռեժիմում սպառվող հզորությունը |
եթե Р0 և P1 արժեքները գերազանցում են 1,00 Վտ-ը, ապա դրանք չպետք է գերազանցեն անվանական արժեքն ավելի քան 10 %-ով: Եթե Р0 և P1 արժեքները չեն գերազանցում 1,00 Վտ-ը, ապա դրանք չպետք է գերազանցեն անվանական արժեքն ավելի քան 0,10 Վտ-ով: |
«Թողնված է միացված» ռեժիմում գտնվելու տևողությունը |
չափված արժեքը չպետք է գերազանցի Tl անվանական արժեքն ավելի քան 10 %-ով |
Անվանական արժեքի տակ հասկանում ենք արտադրողի հայտարարված արժեքը:
Այլ դեպքերում փորձարկումները (չափումները) պետք է կատարվեն սպասք լվացող մեքենայի յուրաքանչյուր մոդելի 3 լրացուցիչ օրինակների վրա: Սպասք լվացող մեքենայի մոդելը համարվում է սույն պահանջներին համապատասխանող, եթե սպասք լվացող մեքենաների այդ 3 լրացուցիչ օրինակների չափված պարամետրերի միջին արժեքները համապատասխանում են սույն պահանջների 3-րդ աղյուսակում նշված պահանջներին, բացառությամբ էլեկտրական էներգիայի սպառման, որի չափվող մեծությունը չի գերազանցում Et անվանական արժեքն ավելի քան 6 %-ով:
Այլ դեպքերում սպասք լվացող մեքենայի տվյալ մոդելը և սպասք լվացող բոլոր մյուս համարժեք մեքենաները հարկավոր է դիտարկել որպես տեխնիկական կանոնակարգի պահանջներին չհամապատասխանող։
V. Սպասք լվացող մեքենաների պիտակի և տեխնիկական թերթիկի բովանդակությունը
11. Սպասք լվացող մեքենաների պիտակը պետք է պարունակի հետևյալ տեղեկությունները՝
I. արտադրողի անվանումը կամ ապրանքային նշանը (առկայության դեպքում).
II. մոդելի նշագիրը.
III. էներգետիկ արդյունավետության դասը.
IV. էլեկտրաէներգիայի տարեկան սպառումը (АЕС) (կՎտ ժ ժ/տարի-ով) (մինչև ամբողջ թիվ կլորացմամբ).
V. ջրի տարեկան ծախսը (AWC) (լ/տարի-ով) (մինչև ամբողջ թիվ կլորացմամբ).
VI. չորացման արդյունավետության դասը.
VII. անվանական տարողությունը՝ լվացման ստանդարտ ցիկլի համար նախատեսված սպասքի ստանդարտ լրակազմերի դեպքում.
VIII. ձայնային հզորության ճշգրտված մակարդակը (դԲ-ով (А)՝ 1 պՎտ-ի նկատմամբ) (մինչև ամբողջ թիվ կլորացմամբ):
12. Սպասք լվացող մեքենաների շահագործման փաստաթղթերի կազմի մեջ մտնող տեխնիկական թերթիկը պետք է պարունակի հետևյալ տեղեկությունները՝
ա) արտադրողի անվանումը կամ ապրանքային նշանը (առկայության դեպքում).
բ) արտադրողի սպասք լվացող մեքենայի մոդելի նույնականացման համարը (որպես կանոն՝ տառաթվանշանային համարը, որով սպասք լվացող մեքենայի կոնկրետ մոդելը տարբերվում է միևնույն առևտրային մակնիշի այլ մոդելներից կամ միևնույն անվանմամբ արտադրողից).
գ) անվանական տարողությունը՝ ճաշասպասքի լրակազմերի լվացման ստանդարտ ցիկլի համար.
դ) էներգետիկ արդյունավետության դասը.
ե) էլեկտրաէներգիայի տարեկան սպառումը (АЕС) (կՎտ. ժ/տարի-ով): Նշվում է հետևյալ կերպ. «X էներգասպառումը, կՎտ. ժ/տարի, որոշվել է 280 ստանդարտ աշխատանքային ցիկլի համար՝ սառը ջրի օգտագործմամբ՝ հզորության ցածր սպառմամբ ռեժիմների դեպքում: Փաստացի էներգասպառումը կախված է սարքվածքի օգտագործման ինտենսիվությունից և ռեժիմներիցե, որտեղ X-ը տարեկան էներգասպառման արժեքն է (մինչև ամբողջ թիվ կլորացմամբ).
զ) էներգասպառումը (Еt) (կՎտ ժ-ով)՝ ստանդարտ աշխատանքային ցիկլի համար.
է) «անջատված է» ռեժիմում (Ро) (Վտ-ով) և էներգապահպանման ռեժիմում (Р1) (Վտ-ով) սպառվող հզորությունը.
ը) ջրի տարեկան ծախսը (AWC) (լ/տարի-ով): Նշվում է հետևյալ կերպ. «Ջրի X ծախսը, լ/տարի, որոշվել է 280 ստանդարտ աշխատանքային ցիկլի համար: Ջրի փաստացի ծախսը կախված է սարքվածքի օգտագործման ինտենսիվությունից և ռեժիմներիցե, որտեղ X-ը ջրի տարեկան ծախսի արժեքն է (մինչև ամբողջ թիվ կլորացմամբ).
թ) չորացման արդյունավետության դասը: Նշվում է հետևյալ կերպ. «X դասի չորացման արդյունավետություն՝ G-ից (նվազագույն արդյունավետություն) մինչև А (առավելագույն արդյունավետություն) սանդղակովե: Այն դեպքում, երբ տեխնիկական թերթիկում տեղեկատվությունը ներկայացված է աղյուսակի տեսքով, թույլատրվում է չորացման արդյունավետության դասի վերաբերյալ գրառում կատարել այլ տեսքով՝ նշելով դասի աստիճանավորումը G-ից (նվազագույն արդյունավետություն) մինչև А (առավելագույն արդյունավետություն).
ժ) էներգասպառման և ջրի ծախսի լավագույն համադրության դեպքում սպասքի՝ սովորական աստիճանի աղտոտվածության հեռացման համար պիտանի աշխատանքի ստանդարտ ցիկլ հանդիսացող ծրագրի նշումը.
ժա) աշխատանքի ստանդարտ ցիկլի ծրագրի կատարման ժամանակը (րոպեներով) (մինչև ամբողջ թիվ կլորացմամբ).
ժբ) էներգիայի խնայողության ռեժիմի տևողությունը (Tl) (րոպեներով ) այն դեպքում, երբ կենցաղային սպասք լվացող մեքենան սարքավորված է հզորության կարգավորման համակարգով.
ժգ) ձայնային հզորության ճշգրտված մակարդակը (դԲ-ով (A)` 1 պՎտ-ի նկատմամբ) (մինչև ամբողջ թիվ կլորացմամբ).
ժդ) սպասք լվացող մեքենայի՝ ներկառուցվող լինելու մասին նշումը (անհրաժեշտության դեպքում):
13. Սպասք լվացող մեքենայի մեկ տեխնիկական թերթիկում կարող է պարունակվել միևնույն արտադրողի կողմից մատակարարվող՝ սպասք լվացող մի շարք մեքենաների մասին տեղեկատվություն:
14. Սպասք լվացող մեքենաների տեխնիկական թերթիկում պարունակվող տեղեկատվությունը կարող է ներկայացվել սպասք լվացող այդ մեքենայի պիտակի գունավոր կամ սև-սպիտակ պատճենի տեսքով: Այս դեպքում նույնպես պետք է նշվի 12-րդ կետում նշված և պիտակի վրա բացակայող տեղեկատվությունը:
VI. Սպասք լվացող մեքենաների էներգետիկ արդյունավետության դասերի որոշումը
15. Սպասք լվացող մեքենաների էներգետիկ արդյունավետության դասը որոշվում է էներգետիկ արդյունավետության ցուցիչին (EEI) համապատասխան՝ 4-րդ աղյուսակի համաձայն:
Աղյուսակ 4
Սպասք լվացող մեքենաների էներգետիկ արդյունավետության դասերը
Էներգետիկ արդյունավետության դասը |
Էներգետիկ արդյունավետության ցուցիչը |
А +++ (առավելագույն արդյունավետ) |
EEI < 50 |
A ++ |
50 ≤ ЕЕI < 56 |
A + |
56 ≤ ЕЕI < 63 |
A |
63 ≤ ЕЕI < 71 |
B |
71 ≤ EEI < 80 |
C |
80 ≤ EEI < 90 |
D (նվազագույն արդյունավետ) |
EEI ≥ 90 |
16. Սպասք լվացող մեքենաների չորացման արդյունավետության դասը որոշվում է խոնավության մնացորդային պարունակության հիման վրա՝ 5-րդ աղյուսակի համաձայն:
Աղյուսակ 5
Սպասք լվացող մեքենաների չորացման արդյունավետության դասերը
Էներգետիկ արդյունավետության դասը |
Խոնավության մնացորդային պարունակությունը (%) |
А (առավելագույն արդյունավետ) |
ID > 1,08 |
В |
1,08 ≥ ID > 0,86 |
С |
0,86 ≥ ID > 0,69 |
D |
0,69 ≥ ID > 0,55 |
Е |
0,55 ≥ ID > 0,44 |
F |
0,44 ≥ ID > 0,33 |
G (նվազագույն արդյունավետ) |
0,33 ≥ ID |
ՀԱՎԵԼՎԱԾ ԹԻՎ 8 «Էներգասպառող սարքվածքների էներգետիկ արդյունավետությանը ներկայացվող պահանջների մասին» Եվրասիական տնտեսական միության տեխնիկական կանոնակարգի (ԵԱՏՄ ՏԿ 048/2019) |
ՊԱՀԱՆՋՆԵՐ
հեռուստացուցային կցուրդների էներգետիկ արդյունավետությանը ներկայացվող
I. Կիրառության ոլորտը
1. Սույն պահանջները տարածվում են Եվրասիական տնտեսական միության (այսուհետ՝ Միություն) մաքսային տարածքում շրջանառության մեջ դրվող ավտոնոմ (հեռուստա- և (կամ) ռադիոհեռարձակման ընդունիչներում չներսարքվող) բաժանորդային հեռուստացուցային կցուրդների (այսուհետ՝ հեռուստացուցային կցուրդներ) վրա, որոնք նախատեսված են ստանդարտ և (կամ) բարձր հստակության բաց չկոդավորված թվային հեռուստա- և (կամ) ռադիոհեռարձակումն այն անալոգային հեռուստատեսությանը և (կամ) ռադիոյին համապատասխանող ազդանշանների փոխակերպման համար, որոնք չունեն «պայմանական մատչում» գործառույթ և ստանդարտ ձևաչափով տեղեկատվության հեռացվելի կրիչների վրա ձայնագրության գործառույթ, սակայն կարող են ունենալ՝
ա) տեղեկատվության ներկառուցված կուտակչի (կոշտ սկավառակի) վրա հեռարձակվող ծրագրի ֆոնային գրառման գործառույթ՝ ժամանակի տեղաշարժմամբ՝ դրա հետագա դիտման հնարավորությամբ.
բ) բարձր հստակության հեռուստահեռարձակման ընդունվող ազդանշանների՝ բարձր կամ ստանդարտ հստակության տեսաազդանշանների փոխակերպման գործառույթ.
գ) երկրորդ թյուներ:
II. Հիմնական հասկացությունները
2. Սույն պահանջների կիրառման նպատակով օգտագործվում են հետևյալ հասկացությունները, որոնք ունեն հետևյալ իմաստը՝
էլեկտրասնուցման ավտոմատ նվազում՝ գործառույթ, որը փոխարկում է հեռուստացուցային կցուրդն աշխատանքի ակտիվ ռեժիմից սպասման ռեժիմի՝ օգտագործողի վերջին միջամտության և (կամ) ալիքը փոխելու պահից ակտիվ ռեժիմում աշխատանքի որոշակի ժամանակահատվածից հետո.
ակտիվ (աշխատանքային) ռեժիմ՝ վիճակ, երբ սարքավորումները միացված են սնուցման աղբյուրին և, դրանց նշանակությանը համապատասխան, կատարում են գլխավոր աշխատանքային գործառույթներից առնվազն մեկը.
երկրորդ թյուներ՝ հեռուստացուցային կցուրդի բաղկացուցիչ մաս (հանգույց), որը կարող է օգտագործվել այլ հեռարձակվող ծրագրի միաժամանակ դիտման ժամանակ՝ հեռուստա- և (կամ) ռադիոհեռարձակման ծրագրի գրառման համար.
անջատման ռեժիմ՝ վիճակ, որի ժամանակ սարքավորումները միացված են սնուցման աղբյուրին, սակայն չեն գտնվում ակտիվ (աշխատանքային) ռեժիմում կամ սպասման ռեժիմում և կարող են կատարել բացառապես էլեկտրամագնիսական համատեղելիության և (կամ) անջատման ռեժիմի ցուցանշման ապահովման գործառույթ.
սպասման ռեժիմ՝ վիճակ, որի ժամանակ էլեկտրական սարքավորումները միացված են սնուցման աղբյուրին և անսահմանափակ ժամանակով կատարում են վերաակտիվացման գործառույթ (այդ թվում՝ վերաակտիվացման ունակության (պատրաստության) ցուցանշմամբ) և (կամ) տեղեկացման կամ վիճակի արտացոլման ֆունկցիա.
պայմանական մատչում՝ տրամադրողի հսկողության տակ գտնվող հեռուստա- և (կամ) ռադիոհեռարձակման վճարովի ծրագրերին մատչման սահմանափակման համակարգ.
տեղեկացման կամ վիճակի արտացոլման գործառույթ՝ գործառույթ, որն ապահովում է տեղեկատվության տրամադրումը կամ ցուցասարքի վրա սարքավորումների վիճակի արտացոլումը, այդ թվում նաև ժամանակի ցուցանշումը.
վերաակտիվացման գործառույթ՝ գործառույթ, որը հեռահար կառավարման սարքվածքների, ներքին տվիչների կամ պահաժամի կարգավորիչների (թայմերների) միջոցով ապահովում է սպասման ռեժիմից ակտիվ (աշխատանքային) ռեժիմի անցնելու ունակությունը, որի ժամանակ տեղի է ունենում սարքավորումների հիմնական կամ հիմնական ու լրացուցիչ գործառույթների կատարման ակտիվացում։
III. Հեռուստացուցային կցուրդների էներգետիկ արդյունավետությանը ներկայացվող պահանջները և էներգետիկ արդյունավետության ցուցանիշների որոշման առանձնահատկությունները
3. Հեռուստացուցային կցուրդների էներգասպառումը չպետք է գերազանցի աղյուսակում նշված սահմանային արժեքները:
Աղյուսակ
Էներգասպառման սահմանային արժեքները
Արտադրատեսակը, լրացուցիչ բաղադրիչները կամ գործառույթները |
Սպառվող հզորության սահմանային արժեքները (Վտ), ոչ ավելի քան | |
սպասման ռեժիմում |
ակտիվ (աշխատանքային) ռեժիմում | |
Բացառապես հիմնական գործառույթների կատարումն ապահովող հեռուստացուցային կցուրդ |
0,50 |
5,00 |
Տեղեկացման կամ վիճակի արտացոլման գործառույթի առկայության դեպքում էներգասպառման ավելացում |
+ 0,50 |
- |
Տեղեկատվության ներսարքված կուտակչի (կոշտ սկավառակի) առկայության դեպքում էներգասպառման ավելացում |
- |
+ 6,00 |
Երկրորդ թյուների առկայության դեպքում էներգասպառման ավելացում |
- |
+ 1,00 |
Բարձր հստակության ազդանշանների ապակոդավորման գործառույթի առկայության դեպքում էներգասպառման ավելացում |
- |
+ 1,00 |
4. Հեռուստացուցային կցուրդներում պետք է իրականացվի սպասման ռեժիմ:
5. Հեռուստացուցային կցուրդներում պետք է իրականացվեն էներգասպառման ավտոմատ նվազում կամ նույնանման գործառույթ՝ հաշվի առնելով հետևյալ պահանջները՝
ա) հեռուստացուցային կցուրդը պետք է ավտոմատ կերպով անցնի ակտիվ (աշխատանքային) ռեժիմից սպասման ռեժիմի՝ օգտագործողի հետ վերջին փոխազդեցության և (կամ) ալիքը փոխելու պահից ակտիվ (աշխատանքային) ռեժիմում ոչ ավելի, քան 3 ժամ տևողությամբ աշխատանքից հետո՝ մինչ սպասման ռեժիմի անցնելը 2 րոպեի ընթացքում նախազգուշական ազդանշանով.
բ) էլեկտրասնուցման ավտոմատ նվազման գործառույթը պետք է լռելյայն միացված լինի:
6. Հեռուստացուցային կցուրդներին կից ներկայացվող՝ «Էներգասպառող սարքվածքների էներգետիկ արդյունավետությանը ներկայացվող պահանջների մասին» Եվրասիական տնտեսական միության տեխնիկական կանոնակարգի (ԵԱՏՄ ՏԿ 048/2019) (այսուհետ՝ տեխնիկական կանոնակարգ) 13-րդ կետով նախատեսված շահագործման փաստաթղթերը պետք է պարունակեն հետևյալ տեղեկությունները՝
ա) էներգասպառում ակտիվ ռեժիմում և սպասման ռեժիմում (Վտ-ով) մինչև 2 տասնորդական նիշ կլորացմամբ՝ ներառյալ էներգասպառումը տարբեր լրացուցիչ գործառույթների և (կամ) բաղադրիչների համար.
բ) արտադրատեսակի աշխատանքի ռեժիմի ընտրության կամ ծրագրավորման նկարագրությունը.
գ) այն վիճակի ապահովման համար գործողությունների (դեպքերի) անհրաժեշտ հաջորդականությունը, որի դեպքում արտադրատեսակն ավտոմատ փոխում է աշխատանքի ռեժիմը.
դ) ռադիոհաճախային մուտքային ազդանշաններ (թվային վերգետնյա հեռարձակման համար) և միջանկյալ հաճախության մուտքային ազդանշաններ (արբանյակային հեռարձակման համար).
ե) արտադրատեսակի աշխատանքը նկարագրող այլ տեղեկություններ:
7. Հեռուստացուցային կցուրդներին կից փաստաթղթերի լրակազմ փաթեթում, որը նշված է տեխնիկական կանոնակարգի 28-րդ կետի «ա» ենթակետում կամ 29-րդ կետի «ա» ենթակետում՝ հաշվի առնելով հայտատուի կողմից ընտրված համապատասխանության հայտարարագրման սխեման, հեռուստացուցային կցուրդների համար լրացուցիչ պետք է ներառվի հետևյալ տեղեկատվությունը՝
էներգասպառման փորձարկումների (չափումների) համար օգտագործվող մեթոդները.
փորձարկումների (չափումների) կատարման ամսաթվերը.
փորձարկումներ (չափումներ) անցկացնելիս վերահսկվող պարամետրերը՝
շրջակա միջավայրի ջերմաստիճանը.
փորձարկման լարումը (Վ-ով) և հաճախությունը (Հց-ով).
էլեկտրասնուցման ցանցի ներդաշնակ բաղադրիչների գումարային գործակիցը.
փորձարկումների (չափումների) ընթացքում սնուցման աղբյուրի լարման տատանումը.
փորձարկումներ (չափումներ) կատարելիս օգտագործվող՝ չափումների միջոցների, սարքաբերումների և սխեմաների մասին տեղեկությունները.
MPEG-2 տրանսպորտային հոսքին համապատասխանող փորձարկային ձայնա- և տեսաազդանշանները.
կառավարման օրգանների դասավորությունը:
Փաստաթղթերի տվյալ լրակազմ փաթեթում չի պահանջվում ներառել հեռուստա- և (կամ) ռադիոհեռարձակման համար հեռուստացուցային կցուրդին միացվող այնպիսի ծայրամասային սարքվածքներով սպառվող հզորության նկատմամբ պահանջներին վերաբերող փաստաթղթեր, ինչպես օրինակ՝ վերգետնյա հեռարձակման ընդունման համար ակտիվ ալեհավաք, արբանյակային սակավաղմուկ փոխարկիչ-միաբլոկ, ցանկացած մալուխ կամ հեռահաղորդակցման մոդեմ:
IV. Հեռուստացուցային կցուրդների էներգետիկ արդյունավետության պարամետրերի թույլատրելի շեղումները՝ դրանք շրջանառության մեջ դրվելուց հետո փորձարկումներ (չափումներ) կատարելիս
8. Հեռուստացուցային կցուրդները Միության մաքսային տարածքում շրջանառության մեջ դրվելուց հետո դրանց փորձարկումները (չափումները) կատարելու դեպքում անցկացվում են հեռուստացուցային կցուրդի յուրաքանչյուր մոդելի մեկ տիպային օրինակի փորձարկումներ (չափումներ)։
Հեռուստացուցային կցուրդի մոդելը համարվում է սույն պահանջներին համապատասխանող, եթե փորձարկումների (չափումների) արդյունքներն ավելի քան 10 %-ով կամ 0,10 Վտ-ով չեն գերազանցում սահմանային արժեքները՝ այն սպառվող հզորության վերահսկման համար, որի մեծությունը համապատասխանաբար գերազանցում կամ չի գերազանցում 1,00 Վտ-ը:
Այլապես ստուգվում է հեռուստացուցային կցուրդի մոդելի ևս 3 տիպային օրինակ: Հեռուստացուցային կցուրդի մոդելը համարվում է սույն պահանջներին համապատասխանող, եթե հեռուստացուցային կցուրդի այդ 3 տիպային օրինակների չափումների արդյունքների միջին արժեքը չի գերազանցում սահմանային արժեքներն ավելի քան այն մեծության չափով, որը նշված է սույն կետի երկրորդ պարբերությունում:
Այլ դեպքերում հեռուստացուցային կցուրդի տվյալ մոդելը հարկավոր է դիտարկել որպես տեխնիկական կանոնակարգի պահանջներին չհամապատասխանող։
ՀԱՎԵԼՎԱԾ ԹԻՎ 9 «Էներգասպառող սարքվածքների էներգետիկ արդյունավետությանը ներկայացվող պահանջների մասին» Եվրասիական տնտեսական միության տեխնիկական կանոնակարգի (ԵԱՏՄ ՏԿ 048/2019) |
ՊԱՀԱՆՋՆԵՐ
էլեկտրական լամպերի էներգետիկ արդյունավետությանը ներկայացվող
I. Կիրառության ոլորտը
1. Սույն պահանջները տարածվում են Եվրասիական տնտեսական միության (այսուհետ՝ Միություն) մաքսային տարածքում շրջանառության մեջ դրվող կենցաղային և համանման նշանակության չուղղորդված լույսով էլեկտրական լամպերի վրա, որոնք կարող են կիրառվել նաև լուսավորումից բացի այլ նպատակներով կամ ներկառուցվել այլ էներգասպառող էլեկտրական սարքվածքների մեջ (այսուհետ՝ էլեկտրական լամպեր)՝ բացառությամբ՝
ա) x և у գունավորության հետևյալ կոորդինատներով լամպերի՝
х< 0,200 կամ х> 0,600,
у< - 2,3172 х2 + 2,3653 х - 0,2800 կամ у> - 2,3172 х2 + 2,3653 х - 0,1000,
բ) ուղղորդված լուսաճառագայթմամբ լամպերի,
գ) 60 լյումենից ցածր կամ 12 000 լյումենից բարձր լուսային հոսքով լամպերի,
դ) այն լամպերի, որոնց՝
250-780 նմ ընդգրկույթում ընդհանուր ճառագայթման առնվազն 6%-ը գտնվում է 250-400 նմ-ի սահմաններում.
ճառագայթման գագաթնակետը գտնվում է 315-400 նմ-ի (UVA) կամ 280-315 նմ-ի (UVB) սահմաններում.
ե) առանց ներկառուցված՝ գործարկումը կարգավորող ապարատի լյումինեսցենտային լամպերի,
զ) բարձր ճնշման գազապարպումային լամպերի,
է) 60 Վ կամ պակաս աշխատանքային լարման համար E14/E27/B22/B15 լամպակոթով՝ առանց ներկառուցված տրանսֆորմատորի շիկացման լամպերի.
ը) հատուկ նշանակության (առանց լամպակոթի լամպերի, լամպաշարերի, մեխանիկապես ամուր լամպերի, կիզակետող լամպակոթով լամպերի, հաջորդական միացման լամպերի, դեկորատիվ լամպերի, լուսուղղորդ լամպերի, գերմանրաչափ լամպերի, մանրաչափ լամպերի, փոքր գաբարիտի լամպերի, միջին գաբարիտի լամպերի, խոշոր գաբարիտի լամպերի, երկլամպակոթ մանրաչափ լամպերի, հայելային անդրադարձիչով՝ պրոյեկտորի լամպերի, իմպուլսային լամպերի, խառը լույսի լամպերի, ցերեկային լույսի լամպերի, Մուրի լամպերի, մանրէասպան լամպերի, կետային լամպերի, ուլտրամանուշակագույն լամպերի, ժապավենային լամպերի, էլեկտրալյումինեսցենտային լամպերի, ինֆրակարմիր լամպերի, սպեկտրային լամպերի, կենցաղային սարքերի (սառնարանների, վառարանների և այլն) համար լամպերի։
II. Հիմնական հասկացությունները
2. Սույն պահանջները կիրառելու նպատակներով օգտագործվում են հասկացություններ, որոնք ունեն հետևյալ իմաստը՝
սնուցման բլոկ՝ սարքվածք, որը նախատեսված է փոփոխական հոսանքի սնուցող ցանցի լարումը հաստատուն հոսանքի լարման կամ փոփոխական հոսանքի այլ լարման կերպափոխելու համար.
կենցաղային նշանակության լամպ՝ լամպ, որը նախատեսված է կենցաղում տարածքի լուսավորման համար և հատուկ նշանակության լամպ չէ.
լամպի արտաքին թաղանթ՝ լամպի երկրորդ (արտաքին) թաղանթը, որը չի պահանջվում լույսի առաջացման համար (օրինակ՝ արտաքին լամպանոթը, որը պետք է ապահովի այրիչի աշխատանքի օպտիմալ պայմանները, խոչընդոտի ուլտրամանուշակագույն ճառագայթման ելքը և (կամ) ցրի լույսը և կանխի այրիչի կոտրվելու դեպքում սնդիկի և ապակու հայտնվելը շրջակա միջավայր).
վոլֆրամային հալոգեն շիկացման լամպ՝ շիկացման լամպ, որի շիկացման թելը կազմված է վոլֆրամից և շրջապատված է հալոգեններով կամ հալոգենային միացություններով լցված թաղանթով.
վառքի ժամանակահատված՝ լամպը ցանցին միացնելուց հետո դրա լրիվ վառման և վառված մնալու համար անհրաժեշտ ժամանակահատվածը.
բռնկման ժամանակահատված՝ ժամանակահատված, որի ընթացքում լամպը ցանցին միացնելուց հետո անվանական լուսային հոսքը հասնում է 60%-ի.
գազապարպումային լամպ՝ պարպումային լամպ, որում օպտիկական ճառագայթումն առաջանում է գազի մեջ էլեկտրական պարպման արդյունքում.
բարձր ճնշման գազապարպումային լամպ՝ գազապարպումային լամպ, որում լուսաճառագայթող էլեկտրական աղեղը կայունացվում է այրիչի պատերի ջերմաստիճանով և լամպանոթի պատերի վրա ջերմային բեռնվածքը գերազանցում է 3 Վտ/սմ2-ը.
գունահաղորդման ցուցիչ (Ra)՝ դիտարկման որոշակի պայմաններում լույսի հետազննվող և ստանդարտ աղբյուրներով լուսավորված գունավոր օբյեկտի տեսողական ընկալումների համապատասխանության չափը.
կոմպակտ լյումինեսցենտային լամպ՝ լյումինեսցենտային լամպ, որում դրա վառքը և կայուն աշխատանքն ապահովվում է լամպակոթի մեջ ներկառուցված՝ գործարկումը կարգավորող ապարատով և այլ լրացուցիչ տարրերով.
կորելացված գունային ջերմաստիճան (Тс [К])՝ Պլանկի ճառագայթիչի (սև մարմնի) ջերմաստիճան, որի ընկալվող գույնն ամենամոտն է հիշեցնում այն գույնը, որն ունի տվյալ գրգռիչը՝ նույն պայծառության դեպքում և դիտման որոշակի պայմաններում.
հզորության գործակից՝ ակտիվ (օգտակար) հզորության և լրիվ հզորության հարաբերությունը փոփոխական հոսանքով աշխատանքի պայմաններում.
լամպի լուսային հոսքի պահպանման գործակից (LLMF)՝ լամպի ծառայության ժամկետի (կենսական ցիկլի) սահմանված պահի դրությամբ այդ լամպի լուսային հոսքի և դրա սկզբնական լուսային հոսքի (100 ժամ շահագործումից հետո չափված) հարաբերությունը.
լամպի ծառայության ժամկետի գործակից (LSF)` լամպերի ընդհանուր քանակի մեջ՝ որոշակի պայմաններում և միացումների (փոխարկումների) որոշակի հաճախության դեպքում տվյալ պահին դեռ աշխատող լամպերի բաժինը.
լամպ՝ օպտիկական ճառագայթման աղբյուր, որն ստեղծվում է էլեկտրական էներգիայի կերպափոխման արդյունքում.
շիկացման լամպ՝ հերմետիկ լամպանոթով լամպ, որում լույսն արձակվում է շիկացման մարմնի (թելի) միջոցով` դրա միջով վակուումում կամ իներտ գազի միջավայրում էլեկտրական հոսանքն անցնելու դեպքում.
ուղղորդված լույսի լամպ՝ լամպ, որն իր լուսային հոսքի առնվազն 80%-ը ճառագայթում է 3.14 ստեռադիան մարմնային անկյան սահմաններում (համապատասխանում է 120Ե գագաթի դեպքում անկյան կոնին).
չուղղորդված լույսի լամպ՝ լամպ, որն ուղղորդված լույսի լամպ չէ.
անթափանց լամպանոթով լամպ՝ թափանցիկ լամպանոթով լամպերի, այդ թվում՝ կոմպակտ լյումինեսցենտային լամպերի չափորոշիչներին չհամապատասխանող լամպե.
թափանցիկ լամպանոթով լամպ՝ լամպ (բացառությամբ կոմպակտ լյումինեսցենտային լամպերի), որի պայծառությունը 2 000 լմ-ից պակաս լուսային հոսքի դեպքում գերազանցում է 25 000 կդ/մ2-ը, իսկ ավելի բարձր լուսային հոսքի դեպքում գերազանցում է 100 000 կդ/մ2-ը, որի լամպանոթը թափանցիկ է, իսկ շիկացման թելը, լուսարձակող դիոդը կամ գազապարպման խողովակը տեսանելի են.
լյումինեսցենտային լամպ՝ ցածր ճնշման սնդիկային լամպ, որում լույս են ճառագայթում էլեկտրական պարպումով ուլտրամանուշակագույն ճառագայթումով գրգռվող լուսակրի մեկ կամ մի քանի շերտեր։ Լյումինեսցենտային լամպերը մատակարարվում են գործարկումը կարգավորող ներկառուցված ապարատով կամ առանց դրա.
մոդել՝ մեկ տեսակի և մեկ արտադրողի կողմից արտադրված արտադրատեսակներ.
անվանական արժեք՝ տրված աշխատանքային պայմաններում պարամետրի քանակական արժեքը, որն օգտագործվում է արտադրատեսակի նշագրման կամ նույնականացման համար և որը նշվում է արտադրողի կողմից շահագործման փաստաթղթերում.
կոթառ՝ սարքվածք, որում, ելնելով նշանակությունից, տեղադրվում է լամպակոթը կամ դրանց՝ էլեկտրական ցանցին ամրակելու և միացնելու համար մեկնարկիչը.
վաղաժամ խափանում՝ լամպի՝ շարքից դուրս գալը՝ նախքան լամպի շահագործման փաստաթղթերով սահմանված՝ ծառայության ժամկետը լրանալը
գործարկումը կարգավորող ապարատ՝ սարքվածք, որը միացվում է ցանցի և մեկ կամ մի քանի պարպումային լամպերի միջև, որը ինդուկտիվության, ունակության կամ դրանց համակցության միջոցով գլխավորապես ապահովում է լամպի հոսանքի սահմանափակումը պահանջվող արժեքի մակարդակով։ Գործարկումը կարգավորող ապարատները (այսուհետ՝ ԳԿԱ) կարող են բաղկացած լինել մեկ կամ մի քանի բլոկներից։ ԳԿԱ-ն նաև կարող է պարունակել ցանցի լարումը կերպափոխելու համար միջոցներ և սարքվածքներ, որոնք օգնում են ապահովել լամպի վառքի համար լարումը, սառը վառքի կանխումը, ստրոբոսկոպային էֆեկտի նվազեցումը, հզորության գործակցի ճշգրտումը և (կամ) ցանցային ռադիոխանգարումների ճնշումը։ ԳԿԱ-ն կարող է ներկառուցված լինել լամպի մեջ կամ գտնվել դրանից առանձին.
պարպումային լամպ՝ լամպ, որում օպտիկական ճառագայթումն էլեկտրական պարպման արդյունքում առաջանում է գազերում, մետաղների գոլորշիներում, հալոգենիդներում կամ դրանց խառնուրդներում:
հաշվարկային արժեք՝ պարամետրի քանակական արժեքը որոշակի (տրված) պայմաններում։ Արժեքները և պայմանները բերվում են համապատասխան ստանդարտներով կամ հաղորդվում են արտադրողի (մատակարարի) կողմից։ Եթե այլ բան նշված չէ, ապա բոլոր պահանջներն արտահայտված են որպես հաշվարկային արժեքներ։ Հաշվարկային արժեքն ստացվում է հաշվարկային, այսինքն՝ ոչ փորձարարական եղանակով.
լուսատացք (գл)` լույսի աղբյուրից ճառագայթվող լուսային հոսքի և դրա կողմից սպառվող հզորության հարաբերությունը, որն արտահայտված է լյումեն/վատտով (լմ/Վտ)։ Լուսատացքը լույսի աղբյուրների արդյունավետության և խնայողականության ցուցանիշն է և հաշվարկվում է հետևյալ բանաձևով՝
η=Ф/Р
որտեղ՝
ф-ն՝ լույսի աղբյուրից ճառագայթվող լուսային հոսքն է,
Р-ն՝ դրա կողմից սպառվող հզորությունը։
Լրացուցիչ այնպիսի սարքվածքներ, ինչպիսիք են օրինակ՝ ԳԿԱ-ն,
տրանսֆորմատորները և սնուցման բլոկները, հաշվի չեն առնվում լամպի սպառվող հզորության (Р) մեջ.
լուսային հոսք (Ф)՝ միավոր ժամանակում ճառագայթման հոսքով փոխանցվող տեսանելի ճառագայթման էներգիան (լմ-ով), որը չափվում է լամպը 100 ժամ շահագործելուց հետո.
լուսադիոդ (LED)՝ կիսահաղորդչային սարք՝ p-n անցումով, որն արձակում է ոչ կոհերենտ տեսանելի ճառագայթում՝ դրա վրա էլեկտրական լարում մատուցելու ժամանակ.
լուսադիոդային լամպ (LED-լամպ)՝ լամպ, որը պարունակում է 1 կամ մի քանի լուսադիոդային հավաքվածք։ Լուսադիոդային լամպը կարող է ապահովված լինել լամպակոթով.
հատուկ նշանակության լամպ՝ լամպ, որը, ըստ իր տեխնիկական բնութագրերի կամ դրան կցված շահագործման փաստաթղթերի համաձայն, պիտանի չէ կենցաղում տարածքը լուսավորելու համար.
լամպի ծառայության ժամկետ՝ շահագործման ժամանակահատվածը, որից հետո որոշակի պայմաններում և միացումների (փոխարկումների) որոշակի հաճախության դեպքում լամպերի ընդհանուր քանակի մեջ աշխատող լամպերի մասը համապատասխանում է լամպի ծառայության ժամկետի գործակցին.
գունավորություն՝ լամպի գույնի որակի բնութագիրն է, որը որոշվում է դրա գունավորության կոորդինատներով.
գունահաղորդում՝ լամպի ճառագայթման սպեկտրային կազմի ազդեցությունը դրա կողմից լուսավորվող օբյեկտների տեսողական ընկալման վրա, որը բնութագրվում է գունահաղորդման ցուցիչով.
փոխարկման ցիկլ՝ որոշակի ժամանակահատվածում մեկ լամպի միացման և անջատման հաջորդականությունը.
լամպակոթ՝ էլեկտրական լամպի դետալ, որը ծառայում է կոթառին դրա ամրակման համար և ապահովում է միացումը սնուցման ցանցին.
պայծառություն՝ մարմնային անկյան սահմաններում միավոր տեսանելի մակերեսի վրա մակերևույթից արտացոլվող կամ ճառագայթվող լույսի քանակ (կդ/մ2)։
III. Էլեկտրական լամպերի էներգետիկ արդյունավետությանը և շահագործման փաստաթղթերին ներկայացվող պահանջները
3. Էլեկտրական լամպերի համար պետք է անցկացվեն համապատասխան փորձարկումներ (չափումներ) և սահմանվեն հետևյալ արժեքները.
ա) լուսատացքը (ηլ).
բ) սպառվող հզորությունը (Рլ).
գ) լամպի լուսային հոսքի պահպանման գործակիցը (LLMF).
դ) լամպի ծառայության ժամկետի գործակիցը (LSF).
ե) լամպի ծառայության ժամկետը.
զ) գունավորությունը.
է) լուսային հոսքը (Ф).
ը) կորելացված գունային ջերմաստիճանը (Тс [К]).
թ) գունահաղորդման ցուցիչը (Ra).
ժ) ուլտրամանուշակագույն ճառագայթման արդյունավետությունը.
ժա) վառքի ժամանակահատվածը.
ժբ) բռնկման ժամանակահատվածը.
ժգ) հզորության գործակիցը.
ժդ) պայծառությունը:
4. Սպառվող հզորության անվանական արժեքը՝ պայմանավորված լուսային հոսքով (Ф), չպետք է գերազանցի 1-ին աղյուսակի համաձայն որոշվող սահմանային թույլատրելի արժեքը (Pmax):
Աղյուսակ 1
Էներգասպառման սահմանային թույլատրելի արժեքները
Սույն պահանջներն ուժի մեջ մտնելու ժամկետը |
Սպառվող հզորության սահմանային թույլատրելի արժեքը (Pmax) (Վտ-ով)՝ պայմանավորված լուսային հոսքով (Ф) (լմ-ով) | |
թափանցիկ լամպանոթով լամպերի համար |
անթափանց լամպանոթով լամպերի համար | |
2021 թվականի սեպտեմբերի 1-ից |
0,8 ճ (0,88 √ Ф +0,049 Ф) |
0,24 √ Ф + 0,0103 Ф |
2023 թվականի սեպտեմբերի 1-ից |
0,6 ճ (0,88 √ Ф +0,049 Ф) |
0,24 √ Ф + 0,0103 Ф |
1-ին աղյուսակում նշված սահմանային թույլատրելի արժեքներից բացառությունները բերված են 2-րդ աղյուսակում։
Աղյուսակ 2
Էներգասպառման սահմանային թույլատրելի արժեքներից բացառությունները*
Սույն փաստաթղթի պահանջներն ուժի մեջ մտնելու ժամկետը |
Բացառությունների շարքին դասվող լամպերը |
Սպառվող հզորության սահմանային թույլատրելի արժեքը (Pmax) (Վտ-ով)՝ պայմանավորված լուսային հոսքով (Ф) (լմ-ով)՝ |
2021 թվականի սեպտեմբերի 1-ից |
թափանցիկ լամպանոթով և լուսային հոսքով՝ |
1,1 x (0,88 √ Ф +0,049 Ф) |
2022 թվականի սեպտեմբերի 1-ից |
թափանցիկ լամպանոթով և լուսային հոսքով՝ |
1,1 x (0,88 √ Ф +0,049 Ф) |
2024 թվականի սեպտեմբերի 1-ից |
թափանցիկ լամպանոթով և G9 ու R7s տեսակի լամպակոթերով |
0,8 x (0,88 √ Ф +0,049 Ф) |
*Էներգասպառման սահմանային թույլատրելի արժեքներից ելնելով՝ Եվրասիական տնտեսական միության մաքսային տարածքում շիկացման լամպերի շրջանառության առանձնահատկությունները սահմանվում են Եվրասիական տնտեսական միության անդամ պետությունների օրենսդրությամբ։
Սպառվող առավելագույն հզորության հաշվարկային արժեքի ճշգրտման գործակիցների (К) արժեքները բերված են 3-րդ աղյուսակում։
Աղյուսակ 3
Ճշգրտման գործակիցներ
Լամպի տեսակը |
Գործակիցը (К) |
Արտաքին սնուցման բլոկով շիկացման լամպ |
Рmах /1,06 |
GX53 լամպակոթով պարպումային լամպ |
Рmах /0,75 |
Գունահաղորդման ≥ 90 և Р ≤ 0,5 x (0,88 √Ф + 0,049 Ф) գործակցով անթափանց լամպանոթով լամպ |
Рmах /0,85 |
Գունահաղորդման ≥ 90 գործակցով և Тc ≥ 5 000К գունային ջերմաստիճանով գազապարպումային լամպ |
Рmах /0,76 |
Երկրորդ թաղանթով և Р ≤ 0,5 x (0,88√Ф+0,049 Ф) գործակցով անթափանց լամպանոթով լամպ |
Рmах /0,95 |
Արտաքին սնուցման բլոկով LED -լամպ |
Рmах /1,1 |
5. Կոմպակտ լյումինեսցենտային լամպերի շահագործման բնութագրերին ներկայացվող պահանջները բերված են 4-րդ աղյուսակում։ Կոմպակտ լյումինեսցենտային լամպերից բացի՝ մյուս լամպերին և LED-լամպերին ներկայացվող պահանջները բերված են 5-րդ աղյուսակում։
Աղյուսակ 4
Կոմպակտ լյումինեսցենտային լամպերի շահագործման բնութագրերին ներկայացվող պահանջները
Բնութագիրը |
Ուժի մեջ են մտնում 2022 թվականի սեպտեմբերի 1-ից |
Ուժի մեջ են մտնում 2024 թվականի սեպտեմբերի 1-ից |
Լամպի ծառայության ժամկետի գործակիցը՝ 6 000 ժամ աշխատանքի դեպքում |
≥ 0,50-ի |
≥ 0,70-ի |
Լամպի լուսային հոսքի կայունությունը |
2 000 ժամի դեպքում ≥ 85 %-ի |
2 000 ժամի դեպքում ≥ 88 %-ի |
Փոխարկման ցիկլերի քանակը՝ նախքան շարքից դուրս գալը |
≥ լամպի ծառայության ժամկետի կեսին՝ ժամերով |
≥ լամպի ծառայության ժամկետի կեսին, ≥ 30 000-ի, եթե վառքի ժամանակահատվածը > 0,3 վրկ-ից |
Վառքի ժամանակահատվածը |
< 2,0 վրկ-ից |
< 1,5 վրկ-ից, եթե P < 10 Վտ-ից |
Բռնկման ժամանակահատվածը՝ մինչև լուսային հոսքի (») 60%-ին հասնելը |
< 60 վրկ-ից |
< 40 վրկ-ից կամ < 100 վրկ-ից սնդիկի ամալգամ պարունակող լամպերի համար |
Վաղաժամ շարքից դուրս գալու հաճախականությունը |
≤ 2,0 %-ի՝ 200 ժամից հետո |
≤ 2,0 %-ի՝ 400 ժամից հետո |
UVA + UVB-ճառագայթում |
≤ 2,0 մՎտ/կլմ |
≤ 2,0 մՎտ/կլմ |
UVC-ճառագայթում |
≤ 0,01 մՎտ/կլմ |
≤ 0,01 մՎտ/կլմ |
Լամպի հզորության գործակիցը |
≥ 0,50-ի, եթե P < 25 Վտ-ից |
≥ 0,55-ից, եթե P < 25 Վտ-ից |
Գունահաղորդման ցուցիչը (Ra). |
≥ 80-ի |
≥ 80-ի |
Աղյուսակ 5
Կոմպակտ լյումինեսցենտային լամպերից և LED-լամպերից բացի՝ այլ լամպերի շահագործման բնութագրերին ներկայացվող պահանջները
Բնութագիրը |
Ուժի մեջ են մտնում 2022 թվականի սեպտեմբերի 1-ից |
Ուժի մեջ են մտնում 2024 թվականի սեպտեմբերի 1-ից |
Լամպի ծառայության հաշվարկային ժամկետը |
≥ 1,000 ժամի |
≥ 2,000 ժամի |
Լամպի լուսային հոսքի կայունությունը |
≥ 85 %-ի՝ ծառայության նշված միջին ժամկետի 75 տոկոսի դեպքում |
≥ 85 %-ի՝ ծառայության նշված միջին ժամկետի 75 տոկոսի դեպքում |
Փոխարկման ցիկլերի քանակը |
4 անգամ գերազանցում է ծառայության հաշվարկային ժամկետը ժամերով |
4 անգամ գերազանցում է ծառայության հաշվարկային ժամկետը ժամերով |
Վառքի ժամանակահատվածը |
< 2,0 վրկ-ից |
< 2,0 վրկ-ից |
Բռնկման ժամանակահատվածը՝ մինչև լուսային հոսքի (») 60%-ի հասնելը |
≤ 1,0 վրկ-ի |
≤ 1,0 վրկ-ի |
Վաղաժամ շարքից դուրս գալու հաճախականությունը |
≤ 5,0 %-ի՝ 100 ժամից հետո |
≤ 5,0 %-ի՝ 200 ժամից հետո |
Լամպի հզորության գործակից |
≥ 0,95-ի |
≥ 0,95-ի |
6. Էլեկտրական լամպի մոդելի էներգետիկ արդյունավետության ցուցիչը (ЕЕI) հաշվարկվում է գործարկումը կարգավորող ապարատի մասով հնարավոր կորուստների հետևանքով ճշգրտված՝ դրա կողմից սպառվող հզորությունը դրա կողմից սպառվող անվանական հզորության հետ համեմատելու միջոցով: Անվանական սպառվող հզորությունը ընդհանուր լուսային հոսք հանդիսացող՝ օգտակար լուսային հոսքի (Фuse) ածանցյալն է՝ 90՛ անկյունով կոնում չուղղորդված լուսային ճառագայթմամբ և լուսային հոսքով լամպերի համար, կամ 120՛ անկյունով կոնում ուղղորդված լուսային ճառագայթմամբ լամպերի համար:
ЕЕI-ը հաշվարկվում է հետևյալ կերպ (մինչև երկու տասնորդական նիշ կլորացմամբ)՝
որտեղ՝
Pcor-ը սպառվող հզորության չափված արժեքն է (Prated)՝ առանց գործարկումը կարգավորող արտաքին ապարատի լամպի մոդելների համար, և սպառվող հզորության չափված արժեքը (Prated), որը, 6-րդ աղյուսակի համաձայն, ճշգրտված է հնարավոր կորուստների պատճառով՝ գործարկումը կարգավորող արտաքին ապարատով լամպի մոդելների համար: Prated-ը չափվում է լամպի անվանական մուտքային լարման դեպքում.
Pref-ը սպառվող հզորության հաշվարկային արժեքն է, որը հաշվարկվում է հետևյալ բանաձևերի հիման վրա՝
Фuse < 1300 լմ մոդելների համար՝ Pref = 0,88√Фuse + 0,049 Фuse
Фuse ≥ 1300 լմ մոդելների համար՝ Pref = 0,07341 Фuse
Աղյուսակ 6
Լամպի տեսակը |
Գործարկումը կարգավորող ապարատի մասով հնարավոր կորուստների պատճառով ճշգրտված՝ սպառվող հզորությունը (Рсоr) |
Գործարկումը կարգավորող արտաքին ապարատներով շահագործվող լամպեր |
Prated x 1,06 |
Լուսադիոդային լամպերի համար նախատեսված՝ գործարկումը կարգավորող արտաքին ապարատներով շահագործվող լամպեր |
Prated x 1,10 |
16 մմ տրամագծով լյումինեսցենտային լամպեր (Т5- լամպեր) և մեկ լամպակոթով, չորս արտանցիչներով լյումինեսցենտային լամպեր, որոնք շահագործվում են լյումինեսցենտային լամպերի համար նախատեսված՝ գործարկումը կարգավորող արտաքին ապարատներով |
Prated x 1,10 |
Լյումինեսցենտային լամպերի համար նախատեսված՝ գործարկումը կարգավորող արտաքին ապարատներով շահագործվող այլ լամպեր |
|
Բարձր ճնշման գազապարպումային լամպերի համար նախատեսված՝ գործարկումը կարգավորող արտաքին ապարատներով շահագործվող լամպեր |
Prated x 1,10 |
Ցածր ճնշման նատրիումական գազապարպումային լամպերի համար նախատեսված՝ գործարկումը կարգավորող արտաքին ապարատներով շահագործվող լամպեր |
Prated x 1,15 |
Օգտակար լուսային հոսքը որոշվում է 7-րդ աղյուսակին համապատասխան:
Աղյուսակ 7
Մոդելը |
Օգտակար լուսային հոսքը (Фuse) |
Չուղղորդված լույսով լամպեր |
Ընդհանուր անվանական լուսային հոսքը (Ф) |
Ճառագայթի բացվածքի ≥90՛ անկյունով՝ ուղղորդված լուսաճառագայթմամբ լամպեր՝ բացառությամբ շիկացման լամպերի, որոնց փաթեթվածքի վրա առկա է տեքստային կամ գրաֆիկական ձևով նախազգուշացում, որի համաձայն՝ դրանք հարմար չեն ուղղորդված լուսավորման/թեթևակի լուսավորման համար |
Չափված լուսային հոսքը՝ 120՛ անկյունով կոնում (Ф120՛) |
Ուղղորդված լուսաճառագայթմամբ այլ լամպեր |
Չափված լուսային հոսքը՝ 90՛ անկյունով կոնում (Ф90՛) |
Կշռված էներգասպառումը (Ес) հաշվարկվում է կՎտ ժ ժ/1000ժ-ով՝ հետևյալ կերպ (մինչև երկու տասնորդական նիշ կլորացմամբ)՝
7. Ի լրումն «Էներգասպառող սարքվածքների էներգետիկ արդյունավետությանը ներկայացվող պահանջների մասին» Եվրասիական տնտեսական միության տեխնիկական կանոնակարգի (ԵԱՏՄ ՏԿ 048/2019) (այսուհետ՝ տեխնիկական կանոնակարգ) V բաժնում նշված պահանջների՝ փաթեթվածքը կամ շահագործման փաստաթղթերը պետք է պարունակեն չուղղորդված լույսի կենցաղային լամպերի համար հետևյալ տեղեկատվությունը.
փոխարկման ցիկլերի քանակը՝ նախքան վաղաժամ շարքից դուրս գալը.
բռնկման ժամանակահատվածը՝ մինչև լրիվ լուսային հոսքի 60 %-ին հասնելը (եթե այդ ժամանակը 1 վայրկյանից պակաս է կազմում, ապա կարելի կատարել «ակնթարթային վառք» նշումը).
համապատասխան նշում, եթե լամպի լուսային հոսքի կարգավորումը անհնար է կամ հնարավոր է միայն կարգավորման որոշակի տեսակի օգնությամբ.
համապատասխան նշում, եթե լամպը նախատեսված է հատուկ, ոչ ստանդարտ պայմաններում շահագործման համար (օրինակ՝ շրջակա միջավայրի ջերմաստիճանը Ta ≠ 25 ՛C է).
անվանական սպառվող հզորությունը (եթե լամպի անվանական սպառվող հզորությունը նշվում է էներգետիկ մականշվածքից առանձին, ապա անվանական լուսային հոսքը նույնպես հարկավոր է նշել առանձին, մասնավորապես՝ անվանական սպառվող հզորությունը նշելու համար օգտագործված տառատեսակից առնվազն 2 անգամ ավելի մեծ տառատեսակով).
գունային ջերմաստիճան (Կելվինի աստիճաններով թվային արժեքի տեսքով).
լամպի ծառայության ժամկետը ժամերով (ոչ ավելի, քան ծառայության հաշվարկային ժամկետը).
չափերը (երկարությունը և տրամագիծը) միլիմետրերով.
եթե փաթեթվածքի վրա նշվում է շիկացման սովորական լամպի համարժեքությունը, ապա պետք է նշվի այն համարժեք հզորությունը (մինչև ամբողջ թիվը կլորացմամբ), որը, համաձայն 8-րդ աղյուսակի, համապատասխանում է փաթեթվածքում պարունակվող լամպի լուսային հոսքին։
Աղյուսակ 8
Համարժեք շիկացման լամպի հաշվարկային լուսային հոսքը և սպառվող հզորությունը
Տարբեր տեսակի լամպերի համար հաշվարկային լուսային հոսքը (Ф), լմ |
Համարժեք շիկացման լամպի սպառվող հզորությունը (Վտ-ով) | ||
կոմպակտ լյումինեսցենտային |
հալոգեն շիկացման |
լուսադիոդային և այլն | |
125 |
119 |
136 |
15 |
229 |
217 |
249 |
25 |
432 |
410 |
470 |
40 |
741 |
702 |
806 |
60 |
970 |
920 |
1 055 |
75 |
1 398 |
1 326 |
1 521 |
100 |
2 253 |
2 137 |
2 452 |
150 |
3 172 |
3 009 |
3 452 |
200 |
Համարժեք շիկացման լամպի լուսային հոսքի և սպառվող հզորության միջանկյալ արժեքները (մինչև ամբողջ թիվը կլորացմամբ) անհրաժեշտ է որոշել հարակից արժեքների միջև գծային միջարկման միջոցով։
«Էներգախնայող լամպ» նշագիրը կամ լամպի էներգետիկ արդյունավետության վերաբերյալ գովազդային բնույթի համանման նշագիրը թույլատրելի է միայն, եթե լամպը համապատասխանում է 1-ին փուլի անթափանց ապակուց լամպանոթով լամպերի նկատմամբ կիրառվող էներգետիկ արդյունավետության պահանջներին, որոնք բերված են 1-ին աղյուսակում։
Եթե լամպը պարունակում է սնդիկ, ապա պետք է նշված լինի հետևյալ լրացուցիչ տեղեկատվությունը՝
լամպի վնասման (կոտրման) դեպքում տարածքի մաքրման վերաբերյալ հրահանգ-ցուցում.
լամպի օգտահանման վերաբերյալ առաջարկություններ:
8. Ի լրումն սույն պահանջների 7-րդ կետում բերված տեղեկատվության՝ փաստաթղթերի լրակազմ փաթեթին պետք է կցվի հետևյալ տեղեկատվությունը, որը նաև տրամադրվում է արտադրողի համար հարմար ցանկացած այլ տեսքով (այդ թվում՝ «Համացանցի» միջոցով)՝
սպառվող հզորությունը (մինչև 0,1 Վտ ճշտությամբ),
լուսային հոսքը,
ծառայության ժամկետը,
հզորության գործակիցը,
ծառայության անվանական ժամկետի վերջում լամպի լուսային հոսքի կայունությունը,
գունահաղորդման ցուցիչը:
IV. Էլեկտրական լամպերի էներգետիկ արդյունավետության պարամետրերի թույլատրելի շեղումները դրանց շրջանառության դրվելուց հետո փորձարկումներ (չափումներ) անցկացնելիս
9. Միության մաքսային տարածքում էլեկտրական լամպերը շրջանառության մեջ դնելուց հետո դրանց փորձարկումներ (չափումներ) անցկացնելու դեպքում կատարվում են մեկ մոդելի և մեկ արտադրողի կողմից արտադրված արտադրանքի առնվազն 20 նմուշից բաղկացած խմբաքանակի փորձարկումներ (չափումներ): Սպառվող հզորության չափված արժեքը չպետք է ավելի լինի անվանական (հայտարարված) արժեքից ավելի քան 10%-ով, իսկ լուսային հոսքի չափված արժեքը չպետք է պակաս լինի անվանական (հայտարարված) արժեքից ավելի քան 10%-ով:
Այլ դեպքերում էլեկտրական լամպի տվյալ մոդելը հարկավոր է դիտարկել որպես տեխնիկական կանոնակարգի պահանջներին չհամապատասխանող։
V. էլեկտրական լամպերի էներգետիկ արդյունավետության պիտակի և տեխնիկական թերթիկի բովանդակությունը
10. Էլեկտրական լամպերի էներգետիկ արդյունավետության պիտակը պետք է պարունակի հետևյալ տեղեկությունները՝
I. արտադրողի անվանումը կամ ապրանքային նշանը (առկայության դեպքում).
II. մոդելի նշագիրը.
III. էներգետիկ արդյունավետության դասը.
Էներգետիկ արդյունավետության պատկերագիրը գտնվում է էներգետիկ արդյունավետության համապատասխան դասի սլաքի մակարդակում.
IV. Ес՝ էլեկտրաէներգիայի հաշվարկային սպառումը՝ լամպի աշխատանքի 1000 ժամում կՎտ գ ժ-ով (կլորացվում է մինչև ամբողջ թիվը).
11. Էլեկտրական լամպերի շահագործման փաստաթղթերի կազմում ներառվող տեխնիկական թերթիկը պետք է պարունակի սույն պահանջների 10-րդ կետով նախատեսված բնութագրերի ցանկը:
VI. Էլեկտրական լամպերի էներգետիկ արդյունավետության դասերի որոշումը
12. Էլեկտրական լամպերի էներգետիկ արդյունավետության դասը որոշվում է էներգետիկ արդյունավետության ցուցիչին (ЕЕI) համապատասխան՝ 9-րդ աղյուսակի համաձայն:
Աղյուսակ 9
Էլեկտրական լամպերի էներգետիկ արդյունավետության դասերը
Էներգետիկ արդյունավետության դասը |
Էներգետիկ արդյունավետության ցուցիչը |
Չուղղորդված լույսի լամպերի (լույսի աղբյուրների) համար | |
А ++ |
ЕЕI ≤ 0,11 |
А + |
0,11 < ЕЕI ≤ 0,17 |
А |
0,17 < ЕЕI ≤ 0,24 |
В |
0,24 < ЕЕI ≤ 0,60 |
С |
0,60 < ЕЕI ≤ 0,80 |
D |
0,80 < ЕЕI ≤ 0,95 |
Е (նվազագույն արդյունավետ) |
ЕЕI > 0,95 |
ՀԱՎԵԼՎԱԾ ԹԻՎ 10 «Էներգասպառող սարքվածքների էներգետիկարդյունավետությանը ներկայացվող պահանջների մասին» Եվրասիական տնտեսական միության տեխնիկական կանոնակարգի (ԵԱՏՄ ՏԿ048/2019) |
ՊԱՀԱՆՋՆԵՐ
արտաքին սնուցման աղբյուրների էներգետիկ արդյունավետությանը ներկայացվող
I. Կիրառության ոլորտը
1. Սույն պայմանները տարածվում են Եվրասիական տնտեսական միության (այսուհետ՝ Միություն) մաքսային տարածքում շրջանառության մեջ դրվող արտաքին սնուցման աղբյուրների վրա` բացառությամբ
ա) լարման կերպափոխիչների,
բ) անխափան սնուցման աղբյուրների,
գ) կուտակիչ մարտկոցների համար լիցքավորման սարքվածքների,
դ) հալոգենային լամպերի համար կերպափոխիչների,
ե) բժշկական սարքավորումների համար արտաքին սնուցման աղբյուրների,
զ) արտաքին սնուցման աղբյուրների, որոնք ունեն մեկից ավելի ելքեր՝ յուրաքանչյուր ելքի համար լարման անկախ փոխարկմամբ,
է) արտաքին սնուցման աղբյուրների, որոնք շրջանառության մեջ են դրվում Միության մաքսային տարածքում «Էներգասպառող սարքվածքների էներգետիկ արդյունավետությանը ներկայացվող պահանջների մասին» Միության տեխնիկական կանոնակարգը (ԵԱՏՄ ՏԿ 048/2019) (այսուհետ՝ տեխնիկական կանոնակարգ) ուժի մեջ մտնելու պահից 2 տարվա ընթացքում՝ որպես տեխնիկական կանոնակարգն ուժի մեջ մտնելուց առաջ Միության տարածքում շրջանառության մեջ դրված սարքավորումների պահեստամասեր՝ պայմանով, որ արտաքին սնուցման աղբյուրի շահագործման փաստաթղթերում նույնականացվել են սարքավորումները որոնց հետ աշխատելու համար նախատեսված են սնուցման նշված աղբյուրները։
II. Հիմնական հասկացությունները
2. Սույն պահանջները կիրառելու նպատակներով օգտագործվում են հասկացություններ, որոնք ունեն հետևյալ իմաստը.
ակտիվ ռեժիմ՝ ռեժիմ, որի դեպքում արտաքին սնուցման աղբյուրի մուտքը միացված է ցանցային սնուցման աղբյուրին, իսկ ելքը միացված է բեռնվածքին.
արտաքին սնուցման աղբյուր՝ սարքվածք, որը բավարարում է հետևյալ բոլոր պայմանները՝
նախատեսված է ցանցում սնուցման աղբյուրից փոփոխական հոսանքի մուտքային լարումը ավելի ցածր ելքային լարման կերպափոխելու համար.
ունակ է իրականացնելու հաստատուն կամ փոփոխական հոսանքի մուտքային լարման կերպափոխումը ելքային լարման (հաստատուն կամ փոփոխական հոսանքի արտաքին սնուցման աղբյուրներ).
նախատեսված է հիմնական բեռնվածքի դեր կատարող՝ դրանից առանձին՝ սնուցվող էլեկտրական սարքավորումների հետ օգտագործելու համար.
պարփակված է հիմնական բեռնվածքի սնուցվող սարքավորումներից առանձնացված ֆիզիկական թաղանթի (պատյանի) մեջ.
սնուցվող սարքավորումների հետ միացված է հանովի կամ կոշտ ամրակցված միաժանի-բնիկային էլեկտրական միացումների, մալուխի, լարի, հաղորդալարի կամ միակցիչ այլ սարքվածքի միջոցով.
ունի 250 Վտ-ից ոչ ավելի անվանական ելքային հզորություն.
նախատեսված է կենցաղային և գրասենյակային էլեկտրական այն սարքավորումների հետ օգտագործելու համար, որոնք ներառված են տեխնիկական կանոնակարգի թիվ 5 և թիվ 17 հավելվածների կիրառության բնագավառում.
կուտակիչ մարտկոցի լիցքավորման սարքվածք՝ սարքվածք, որն իր ելքային ինտերֆեյսի վրա անմիջապես միացվում է հանովի կուտակիչ մարտկոցի բևեռներին.
անխափան սնուցման աղբյուր՝ սարքվածք, որն ավտոմատ ապահովում է պահուստային սնուցումը՝ ցանցում լարումը կրիտիկականից ցածր մակարդակի ընկնելու դեպքում.
ակտիվ ռեժիմում արտաքին սնուցման աղբյուրի օգտակար գործողության գործակիցը (ՕԳԳ)՝ ակտիվ ռեժիմում արտաքին սնուցման աղբյուրով ապահովվող հզորության և ակտիվ ռեժիմում արտաքին սնուցման աղբյուրի կողմից սպառվող մուտքային հզորության հարաբերությունը.
ցածրավոլտ՝ արտաքին սնուցման աղբյուր՝ արտաքին սնուցման աղբյուր 6 Վ-ից պակաս անվանական ելքային լարմամբ և 550 մԱ-ից ոչ պակաս անվանական ելքային հոսանքով.
անվանական ելքային հզորություն (Ро)՝ արտադրողի կողմից սահմանված ելքային հզորությունը.
հալոգենային լամպերի համար կերպափոխիչ՝ արտաքին սնուցման աղբյուր, որն օգտագործվում է գերցածրավոլտ վոլֆրամային հալոգենային լամպերի հետ.
լարման կերպափոխիչ՝ սարքվածք, որը փոփոխական հոսանքի 220 Վ-ից մինչև 240 Վ անվանական արժեքներով ցանցի ելքային լարումը կերպափոխում է ցանցի ելքային բնութագրերին նման բնութագրերով փոփոխական հոսանքի 110 Վ-ից մինչև 127 Վ անվանական արժեքներով ելքային լարման.
պարապ ընթացքի ռեժիմ՝ ռեժիմ, որի դեպքում արտաքին սնուցման աղբյուրի մուտքը միացված է ցանցային սնուցման աղբյուրին, իսկ դրա ելքին բեռնվածք միացված չէ.
արտաքին սնուցման աղբյուրի ՕԳԳ-ի միջին արժեքը՝ 25 %, 50 %, 75 %, և 100 % անվանական ելքային հզորության դեպքում արտաքին սնուցման աղբյուրի ՕԳԳ-ի միջին արժեքը։
III. Արտաքին սնուցման աղբյուրների էներգետիկ արդյունավետությանը ներկայացվող պահանջները և էներգետիկ արդյունավետության ցուցանիշների սահմանման առանձնահատկությունները
3. Պարապ ընթացքի ռեժիմում արտաքին սնուցման աղբյուրի էներգասպառումը չպետք է գերազանցի 1-ին աղյուսակում նշված սահմանային արժեքները։
Աղյուսակ 1
Պարապ ընթացքի ռեժիմում էներգասպառման առավելագույն թույլատրելի արժեքները
Արտաքին սնուցման աղբյուրի անվանական ելքային հզորությունը |
Պարապ ընթացքի ռեժիմում էներգասպառումը | ||
արտաքին սնուցման աղբյուրներ` բացի սնուցման ցածրավոլտ աղբյուրներից |
ցածրավոլտ արտաքին սնուցման աղբյուրներ՝ | ||
փոփոխական հոսանքի |
հաստատուն հոսանքի | ||
Р0 ≤ 51,0 Վտ-ի |
0,50 Վտ |
0,30 Վտ |
0,30 Վտ |
Р0 > 51,0 Վտ-ի |
0,50 Վտ |
0,50 Վտ |
պահանջ չկա |
4. Արտաքին սնուցման աղբյուրի ՕԳԳ-ի միջին արժեքը չպետք է լինի 2-րդ աղյուսակում նշված սահմանային արժեքներից ցածր։
Աղյուսակ 2
ՕԳԳ-ի նվազագույն թույլատրելի միջին արժեքները
Արտաքին սնուցման աղբյուրի անվանական հզորությունը |
ՕԳԳ-ի միջին արժեքը | |
արտաքին սնուցման աղբյուրներ՝ բացի ցածրավոլտ աղբյուրներից |
ցածրավոլտ արտաքին սնուցման աղբյուրներ | |
Р0 ≤ 1,0 Վտ-ի |
0,480 x P0+ 0,140 |
0,497 x P0+ 0,067 |
1,0 Վտ < P0 ≤ 51,0 Վտ-ի |
0,063 x In (P0) + 0,622 |
0,075 x In (P0) + 0,561 |
Р0 > 51,0 Վտ-ի |
0,870 |
0,860 |
5. 0,50-ին Վտ-ին հավասար կամ այն գերազանցող հզորության չափումներն անհրաժեշտ է իրականացնել 2 %-ց պակաս կամ դրան հավասար անորոշությամբ՝ 95 % վստահության մակարդակի դեպքում։
6. 0,50 Վտ-ից պակաս հզորության չափումները անհրաժեշտ է իրականացնել 0,01 Վտ-ից պակաս կամ դրան հավասար անորոշությամբ՝ 95 % վստահության մակարդակի դեպքում+։
7. Տեխնիկական կանոնակարգի 13-րդ կետով նախատեսված՝ արտաքին սնուցման աղբյուրներին կցվող շահագործման փաստաթղթերը պետք է պարունակեն դրանց բնութագրերի և պարամետրերի մասին հետևյալ տեղեկությունները՝
ա) անվանական ելքային լարումը (Վ-ով).
բ) պայմանանշանը, որով նշվում է ելքային լարումը (АС կամ DС).
գ) անվանական ելքային հոսանքը (Ա-ով՝ ≥ 1 Ա հոսանքների համար, և մԱ-ով՝ < 1 Ա հոսանքների համար).
դ) անվանական ելքային հզորությունը (Վտ-ով)՝ որպես անվանական ելքային հոսանքի մակնշման այլընտրանք:
8. Տեխնիկական կանոնակարգի 28-րդ կետի «ա» ենթակետում կամ 29-րդ կետի «ա» ենթակետում նշված՝ արտաքին սնուցման աղբյուրներին կցվող փաստաթղթերի լրակազմ փաթեթում (հաշվի առնելով հայտատուի ընտրած համապատասխանության հայտարարագրման սխեման) պետք է լրացուցիչ ներառվեն հետևյալ տեղեկությունները՝
ա) էներգասպառումը փորձարկելու (չափելու ) համար կիրառվող մեթոդները.
բ) ելքային հոսանքի (մԱ-ով) և ելքային լարման (Վ-ով) միջին քառակուսային արժեքները (25+2) %, (50 + 2) %, (75 + 2) % և (100 + 2) % անվանական ելքային հոսանքի համար.
գ) ակտիվ ռեժիմում ելքային հզորության և սպառվող հզորության արժեքները (25 + 2) %, (50 + 2) %, (75 + 2) % և (100 + 2) % անվանական ելքային հոսանքի դեպքում.
դ) մուտքային լարման (Վ-ով) և մուտքային հզորության (Վտ-ով) միջին քառակուսային արժեքները 0 % (առանց բեռնվածքի), (25 + 2) %, (50 + 2) %, (75 + 2) % և (100 + 2) % անվանական ելքային հոսանքի դեպքում.
ե) էլեկտրասնուցման ցանցի ներդաշնակ բաղադրիչների գումարային գործակիցը և հզորության իրական գործակիցը 0 % (առանց բեռնվածքի), (25 + 2) %, (50 + 2) %, (75 + 2) % և (100 + 2) % անվանական ելքային հոսանքի դեպքում:
IV. Արտաքին սնուցման աղբյուրների էներգետիկ արդյունավետության պարամետրերի թույլատրելի շեղումները դրանց շրջանառության դրվելուց հետո փորձարկումներ (չափումներ) անցկացնելիս
9. Արտաքին սնուցման աղբյուրները Միության մաքսային տարածքում շրջանառության մեջ դնելուց հետո դրանց փորձարկումներ (չափումներ) անցկացնելու դեպքում կատարվում են արտաքին սնուցման աղբյուրի յուրաքանչյուր մոդելի մեկ տիպային նմուշի (օրինակի) փորձարկումներ (չափումներ)։
Արտաքին սնուցման աղբյուրի մոդելը համարվում է սույն պահանջներին համապատասխանող այն դեպքում, երբ պարապ ընթացքի ռեժիմում սպառվող հզորությունը չի գերազանցում սահմանային թույլատրելի արժեքը ավելի քան 0,10 Վտ-ով, իսկ ՕԳԳ-ի միջին արժեքը սույն պահանջների 4-րդ կետով սահմանված թույլատրելի սահմանային արժեքից ավելի քան 5 % -ով ցածր չէ։
Եթե ստացված արժեքները չեն համապատասխանում նշված արժեքներին, ապա փորձարկումները (չափումները) անհրաժեշտ է անցկացնել տվյալ մոդելի արտաքին սնուցման աղբյուրի 3 լրացուցիչ նմուշների նկատմամբ։ Արտաքին սնուցման աղբյուրի մոդելը համարվում է սույն պահանջներին համապատասխանող, եթե այս 3 նմուշների չափումների արդյունքների միջին արժեքը չի գերազանցում սույն կետի երկրորդ պարբերությունում նշված սահմանային արժեքները:
Այլ դեպքերում արտաքին սնուցման աղբյուրի տվյալ մոդելը անհրաժեշտ է դիտարկել որպես տեխնիկական կանոնակարգի պահանջներին չհամապատասխանող։
ՀԱՎԵԼՎԱԾ ԹԻՎ 11 «Էներգասպառող սարքվածքների էներգետիկարդյունավետությանը ներկայացվող պահանջների մասին» Եվրասիական տնտեսական միության տեխնիկական կանոնակարգի (ԵԱՏՄ ՏԿ048/2019) |
ՊԱՀԱՆՋՆԵՐ
շրջանառու պոմպերի էներգետիկ արդյունավետությանը ներկայացվող
I. Կիրառության ոլորտը
1. Սույն պահանջները տարածվում են Եվրասիական տնտեսական միության (այսուհետ՝ Միություն) մաքսային տարածքում շրջանառության մեջ դրվող հերմետիկ ինքնավար և ինտեգրված (այլ սարքավորումների մեջ ներկառուցված) շրջանառու պոմպերի վրա՝ բացառությամբ հետևյալ շրջանառու պոմպերի՝
ա) խմելու ջրի համար, որոնց փաթեթվածքի վրա և դրանց կից ներկայացվող շահագործման փաստաթղթերում առկա է նշում այն մասին, որ տվյալ շրջանառու պոմպը նախատեսված է միայն խմելու ջրի համար.
բ) որոնք շրջանառության մեջ են դրվում Եվրասիական տնտեսական միության մաքսային տարածքում «Էներգասպառող սարքվածքների էներգետիկ արդյունավետությանը ներկայացվող պահանջների մասին» Միության տեխնիկական կանոնակարգը (ԵԱՏՄ ՏԿ 048/2019) (այսուհետ՝ տեխնիկական կանոնակարգ) ուժի մեջ մտնելու օրվանից 5 տարվա ընթացքում՝ որպես տեխնիկական կանոնակարգն ուժի մեջ մտնելուց առաջ Եվրասիական տնտեսական միության մաքսային տարածքում շրջանառության մեջ դրված այլ սարքավորումներում ներկառուցված շրջանառու պոմպերին փոխարինող պահեստամասեր՝ պայմանով, որ այդպիսի ինտեգրված շրջանառու պոմպերի շահագործման փաստաթղթերում նշվել են այն սարքավորումները, որոնց մեջ ներկառուցման համար նախատեսված են տվյալ պոմպերը։
II. Հիմնական հասկացությունները
2. Սույն պահանջները կիրառելու նպատակներով օգտագործվում են հասկացություններ, որոնք ունեն հետևյալ իմաստը՝
ինքնավար շրջանառու պոմպ՝ շրջանառու պոմպ, որն աշխատում է սարքավորումներից անկախ ինքնավար կերպով.
սարքավորումների մեջ ներկառուցված շրջանառու պոմպ՝ շրջանառու պոմպ, որը նախատեսված է որպես սարքավորումների մաս աշխատանքի համար, ընդ որում՝ առկա է հետևյալ կառուցվածքային առանձնահատկություններից առնվազն մեկը՝
պոմպի կորպուսը հարմարեցված է սարքավորումների կազմում հավաքակցման և օգտագործման համար.
շրջանառու պոմպը նախատեսված է դրա արագությունը կարգավորող սարքավորումների կազմում օգտագործելու համար.
շրջանառու պոմպն ունի անվտանգության այնպիսի բնութագրեր, որոնք հարմարեցված չեն ինքնավար աշխատանքի համար (պաշտպանության IP դաս).
շրջանառու պոմպը դիտարկվում է որպես համապատասխանության հաստատման ենթակա սարքավորումների մաս.
հերմետիկ շրջանառու պոմպ՝ շրջանառու պոմպ, որի աշխատանքային անիվն անմիջապես միացված է շարժիչի լիսեռին, որն ընկղմված է վերամղվող միջավայրի մեջ.
պոմպի կորպուս՝ թիակավոր պոմպի մաս, որը նախատեսված է ջեռուցման համակարգի խողովակին կամ հովացման բաշխիչ համակարգի երկրորդային հաղորդաշղթային միացման համար.
սարքավորումներ՝ ջերմություն արտադրող և (կամ) հաղորդող սարքվածք.
շրջանառու պոմպ՝ կորպուսով կամ առանց կորպուսի թիակավոր պոմպ, որը հաշվարկված է 1 Վտ-ից մինչև 2 500 Վտ անվանական հիդրավլիկ հզորության համար և նախատեսված է ջեռուցման համակարգերում կամ հովացման բաշխիչ համակարգերի երկրորդային հաղորդաշղթաներում օգտագործման համար.
խմելու ջրի համար նախատեսված շրջանառու պոմպ՝ շրջանառու պոմպ, որը հատուկ մշակված է մարդու կողմից սպառման համար նախատեսված ջրի վերաշրջանառության համակարգում օգտագործման համար։
III. Շրջանառու պոմպերի էներգետիկ արդյունավետությանը ներկայացվող պահանջները և էներգետիկ արդյունավետության ցուցանիշների սահմանման առանձնահատկությունները
3. Արտադրողի կողմից պետք է կատարվի շրջանառու պոմպի էներգետիկ արդյունավետության ցուցիչի (EEI) հաշվարկը՝ անհրաժեշտ փորձարկումներով (չափումներով)։
4. Շրջանառու պոմպերի (բացի արևային տաքացուցիչ համակարգերի առաջնային հաղորդաշղթաներում և ջերմային պոմպերում օգտագործման համար նախատեսված սարքավորումների մեջ ներկառուցված շրջանառու պոմպերից) էներգետիկ արդյունավետության ցուցիչի (EEI) հաշվարկն իրականացվում է հետևյալ կարգով։
Եթե շրջանառու պոմպը կարող է աշխատել 2 կամ ավելի աշխատանքային բնութագրիչներով, որոնք ճնշման (Н) կախվածությունն են մատուցումից (Q), ապա չափումն անհրաժեշտ է կատարել ըստ այն բնութագրիչի, որն ապահովում է Q x H արտադրյալի առավելագույն արժեքների ստացումը։
Ճնշումը (Н) ջրային սյան բարձրությունն է մետրով, որն ստեղծվում է շրջանառու պոմպով տվյալ աշխատանքային կետում։ Մատուցում (Q)՝ նշանակում է շրջանառու պոմպի միջով մ3/ժ-ում անցնող ջրի հոսքի ծավալային արագությունը։
Գտնվում է այն կետը, որտեղ Q x H արտադրյալն ունի առավելագույն արժեքը, և սահմանում է մատուցումն ու ճնշումն այդ կետում որպես՝
Q100 % և Н100 %։
Հաշվարկվում է այդ կետում հիդրավլիկ հզորությունը (Phyd): Հիդրավլիկ հզորությունը (Phyd) մատուցման (Q), ճնշման (Н) և հաստատունի թվաբանական արտադրյալն է։
«Phyd»՝ հիդրավլիկ հզորությունը (Վտ-ով), որը հաղորդվում է որոշակի աշխատանքային կետում վերամղվող հեղուկի շրջանառու պոմպով։
Հաշվարկվում է 1 Վտ ≤ Phyd ≤ 2500 Վտ հիդրավլիկ հզորության ընդգրկույթի համար վերահսկիչ հզորությունը (Pref) հետևյալ բանաձևով՝
որտեղ Pref՝-ը շրջանառու պոմպի վերահսկիչ հզորությունն է (Վտ-ով)։
Վերահսկիչ հզորությունը շրջանառու պոմպի հիդրավլիկ հզորության և սպառվող հզորության հարաբերակցությունն է՝ հաշվի առնելով շրջանառու պոմպի արդյունավետության կախվածությունը դրա չափսից։
Սահմանում է հենարանային վերահսկիչ գիծը որպես (Q100 %, H100 %) և կետերի միջև ուղիղ գիծ, ինչպես ցույց է տրված 1-ին նկարում։
Նկ. 1. Շրջանառու պոմպի հենարանային վերահսկիչ գիծը։
Ընտրվում է շրջանառու պոմպի սարքաբերման այն ձևը, որը երաշխավորում է, որ շրջանառու պոմպի համար Q x H արտադրյալը ընտրված գծի վրա կհասնի առավելագույնի։ Սարքավորումների մեջ ներկառուցված շրջանառու պոմպի համար անհրաժեշտ է հետևել հենարանային վերահսկիչ գծին՝ կարգավորելով համակարգի կորը և շրջանառու պոմպի արագությունը։
Համակարգի կորը ջեռուցման համակարգում կամ հովացման բաշխիչ համակարգում շփման արդյունքում մատուցումից ճնշման գրաֆիկական կախվածությունն է (Н = f (Q)), ինչպես ցույց է տրված 2-րդ նկարում։
Նկ. 2. Ինտեգրված շրջանառու պոմպի համակարգի կորը:
Չափվում է Q100%, 0,75 x Q100%, 0,5 x Q100% և 0,25 x Q100% մատուցումների դեպքում Р1 և Н, որտեղ P1-ը՝ որոշակի աշխատանքային կետում շրջանառու պոմպով սպառվող էլեկտրական հզորությունն է (Վտ-ով)։
Հաշվարկվում է մուտքի փոխհատուցող հզորությունը (РL) հետևյալ ձևով՝
որտեղ՝
Href -ը ՝ տարբեր մատուցումների դեպքում հենարանային վերահսկիչ գծի վրա ճնշումն է.
P1, meas -ը ՝ չափված էլեկտրական հզորությունը.
Hmeas -ը ՝ չափված ճնշումը։
Օգտագործվում են Pl -ի չափված արժեքները և 3-րդ նկարում ներկայացված՝ բեռնվածքի պրոֆիլի գրաֆիկը՝ միջինացված փոխհատուցող հզորության (PLavg) հաշվարկման համար՝
Նկ.3 Բեռնվածքի պրոֆիլ Մատուցում(%) Ժամանակ (%)
Միջինացված փոխհատուցող հզորությունը (PLavg) հաշվարկվում է հետևյալ բանաձևով՝
PL,avg = 0,06 x PL,100% + 0,15 x PL,75% + 0,35 x PL,50% + 0,44 x PL,25%, :
Էներգետիկ արդյունավետության ցուցիչը (EEI) հաշվարկվում է հետևյալ բանաձևով՝
որտեղ՝
C20% = 0,49։
Cxx% -ը ճշգրտման գործակիցն է, որը երաշխավորում է, որ ճշգրտման գործակիցը որոշելու ժամանակ որոշակի տեսակի շրջանառու պոմպերի միայն ХХ %-ի EEI ≤ 0,20-ի։
5. Արևային էներգիան օգտագործող ջեռուցման համակարգի առաջնային հաղորդաշղթաներում և ջերմային պոմպերում օգտագործման համար նախատեսված սարքավորումների մեջ ներկառուցված շրջանառու պոմպերի էներգետիկ արդյունավետության ցուցիչը (EEI) հաշվարկվում է հետևյալ բանաձևով՝
որտեղ՝
ns՝ շրջանառու պոմպի արագընթացության գործակիցը՝ րոպեում պտույտներով (պտ/ր), որը հաշվարկվում է հետևյալ բանաձևով՝
որտեղ՝ n100%՝ շրջանառու պոմպերի պտտման հաճախությունն է պտ/ր-ում՝ որոշված Q100% և H100 % դեպքում։
6. Ցուցանիշների փորձարկումները (չափումները) անցկացվում են հետևյալ պայմաններում՝
ա) կորպուսով ինքնավար շրջանառու պոմպը պետք է փորձարկվի որպես մեկ ամբողջություն,
բ) առանց կորպուսի ինքնավար շրջանառու պոմպը պետք է փորձարկվի պոմպի հետ օգտագործման համար նախատեսված պոմպի կորպուսին նույնական կորպուսով,
գ) ինտեգրված շրջանառու պոմպը պետք է ապամոնտաժվի արտադրատեսակից, և էներգետիկ արդյունավետության ցուցիչը (ЕЕI) պետք է չափվի պոմպի ստանդարտ կորպուսի հետ միասին.
դ) արտադրատեսակի մեջ ներկառուցման համար նախատեսված՝ առանց կորպուսի շրջանառու պոմպը պետք է փորձարկվի պոմպի ստանդարտ կորպուսի հետ միասին:
7. Ինքնավար և ինտեգրված շրջանառու պոմպերի էներգետիկ արդյունավետության ցուցիչը պետք է լինի 0,23-ից ոչ ավելի:
8. Տեխնիկական կանոնակարգի 13-րդ կետով նախատեսված՝ շրջանառու պոմպերին կցվող շահագործման փաստաթղթերը պետք է պարունակեն դրանց բնութագրերի և պարամետրերի մասին հետևյալ տեղեկությունները՝
ա) շրջանառու պոմպերի էներգետիկ արդյունավետության ցուցիչը (EEI), որը նշված է պոմպի մականշվածքում, դրա փաթեթվածքի վրա և շահագործման փաստաթղթերում՝ «EEI ≤ 0, [XX]» ձևով.
բ) ինքնավար շրջանառու պոմպերի համար հետևյալ գրառումը՝ «Ամենաարդյունավետ՝ շրջանառու պոմպերի համապատասխանության չափորոշիչը՝ EEI ≤ 0,20».
գ) խմելու ջրի համար նախատեսված շրջանառու պոմպերի համար նշանակության մասին տեղեկատվությունը՝ «Այս շրջանառու պոմպը նախատեսված է միայն խմելու ջրի համար»։ Այդ տեղեկատվությունը նշվում է նաև շրջանառու պոմպի փաթեթվածքի վրա.
դ) պոմպի քանդմանը, կրկնակի օգտագործմանը և օգտահանմանը վերաբերող տեղեկատվությունը։
IV. Շրջանառու պոմպերի էներգետիկ արդյունավետության պարամետրերի թույլատրելի շեղումները դրանց շրջանառության դրվելուց հետո փորձարկումներ (չափումներ) անցկացնելիս
9. Շրջանառու պոմպերը Միության մաքսային տարածքում շրջանառության մեջ դնելուց հետո դրանց փորձարկումները (չափումները) անցկացնելու դեպքում կատարվում են յուրաքանչյուր մոդելի շրջանառու պոմպի մեկ տիպային օրինակի փորձարկումներ (չափումներ)։
Շրջանառու պոմպի մոդելը համարվում է սույն պահանջներին համապատասխանող, եթե շրջանառու պոմպի մոդելի տիպային օրինակի էներգետիկ արդյունավետության ցուցիչը (EEI) ավելի քան 7 %-ով չի գերազանցում շրջանառու պոմպի այդ մոդելի համար սույն պահանջների 7-րդ կետին համապատասխան սահմանված արժեքները։
Այլ դեպքերում փորձարկումների (չափումների) են ենթարկում տվյալ մոդելի պատահական ընտրված 3 շրջանառու պոմպեր։ Շրջանառու պոմպի մոդելը համարվում է սույն պահանջներին համապատասխանող, եթե շրջանառու պոմպի այս 3 տիպային օրինակների էներգետիկ արդյունավետության ցուցիչի (EEI) միջին արժեքը չի գերազանցում սույն կետի երկրորդ պարբերության մեջ նշված արժեքները։
Այլ դեպքերում շրջանառու պոմպի տվյալ մոդելը անհրաժեշտ է դիտարկել որպես տեխնիկական կանոնակարգի պահանջներին չհամապատասխանող։
ՀԱՎԵԼՎԱԾ ԹԻՎ 12 «Էներգասպառող սարքվածքների էներգետիկարդյունավետությանը ներկայացվող պահանջների մասին» Եվրասիական տնտեսական միության տեխնիկական կանոնակարգի (ԵԱՏՄ ՏԿ048/2019) |
ՊԱՀԱՆՋՆԵՐ
էլեկտրաշարժաբերով օդափոխիչների էներգետիկ արդյունավետությանը ներկայացվող
I. Կիրառության ոլորտը
1. Սույն պահանջները տարածվում են Եվրասիական տնտեսական միության (այսուհետ՝ Միություն) մաքսային տարածքում շրջանառության մեջ դրվող ինքնավար և այլ սարքավորումների մեջ ներկառուցված՝ 125 Վտ-ից (ներառյալ) մինչև 500 կՎտ-ը (ներառյալ) և փոփոխական հոսանքի՝ մինչև 1000 Վ-ը (ներառյալ) և հաստատուն հոսանքի մինչև 1500 Վ-ն (ներառյալ) էլեկտրաշարժաբերով օդափոխիչների վրա՝ բացառությամբ սենյակային օդափոխիչների և օդափոխիչների, որոնք նախատեսված են՝
ա) պայթավտանգ, թունավոր, քայքայում առաջացնող և հղկանյութային փոշի պարունակող միջավայրերում աշխատանքի,
բ) շարժունակ գազերի 100 ՛C-ից բարձր ջերմաստիճանի պայմաններում շահագործման,
գ) օդափոխիչի էլեկտրաշարժիչը շրջապատող միջավայրի՝ 65 ՛C-ից բարձր աշխատանքային ջերմաստիճանի պայմաններում շահագործման,
դ) շարժունակ գազերի և (կամ) օդափոխիչի էլեկտրաշարժիչը շրջապատող 40 ՛C-ից ցածր միջին տարեկան ջերմաստիճանի պայմաններում շահագործման,
ե) միայն արտակարգ, վթարային և ծայրահեղ դեպքերում կարճաժամկետ աշխատանքի,
զ) ներկառուցման համար՝
3 կՎտ-ից ոչ ավելի հզորությամբ մեկ էլեկտրաշարժիչով սարքավորումների մեջ, որոնք շարժման մեջ են դնում օդափոխիչը և ծառայում են տվյալ սարքավորումների համար հիմնական համարվող այլ գործառույթներ կատարելու համար.
3 կՎտ-ից ոչ ավելի անվանական սպառվող հզորությամբ՝ սպիտակեղենի չորանոցներում և լվացքաչորացնող մեքենաներում.
280 Վտ-ից պակաս սպառվող անվանական հզորությամբ՝ խոհանոցի օդաքաշիչներում և օդամաքրիչներում։
II. Հիմնական հասկացությունները
2. Սույն պահանջները կիրառելու նպատակներով օգտագործվում են հասկացություններ, որոնք ունեն հետևյալ իմաստը.
օդափոխիչ՝ պտտվող թիակներով մեքենա, որն օգտագործվում է դրա միջով անցնող գազի (սովորաբար օդի) անընդհատ հոսքը պահպանելու համար, որի աշխատանքը զանգվածի 1 միավորի վրա չի գերազանցում 25 կՋ/կգ-ն և որը՝
մշակվել է ներկառուցված էլեկտրաշարժիչի հետ օգտագործման համար կամ ունի ներկառուցված էլեկտրաշարժիչ՝ թևանիվի օպտիմալ էներգետիկ արդյունավետության դեպքում այն պտտելու համար,
առանցքային, շառավղային, տրամագծային կամ անկյունագծային օդափոխիչ է,
շուկայում տեղակայման կամ շահագործման մեջ դնելու ժամանակ կարող է ունենալ կամ չունենալ շարժիչ.
մուտքային ուղղորդիչ սարքվածք՝ թևանիվից առաջ տեղակայված ուղղորդիչ սարքվածք՝ կարգավորման հնարավորությամբ կամ առանց դրա, որը նախատեսված է գազի հոսքը թևանիվ ուղղելու համար.
մուտքային ծավալային ծախս (q)` միավոր ժամանակում (մ3/վրկ) օդափոխիչի միջով անցնող գազի ծավալը, որը հաշվարկվում է օդափոխիչով շարժունակ գազի (կգ/վրկ) զանգվածը օդափոխիչի ելքի մոտ այդ գազի խտության վրա (կգ/մ3) բաժանելու միջոցով.
բարձրարդյունավետ շարժաբեր՝ շարժաբեր մեխանիզմ, որում օգտագործվում են դրա հաստությունը ավելի քան եռակի գերազանցող լայնության փոկ, ատամնավոր փոկ կամ անիվ.
օդաքաշ օդափոխիչ՝ օդափոխիչ, որը չի կիրառվում հետևյալ էներգասպառող արտադրատեսակներում՝
3 կՎտ-ից բարձր առավելագույն էլեկտրական սպառվող հզորությամբ՝ սպիտակեղենի չորանոցներում և լվացքաչորացնող մեքենաներում.
12 կՎտ-ից ոչ ավելի առավելագույն ելքային հզորությամբ օդորակիչներում.
էլեկտրոնային հաշվողական մեքենաներում և տեղեկատվական տեխնոլոգիաների շարքին դասվող այլ սարքավորումներում.
ելքային ուղղորդիչ սարքվածք՝ թևանիվից հետո տեղակայված ուղղորդիչ սարքվածք՝ կարգավորման հնարավորությամբ կամ առանց դրա, որը նախատեսված է թևանիվից գազի հոսքն ուղղելու համար.
շահագործման պատրաստ՝ պատրաստ կամ շահագործման վայրում նախապատրաստված օդափոխիչ, որը պարունակում է կառուցվածքի բոլոր տարրերը, որոնք անհրաժեշտ են էլեկտրական էներգիան գազի հոսքի էներգիայի կերպափոխելու համար, չի պահանջում այլ կառուցվածքային տարրեր կամ բաղադրիչ մասեր.
արգելակման ճնշում՝ ճնշում, որը չափվում է գազի հոսքի կետում այնպես, ինչպես դա կարվեր, եթե այն իզոէնտրոպիական գործընթացի ժամանակ գտնվեր հանգստի վիճակում.
անկյունագծային օդափոխիչ՝ օդափոխիչ, որի մոտ գազն անցնում է թևանիվի միջով շառավղային և առանցքային օդափոխիչներում գազի ուղիների միջև ընկած ուղով.
տրամագծային օդափոխիչ՝ օդափոխիչ, որի մոտ գազի թևանիվի միջով գազի շարժման ուղղությունը հիմնականում անցնում է թևանիվի առանցքին ուղղահայաց՝ մուտքի և ելքի վրա դրա պարագծով.
դինամիկ ճնշում՝ ճնշում, որը հաշվարկվել է օդափոխիչի ելքի մոտ և ելքի շուրջ գտնվող գոտում գազի զանգվածային ծախսի, գազի միջին խտության հիման վրա.
չափումների կատեգորիա՝ փորձարկում, չափում կամ շահագործման կարգ, որոնցով սահմանվում են փորձարկվող օդափոխիչի մուտքի և ելքի վրա հոսքի պարամետրերը.
չափումների Ա կատեգորիա՝ կարգ, որի դեպքում չափումներն անցկացվում են օդափոխիչի վրա ազատ մուտքի և ելքի պայմաններում.
չափումների Բ կատեգորիա՝ կարգ, որի դեպքում չափումներն անցկացվում են օդափոխիչի վրա ազատ մուտքի և ելքի վրա օդատարով պայմաններում.
չափումների Գ կատեգորիա՝ կարգ, որի դեպքում չափումներն անցկացվում են օդափոխիչի վրա մուտքի վրա օդատարով և ազատ ելքով պայմաննեում.
չափումների Դ կատեգորիա՝ կարգ, որի դեպքում չափումներն անցկացվում են մուտքի և ելքի վրա օդատարներով օդափոխիչի վրա.
արդյունավետության կատեգորիա՝ օդափոխիչի ելքի վրա գոյացող գազի էներգիա, որն օգտագործվում է օդափոխիչի էներգետիկ արդյունավետությունը, ինչպես նաև օգտակար գործողության ստատիկ գործակիցը կամ օգտակար գործողության գումարային գործակիցը որոշելու համար.
օղակավոր ամրակ՝ օղակաձև դետալ, որում գտնվում է օդափոխիչը, որը հնարավորություն է տալիս ներհոս-օդաքաշ կառուցվածքներում դրա ամրակման համար.
կորպուս՝ թևանիվի շուրջ թաղանթ, որը գազն ուղղում է թևանիվ, անցկացնում է թևանիվի միջով և հեռացնում է օդափոխիչից.
սեղմելիության գործակից՝ անչափս մեծություն, որով որոշվում է սեղմման արժեքը, որին ենթարկվում է գազի հոսքը փորձարկումների (չափումների) ընթացքում, հաշվարկվում է որպես գազի վրա օդափոխիչի կատարած մեխանիկական աշխատանքի և այն աշխատանքի հարաբերությունը, որը կկատարվեր նույն զանգվածային ծախսով, ելքային խտությամբ և օդափոխիչի ճնշումների հարաբերությամբ սեղմման չենթարկվող հեղուկի վրա (ընդ որում, օդափոխիչի ճնշումը լրիվ ճնշում (kp) կամ ստատիկ ճնշում է (kps)).
աշխատանքի կարճատև ռեժիմ՝ օդափոխիչի շարժիչի աշխատանքի ռեժիմը մշտական բեռնվածքի դեպքում այնպիսի ժամանակահատվածի ընթացքում, որը բավարար չէ ջերմային հավասարակշռության հասնելու համար.
օդափոխիչի թևանիվը (անիվը)՝ օդափոխիչի մաս, որը գազի հոսքին էներգիա է հաղորդում.
շահագործմանը ոչ պատրաստ՝ օդափոխիչ, որը հավաքված է մի քանի բաղադրիչ մասերից, որոնց մեջ առնվազն առկա է թևանիվը, սակայն որն անհրաժեշտ է համալրել մեկ կամ մի քանի բաղկացուցիչ մասերով՝ էլեկտրական էներգիան գազի հոսքի էներգիայի կերպափոխելու հնարավորություն ստեղծելու համար.
ցածր արդյունավետ շարժաբեր՝ շարժաբեր մեխանիզմ, որում օգտագործվում է դրա հաստությունից եռակի պակաս լայնության փոկ կամ այլ տարբերակի շարժաբեր մեխանիզմ, որը բարձրարդյունավետ շարժաբեր չէ.
օգտակար գործողության ընդհանուր գործակից (գe)` օգտակար գործողության ստատիկ գործակից կամ օգտակար գործողության գումարային գործակից՝ ելնելով նրանից, թե կոնկրետ դեպքում որն է կիրառելի.
առանցքային օդափոխիչ՝ օդափոխիչ, որը գազը տեղափոխում է թևանիվի (թևանիվների) պտտման առանցքի ուղղությամբ՝ թևանիվով (թևանիվներով) շոշափողով շարժվող մրրկային հոսք ձևավորելով (առանցքային օդափոխիչը կարող է լինել գլանաձև կորպուսով կամ առանց դրա, մուտքային կամ ելքային ուղղորդիչ սարքվածքով, թիթեղաձև կամ օղակավոր ամրակով).
թիթեղաձև ամրակ՝ թիթեղ, որն ունի անցք, որին ամրացված է օդափոխիչը, որը հնարավոր է դարձնում օդափոխիչի ամրակումը ներհոս-օդաքաշ կառուցվածքներում.
լրիվ ճնշում (kp)` սեղմելիության գործակիցը օդափոխիչի գազի հոսքի գումարային հզորության հաշվարկման համար.
օդափոխիչով ստեղծվող լրիվ ճնշում (pf)` օդափոխիչի ելքի վրա արգելակման ճնշման և օդափոխիչի մուտքի վրա արգելակման ճնշման տարբերությունը.
շարժաբեր մեխանիզմ՝ օդափոխիչի համար շարժաբերի տեսակը (օրինակ՝ փոկավոր, ատամնավոր կամ շփական փոխանցիչով), որն ուղղակի շարժաբեր չէ.
ուղղակի շարժաբեր՝ օդափոխիչի շարժաբերի փոխդասավորություն, որի դեպքում թևանիվն ամրացվում է էլեկտրաշարժիչի լիսեռի վրա անմիջապես կամ ճկուն լիսեռի միջոցով, և թևանիվի պտույտների թիվը հավասար է շարժիչի պտույտների թվին.
հաշվարկային էներգետիկ արդյունավետություն (գհ.է)՝ այն նվազագույն էներգետիկ արդյունավետությունը, որը պետք է ապահովի օդափոխիչը
«Էներգասպառող սարքվածքների էներգետիկ արդյունավետությանը ներկայացվող պահանջների մասին» Եվրասիական տնտեսական միության տեխնիկական կանոնակարգի (ԵԱՏՄ ՏԿ 048/2019) (այսուհետ՝ տեխնիկական կանոնակարգ) պահանջներին համապատասխանելու համար, որը որոշվում է օպտիմալ էներգետիկ արդյունավետության պայմաններում դրա կողմից սպառվող էլեկտրական հզորության հիման վրա.
օգտակար գործողության ստատիկ գործակիցը (psf)՝ օդափոխիչների էներգետիկ արդյունավետությունը օդափոխիչով ստեղծվող՝ չափված ստատիկ ճնշման հիման վրա.
ստատիկ ճնշում (kps)` սեղմելիության գործակիցը օդափոխիչի գազի հոսքի ստատիկ հզորության հաշվարկման համար.
օդափոխիչով ստեղծվող ստատիկ ճնշում (psf)՝ օդափոխիչով ստեղծվող լրիվ ճնշումը (pf)՝ հանած օդափոխիչով ստեղծվող դինամիկ ճնշումը, բազմապատկած Մախի թվով.
սեղմման աստիճանը՝ օդափոխիչի ելքի վրա չափված ստատիկ ճնշման և օպտիմալ էներգետիկ արդյունավետության պայմաններում օդափոխիչի աշխատանքի դեպքում օդափոխիչի մուտքի վրա չափված ստատիկ ճնշման հարաբերությունը.
օգտակար գործողության գումարային գործակիցը (psf)՝ օդափոխիչի էներգետիկ արդյունավետությունը օդափոխիչով ստեղծվող՝ չափված լրիվ ճնշման հիման վրա.
Մախի թիվը՝ ճշգրտման գործակից, որը կիրառվում է դինամիկ ճնշման նկատմամբ մի կետում, որը որոշվում է որպես արգելակման ճնշում՝ հանած այն ճնշման արժեքը, որը գործադրվում է շրջապատող գազի նկատմամբ բացարձակ զրոյական ճնշման համեմատ հարաբերականորեն անշարժ կետի նկատմամբ՝ բաժանած դինամիկ ճնշման արժեքի վրա.
արդյունավետության մակարդակ (N)՝ պարամետր, որն օգտագործվում է որոշակի սպառվող էլեկտրական հզորությամբ օդափոխիչի հաշվարկային էներգետիկ արդյունավետությունը օպտիմալ էներգետիկ արդյունավետության պայմաններում հաշվարկելիս.
պտտման հաճախությունը կարգավորող սարքվածք՝ կերպափոխիչ, որը ներկառուցված է էլեկտրաշարժիչի մեջ կամ աշխատում է որպես մեկ էլեկտրաշարժիչ-օդափոխիչ համակարգ, որն անընդհատ կերպափոխում է էլեկտրական էներգիան, որից սնվում է էլեկտրաշարժիչը՝ պտտող մոմենտի մեծությունը չափելու գործառույթին համապատասխան էլեկտրաշարժիչից արձակված մեխանիկական հզորության մեծությունը կառավարելու նպատակով՝ կախված էլեկտրաշարժիչի պտտման հաճախությունից՝ բացառությամբ լարումը կառավարող սարքվածքների, որոնք միայն փոխում են էլեկտրաշարժիչի սնուցման լարումը։
III. Օդափոխիչների էներգետիկ արդյունավետությանը ներկայացվող պահանջները և էներգետիկ արդյունավետության ցուցանիշների որոշման առանձնահատկությունները
3. Օդափոխիչի ընդհանուր էներգետիկ արդյունավետության արժեքը, որը որոշվում է որպես սույն բաժնի 4-8-րդ կետերում բերված հաշվարկման կանոնների համաձայն հաշվարկված՝ օդափոխիչի օգտակար գործողության ընդհանուր գործակից (գe), պետք է հավասար լինի կամ գերազանցի 1-ին աղյուսակում բերված հաշվարկային էներգաարդյունավետության արժեքը (գհ.է.):
Օդափոխիչների էներգետիկ արդյունավետությանը ներկայացվող պահանջները չեն տարածվում այն օդափոխիչների վրա, որոնք նախատեսված են շահագործվելու՝ օպտիմալ էներգետիկ արդյունավետությամբ, որն ապահովվում է րոպեում ոչ պակաս, քան 8 000 պտույտ պտտման հաճախության դեպքում.
1,11-ը գերազանցող սեղմման գործակցի պայմաններում.
ոչ գազանման նյութեր տեղափոխելու համար որպես փոխադրման օդափոխիչներ։
Կրկնակի կիրառման օդափոխիչների համար, որոնք նախատեսված են ինչպես բնականոն պայմաններում, այնպես էլ արտակարգ իրավիճակներում աշխատանքի կարճաժամկետ ռեժիմում՝ հաշվի առնելով հակահրդեհային պաշտպանության պահանջները, թույլատրելի են համարվում 1-ին աղյուսակում նշված մակարդակներից ավելի ցածր էներգետիկ արդյունավետության մակարդակները՝
օդափոխիչների բոլոր տեսակների համար՝ 5 %:
Աղյուսակ 1
Օդափոխիչների տարբեր տեսակների համար հաշվարկային էներգետիկ արդյունավետությունը
Օդափոխիչի տեսակը |
Չափումների կատեգորիան (A-D) |
Ստատիկ կամ գումարային ՕԳԳ-ն |
Հզորությունների ընդգրկույթը (P), կՎտ |
Հաշվարկային էներգետիկ արդյունավետությունը (գհ.է.)* |
Առանցքային օդափոխիչ |
A, C |
ստատիկ |
0,125 ≤ P ≤ 10 |
գհ.է.= 2,74 x lnP - 6,33 + N |
10 < P ≤ 500 |
գ հ.է.= 0,78 x lnP - 1,88 + N | |||
B/D |
գումարային |
0,125 ≤ P ≤ 10 |
գ հ.է.= 2,74 x lnP - 6,33 + N | |
10 < P ≤ 500 |
գ հ.է.= 0,78 x lnP - 1,88 + N | |||
Շառավղային օդափոխիչ՝ առաջ ծալված թիակներով և ուղիղ շառավղային թիակներով |
A, C |
ստատիկ |
0,125 ≤ P ≤ 10 |
գ հ.է.= 2,74 x lnP - 6,33 + N |
10 < P ≤ 500 |
գ հ.է.= 0,78 x lnP - 1,88 + N | |||
B, D |
գումարային |
0,125 ≤ P ≤ 10 |
գ հ.է.= 2,74 x lnP - 6,33 + N | |
10 < P ≤ 500 |
գ հ.է.= 0,78 x lnP - 1,88 + N | |||
Շառավղային օդափոխիչ՝ հետ ծալված թիակներով առանց կորպուսի |
A, C |
ստատիկ |
0,125 ≤ P ≤ 10 |
գ հ.է.= 4,56 x lnP - 10,5 + N |
10 < P ≤ 500 |
գ հ.է.= 1,1 x lnP - 2,6 + N | |||
Շառավղային օդափոխիչ՝ հետ ծալված թիակներով, կորպուսով |
A, C |
ստատիկ |
0.125 ≤ P ≤ 10 |
գ հ.է.= 4.56 x lnP - 10.5 + N |
10 < P ≤ 500 |
գ հ.է.= 1.1 x lnP - 2.6 + N | |||
B/D |
գումարային |
0.125 ≤ P ≤ 10 |
գ հ.է.= 4.56 x lnP - 10.5 + N | |
10 < P ≤ 500 |
գ հ.է.= 1.1 x lnP - 2.6 + N | |||
Անկյունագծային օդափոխիչ |
A, C |
ստատիկ |
0,125 ≤ P ≤ 10 |
գ հ.է. = 4.56 x lnP - 10.5 + N |
10 < P ≤ 500 |
գ հ.է.= 1.1 x lnP - 2.6 + N | |||
B, D |
գումարային |
0,125 ≤ P ≤ 10 |
գ հ.է.= 4.56 x lnP - 10.5 + N | |
10 < P ≤ 500 |
գ հ.է.= 1.1 x lnP - 2.6 + N | |||
Տրամագծային օդափոխիչ |
B, D |
գումարային |
0,125 ≤ P ≤ 10 |
գ հ.է.= 1.14 x lnP - 2.6 + N |
10 < P ≤ 500 |
գ հ.է.= N |
* Արդյունավետության մակարդակի արժեքները (N) բերված են 2-րդ աղյուսակում։
Աղյուսակ 2
Օդափոխիչների արդյունավետության մակարդակը (N)
Օդափոխիչի տեսակը |
Չափումների կատեգորիան (A - D) |
Արդյունավետության մակարդակը (N) | |
2022 թվականի սեպտեմբերի 1-ից | |||
Առանցքային օդափոխիչ |
A, C |
40 | |
B, D |
58 | ||
Շառավղային օդափոխիչ՝ առաջ ծալված թիակներով և շառավղային օդափոխիչ՝ ուղիղ շառավղային թիակներով |
A, C |
44 | |
B, D |
49 | ||
Շառավղային օդափոխիչ՝ հետ ծալված թիակներով առանց կորպուսի |
A, C |
62 | |
Շառավղային օդափոխիչ՝ հետ ծալված թիակներով կորպուսով |
A, C |
61 | |
B, D |
64 | ||
Անկյունագծային օդափոխիչ |
A, C |
50 | |
B, D |
62 | ||
Տրամագծային օդափոխիչ |
B, D |
21 |
4. Օդափոխիչի էներգետիկ արդյունավետության պարամետրերի հաշվարկման կանոնները հիմնված են օդափոխիչի գազի հոսքի հզորության և էլեկտրաշարժիչի սպառվող էլեկտրական հզորության միջև հարաբերության վրա, ընդ որում՝ օդափոխիչի գազի հոսքի հզորությունը գազի ծախսի և օդափոխիչի մուտքի ու ելքի միջև ճնշումների տարբերությունն է։ Ճնշումը ստատիկ ճնշում է կամ լրիվ ճնշում, որը ստատիկ և դինամիկ ճնշումների գումարն է՝ ելնելով չափումների կատեգորիայից և արդյունավետության մակարդակից։
5. Եթե օդափոխիչը մատակարարվում է շահագործման պատրաստ վիճակում, ապա օդափոխիչի գազի հոսքի հզորությունը և էլեկտրաշարժիչի սպառվող էլեկտրական հզորությունը հարկավոր է չափել օպտիմալ էներգետիկ արդյունավետության պայմաններում՝
ա) առանց պտտման հաճախության կարգավորման՝ օդափոխիչների համար օգտակար գործողության ընդհանուր գործակիցը հաշվարկվում է հետևյալ բանաձևով՝
ηe = Pu(s) /Pe ,
որտեղ՝
ηe-ն՝ օգտակար գործողության ընդհանուր գործակիցն է.
Pu(s)-ը՝ օդափոխիչի գազի հոսքի հզորությունը, որը որոշվում է սույն պահանջների 7-րդ կետին համապատասխան օդափոխիչի՝ օպտիմալ էներգետիկ արդյունավետության պայմաններում աշխատանքի դեպքում.
Pe-ն՝ էլեկտրաշարժիչի սպառվող էլեկտրական հզորությունը՝ չափված էլեկտրաշարժիչի արտանցիչների վրա օդափոխիչի՝ օպտիմալ էներգետիկ արդյունավետության պայմաններում աշխատանքի դեպքում.
բ) պտտման հաճախության կարգավորմամբ օդափոխիչների համար օգտակար գործողության ընդհանուր գործակիցը հաշվարկվում է հետևյալ բանաձևով՝
ηe = (Pu(s)/Pe(d)) x Cc ,
որտեղ՝
ηe-ն՝ օգտակար գործողության ընդհանուր գործակիցն է.
Pu(s)-ն՝ օդափոխիչի գազի հոսքի հզորությունը, որը որոշվում է սույն պահանջների 7-րդ կետին համապատասխան օդափոխիչի՝ օպտիմալ էներգետիկ արդյունավետության պայմաններում աշխատանքի դեպքում.
Pe(d)-ն՝ էլեկտրաշարժիչի սպառվող էլեկտրական հզորությունը՝ չափված պտտման արագության կարգավորչի արտանցիչների վրա օդափոխիչի՝ օպտիմալ էներգաարդյունավետության պայմաններում աշխատանքի դեպքում.
Cc-ն՝ մասնակի բեռնվածքի ճշգրտման գործակիցը, որը հաշվարկվում է հետևյալ բանաձևով.
Cc = - 0,03 x ln(Pe(d)) + 1,088, Pe(d) < 5 կՎտ-ի դեպքում.
Cc = 1,04՝ Pe(d) ≥ 5 կՎտ-ի դեպքում։
6. Եթե օդափոխիչը մատակարարվում է շահագործման համար ոչ պատրաստ վիճակում, ապա օգտակար գործողության ընդհանուր գործակիցը թևանիվի օպտիմալ էներգետիկ արդյունավետության պայմաններում հաշվարկվում է հետևյալ բանաձևով՝
ηe = ηr·ηm ·ηT·Cm·Cc ,
որտեղ՝
ηe-ն ՝ օգտակար գործողության ընդհանուր գործակիցն է.
ηr-ն՝ թևանիվի արդյունավետությունն է, որը համապատասխանում է Pu(s∕Pa-ին.
որտեղ՝
Pu(s) -ը՝ օդափոխիչի գազի հոսքի հզորությունն է, որը որոշվում է սույն պահանջների 7-րդ կետին համապատասխան թևանիվի օպտիմալ էներգետիկ արդյունավետության պայմաններում.
Pa-ն՝ օդափոխիչի գազի հոսքի հզորությունն է թևանիվի օպտիմալ էներգաարդյունավետության պայմաններում.
ηm-ը՝ լրակազմի մեջ մտնող էլեկտրաշարժիչի անվանական արդյունավետությունն է, որը նախատեսված է տեխնիկական կանոնակարգի թիվ 3 հավելվածով։ Եթե շարժիչը ներառված չէ նշված հավելվածի կիրառության ոլորտում կամ բացակայում է օդափոխիչի մատակարարվող լրակազմում, ապա շարժիչի անվանական արդյունավետությունը (գm) սահմանվում է հետևյալ արժեքների հիման վրա՝
եթե առաջարկվող՝ էլեկտրաշարժիչի սպառվող էլեկտրական հզորությունը՝ Pe ≥ 0,75 կՎտ է, ապա անվանական արդյունավետությունը հաշվարկվում է հետևյալ բանաձևով՝
գm= 0,000278 x (x3) - 0,019247 x (x2) + 0,104395 x x + 0,809761,
որտեղ՝
x = lg(Pe),
Pe-ն՝ էլեկտրաշարժիչի սպառվող էլեկտրական հզորությունն է՝ չափված էլեկտրաշարժիչի արտանցիչների վրա օդափոխիչի՝ օպտիմալ էներգետիկ արդյունավետության պայմաններում աշխատանքի դեպքում.
եթե առաջարկվող՝ էլեկտրաշարժիչի սպառվող էլեկտրական հզորությունը՝ Pe < 0,75 կՎտ է, ապա անվանական արդյունավետությունը հաշվարկվում է հետևյալ բանաձևով՝
ηm = 0,1462 x ln(Pe) + 0,8381,
որտեղ՝
Pe-ն՝ էլեկտրաշարժիչի սպառվող էլեկտրական հզորությունն է՝ չափված էլեկտրաշարժիչի արտանցիչների վրա օդափոխիչի՝ օպտիմալ էներգետիկ արդյունավետության պայմաններում աշխատանքի դեպքում, ընդ որում՝ էլեկտրաշարժիչի սպառվող էլեկտրական հզորությունը (Pe), որն առաջարկվել է օդափոխիչի արտադրողի կողմից, պետք է լինի բավարար, որպեսզի օդափոխիչը հասնի իր օպտիմալ էներգետիկ արդյունավետությանը (անհրաժեշտության դեպքում հաշվի առնելով շարժաբերով պայմանավորված կորուստները).
ηт-ն՝ շարժաբերի մեխանիզմի արդյունավետությունն է, որի համար օգտագործվում են հետևյալ անվանական արժեքները՝
ուղիղ շարժաբերի դեպքում՝ ηТ = 1,0.
եթե շարժաբեր մեխանիզմը ցածրարդյունավետ շարժաբեր է, ապա՝
Pa ≥ 5 կՎտ - ητ = 0,96-ի համար.
1 կՎտ կՎտ - ητ = 0,0175 x Pa + 0,8725-ի համար.
Pa ≤ 1 կՎտ - ητ = 0,89-ի համար.
եթե շարժաբեր մեխանիզմը բարձրարդյունավետ շարժաբեր է, ապա՝
Pa ≥ 5 կՎտ - ητ = 0,98-ի համար.
1 կՎտ կՎտ - ητ = 0,01 x Pa + 0,93-ի համար.
Pa ≤ 1 կՎտ - ητ = 0,94-ի համար.
Cm՝ ճշգրտման գործակիցը, որում հաշվի է առնվում բաղադրիչ մասերի համաձայնեցումը՝ հավասար 0,9-ին.
Cc՝ մասնակի բեռնվածքի ճշգրտման գործակիցը՝ հավասար.
եթե պտտման հաճախության կարգավորման էլեկտրաշարժիչը՝ Cc = 1,0.
եթե պտտման հաճախության կարգավորմամբ էլեկտրաշարժաբերը և եթե Pe(d) ≥ 5 կՎտ - Cc = 1,04.
եթե պտտման հաճախության կարգավորմամբ էլեկտրաշարժաբերը և եթե Pe(d) < 5 կՎտ - Cc = - 0,03 ln(Pe(d) ) + 1,088։
7. Օդափոխիչի գազի հոսքի հզորությունը՝ Pu(s) կՎտ-ով հաշվարկվում է չափումների կատեգորիայի համար արտադրողի կողմից ընտրված վերահսկման մեթոդով՝
ա) եթե օդափոխիչի վրա չափումներն անցկացվել են A կամ С չափումների կատեգորիայի համաձայն, ապա կիրառվում է օդափոխիչի գազի հոսքի՝ հետևյալ բանաձևով հաշվարկված ստատիկ հզորությունը.
Pu(s) = q x psf x kps.
բ) եթե օդափոխիչի վրա չափումներն անցկացվել են B կամ D չափումների կատեգորիայի համաձայն, ապա կիրառվում է օդափոխիչի գազի հոսքի՝ հետևյալ բանաձևով հաշվարկված գումարային հզորությունը.
Pu= q x pf ճ kp։
8. Օդափոխիչի կառուցվածքով պայմանավորված՝ կիրառվում են հաշվարկային էներգետիկ արդյունավետությունը որոշելու հետևյալ մեթոդները՝
ա) առանցքային օդափոխիչների, առաջ ծալված թիակներով շառավղային օդափոխիչների և ուղիղ շառավղային թիակներով շառավղային օդափոխիչների համար (ներկառուցված առանցքային օդափոխիչով) հաշվարկային էներգետիկ արդյունավետությունը հաշվարկվում է հետևյալ բանաձևով՝
գհ.է. = 2,74 x ln(P) - 6,33 + N -P՝ 0,125 կՎտ-ից մինչև 10 կՎտ հզորությունների համար.
գհ.է. = 0,78 x ln(P) - 1,88 + N - P՝ 10 կՎտ-ից մինչև 500 կՎտ հզորությունների համար.
որտեղ՝
P-ն՝ էլեկտրաշարժիչի սպառվող էլեկտրական հզորությունն է Pe(d).
N-ը՝ էներգետիկ արդյունավետության պահանջվող մակարդակի ամբողջ թիվն է.
բ) հետ ծալված թիակներով առանց կորպուսի շառավղային օդափոխիչների, հետ ծալված թիակներով կորպուսով շառավղային օդափոխիչների և անկյունագծային օդափոխիչների համար հաշվարկային էներգետիկ արդյունավետությունը հաշվարկվում է հետևյալ բանաձևով՝
գհ.է. = 4,56 x ln(P) - 10,5 + N - P՝ 0,125 կՎտ-ից մինչև 10 կՎտ հզորությունների համար.
գհ.է. = 1,1 x ln(P) - 2,6 + N - P՝ 10 կՎտ-ից մինչև 500 կՎտ հզորությունների համար.
որտեղ՝
P-ն՝ էլեկտրաշարժիչի սպառվող էլեկտրական հզորությունն է Pe(d).
N-ը՝ էներգաարդյունավետության պահանջվող մակարդակի ամբողջ թիվն է.
գ) տրամագծային օդափոխիչների համար հաշվարկային էներգետիկ արդյունավետությունը հաշվարկվում է հետևյալ բանաձևով՝
գհ.է. = 1,14 ∙ ln(P) - 2,6 + N ՝ 0,125 կՎտ-ից մինչև 10 կՎտ P հզորությունների համար,
գհ.է. = N ՝ 10 կՎտ-ից մինչև 500 կՎտ P հզորությունների համար,
որտեղ՝
P-ն՝ էլեկտրաշարժիչի սպառվող էլեկտրական հզորությունն է Pe(d).
N-ը՝ էներգետիկ արդյունավետության պահանջվող մակարդակի ամբողջ թիվն է։
9. Տեխնիկական կանոնակարգի 10-րդ կետով նախատեսված՝ օդափոխիչի մականշվածքը պետք է պարունակի դրա էներգետիկ արդյունավետության հետևյալ պարամետրերը և բնութագրերը՝
ընդհանուր էներգետիկ արդյունավետության արժեքը (he) (մինչև 1 տասնորդական նիշ կլորացմամբ).
էներգետիկ արդյունավետությունը որոշելու համար օգտագործված չափումների կատեգորիան (A-D).
էներգետիկ արդյունավետության կատեգորիան (ստատիկ կամ գումարային օգտակար գործողության գործակիցը).
արագության կարգավորչի առկայության դեպքում «Օդափոխիչի հետ պետք է հավաքակցվի պտտման հաճախությունը կարգավորող սարքվածք» գրառումը կամ «Օդափոխիչում ներկառուցված է պտտման հաճախությունը կարգավորող սարքվածք» գրառումը։
10. Տեխնիկական կանոնակարգի 13-րդ կետով նախատեսված՝ օդափոխիչներին կից ներկայացված շահագործման փաստաթղթերը պետք է պարունակեն հետևյալ տեղեկությունները՝ դրանց բնութագրերի և պարամետրերի մասին.
ա) ընդհանուր էներգետիկ արդյունավետության արժեքը (he,) (մինչև 1 տասնորդական նիշ կլորացմամբ).
բ) էներգետիկ արդյունավետությունը որոշելու համար օգտագործված չափումների կատեգորիան (A-D).
գ) էներգետիկ արդյունավետության կատեգորիան (ստատիկ կամ գումարային օգտակար գործողության գործակիցը).
դ) արագության կարգավորչի առկայության դեպքում «Օդափոխիչի հետ պետք է հավաքակցվի պտտման հաճախությունը կարգավորող սարքվածք» գրառումը կամ «Օդափոխիչում ներկառուցված է պտտման հաճախությունը կարգավորող սարքվածք» գրառումը.
ե) օպտիմալ էներգետիկ արդյունավետության պայմաններում՝ արդյունավետության մակարդակը.
զ) օպտիմալ էներգետիկ արդյունավետության պայմաններում՝ րոպեում պտույտների թիվը.
է) տեղեկություններ օպտիմալ էներգետիկ արդյունավետության պայմաններում շարժիչի անվանական սպառվող հզորության (ների) (կՎտ-ով), արտադրողականության (ների) և ճնշման (երի) մասին.
ը) սեղմման գործակցի մեծությունը.
թ) տեղեկություններ, որոնք անհրաժեշտ են օդափոխիչների տեղակայման, շահագործման և տեխնիկական սպասարկման ժամանակ ծառայության օպտիմալ ժամկետը որոշելու համար.
ժ) օդափոխիչների քանդման, վերափոխման, օգտահանման և շրջակա միջավայրի վրա դրանց ազդեցությունը նվազագույնի հասցնելու վերաբերյալ տեղեկատվություն։
11. Հաշվի առնելով հայտատուի ընտրած համապատասխանության հայտարարագրման սխեման՝ տեխնիկական կանոնակարգի 28-րդ կետի «ա» ենթակետում կամ 29-րդ կետի «ա» ենթակետում նշված՝ օդափոխիչներին կցվող փաստաթղթերի լրակազմ փաթեթում օդափոխիչների համար լրացուցիչ պետք է ներառվի տեղեկատվություն օդափոխիչների էներգետիկ արդյունավետության որոշման ժամանակ օգտագործվող սարքավորումների այնպիսի դետալների և մասերի մասին, ինչպիսիք են օդատարները, որոնք նշված չեն չափումների կատեգորիայում և չեն մատակարարվում օդափոխիչի հետ միասին։
IV. Օդափոխիչների էներգետիկ արդյունավետության պարամետրերի թույլատրելի շեղումները դրանք շրջանառության դրվելուց հետո փորձարկումներ (չափումներ) անցկացնելիս
12. Օդափոխիչները Միության մաքսային տարածքում շրջանառության մեջ դնելուց հետո դրանց փորձարկումները (չափումները) անցկացնելու դեպքում կատարվում են օդափոխիչի յուրաքանչյուր մոդելի մեկ տիպային օրինակի փորձարկումներ (չափումներ)։
Օդափոխիչի մոդելը համարվում է սույն պայմաններին համապատասխանող, եթե օդափոխիչի օգտակար գործողության ընդհանուր գործակիցը (գe) կազմում է հաշվարկային էներգետիկ արդյունավետության առնվազն 90 %-ը, որը սահմանվել է արդյունավետության համապատասխան մակարդակների դեպքում սույն պահանջների 3-8-րդ կետերի համաձայն։
Այլ դեպքերում՝
այն օդափոխիչների համար, որոնք արտադրվում են տարեկան 5 հատից պակաս թվով, համարվում է, որ օդափոխիչի մոդելը չի համապատասխանում տեխնիկական կանոնակարգի պահանջներին.
այն օդափոխիչների համար, որոնք արտադրվում են տարեկան 5 կամ 5-ից ավելի թվով, փորձարկումների (չափումների) են ենթարկում յուրաքանչյուր մոդելի 3 այլ պատահաբար ընտրված տիպային նմուշ։
Օդափոխիչի մոդելը համարվում է սույն պահանջներին համապատասխանող, եթե օդափոխիչի այդ 3 տիպային օրինակների (նմուշների) օգտակար գործողության ընդհանուր գործակցի (գe) չափումների արդյունքների միջին արժեքը սույն կետի երկրորդ պարբերության մեջ նշված մեծությունից ցածր չէ։
Այլ դեպքերում օդափոխիչի տվյալ մոդելը անհրաժեշտ է դիտարկել որպես տեխնիկական կանոնակարգի պահանջներին չհամապատասխանող։
ՀԱՎԵԼՎԱԾ ԹԻՎ 13 «Էներգասպառող սարքվածքների էներգետիկարդյունավետությանը ներկայացվող պահանջների մասին» Եվրասիական տնտեսական միության տեխնիկական կանոնակարգի (ԵԱՏՄ ՏԿ048/2019) |
ՊԱՀԱՆՋՆԵՐ
առանց ներկառուցված՝ գործարկումը կարգավորող ապարատի լյումինեսցենտային լամպերի, բարձր ճնշման գազապարպումային լամպերի, գործարկումը կարգավորող ապարատների ու այդպիսի լամպերի համար լուսատուների էներգետիկ արդյունավետությանը ներկայացվող
I. Կիրառման ոլորտը
1. Սույն պահանջները տարածվում են Եվրասիական տնտեսական միության (այսուհետ՝ Միություն) մաքսային տարածքում շրջանառության մեջ դրվող՝ առանց ներկառուցված՝ գործարկումը կարգավորող ապարատի լյումինեսցենտային լամպերի, բարձր ճնշման գազապարպումային լամպերի, գործարկումը կարգավորող ապարատների ու այդպիսի լամպերի համար լուսատուների նկատմամբ, նաև եթե դրանք ներկառուցված են այլ էներգասպառող արտադրանքի մեջ՝ բացառությամբ.
ա) լամպերի (բացի բարձր ճնշման նատրիումական լամպերից), որոնք սպիտակ լույսի աղբյուրներ չեն.
բ) ջերմոցների լուսավորման համար նախատեսված նատրիումական լամպերի.
գ) ուղղորդված լույսի լամպերի.
դ) խառը լույսի բարձր ճնշման գազապարպումային լամպերի, որոնց՝
250 և 780 նմ ընդգրկույթում գումարային ճառագայթման առնվազն 6 %-ը գտնվում է 250-ից 400 նմ ընդգրկույթում,
250 և 780 նմ ընդգրկույթում գումարային ճառագայթման առնվազն 11 % -ը գտնվում է 630 և 780 նմ ընդգրկույթում,
250 և 780 նմ ընդգրկույթում գումարային ճառագայթման առնվազն 5 % -ը գտնվում է 640 և 700 նմ ընդգրկույթում,
ճառագայթման գագաթնակետը գտնվում է 315 և 400 նմ (UVA՝ А տեսակի ուլտրամանուշակագույն ճառագայթում) կամ 280 և 315 նմ (UVB՝ B տեսակի ուլտրամանուշակագույն ճառագայթում) ընդգրկույթում.
ե) հետևյալ բնութագրերով երկու լամպակոթով լյումինեսցենտային լամպերի.
տրամագիծը 7 մմ-ից ոչ ավելի (T2).
տրամագիծը 16 մմ (T5) և լամպի հզորությունը՝ РԼ≤ 13 Վտ կամ > 80 Վտ.
տրամագիծը 38 մմ (Т12), G-13-երկցցիկ լամպակոթ, գունավոր լուսազտիչի սահմանային արժեքները՝ + 5 մ (+ ՝ ծիրանագույն, -՝ կանաչ), գունային կոորդինատները՝ x = 0,330, у = 0,335 և x = 0,415, у = 0,377.
տրամագիծը 38 մմ (T2) և արտաքին վառող շերտեր.
զ) հետևյալ բնութագրերով մեկ լամպակոթով լյումինեսցենտային լամպերի՝
տրամագիծը 16 մմ (T5), 2G11 չորս ցցիկով լամպակոթ, Tc = 5 500 K, գունավորության կոորդինատները՝ x = 0,330 և y = 0,335 ու Тс = 3 200՝ х = 0,415 և у = 0,377 գունավորության կոորդինատներով.
է) բարձր ճնշման գազապարպումային լամպերի, որոնք ունեն Тс > 7 000 K գունային ջերմաստիճան.
ը) UV>2 մՎտ/կլմ հզորությամբ բարձր ճնշման գազապարպումային լամպերի.
թ) E27, E40 կամ PGZ12 լամպակոթերից տարբերվող լամպակոթով բարձր ճնշման գազապարպումային լամպերի.
ժ) համակարգիչների, լուսապատճենահանող սարքերի, արևաբուժարանների համար սարքավորումների, տերարիումների լուսավորման մեջ կիրառվող և նման կիրառությամբ լամպերի.
ժա) այն արտադրանքի, որը նախատեսված չէ ընդհանուր լուսավորման համար կամ նախատեսված է սույն կետի «գ» - «ե» ենթակետերում նշված լամպերի հետ օգտագործելու համար, և որը ներկառուցված է ընդհանուր լուսավորման համար չնախատեսված այլ արտադրանքի մեջ.
ժբ) վթարային լուսավորման համար լուսատուների և որպես ազդանշանային օգտագործվող լուսատուների.
ժգ) սույն կետի «ժբ» ենթակետում նշված լուսատուների հետ օգտագործման համար նախատեսված և վթարային իրավիճակներում լամպերի հետ շահագործման համար նախագծված՝ գործարկումը կարգավորող ապարատների։
II. Հիմնական հասկացությունները
2. Սույն պահանջները կիրառելու նպատակներով օգտագործվում են հետևյալ հասկացությունները, որոնք ունեն հետևյալ իմաստը.
լամպի արտաքին պատյան՝ լամպի երկրորդ (արտաքին) պատյան, որն անհրաժեշտ չէ լույսի առաջացման համար (օրինակ՝ արտաքին լամպանոթ, որը պետք է ապահովի այրիչի աշխատանքի օպտիմալ պայմաններ, խոչընդոտի ուլտրամանուշակագույն ճառագայթման ելքը և (կամ) ցրի լույսն ու կանխի այրիչը կոտրվելու դեպքում սնդիկի և ապակու՝ շրջակա միջավայրում հայտնվելը).
գազապարպումային լամպ՝ պարպումային լամպ, որում օպտիկական ճառագայթումն առաջանում է գազում էլեկտրական պարպման արդյունքում.
բարձր ճնշման գազապարպումային լամպ՝ գազապարպումային լամպ, որում լուսաճառագայթող էլեկտրական աղեղը կայունանում է այրիչի պատերի ջերմաստիճանով, և լամպանոթի պատերի վրա ջերմային բեռնվածքը գերազանցում է 3 Վտ/սմ2-ը.
ավելցուկային լույս՝ լուսավորման սարքվածքի լույսի մաս, որը չի ծառայում սահմանված նպատակին, այն է՝
լույս, որը լուսավորում է լուսավորում չպահանջող գոտին.
ցրված լույս՝ լուսավորող սարքվածքի հարևանությամբ.
երկնքի լուսարձակում, որը նշանակում է ճառագայթման ուղղակի կամ անուղղակի (տեսանելի և անտեսանելի) արտացոլման հիման վրա գիշերային երկնքի լուսավորում, որը դիտարկման ուղղությամբ ցրվում է մթնոլորտի բաղադրիչ կոմպոնենտների (գազի մոլեկուլներ, աերոզոլներ և մասնիկներ) միջոցով.
գունահաղորդման ցուցիչ (Ra)՝ դիտարկման որոշակի պայմաններում լույսի հետազոտվող և ստանդարտ աղբյուրներով լուսավորված գունավոր օբյեկտի տեսողական ընկալման համապատասխանության չափ.
սպիտակ լույսի աղբյուր՝ լույսի աղբյուր, որի գունավորության կոորդինատները համապատասխանում են հետևյալ պահանջներին՝
0,270 < x < 0,530.
- 2,3172 x2 + 2,3653 x - 0,2199 < y < - 2,3172 x2 + 2,3653 x - 0,1595.
կորելացված գունային ջերմաստիճան (Tc [К])՝ Պլանկի ճառագայթիչի (սև մարմնի) ջերմաստիճան, որի ընկալվող գույնը առավելագույնս է հիշեցնում այն գույնը, որն ունի տվյալ գրգռիչը միանման պայծառության և դիտման որոշակի պայմանների դեպքում.
լամպի լուսային հոսքի պահպանման գործակից (LLMF)՝ լամպի ծառայության ժամկետի (կենսական ցիկլի) տրված պահին այդ լամպի լուսային հոսքի հարաբերություն այդ լամպի սկզբնական լուսային հոսքի նկատմամբ.
լամպի ծառայության ժամկետի գործակից (LSF)՝ լամպերի ընդհանուր քանակի մեջ՝ որոշակի պայմաններում և միացումների (փոխարկումների) որոշակի հաճախությամբ տվյալ պահին դեռ աշխատող լամպերի բաժին.
գործարկումը կարգավորող ապարատի ՕԳԳ (գԳԿԱ)՝ լամպի սպառվող հզորության (գործարկումը կարգավորող ապարատի ելքային հզորություն) հարաբերությունը գործարկումը կարգավորող ապարատի էլեկտրական շղթայի մուտքային հզորության նկատմամբ, ընդ որում, հնարավոր սենսորային տվիչները, ցանցային միացումները և այլ լրացուցիչ սպառողներ պետք է անջատված լինեն.
ուղղորդված լույսի լամպ՝ լամպ, որն իր լուսային հոսքի առնվազն 80%-ը ճառագայթում է 3,14 ստեռադիան մարմնային անկյան սահմաններում (120՛ գագաթի դեպքում համապատասխանում է անկյունով կոնին).
չուղղորդված լույսի լամպ՝ լամպ, որն ուղղորդված լուսաճառագայթմամբ լամպ չէ.
թափանցիկ լամպանոթով լամպ՝ թափանցիկ արտաքին լամպանոթով կամ ներքին խողովակով բարձր ճնշման գազապարպումային լամպ, որում լուսաճառագայթող էլեկտրական աղեղային խողովակը (օրինակ՝ թափանցիկ ապակյա լամպը) հստակ տեսանելի է.
խառը լույսի լամպ՝ լամպ, որը մեկ լամպանոթում պարունակում է հաջորդաբար միացված սնդիկային լամպ և շիկացման պարուրաձև թելիկ.
լյումինեսցենտային լամպ՝ ցածր ճնշման սնդիկային լամպ, որում էլեկտրական պարպման ուլտրամանուշակագույն ճառագայթումով գրգռվող՝ լյումինաֆորի մեկ կամ մի քանի շերտեր են ճառագայթում լույսը.
մետաղահալոգենային լամպ՝ լամպ, որում լույսը ճառագայթում է մետաղների գոլորշիների, մետաղների հալոիդային միացությունների և հալոիդային միացությունների քայքայման արգասիքների խառնուրդը.
բարձր ճնշման նատրիումական լամպ՝ լամպ, որում լույսը ճառագայթում է նատրիումի գոլորշիները, որոնց մասնական ճնշումը սահմանված ռեժիմում հասնում է 10 կՊա-ի (75 մմ ս. ս.).
անվանական արժեք՝ տրված աշխատանքային պայմաններում պարամետրի քանակական արժեք, որն օգտագործվում է արտադրատեսակի նշագրման կամ նույնականացման համար, և որը նշվում է արտադրողի կողմից շահագործման փաստաթղթերում.
ընդհանուր լուսավորում՝ հիմնականում տարածքի համաչափ լուսավորում՝ առանց հաշվի առնելու հատուկ տեղային պահանջմունքները.
սպառվող հզորություն՝ հզորություն, որն սպառվում է սնուցման անվանական լարման և առավելագույն բեռնվածքի դեպքում.
գործարկումը կարգավորող ապարատ ՝ սարքվածք, որը միացվում է ցանցի և մեկ կամ մի քանի պարպումային լամպերի միջև, որը ինդուկտիվության, ունակության կամ դրանց համակցության միջոցով գլխավորապես ապահովում է լամպի հոսանքի սահմանափակումը պահանջվող արժեքի մակարդակով։ Գործարկումը կարգավորող ապարատը (այսուհետ՝ ԳԿԱ) կարող է բաղկացած լինել մեկ կամ մի քանի բլոկներից։ ԳԿԱ-ն կարող է նաև պարունակել ցանցի լարումը կերպափոխելու համար միջոցներ և սարքվածքներ, որոնք օգնում են ապահովել լամպի վառքի համար լարումը, սառը վառքի կանխումը, ստրոբոսկոպային էֆեկտի նվազեցումը, հզորության գործակցի ճշգրտումը և (կամ) ցանցային ռադիոխանգարումների ճնշումը։ Գործարկումը կարգավորող ապարատը կարող է ներկառուցված լինել լամպի մեջ կամ դրանից առանձնացված.
հաշվարկային արժեք՝ պարամետրի քանակական արժեքը որոշակի (տրված) պայմաններում։ Արժեքները և պայմանները բերվում են համապատասխան ստանդարտներում կամ հաղորդվում են արտադրողի (մատակարարի) կողմից։ Եթե այլ բան նշված չէ, ապա բոլոր պահանջներն արտահայտված են որպես հաշվարկային արժեքներ։ Հաշվարկային արժեքն ստացվում է հաշվարկային, այսինքն՝ ոչ փորձարարական եղանակով.
լույսի աղբյուրը կարգավորող սարքվածք՝ մեկ կամ մի քանի կառուցվածքային տարր՝ սնուցման բլոկի և լույսի մեկ կամ մի քանի աղբյուրների միջև, որը կարող է ծառայել սնող լարումը կերպափոխելու, լամպի էլեկտրասնուցման՝ մինչև պահանջվող արժեքը սահմանափակելու, նախնական տաքացման դեպքում վառքի և հոսանքի լարումը պատրաստի վիճակի հասցնելու, սառը գործարկումը կանխելու, հզորության գործակիցը ճշգրտելու կամ ռադիոխանգարումները նվազեցնելու համար։ Լույսի աղբյուրի կարգավորող սարքվածքներ են, օրինակ, գործարկումը կարգավորող ապարատները, կոնվերտորները և հալոգենային լամպերի համար տրանսֆորմատորները, ինչպես նաև լուսաճառագայթող դիոդների (LED) դրայվերները.
կարգավորվող (դիմմերացվող)՝ գործարկումը կարգավորող ապարատ՝ գործարկումը կարգավորող ապարատ, որն ապահովում է լամպերի լուսային հոսքի կարգավորումը՝ անհրաժեշտ լուսավորվածությունն ստանալու համար.
բարձր ճնշման սնդիկային լամպ՝ լամպ, որում սնդիկի գոլորշիների մասնական ճնշումը սահմանված ռեժիմում 3 x 104-ից մինչև 106 Պա է (225-ից մինչև 7500 մմ ս.ս.).
լուսատու՝ սարքվածք, որը բաշխում, զտում կամ կերպափոխում է մեկ կամ մի քանի լամպերով ճառագայթող լույսը, և որն իր մեջ ներառում է լամպի պահման, ֆիքսման և պաշտպանության համար անհրաժեշտ բոլոր մասերը և, անհրաժեշտության դեպքում, օժանդակ սխեմաները՝ էլեկտրասնուցումը միացնելու համար միջոցների հետ միասին.
լուսատացք (ηլ)՝ լույսի աղբյուրից ճառագայթվող լուսային հոսքի հարաբերություն՝ դրանով սպառվող հզորության նկատմամբ՝ արտահայտված լյումեն/Վատտով (լմ/Վտ)։ Լուսատացքը լույսի աղբյուրների արդյունավետության և խնայողության ցուցանիշ է և հաշվարկվում է հետևյալ բանաձևով.
η = Φ / P,
Φ-ն՝ լույսի աղբյուրից ճառագայթվող լուսային հոսքն է,
Р-ն՝ դրանով սպառվող հզորությունն է։
Լրացուցիչ սարքվածքները, ինչպիսիք են, օրինակ, ԳԿԱ-ները, տրանսֆորմատորները և սնուցման բլոկները, լամպի սպառվող հզորության (Р) մեջ հաշվի չեն առնվում.
լուսային աղտոտում՝ շրջակա միջավայրի վրա արհեստական լույսի բոլոր բացասական ազդեցությունների գումար՝ ներառյալ ավելցուկային լույսի ազդեցությունը.
լուսային հոսք (Ф)՝ տեսանելի ճառագայթման էներգիա, որը փոխանցվում է ճառագայթման հոսքով միավոր ժամանակում.
լուսակարգավորիչ՝ լամպերի լուսարձակման պայծառությունը կարգավորելու համար նախատեսված սարքվածք.
գործարկումը կարգավորող հիմնական ապարատի ՕԳԳ (EBb)` լամպի հաշվարկային հզորության (Pjl) հարաբերություն գործարկումը կարգավորող ապարատի ՕԳԳ-ի նկատմամբ։ Գործարկումը կարգավորող ապարատի համադրված ՕԳԳ-ն գործարկումը կարգավորող ապարատով մեկ և երկու լամպակոթով լյումինեսցենտային լամպերի համար հաշվարկվում է ըստ հետևյալ սխեմայի՝
գԳԿԱ ≥ EBbFl:
Եթե PԼ ≤ 5 Վտ, ապա EBbFL արժեքը = 0,71։
Եթե 5 Վտ < РԼ < 100 Վտ, ապա EBbFL արժեքը =
Եթե Рլ ≥ 100 Վտ, ապա EBbFL արժեքը = 0,91.
լամպի ծառայության ժամկետ՝ շահագործման ժամանակ, որից հետո որոշակի պայմաններում և միացումների (փոխարկումների) որոշակի հաճախության դեպքում լամպերի ընդհանուր քանակի մեջ աշխատող լամպերի բաժինը համապատասխանում է լամպի ծառայության ժամկետի գործակցին.
գունավորություն՝ լամպի գույնի որակի բնութագիր, որը որոշվում է դրա գունավորության կոորդինատներով.
UV-ճառագայթման արդունավետություն՝ լամպի UV-ճառագայթման արդյունավետ ուժ՝ դրա լուսային հոսքի նկատմամբ (մՎտ/կլմ-ով).
էլեկտրոնային կամ բարձրահաճախային՝ գործարկումը կարգավորող ապարատ»՝ էլեկտրական ցանցից աշխատող փոփոխական հոսանքի սնուցման բլոկ՝ ներառյալ միացման կայունացնող տարրերը՝ սովորաբար բարձրահաճախային մեկ կամ մի քանի խողովակավոր լյումինեսցենտային լամպերի աշխատանքի համար։
III. Էներգետիկ արդյունավետությանը ներկայացվող պահանջները և էներգետիկ արդյունավետության ցուցանիշների որոշման կանոնները
1. Լամպերի էներգետիկ արդյունավետությանը ներկայացվող պահանջները
3. 16 և 26 մմ տրամագիծ ունեցող երկու լամպակոթերով լյումինեսցենտային լամպերը (Т5 և Т8) 25 ՛C ջերմաստիճանում պետք է ունենան 1-ին աղյուսակում բերված՝ լուսատացքի հաշվարկային արժեքներից ոչ պակաս արժեքներ։
Եթե անվանական հզորությունը տարբերվում է 1-ին աղյուսակում նշված անվանական հզորությունից, ապա լամպերը պետք է հասնեն մոտակա անվանական հզորության լամպերի համար նշված լուսատացքի՝ բացառությամբ 50 Վտ-ից ավելի հզորությամբ Т8 լամպերի, որոնք պետք է հասնեն 83 լմ/Վտ լուսատացքի։ Եթե անվանական հզորության արժեքն ընկնում է 1-ին աղյուսակում բերված երկու արժեքների ուղիղ մեջտեղում, ապա համապատասխան լամպը պետք է համապատասխանի լուսատացքի արժեքներից ամենաբարձրին։ Եթե լամպի անվանական հզորությունը գերազանցում է 1-ին աղյուսակում նշված առավելագույն հզորությունը, ապա համապատասխան լամպը պետք է ունենա տվյալ առավելագույն հզորության համար լուսատացքի արժեքը։
Աղյուսակ 1
T8 և T5 լամպերի լուսատացքի հաշվարկային արժեքները
T8 (տրամագիծը՝ 26 մմ) |
T5 (տրամագիծը՝ 16 մմ) բարձր արդյունավետություն |
T5 (տրամագիծը՝ 16 մմ) բարձր հզորություն | |||
Անվանական հզորությունը, Վտ |
Հաշվարկային լուսատացքը (լմ/Վտ), 100 ժ շահագործումից հետո |
Անվանական հզորությունը, Վտ |
Հաշվարկային լուսատացքը (լմ/Վտ), 100 ժ շահագործումից հետո |
Անվանական հզորությունը, Վտ |
Հաշվարկային լուսատացքը (լմ/Վտ), 100 ժ շահագործումից հետո |
15 |
63 |
14 |
86 |
24 |
73 |
18 |
75 |
21 |
90 |
39 |
79 |
25 |
76 |
28 |
93 |
49 |
88 |
30 |
80 |
35 |
94 |
54 |
82 |
36 |
93 |
- |
- |
80 |
77 |
38 |
87 |
- |
- |
- |
- |
58 |
90 |
- |
- |
- |
- |
70 |
89 |
- |
- |
- |
- |
Լմ/Վտ-ը հաշվարկելիս թույլատրվում է տասնորդական մասերի կլորացում՝ աճման ուղղությամբ։
G13 լամպակոթով երկու լամպակոթ ունեցող լյումինեսցենտային լամպերի համար տվյալ պահանջները պետք է կիրառվեն 2021 թվականի սեպտեմբերի 1-ից։
Մեկ լամպակոթով լյումինեսցենտային լամպերը 25 ՛C ջերմաստիճանում պետք է ունենան 2-րդ աղյուսակում բերված՝ լուսատացքի հաշվարկային արժեքներից ոչ պակաս արժեքներ։
Եթե անվանական հզորությունը կամ լամպի ձևը շեղվում է 2-5-րդ աղյուսակներում բերված հզորության արժեքներից կամ լամպերի ձևերից, ապա լամպերը պետք է հասնեն մոտակա անվանական հզորության կամ ձևի լուսատացքի։ Եթե անվանական հզորության արժեքն ընկնում է աղյուսակում բերված երկու արժեքների ուղիղ մեջտեղում, ապա համապատասխան լամպը պետք է համապատասխանի լուսատացքի արժեքներից ամենաբարձրին։ Եթե անվանական հզորությունը գերազանցում է 2-րդ աղյուսակում նշված առավելագույն հզորությունը, ապա համապատասխան լամպը պետք է ունենա նշված առավելագույն հզորության համար լուսատացքի արժեքը։
Պարուրաձև երկու լամպակոթով բոլոր՝ 16 մմ-ին հավասար կամ դրանից ավելի տրամագծերով լյումինեսցենտային լամպերը պետք է համապատասխանեն 5-րդ աղյուսակից T9 օղակաձև լամպերի համար նախատեսված պահանջներին։
Աղյուսակ 2
Էլեկտրամագնիսական և էլեկտրոնային՝ գործարկումը կարգավորող ապարատով աշխատող՝ մեկ լամպակոթով լյումինեսցենտային լամպերի լուսատացքի հաշվարկային արժեքները
Մեկ զուգահեռ խողովակ, G23 (2 ցցիկ) կամ 2G7 (4 ցցիկ) լամպակոթ |
Երկու զուգահեռ խողովակ, G24d (2 ցցիկ) կամ G24q (4 ցցիկ) լամպակոթ |
Երեք զուգահեռ խողովակ, GX24d (2 ցցիկ) կամ GX24q (4 ցցիկ) լամպակոթ | |||
|
|
|
|
| |
Անվանական հզորությունը, Վտ |
Հաշվարկային լուսատացքը (լմ/Վտ), 100 ժ շահագործումից հետո |
Անվանական հզորությունը, Վտ |
Հաշվարկային լուսատացքը (լմ/Վտ),100 ժ շահագործումից հետո |
Անվանական հզորությունը, Վտ |
Հաշվարկային լուսատացքը (լմ/Վտ),100 ժ շահագործումից հետո |
5 |
48 |
10 |
60 |
13 |
62 |
7 |
57 |
13 |
69 |
18 |
67 |
9 |
67 |
18 |
67 |
26 |
66 |
11 |
76 |
26 |
66 |
||
Չորս խողովակ՝ մեկ հարթության մեջ, 2G10 լամպակոթ (4 ցցիկ) |
Մեկ զուգահեռ խողովակ, 2G11 լամպակոթ (4 ցցիկ) | ||||
|
|
| |||
Անվանական հզորությունը, Վտ |
Հաշվարկային լուսատացքը (լմ/Վտ), 100 ժ շահագործումից հետո |
Անվանական հզորությունը, Վտ |
Հաշվարկային լուսատացքը (լմ/Վտ), 100 ժ շահագործումից հետո | ||
18 |
61 |
18 |
67 | ||
24 |
71 |
24 |
75 | ||
36 |
78 |
34 |
82 | ||
36 |
81 |
Լմ/Վտ-ը հաշվարկելիս թույլատրվում է տասնորդական մասերի կլորացումը՝ աճման ուղղությամբ։
Աղյուսակ 3
Միայն էլեկտրոնային՝ գործարկումը կարգավորող ապարատով աշխատող՝ մեկ լամպակոթով լյումինեսցենտային լամպերի լուսատացքի հաշվարկային արժեքները
Երեք զուգահեռ խողովակ, GX24q լամպակոթ (4 ցցիկ) |
Չորս զուգահեռ խողովակ, GX24q լամպակոթ (4 ցցիկ) |
Մեկ զուգահեռ խողովակ, 2G11 լամպակոթ (4 ցցիկ) | |||
|
|
|
| ||
Անվանական հզորությունը, Վտ |
Հաշվարկային լուսատացքը (լմ/Վտ), 100 ժ շահագործումից հետո |
Անվանական հզորությունը, Վտ |
Հաշվարկային լուսատացքը (լմ/Վտ), 100 ժ շահագործումից հետո |
Անվանական հզորությունը, Վտ |
Հաշվարկային լուսատացքը (լմ/Վտ), 100 ժ շահագործումից հետո |
32 |
75 |
57 |
75 |
40 |
83 |
42 |
74 |
70 |
74 |
55 |
82 |
57 |
75 |
- |
- |
80 |
75 |
70 |
74 |
- |
- |
- |
- |
Լմ/Վտ-ը հաշվարկելիս թույլատրվում է տասնորդական մասերի կլորացում՝ աճման ուղղությամբ։
Աղյուսակ 4
Ոլորաձև կամ բարձր անվանական հզորության՝ մեկ լամպակոթով լյումինեսցենտային լամպերի լուսատացքի հաշվարկային արժեքները
Մեկ խողովակ՝ քառակուսու տեսքով, GR8 լամպակոթ (2 ցցիկ), GR10q լամպակոթ (4 ցցիկ) և GRY10q3 լամպակոթ (4 ցցիկ) |
Չորս զուգահեռ խողովակ, 2G8 (4 ցցիկ) | ||
|
| ||
Անվանական հզորությունը, Վտ |
Հաշվարկային լուսատացքը (լմ/Վտ), 100 ժ շահագործումից հետո |
Անվանական հզորությունը, Վտ |
Հաշվարկային լուսատացքը (լմ/Վտ), 100 ժ շահագործումից հետո |
10 |
65 |
60 |
67 |
16 |
66 |
82 |
75 |
21 |
64 |
85 |
71 |
28 |
73 |
120 |
75 |
38 |
71 |
||
55 |
71 |
Լմ/Վտ հաշվարկելիս թույլատրվում է տասնորդական մասերի կլորացում՝ աճման ուղղությամբ։
Աղյուսակ 5
T9 և T5 օղակաձև լամպերի նվազագույն լուսատացքի
հաշվարկային արժեքները
T9 օղակաձև խողովակ՝ 29 մմ տրամագծով, G10q լամպակոթ |
T5 օղակաձև խողովակ՝ 29 մմ տրամագծով, 2GX13 լամպակոթ | ||
|
| ||
Անվանական հզորությունը, Վտ |
Հաշվարկային լուսատացքը (լմ/Վտ), 100 ժ շահագործումից հետո |
Անվանական հզորությունը, Վտ |
Հաշվարկային լուսատացքը (լմ/Վտ), 100 ժ շահագործումից հետո |
22 |
52 |
22 |
77 |
32 |
64 |
40 |
78 |
40 |
70 |
55 |
75 |
60 |
60 |
60 |
80 |
Լմ/Վտ-ը հաշվարկելիս թույլատրվում է տասնորդական մասերի կլորացում՝ աճման ուղղությամբ։
Որոշակի պարամետրերով՝ մեկ և երկու լամպակոթով լյումինեսցենտային լամպերի համար թույլատրվում է նվազագույն լուսատացքի հաշվարկային արժեքների նվազեցում։ Լուսատացքը կարող է պակաս լինել 6-րդ աղյուսակում նշված պարամետրերով լամպերի համար։
Աղյուսակ 6
Բարձր գունային ջերմաստիճանով, գունահաղորդման բարձր ցուցիչով, երկրորդ թաղանթով կամ առավել երկար ծառայության ժամկետով լյումինեսցենտային լամպերի լուսատացքի նվազագույն արժեքների թույլատրելի նվազեցումը
Լամպի պարամետրերը |
Լուսատացքի թույլատրված նվազեցումը՝ 25 ՛C ջերմաստիճանում |
Тc ≥ 5 000 K |
- 10 % |
95 ≥ Ra > 90 |
- 20 % |
Ra > 95 |
- 30 % |
Երկրորդ թաղանթի առկայության դեպքում |
- 10 % |
Լամպի ծառայության ժամկետի գործակիցը ≥ 0,50՝ 40 000 ժամ շահագործումից հետո |
- 5 % |
Նշված թույլատրելի նվազեցումները (%-ով) գումարվում են։
Մեկ և երկու լամպակոթով լյումինեսցենտային լամպերը, որոնց օպտիմալ ջերմաստիճանը աշխատանքի համար տարբեր է 25՛ C-ից, պետք է համապատասխանեն 1-6-րդ աղյուսակներին համապատասխան լուսատացքին ներկայացվող պահանջներին նաև աշխատանքի համար դրանց օպտիմալ ջերմաստիճանում։
Тc ≥ 5 000 K-ով կամ երկրորդ թաղանթով բարձր ճնշման գազապարպումային լամպերը պետք է համապատասխանեն 7-9-րդ աղյուսակներում բերված՝ լուսատացքին ներկայացվող պահանջներին՝ առնվազն 90 %-ով։
Ra ≤ 60-ով բարձր ճնշման նատրիումական լամպերը պետք է ունենան 7-րդ աղյուսակում բերված՝ լուսատացքի հաշվարկային արժեքներից ոչ պակաս արժեքներ։
Աղյուսակ 7
Ra ≤ 60-ով բարձր ճնշման նատրիումական լամպերի լուսատացքի հաշվարկային արժեքները
Լամպի անվանական հզորությունը, W, Վտ |
Թափանցիկ լամպանոթով լամպի հաշվարկային լուսատացքը, լմ/Վտ |
Անթափանց լամպանոթով լամպի հաշվարկային լուսատացքը, լմ/Վտ |
W ≤ 45 |
≥ 60 |
≥ 60 |
45 < W ≤ 55 |
≥ 80 |
≥ 70 |
55 < W ≤ 75 |
≥ 90 |
≥ 80 |
75 < W ≤ 105 |
≥ 100 |
≥ 95 |
105 < W ≤ 155 |
≥ 110 |
≥ 105 |
155 < W ≤ 255 |
≥ 125 |
≥ 115 |
255 < W ≤ 605 |
≥ 135 |
≥ 130 |
Բարձր ճնշման նատրիումական լամպերի համար գործում են 7-րդ աղյուսակում բերված պահանջները։
Սնդիկային լամպերի ուղղակի փոխարինման համար նատրիումական լամպերի համար (սնդիկային լամպերի համար ԳԿԱ-ով աշխատող) տվյալ պահանջները պետք է կիրառվեն 2023 թվականի սեպտեմբերի 1-ից։
Ra ≤ 80-ով մետաղահալոգենային լամպերը և Ra > 60-ով բարձր ճնշման նատրիումական լամպերը պետք է ունենան 8-րդ աղյուսակում բերված` լուսատացքի հաշվարկային արժեքներից ոչ պակաս արժեքներ։
Աղյուսակ 8
Ra ≤ 80-ով մետաղահալոգենային լամպերի և Ra > 60-ով բարձր ճնշման նատրիումական լամպերի նվազագույն լուսատացքի հաշվարկային արժեքները
Լամպի անվանական հզորությունը, W, Վտ |
Թափանցիկ լամպանոթով լամպի հաշվարկային լուսատացքը, լմ/Վտ |
Անթափանց լամպանոթով լամպի հաշվարկային լուսատացքը, լմ/Վտ |
W ≤ 55 |
≥ 60 |
≥ 60 |
55 < W ≤ 75 |
≥ 75 |
≥ 70 |
75 < W ≤ 105 |
≥ 80 |
≥ 75 |
105 < W ≤ 155 |
≥ 80 |
≥ 75 |
155 < W ≤ 255 |
≥ 80 |
≥ 75 |
255 < W ≤ 405 |
≥ 85 |
≥ 75 |
Բարձր ճնշման այլ գազապարպումային լամպեր պետք է ունենան 9-րդ աղյուսակում բերված` լուսատացքի հաշվարկային արժեքներից ոչ պակաս արժեքներ։
Տվյալ պահանջները պետք է կիրառվեն 2023 թվականի սեպտեմբերի 1-ից։
Աղյուսակ 9
Բարձր ճնշման այլ գազապարպումային լամպերի նվազագույն լուսատացքի հաշվարկային արժեքները
Լամպի անվանական հզորությունը, W, Վտ |
Հաշվարկային լուսատացքը, լմ/Վտ |
W ≤ 40 |
50 |
40 < W ≤ 50 |
55 |
50 < W ≤ 70 |
65 |
70 < W ≤ 125 |
70 |
125 < W |
75 |
2023 թվականի սեպտեմբերի 1-ից՝
պետք է նախատեսվի A2 էներգետիկ արդյունավետության դասի՝ գործարկումը կարգավորող ապարատներով կամ առավել արդյունավետ՝ գործարկումը կարգավորող ապարատներով առանց ներկառուցված՝ գործարկումը կարգավորող ապարատի լյումինեսցենտային լամպերի շահագործումը։ Պետք է նախատեսված լինի նաև դրանց շահագործումը՝ գործարկումը կարգավորող ապարատներով, որոնք ընկնում են А2-ից ցածր էներգետիկ արդյունավետության դասի ներքո.
Tc ≥ 5 000 K գունային ջերմաստիճանով կամ երկրորդ թաղանթով լամպերը պետք է համապատասխանեն լուսատացքին ներկայացվող գործող պահանջներին՝ առնվազն 90 %-ով.
մետաղահալոգենային լամպերի լուսատացքի հաշվարկային արժեքները պետք է լինեն 10-րդ աղյուսակում բերված արժեքներից ոչ ցածր։
Աղյուսակ 10
Մետաղահալոգենային լամպերի լուսատացքի հաշվարկային արժեքները
Լամպի անվանական հզորությունը, W, Վտ |
Թափանցիկ լամպանոթով լամպի հաշվարկային լուսատացքը, լմ/Վտ |
Անթափանց լամպանոթով լամպի հաշվարկային լուսատացքը, լմ/Վտ |
W ≤ 55 |
≥ 70 |
≥ 65 |
55 < W ≤ 75 |
≥ 80 |
≥ 75 |
75 < W ≤ 105 |
≥ 85 |
≥ 80 |
105 < W ≤ 155 |
≥ 85 |
≥ 80 |
155 < W ≤ 255 |
≥ 85 |
≥ 80 |
255 < W ≤ 405 |
≥ 90 |
≥ 85 |
2. Լամպերի շահագործման բնութագրերին ներկայացվող պահանջները
4. Առանց ներկառուցված՝ գործարկումը կարգավորող ապարատի՝ լյումինեսցենտային լամպերը պետք է ունենան 80-ից ոչ պակաս գունահաղորդման ցուցիչ (Ra) և լամպի լուսային հոսքի պահպանման գործակցի՝ 11-րդ աղյուսակում բերված արժեքից ոչ պակաս արժեքներ։ Նշված պահանջները պետք է կիրառվեն 2021 թվականի սեպտեմբերի 1-ից։
Աղյուսակ 11
Մեկ և երկու լամպակոթով լյումինեսցենտային լամպերի համար լուսային հոսքի պահպանման գործակցի արժեքները
Լամպի տեսակը |
Շահագործման ժամանակը, ժ | |||
2 000 |
4 000 |
8 000 |
16 000 | |
Լամպի լուսային հոսքի պահպանման գործակիցը | ||||
Ոչ էլեկտրոնային ԳԿԱ-ով շահագործվող երկու լամպակոթով լյումինեսցենտային լամպեր |
0,95 |
0,,92 |
0,,90 |
- |
Էլեկտրոդների նախնական տաքացմամբ՝ ոչ էլեկտրոնային ԳԿԱ-ով շահագործվող T8՝ երկու լամպակոթով լյումինեսցենտային լամպեր |
0,,96 |
0,,92 |
0,,91 |
0,,90 |
Տաքացրած վիճակում գործարկմամբ՝ գործարկումը կարգավորող էլեկտրոնային ապարատով շահագործվող՝ երկու լամպակոթով այլ լյումինեսցենտային լամպեր |
0,,95 |
0,,92 |
0,,90 |
0,,90 |
Գործարկումը կարգավորող՝ ոչ էլեկտրոնային ապարատով շահագործվող՝ մեկ լամպակոթով օղակաձև լյումինեսցենտային լամպեր, U-անման T8՝ երկու լամպակոթով լյումինեսցենտային լամպեր և 16 մմ կամ ավելի տրամագծով՝ պարուրաձև, երկու լամպակոթով լյումինեսցենտային լամպեր (T5) |
0,,80 |
0,,74 |
- |
- |
0,72՝ 5 000 ժ շահագործման դեպքում | ||||
Գործարկումը կարգավորող էլեկտրոնային ապարատներով շահագործվող՝ մեկ լամպակոթով օղակաձև լյումինեսցենտային լամպեր |
0,85 |
0,83 |
0,80 |
- |
0,75՝ 12 000 ժ շահագործման դեպքում | ||||
Ոչ էլեկտրոնային ԳԿԱ-ով շահագործվող՝ մեկ լամպակոթով այլ լյումինեսցենտային լամպեր |
0,85 |
0,78 |
0,75 |
- |
Էլեկտրոդների նախնական տաքացմամբ՝ էլեկտրոնային ԳԿԱ-ով շահագործվող ՝մեկ լամպակոթով այլ լյումինեսցենտային լամպեր |
0,90 |
0,84 |
0,81 |
0,78 |
11-րդ աղյուսակում նշված արժեքների նկատմամբ կիրառվում են 12-րդ աղյուսակում բերված՝ լյումինեսցենտային լամպերի լուսային հոսքի պահպանման գործակցին ներկայացվող պահանջների համար թույլատրելի նվազեցումները։
Աղյուսակ 12
Լյումինեսցենտային լամպերի լուսային հոսքի պահպանման գործակցին ներկայացվող պահանջների համար թույլատրելի նվազեցման ցուցանիշները
Լամպի պարամետրերը |
Լամպի լուսային հոսքի պահպանման գործակցին ներկայացվող պահանջների թույլատրելի նվազեցումը |
95 ≥ Ra> 90-ով լամպեր |
շահագործումը ≤ 8 000 ժ՝ 5 %, շահագործումը > 8 000՝ 10 % |
Ra> 95-ով լամպեր |
շահագործումը՝ ≤ 4 000՝ 10 % շահագործումը՝ > 4 000՝ 15 % |
≥ 5 000 K գունային ջերմաստիճանով լամպեր |
- 10 % |
Առանց ներկառուցված՝ գործարկումը կարգավորող ապարատի՝ լյումինեսցենտային լամպերը պետք է ունենան լամպի ծառայության ժամկետի գործակցի՝ 13-րդ աղյուսակում բերված արժեքներից ոչ ցածր արժեքներ։ Նշված պահանջները պետք է կիրառվեն 2021 թվականի սեպտեմբերի 1-ից։
Աղյուսակ 13
Մեկ և երկու լամպակոթով լյումինեսցենտային լամպերի համար ծառայության ժամկետների գործակիցները
Լամպի տեսակը |
Շահագործման ժամանակը, ժ | |||
2 000 |
4 000 |
8 000 |
16 000 | |
Լամպի ծառայության ժամկետի գործակիցը | ||||
Գործարկումը կարգավորող ոչ էլեկտրոնային ապարատներով շահագործվող՝ երկու լամպակոթով լյումինեսցենտային լամպեր |
0,99 |
0,,97 |
0,,90 |
- |
Տաքացրած վիճակում գործարկմամբ՝ գործարկումը կարգավորող էլեկտրոնային ապարատով շահագործվող՝ երկու լամպակոթով լյումինեսցենտային լամպեր |
0,,99 |
0,,97 |
0,,92 |
0,,90 |
Գործարկումը կարգավորող ոչ էլեկտրոնային ապարատով շահագործվող՝ մեկ լամպակոթով օղակաձև լյումինեսցենտային լամպեր, U-անման T8՝ երկու լամպակոթով լյումինեսցենտային լամպեր և 16 մմ կամ ավելի տրամագծով՝ պարուրաձև, երկու լամպակոթով լյումինեսցենտային լամպեր (T5) |
0,,98 |
0,,77 |
- |
- |
0,50՝ 5 000 ժ շահագործման դեպքում | ||||
Գործարկումը կարգավորող էլեկտրոնային ապարատներով շահագործվող՝ մեկ լամպակոթով օղակաձև լյումինեսցենտային լամպեր |
0,99 |
0,97 |
0,85 |
- |
0,50՝ 12 000 ժ շահագործման դեպքում | ||||
Գործարկումը կարգավորող ոչ էլեկտրոնային ապարատներով շահագործվող՝ մեկ լամպակոթով այլ լյումինեսցենտային լամպեր |
0,98 |
0,90 |
0,50 |
- |
Էլեկտրոդների նախնական տաքացմամբ՝ գործարկումը կարգավորող էլեկտրոնային ապարատով շահագործվող՝ մեկ լամպակոթով այլ լյումինեսցենտային լամպեր |
0,99 |
0,98 |
0,88 |
- |
Բարձր ճնշման նատրիումական լամպերը պետք է ունենան 14-րդ աղյուսակում բերված՝ լամպի լուսային հոսքի պահպանման գործակցի և լամպի ծառայության ժամկետի գործակցի արժեքներից ոչ ցածր արժեքներ։
Աղյուսակ 14
Բարձր ճնշման նատրիումական լամպերի համար՝ լամպի լուսային հոսքի պահպանման գործակցի և լամպի ծառայության ժամկետի գործակցի արժեքները
Բարձր ճնշման նատրիումական լամպերի կատեգորիան |
Լամպի լուսային հոսքի պահպանման գործակիցը |
Լամպի ծառայության ժամկետի գործակիցը | |
PԼ ≤ 75 Վտ LLMF և LSF՝ չափված են 12 000 ժ շահագործման դեպքում |
Ra ≤ 60 |
> 0, 80 |
> 0, 90 |
Ra > 60 |
> 0, 75 |
> 0, 75 | |
բոլոր արդիականացված լամպերը, որոնք նախատեսված են բարձր ճնշման սնդիկային լամպերի համար՝ գործարկումը կարգավորող ապարատներով շահագործման համար |
> 0,75 |
> 0,80 | |
PԼ > 75 Վտ LLMF և LSF՝ չափված 16 000 ժ շահագործման դեպքում |
Ra ≤ 60 |
> 0,85 |
> 0,90 |
Ra > 60 |
> 0,70 |
> 0,65 | |
բոլոր արդիականացված լամպերը, որոնք նախատեսված են բարձր ճնշման սնդիկային լամպերի համար՝ գործարկումը կարգավորող ապարատներով շահագործման համար |
> 0, 75 |
> 0, 55 |
Մետաղահալոգենային լամպերը պետք է ունենան 15-րդ աղյուսակում բերված՝ լամպի լուսային հոսքի պահպանման գործակցի և լամպի ծառայության ժամկետի գործակցի արժեքներից ոչ ցածր արժեքներ։
Նշված պահանջները պետք է կիրառվեն 2022 թվականի սեպտեմբերի 1-ից։
Աղյուսակ 15
Կերամիկական այրիչով մետաղահալոգենային լամպերի համար՝ լամպի լուսային հոսքի պահպանման գործակցի և ծառայության ժամկետի գործակցի արժեքները
Շահագործման ժամանակը, ժ |
Լամպի լուսային հոսքի պահպանման գործակիցը |
Լամպի ծառայության ժամկետի գործակիցը |
12,000 |
> 0,80 |
> 0,80 |
3. Լյումինեսցենտային լամպերի և բարձր ճնշման գազապարպումային լամպերի համար չներկառուցված՝ գործարկումը կարգավորող ապարատների լուսատացքին ներկայացվող պահանջներ
5. Լայն ընդգրկույթով՝ գործարկումը կարգավորող ապարատները (որոնք թույլ են տալիս աշխատել տարբեր հզորություններով լամպերի հետ) պետք է համապատասխանեն յուրաքանչյուր հզորության համար նախատեսված պահանջներին, որով դրանք կարող են շահագործվել։
Արգելվում է D էներգետիկ արդյունավետության դասի ՝ մեկ և երկու լամպակոթով լյումինեսցենտային լամպերի համար՝ գործարկումը կարգավորող էլեկտրամագնիսական ապարատների շրջանառությունը շուկայում 2021 թվականի սեպտեմբերի 1-ից։
16-րդ աղյուսակով նախատեսված՝ գործարկումը կարգավորող ապարատները պետք է ունենան B2-ից ոչ ցածր էներգետիկ արդյունավետության դաս, 17-րդ աղյուսակով նախատեսված՝ գործարկումը կարգավորող ապարատները՝ A3-ից ոչ ցածր դաս, 18-րդ աղյուսակով նախատեսված՝ գործարկումը կարգավորող ապարատները՝ A1-ից ոչ ցածր դաս։
Շահագործվող լամպի լուսային հզորության 25 %-ի դեպքում գործարկումը կարգավորող ապարատի շղթայի մուտքային հզորությունը (РՄԻԱՑ) չպետք է կազմի ավելի քան՝
PՄԻԱՑ < 50 % x Pլամպի հաշվ. / գԳԿԱ,
որտեղ՝
Pլամպի հաշվ. ՝ լամպի հզորության հաշվարկային արժեքի համար,
գԳԿԱ՝ համապատասխան դասի էներգետիկ արդյունավետության ստորին սահմանային արժեքի համար։
Լյումինեսցենտային լամպերի համար՝ գործարկումը կարգավորող ապարատների էներգասպառումը չպետք է գերազանցի 1,0 Վտ-ը, եթե շահագործվող լամպերը շահագործման նորմալ պայմաններում չեն ճառագայթում որևէ լույս և մյուս հնարավոր միացված կառուցվածքային տարրերը (ցանցային միացումներ, սենսորներ և այլն) անջատված են։ Եթե անջատումն անհնար է, ապա անհրաժեշտ է չափել դրանց հզորությունը և հանել արդյունքից։
Բարձր ճնշման գազապարպումային լամպերի համար գործարկումը կարգավորող ապարատները պետք է ունենան 19-րդ աղյուսակում բերված՝ ՕԳԳ-ի արժեքներից ոչ ցածր արժեքներ։
ՀԱՎԵԼՎԱԾ ԹԻՎ 16 «Էներգասպառող սարքվածքների էներգետիկ արդյունավետությանը ներկայացվող պահանջների մասին» Եվրասիական տնտեսական միության տեխնիկական կանոնակարգի (ԵԱՏՄ ՏԿ 048/2019) |
ՊԱՀԱՆՋՆԵՐ
փոշեկուլների էներգետիկ արդյունավետությանը ներկայացվող
I. Կիրառման ոլորտը
1. Սույն պահանջները տարածվում են Եվրասիական տնտեսական միության (այսուհետ՝ Միություն) մաքսային տարածքում շրջանառության մեջ դրվող մինչև 250 Վ անվանական լարմամբ (ներառյալ) փոփոխական հոսանքի ցանցից սնվող կենցաղային նշանակության փոշեկուլների վրա (այսուհետ՝ փոշեկուլներ), որոնք կարող են օգտագործվել առևտրային նպատակներով (արտադրությունում, առևտրում և ծառայությունների ոլորտում), կամ հիբրիդային փոշեկուլների վրա՝ բացառությամբ.
ա) խոնավ մաքրման համար նախատեսված փոշեկուլների.
բ) խոնավ և չոր մաքրման համար նախատեսված փոշեկուլների.
գ) էլեկտրական մարտկոցներից և (կամ) կուտակիչներից աշխատող փոշեկուլների.
դ) ռոբոտ-փոշեկուլների.
ե) արդյունաբերական կամ կենտրոնական փոշեկուլների.
զ) հատակափայլիչների.
է) տարածքներից դուրս կիրառման համար նախատեսված փոշեկուլների:
II. Հիմնական հասկացությունները
2. Սույն պահանջները կիրառելու նպատակներով օգտագործվում են հասկացություններ, որոնք ունեն հետևյալ իմաստը.
մարտկոցներով աշխատող ակտիվ գլխադիր-խոզանակ (ակտիվ գլխադիր-խոզանակ)՝ մաքրող գլխադիր, որը հանդերձված է մարտկոցներից և (կամ) կուտակիչներից սնվող՝ խավը բարձրացնելու համար նախատեսվող սարքվածքով (շարժվող խոզանակով), որը նպաստում է կեղտի հեռացմանը.
կենցաղային փոշեկուլ՝ միայն տնային կամ կենցաղային օգտագործման համար նախատեսված և արտադրողի կողմից որպես այդպիսին և հայտարարված փոշեկուլ.
փոշու երկրորդական արտանետում՝ փոշեկուլից արտանետված՝ 0,3 մկմ-ից մինչև 10 մկմ չափի փոշու մասնիկների գումարային թվի՝ մինչև 2 տասնորդական նիշ ճշգրտությամբ տոկոսներով արտահայտված հարաբերությունը մասնիկների նշված չափերով որոշակի քանակության փոշու՝ ներծծող սարքվածք մուտք գործելու ժամանակ դրանով հավաքված փոշու նույն չափի մասնիկների գումարային թվի նկատմամբ՝ ներառյալ փոշեկուլի ելքում չափված փոշին և ցանկացած հոսակորուստի պատճառով արտանետված ու փոշեկուլով իսկ արտադրվող փոշին.
հիբրիդային փոշեկուլ՝ փոշեկուլ, որը կարող է գործարկվել ինչպես էլեկտրացանցից, այնպես էլ էլեկտրական մարտկոցներից և (կամ) կուտակիչներից.
երկակի անցում՝ մաքրող գլխադիրի 1 շարժում առաջ և 1 շարժում հետ՝ զուգահեռ ուղղությամբ, որոնք կատարվում են անցման փորձարկման արագությամբ՝ փորձարկման անցման տրված երկարությամբ.
փորձարկման անցման երկարություն՝ մետրերով արտահայտված փորձարկման գոտու երկարություն՝ ներառյալ մաքրող գլխադիրի կենտրոնով անցած հեռավորությունը՝ փորձարկման գոտուց առաջ ու հետո համապատասխան գոտիներով արագացմամբ.
փորձարկում գորգի վրա՝ Վիլտոնի փորձարկման գորգի վրա համապատասխան թվով մաքրման ցիկլերի փորձարկում, որի ժամանակ փոշեկուլի՝ առավելագույն հզորությամբ աշխատող մաքրող գլխադիրն անցնում է մաքրող գլխադիրի լայնությանը հավասար լայնությամբ փորձարկման գոտու համապատասխան երկարության հատված, որով հավասարաչափ բաշխված ու համապատասխան կերպով ներկառուցված է համապատասխան կազմության փորձարկման փոշի՝ այդ ընթացքում անցած ժամանակի, փորձարկման գոտու նկատմամբ մաքրող գլխադիրի կենտրոնի դիրքի, էլեկտրաէներգիայի սպառման և մաքրման յուրաքանչյուր ցիկլի վերջում փոշեհավաքարանի զանգվածի մեծացման չափմամբ և արձանագրմամբ.
փորձարկում կոշտ հատակի վրա՝ մաքրման 2 ցիկլերով փորձարկում, որի ժամանակ առավելագույն հզորությամբ աշխատող փոշեկուլի մաքրող գլխադիրն անցնում է անկյունագծային (45° անկյան տակ) փորձարկման փորակով հանդերձված փայտյա փորձարկման սալով, մաքրող գլխադիրի լայնությանը հավասար լայնությամբ համապատասխան երկարության փորձարկման գոտու հատված՝ այդ ընթացքում անցած ժամանակի, փորձարկման գոտու նկատմամբ մաքրող գլխադիրի կենտրոնի դիրքի, էլեկտրաէներգիայի սպառման և մաքրման յուրաքանչյուր ցիկլի վերջում փորձարկման փորակի զանգվածի նվազման չափմամբ և արձանագրմամբ.
անցման փորձարկման արագություն՝ փորձարկման ժամանակ մաքրող գլխադիրի մ/ժ-ով արտահայտված շարժման արագություն, որը նախընտրաբար իրագործվում է էլեկտրամեխանիկական շարժաբերի օգտագործմամբ (ինքնագնաց մաքրող գլխադիրով փոշեկուլի մասով անհրաժեշտ է համոզվել, որ դրա արագությունը գտնվում է համապատասխան փորձարկման արագությանը հնարավորինս մոտ, թեև շեղումները թույլատրելի են, այն դեպքում, երբ դրանք հստակ ամրագրված են շահագործման փաստաթղթերում).
փորձարկման փորակ՝ մաքրման ցիկլի սկզբում համապատասխան արհեստական փոշով լցվող համապատասխան չափերի П-աձև հանովի ներդիր.
անվանական սպառվող հզորություն՝ արտադրողի կողմից հայտարարված՝ Վտ-ով արտահայտված սպառվող հզորություն (փոշեկուլի ֆունկցիայի հետ մեկտեղ այլ ֆունկցիաներ կատարելու համար նախատեսված սարքերի համար հաշվի է առնվում միայն վակուումային մաքրման վրա ծախսվող էլեկտրական հզորությունը).
կուտակիչներից սնմամբ լիաչափ փոշեկուլ՝ կուտակիչներից սնմամբ փոշեկուլ, որը լրիվ լիցքավորման դեպքում և առանց լրացուցիչ լրալիցքավորման ունակ է մաքրելու հատակի 15 մ2՝ մաքրվող ամբողջ մակերևույթով 2-ական երկակի քայլի կիրառմամբ.
հատակափայլիչ՝ որոշակի տեսակի հատակի պաշտպանության, հարթեցման և (կամ) փայլեցման համար նախատեսված էլեկտրական սարք, որը, որպես կանոն, աշխատում է հատակի մակերևույթի վրա սարքով քսվող փայլեցնող նյութերի կիրառմամբ, որն ունակ է կատարելու նաև փոշեկուլի ֆունկցիա.
արդյունաբերական փոշեկուլ՝ 0,50 մ-ից ավելի լայնություն ունեցող գլխադիրով առևտրային փոշեկուլ, կամ որպես արտադրական գործընթացի, մեքենայի կամ գործիքի մաս մշակված փոշեկուլ, որը նախատեսված է ձուլման, հանքաարդյունահանող արդյունաբերության, սննդարդյունաբերության և այլ արդյունաբերության սարքավորումներից առաջացած վտանգավոր նյութերի, ծանր շինարարական փոշու, արդյունաբերական փոշու հեռացման համար.
փոշեկուլ՝ մաքրվող մակերևույթից աղբ հեռացնելու համար նախատեսված սարք՝ այդ սարքում գոյացող ցածր ճնշման հաշվին առաջացող օդային հոսքի օգնությամբ.
խոնավ և չոր մաքրման փոշեկուլ՝ 2,5 լիտրից ավելի ծավալով հեղուկ հեռացնելու համար նախատեսված փոշեկուլ, որն ունակ է նաև կատարելու չոր մաքրման փոշեկուլի ֆունկցիա.
խոնավ մաքրման փոշեկուլ՝ սարք, որը հեռացնում է չոր և (կամ) խոնավ աղբն ու կեղտը՝ մաքրման ենթակա մակերևույթին քսելով ջրային հիմքով լվացող միջոցը կամ ներգործելով գոլորշիով՝ սարքում գոյացող ցածր ճնշման հաշվին առաջացող օդային հոսքով՝ առաջացած խոնավությունը աղբի հետ հեռացմամբ (ներառյալ որպես լվացող փոշեկուլներ հայտնի սարքերի տեսակները).
առևտրային օգտագործման փոշեկուլ՝ գրասենյակի, խանութի, հիվանդանոցի և հյուրանոցի պայմաններում՝ արտադրողի կողմից որպես այդպիսին հայտարարված՝ ոչ մասնագետների (հավաքարարների կամ անձնակազմի մյուս անդամների) կողմից օգտագործման համար նախատեսված փոշեկուլ.
տարածքներից դուրս կիրառման համար նախատեսված փոշեկուլ՝ բացօթյա տարածքներում օգտագործման համար նախատեսված սարքվածք՝ այդ սարքվածքում առաջացող նոսրացման հաշվին ստեղծվող օդային հոսքի միջոցով աղբը (օրինակ՝ հնձած խոտն ու տերևները) կոլեկտորում հավաքելու համար, որը կարող է պարունակել մանրացման հարմարանքներ և կատարել օդափուքի ֆունկցիա.
չոր մաքրման փոշեկուլ՝ հիմնականում չոր աղբի (փոշու, մանրաթելերի, թելերի) հեռացման համար նախատեսված փոշեկուլ, այդ թվում փոշեկուլ, որը հանդերձված է մարտկոցով աշխատող ակտիվ գլխադիր-խոզանակով.
կոշտ հատակի համար նախատեսված փոշեկուլ՝ հատուկ կոշտ մակերևույթների մաքրման համար նախագծված ֆիքսված գլխադիր-խոզանակով հանդերձված կամ կոշտ հատակների մաքրման համար նախատեսված 1 կամ մի քանի հանովի գլխադիրներով լրակազմվող փոշեկուլ.
գորգի մաքրման փոշեկուլ՝ հատուկ գորգերի մաքրման համար մշակված ֆիքսված գլխադիր-խոզանակով հանդերձված կամ գորգերի մաքրման համար նախատեսված մեկ կամ մի քանի հանովի գլխադիրներով լրակազմվող փոշեկուլ.
ընդհանուր նշանակության փոշեկուլ՝ գորգերի և կոշտ հատակների մաքրման համար՝ 1 կամ մի քանի ֆիքսված հանովի գլխադիրով լրակազմվող կամ հանովի գլխադիրներով լրակազմվող փոշեկուլ, որոնցից առնվազն 1 գլխադիրը հատուկ նախատեսված է գորգերի և առնվազն մեկը՝ կոշտ հատակների մաքրման համար.
ռոբոտ-փոշեկուլ՝ էլեկտրական մարտկոցներից և (կամ) կուտակիչներից սնուցմամբ փոշեկուլ, որը որոշակի տարածության սահմաններում կարող է աշխատել առանց մարդու միջամտության և որը բաղկացած է շարժուն մասից, դոկ-կայանից և (կամ) դրա աշխատանքն ապահովող այլ պարագաներից.
ջրային զտիչով փոշեկուլ՝ փոշեկուլ, որում՝ որպես հիմնական զտիչ նյութ, օգտագործվում է 0,5 լիտրից ավելի ջուր, որի միջով բաց է թողնվում փոշու հավաքման նպատակով ներծծվող օդը.
էլեկտրական մարտկոցներով և (կամ) կուտակիչներով սնուցմամբ փոշեկուլ՝ միայն էլեկտրական մարտկոցներով և (կամ) կուտակիչներով աշխատող փոշեկուլ.
ձայնային հզորության մակարդակ՝ 1 պՎտ-ի դեպքում դԲԱ-ով արտահայտված և մինչև ամբողջ թիվ կլորացրած՝ արձակվող ակուստիկ աղմուկի մակարդակ.
կենտրոնական փոշեկուլ՝ ցածր ճնշման աղբյուրի ստացիոնար (ոչ շարժական) տեղակայմամբ և տարածքի ֆիքսված վայրերում տեղակայված ճկափողային միացումներով փոշեկուլ.
մաքրման ցիկլ՝ գորգի կամ կոշտ հատակի վրայով կոնկրետ փորձարկման գոտիով փոշեկուլի 5 երկակի անցումներից բաղկացած հաջորդականություն.
մաքրող գլխադիրի լայնություն՝ մաքրող գլխադիրի մետրերով արտահայտված արտաքին առավելագույն լայնություն՝ մինչև 3 տասնորդական նիշ ճշգրտությամբ.
փոշեկուլի էտալոնային համակարգ՝ օդի որոշակի պարամետրերով գորգային ծածկերի վրա փոշու ստուգաճշտված և էտալոնային կլանումը չափելու համար օգտագործվող էլեկտրասարքավորում՝ փորձարկումների արդյունքների վերարտադրումը բարելավելու համար.
փոշու հավաքման արդյունավետություն՝ մաքրող գլխադիրի մի քանի երկակի անցումներից հետո հաշվարկված, մինչև 3 տասնորդական նիշ կլորացված, հանված արհեստական փոշու՝ փոշեհավաքարանի զանգվածի ավելացումից որոշվող զանգվածի հարաբերությունը՝ գորգի համար, իսկ կոշտ հատակի համար՝ փորձարկման փորակի զանգվածի նվազեցումից որոշվող հարաբերությունը փորձարկման գոտում սկզբնապես տեղադրված արհեստական փոշու զանգվածի նկատմամբ՝ գորգի համար փորձարկումների կոնկրետ պայմանների և կոշտ հատակի համար փորձարկման փորակի երկարության և տեղակայման շտկմամբ:
III. Փոշեկուլների էներգետիկ արդյունավետությանը ներկայացվող պահանջները և էներգետիկ արդյունավետության ցուցանիշների որոշման առանձնահատկությունները
3. Փոշեկուլի համար պետք է կատարվեն համապատասխան փորձարկումներ (չափումներ) և որոշվեն հետևյալ ցուցանիշների արժեքները՝
ա) էներգիայի տարեկան սպառում (AE).
բ) անվանական սպառվող հզորություն.
գ) գորգի վրա փոշու հավաքման արդյունավետություն.
դ) կոշտ հատակի վրա փոշու հավաքման արդյունավետություն.
ե) փոշու երկրորդական արտանետում.
զ) ճկափողի երկարակեցություն (առկայության դեպքում).
է) ձայնային հզորության մակարդակ.
ը) էլեկտրաշարժիչի ռեսուրս:
4. Էլեկտրաէներգիայի տարեկան սպառման (AE) հաշվարկը (կՎտ·ժ/տարի-ով) (մինչև 1 տասնորդական նիշ կլորացմամբ) փոշեկուլների համար կատարվում է հետևյալ բանաձևերով՝
գորգերի համար՝
AEc = 4 x 87 x 50 x 0,001 x ASEc x ( |
1 - 0,20 |
) |
dpuc - 0,20 |
կոշտ հատակի համար՝
AEhf = 4 x 87 x 50 x 0,001 x ASEhf x ( |
1 - 0,20 |
) |
dpuhf - 0,20 |
ընդհանուր նշանակության՝
AEgp = 0,5 x AEc + 0,5 x AEhf
որտեղ՝
ASEC -ը՝ էներգիայի միջին տեսակարար ծախսն է Վտ ժ·մ2–ով՝ գորգերի համար փոշեկուլի փորձարկումների ժամանակ.
ASEhf -ը՝ էներգիայի միջին տեսակարար ծախսն է Վտ ժ·մ2–ով՝ կոշտ հատակի համար փոշեկուլի փորձարկումների ժամանակ.
dpuC-ը՝ գորգի վրա փոշու հավաքման արդյունավետությունն է.
dpuhf -ը՝ կոշտ հատակի վրա փոշու հավաքման արդյունավետությունն է.
50-ը՝ փոշեկուլով տարեկան մեկժամյա մաքրումների ստանդարտ քանակն է.
87-ը՝ մաքրման ենթակա բնակելի տարածքի մ2-ով արտահայտված ստանդարտ մակերևույթն է.
4-ը՝ հատակի վրա յուրաքանչյուր կետով փոշեկուլի գլխադիրի անցումների ստանդարտ քանակն է (2 երկակի անցում).
0,001-ը՝ Վտ·ժ-ից կՎտ·ժ-ի վերահաշվարկի գործակիցն է.
1-ը՝ փոշու հավաքման ստանդարտ արդյունավետությունն է.
0,20-ը՝ 5 և 2 երկակի անցումներից հետո փոշու հավաքման արդյունավետության միջև ստանդարտ տարբերությունը:
5. Գորգի վրա ASEC և կոշտ հատակի վրա ASEhf փորձարկումների ժամանակ էներգիայի միջին տեսակարար ծախսը որոշվում է որպես համապատասխանաբար գորգի և կոշտ հատակի վրա փորձարկում կազմող մաքրման ցիկլերի քանակի դեպքում էներգիայի միջին տեսակարար սպառում՝ SE: Ընդհանուր նշանակության փոշեկուլների ASEC –ն և ASEhf –ն հաշվարկվում է հետևյալ ընդհանուր բանաձևով (Վտժ·մ2-ով) (մինչև 3 տասնորդական նիշ կլորացմամբ).
SE = |
(P + NP) x t |
|
A |
որտեղ՝
Р-ն՝ մաքրման ցիկլի ընթացքում միջին հզորությունն է, երբ մաքրող գլխադիրի կենտրոնը շարժվում է փորձարկման գոտիով (Վտ-ով) (մինչև 2 տասնորդական նիշ կլորացմամբ).
NP-ն՝ էլեկտրական մարտկոցներով և (կամ) կուտակիչներով աշխատող ակտիվ խոզանակ-գլխադիրի միջին համարժեք հզորությունն է (Վտ-ով) (մինչև 2 տասնորդական նիշ կլորացմամբ).
t-ն՝ մաքրման ցիկլի ընդհանուր ժամանակը, որի ընթացքում մաքրող գլխադիրի կենտրոնը, այսինքն՝ մաքրող գլխադիրի առջևի և հետևի եզրերի միջև հեռավորության կեսի կետը, շարժվում է փորձարկման գոտիով (ժամերով) (մինչև 4 տասնորդական նիշ կլորացմամբ).
A-ն՝ մակերևույթի մակերեսն է, որն ընդգրկում է մաքրող գլխադիրը մաքրման մեկ ցիկլում, փորձարկման գոտու համապատասխան երկարության վրա գլխադիրի լայնության 10-ապատիկի արտադրյալի հաշվարկով՝ (մ2-ով) (մինչև 3 տասնորդական նիշ կլորացմամբ): Եթե կենցաղային փոշեկուլի մաքրող գլխադիրը 0,320 մ-ից ավելի լայնություն ունի, ապա մաքրող գլխադիրի լայնությունն այդ դեպքում փոխարինվում է 0,320-ով:
Կոշտ հատակի վրա փորձարկումների համար նշված բանաձևում պետք է օգտագործվեն «hf» ցուցիչն ու SEhf, Phf, NPhf, thf և Ahf պարամետրերի նշագրերը: Գորգի վրա փորձարկումների համար նշված բանաձևում պետք է օգտագործվեն «с» ցուցիչն ու SEc, Pc, NPc, tc և Ac պարամետրերի նշագրերը:
Գորգերի փոշեկուլներին, կոշտ հատակի համար նախատեսված փոշեկուլներին և ընդհանուր նշանակության փոշեկուլներին վերաբերող համապատասխան ցուցիչով ակտիվ կուտակիչներով սնուցմամբ խոզանակ-գլխադիրի NP միջին համարժեք հզորությունը հաշվարկվում է հետևյալ բանաձևով (Վտ-ով) (մինչև 2 տասնորդական նիշի ճշգրտությամբ)՝
NP = |
E |
, |
tbat |
որտեղ՝
E-ն՝ էլեկտրական կուտակիչից էներգիայի սպառումն է, որը հավասար է կուտակիչի լրիվ լիցքավորման սկզբնական վիճակին վերադառնալու համար՝ մաքրման ցիկլից հետո դրա լրալիցքավորման համար պահանջվող էներգիային (Վտ·ժ-ով) (մինչև 3 տասնորդական նիշ կլորացմամբ).
tbat-ը՝ մաքրման ցիկլի այն ընդհանուր ժամանակն է, որի ընթացքում փոշեկուլի մաքրող ակտիվ խոզանակ-գլխադիրն ակտիվացված է՝ արտադրողի հրահանգին համապատասխան (ժամերով) (մինչև 4 տասնորդական նիշ կլորացմամբ):
Եթե փոշեկուլն ակտիվ խոզանակ-գլխադիրներով սարքավորված չէ, ապա NP արժեքը հավասար է 0-ի:
Կոշտ հատակի վրա փորձարկումների համար նշված բանաձևում պետք է օգտագործվեն «hf» ցուցիչը և NPhf, Ehf և tbathf պարամետրերի նշագրերը: Գորգի վրա փորձարկումների համար բերված վերոնշյալ բանաձևում պետք է օգտագործվեն «с» ածանցը և NPc, Ec, tbatc պարամետրերի նշագրերը:
6. Կոշտ հատակի վրա dpuhf փոշու հավաքման արդյունավետությունը պետք է որոշվի որպես հատակի վրա փորձարկման ժամանակ մաքրման 2 ցիկլերի արդյունքներով միջին արժեք:
7. Գորգի վրա dpuc փոշու հավաքման արդյունավետությունը պետք է որոշվի որպես գորգի վրա փորձարկման ժամանակ մաքրման 2 ցիկլերի արդյունքներով միջին արժեք: Փորձարկման գորգի սկզբնական հատկություններից շեղումների ճշգրտման համար dpuc-ն հաշվարկվում է հետևյալ բանաձևով՝
dpuc = dpum x ( |
dpucal |
), |
dpuref |
որտեղ՝
dpum-ը՝ փոշեկուլով փոշու հավաքման արդյունավետությունն է.
dpucal-ը՝ փոշեկուլի չափանմուշային համակարգով փոշու հավաքման արդյունավետությունն է՝ չափված փորձարկման գորգը սկզբնական վիճակում գտնվելու ժամանակ.
dpuref-ը՝ փոշեկուլի չափանմուշային համակարգով փոշու հավաքման արդյունավետությունն է:
8. Փոշու երկրորդային արտանետումը որոշվում է փոշեկուլի՝ առավելագույն օդային հոսքի ռեժիմով աշխատանքի ժամանակ:
9. Ձայնային հզորության մակարդակը որոշվում է գորգի վրա աշխատանքի ժամանակ:
10. Ճկափողը փորձարկելիս (չափելիս) 2,5 կգ կշռով բեռի օգնությամբ ճիգի գործադրմամբ այն ենթարկվում է ծռումների:
11. Էլեկտրաշարժիչի ռեսուրսը փորձարկելիս (չափելիս) փոշեկուլը պետք է աշխատի կիսով չափ լցված փոշեհավաքարանով՝ աշխատանքի յուրաքանչյուր 14 րոպե 30 վայրկյանը մեկ 30 վայրկյանով անջատմամբ անցավազք կատարելու դեպքում: Փոշեհավաքարանը և զտիչները պետք է փոխարինվեն համապատասխան ժամանակահատվածներ անց: Փորձարկումը կարող է կանգնեցվել աշխատանքի 500 ժամից հետո և պետք է դադարեցվի աշխատանքի 600 ժամից հետո: Էլեկտրաշարժիչի աշխատունակությունը վերահսկվում է յուրաքանչյուր աշխատանքային միջակայքի ընթացքում օդային հոսքի մեծությունները, նոսրացման աստիճանը և սպառվող հզորությունը փոփոխելու միջոցով:
12. Հիբրիդային փոշեկուլների համար բոլոր փորձարկումները (չափումները) իրականացվում են փոշեկուլի՝ էլեկտրական ցանցից սնուցման դեպքում՝ բացառությամբ էլեկտրական կուտակիչից սնվող ակտիվ խոզանակ-գլխադիրի (առկայության դեպքում):
13. Փոշեկուլները պետք է համապատասխանեն հետևյալ պահանջներին՝
ա) ЕА էներգիայի տարեկան սպառումը պետք է լինի 43,0 կՎտ·ժ/տարուց ոչ ավելի.
բ) անվանական սպառվող հզորությունը պետք է լինի 900 Վտ-ից ոչ ավելի.
գ) գորգի վրա փոշու հավաքման արդյունավետությունը (dpuc) պետք է լինի 0,75-ից ոչ պակաս (պահանջը չի տարածվում կոշտ հատակի համար նախատեսված փոշեկուլների վրա).
դ) կոշտ հատակի վրա փոշու հավաքման արդյունավետությունը (dpuhf) պետք է լինի 0,98-ից ոչ պակաս (պահանջը չի տարածվում գորգի համար նախատեսված փոշեկուլների վրա).
ե) փոշու երկրորդային արտանետումը պետք է լինի 1,00 %-ից ոչ ավելի.
զ) աղմուկի հզորության մակարդակը չպետք է գերազանցի 80 դԲ(Ա).
է) ճկափողը (առկայության դեպքում) 40 000 ծռումներից հետո պետք է շահագործման համար պիտանի մնա.
ը) փոշեկուլի էլեկտրաշարժիչի ռեսուրսը պետք է լինի 500 ժամից ոչ պակաս:
14. Փոշեկուլներին կցվող՝ «Էներգասպառող սարքվածքների էներգետիկ արդյունավետությանը ներկայացվող պահանջների մասին» Եվրասիական տնտեսական միության տեխնիկական կանոնակարգի (ԵԱՏՄ ՏԿ 048/2019) (այսուհետ՝ տեխնիկական կանոնակարգ) 13-րդ կետով նախատեսված շահագործման փաստաթղթերը պետք է պարունակեն նաև փոշեկուլների բնութագրերի և պարամետրերի մասին հետևյալ տեղեկությունները՝
բ) կոշտ հատակի մաքրման համար նախատեսված փոշեկուլի համար պետք է նշված լինի այն, որ լրակազմվող գլխադիրներով այն հարմար չէ գորգերի մաքրման համար.
գ) գորգերի մաքրման համար նախատեսված փոշեկուլի համար պետք է նշված լինի այն, որ լրակազմվող գլխադիրներով այն հարմար չէ կոշտ հատակի մաքրման համար.
դ) այն սարքի համար, որը փոշեկուլի գործառույթի հետ մեկտեղ կարող է կատարել նաև այլ գործառույթներ, պետք է նշված լինի փոշեկուլի գործառույթով աշխատելիս սպառվող էլեկտրական հզորությունը, եթե այն սարքի անվանական սպառվող հզորությունից ցածր է.
ե) պետք է նշված լինի, թե փորձարկումների ժամանակ փոշեկուլը հետևյալ 3 խմբերից որին պետք է դասվի ՝ ընդհանուր նշանակության փոշեկուլ, կոշտ հատակի համար նախատեսված փոշեկուլ կամ գորգի համար նախատեսված փոշեկուլ:
զ) կրճատ անվանումը կամ սույն պահանջներին համապատասխանության սահմանման համար՝ օգտագործվող չափումների և հաշվարկի մեթոդների հղումները:
15. Տեխնիկական կանոնակարգի 28-րդ կետի «ա» ենթակետում կամ 29-րդ կետի «ա» ենթակետում նշված ՝ փոշեկուլներին կից փաստաթղթերի լրակազմի մեջ լրացուցիչ պետք է ներառվի հետևյալ տեղեկատվությունը՝ հաշվի առնելով հայտատուի կողմից ընտրված համապատասխանության հայտարարագրման սխեման՝
ա) էլեկտրաէներգիայի միջին տեսակարար ծախսի փորձարկումների ժամանակ սույն պահանջների 5-րդ կետին համապատասխան որոշված մաքրման ցիկլերից յուրաքանչյուրի համար SEhf, Phf, NPhf, thf և Ahf և (կամ) SEc, Pc, NPc, tc և Ac արժեքները.
բ) գորգի վրա փոշու հավաքման արդյունավետության փորձարկումների ժամանակ սույն պահանջների 7-րդ կետին համապատասխան որոշված dpuc, dpucal և dpuref մաքրման ցիկլերից յուրաքանչյուրի համար dpum արժեքները.
գ) սույն պահանջների 11-րդ կետին համապատասխան՝ էլեկտրաշարժիչի ռեսուրսի փորձարկումների ժամանակ անցավազքի ընդհանուր ժամանակը, չափվող օդային հոսքը, նոսրացման աստիճանը և սպառվող հզորությունը:
VI. Փոշեկուլների էներգետիկ արդյունավետության պարամետրերի թույլատրելի շեղումները դրանք շրջանառության մեջ դնելուց հետո փորձարկումներ (չափումներ) անցկացնելիս
16. Փոշեկուլները Միության մաքսային տարածքում շրջանառության մեջ դնելուց հետո դրանց փորձարկումներ (չափումներ) անցկացնելու դեպքում անցկացվում են փոշեկուլի յուրաքանչյուր մոդելի մեկ տիպային օրինակի (նմուշի) փորձարկումներ (չափումներ)։
Փոշեկուլի մոդելը համարվում է սույն պահանջներին համապատասխանող այն դեպքում, երբ փոշեկուլի պարամետրերի և բնութագրերի չափված արժեքները համապատասխանում են սույն պահանջների III բաժնի պահանջներին և արտադրողի հայտարարած անվանական արժեքներին՝ աղյուսակում նշված թույլատրելի շեղումների սահմաններում:
Աղյուսակ 1
Թույլատրելի շեղումներ
Չափվող պարամետրը |
Թույլատրելի շեղումները* |
Էլեկտրաէներգիայի տարեկան սպառումը |
չափված մեծության արժեքը չպետք է գերազանցի AE անվանական արժեքն ավելի քան 10 %-ով |
Գորգի վրա փոշու հավաքման արդյունավետությունը |
չափված մեծության արժեքը չպետք է պակաս լինի անվանական արժեքից ավելի քան 0,03-ով |
Կոշտ հատակի վրա փոշու հավաքման արդյունավետությունը |
չափված մեծության արժեքը չպետք է պակաս լինի անվանական արժեքից ավելի քան 0,03-ով |
Փոշու երկրորդային արտանետումը |
չափված մեծության արժեքը չպետք է գերազանցի անվանական արժեքն ավելի քան 15 %-ով |
Ձայնային հզորության մակարդակը |
չափված մեծության արժեքը չպետք է գերազանցի անվանական արժեքը |
Էլեկտրաշարժիչի ռեսուրսը |
չափված մեծության արժեքը չպետք է պակաս լինի անվանական արժեքից ավելի քան 5 %-ով |
Անվանական արժեք ասելով պետք է հասկանալ արտադրողի հայտարարած արժեքը
Այլ դեպքերում փորձարկումները (չափումները) պետք է անցկացվեն տվյալ մոդելի փոշեկուլի երեք լրացուցիչ օրինակների վրա: Փոշեկուլի մոդելը համարվում է սույն պահանջներին համապատասխանող, եթե փոշեկուլի այդ երեք լրացուցիչ օրինակների չափված պարամետրերի միջին արժեքները համապատասխանում են սույն կետի առաջին պարբերության մեջ նշված պահանջներին:
Այլ դեպքերում փոշեկուլի տվյալ մոդելը հարկավոր է դիտարկել որպես տեխնիկական կանոնակարգի պահանջներին չհամապատասխանող։
VII. Փոշեկուլների պիտակի և տեխնիկական թերթիկի բովանդակությունը
17. Փոշեկուլի պիտակը պետք է պարունակի հետևյալ տեղեկությունները՝
I. արտադրողի անվանումը կամ ապրանքային նշանը (առկայության դեպքում).
II. մոդելի նշագիրը.
III. էներգետիկ արդյունավետության դասը.
IV. էներգիայի միջին տարեկան սպառումը (կՎտ·ժ/տարի-ով).
V. երկրորդական ֆիլտրման արդյունավետության դասը.
VI. գորգերի մաքրման արդյունավետության դասը.
Եթե փոշեկուլը նախատեսված է հատակի մաքրման համար, ապա դրվում է բացառման նշանը.
VII. հատակի մաքրման արդյունավետության դասը.
Եթե փոշեկուլը նախատեսված է գորգի մաքրման համար, ապա դրվում է բացառման նշանը.
VIII. ձայնային հզորության ճշգրտված մակարդակը, որն արտահայտված է դԲ (Ա)-ով 1 պՎտ-ի նկատմամբ (մինչև ամբողջ թիվ կլորացմամբ) (նշվում է դԲ-ով): Որոշվում է գորգի վրա աշխատանքի ժամանակ:
18. Փոշեկուլների շահագործման փաստաթղթերի կազմի մեջ մտնող տեխնիկական թերթիկը պետք է պարունակի հետևյալ տեղեկությունները՝
ա) արտադրողի անվանումը կամ ապրանքային նշանը (առկայության դեպքում).
բ) արտադրողի մոդելի նույնականացման համարը (որպես կանոն՝ տառաթվանշանային ծածկագիր, որով տարբերակվում է փոշեկուլի կոնկրետ մոդելը միևնույն առևտրային մակնիշի կամ այդպիսի անվանմամբ արտադրողի այլ մոդելներից).
գ) էներգետիկ արդյունավետության դասը.
դ) էներգիայի միջին տարեկան սպառումը (կՎտ·ժ/ տարի-ով) (մինչև 1 տասնորդական նիշ կլորացմամբ): Փաստացի էներգասպառումը կախված է լինելու այն բանից, թե ինչպես է օգտագործվելու փոշեկուլը.
ե) երկրորդական ֆիլտրման արդյունավետության դասը.
զ) գորգերի մաքրման արդյունավետության դասը.
է) եթե փոշեկուլը նախատեսված է հատակի մաքրման համար, ապա դրվում է բացառման նշանը.
ը) հատակի մաքրման արդյունավետության դասը.
թ) եթե փոշեկուլը նախատեսված է գորգի մաքրման համար, ապա դրվում է բացառման նշանը.
ժ) ձայնային հզորության ճշգրտված մակարդակը, որն արտահայտված է դԲ (Ա)-ով 1 պՎտ-ի նկատմամբ (մինչև ամբողջ թիվ կլորացմամբ) (նշվում է դԲ-ով): Որոշվում է գորգի վրա աշխատանքի ժամանակ:
ժա) անվանական սպառվող հզորությունը:
19. Փոշեկուլի մեկ տեխնիկական թերթիկում կարող են արտացոլվել միևնույն արտադրողի կողմից մատակարարվող փոշեկուլների մի շարք մոդելներ:
20. Փոշեկուլի տեխնիկական թերթիկի մեջ պարունակվող տեղեկատվությունը կարող է ներկայացվել պիտակի գունավոր կամ սև ու-սպիտակ պատճենի տեսքով: Այդ դեպքում պետք է ներկայացվի նաև սույն պահանջների 18-րդ կետում նշված և պիտակի վրա բացակայող տեղեկատվությունը:
VIII. Փոշեկուլների էներգետիկ արդյունավետության, մաքրման արդյունավետության և փոշու երկրորդական ֆիլտրման դասերի որոշումը
21. Փոշեկուլների էներեգետիկ արդյունավետության դասը որոշվում է դրա՝ էներգիայի տարեկան սպառմանը (АЕ) համապատասխան՝ 2-րդ աղյուսակի համաձայն:
Աղյուսակ 2
Փոշեկուլների էներգետիկ արդյունավետության դասերը
Էներգետիկ արդյունավետության դասը |
Էներգիայի տարեկան սպառումը, կՎտ· ժ/տարի |
А +++ |
АЕ ≤ 10,0 |
А ++ |
10,0 < АЕ ≤ 16,0 |
А + |
16,0 < АЕ ≤ 22,0 |
А |
22,0 < АЕ ≤ 28,0 |
В |
28,0 < АЕ ≤ 34,0 |
С |
34,0 < АЕ ≤ 40,0 |
D |
АЕ > 40,0 |
22. Փոշեկուլի մաքրման արդյունավետության դասը որոշվում է 3-րդ աղյուսակին համապատասխան:
Աղյուսակ 3
Փոշեկուլների մաքրման արդյունավետության դասերը
Մաքրման արդյունավետության դասը |
Գորգի մաքրման արդյունավետության ցուցիչը |
Հատակի մաքրման արդյունավետության ցուցիչը |
А |
dpuc ≥ 0,91 |
dpuhf ≥ 1,11 |
В |
0,87 ≤ dpuc < 0,91 |
1,08 ≤ dpuhf < 1,11 |
С |
0,83 ≤ dpuc < 0,87 |
1,05 ≤ dpuhf < 1,08 |
D |
0,79 ≤ dpuc < 0,83 |
1,02 ≤ dpuhf < 1,05 |
E |
0,75 ≤ dpuc < 0,79 |
0,99 ≤ dpuhf < 1,02 |
F |
0,71 ≤ dpuc < 0,75 |
0,96 ≤ dpuhf < 0,99 |
G |
dpuc < 0,71 |
dpuhf < 0,96 |
23. Երկրորդական ֆիլտրման արդյունավետության դասը որոշվում է 4-րդ աղյուսակին համապատասխան:
Աղյուսակ 4
Փոշեկուլների փոշու երկորդական ֆիլտրման արդյունավետության դասերը
Երկրորդական ֆիլտրման արդյունավետության դասը |
Փոշու երկրորդական արտանետումը, % |
А |
dre ≤ 0,02 |
В |
0,02 < dre ≤ 0,08 |
С |
0,08 < dre ≤ 0,20 |
D |
0,20 < dre ≤ 0,35 |
E |
0,35 < dre ≤ 0,60 |
F |
0,60 < dre ≤ 1,00 |
G |
dre > 1,00 |
ՀԱՎԵԼՎԱԾ ԹԻՎ 17 «Էներգասպառող սարքվածքների էներգետիկ արդյունավետությանը ներկայացվող պահանջների մասին» Եվրասիական տնտեսական միության տեխնիկական կանոնակարգի (ԵԱՏՄ ՏԿ 048/2019) |
ՊԱՀԱՆՋՆԵՐ
համակարգիչների և սերվերների էներգետիկ արդյունավետությանը ներկայացվող
I. Կիրառման ոլորտը
1. Սույն պահանջները տարածվում են Եվրասիական տնտեսական միության (այսուհետ՝ Միություն) մաքսային տարածքում շրջանառության մեջ դրվող՝ անմիջապես փոփոխական հոսանքի ցանցից, այդ թվում՝ սնուցման արտաքին կամ ներքին աղբյուրից սնուցման համար նախատեսված համակարգիչների և սերվերների վրա (այսուհետ՝ համակարգիչներ և սերվերներ)՝
ա) սեղանի համակարգիչներ.
բ) միաբլոկ սեղանի համակարգիչներ.
գ) նոութբուքեր (այդ թվում՝ պլանշետային համակարգիչներ, կոմպակտ պլանշետային համակարգիչներ և շարժական «բարակ սպասառուներ»).
դ) շարժական «բարակ սպասառուներ».
ե) աշխատանքային կայաններ.
զ) շարժական աշխատանքային կայաններ.
է) փոքր սերվերներ.
ը) համակարգիչ-սերվերներ:
Սույն պահանջները չեն տարածվում հետևյալ արտադրատեսակների վրա՝
ա) բլեյդ-համակարգեր և դրանց բաղադրիչները.
բ) հավելվածների սերվերներ.
գ) բազմահանգույց սերվերներ.
դ) ավելի քան 4 պրոցեսորային միացքներով համակարգիչ-սերվերներ.
ե) խաղաբարձակներ.
զ) դոկ-կայաններ:
II. Հիմնական հասկացությունները
2. Սույն պահանջները կիրառելու նպատակներով օգտագործվում են հասկացություններ, որոնք ունեն հետևյալ իմաստը՝
ակտիվացում՝ օգտվողի կողմից, արտաքին իրադարձությամբ կամ ներգործությամբ սկզբնավորված կամ ըստ կարգացուցակի կատարվող իրադարձություն, ինչը ստիպում է համակարգչին քնի ռեժիմից կամ անջատման ռեժիմից անցնել ակտիվ աշխատանքային ռեժիմի: «Ակտիվացում» իրադարձությունը ներառում է (սակայն դրանցով չի սահմանափակում) հետևյալ իրադարձությունները՝
մկնիկի շարժումը.
ստեղնաշարի վրա ստեղնի սեղմումը.
կոնտրոլերի մուտքը.
ըստ իրական ժամանակի՝ ժամերի իրադարձությունը.
կորպուսի վրա կոճակի սեղմումը.
հեռակառավարման վահանակով, ցանցով կամ մոդեմով փոխանցվող ազդանշանները սկզբնավորած արտաքին իրադարձությունները.
ակտիվացում տեղային ցանցով (WOL)՝ գործառույթ, որի օգնությամբ համակարգիչը Ethernet տեղային ցանցի միջոցով՝ քնի ռեժիմից կամ անջատման ռեժիմից (կամ ցածր էներգասպառման այլ համանման ռեժիմից) հրամանով միանում է.
ակտիվ ռեժիմ՝ վիճակ, որում համակարգիչը՝ օգտվողի կողմից տվյալների նախնական կամ միաժամանակյա մուտքագրման արդյունքում կամ ցանցով նախնական կամ միաժամանակյա հրաման ստանալու արդյունքում՝ ի պատասխան, օգտակար աշխատանք է իրականացնում: Այդ վիճակը ներառում է ակտիվ մշակումը, սկավառակի վրա, օպերատիվ հիշողության կամ քեշ-հիշողության մեջ տվյալների որոնումը, այդ թվում՝ ցածր էներգասպառման ռեժիմի անցնելուց առաջ օգտվողի կողմից տվյալների մուտքագրման սպասման մեջ ոչ աշխատանքային վիճակում պարապուրդի ժամանակը.
աուդիոքարտ (ձայնային քարտ)՝ համակարգչի մուտքային և ելքային ձայնային ազդանշանները մշակող դիսկրետային ներքին բաղադրիչ.
բլեյդ-համակարգ և բաղադրիչներ՝ կորպուսից բաղկացած համակարգ (բլեյդ-շասսի), որում տեղակայված են տարբեր տեսակի բլեյդ-կուտակիչներ ու սերվերներ, և նախատեսված են ընդհանուր ռեսուրսներ, որոնցից կախված է սերվերների և պահպանման սարքվածքների աշխատանքները: Բլեյդ-համակարգերը մշակվել են որպես մի քանի համակարգիչ-սերվերներ կամ մի քանի պահպանման սարքվածքներ մեկ կորպուսում միավորելու համար մասշտաբավորվող որոշում և նախատեսված են սարքվածքները (օրինակ` բլեյդ-սերվերները) արագ ավելացնելու կամ դրանք փոխարինելու (թեժ փոխարինմամբ) հնարավորությունն ապահովելու համար.
արտաքին սնուցման աղբյուր՝ սարքվածք, որը բավարարում է հետևյալ բոլոր պայմանները՝
նախատեսված է սնուցման ցանցի փոփոխական հոսանքի մուտքային լարումն ավելի ցածր ելքային լարման կերպափոխելու համար.
ունակ է իրականացնելու հաստատուն կամ փոփոխական հոսանքի մուտքային լարման կերպափոխումը ելքային լարման (հաստատուն կամ փոփոխական հոսանքի արտաքին սնուցման աղբյուրներ).
նախատեսված է հիմնական բեռնվածքի դեր կատարող՝ դրանից առանձին՝ սնուցվող էլեկտրական սարքավորման հետ օգտագործելու համար.
ներառված է հիմնական բեռնվածքի սնուցվող սարքավորումից առանձին ֆիզիկական թաղանթի (կորպուսի) մեջ.
սնուցվող սարքավորումների հետ միացվում է հանովի կամ կոշտ ամրակցված միաժանի-բնիկային էլեկտրական միացումների, մալուխի, լարի, հաղորդալարի կամ միակցիչ այլ սարքվածքի միջոցով.
անվանական ելքային հզորությունը չի գերազանցում 250 Վտ-ը.
ընդգրկվում է «Էներգասպառող սարքվածքների էներգետիկ արդյունավետությանը ներկայացվող պահանջների մասին» Եվրասիական տնտեսական միության տեխնիկական կանոնակարգի (ԵԱՏՄ ՏԿ 048/2019) (այսուհետ՝ տեխնիկական կանոնակարգ) թիվ 10 հավելվածի կիրառման բնագավառում.
ներքին հիշող սարք՝ տվյալների էներգաանկախ պահպանումն ապահովող համակարգչի բաղադրիչ.
էլեկտրասնուցման ներկառուցված աղբյուր՝ սարքվածք, որը նախատեսված է համակարգչի կամ համակարգիչ-սերվերի սնուցման նպատակով ցանցից փոփոխական հոսանքի լարումը հաստատուն հոսանքի լարման կերպափոխելու համար, և որն ունի հետևյալ բնութագրերը՝
տեղադրվում է համակարգչի կամ համակարգիչ-սերվերի կորպուսի ներսում, բայց համակարգչի կամ համակարգիչ-սերվերի հիմնական բաղադրիչներից առանձին.
ցանցին միացվում է 1 մալուխի օգնությամբ՝ առանց սնուցման աղբյուրի և էլեկտրական ցանցի միջև միջանկյալ սխեմաների.
սնուցման աղբյուրից մինչև համակարգչի կամ համակարգիչ-սերվերի բաղադրիչների բոլոր ուժային շղթաները, բացառությամբ սեղանի միաբլոկ համակարգչում դիսփլեյի վրա հաստատուն հոսանքի շղթայի, գտնվում են համակարգչի կորպուսի ներսում.
սնուցման արտաքին աղբյուրից հաստատուն հոսանքի լարումը համակարգչում կամ համակարգիչ-սերվերում օգտագործվող մի քանի լարումների կերպափոխելու համար օգտագործվող «հաստատուն հոսանք-հաստատուն հոսանք» տեսակի ներքին կերպափոխիչները չեն համարվում էլեկտրասնուցման ներկառուցված աղբյուր.
հիպերվիզոր՝ ծրագիր, որն ապահովում կամ թույլ է տալիս համակարգչում մի քանի օպերացիոն համակարգերի զուգահեռ միաժամանակյա աշխատանքը.
էլեկտրաէներգիայի տարեկան սպառում (ETEC)՝ էներգասպառման որոշակի ռեժիմներում և վիճակներում տրված ժամանակահատվածների ընթացքում սարքվածքով սպառվող էլեկտրաէներգիայի քանակ.
երկհանգույց սերվեր՝ 2 սերվերային հանգույցներից բաղկացած բազմահանգույց կազմաձևով սերվեր.
դիսկրետային տեսաքարտ (dGfx)՝ համակարգչի դիսկրետային ներքին բաղադրիչ, որը պարունակում է հետևյալ կատեգորիաներից մեկին դասվող՝ հիշողության կոնտրոլերի տեղային միջերեսով և տեղային գրաֆիկական հիշողությամբ 1 կամ մի քանի գրաֆիկական պրոցեսորներ (GPU)՝
G1 (FB_BW ≤ 16).
G2 (16 < FB_BW ≤ 32).
G3 (32 < FB_BW ≤ 64).
G4 (64 < FB_BW ≤ 96).
G5 (96 < FB_BW ≤ 128).
G6 (FB_BW > 128 (տվյալների հաղորդաձողի կարգայնությունը < 192 բիթ)).
G7 (FB_BW > 128 (տվյալների հաղորդաձողի կարգայնությունը ≥ 192 բիթ)),
որտեղ «FB_BW»՝ կադրային բուֆերի թողունակությունն է (ԳԲ/վրկ), այսինքն տվյալների ծավալ, որը մշակվում է վայրկյանում 1 դիսկրետային տեսաքարտի (dGfx) բոլոր գրաֆիկական պրոցեսորներով, որը հաշվարկվում է հետևյալ բանաձևով՝
FBBW = |
տվյալների փոխանցման արագություն x տվյալների հաղորդաձողի կարգայնություն |
|
8 x 1000 |
որտեղ՝
տվյալների փոխանցման արագություն՝ հիշողության արդյունավետ հաճախություն ՄՀց-ով.
տվյալների հաղորդաձողի կարգայնություն՝ կադրերի հիշողության բուֆերի տվյալների կարգայնություն բիթերով (b).
«8»՝ բայթերով վերահաշվարկի գործակից.
«1 000»՝ մեգաբայթերը գիգաբայթերի վերահաշվարկելու գործակից.
դոկ-կայան՝ սարքվածք, որը նախատեսված է համակարգչին միացնելու համար՝ այնպիսի գործառույթներ կատարելու համար, ինչպիսիք են պորտային միացումների քանակի ավելացումը, ծայրամասային սարքվածքների հետ միացումների միավորումը և միակցված համակարգչում ներքին կուտակիչ մարտկոցների լիցքավորումը.
լրացուցիչ ներքին հիշող սարքվածք՝ տվյալների պահպանման բոլոր ներքին սարքվածքները՝ ներառյալ կոշտ սկավառակները (HDD), կարծրամարմին կուտակիչները (SSD) և հիբրիդային կոշտ սկավառակները (HHD), որոնք, ի լրումն հիմնական (առաջին, բազային) հիշող սարքվածքի, ընդգրկվում են համակարգչի բաղադրիչների կազմում.
խաղաբարձակ՝ էլեկտրացանցից սնուցմամբ ինքնավար սարքվածք, որը նախատեսված է որպես իր սեփական գործառույթ տեսախաղն ապահովելու համար: Խաղաբարձակը նախատեսված է հիմնական խաղային էկրան ծառայող արտաքին դիսփլեյի վրա ազդանշաններ արտածելու համար: Խաղաբարձակները սովորաբար ներառում են կենտրոնական պրոցեսոր, համակարգային հիշողություն և գրաֆիկական պրոցեսոր (պրոցեսորներ) (GPU), ինչպես նաև կարող են պարունակել կոշտ սկավառակներ կամ այլ ներքին հիշող սարքվածքներ ու ընթերցող սարքվածքներ: Խաղաբարձակների ներածման հիմնական սարքվածքներ են ծառայում, որպես կանոն, ձեռքով կառավարվող վահանակները կամ ինտերակտիվ կոնտրոլերները, այլ ոչ թե արտաքին ստեղնաշարը կամ մկնիկը: Խաղաբարձակները ոչ թե ունեն անհատական համակարգչի ավանդական օպերացիոն համակարգեր, այլ համալրված են խաղաբարձակների համար սեփական օպերացիոն համակարգերով: Որպես հիմնական խաղային էկրան՝ ներկառուցված դիսփլեյով դյուրակիր խաղային սարքվածքները, որոնք հիմնականում աշխատում են ներկառուցված կուտակիչով կամ էլեկտրասնուցման այլ դյուրակիր աղբյուրով, սակայն անմիջապես չեն միանում փոփոխական հոսանքի էլեկտրացանցին, նույնպես համարվում են խաղաբարձակներին դասվող.
վիճակի ցուցանշում (վիճակի մասին տեղեկացում)՝ դիսփլեյի վրա համակարգչի վիճակի կամ վիճակի ցուցանշման մասին տեղեկատվության տրամադրման անընդհատ գործառույթ, այդ թվում՝ ստույգ ժամի ցուցանշմամբ.
կոմպակտ պլանշետային համակարգիչ՝ նոութբուքի տարատեսակ, որն ունի ներկառուցված սենսորային դիսփլեյ և չունի ներկառուցված ֆիզիկական ստեղնաշար.
համակարգիչ՝ սարքվածք, որը կատարում է տրամաբանական գործողություններ և տվյալների մշակում, կարող է օգտագործել տեղեկատվության ներածման և արտածման սարքվածքներ և սովորաբար ներառում է կենտրոնական պրոցեսոր (CPU)՝ գործողություններ կատարելու համար: Եթե կենտրոնական պրոցեսորը բացակայում է, ապա սարքվածքը պետք է գործի որպես համակարգչային սերվերին «սպասառուի անցուղի», որը գործում է որպես մշակման հաշվողական բլոկ.
համակարգիչ-սերվեր՝ ցանցային ռեսուրսները կառավարող և սպասառու սարքվածքներին (սեղանի համակարգիչներ, նոութբուքեր, սեղանի «բարակ սպասառուներ», IP-հեռախոսներ կամ այլ համակարգիչ-սերվերներ) ծառայություններ տրամադրող հաշվողական սարքվածք, որը նախատեսված է, որպես կանոն, տվյալների մշակման կենտրոններում կամ կորպորատիվ միջավայրերում օգտագործելու համար, որը հասանելի է հիմնականում կապի ցանցի միջոցով, այլ ոչ թե անմիջապես ստեղնաշար կամ մկնիկ տեսակի ներածման սարքվածքի օգնությամբ և որն ունի հետևյալ բնութագրերը՝
նախատեսված է սերվերային օպերացիոն համակարգերին (ՕՀ) և (կամ) հիպերվիզորներին աջակցելու համար, ինչպես նաև օգտվողի կողմից տեղադրված կորպորատիվ հավելվածները գործադրելու համար.
աջակցում է սխալների ուղղման ծածկագրին (ECC) և (կամ) բուֆերային հիշողությանը, այդ թվում՝ կոնտակտների երկկողմանի տեղակայմամբ հիշողության բուֆերացված մոդուլներին (DIMM) և ներկառուցված բուֆերով կազմաձևերին (ВОВ).
համալրվում է 1 կամ մի քանի փոփոխական (հաստատուն) հոսանքի էլեկտրասնուցման աղբյուրներով.
բոլոր պրոցեսորներն ունեն մատչում ընդհանուր համակարգային հիշողությանը և անկախ տեսանելի են մեկ ՕՀ-ում կամ հիպերվիզորում.
համակարգիչ-սերվեր, որը համալրված է ավելի քան 4 պրոցեսորային միացքներով՝ պրոցեսորի տեղակայման համար նախատեսված 4-ից ավելի միջերեսներ պարունակող համակարգիչ-սերվեր.
փոքր սերվեր՝ համակարգչի տեսակ, որը սովորաբար օգտագործում է սեղանի համակարգչի բաղադրամասերը, սակայն նախատեսված է առաջին հերթին այլ համակարգիչների համար գործառույթներ կատարելու համար (օրինակ` ցանցային ենթակառուցվածքի ծառայությունների մատուցման և տվյալների պահպանման), որն ունի հետևյալ առանձնահատկությունները՝
դասավորված է «աշտարակ» տեսակի կորպուսում կամ սեղանի համակարգչին համանման այլ ձևով՝ մեկ բլոկում մշակում, պահպանում և ցանցային փոխգործակցություն իրականացնելու համար.
նախատեսված է շաբաթը 7 օր շուրջօրյա աշխատանքի համար.
նախևառաջ նախատեսված է այնպիսի բազմաթիվ օգտվողներից կազմված համաժամանակյա միջավայրում աշխատելու համար, որը ցանցային սպասառու մոդուլի միջոցով սպասարկում է մի քանի օգտվողների.
եթե մատակարարվում է տեղակայված օպերացիոն համակարգով, ապա այդ օպերացիոն համակարգը նախատեսված է տնային սերվերի կամ պարզ սերվերային հավելվածների համար.
լրակազմվում է միայն G1 կատեգորիայի դիսկրետային տեսաքարտով (dGfx).
բազմահանգույց սերվեր՝ համակարգ, որը բաղկացած է այնպիսի 2 կամ ավելի անկախ համակարգիչ-սերվերներ (կամ հանգույցներ) պարունակող կորպուսից, որոնք համատեղ օգտագործում են 1 կամ մի քանի էլեկտրասնուցման աղբյուրներ: Բոլոր հանգույցների գումարային սպառվող հզորությունն ապահովվում է էլեկտրասնուցման ընդհանուր աղբյուրով (աղբյուրներով): Բազմահանգույց սերվերը դասավորված է միասնական կորպուսի տեսքով և նախատեսված չէ թեժ փոխարինման համար.
շարժական աշխատանքային կայան՝ բարձրարտադրողական անհատական համակարգիչ, որը հիմնականում օգտագործվում է գրաֆիկայի համար, ավտոմատացված նախագծման համակարգում, ծրագրային ապահովում, ֆինանսական և գիտական հավելվածներ ու այլ ռեսուրսատար առաջադրանքներ մշակելու համար, բացառությամբ որպես այնպիսի դյուրակիր սարքվածք մշակված խաղերի, որը կարող է աշխատել տևական ժամանակահատվածի ընթացքում փոփոխական հոսանքի աղբյուրին միացմամբ կամ առանց ուղիղ միացման: Շարժական աշխատանքային կայաններն օգտագործում են ներկառուցված դիսփլեյ և կարող են աշխատել ներկառուցված կուտակչից կամ այլ էլեկտրասնուցման դյուրակիր աղբյուրից: Շարժական աշխատանքային կայանների մեծ մասն օգտագործում է էլեկտրասնուցման արտաքին աղբյուր և դրանց մեծ մասն ունի ներկառուցված ստեղնաշար և դիրքավորման սարքվածք: Շարժական աշխատանքային կայանն ունի հետևյալ բնութագրերը՝
խափանումների միջև ընկած հաշվարկված 13000 ժամ միջին վիճակագրական ժամանակ (MTBF).
ունի առնվազն 1 դիսկրետային տեսաքարտ (dGfx), որը բավարարում է ըստ տեսաքարտերի դասակարգման G3 (128 բիթից ավելի տվյալների հաղորդաձողի կարգայնություն), G4, G5, G6 կամ G7 կատեգորիաները.
աջակցում է երեք կամ ավելի՝ ներքին հիշողության սարքվածքների միացմանը.
աջակցում է առնվազն 32 ԳԲ համակարգային հիշողությանը.
շարժական բարակ սպասառու՝ նոութբուքի տարատեսակ, որը չունի պտտվող սկավառակով տեղեկատվության ներկառուցված այնպիսի կուտակիչ, որը միացվում է հեռակա հաշվողական ռեսուրսներին (օրինակ` համակարգչային սերվերներին, հեռակա աշխատանքային վայրերին), որտեղ իրականացվում է տվյալների հիմնական մշակումը.
միաբլոկ սեղանի համակարգիչ՝ համակարգիչ, որում համակարգային բլոկը և մոնիտորը կատարված են այնպիսի միասնական բլոկի տեսքով, որը էլեկտրասնուցումն ստանում է երկու հետևյալ հնարավոր տեսակներից մեկին դասվող ընդհանուր մալուխով՝
սարքվածք, որում դիսփլեյը և համակարգիչը ֆիզիկապես միավորված են մեկ ամբողջում.
սարքվածք, որում դիսփլեյն առանձնացված է համակարգչից, բայց հաստատուն հոսանքի էլեկտրասնուցման լարի օգնությամբ միացված է համակարգային բլոկին.
սեղանի համակարգիչ՝ ստացիոնար տեղակայման համար հիմնական բլոկի հետ տեղափոխման համար չնախատեսված համակարգիչ, որն օգտագործվում է արտաքին դիսփլեյի հետ և այնպիսի արտաքին ծայրամասային սարքվածքների հետ, ինչպիսիք ստեղնաշարն ու մկնիկն են.
А կատեգորիայի սեղանի համակարգիչ կամ միաբլոկ սեղանի համակարգիչ՝ սեղանի համակարգիչ կամ միաբլոկ սեղանի համակարգիչ, որը չի ընկնում В, С և D կատեգորիաների սահմանման տակ.
В կատեգորիայի սեղանի համակարգիչ կամ միաբլոկ սեղանի համակարգիչ՝ սեղանի համակարգիչ կամ միաբլոկ սեղանի համակարգիչ, որը համալրված է պրոցեսորում 2 ֆիզիկական միջուկներով և առնվազն 2 գիգաբայթ օպերատիվ հիշողությամբ.
С կատեգորիայի սեղանի համակարգիչ կամ միաբլոկ սեղանի համակարգիչ՝ սեղանի համակարգիչ կամ միաբլոկ սեղանի համակարգիչ, որը համալրված է պրոցեսորում առնվազն 3 ֆիզիկական միջուկներով և որի կազմաձևը ներառում է հետևյալ տարրերից մեկը՝ առնվազն 2 գիգաբայթ օպերատիվ հիշողություն և (կամ) դիսկրետային տեսաքարտ (dGfx).
D կատեգորիայի սեղանի համակարգիչ կամ միաբլոկ սեղանի համակարգիչ՝ սեղանի համակարգիչ կամ միաբլոկ սեղանի համակարգիչ, որը համալրված է պրոցեսորում առնվազն 4 ֆիզիկական միջուկներով և կազմաձևը ներառում է հետևյալ տարրերից մեկը՝ առնվազն 4 գիգաբայթ օպերատիվ հիշողություն և (կամ) այնպիսի դիսկրետային տեսաքարտ (dGfx), որը բավարարում է G3 (տվյալների հաղորդաձողի կարգայնությունը > 128 բիթ), G4, G5, G6 կամ G7 կատեգորիաները՝ ըստ տեսաքարտերի դասակարգման.
սեղանի բարակ սպասառու՝ համակարգիչ, որը հիմնական գործառութային հնարավորություններն ապահովելու համար միանում է հեռակա հաշվողական ռեսուրսներին (օրինակ` համակարգչային սերվերներ, հեռակա աշխատանքային վայրեր), չունի տեղեկատվության ներկառուցված պտտվող կրիչ, նախատեսված է ստացիոնար տեղակայման համար (օրինակ՝ սեղանի վրա, այլ ոչ թե որպես շարժական սարքվածք) և ունակ է արտապատկերելու տեղեկատվություն ցանկացած արտաքին կամ ներկառուցված դիսփլեյի վրա (առկայության դեպքում).
նոութբուք՝ առնվազն 22,86 սմ (9 դյույմ) չափսի էկրանի անկյունագծով միաբլոկ դիսփլեյով դյուրակիր համակարգիչ, որը նախատեսված է տևական ժամանակահատվածներում՝ ներկառուցված կուտակիչից կամ էլեկտրասնուցման դյուրակիր այլ աղբյուրից աշխատելու համար, որն ունի փոփոխական հոսանքի էլեկտրական ցանցին ուղիղ միացման հնարավորություն (նոութբուքի հատկանիշներին համապատասխանող, սակայն սպասման ռեժիմում 6 Վտ-ից պակաս էլեկտրաէներգիայի սպառում ունեցող սարքվածքները չեն դասվում նոութբուքերին և ընդգրկված չեն տեխնիկական կանոնակարգի կիրառման բնագավառում).
А կատեգորիայի նոութբուք՝ նոութբուք, որը չի ընկնում В և С կատեգորիաների սահմանման տակ.
В կատեգորիայի նոութբուք՝ նոութբուք, որը համալրված է առնվազն 1 դիսկրետային տեսաքարտով (dGfx).
С կատեգորիայի նոութբուք՝ նոութբուք, որը համալրված է պրոցեսորում 2 կամ ավելի ֆիզիկական միջուկներով, առնվազն 2 գիգաբայթ օպերատիվ հիշողությամբ և այնպիսի դիսկրետային տեսաքարտով (dGfx), որը բավարարում է G3 (տվյալների հաղորդաձողի կարգայնությունը > 128 բիթ), G4, G5, G6 կամ G7 կատեգորիաները՝ ըստ տեսաքարտերի դասակարգման.
պլանշետային համակարգիչ՝ նոութբուքի տարատեսակ, որը ներառում է սենսորային դիսփլեյ և ներկառուցված ստեղնաշար.
աշխատանքային կայան՝ բարձրարտադրողական անհատական համակարգիչ, որն օգտագործվում է գրաֆիկական տվյալների մշակման համար, ավտոմատացված նախագծման համակարգում, ծրագրային ապահովման, ֆինանսական և գիտական հավելվածների ու այլ ռեսուրսատար առաջադրանքներ մշակելու համար, որը բնութագրվում է հետևյալ հատկություններով՝
խափանումների միջև ընկած հաշվարկված 15000 ժամ միջին վիճակագրական ժամանակ (MTBF).
ունի սխալների ուղղման ծածկագիր (ECC) և (կամ) բուֆերացված հիշողություն.
համապատասխանում է հետևյալ հինգ բնութագրերից առնվազն երեքին՝
ունի լրացուցիչ էլեկտրասնուցում՝ բարձրարտադրողական տեսաքարտին աջակցելու համար (այսինքն 12 Վ ծայրամասային էլեկտրասնուցման միացման համար PCI / PCI-E տեսակի լրացուցիչ 6-հպակային միացք).
մայրական սալն ունի առանձնացված սլոտ x4 PCI-E` ի լրումն գրաֆիկական սլոտների և (կամ) աջակցում է PCI-X-ին.
չի աջակցում հիշողությանը միասեռ մատչմամբ (UMA) գրաֆիկան.
ներառում է հինգ կամ ավելի PCI, PCI-E կամ PCI-X սլոտեր.
ունակ է աջակցելու բազմապրոցեսորային աշխատանքին երկու կամ ավելի կենտրոնական պրոցեսորների (CPU) համար (անհրաժեշտ են ֆիզիկական պրոցեսորային միացքներ մի քանի CPU-երի համար, այլ ոչ թե մեկ բազմամիջուկ պրոցեսորի համար).
անջատման ռեժիմ՝ ցածր էներգասպառման վիճակ, որը մեխանիկական փոխարկիչը գործարկելուց բացի այլ եղանակով չի կարող անջատվել օգտվողի կողմից, և որը կարող է շարունակվել անսահմանափակ երկար, այնքան ժամանակ, քանի դեռ սարքվածքը միացված է էլեկտրաէներգիայի աղբյուրին ու օգտագործվում է արտադրողի հրահանգներին համապատասխան: Ըստ կազմաձևի և սնուցման կառավարման ստանդարտի (ACPI)՝ տվյալ վիճակը սովորաբար համապատասխանում է ACPI համակարգի G2/S5 («ծրագիրն անջատված է») մակարդակին.
հավելվածների սերվեր՝ նախապես տեղակայված օպերացիոն համակարգով և կիրառական ծրագրային ապահովմամբ լրակազմով համակարգիչ-սերվեր, որն օգտագործվում է հատուկ գործառույթ կամ մի շարք գործառույթներ կատարելու համար, տրամադրում է ծառայություններ մեկ կամ մի քանի ցանցերով և կառավարվում է «Ինտերնետ» տեղեկատվական-հեռահաղորդակցական ցանցի կամ կառավարման միջերեսի գծի միջոցով: Հավելվածների սերվերը և ծրագրային կազմաձևը արտադրողի կողմից կարգաբերված են կոնկրետ առաջադրանքի կատարման համար, այդ թվում՝ ցանցի կազմակերպման կամ պահպանման համար, և նախատեսված չեն օգտվողի կիրառական ծրագրեր կատարելու համար.
ցածր սպառման վիճակ՝ մեխանիկական փոխարկիչով կամ ավտոմատ միջոցի օգնությամբ համակարգչի սնուցումն անջատելու միջոցով ստացվող՝ համակարգչի նվազագույն էներգասպառման վիճակ.
պարապուրդի վիճակ (հանգստի վիճակ)՝ համակարգչի վիճակ, որի դեպքում օպերացիոն համակարգը և այլ ծրագրային ապահովում ավարտել են բեռնումը, ստեղծվել է օգտվողի հատկագիրը, համակարգիչը չի գտնվում քնի ռեժիմում և դրա ակտիվությունը սահմանափակվում է այն բազային հավելվածներով, որոնք օպերացիոն համակարգը կանխադրված գործարկում է.
քնի ռեժիմ՝ ցածր էներգասպառման ռեժիմ, որին համակարգիչը կարող է ավտոմատ անցնել որոշակի անգործության ժամանակահատվածից հետո կամ ձեռքով ընտրությամբ: Այդ ռեժիմում համակարգիչն ունակ է արձագանքելու տագնապալի իրավիճակներին: Այնտեղ, որտեղ կիրառելի է կազմաձևի և սնուցման կառավարման ստանդարտը (ACPI), քնի ռեժիմը սովորաբար համապատասխանում է ACPI համակարգի G2/S3 մակարդակին (օպերատիվ հիշողության մեջ պահպանմամբ).
դիսփլեյի քնի ռեժիմ՝ էներգասպառման ռեժիմ, որին անցնում է արտապատկերման սարքվածքն այն բանից հետո, երբ այն ազդանշան է ստացել միացված սարքվածքից, կամ ըստ ներքին ազդանշանի (օրինակ` թայմերից կամ ներկայության տվիչից): Այդ ռեժիմը կարող է տեղակայվել նաև օգտվողի հրամանով: Դիսփլեյը պետք է ակտիվանա միացված սարքվածքից, ցանցից, հեռակառավարման վահանակից ազդանշան և (կամ) ներքին ազդանշաններ ստանալու դեպքում: Քանի դեռ սարքվածքը գտնվում է այդ ռեժիմում, պատկերը չի վերարտադրվում, բացառությամբ այնպիսի գործառույթների, ինչպիսիք են սարքվածքի մասին տեղեկատվությունը կամ վիճակի ցուցանշումը կամ գործառութային տվիչի վիճակը.
հեռուստատեսային տյուներ (ՀՏ-տյուներ)՝ դիսկրետային ներքին բաղադրիչ, որը թույլ է տալիս համակարգչին ընդունել հեռուստատեսային ազդանշանները.
սարքվածքի տեսակ՝ սեղանի համակարգիչ, միաբլոկ սեղանի համակարգիչ, նոութբուք, սեղանի «բարակ սպասառու», աշխատանքային կայան, շարժական աշխատանքային կայան, փոքր սերվեր, համակարգիչ-սերվեր, բլեյդ-համակարգ և բաղադրիչներ, բազմահանգույց սերվեր, հավելվածների սերվերներ, խաղաբարձակ, դոկ-կայան, էլեկտրասնուցման ներքին բլոկ կամ սնուցման արտաքին աղբյուր.
կենտրոնական պրոցեսոր (CPU)՝ համակարգչի բաղադրիչ, որը կառավարում է ապածածկագրմամբ և հրամանների կատարմամբ: Կենտրոնական պրոցեսորը (CPU) կարող է պարունակել 1 կամ ավելի ֆիզիկական պրոցեսոր, որոնք հայտնի են որպես «կատարման միջուկներ»: Կատարման միջուկ նշանակում է պրոցեսոր, որը ֆիզիկապես ներկա է: Մեկ կամ մի քանի կատարման միջուկներից ձևավորված լրացուցիչ «վիրտուալ» կամ «տրամաբանական» պրոցեսորները ֆիզիկական միջուկներ չեն: Մեկ պրոցեսորային միացք զբաղեցնող ֆիզիկական պրոցեսորը կարող է պարունակել մի քանի կատարման միջուկ: Կենտրոնական պրոցեսորում (CPU) կատարման միջուկների ընդհանուր քանակը պրոցեսորային միացքներին միացված բոլոր սարքվածքների կատարման միջուկների գումարն է.
UMA (Uniform Memory Access)՝ միասեռ մատչում հիշողությանը:
III. Համակարգիչների և սերվերների էներգետիկ արդյունավետությանը ներկայացվող պահանջները և էներգետիկ արդյունավետության ցուցանիշների որոշման առանձնահատկությունները
3. Համակարգիչների և սերվերների համար պետք է կատարվեն համապատասխան փորձարկումներ (չափումներ) և որոշվեն հետևյալ պարամետրերի ու բնութագրերի արժեքները՝
ա) էլեկտրաէներգիայի տարեկան սպառումը (ETEC).
բ) քնի ռեժիմում սպառվող հզորությունը (PSLEEP).
գ) նվազագույն էներգասպառման վիճակում սպառվող հզորությունը.
դ) անջատման ռեժիմում սպառվող հզորությունը (POFF).
ե) էլեկտրասնուցման ներքին աղբյուրի ՕԳԳ-ն:
4. Սեղանի համակարգչի և միաբլոկ սեղանի համակարգչի՝ էլեկտրաէներգիայի տարեկան սպառումը (ETEC) (կՎտ ⋅ ժ/տարի-ով) չպետք է գերազանցի՝
А կատեգորիայի համար՝ 94,00.
B կատեգորիայի համար՝ 112,00.
С կատեգորիայի համար՝ 134,00.
D կատեգորիայի համար՝ 150,00:
Սեղանի համակարգչի և միաբլոկ սեղանի համակարգչի՝ էլեկտրաէներգիայի տարեկան սպառումը (ETEC) հաշվարկվում է հետևյալ բանաձևով (կՎտ ⋅ ժ/տարի-ով) (մինչև 2 տասնորդական նիշ կլորացմամբ)՝
ETEC =(8760/1000)×(0,55×Poff +0,05×Psleep +0,40×Pidle ),
որտեղ՝
POFF-ը՝ անջատման ռեժիմում սպառվող հզորությունն է (Վտ-ով).
PSLEEP-ը՝ քնի ռեժիմում սպառվող հզորությունն է (Վտ-ով).
PIDLE-ը՝ պարապուրդի վիճակում սպառվող հզորությունն է (Վտ-ով):
Քնի ռեժիմ չունեցող համակարգիչների համար, որոնց պարապուրդի վիճակում սպառվող հզորությունը չի գերազանցում 10,00 Վտ, քնի ռեժիմի հզորության (PSLEEP) փոխարեն կարող է օգտագործվել պարապուրդի վիճակում հզորությունը (PIDLE): Այդ դեպքում էլեկտրաէներգիայի տարեկան սպառումը (ETEC) հաշվարկվում է հետևյալ բանաձևով (կՎտ ⋅ժ/տարի-ով) (մինչև 2 տասնորդական նիշ կլորացմամբ)՝
ETEC =(8760/1000)×(0,55×Poff + 0,45×Pidle ),
.
POFF , PSLEEP և PIDLE չափումների ժամանակ կիրառվում են համակարգչի բաղադրիչների համար էլեկտրաէներգիայի սպառման հետևյալ արժեքները՝
օպերատիվ հիշողություն՝ A, B և C կատեգորիայի համակարգիչների համար 2 Գբ և D կատեգորիայի համակարգիչների համար՝ 4 Գբ կազմող բազային ծավալից ավելի յուրաքանչյուր գիգաբայթի (Գբ) համար՝ 1 կՎտ ⋅ ժ/տարի.
լրացուցիչ ներքին հիշող սարք՝ 25 կՎտ ⋅ ժ/տարի.
դիսկրետային ՀՏ-տյուներ՝ 15 կՎտ ⋅ ժ/տարի.
դիսկրետային ձայնային քարտ՝ 15 կՎտ ⋅ ժ/տարի.
առաջին դիսկրետային տեսաքարտի (dGfx) և յուրաքանչյուր լրացուցիչ դիսկրետային տեսաքարտի (dGfx) համար տարեկան սպառումը բերված է 1-ին աղյուսակում:
1-ին աղյուսակում նշված՝ դիսկրետային տեսաքարտերի (dGfx), դիսկրետային ՀՏ-տյուներների և դիսկրետային ձայնային քարտերի համար էլեկտրաէներգիայի սպառման արժեքները վավերական են միայն այն քարտերի և տյուներների համար, որոնք ակտիվացվում են սեղանի համակարգիչների կամ միաբլոկ սեղանի համակարգիչների փորձարկման ժամանակ:
Աղյուսակ 1
Էլեկտրաէներգիայի տարեկան սպառումը տեսաքարտերի համար
Տեսաքարտեր |
dGfx կատեգորիա |
Տարեկան սպառումը (կՎտ ⋅ ժ/տարի) |
Առաջին դիսկրետային տեսաքարտը (dGfx) |
G1 |
18 |
G2 |
30 | |
G3 |
38 | |
G4 |
54 | |
G5 |
72 | |
G6 |
90 | |
G7 |
122 | |
Յուրաքանչյուր լրացուցիչ դիսկրետային տեսաքարտ (dGfx) |
G1 |
11 |
G2 |
17 | |
G3 |
22 | |
G4 |
32 | |
G5 |
42 | |
G6 |
53 | |
G7 |
72 |
1-ին աղյուսակում նշված՝ տեսաքարտերի համար էլեկտրաէներգիայի սպառման թույլատրելի արժեքները չեն տարածվում D կատեգորիայի սեղանի համակարգիչների և միաբլոկ սեղանի համակարգիչների վրա, որոնք ունեն հետևյալ տեխնիկական բնութագրերը՝
կենտրոնական պրոցեսորում (CPU) առնվազն 6 ֆիզիկական միջուկ.
դիսկրետային տեսաքարտը (dGfx) ապահովում է 320 Գբ/վրկ-ից բարձր՝ կադրերի բուֆերի ընդհանուր թողունակությունը.
համակարգային հիշողությունը կազմում է առնվազն 16 Գբ.
սնուցման բլոկն ունի առնվազն 1000 Վտ անվանական ելքային հզորություն:
5. Նոութբուքի էլեկտրաէներգիայի տարեկան սպառումը (ETEC) (կՎտ ⋅ ժ/տարի-ով) չպետք է գերազանցի՝
А կատեգորիայի համար՝ 27,00․
B կատեգորիայի համար՝ 36,00.
С կատեգորիայի համար՝ 60,50:
Նոութբուքի՝ էլեկտրաէներգիայի տարեկան սպառումը (ETEC) հաշվարկվում է հետևյալ բանաձևով (մինչև 2 տասնորդական նիշ կլորացմամբ)՝
ETEC =(8760/1000)×(0,60×Poff + 0,10 × PSLEEP + 0,30 x PIDLE ),
POFF , PSLEEP և PIDLE չափումների ժամանակ կիրառվում են նոութբուքի բաղադրիչների համար էլեկտրաէներգիայի սպառման հետևյալ արժեքները՝
օպերատիվ հիշողություն՝ նոութբուքերի համար 4 ԳԲ-ը կազմող բազային ծավալից ավելի յուրաքանչյուր գիգաբիթի (Գբ) համար՝ 0,4 կՎտ ⋅ ժ/տարի.
լրացուցիչ ներքին հիշողություն՝ 3 կՎտ ⋅ժ/տարի.
դիսկրետային ՀՏ-տյուներ՝ 2,1 կՎտ ⋅ժ/տարի.
առաջին դիսկրետային տեսաքարտի (dGfx) և յուրաքանչյուր լրացուցիչ դիսկրետային տեսաքարտի (dGfx) համար սպառումը բերված է 2-րդ աղյուսակում (Փուլ I):
2-րդ աղյուսակում նշված՝ դիսկրետային տեսաքարտերի (dGfx) և դիսկրետային ՀՏ-տյուներների համար էլեկտրաէներգիայի սպառման արժեքները կիրառվում են միայն այն տեսաքարտերի և տյուներների նկատմամբ, որոնք օգտագործվում են նոութբուքերի փորձարկման ժամանակ:
Աղյուսակ 2
Նոութբութի տեսաքարտերի համար էլեկտրաէներգիայի տարեկան սպառումը
Տեսաքարտեր |
dGfx կատեգորիա |
Տարեկան սպառումը (կՎտ ⋅ ժ/տարի) |
Առաջին դիսկրետային տեսաքարտը (dGfx) |
G1 |
7 |
G2 |
11 | |
G3 |
13 | |
G4 |
20 | |
G5 |
27 | |
G6 |
33 | |
G7 |
61 | |
Յուրաքանչյուր լրացուցիչ դիսկրետային տեսաքարտ (dGfx) |
G1 |
4 |
G2 |
6 | |
G3 |
8 | |
G4 |
12 | |
G5 |
16 | |
G6 |
20 | |
G7 |
36 |
2-րդ աղյուսակում նշված՝ էլեկտրաէներգիայի սպառման թույլատրելի արժեքները չեն տարածվում հետևյալ տեխնիկական բնութագրերով С կատեգորիայի նոութբուքերի վրա՝
կենտրոնական պրոցեսորում (CPU) առնվազն 4 ֆիզիկական միջուկ.
դիսկրետային տեսաքարտը (dGfx) ապահովում է 225 ԳԲ/վրկ-ից բարձր կադրերի բուֆերի ընդհանուր թողունակություն.
համակարգային հիշողությունը կազմում է առնվազն 16 ԳԲ:
6. Համակարգիչը պետք է ապահովի քնի ռեժիմ և (կամ) այլ վիճակ, որն ապահովում է քնի ռեժիմի գործառությունը և որում սպառվող թույլատրելի հզորությունը չի գերազանցում քնի ռեժիմի համար պահանջները, այդ թվում՝
ա) քնի ռեժիմում սպառվող հզորությունը չպետք է գերազանցի 5,00 Վտ՝ սեղանի համակարգիչներում և միաբլոկ սեղանի համակարգիչներում, ու 3,00 Վտ՝ նոութբուքերում.
բ) սեղանի համակարգիչները և միաբլոկ սեղանի համակարգիչները, որոնց սպառվող հզորությունը պակաս է 10,00 Վտ-ից կամ հավասար դրան, կարող են չունենալ քնի ռեժիմ.
գ) եթե համակարգիչը համալրված է քնի ռեժիմում աշխատող WOL գործառույթով, ապա՝
կարող է կիրառվել 0,70 Վտ ավելացում թույլատրելի նորմատիվին.
համակարգիչը պետք է ստուգվի միացված և անջատված WOL գործառույթով և երկու դեպքերում էլ պետք է համապատասխանի սույն պահանջներին.
դ) եթե համակարգիչը չի աջակցում Ethernet տեղային ցանցին, ապա այն պետք է փորձարկվի առանց միացված WOL գործառույթի:
7. Սեղանի համակարգիչը, միաբլոկ համակարգիչը և նոութբուքը նվազագույն էներգասպառման վիճակում չպետք է սպառեն 0,50 Վտ-ից ավելի:
Համակարգիչը պետք է ապահովի այնպիսի վիճակ կամ էներգասպառման ռեժիմ, որի դեպքում սպառվող թույլատրելի հզորությունը չպետք է գերազանցի էներգասպառման վիճակին ներկայացվող պահանջը, երբ այն միացված է էլեկտրասնուցման ցանցին:
Եթե համակարգչի կազմի մեջ մտնում է տեղեկատվական դիսփլեյը կամ վիճակի ցուցիչը, ապա կարող է կիրառվել 0,50 Վտ ավելացում թույլատրելի նորմատիվին:
8. Սեղանի համակարգիչը, միաբլոկ սեղանի համակարգիչը և նոութբուքը պետք է ապահովեն անջատման ռեժիմին ներկայացվող հետևյալ պահանջների կատարումը՝
ա) անջատված վիճակում սպառվող հզորությունը չպետք է գերազանցի 1,00 Վտ-ը:
բ) համակարգիչը պետք է ապահովի անջատման ռեժիմ և (կամ) այլ վիճակ, որի դեպքում թույլատրելի հզորությունը պետք է լինի անջատման ռեժիմում էներգասպառմանը ներկայացվող պահանջներից ոչ ավելի, երբ այն միացված է սնուցման աղբյուրին.
գ) եթե համակարգիչը համալրված է անջատման ռեժիմում աշխատող WOL գործառույթով, ապա՝
կարող է կիրառվել 0,70 Վտ ավելացում թույլատրելի նորմատիվին.
համակարգիչը պետք է ստուգվի միացված և անջատված WOL գործառույթով և երկու դեպքերում էլ պետք է համապատասխանի սույն պահանջներին.
դ) եթե համակարգիչը չի աջակցում Ethernet տեղային ցանցին, ապա այն պետք է փորձարկվի առանց միացված WOL գործառույթի:
9. Սեղանի համակարգչի, միաբլոկ սեղանի համակարգչի, սեղանի «բարակ սպասառուի», աշխատանքային կայանի և փոքր սերվերի սնուցման բոլոր ներքին աղբյուրները պետք է ունենան հետևյալ արժեքներից ոչ ցածր օգտակար գործողության գործակից (այսուհետ՝ ՕԳԳ) և հզորության գործակից՝
85 % ՕԳԳ՝ անվանական մեծությունից 50 % ելքային հզորության դեպքում.
82 % ՕԳԳ՝ անվանական մեծությունից 20 % և 100 % ելքային հզորության դեպքում.
0,9 հզորության գործակից՝ անվանական մեծությունից 100 % ելքային հզորության դեպքում:
75 Վտ-ից ցածր առավելագույն անվանական ելքային հզորությամբ ներքին սնուցման աղբյուրների վրա հզորության գործակցի մեծության մասով պահանջները չեն տարածվում:
10. Համակարգիչ-սերվերի բլոկների և սնուցման աղբյուրների համար պետք է կատարվեն հետևյալ էներգաարդյունավետության հետևյալ պահանջները՝
ա) մի քանի ելքային լարմամբ բոլոր սնուցման բլոկները (AC-DC տեսակի) պետք է ունենան՝
ՕԳԳ՝ ոչ պակաս, քան՝
85 %՝ անվանական մեծությունից 50 % ելքային հզորության դեպքում.
82 %՝ անվանական մեծությունից 20 % և 100 % ելքային հզորության դեպքում.
հզորության գործակից՝ ոչ պակաս, քան՝
0,8՝ անվանական մեծությունից 20 % ելքային հզորության դեպքում.
0,9՝ անվանական մեծությունից 50 % ելքային հզորության դեպքում.
0,95՝ անվանական մեծությունից 100 % ելքային հզորության դեպքում.
բ) մեկ (AC-DC տեսակի) արտածմամբ և 500 Վտ-ից ոչ ավելի անվանական հզորությամբ բոլոր սնուցման աղբյուրները պետք է ունենան ՕԳԳ ոչ պակաս, քան՝
70 %՝ անվանական մեծությունից 10 % ելքային հզորության դեպքում.
82 %՝ անվանական մեծությունից 20 % ելքային հզորության դեպքում.
89 %՝ անվանական մեծությունից 50 % ելքային հզորության դեպքում.
85 %՝ անվանական մեծությունից 100 % ելքային հզորության դեպքում.
գ) մեկ (AC-DC տեսակի) արտածմամբ և 500 Վտ-ից ոչ ավելի անվանական հզորությամբ բոլոր սնուցման աղբյուրները պետք է ունենան հզորության գործակից՝ ոչ պակաս, քան՝
0,8՝ անվանական մեծությունից 20 % ելքային հզորության դեպքում.
0,9՝ անվանական մեծությունից 50 % ելքային հզորության դեպքում.
0,95՝ անվանական մեծությունից 100 % ելքային հզորության դեպքում.
դ) մեկ (AC-DC տեսակի) արտածմամբ և 500 Վտ-ից ավելի, սակայն 1000 Վտ-ից ոչ ավելի անվանական հզորությամբ բոլոր սնուցման աղբյուրները պետք է ունենան ՕԳԳ ոչ պակաս, քան՝
75 %՝ անվանական մեծությունից 10 % ելքային հզորության դեպքում.
85 %՝ անվանական մեծությունից 20 % և 100 % ելքային հզորության դեպքում.
89 %՝ անվանական մեծությունից 50 % ելքային հզորության դեպքում.
ե) մեկ (AC-DC տեսակի) արտածմամբ և 500 Վտ-ից ավելի, սակայն 1000 Վտ-ից ոչ ավելի անվանական հզորությամբ բոլոր սնուցման աղբյուրները պետք է ունենան հզորության գործակից ոչ պակաս, քան՝
0,65՝ անվանական մեծությունից 10 % ելքային հզորության դեպքում.
0,8՝ անվանական մեծությունից 20 % ելքային հզորության դեպքում.
0,9՝ անվանական մեծությունից 50 % ելքային հզորության դեպքում.
0,95՝ անվանական մեծությունից 100 % ելքային հզորության դեպքում.
զ) մեկ (AC-DC տեսակի) արտածմամբ և 1000 Վտ-ից ավելի անվանական հզորությամբ բոլոր սնուցման աղբյուրները պետք է ունենան ՕԳԳ ոչ պակաս, քան՝
80 %՝ անվանական մեծությունից 10 % ելքային հզորության դեպքում.
88 %՝ անվանական մեծությունից 20 % և 100 % ելքային հզորության դեպքում.
92 %՝ անվանական մեծությունից 50 % ելքային հզորության դեպքում.
է) մեկ (AC-DC տեսակի) արտածմամբ և 1000 Վտ-ից ավելի անվանական հզորությամբ բոլոր սնուցման աղբյուրները պետք է ունենան հզորության գործակից ոչ պակաս, քան՝
0,8՝ անվանական մեծությունից 10 % ելքային հզորության դեպքում.
0,9՝ անվանական մեծությունից 20 % և 50 % ելքային հզորության դեպքում.
0,95՝ անվանական մեծությունից 100 % ելքային հզորության դեպքում:
11. Սեղանի համակարգիչը, միաբլոկ սեղանի համակարգիչը և նոութբուքը պետք է ունենան էլեկտրասնուցման կառավարման գործառույթ կամ համանման գործառույթ, որը, երբ համակարգիչը չի կատարում հիմնական գործառույթը կամ, երբ այլ էներգասպառող սարքվածքներ կախված չեն դրա աշխատանքից, համակարգիչը քնի ռեժիմի համեմատ ավտոմատ փոխարկում է էլեկտրաէներգիայի ավելի ցածր սպառմամբ ռեժիմի, այդ թվում՝
ա) WOL գործառույթով համակարգիչը պետք է Ethernet տեղային ցանցով քնի ռեժիմի կամ անջատման ռեժիմի անցնելու դեպքում նվազեցնի մինչև 1 գիգաբիթ վայրկյանում (Գբ/վրկ) բոլոր ցանցային միացումների աշխատանքի արագությունը.
բ) քնի ռեժիմում «ակտիվացում» հրամանին հակազդումը ցանցային միացումների կամ օգտվողի միջերեսի սարքվածքների միջոցով դրա ստանալուց հետո պետք է լինի 5 վրկ-ից ոչ ավելի ուշացումով՝ հրաման ստանալուց մինչև այն պահը, երբ համակարգը դառնում է լիովին պատրաստ աշխատանքի համար՝ ներառյալ դիսփլեյը.
գ) եթե համակարգիչը լրակազմվում է դիսփլեյով, ապա դիսփլեյի անցումը քնի ռեժիմի պետք է իրականացվի օգտվողի անգործության 10 րոպեն լրանալուց հետո.
դ) Ethernet տեղային ցանցի աջակցմամբ համակարգիչը պետք է ունենա քնի ռեժիմի համար WOL գործառույթը (առկայության դեպքում) միացնելու և անջատելու հնարավորություն: Ethernet-ով համակարգիչը պետք է ունենա անջատման ռեժիմի համար WOL գործառույթը միացնելու և անջատելու հնարավորություն, եթե անջատման ռեժիմում աջակցվում է WOL գործառույթը.
ե) եթե համակարգիչը քնի ռեժիմի կամ այնպիսի այլ վիճակի անցնելու հնարավորություն ունի, որն ապահովում է քնի ռեժիմի գործառութայնությունը, ապա այդ ռեժիմը պետք է կարգաբերված լինի օգտվողի անգործության 30 րոպեն լրանալուց հետո միանալու համար: Սնուցման կառավարման այդ գործառույթը պետք է արտադրողի կողմից տեղակայված լինի մինչև մատակարարումը.
զ) օգտվողները պետք է ունենան անլար ցանցերը միացումներին միացնելու կամ անջատելու հնարավորություն, և օգտվողներին պետք է տրամադրվեն այն խորհրդանիշների, լուսային ցուցանշման կամ համարժեք ազդանշանների մասին հստակ տեղեկությունները, որոնք ցույց են տալիս, թե անլար ցանցերը միացված են, թե՝ անջատված:
12. Տեխնիկական կանոնակարգի 13-րդ կետով նախատեսված՝ համակարգիչներին և սերվերներին կից ներկայացված շահագործման փաստաթղթերը պետք է դրանց բնութագրերի և պարամետրերի մասին պարունակեն հետևյալ տեղեկությունները՝
ա) սեղանի համակարգիչների, միաբլոկ սեղանի համակարգիչների և նոութբուքերի համար՝
արտադրանքի կատեգորիան (A, B, C կամ D), որը որոշվել է սույն պահանջների 4-րդ և 5-րդ կետերին համապատասխան.
ETEC արժեքը (կՎտ ⋅ ժ-ով) և կառավարվող դիսփլեյով էներգասպառման մեծությունը, երբ բոլոր դիսկրետային տեսաքարտերը (dGfx) անջատված են ու համակարգը գործում է այդ վիճակում անջատվող UMA-ով.
ETEC արժեքը (կՎտ ⋅ ժ-ով) և էներգասպառման մեծությունը, երբ բոլոր դիսկրետային տեսաքարտերը (dGfx) միացված են.
պարապուրդի վիճակում սպառվող հզորությունը (Վտ-ով).
քնի ռեժիմում սպառվող հզորությունը (Վտ-ով).
WOL գործառույթի աջակցմամբ (եթե կիրառելի է) քնի ռեժիմում սպառվող հզորությունը (Վտ-ով).
անջատման ռեժիմում սպառվող հզորությունը (Վտ-ով).
WOL գործառույթի աջակցմամբ (եթե կիրառելի է) անջատման ռեժիմում սպառվող հզորությունը (Վտ-ով).
անվանական ելքային հզորությունից 10 %, 20 %, 50 % և 100 % սպառման դեպքում սնուցման ներքին աղբյուրի ՕԳԳ-ն.
էլեկտրասնուցման արտաքին աղբյուրի ՕԳԳ-ն.
համակարգչի ձայնային հզորության ճշգրտված մակարդակը, որն արտահայտված է դԲ (Ա)-ով 1 պՎտ-ի նկատմամբ (մինչև ամբողջ թիվ կլորացմամբ) (նշվում է դԲ-ով).
լիցքավորման ցիկլերի նվազագույն թիվը, որին կարող են դիմակայել կուտակիչները (միայն նոութբուքերի համար).
կայուն էներգասպառմանը հասնելու համար քայլերի հաջորդականությունը.
քնի ռեժիմի և (կամ) անջատման ռեժիմի ծրագրավորման ընտրության ընթացակարգի նկարագրությունը.
այն իրադարձությունների հաջորդականությունը, որոնք անհրաժեշտ են այն ռեժիմի հասնելու համար, որի ժամանակ սարքավորումներն ավտոմատ անցնում են քնի ռեժիմի և (կամ) անջատման ռեժիմի.
պարապուրդի (հանգստի) վիճակի տևողությունը՝ մինչև համակարգչի՝ քնի ռեժիմի կամ այլ վիճակի ավտոմատ անցնելը, որի ժամանակ հզորության սպառումը չի գերազանցում հզորության համար պահանջվող սպառումը քնի ռեժիմում.
օգտվողի անգործության ժամանակահատվածը, որը լրանալուն պես համակարգիչն ավտոմատ անցնում է այնպիսի սնուցման ռեժիմի, որն ավելի ցածր էներգասպառում ունի, քան քնի ռեժիմը.
օգտվողի անգործության ժամանակահատվածից հետո մինչև քնի ռեժիմի անցնելու ժամանակը.
օգտվողի համար նախատեսված՝ էլեկտրասնուցման կառավարման համակարգի էներգախնայողության ներուժի մասին տեղեկատվությունը.
օգտվողի համար նախատեսված՝ էլեկտրասնուցման կառավարման գործառական հնարավորությունների մասին տեղեկատվությունը.
բ) մեկ կամ մի քանի այնպիսի կուտակիչներով աշխատող նոութբուքերի համար, որոնք կարող են փոխարինվել ոչ պրոֆեսիոնալ օգտվողների կողմից, ի լրումն սույն կետի «ա» ենթակետում նշված տեղեկատվության՝ շահագործման փաստաթղթերում և նոութբուքի արտաքին փաթեթվածքի վրա պետք է առկա լինի հետևյալ մակագրությունը՝ «Տվյալ սարքվածքի կուտակիչը չի կարող օգտվողի կողմից ինքնուրույնաբար հեշտությամբ փոխարինվել».
գ) աշխատանքային կայանների, շարժական աշխատանքային կայանների, սեղանի «բարակ սպասառուների», փոքր սերվերների և համակարգիչ-սերվերների համար՝
էլեկտրասնուցման ներքին (արտաքին) աղբյուրի ՕԳԳ-ն.
սպառվող առավելագույն հզորությունը (Վտ-ով).
պարապուրդի վիճակում սպառվող հզորությունը (Վտ-ով).
քնի ռեժիմում սպառվող հզորությունը (Վտ-ով).
անջատման ռեժիմում սպառվող հզորությունը (Վտ-ով).
համակարգչի ձայնային հզորության ճշգրտված մակարդակը, որն արտահայտված է դԲ (Ա)-ով 1 պՎտ-ի նկատմամբ (մինչև ամբողջ թիվ կլորացմամբ) (նշվում է դԲ-ով):
13. Եթե համակարգչի և (կամ) սերվերի մոդելն ունի մի քանի կազմաձևեր, ապա շահագործման փաստաթղթերը կարող են պարունակել սույն պահանջների 12-րդ կետում նշված տեղեկությունները միայն համակարգիչների և (կամ) սերվերների տվյալ կատեգորիայի մեջ ամենաբարդ կազմաձևի համար: Ընդ որում, պետք է թվարկվեն համակարգչի և (կամ) սերվերի տվյալ մոդելի բոլոր այն կազմաձևերը, որոնց վրա տարածվում է նշված տեղեկատվությունը:
14. Տեխնիկական կանոնակարգի 23-րդ կետի «ա» ենթակետում նշված՝ համակարգիչների և (կամ) սերվերների փաստաթղթերի փաթեթի մեջ համակարգիչների և (կամ) սերվերների համար լրացուցիչ պետք է ներառվի հետևյալ տեղեկատվությունը՝
ա) սեղանի համակարգիչների, միաբլոկ սեղանի համակարգիչների և նոութբուքերի համար՝
սույն պահանջների 12-րդ կետի «ա» ենթակետի 2 – 12 պարբերություններում նշված տեղեկատվությունը սահմանելիս օգտագործված չափման մեթոդիկան.
փորձարկման պարամետրերի արժեքները չափումների ընթացքում.
փորձարկման լարման (Վ-ով) և հաճախության (Հց-ով) արժեքները.
էլեկտրամատակարարման համակարգում ընդհանուր ներդաշնակ աղավաղումների արժեքները.
էլեկտրական փորձարկումներ անցկացնելու համար օգտագործվող չափիչ սարքերի և փորձարկման սարքավորումների մասին տեղեկատվությունը.
բ) աշխատանքային կայանների, շարժական աշխատանքային կայանների, սեղանի «բարակ սպասառուների», փոքր սերվերների և համակարգիչ-սերվերների համար՝
փորձարկման պարամետրերի արժեքները չափումների ընթացքում.
փորձարկման լարման (Վ-ով) և հաճախության (Հց-ով) արժեքները.
էլեկտրամատակարարման համակարգում ընդհանուր ներդաշնակ աղավաղումների արժեքները.
էլեկտրական փորձարկումներ անցկացնելու համար օգտագործվող սարքերին, կայանքներին և սխեմաներին առնչվող փաստաթղթերը.
սույն պահանջների 12-րդ կետի «գ» ենթակետում նշված տեղեկատվությունը սահմանելիս օգտագործված չափման մեթոդիկան:
V. Համակարգիչների և սերվերների էներգետիկ արդյունավետության պարամետրերի թույլատրելի շեղումները դրանք շրջանառության մեջ դրվելուց հետո փորձարկումներ (չափումներ) անցկացնելիս
15. Համակարգիչները և սերվերները Միության մաքսային տարածքում շրջանառության մեջ դնելուց հետո դրանց փորձարկումներ (չափումներ) անցկացնելու դեպքում անցկացվում են համակարգչի կամ սերվերի յուրաքանչյուր մոդելի (կազմաձևի) 1 տիպային նմուշի (օրինակի) փորձարկումներ (չափումներ): Համակարգչի կամ սերվերի մոդելը (կազմաձևը) համարվում է սույն պահանջների պահանջներին համապատասխանող, եթե դրա նկատմամբ կիրառվող պահանջների ցանկի համար՝
ա) սույն պահանջների 8-րդ կետի «բ» ենթակետում և 4-7 կետերում նշված պարամետրերի համար չափված օգտագործվող հզորությունը չի գերազանցում թույլատրելի սահմանային արժեքներն ավելի, քան 7 %-ով.
բ) սույն պահանջների 8-րդ կետի «ա» և «գ» ենթակետում նշված պարամետրերի համար չափված սպառվող հզորությունը՝ միացված WOL գործառույթի դեպքում թույլատրելի նորմատիվին ավելացմամբ և անջատված WOL գործառույթի դեպքում առանց այդպիսի ավելացման չի գերազանցում թույլատրելի սահմանային արժեքներն ավելի, քան 7 %-ով.
գ) սույն պահանջների 9-րդ կետի առաջին և երրորդ պարբերություններում նշված պարամետրերի համար չափված սպառվող հզորությունը՝ տեղեկատվական դիսփլեյի կամ վիճակի ցուցասարքի առկայության դեպքում թույլատրելի նորմատիվին ավելացմամբ չի գերազանցում թույլատրելի սահմանային արժեքներն ավելի, քան 0,10 Վտ-ով.
դ) սույն պահանջների 9-րդ կետի առաջին և երրորդ պարբերություններում նշված պարամետրերի համար չափված սպառվող հզորությունը՝ տեղեկատվական դիսփլեյի կամ վիճակի ցուցասարքի առկայության դեպքում թույլատրելի նորմատիվին ավելացմամբ չի գերազանցում թույլատրելի սահմանային արժեքներն ավելի, քան 0,10 Վտ-ով.
ե) սույն պահանջների 12-րդ կետի «ա» և «գ» ենթակետում նշված պարամետրերի համար չափված սպառվող հզորությունը՝ միացված WOL գործառույթի դեպքում թույլատրելի նորմատիվին ավելացմամբ և անջատված WOL գործառույթի դեպքում առանց այդպիսի ավելացման չի գերազանցում թույլատրելի սահմանային արժեքներն ավելի, քան 0,10 Վտ-ով.
զ) սույն պահանջների 9-րդ և 10-րդ կետերում նշված բլոկների և սնուցման աղբյուրների էներգաարդյունավետության չափված պարամետրերի միջին արժեքները ցածր չեն թույլատրելի սահմանային արժեքներից ավելի, քան 2 %-ով՝ ՕԳԳ-ի համար և ավելի, քան 10 %-ով՝ հզորության գործակցի համար.
է) Ethernet տեղային ցանցով քնի ռեժիմի կամ անջատման ռեժիմի անցնելու դեպքում մինչև 1 գիգաբիթ վայրկյանում (Գբ/վրկ) բոլոր ցանցային միացումների աշխատանքի արագության նվազեցումը և քնի ռեժիմի անցնելու ու աշխատանքի ռեժիմի վերադառնալու ժամանակային միջակայքերի մեծությունը, ինչպես նաև սնուցման կառավարումն ակտիվացնելու մյուս պարամետրերը համապատասխանում են սույն պահանջների 11-րդ կետում նշված պահանջներին:
16. Եթե համակարգչի կամ սերվերի մոդելը (կազմաձևը) չի համապատասխանում սույն պահանջների 15-րդ կետում նշված պահանջներին, ապա ստուգվում է համակարգչի կամ սերվերի նույն մոդելի (կազմաձևի) 3 պատահականորեն ընտրված նմուշ:
Համակարգչի կամ սերվերի մոդելը համարվում է սույն պահանջներին համապատասխանող, եթե այդ 3 նմուշների չափումների արդյունքների միջին արժեքը համապատասխանում է սույն պահանջների 15-րդ կետի «ա»–«է» ենթակետերում նշված պահանջներին:
Այլ դեպքերում համակարգչի կամ սերվերի տվյալ մոդելը (կազմաձևը) անհրաժեշտ է դիտարկել որպես տեխնիկական կանոնակարգի պահանջներին չհամապատասխանող։
ՀԱՎԵԼՎԱԾ ԹԻՎ 18 «Էներգասպառող սարքվածքների էներգետիկ արդյունավետությանը ներկայացվող պահանջների մասին» Եվրասիական տնտեսական միության տեխնիկական կանոնակարգի (ԵԱՏՄ ՏԿ 048/2019) |
ՊԱՀԱՆՋՆԵՐ
ջրի պոմպերի էներգետիկ արդյունավետությանը ներկայացվող
I. Կիրառման ոլորտը
1. Սույն պահանջները տարածվում են Եվրասիական տնտեսական միության (այսուհետ՝ Միություն) մաքսային տարածքում շրջանառության մեջ դրվող՝ մաքուր ջրի վերամղման համար նախատեսված ինքնավար և ինտեգրված (մեկ այլ սարքավորումների մեջ ներկառուցված) պոմպերի (այսուհետ՝ ջրի պոմպեր) վրա՝ բացառությամբ
ա) բացառապես հրդեհաշիջման նպատակների համար նախատեսված պոմպերի,
բ) մինուս 10° С-ից ցածր կամ 120° С-ից բարձր ջերմաստիճանի պայմաններում ջրի վերամղման համար հատուկ նախատեսված պոմպերի, պայմանով, որ դա նախատեսված է սույն պահանջների 7-րդ կետում նշված շահագործման փաստաթղթերով,
գ) ծավալային պոմպերի,
դ) ինքնաներծծող ջրի պոմպերի:
II. Հիմնական հասկացությունները
2. Սույն պահանջները կիրառելու նպատակներով օգտագործվում են հասկացություններ, որոնք ունեն հետևյալ իմաստը՝
բարձակային միաբլոկ ջրի պոմպ (ESCC)՝ առանցքային մուտքով ջրի պոմպ, որում շարժիչի երկարացված լիսեռը ծառայում է որպես պոմպի լիսեռ.
բարձակային ջրի պոմպ՝ չոր շարժաբերով և առանցքային մուտքով միաստիճան կենտրոնախույս ջրի պոմպ, որը նախատեսված է 6-ից մինչև 80 պտ/ր պտտման բերված արագությամբ մինչև 16 բար ճնշման պայմաններում կիրառելու համար, որի անվանական մատուցումը կազմում է 6 մ3/ժ (1,667x10-3 մ3/վրկ)-ից ոչ պակաս, առավելագույն հզորությունը լիսեռի վրա՝ 150 կՎտ, 1450 պտ/ր պտտման անվանական արագության դեպքում առավելագույն ճնշամղումը՝ 90 մ և 2900 պտ/ր պտտման անվանական արագության դեպքում առավելագույն ճնշամղումը՝ 140 մ.
բարձակային ջրի պոմպ (ESOB)՝ առանցքային առբերումով և սեփական առանցքակալային հանգույցով ջրի պոմպ.
C հաստատուն՝ որոշակի տեսակի ջրի պոմպերի համար հաստատուն մեծություն, որը քանակական ձևով որոշում է այդ տեսակի պոմպերի արդյունավետության տարբերությունը.
ջրի պոմպի օգտակար գործողության գործակից (ՕԳԳ) (η)՝ պոմպի միջով անցնելիս հեղուկին փոխանցվող մեխանիկական էներգիայի հարաբերությունը պոմպի լիսեռի վրա մեխանիկական հզորության նկատմամբ.
գծային բարձակային միաբլոկ ջրի պոմպ (ESCCi)՝ բարձակային միաբլոկ ջրի պոմպ, որում մուտքի և ելքի խողովակաոստները դասավորված են մեկ առանցքի երկայնքով.
Էներգետիկ արդյունավետության նվազագույն ցուցիչ (MEI)՝ անչափ մեծություն, որը բնութագրում է ջրի պոմպերի արդյունավետությունն օպտիմալ կետում՝ մասնակի բեռնման և գերբեռնման դեպքում.
բազմաստիճան ուղղաձիգ պոմպ (MS-V)՝ մեկուսացված շարժաբերով բազմաստիճան (i>1) կենտրոնախույս պոմպ, որում բանող անիվները մոնտաժված են ուղղահայաց դասավորված այնպիսի լիսեռի վրա, որը հաշվարկված է մինչև 25 բար ճնշման համար՝ 2900 պտ/ր պտտման անվանական արագության և 100 մ3/ժ (27,78 x 10-3 մ3/վրկ) ջրի առավելագույն մատուցման դեպքում.
բազմաստիճան սուզապոմպ (MSS)՝ 4 դյույմ (10,16 սմ) կամ 6 դյույմ (15,24 սմ) կազմող արտաքին անվանական տրամագծով բազմաստիճան (i>1) կենտրոնախույս պոմպ, որը նախատեսված է 0° C-ից մինչև 90° C աշխատանքային ջերմաստիճանում և 2900 պտ/ր պտտման անվանական արագության դեպքում հորատանցքում օգտագործելու համար.
մեկուսացված շարժաբերով պոմպ՝ պոմպ, որում բանող անիվի խոռոչը և շարժաբերը միմյանցից մեկուսացված են, ընդ որում՝ վերամղվող հեղուկի հետ շարժաբերի հպումը բացառված է.
մասնակի բեռնում (PL)՝ ջրի պոմպի բանող կետ, որում մատուցումը օպտիմալ կետում կազմում է մատուցման 75 %-ը.
անվանական հզորություն՝ արտադրողի կողմից սահմանված հզորություն՝ մատուցման նորմալ պայմաններում և տրված ճնշման դեպքում.
ջրի ծավալային պոմպ՝ ջրի պոմպ, որում մաքուր ջուրը դեպի պոմպի ելք է տեղափոխվում որոշակի չափաբաժիններով.
գերբեռնվածք (OL)՝ ջրի պոմպի բանող կետ, որում մատուցումը կազմում է օպտիմալ կետում մատուցման 110 %-ը.
լիաչափ բանող անիվ՝ որոշակի տիպաչափսի պոմպի համար առավելագույն տրամագծի բանող անիվ.
պտտման բերված արագություն ns (արագընթացության գործակից)՝ մեծություն, որը որոշվում է պոմպի բանող անիվի չափսերով և ձևով՝ ճնշման, մատուցման և լիսեռի պտտման հաճախության տրված արժեքների դեպքում՝
որտեղ՝
ճնշում (Н)՝ պոմպի ազդեցության տակ ձեռք բերված ջրի հիդրավլիկ էներգիա (ջրի սյան մետրերով արտահայտված).
պտտման հաճախություն (n)՝ պոմպի լիսեռի մեկ րոպեում պտույտների թիվ.
մատուցում (Q)՝ պոմպի միջով հոսող ջրի ծավալային հոսք (մ3 /վրկ-ում).
աստիճանների թիվ (i)՝ պոմպում բանող անիվների քանակ.
օպտիմալ կետ (ВЕР)՝ ջրի պոմպի բանող կետ, որում մաքուր սառը ջուր վերամղելիս պոմպի ՕԳԳ-ի արժեքը հասնում է առավելագույնի.
բանող անիվ՝ կենտրոնախույս պոմպի պտտվող մաս, որը վերամղվող հեղուկին էներգիա է փոխանցում.
ինքնաներծծող ջրի պոմպ՝ պոմպ, որը ունակ է աշխատելու ջրի մասնակի լցման դեպքում.
կենտրոնախույս ջրի պոմպ՝ պոմպ, որը նախատեսված է մաքուր ջրի վերամղման համար՝ ջրի վրա հիդրոդինամիկական ուժերի ներգործության միջոցով.
մաքուր ջուր՝ ջուր, որում պինդ չլուծված ազատ մասնիկների պարունակությունը չի գերազանցում 0,25 կգ/մ3 և պինդ լուծված նյութերի պարունակությունը կազմում է ոչ ավելի քան 50 կգ/մ3՝ պայմանով, որ ջրում գազի ընդհանուր պարունակությունը չի գերազանցում հագեցման ծավալը (մինչև մինուս 10° C ջերմաստիճան ջրի սառչումը կանխելու համար օգտագործվող հավելույթները հաշվի չեն առնվում).
սառը մաքուր ջուր՝ 1,5 x 10-6 մ2 /վրկ առավելագույն կինեմատիկական մածուցիկությամբ, 1050 կգ/մ3 առավելագույն խտությամբ և 40° C առավելագույն ջերմաստիճանի՝ պոմպի փորձարկումների ժամանակ օգտագործվող մաքուր ջուր:
III. Ջրի պոմպերի էներգետիկ արդյունավետությանը ներկայացվող պահանջները և էներգետիկ արդյունավետության ցուցանիշների որոշման առանձնահատկությունները
3. Ջրի պոմպերի համար պետք է անցկացվեն համապատասխան փորձարկումներ (չափումներ) և բանող անիվի լրիվ տրամագծի դեպքում ճնշմղման և օպտիմալ կետում (BEP) մատուցման համար մաքուր սառը ջրի վերամղման, թերբեռնման (PL) և գերբեռնման (OL) դեպքում որոշվեն էներգետիկ արդյունավետության նվազագույն ցուցիչի (MEI) արժեքները:
4. Օպտիմալ կետում (BEP) նվազագույն պահանջվող ՕԳԳ-ն հաշվարկվում է հետևյալ բանաձևով՝
(ηBEP) min requ = 88,59. x + 13,46. y – 11,48. x2 – 0,85.y2 – 0,38.x . y – CPumpType, rpm,
որտեղ՝
x = ln(ns).
у = ln(Q).
nS-ը՝ պտտման բերված արագությունն է (րոպեում-1).
Q-ն՝ մատուցումը (մ3 /ժ-ով).
ln-ը՝ բնական լոգարիթմի նշանն է.
CPumpType, rpm՝ պոմպի տեսակի (Pump Type), պտտման արագության (պտ/ր-ով (rpm)) և էներգաարդյունավետության նվազագույն ցուցիչների (MEI) համար C հաստատունի արժեքները բերված են աղյուսակում:
Աղյուսակ
Էներգաարդյունավետության նվազագույն ցուցիչները (MEI) և դրանց համապատասխանող C հաստատունները՝ պայմանավորված պոմպի տեսակով և դրա արագությամբ
MEI-ի համար C-ի արժեքը |
MEI = 0,10 |
MEI = 0,40 |
C (ESOB, 1 450) |
132,58 |
128,07 |
C (ESOB, 2 900) |
135,60 |
130,27 |
C (ESCC, 1 450) |
132,74 |
128,46 |
C (ESCC, 2900) |
135,93 |
130,77 |
C (ESCCI, 1 450) |
136,67 |
132,30 |
C (ESCCI, 2 900) |
139,45 |
133,69 |
C (MS-V, 2 900) |
138,19 |
133,95 |
C (MSS, 2900) |
134,31 |
128,79 |
100-տոկոսանոց մատուցման (ηВЕР) դեպքում պահանջների մասով թերբեռնման (PL) և գերբեռնման (OL) պայմաններում նվազագույն պահանջվող ՕԳԳ-ն հաշվարկվում է հետևյալ բանաձևով՝
(ηPL) min, requ = 0,947·( ηВЕР) min requ.
(ηOL) min, requ = 0,985 (ηВЕР) min requ:
ՕԳԳ-ի բոլոր արժեքները վերաբերում են բանող անիվի անվանական կամ լրիվ (առանց ճշտման կամ ձևաճշտման) տրամագծին*: Բազմաստիճանավոր ուղղաձիգ ջրի պոմպը (MS-V) պետք է փորձարկվի եռաստիճան տարբերակի համար (i = 3): Բազմաստիճանավոր սուզապոմպը (MSS) պետք է փորձարկվի ինն աստիճան տարբերակի համար (i = 9): Եթե պոմպը աստիճանների տրված քանակ չի կարող ունենալ, ապա ընտրվում է աստիճանների թվով ամենամոտ պոմպը:
5. Ջրի պոմպերը պետք է համապատասխանեն էներգետիկ արդյունավետությանը ներկայացվող հետևյալ պահանջներին՝
ա) սույն պահանջների 4-րդ կետին համապատասխան չափելիս օպտիմալ կետում (BEP) C արժեքով MEI = 0,4-ի համար (ηBEP) min. requ արժեքից ոչ ցածր ՕԳԳ η.
բ) սույն պահանջների 4-րդ կետին համապատասխան չափելիս մասնակի բեռնման (PL) դեպքում C արժեքով MEI = 0,4-ի համար (ηPL) min, requ արժեքից ոչ ցածր ՕԳԳ η.
գ) սույն պահանջների 4-րդ կետին համապատասխան չափելիս գերբեռնման (OL) դեպքում C արժեքով MEI = 0,4-ի համար (ηOL) min, requ արժեքից ոչ ցածր ՕԳԳ η:
6. Ջրի պոմպերի մականշվածքը պետք է պարունակի դրանց բնութագրերի մասին հետևյալ տեղեկատվությունը՝
ա) էներգաարդյունավետության նվազագույն ցուցիչը (MEI) հետևյալ գրառման ձևով՝ «MEI ≥ [х,хх]».
բ) ջրի հիդրավլիկ պոմպի ՕԳԳ-ն (տոկոսներով) բանող անիվի ճշգրտված տրամագծի դեպքում [хх,х]:
7. «Էներգասպառող սարքվածքների էներգետիկ արդյունավետությանը ներկայացվող պահանջների մասին» Միության տեխնիկական կանոնակարգի (ԵԱՏՄ ՏԿ 048/2019) (այսուհետ՝ տեխնիկական կանոնակարգ) 13-րդ կետով նախատեսված և ջրի պոմպերին կցվող շահագործման փաստաթղթերը պետք է պարունակեն սույն պահանջների 6-րդ կետով նախատեսված տեղեկատվությունը, ինչպես նաև ջրի պոմպերի բնութագրերի և պարամետրերի մասին հետևյալ տեղեկությունները՝
ա) հետևյալ գրառումներից մեկը. «լավագույն ՕԳԳ-ով ջրի պոմպի MEI-ի չափանմուշային արժեքը ≥ 0,70» կամ «MEI-ի չափանմուշային արժեքը ≥ 0,70».
բ) պոմպի աշխատանքային բնութագրերը, այդ թվում՝ էներգետիկ արդյունավետության բնութագրերը.
գ) պոմպի քանդման, կրկնակի օգտագործման և օգտահանման վերաբերյալ տեղեկատվություն.
դ) գրառում. «Ճշգրտված բանող անիվով պոմպի էներգետիկ արդյունավետությունը սովորաբար ավելի ցածր է, քան բանող անիվի լրիվ տրամագծով ստանդարտ պոմպի էներգետիկ արդյունավետությունը: Բանող անիվի ճշտման (ձևաճշտման) միջոցով պոմպը հարմարեցված է տրված բանող կետում էներգիայի ցածր սպառմամբ աշխատելու համար: Էներգաարդյունավետության նվազագույն ցուցիչը (MEI) վերաբերում է բանող անիվի լրիվ տրամագծին».
ե) գրառում. «Տվյալ ջրի պոմպի գործողությունը աշխատանքի տարբեր ժամանակահատվածներում կարող է արդյունավետ և տնտեսող լինել, եթե այն վերահսկվում է (օրինակ՝ պոմպի արագությունը համակարգում կարգավորելու միջոցով)».
զ) միայն մինուս 10° С-ից ցածր ջերմաստիճանի պայմաններում մաքուր ջրի վերամղման համար հատուկ նախատեսված պոմպերի համար, գրառում. «Միայն մինուս 10° С-ից ցածր ջերմաստիճանի պայմաններում օգտագործելու համար».
է) ստանդարտ տեքստ՝ միայն 120° С-ից բարձր ջերմաստիճանի պայմաններում մաքուր ջրի վերամղման համար հատուկ նախատեսված պոմպերի համար, գրառում. «Միայն 120° С-ից բարձր ջերմաստիճանի պայմաններում օգտագործելու համար».
ը) մինուս 10° С-ից ցածր կամ 120° С-ից բարձր ջերմաստիճանի պայմաններում մաքուր ջրի վերամղման համար նախատեսված պոմպերի համար նշվում են համապատասխան տեխնիկական պարամետրերը և բնութագրերը:
IV. Ջրի պոմպերի էներգետիկ արդյունավետության պարամետրերի թույլատրելի շեղումները դրանք շրջանառության մեջ դնելուց հետո փորձարկումներ (չափումներ) անցկացնելիս
8. Ջրի պոմպերի՝ Միության մաքսային տարածքում շրջանառության մեջ դնելուց հետո փորձարկումներ (չափումներ) անցկացնելու դեպքում կատարվում են ջրի պոմպի յուրաքանչյուր մոդելի 1 տիպային նմուշի (օրինակի) փորձարկումներ (չափումներ):
Ջրի պոմպի մոդելը համարվում է սույն պահանջներին համապատասխանող, եթե թերբեռնման և գերբեռնման դեպքում օպտիմալ կետում չափված ջրի պոմպի էներգետիկ արդյունավետությունը (ηВЕР, ηPL և ηOL) սույն պահանջների 5-րդ կետում նշված արժեքներից ավելի, քան 5%-ով ցածր չէ:
Եթե ջրի պոմպի մոդելը համարվում է սույն կետի առաջին պարբերությունում նշված՝ սույն պահանջներին չհամապատասխանող, ապա ստուգվում է ջրի պոմպի ևս 3 նմուշ (օրինակ): Ջրի պոմպի մոդելը համարվում է սույն պահանջներին համապատասխանող, եթե այդ 3 նմուշի (օրինակների) փորձարկումների (չափումների) ηВЕР, ηPL և ηOL արդյունքների միջին արժեքը սույն կետի երկրորդ պարբերությունում նշված արժեքներից ցածր չէ:
Այլ դեպքերում ջրի պոմպի տվյալ մոդելը հարկավոր է դիտարկել որպես տեխնիկական կանոնակարգի պահանջներին չհամապատասխանող։
ՀԱՎԵԼՎԱԾ ԹԻՎ 19 «Էներգասպառող սարքվածքների էներգետիկ արդյունավետությանը ներկայացվող պահանջների մասին» Եվրասիական տնտեսական միության տեխնիկական կանոնակարգի (ԵԱՏՄ ՏԿ 048/2019)) |
ՊԱՀԱՆՋՆԵՐ
օդորակիչների և սենյակի օդափոխիչների էներգետիկ արդյունավետությանը ներկայացվող
I. Կիրառման ոլորտը
1. Սույն պահանջները տարածվում են Եվրասիական տնտեսական միության (այսուհետ՝ Միություն) մաքսային տարածքում շրջանառության մեջ դրվող՝ էլեկտրական ցանցից սնվող 12 կՎտ-ից ոչ ավելի հովացման և (կամ) տաքացման անվանական հզորությամբ օդորակիչների (այսուհետ՝ օդորակիչներ) վրա, ինչպես նաև 125 Վտ-ից ոչ ավելի անվանական սպառվող հզորությամբ սենյակի օդափոխիչների (այսուհետ՝ օդափոխիչներ) վրա` բացառությամբ
ա) օդորակիչների, որոնցում գոլորշիչով և (կամ) կոնդենսատորով օդը որպես ջերմափոխանակման միջավայր չի օգտագործում.
բ) օդորակիչների և օդափոխիչների, որոնք, բացի էլեկտրաէներգիայից, աշխատում են էներգիայի այլ տեսակների օգտագործման հաշվին:
II. Հիմնական հասկացությունները
2. Սույն պահանջները կիրառելու նպատակներով օգտագործվում են հասկացություններ, որոնք ունեն հետևյալ իմաստը՝
ակտիվ ռեժիմ՝ օդորակիչի՝ հովացման կամ տաքացման աշխատանքի ռեժիմ, որի դեպքում տարածքում օդի պահանջվող ջերմաստիճանն ապահովելու համար օդորակիչը կարող է միացվել և անջատվել.
օդափոխիչ՝ սարք, որը գլխավորապես նախատեսված է հովացման նպատակով մարդու մարմինը կամ դրա մասերը շրջափչող օդային հոսք ստեղծելու համար` ներառյալ լրացուցիչ գործառույթներով (օրինակ` լուսավորում և (կամ) թեթև լուսավորում, հեռավար կառավարում, ներկայության տվիչ, թայմեր, անջատման կասեցում, խոնավության տվիչ, օդի խոնավացուցիչ և (կամ) իոնարար, օդային հոսքը պտտելու (թեքելու) գործառույթ և այլն) օդափոխիչները.
աշխատանքի ժամանակ անջատման ռեժիմում (HOFF)՝ համապատասխան սեզոնով և տրված գործառույթով պայմանավորված՝ մեկ տարում ժամերով (ժ/տարի) աշխատանքի գումարային ժամանակահատված հանդիսացող ժամանակ, որի ընթացքում էներգասպառող սարքվածքը գտնվում է անջատված ռեժիմում.
աշխատանքի ժամանակ սպասման ռեժիմում (HSB)՝ համապատասխան սեզոնով և տրված գործառույթով պայմանավորված՝ մեկ տարում ժամերով (ժ/տարի) աշխատանքի գումարային ժամանակահատված հանդիսացող ժամանակ, որի ընթացքում էներգասպառող սարքվածքը գտնվում է սպասման ռեժիմում.
աշխատանքի ժամանակ անջատված ջերմակարգավորիչով ռեժիմում (HTO)՝ համապատասխան սեզոնով և տրված գործառույթով պայմանավորված՝ մեկ տարում ժամերով (ժ/տարի) աշխատանքի գումարային ժամանակահատված հանդիսացող ժամանակ, որի ընթացքում օդորակիչը գտնվում է անջատված ջերմակարգավորիչով աշխատանքի ռեժիմում.
աշխատանքի ժամանակ հենատուփային տաքացուցիչով ռեժիմում (Hск)՝ համապատասխան սեզոնով և տրված գործառույթով պայմանավորված՝ մեկ տարում ժամերով (ժ/տարի) աշխատանքի գումարային ժամանակահատված հանդիսացող ժամանակ, որի ընթացքում օդորակիչը գտնվում է միացված ճնշակային հենատուփի տաքացուցիչով աշխատանքի ռեժիմում.
օդափոխիչի աշխատանքի ժամանակ ակտիվ ռեժիմում (HCE)՝ ենթադրաբար ակնկալվող՝ մեկ տարում ժամերով (ժ/տարի) աշխատանքի գումարային ժամանակահատված, որի ընթացքում օդափոխիչն ապահովում է օդի առավելագույն հոսքի ստեղծումը.
տաքացման համար էլեկտրաէներգիայի տարեկան սպառում (QHE)՝ որոշակի ջեռուցման սեզոնի ընթացքում տաքացման համար էներգիայի տարեկան չափանմուշային սպառումն ապահովելու համար օդորակիչով էլեկտրաէներգիայի սպառում (կՎտ/ժ/տարի-ով), որը հավասար է՝
տաքացման համար էներգիայի տարեկան չափանմուշային սպառման գումարին՝ բաժանած տաքացման ակտիվ ռեժիմում (SCOPon) սեզոնային էներգետիկ արդյունավետության վրա.
անջատված ջերմակարգավորիչով աշխատանքի ռեժիմում, սպասման և անջատման ռեժիմներում, ինչպես նաև հենատուփային տաքացուցիչով աշխատանքի ռեժիմում ջեռուցման սեզոնի ընթացքում էլեկտրաէներգիայի սպառման գումարին.
հովացման համար էլեկտրաէներգիայի տարեկան սպառում (QCE)՝ հովացման համար էներգիայի տարեկան չափանմուշային սպառումն ապահովելու համար օդորակիչով էլեկտրաէներգիայի սպառում (կՎտ ⋅ ժ/տարի-ով), որը հավասար է՝
հովացման համար էներգիայի տարեկան չափանմուշային սպառման գումարին՝ բաժանած հովացման ակտիվ ռեժիմում (SEERon) սեզոնային էներգետիկ արդյունավետության վրա.
անջատված ջերմակարգավորիչով աշխատանքի ռեժիմում, սպասման և անջատման ռեժիմներում, ինչպես նաև հենատուփային տաքացուցիչով աշխատանքի ռեժիմում հովացման սեզոնի ընթացքում էլեկտրաէներգիայի սպառման գումարին.
երկուղի օդորակիչ՝ օդորակվող տարածքի ներսում պատին մոտ ամբողջությամբ տեղադրվող օդորակիչ, որում հովացման կամ տաքացման ժամանակ կոնդենսատորը կամ գոլորշիչը շրջափչող օդը մատուցվում է դրսից մեկ ուղով և դուրս է մղվում տարածքի սահմաններից մյուս ուղով.
բինի տևողություն՝ սեզոնի ընթացքում hj ժամերի քանակ, երբ ջերմաստիճանաժամանակային միջակայքում (բինում) գերակշռում է Tj արտաքին օդի ջերմաստիճանը.
հայտարարված հզորություն` Tj արտաքին օդի ջերմաստիճանի և տարածքում Tin օդի ջերմաստիճանի պայմաններում հովացման Pdc(Tj) կամ տաքացման Pdh(Tj) ռեժիմում գոլորշասեղմումային ցիկլի աշխատանքն ապահովելու համար սպառվող՝ արտադրողի կողմից կՎտ-ով նշված՝ օդորակիչի հզորություն.
հայտարարված էներգետիկ արդյունավետություն տաքացման ռեժիմում (COPd(Tj))՝ արտադրողի կողմից նշված՝ Tj արտաքին օդի ջերմաստիճաններին համապատասխանող՝ j ցուցիչով սահմանափակ քանակությամբ ջերմաստիճանաժամանակային միջակայքերի (բիների) համար տաքացման ռեժիմում օդորակիչի էներգետիկ արդյունավետություն.
հայտարարված էներգետիկ արդյունավետություն հովացման ռեժիմում (EERd(Tj))՝ արտադրողի կողմից նշված՝ Tj արտաքին օդի ջերմաստիճաններին համապատասխանող՝ j ցուցիչով սահմանափակ քանակությամբ ջերմաստիճանաժամանակային միջակայքերի (բիների) համար հովացման ռեժիմում օդորակիչի էներգետիկ արդյունավետություն.
օդորակիչ՝ ջերմային պոմպի գոլորշասեղմումային ցիկլի օգտագործման հաշվին տարածքում օդը հովացնելու և (կամ) տաքացնելու համար նախատեսված սարքվածք, որը գործողության մեջ է դրվում էլեկտրական ճնշակի միջոցով, ներառյալ այնպիսի լրացուցիչ գործառույթներ ունեցող օդորակիչները, ինչպիսիք են օդափոխություն, խոնավության նվազեցում և օդի մաքրում, էլեկտրատաքացուցիչի միջոցով օդի լրացուցիչ տաքացում, ինչպես նաև օդորակիչներ, որոնք կոնդենսատորի վրա կարող են գոլորշիացնել օդը (գոլորշիչի վրա խտացվող կամ դրսից մատուցվող), եթե, ընդ որում, դրանք կարող են աշխատել միայն օդի հետ առանց ջրի լրացուցիչ մատուցման.
հզորության գործակից՝ օդորակիչի բոլոր շահագործվող հանգույցների և ներքին բլոկի սարքվածքների համար ստանդարտ անվանական պայմաններում հովացման և (կամ) տաքացման ժամանակ արտադրողի կողմից հայտարարված ընդհանուր հզորության հարաբերությունն օդորակիչի բոլոր հանգույցների և արտաքին բլոկի սարքվածքների համար նույն հայտարարված հզորության նկատմամբ.
արդյունավետության կորստի գործակից՝ աշխատանքի ցիկլային ռեժիմի պատճառով (ակտիվ ռեժիմում ճնշակի միացում (անջատում)) արդյունավետության կորստի մեծություն, որը որոշվում է հովացման ռեժիմի (Cdc) և (կամ) տաքացման ռեժիմի (Cdh) համար կամ սկզբնադիր ընդունվում է 0,25-ին հավասար.
մասնակի բեռնվածքի գործակից (pl(Tj))՝ արտաքին օդի ջերմաստիճանի (հանած 16° C) հարաբերությունն հովացման կամ տաքացման ռեժիմների համար չափանմուշային հաշվարկային ջերմաստիճանի (հանած 16° C) նկատմամբ.
օդի առավելագույն հոսք (F)՝ պտտելու (թեքելու) մեխանիզմի (առկայության դեպքում) անջատված լինելու դեպքում հոսքի ելքի կողմից չափված՝ առավելագույն հզորությունը սահմանելիս մ3/ր-ում օդափոխիչով ստեղծվող օդի հոսք.
պտտելու (թեքելու) մեխանիզմ՝ օդափոխիչի աշխատանքի ժամանակ օդափոխիչով օդի հոսքի ուղղությունն ինքնաբերաբար փոփոխելու համար սարքվածք.
աշխատանքի ցիկլային (ընդհատուն) ռեժիմում հզորություն՝ ժամանակի մեջ հովացման (PcycC) կամ տաքացման (РсусH) ռեժիմում օդորակիչի փորձարկման ցիկլային միջակայքում (ճնշակի միացման և անջատման պատճառով ցիկլային բեռնվածքի ժամանակ) հաշվարկված՝ հայտարարված հզորության միջին արժեք.
տաքացման ռեժիմում (PCOP) անվանական մուտքային հզորություն՝ տաքացման ռեժիմում օդորակիչի մուտքային սպառվող էլեկտրական հզորություն (կՎտ-ով) ստանդարտ անվանական պայմաններում.
հովացման ռեժիմում (PEER) մուտքային անվանական հզորություն՝ հովացման ռեժիմում ստանդարտ անվանական պայմաններում օդորակիչի մուտքային սպառվող էլեկտրական հզորություն (կՎտ-ով).
անվանական հզորություն (Prated)` ստանդարտ անվանական պայմաններում օդորակիչի գոլորշասեղմումային ցիկլի հովացման կամ տաքացման հզորություն.
հովացման ռեժիմում անվանական էներգետիկ արդյունավետություն (EERrated)՝ օդորակիչի հովացման հայտարարված հզորության (կՎտ-ով) հարաբերությունը ստանդարտ անվանական պայմաններում հովացման ռեժիմում սպառվող անվանական հզորության (կՎտ-ով) նկատմամբ.
տաքացման ռեժիմում անվանական էներգետիկ արդյունավետություն (COPrated)՝ օդորակիչի տաքացման հայտարարված հզորության (կՎտ-ով) հարաբերությունը ստանդարտ անվանական պայմաններում տաքացման ռեժիմում սպառվող անվանական հզորության (կՎտ-ով) նկատմամբ.
օդի անվանական հոսք՝ հովացման ռեժիմում (կամ տաքացման ռեժիմում, եթե օդորակիչը հովացման գործառույթ չունի) ստանդարտ անվանական պայմաններում օդորակիչի ներքին կամ արտաքին (առկայության դեպքում) բլոկից ելքում չափված օդի հոսք (մ3/ժ).
միուղի օդորակիչ՝ օդորակիչ, որում հովացման կամ տաքացման ժամանակ կոնդենսատորը կամ գոլորշիչը շրջափչող օդը մատուցվում է այն տարածքից, որտեղ գտնվում է օդորակիչը, և այդ տարածքի սահմաններից դուրս է բերվում.
գլոբալ տաքացման ներուժ (GWP)՝ ՄԱԿ-ի 1992 թվականի մայիսի 9-ի «Կլիմայի փոփոխության մասին» շրջանակային կոնվենցիայի՝ 1997 թվականի դեկտեմբերի 11-ի Կիոտոյի արձանագրությանը և Շրջակա միջավայրի վերաբերյալ ՄԱԿ-ի ծրագրի (UNEP) կատարման շրջանակներում Կլիմայի փոփոխության հարցերով փորձագիտական միջկառավարական խմբի (IPCC) պաշտոնական հրապարակումներին (հաշվետվություններին) համապատասխան ներմուծված՝ 100 տարվա ընթացքում մեկ կիլոգրամ նյութի՝ ջերմոցային էֆեկտին (գլոբալ տաքացմանը) նպաստելու մասով ազդեցության մակարդակը սահմանող գործակից, որը թվով հավասար է 100 տարվա ընթացքում նույնպիսի ջերմոցային էֆեկտ ստեղծող՝ կգ-ով ածխաթթու գազի համարժեք զանգվածին (GWPco2 = 1).
անջատման ռեժիմում սպառվող հզորություն (POFF)՝ էլեկտրական էներգասպառող սարքվածքով անջատման ռեժիմում սպառվող հզորություն (կՎտ-ով).
սպասման ռեժիմում սպառվող հզորություն (PSB)՝ էլեկտրական էներգասպառող սարքվածքով սպասման ռեժիմում սպառվող հզորություն (կՎտ-ով).
հենատուփային տաքացուցիչով աշխատանքի ռեժիմում (Pск) սպառվող հզորություն՝ հենատուփային տաքացուցիչով աշխատանքի ռեժիմում էլեկտրական էներգիա սպառող սարքի կողմից սպառվող հզորություն (կՎտ-ով).
անջատված ջերմակարգավորիչով ռեժիմում (PTO) սպառվող հզորություն՝ անջատված ջերմակարգավորիչով աշխատանքի ռեժիմում էլեկտրական էներգիա սպառող սարքի կողմից սպառվող հզորություն (կՎտ-ով).
աշխատանքային ջերմաստիճանի սահմանային արժեք (Tol)՝ արտադրողի կողմից նշված՝ արտաքին օդի նվազագույն արժեք (°C-ով), որի դեպքում օդորակիչը ունակ է աշխատելու տաքացման ռեժիմում (տվյալ ջերմաստիճանից ցածր լինելու դեպքում տաքացման հայտարարված հզորությունը հավասար է զրոյի).
նախագծային (անվանական) հզորություն (բեռնվածք)՝ PdesignC հովացման (Tj = TdesignC-ի դեպքում հավասար է հովացման ռեժիմում հզորությանը) և (կամ) PdesignH տաքացման ռեժիմում (Tj = TdesignH-ի դեպքում հավասար է տաքացման ռեժիմում մասնակի բեռնվածքին) չափանմուշային հաշվարկային ջերմաստիճանի դեպքում արտադրողի կողմից նշված հզորություն (բեռնվածք) (կՎտ-ով).
դարձափոխային օդորակիչ՝ օդի հովացման և տաքացման համար նախատեսված օդորակիչ.
հզորության կարգավորում՝ սարքի՝ օդային հոսքի մեծությունը փոխելու միջոցով իր հզորությունը փոխելու ունակություն (սարքերը նշվում են որպես «սևեռուն կարգաբերված», եթե հոսքը չի կարգավորվում, «աստիճանավոր կարգավորվող», եթե հնարավոր է հզորության երկու կարգաբերում, և «կարգավորվող», եթե օդի հոսքը տատանվում է երեք և ավելի աստիճանների շրջանակներում).
անջատման ռեժիմ՝ վիճակ, որի ժամանակ էլեկտրասարքավորումները միացված են սնուցման աղբյուրին, սակայն չեն գտնվում ակտիվ (աշխատանքի) ռեժիմում կամ սպասման ռեժիմում, և պետք է համապատասխանեն էլեկտրամագնիսական համատեղելիության պահանջներին և (կամ) ապահովեն անջատման ռեժիմի ցուցանշում.
սպասման ռեժիմ՝ վիճակ, որի դեպքում էլեկտրասարքավորումները միացված են սնուցման աղբյուրին և անսահմանափակ ժամանակ կատարում են վերաակտիվացման գործառույթ (այդ թվում` վերաակտիվացման ունակության (պատրաստության) ցուցանշմամբ վերաակտիվացման գործառույթ) և (կամ) տեղեկացման կամ վիճակի արտապատկերման գործառույթ.
անջատված ջերմակարգավորիչով աշխատանքի ռեժիմ՝ լավորակվող տարածքում՝ առանց օդի ջերմաստիճանի հետ հետադարձ կապի (կախված արտաքին օդի ջերմաստիճանից) հովացման կամ տաքացման ռեժիմով աշխատող ճնշակով օդորակիչի աշխատանքի ռեժիմ.
հենատուփային տաքացուցիչով աշխատանքի ռեժիմ՝ ջեռուցման սեզոնին օդորակիչի շահագործման ռեժիմ, որի դեպքում էլեկտրական տաքացուցիչն ակտիվացված է, որը ճնշակի հենատուփում դրա միացման ժամանակ քսուքի պնդացման և սառնազդակի եռման պատճառով կոտրվածքներից խուսափելու նպատակով կանխում է հեղուկ սառնազդակի ներթափանցումը ճնշակ.
լրացուցիչ տաքացման համար պահուստային էլեկտրական հզորություն [elbu(Tj)]՝ COP = 1 տաքացման ռեժիմում էներգետիկ արդյունավետությամբ փաստացի կամ ենթադրվող էլեկտրական համարժեք տաքացման սարքի՝ տաքացման ժամանակ սպառվող հզորություն (կՎտ-ով), որն ավելացվում է տաքացման ռեժիմում Pdh(Tj) անվանական սպառվող հզորությանը՝ տաքացման համար Ph(Tj) մասնակի բեռնվածքին հասնելու համար, եթե Pdh(Tj)-ն ավելի պակաս է, քան Ph(Tj)-ն Tj- ն` արտաքին օդի որոշակի ջերմաստիճանի պայմաններում.
տաքացման ակտիվ ռեժիմում սեզոնային էներգետիկ արդյունավետություն (SCOPon)՝ ջեռուցման որոշակի սեզոնին տաքացման ակտիվ ռեժիմում օդորակիչի էներգետիկ արդյունավետության միջին արժեք, որը հաշվարկվում է մասնակի բեռնվածքից, լրացուցիչ տաքացման համար պահուստային էլեկտրական տաքացուցիչի (եթե պահանջվում է) հզորությունից և ջերմաստիճանաժամանակային բոլոր միջակայքերում էներգետիկ արդյունավետությունից COPbin(Tj)՝ հարաբերակցված այդ ջերմաստիճանաժամանակային միջակայքերի (բիների) տևողության հետ.
հովացման ակտիվ ռեժիմում սեզոնային էներգետիկ արդյունավետություն (SEERon)՝ հովացման ակտիվ ռեժիմում օդորակիչի էներգետիկ արդյունավետության միջին արժեք, որը հաշվարկվում է ջերմաստիճանաժամանակային բոլոր միջակայքերում մասնակի բեռնվածքից և էներգետիկ արդյունավետությունից (EERbin(Tj))՝ հարաբերակցված այդ ջերմաստիճանաժամանակային միջակայքերի (բիների) տևողության հետ.
հովացման ռեժիմում սեզոնային էներգետիկ արդյունավետություն (SEER)՝ հովացման ամբողջ սեզոնի ընթացքում օդորակիչի օգտակար գործողության գործակցի ներկայացուցչական միջին արժեք, որը հավասար է հովացման ռեժիմում էներգիայի տարեկան չափանմուշային սպառման հարաբերությանը հովացման ռեժիմում էլեկտրաէներգիայի տարեկան չափված սպառման նկատմամբ.
տաքացման ռեժիմում սեզոնային էներգետիկ արդյունավետություն (SCOP)՝ համապատասխան ջեռուցման սեզոնի համար օդորակիչի օգտակար գործողության գործակցի ներկայացուցչական միջին արժեք, որը հավասար է տաքացման համար էներգիայի տարեկան չափանմուշային սպառման հարաբերությանը տաքացման համար էլեկտրաէներգիայի տարեկան սպառման նկատմամբ.
սեզոններ՝ տարվա չորս ժամանակաշրջաններին համապատասխանող շահագործման պայմանների 4 հավաքակազմ (հովացման սեզոն և 3 ջեռուցման սեզոն՝ միջին, ավելի ցուրտ և ավելի տաք), որոնցից յուրաքանչյուրի համար ընդունվում է hj ժամերով չափվող ջերմաստիճանաժամանակային միջակայքերի (բիների) բաժանում, երբ գերակշռում է Tj ջերմաստիճանը.
ստանդարտ անվանական պայմաններ՝ տարածքում Tin և արտաքին օդի Tj ջերմաստիճանների համակցություն, որոնք սահմանում են շահագործման պայմաններ՝ ձայնային հզորության մակարդակը, անվանական հզորությունը, օդի անվանական հոսքը, EERrated հովացման ռեժիմում անվանական էներգետիկ արդյունավետությունը և (կամ) COPrated տաքացման ռեժիմում անվանական էներգետիկ արդյունավետությունը որոշելու համար.
օդի ջերմաստիճանը տարածքում (Tin)՝ օդի ջերմաստիճան տարածքում °С-ով ըստ չոր ջերմաչափի՝ նշելով (անհրաժեշտության դեպքում) հարաբերական խոնավության մասին տեղեկատվությունը՝ ըստ խոնավ ջերմաչափի համապատասխան ջերմաստիճանը փակագծերում նշելու միջոցով.
կրկնակի (պահուստային) տաքացման ջերմաստիճան (Тbiv)՝ արտադրողի կողմից նշված՝ օդորակիչի Tj տաքացման ռեժիմում արտաքին օդի ջերմաստիճան °С-ով, որի դեպքում հայտարարված հզորությունը համապատասխանում է մասնակի բեռնվածքին, իսկ ավելի ցածր ջերմաստիճանի դեպքում լրացուցիչ պետք է միացվի պահուստային էլեկտրական տաքացուցիչը.
արտաքին օդի ջերմաստիճան (Tj)՝ արտաքին օդի ջերմաստիճան °С-ով ըստ չոր ջերմաչափի՝ նշելով (անհրաժեշտության դեպքում) հարաբերական խոնավության մասին տեղեկատվությունը՝ ըստ խոնավ ջերմաչափի համապատասխան ջերմաստիճանը փակագծերում նշելու միջոցով.
ջերմաստիճանաժամանակային միջակայք j (j ցուցիչով բին)՝ Tj արտաքին օդի ջերմաստիճանի և դրա գերակշռության տևողության զուգորդությունը hj ժամերով.
օդորակիչի ձայնային հզորության մակարդակ՝ ձայնային հզորության մակարդակ, որը ճշգրտված է ըստ դԲ(Ա)-ով Ա բնութագրի, որը չափվում է տարածքում կամ տարածքից դուրս՝ հովացման (կամ տաքացման, եթե օդորակիչը չունի հովացման գործառույթ) ռեժիմում օդորակիչի աշխատանքի ստանդարտ անվանական պայմաններում.
օդափոխիչի ձայնային հզորության մակարդակ (LWA)՝ ձայնային հզորության մակարդակ, որը ճշգրտված է ըստ դԲ(Ա)-ով Ա բնութագրի, որը չափվում է դուրս բերվող հոսքի ուղղության կողմից օդի առավելագույն անվանական հոսքի դեպքում.
տեղեկացման կամ վիճակի արտապատկերման գործառույթ՝ գործառույթ, որն ապահովում է տեղեկատվության տրամադրումը կամ ցուցասարքի վրա սարքավորումների վիճակի արտապատկերումը՝ ներառյալ ժամանակի ցուցանշումը.
վերաակտիվացման գործառույթ՝ գործառույթ, որը հեռահար կառավարման սարքվածքների, ներքին տվիչների կամ պահաժամի կարգավորիչների (թայմերների) միջոցով ապահովում է սպասման ռեժիմից աշխատանքի ռեժիմի անցնելու ունակությունը, երբ տեղի է ունենում սարքավորումների հիմնական կամ հիմնական և լրացուցիչ գործառույթների կատարման ակտիվացում.
մասնակի բեռնվածք՝ նախագծային (անվանական) հզորության և մասնակի pl(Tj) բեռնվածքի գործակցի արտադրյալին հավասար՝ Tj արտաքին օդի որոշակի ջերմաստիճանում PC(Tj) հովացման կամ Ph(Tj) տաքացման ռեժիմում հզորություն (բեռնվածք) (կՎտ-ով).
ակտիվ ռեժիմում տաքացման համարժեք ժամանակահատված (HHE)՝ տաքացման ռեժիմում էներգիայի տարեկան չափանմուշային սպառումն ապահովելու համար անհրաժեշտ՝ տաքացման ռեժիմում նախագծային (անվանական) հզորությամբ (բեռնվածքով) (PdesignH) օդորակիչի աշխատանքի տարեկան հաշվարկային (ենթադրվող) տևողություն (ժ/տարի-ով).
ակտիվ ռեժիմում հովացման համարժեք ժամանակահատված (Hce)՝ հովացման ռեժիմում էներգիայի տարեկան չափանմուշային սպառումն ապահովելու համար անհրաժեշտ՝ հովացման ռեժիմում նախագծային (անվանական) հզորությամբ (բեռնվածքով) (PdesignC) օդորակիչի աշխատանքի տարեկան հաշվարկային (ենթադրվող) տևողություն (ժ/տարի-ով).
շահագործման ցուցանիշ (SV)՝ մ3/ր-ով՝ օդի առավելագույն հոսքի և Վտ-ով՝ օդափոխիչի սպառվող հզորության հարաբերություն՝ արտահայտված (մ3/ր)/Վտ-ով.
օդափոխիչի էներգասպառում (PF)՝ պտտելու (թեքելու) միացված գործառույթով (առկայության դեպքում) օդափոխիչով ստեղծվող օդի առավելագույն անվանական հոսքի դեպքում չափված՝ օդափոխիչով սպառվող հզորություն Վտ-ով.
մի- և երկուղի սարքերի (համապատասխանաբար QSD և QDD) էներգասպառում՝ հովացման և (կամ) տաքացման ռեժիմում մի- և երկուղի օդորակիչների էներգասպառում՝ պայմանավորված գործառույթների առկայությամբ (միուղի սարքերի համար կՎտժ ⋅ ժ-ով, երկուղիների համար՝ կՎտժ տարի-ով).
տաքացման ռեժիմում էներգետիկ արդյունավետություն ջերմաստիճանաժամանակային միջակայքի համար [COPbin(Tj)]՝ Tj արտաքին օդի ջերմաստիճանի պայմաններում j ջերմաստիճանաժամանակային միջակայքում (բինում) տաքացման ռեժիմում օդորակիչի տեսակարար էներգետիկ արդյունավետություն, որը հաշվարկվում է՝ հաշվի առնելով մասնակի բեռնվածքը, անվանական հզորությունը և առանձին j ջերմաստիճանաժամանակային միջակայքերի (բիների) համար COPd(Tj) տաքացման ռեժիմում անվանական էներգետիկ արդյունավետությունը, այլ ջերմաստիճանաժամանակային միջակայքերի (բիների) համար արտարկման մեթոդով ստացվող հզորությունը և էներգետիկ արդյունավետությունը՝ կիրառելով (անհրաժեշտության դեպքում) էներգետիկ արդյունավետության կորստի գործակիցը.
հովացման ռեժիմում էներգետիկ արդյունավետություն ջերմաստիճանաժամանակային միջակայքի համար (EERbin(Tj))՝ Tj արտաքին օդի ջերմաստիճանի պայմաններում j ջերմաստիճանաժամանակային միջակայքում (բինում) հովացման ռեժիմում օդորակիչի տեսակարար էներգետիկ արդյունավետություն, որը հաշվարկվում է՝ հաշվի առնելով մասնակի բեռնվածքը, անվանական հզորությունը և առանձին j ջերմաստիճանաժամանակային միջակայքերի (բիների) համար հովացման ռեժիմում անվանական էներգետիկ արդյունավետությունը EERd (Tj) և այլ ջերմաստիճանաժամանակային միջակայքերի (բիների) համար արտարկման մեթոդով ստացվող հզորությունն ու էներգետիկ արդյունավետությունը՝ անհրաժեշտության դեպքում կիրառելով արդյունավետության կորստի գործակիցը.
էներգետիկ արդյունավետություն տաքացման ցիկլային (ընդհատուն) ռեժիմում (COPcyc)՝ տաքացման ռեժիմում փորձարկումների (չափումների) ցիկլային միջակայքում օդորակիչի միջին էներգետիկ արդյունավետություն, որը հավասար է ցիկլային միջակայքում կՎտ ⋅ ժ-ով՝ սպառվող գումարային հզորության հարաբերությանը միևնույն միջակայքում Վտ ⋅ ժ-ով սպառվող մուտքային էլեկտրական հզորության նկատմամբ.
էներգետիկ արդյունավետություն հովացման ցիկլային (ընդհատուն) ռեժիմում (EERcyc)՝ հովացման ռեժիմում փորձարկումների (չափումների) ցիկլային միջակայքում օդորակիչի միջին էներգետիկ արդյունավետություն, որը հավասար է ցիկլային միջակայքում կՎտ ⋅ ժ-ով՝ սպառվող գումարային հզորության հարաբերությանը՝ միևնույն միջակայքում Վտ ⋅ ժ-ով սպառվող մուտքային էլեկտրական հզորության նկատմամբ.
տաքացման ռեժիմում էներգիայի տարեկան չափանմուշային սպառում (QH)՝ տաքացման ռեժիմում էներգիայի սպառում կՎտժ ⋅ /տարի-ով, որն օգտագործվում է SCOP-ը հաշվարկելու համար և որն ստացվում է տաքացման ռեժիմում նախագծային (անվանական) հզորությունը (բեռնվածքը) (PdesignH)՝ որոշակի ջեռուցման սեզոնի ընթացքում տաքացման ակտիվ ռեժիմում օդորակիչի (HHE) աշխատանքի ժամերի քանակի վրա բազմապատկելու միջոցով.
հովացման ռեժիմում էներգիայի տարեկան չափանմուշային սպառում (Qc)՝ հովացման ռեժիմում էներգիայի սպառում (կՎտժ ⋅ տարի-ով), որն օգտագործվում է SEER-ը հաշվարկելու համար և որն ստացվում է հովացման ռեժիմում նախագծային (անվանական) հզորությունը (բեռնվածքը) (PdesignC) ակտիվ ռեժիմում հովացման համարժեք ժամանակահատվածի (Hce) ժամերի քանակի վրա բազմապատկելու միջոցով.
չափանմուշային հաշվարկային ջերմաստիճան՝ հովացման ռեժիմում (TdesignC) կամ տաքացման ռեժիմում (TdesignH) օդորակիչի աշխատանքի դեպքում արտաքին օդի ջերմաստիճան՝ °С-ով, որի դեպքում մասնակի բեռնվածքի գործակիցը հավասար է մեկի և որը կոնկրետ սեզոնի համար է ընտրվում՝ պայմանավորված նրանով, թե օդորակիչն աշխատում է հովացման թե տաքացման ռեժիմում.
չափանմուշային հաշվարկային պայմաններ՝ չափանմուշային հաշվարկային ջերմաստիճանի, կրկնակի (պահուստային) տաքացման առավելագույն ջերմաստիճանի և աշխատանքային ջերմաստիճանի առավելագույն սահմանային արժեքի մասով պահանջների համակցություն:
III. Օդորակիչների և օդափոխիչների էներգետիկ արդյունավետությանը ներկայացվող պահանջներն ու էներգետիկ արդյունավետության ցուցանիշների որոշման առանձնահատկությունները
3. Հովացման ռեժիմում սեզոնային էներգետիկ արդյունավետությունը (SEER), տաքացման ռեժիմում սեզոնային էներգետիկ արդյունավետությունը (SCOP), հովացման ռեժիմում անվանական էներգետիկ արդյունավետությունը (EERrated), տաքացման ռեժիմում անվանական էներգետիկ արդյունավետությունը (COPrated), սպասման ռեժիմում սպառվող հզորությունը (PSB), անջատման ռեժիմում սպառվող հզորությունը (POFF) և օդորակիչների ու օդափոխիչների կառուցվածքային առանձնահատկությունները պետք է համապատասխանեն 1-3-րդ աղյուսակներում բերված պահանջներին:
Օդորակիչների էներգետիկ արդյունավետության պարամետրերին ներկայացվող պահանջները, բացի մի- և երկուղի օդորակիչներից, սահմանվում են չափանմուշային հաշվարկային պայմանների համար՝ ջեռուցման միջին սեզոնի պայմանների օգտագործմամբ (անհրաժեշտության դեպքում):
Մի- և երկուղի օդորակիչների էներգետիկ արդյունավետությանը ներկայացվող պահանջները սահմանվում են ստանդարտ անվանական պայմանների համար:
Աղյուսակ 1
Օդորակիչների էներգետիկ արդյունավետության նվազագույն թույլատրելի մակարդակներին ներկայացվող պահանջները
Рrated, կՎտ |
Սառնազդակի GWP-ը |
օդորակիչներ, բացի մի- և երկուղիններից |
միուղի օդորակիչներ |
երկուղի օդորակիչներ | |||
SEER |
SCOP-ը միջին ջեռուցման սեզոնի համար |
EERrated |
COPrated |
EERrated |
COPrated | ||
6-ից պակաս |
150-ից ավելի |
4,60 |
3,80 |
2,60 |
2,04 |
2,60 |
2,60 |
150-ից ոչ ավելի |
4,14 |
3,42 |
2,34 |
1,84 |
2,34 |
2,34 | |
6 ÷ 12 |
150-ից ավելի |
4,30 |
3,80 |
2,60 |
2,04 |
2,60 |
2,60 |
150-ից ոչ ավելի |
3,87 |
3,42 |
2,34 |
1,84 |
2,34 |
2,34 |
Աղյուսակ 2
Օդորակիչի ձայնային հզորության առավելագույն թույլատրելի մակարդակին ներկայացվող պահանջները
Ձայնային հզորության առավելագույն թույլատրելի մակարդակը, դԲ (Ա) | |||
Prated ≤ 6 կՎտ |
6 կՎտ < Prated ≤ 12 կՎտ | ||
տարածքի ներսում |
տարածքից դուրս |
տարածքի ներսում |
տարածքից դուրս |
60 |
65 |
65 |
70 |
Աղյուսակ 3
Մի- և երկուղի օդորակիչների ու օդափոխիչների համար անջատման և սպասման ռեժիմներում սպառվող հզորությանը ներկայացվող պահանջները
Ռեժիմներ |
Պահանջներ |
Անջատման ռեժիմ |
անջատման ռեժիմում սպառվող հզորությունը չպետք է գերազանցի 0,50 Վտ-ը: |
Սպասման ռեժիմ |
սպառվող հզորություն մի վիճակում, երբ ապահովվում է վերաակտիվացման ունակության (պատրաստության) ցուցանշմամբ կամ առանց ցուցանշման միայն վերաակտիվացման գործառույթի կատարումը, չպետք է գերազանցի 0,50 Վտ-ը |
սպառվող հզորություն մի վիճակում, երբ ապահովվում է միայն տեղեկացման կամ վիճակի արտապատկերման գործառույթի կամ տեղեկացման, կամ վիճակի արտապատկերման գործառույթի զուգակցմամբ վերաակտիվացման գործառույթի կատարումը, չպետք է գերազանցի 1,00 Վտ-ը: | |
Սպասման և (կամ) անջատման ռեժիմի առկայությունը |
բացառությամբ այն դեպքերի, երբ ըստ նշանակության ենթադրվող օգտագործման առանձնահատկություններով պայմանավորված՝ դա նպատակահարմար չէ, պետք է ապահովվի ցանցին միացված սարքի՝ սպասման և (կամ) անջատման ռեժիմի և (կամ) այլ ռեժիմի անցնելու հնարավորությունը, որում սպասման և (կամ) անջատման ռեժիմներում սպառվող հզորության սահմանային արժեքները չեն գերազանցվում: |
Էլեկտրասնուցման ռեժիմի կառավարումը |
սարքը պետք է ունենա էլեկտրասնուցման ռեժիմի կառավարման գործառույթ, որն ըստ նշանակության ենթադրվող օգտագործման համար բավարար նվազագույն ժամանակը լրանալուն պես ցանցին միացված սարքն ավտոմատ փոխարկում է սպասման և (կամ) անջատման ռեժիմի կամ այլ ռեժիմի, որի դեպքում սպասման և անջատման ռեժիմների համար էներգասպառման մակարդակը չի գերազանցվում՝ պայմանով, որ սարքն իր հիմնական գործառույթները չի կատարում և այլ էներգասպառող արտադրատեսակներ դրա աշխատանքից կախված չեն՝ բացառությամբ ըստ նշանակության ենթադրվող օգտագործման առանձնահատկություններով պայմանավորված՝ աննպատակահարմարության դեպքերի: Էլեկտրասնուցման ռեժիմի կառավարման գործառույթը պետք է ակտիվացվի մինչև սարքի շուկայահանումը: |
4. Հովացման SEER և տաքացման SCOP ռեժիմներում օդորակիչների էներգասպառումը և սեզոնային էներգետիկ արդյունավետությունը որոշելիս անհրաժեշտ է հաշվի առնել՝
4-րդ աղյուսակում բերված՝ ջերմաստիճանաժամանակային միջակայքերի (բիների) հովացման սեզոնը և (կամ) ջեռուցման սեզոնները.
5-րդ աղյուսակում բերված՝ չափանմուշային հաշվարկային պայմանները.
6-րդ աղյուսակում սահմանված՝ պայմանավորված շահագործման ժամանակով հաշվարկված՝ օդորակիչների աշխատանքի տարբեր ռեժիմների համար էներգասպառումը.
միացման/անջատման ցիկլերով (եթե կիրառելի է) պայմանավորված՝ արդյունավետության կորուստը՝ կախված հովացման և (կամ) տաքացման ռեժիմում հզորության կարգավորման տեսակից.
սեզոնով պայմանավորված՝ տաքացման ռեժիմում հզորության գործակիցների ճշգրտումն այն պայմաններում, որոնցում ջեռուցման անհրաժեշտ բեռնվածքն ապահովելու համար տաքացման համար հզորությունը չի բավարարում.
տաքացման ռեժիմում օդորակիչի սեզոնային էներգետիկ արդյունավետությունը հաշվարկելիս պահուստային տաքացման (եթե կիրառելի է) ներդրումը (բաժինը):
Աղյուսակ 4
Ջերմաստիճանաժամանակային միջակայքերը (բիները) հովացման և տաքացման ռեժիմում (j՝ բինի ցուցիչը, hj՝ ժամերը մեկ տարվա ընթացքում յուրաքանչյուր բինի համար, Tj՝ արտաքին օդի ջերմաստիճանն ըստ չոր ջերմաչափի)
Հովացման սեզոն |
Ջեռուցման սեզոններ | ||||||
բինի ցուցիչը, j |
Tj, °C |
hj, ժ/տարի |
բինի ցուցիչը, j |
Tj, °C |
hj, ժ/տարի | ||
միջին |
ավելի տաք |
ավելի ցուրտ | |||||
1 |
17 |
205 |
1 ÷ 8 |
- 30 ÷ - 23 |
0 |
0 |
0 |
2 |
18 |
227 |
9 |
- 22 |
0 |
0 |
1 |
3 |
19 |
225 |
10 |
- 21 |
0 |
0 |
6 |
4 |
20 |
225 |
11 |
- 20 |
0 |
0 |
13 |
5 |
21 |
216 |
12 |
- 19 |
0 |
0 |
17 |
6 |
22 |
215 |
13 |
- 18 |
0 |
0 |
19 |
7 |
23 |
218 |
14 |
- 17 |
0 |
0 |
26 |
8 |
24 |
197 |
15 |
- 16 |
0 |
0 |
39 |
9 |
25 |
178 |
16 |
- 15 |
0 |
0 |
41 |
10 |
26 |
158 |
17 |
- 14 |
0 |
0 |
35 |
11 |
27 |
137 |
18 |
- 13 |
0 |
0 |
52 |
12 |
28 |
109 |
19 |
- 12 |
0 |
0 |
37 |
13 |
29 |
88 |
20 |
- 11 |
0 |
0 |
41 |
14 |
30 |
63 |
21 |
- 10 |
1 |
0 |
43 |
15 |
31 |
39 |
22 |
- 9 |
25 |
0 |
54 |
16 |
32 |
31 |
23 |
- 8 |
23 |
0 |
90 |
17 |
33 |
24 |
24 |
- 7 |
24 |
0 |
125 |
18 |
34 |
17 |
25 |
- 6 |
27 |
0 |
169 |
19 |
35 |
13 |
26 |
- 5 |
68 |
0 |
195 |
20 |
36 |
9 |
27 |
- 4 |
91 |
0 |
278 |
21 |
37 |
4 |
28 |
- 3 |
89 |
0 |
306 |
22 |
38 |
3 |
29 |
- 2 |
165 |
0 |
454 |
23 |
39 |
1 |
30 |
- 1 |
173 |
0 |
385 |
24 |
40 |
0 |
31 |
0 |
240 |
0 |
490 |
ԸՆԴԱՄԵՆԸ՝ |
2 602 |
32 |
1 |
280 |
0 |
533 | |
33 |
2 |
320 |
3 |
380 | |||
34 |
3 |
357 |
22 |
228 | |||
35 |
4 |
356 |
63 |
261 | |||
36 |
5 |
303 |
63 |
279 | |||
37 |
6 |
330 |
175 |
229 | |||
38 |
7 |
326 |
162 |
269 | |||
39 |
8 |
348 |
259 |
233 | |||
40 |
9 |
335 |
360 |
230 | |||
41 |
10 |
315 |
428 |
243 | |||
42 |
11 |
215 |
430 |
191 | |||
43 |
12 |
169 |
503 |
146 | |||
44 |
13 |
151 |
444 |
150 | |||
45 |
14 |
105 |
384 |
97 | |||
46 |
15 |
74 |
294 |
61 | |||
ԸՆԴԱՄԵՆԸ՝ |
4 910 |
3 590 |
6 446 |
Աղյուսակ 5
Չափանմուշային հաշվարկային պայմանները (ջերմաստիճանն ըստ չոր ջերմաչափի. փակագծերում՝ ջերմաստիճանն ըստ խոնավ ջերմաչափի)
Գործառույթ/սեզոն |
Օդի ջերմաստիճանը տարածքում, °C Tin |
Արտաքին օդի ջերմաստիճանը, °C TdesignC/TdesignH |
Պահուստային տաքացման ջերմաստիճանը, °C Tbiv |
Աշխատանքային ջերմաստիճանի սահմանային արժեքը, °C Tol |
Հովացում |
27 (19) |
TdesignC = 35 (24) |
- |
- |
Տաքացում/միջին |
20 (15) |
TdesignH = -10 (-11) |
առավել. 2 |
առավել. -7 |
Տաքացում/ավելի տաք |
TdesignH = 2 (1) |
առավել. 7 |
առավել. 2 | |
Տաքացում/ավելի ցուրտ |
TdesignH = -22 (-23) |
առավել. -7 |
առավել. -15 |
Հովացման և (կամ) տաքացման ռեժիմում էներգասպառումը հաշվարկելիս հարկավոր է հաշվի առնել էներգասպառումը բոլոր համապատասխան աշխատանքի ռեժիմներում՝ 5-րդ աղյուսակին համապատասխան՝ հաշվի առնելով յուրաքանչյուր ռեժիմի համար 6-րդ աղյուսակում բերված շահագործման ժամանակը:
EERrated հովացման ռեժիմում և, անհրաժեշտության դեպքում, COPrated տաքացման ռեժիմում սեզոնային անվանական էներգետիկ արդյունավետությունը որոշվում է մի- և երկուղի օդորակիչների համար՝ 7-րդ աղյուսակում բերված ստանդարտ անվանական պայմանների համար:
Աղյուսակ 6
Շահագործման ժամանակը՝ յուրաքանչյուր տեսակի օդորակիչների և էներգասպառումը հաշվարկելու համար օգտագործվող գործառույթների համար
Օդորակիչի տեսակը/գործառույթը (առկայության դեպքում) |
Չափման միավոր |
Ջեռուցման սեզոն |
Ակտիվ ռեժիմ, HCE1) և HHE2) |
HTO3) |
HSB4) |
HOFF5) |
HCK6) | |
1 |
2 |
3 |
4 |
5 |
6 |
7 |
8 | |
I. Օդորակիչներ (բացառությամբ մի- և երկուղի օդորակիչների) | ||||||||
Ռեժիմ HCE, եթե առկա է միայն HCE |
ժ/տարի |
350 |
221 |
2142 |
5088 |
7760 | ||
Ռեժիմ HCE և HHE (առկայության դեպքում)) |
HCE |
ժ/տարի |
350 |
221 |
2142 |
0 |
2672 | |
HHE |
ժ/տարի |
միջին |
1400 |
179 |
0 |
0 |
179 | |
ավելի տաք |
1400 |
755 |
0 |
0 |
755 | |||
ավելի ցուրտ |
2100 |
131 |
0 |
0 |
131 | |||
Ռեժիմ HHE, եթե տաքացման գործառույթն է միայն առկա |
ժ/տարի |
միջին |
1400 |
179 |
0 |
3672 |
3851 | |
ավելի տաք |
1400 |
755 |
0 |
4345 |
4476 | |||
ավելի ցուրտ |
2100 |
131 |
0 |
2189 |
2944 | |||
II. Երկուղի օդորակիչներ | ||||||||
Ռեժիմ HCE, եթե առկա է միայն HCE |
60 ժ/րոպե |
1 |
- |
- |
- |
- | ||
Ռեժիմներ HCE և HHE (առկայության դեպքում) |
HCE |
60 ժ/րոպե |
1 |
- |
- |
- |
- | |
HHE |
60 ժ/րոպե |
1 |
- |
- |
- |
- | ||
Ռեժիմ HHE, եթե առկա է միայն HHE |
60 ժ/րոպե |
1 |
- |
- |
- |
- | ||
III. Միուղի օդորակիչներ | ||||||||
Հովացման ռեժիմ |
60 ժ/րոպե |
1 |
- |
- |
- |
- | ||
Տաքացման ռեժիմ |
60 ժ/րոպե |
1 |
- |
- |
- |
- |
1) Հովացման ռեժիմ:
2) Տաքացման ռեժիմ:
3) Սպասման ռեժիմ:
4) Անջատման ռեժիմ:
5) Անջատված ջերմակարգավորիչով ռեժիմ:
6) Հենատուփային տաքացմամբ ռեժիմ:
Աղյուսակ 7
Ստանդարտ անվանական պայմանները (ջերմաստիճանն ըստ չոր ջերմաչափի. փակագծերում՝ ջերմաստիճանն ըստ խոնավ ջերմաչափի)
Սարք |
Գործառույթ |
Օդի ջերմաստիճանը տարածքում, °С |
Արտաքին օդի ջերմաստիճանը, °С |
Օդորակիչներ (բացի միուղիներից) |
հովացում |
27 (19) |
35 (24) |
տաքացում |
20 (առավել. 15) |
7(6) | |
Միուղի օդորակիչներ |
հովացում |
35 (24)* |
35 (24)* |
տաքացում |
20 (12)* |
20 (12)* |
* Միուղի օդորակիչներում կոնդենսատորը կամ գոլորշիչը (համապատասխանաբար հովացման կամ տաքացման դեպքում) շրջափչվում է ոչ թե արտաքին օդով, այլ տարածքի օդով
Օդափոխիչների էներգետիկ արդյունավետությունը որոշվում է սպառվող անվանական հզորության նկատմամբ օդափոխիչի կողմից ստեղծվող օդի անվանական հոսքի հարաբերության հիման վրա:
5. Օդորակիչներին և օդափոխիչներին կցվող փաստաթղթերի` «Էներգասպառող սարքվածքների էներգետիկ արդյունավետությանը ներկայացվող պահանջների մասին» Եվրասիական տնտեսական միության տեխնիկական կանոնակարգի (ԵԱՏՄ ՏԿ 048/2019) (այսուհետ` տեխնիկական կանոնակարգ) 28-րդ կետի «ա» ենթակետին կամ 29-րդ կետի «ա» ենթակետին համապատասխանության հայտարարագրման` հայտատուի կողմից ընտրված սխեման հաշվի առնելով` նշված հավաքակազմն օդորակիչների և օդափոխիչների համար պետք է լրացուցիչ պարունակի 8-10 աղյուսակներում ներկայացված տեղեկատվությունը:
Աղյուսակ 8
Գործառույթների առկայությամբ պայմանավորված՝ շահագործման փաստաթղթերում նշելու ենթակա՝ օդափոխիչների մասին տեղեկատվությունը
Պարամետր |
Նշագիրը |
Արժեքը |
Չափման միավորները |
Օդի առավելագույն հոսքը |
F |
x,x |
մ3/ր |
Սպառվող հզորությունը |
P |
x,x |
Վտ |
Շահագործման ցուցանիշը |
SV |
x,x |
(մ3/ր)/Վտ |
Սպասման ռեժիմում սպառվող հզորությունը |
PSB |
x,x |
Վտ |
Օդափոխիչի ձայնային հզորության մակարդակը |
LWA |
(x) |
դԲ(Ա) |
Օդային հոսքի առավելագույն արագությունը |
c |
x,x |
մ/վրկ |
* աղյուսակի վանդակներում «х» տասնորդական նիշերի քանակը համապատասխանում է տվյալների պահանջվող ճշգրտությանը
Աղյուսակ 9
Շահագործման փաստաթղթերում նշելու ենթակա՝ օդորակիչների մասին տեղեկատվությունը (բացառությամբ մի- և երկուղի օդորակիչների)
ԳՈՐԾԱՌՈՒՅԹ (բացակայության դեպքում նշվում է «ոչ») |
ՏԱՔԱՑՄԱՆ ԳՈՐԾԱՌՈՒՅԹԻ ՀԱՄԱՐ (առկայության դեպքում, միջին ռեժիմը պարտադիր է) | ||||||||||||||||||||||||||||||||||||||||||||||||||||||||||||||||||
պարամետր |
նշանակում |
արժեք |
չափման միավոր |
պարամետր |
նշանակում |
արժեք |
չափման միավոր | ||||||||||||||||||||||||||||||||||||||||||||||||||||||||||||
Նախագծային (անվանական) հզորությունը |
Սեզոնային էներգետիկ արդյունավետությունը |
||||||||||||||||||||||||||||||||||||||||||||||||||||||||||||||||||
հովացում |
PdesignC |
x,x |
կՎտ |
հովացում |
SEER |
x,x |
- | ||||||||||||||||||||||||||||||||||||||||||||||||||||||||||||
տաքացում/միջին |
PdesignH |
x,x |
կՎտ |
տաքացում/միջին |
SCOPմիջին |
x,x |
- | ||||||||||||||||||||||||||||||||||||||||||||||||||||||||||||
տաքացում/ավելի տաք |
PdesignH |
x,x |
կՎտ |
տաքացում/ավելի տաք |
SCOPավելի տաք |
x,x |
- | ||||||||||||||||||||||||||||||||||||||||||||||||||||||||||||
տաքացում/ավելի ցուրտ |
PdesignH |
x,x |
կՎտ |
տաքացում/ավելի ցուրտ |
SCOPավելի ցուրտ |
x,x |
- | ||||||||||||||||||||||||||||||||||||||||||||||||||||||||||||
Հայտարարված հզորությունը *հովացման ռեժիմում Tin= 27(19) °C դեպքում հետևյալ Tj-ի համար |
Հայտարարված էներգետիկ արդյունավետությունը *հովացման ռեժիմում Tin= 27(19) °C դեպքում հետևյալ Tj-ի համար | ||||||||||||||||||||||||||||||||||||||||||||||||||||||||||||||||||
Tj = 35 °C |
Pdc |
x,x |
կՎտ |
Tj = 35 °C |
EERd |
x,x |
- | ||||||||||||||||||||||||||||||||||||||||||||||||||||||||||||
Tj j = 30 °C |
Pdc |
x,x |
կՎտ |
Tj j = 30 °C |
EERd |
x,x |
- | ||||||||||||||||||||||||||||||||||||||||||||||||||||||||||||
Tj = 25 °C |
Pdc |
x,x |
կՎտ |
Tj = 25 °C |
EERd |
x,x |
- | ||||||||||||||||||||||||||||||||||||||||||||||||||||||||||||
Tj = 20 °C |
Pdc |
x,x |
կՎտ |
Tj = 20 °C |
EERd |
x,x |
- | ||||||||||||||||||||||||||||||||||||||||||||||||||||||||||||
Հայտարարված հզորությունը *տաքացման ռեժիմում ջեռուցման միջին սեզոնի համար Tin= 20 °C դեպքում՝ հետևյալ Tj-ի համար |
Հայտարարված էներգետիկ արդյունավետությունը տաքացման ռեժիմում ջեռուցման միջին սեզոնի համար Tin= 20 °C դեպքում՝ հետևյալ Tj-ի համար | ||||||||||||||||||||||||||||||||||||||||||||||||||||||||||||||||||
Tj = -7 °C |
Pdh |
x,x |
կՎտ |
Tj = -7 °C |
COPd |
x,x |
- | ||||||||||||||||||||||||||||||||||||||||||||||||||||||||||||
Tj = 2 °C |
Pdh |
x,x |
կՎտ |
Tj = 2 °C |
COPd |
x,x |
- | ||||||||||||||||||||||||||||||||||||||||||||||||||||||||||||
Tj = 7 °C |
Pdh |
x,x |
կՎտ |
Tj = 7 °C |
COPd |
x,x |
- | ||||||||||||||||||||||||||||||||||||||||||||||||||||||||||||
Tj = 12 °C |
Pdh |
x,x |
կՎտ |
Tj = 12 °C |
COPd |
x,x |
- | ||||||||||||||||||||||||||||||||||||||||||||||||||||||||||||
Tj = Tbiv |
Pdh |
x,x |
կՎտ |
Tj = Tbiv |
COPd |
x,x |
- | ||||||||||||||||||||||||||||||||||||||||||||||||||||||||||||
Tj = Tol |
Pdh |
x,x |
կՎտ |
Tj = Tol |
COPd |
x,x |
- | ||||||||||||||||||||||||||||||||||||||||||||||||||||||||||||
Հայտարարված հզորությունը *տաքացման ռեժիմում ջեռուցման ավելի տաք սեզոնի համար Tin= 20 °C դեպքում՝ հետևյալ Tj-ի համար |
Հայտարարված էներգետիկ արդյունավետությունը տաքացման ռեժիմում ջեռուցման ավելի տաք սեզոնի համար Tin= 20 °C դեպքում՝ հետևյալ Tj-ի համար | ||||||||||||||||||||||||||||||||||||||||||||||||||||||||||||||||||
Tj = 2 °C |
Pdh |
x,x |
կՎտ |
Tj = 2 °C |
COPd |
x,x |
- | ||||||||||||||||||||||||||||||||||||||||||||||||||||||||||||
Tj = 7 °C |
Pdh |
x,x |
կՎտ |
Tj = 7 °C |
COPd |
x,x |
- | ||||||||||||||||||||||||||||||||||||||||||||||||||||||||||||
Tj = 12 °C |
Pdh |
x,x |
կՎտ |
Tj = 12 °C |
COPd |
x,x |
- | ||||||||||||||||||||||||||||||||||||||||||||||||||||||||||||
Tj = Tbiv |
Pdh |
x,x |
կՎտ |
Tj = Tbiv |
COPd |
x,x |
- | ||||||||||||||||||||||||||||||||||||||||||||||||||||||||||||
Tj = Tol |
Pdh |
x,x |
կՎտ |
Tj = Tol |
COPd |
x,x |
- | ||||||||||||||||||||||||||||||||||||||||||||||||||||||||||||
Հայտարարված հզորությունը *տաքացման ռեժիմում «ավելի ցուրտ» ջեռուցման սեզոնի համար Tin= 20 °C դեպքում՝ հետևյալ Tj-ի համար
Կրկնակի (պահուստային) տաքացման ջերմաստիճանը Tbiv |
Հայտարարված էներգետիկ արդյունավետությունը տաքացման ռեժիմում «ավելի ցուրտ» ջեռուցման սեզոնի համար Tin= 20 °C դեպքում՝ հետևյալ Tj-ի համար
Աշխատանքային ջերմաստիճանի սահմանային արժեքը, Tol | ||||||||||||||||||||||||||||||||||||||||||||||||||||||||||||||||||
տաքացում/միջին |
Tbiv |
x |
°С |
տաքացում/միջին |
Tol |
x |
°C | ||||||||||||||||||||||||||||||||||||||||||||||||||||||||||||
տաքացում/ավելի տաք |
Tbiv |
x |
°С |
տաքացում/ավելի տաք |
Tol |
x |
°C | ||||||||||||||||||||||||||||||||||||||||||||||||||||||||||||
տաքացում/ավելի ցուրտ |
Tbiv |
x |
°С |
տաքացում/ավելի ցուրտ |
Tol |
x |
°C | ||||||||||||||||||||||||||||||||||||||||||||||||||||||||||||
Աշխատանքի ցիկլային (ընդհատուն) ռեժիմի ժամանակ հզորությունը |
Աշխատանքի ցիկլային (ընդհատուն) ռեժիմի ժամանակ էներգետիկ արդյունավետությունը | ||||||||||||||||||||||||||||||||||||||||||||||||||||||||||||||||||
Հովացման ռեժիմում |
PcycC |
x,x |
կՎտ |
Հովացման ռեժիմում |
EERcyc |
x,x |
- | ||||||||||||||||||||||||||||||||||||||||||||||||||||||||||||
Տաքացման ռեժիմում |
PcycH |
x,x |
կՎտ |
Տաքացման ռեժիմում |
COPcyc |
x,x |
- | ||||||||||||||||||||||||||||||||||||||||||||||||||||||||||||
Հովացման արդյունավետության կորստի գործակիցը |
Cdc |
x,x |
- |
Տաքացման արդյունավետության կորստի գործակիցը |
Cdh |
x,x |
- | ||||||||||||||||||||||||||||||||||||||||||||||||||||||||||||
Սպառվող հզորությունն ակտիվ ռեժիմից տարբերվող այլ ռեժիմներում |
Տարեկան էներգասպառումը | ||||||||||||||||||||||||||||||||||||||||||||||||||||||||||||||||||
Անջատման ռեժիմ |
POFF |
x,x |
կՎտ |
հովացում |
QCE |
x |
կՎտ ⋅ ժ/տարի | ||||||||||||||||||||||||||||||||||||||||||||||||||||||||||||
Սպասման հզորություն |
PSB |
x,x |
կՎտ |
տաքացում/միջին |
QHE |
x |
կՎտ ⋅ ժ/տարի | ||||||||||||||||||||||||||||||||||||||||||||||||||||||||||||
Անջատված ջերմապահպանիչով ռեժիմ |
PTO |
x,x |
կՎտ |
տաքացում/ավելի տաք |
QHE |
x |
|||||||||||||||||||||||||||||||||||||||||||||||||||||||||||||
Հենատուփային տաքացմամբ ռեժիմ |
PCK |
x,x |
կՎտ |
տաքացում/ավելի ցուրտ |
QHE |
x |
կՎտժ/տարի | ||||||||||||||||||||||||||||||||||||||||||||||||||||||||||||
Հզորության կարգավորում (նշվում է երեքից մեկը) |
Այլ | ||||||||||||||||||||||||||||||||||||||||||||||||||||||||||||||||||
Ֆիքսված |
առկա է/առկա չէ |
Ձայնային հզորության մակարդակը (***) |
LWA |
x,x/x,x |
դԲ(Ա) | ||||||||||||||||||||||||||||||||||||||||||||||||||||||||||||||
Աստիճանավոր |
առկա է/առկա չէ |
Գլոբալ տաքացման ներուժը |
GWP |
x |
կգ CO2 | ||||||||||||||||||||||||||||||||||||||||||||||||||||||||||||||
Կարգավորվող |
առկա է/առկա չէ |
Օդի անվանական հոսքը |
- |
x/x |
մ3/ժ |
Ծանոթագրություն.
Աղյուսակի վանդակներում «х» տասնորդական նիշերի քանակը համապատասխանում է տվյալների պահանջվող ճշգրտությանը:
* Հզորության աստիճանական կարգավորմամբ սարքերի համար «Հայտարարված հզորությունը» և «Հայտարարված էներգետիկ արդյունավետությունը» բաժնի յուրաքանչյուր վանդակում հարկավոր է նշել EER և (կամ) COP արժեքները, որոնք բաժանված են «/» նշանի միջոցով՝ հզորության կարգավորման աստիճանների երկուսից յուրաքանչյուրի համար:
** Եթե սկզբնադիր ընտրվում է Cd = 0,25, ապա ցիկլային ռեժիմում փորձարկումների անցկացում (և դրանց արդյունքները) չի պահանջվում: Այլ դեպքում պահանջվում է նշել արժեքը՝ հովացման և (կամ) տաքացման ռեժիմում ցիկլային փորձարկման համար:
*** Ներսում/դրսում ձայնային հզորության մակարդակը:
Աղյուսակ 10
Մի- և երկուղի օդորակիչների մասին տեղեկատվությունը (պայմանավորված գործառույթների առկայությամբ)
Պարամետր |
Նշագիրը |
Պարամետրի արժեքը |
Չափման միավորները |
Հովացման ռեժիմում անվանական հզորությունը |
հովացման ռեժիմում Prated |
x,x |
կՎտ |
Տաքացման ռեժիմում անվանական հզորությունը |
տաքացման ռեժիմում Prated |
x,x |
կՎտ |
Հովացման ռեժիմում մուտքային անվանական հզորությունը |
PEER |
x,x |
կՎտ |
Տաքացման ռեժիմում մուտքային անվանական հզորությունը |
PCOP |
x,x |
կՎտ |
Հովացման ռեժիմում անվանական էներգետիկ արդյունավետությունը |
EERd |
x,x |
- |
Տաքացման ռեժիմում անվանական էներգետիկ արդյունավետությունը |
COPd |
x,x |
- |
Անջատված ջերմակարգավորիչով ռեժիմում սպառվող հզորությունը |
PTO |
x,x |
Վտ |
Սպասման ռեժիմում սպառվող հզորությունը |
PSB |
x,x |
Վտ |
Հովացման և տաքացման ռեժիմում մի- և երկուղի (SD և DD) օդորակիչների էներգասպառումը |
DD-ի համար՝ QDD SD-ի համար՝ QSD |
DD-ի համար՝ x SD-ի համար՝ xx |
DD-ի համար՝ կՎտ ⋅ ժ/տարի |
Ձայնային հզորության մակարդակը |
LWA |
x |
դԲ(Ա) |
Գլոբալ տաքացման ներուժը |
GWP |
x |
կգ CO2 |
Միուղի օդորակիչները մակնշվում են որպես «տեղային տեղադրման համար օդորակիչներ»:
6. Եթե ներքին և արտաքին բլոկների համակցություններից կազմված՝ օդորակիչի որոշակի մոդելի վերաբերյալ տեղեկատվությունն ստացվել է կառուցվածքային տեսակի և (կամ) այլ համակցությունների արտարկման հիման վրա հաշվարկների միջոցով, ապա սույն պահանջների 5-րդ կետում նշված՝ փաստաթղթերի հավաքակազմի մեջ լրացուցիչ պետք է ներառվեն հաշվարկների և (կամ) արտարկումների մասին մանրամասն տեղեկությունները, ինչպես նաև հաշվարկների ճշգրտությունը ստուգելու ուղղությամբ փորձարկումների արձանագրությունները (հստակ տվյալներ՝ այդպիսի համակցությունների հզորության հաշվարկի մաթեմատիկական մոդելի և տվյալ մոդելի ճշգրտությունը ստուգելու համար անցկացվող չափումների համար):
IV. Օդորակիչների և օդափոխիչների էներգետիկ արդյունավետության պարամետրերի թույլատրելի շեղումները շրջանառության մեջ դնելուց հետո դրանց փորձարկումներ (չափումներ) անցկացնելիս
7. Միության մաքսային տարածքում շրջանառության մեջ դնելուց հետո օդորակիչների էներգետիկ արդյունավետության պարամետրերի փորձարկումներ (չափումներ) անցկացնելու դեպքում անցկացվում են օդորակիչի մոդելի մեկ նմուշի (օրինակի) փորձարկումներ (չափումներ):
Օդորակիչի մոդելը, բացի մի- և երկուղի օդորակիչներից, համարվում է սույն պահանջներին համապատասխանող, եթե չափումների արդյունքում ստացված՝ հովացման SEER և (կամ) տաքացման SCOP (առկայության դեպքում) ռեժիմներում սեզոնային էներգետիկ արդյունավետության արժեքը պակաս չէ, քան արտադրողի կողմից հայտարարված արժեքը օդորակիչի նշված հզորության դեպքում՝ հանած 8 %-ը:
Մի- և երկուղի օդորակիչի մոդելը համարվում է սույն պահանջներին համապատասխանող, եթե չափումների արդյունքում ստացված՝ սպասման և անջատման ռեժիմներում էներգասպառման արժեքները չեն գերազանցում սահմանային թույլատրելի մակարդակներն ավելի քան 10%-ով, և եթե հովացման EERrated և (կամ) տաքացման COPrated (առկայության դեպքում) ռեժիմներում անվանական էներգետիկ արդյունավետությունը պակաս չէ, քան արտադրողի կողմից հայտարարված արժեքները՝ հանած 10%-ը:
Օդորակիչի մոդելը համարվում է սույն պահանջներին համապատասխանող, եթե ձայնային հզորության առավելագույն մակարդակն ոչ ավելի, քան 2 դԲ(Ա)-ով գերազանցում է հայտարարված արժեքը:
8. Եթե սույն պահանջների 7-րդ կետում նշված արդյունքը չի ստացվել, ապա ստուգվում է տվյալ մոդելի օդորակիչի պատահականորեն ընտրված 3 նմուշ:
Օդորակիչի մոդելը, բացի մի- և երկուղի օդորակիչներից, համարվում է սույն պահանջներին համապատասխանող, եթե փորձարկված 3 նմուշների մասով հովացման SEER և տաքացման SCOP (առկայության դեպքում)ռեժիմներում սեզոնային էներգետիկ արդյունավետության միջին արժեքը պակաս չէ, քան հայտարարված արժեքը օդորակիչի նշված հզորության դեպքում՝ հանած 8 %-ը:
Այլ դեպքերում օդորակիչի մոդելը հարկավոր է դիտարկել որպես տեխնիկական կանոնակարգի պահանջներին չհամապատասխանող։
Մի- և երկուղի օդորակիչի մոդելը համարվում է սույն պահանջներին համապատասխանող, եթե 3 փորձարկված նմուշների մասով սպասման և անջատման ռեժիմներում էներգասպառման միջին արժեքները չեն գերազանցում սահմանային թույլատրելի արժեքներն ավելի քան 10%-ով, և եթե հովացման EERrated և տաքացման COPrated (առկայության դեպքում) ռեժիմներում անվանական էներգետիկ արդյունավետության միջին արժեքը պակաս չէ, քան արտադրողի կողմից հայտարարված արժեքները՝ հանած 10%-ը:
Այլ դեպքերում օդորակիչի մոդելը հարկավոր է դիտարկել որպես տեխնիկական կանոնակարգի պահանջներին չհամապատասխանող։
Օդորակիչի մոդելը համարվում է սույն պահանջներին համապատասխանող, եթե փորձարկված 3 նմուշների ձայնային հզորության առավելագույն մակարդակի միջին արժեքը գերազանցում է արտադրողի կողմից հայտարարված արժեքը ոչ ավելի, քան 2 դԲ(Ա)-ով:
Այլ դեպքերում օդորակիչի տվյալ մոդելը հարկավոր է դիտարկել որպես տեխնիկական կանոնակարգի պահանջներին չհամապատասխանող։
9. Միության մաքսային տարածքում շրջանառության մեջ դնելուց հետո օդափոխիչների էներգետիկ արդյունավետության պարամետրերի փորձարկումներ (չափումներ) անցկացնելու դեպքում անցկացվում են օդափոխիչի մոդելի մեկ նմուշի (օրինակի) փորձարկումներ (չափումներ)։
Օդափոխիչի մոդելը համարվում է սույն պահանջներին համապատասխանող, եթե սույն պահանջների 3-րդ աղյուսակում նշված՝ չափումների արդյունքում ստացված՝ օդափոխիչի նմուշի պարամետրերի և բնութագրերի արժեքներն արտադրողի կողմից հայտարարված անվանական արժեքներից ավելի քան 15 %-ով չեն տարբերվում:
Այլ դեպքերում ստուգվում է օդափոխիչի ևս 3 նմուշ: Օդափոխիչի մոդելը համարվում է սույն պահանջներին համապատասխանող, եթե այդ 3 նմուշների չափումների արդյունքների միջին արժեքը համապատասխանում է սույն կետի նախորդ երկրորդ պարբերությունում նշված պահանջներին:
Այլ դեպքերում օդափոխիչի տվյալ մոդելը հարկավոր է դիտարկել որպես տեխնիկական կանոնակարգի պահանջներին չհամապատասխանող։
V. Օդորակիչների պիտակի և տեխնիկական թերթիկի բովանդակությունը
Էներգետիկ արդյունավետության մասով օդորակիչների պիտակի բովանդակությունը` բացառությամբ մի- և երկուղի օդորակիչների
10. Էներգետիկ արդյունավետության մասով դարձափոխային օդորակիչների պիտակը պետք է պարունակի հետևյալ տեղեկությունները`
I. արտադրողի անվանումը կամ ապրանքային նշանը (առկայության դեպքում).
II. մոդելի նշագիրը.
III. «հովացման ռեժիմ» տեքստը և «կապույտ օդափոխիչ» պատկերագիրը` հովացման ռեժիմի բնութագրերը.
«տաքացման ռեժիմ» տեքստը և «կարմիր օդափոխիչ» պատկերագիրը` տաքացման ռեժիմի բնութագրերը.
IV. հովացման և տաքացման ռեժիմի համար էներգետիկ արդյունավետության դասը:
Էներգետիկ արդյունավետության պատկերագիրը զետեղվում է նույն մակարդակում, ինչ էներգետիկ արդյունավետության դասին համապատասխանող սլաքը:
Պետք է նշվի նաև էներգետիկ արդյունավետությունը հովացման համար և տաքացման համար: Տաքացման մասով հարկավոր է պարտադիր նշել էներգետիկ արդյունավետությունը տաքացման միջին ժամանակահատվածի համար: Էներգետիկ արդյունավետությունն ավելի տաք և ավելի սառը ժամանակահատվածների համար նշվում է ըստ ցանկության.
V. անվանական հզորությունը հովացման և տաքացման ռեժիմում (կՎտ-ներով) (մինչև մեկ տասնորդական նիշ կլորացմամբ).
VI. սեզոնային էներգետիկ արդյունավետությունը հովացման և տաքացման ռեժիմում (մինչև մեկ տասնորդական նիշ կլորացմամբ).
VII. էներգիայի տարեկան սպառումը հովացման և տաքացման ռեժիմում (կՎտ ⋅ ժ-ով) (մինչև ամբողջ թիվ կլորացմամբ).
VIII. ձայնային հզորության ճշգրտված մակարդակն արտաքին և ներքին բլոկների համար` արտահայտված 1 պՎտ-ի նկատմամբ դԲ (Ա)-ներով (մինչև ամբողջ թիվ կլորացմամբ) (նշվում է դԲ-ներով):
11. Էներգետիկ արդյունավետության մասով օդի հովացման օդորակիչների պիտակը պետք է պարունակի հետևյալ տեղեկությունները`
I. արտադրողի անվանումը կամ ապրանքային նշանը (առկայության դեպքում).
II. մոդելի նշագիրը.
III. «հովացման ռեժիմ» տեքստը և «կապույտ օդափոխիչ» պատկերագիրը` հովացման ռեժիմի բնութագրերը և օդային ալիքի նշագիրը.
IV. էներգետիկ արդյունավետության դասը.
V. անվանական հզորությունը (կՎտ-ներով) (մինչև մեկ տասնորդական նիշ կլորացմամբ).
VI. անվանական էներգետիկ արդյունավետությունը (մինչև մեկ տասնորդական նիշ կլորացմամբ).
VII. հովացման համար էներգիայի տարեկան սպառումը (կՎտ/ժ-երով) (մինչև ամբողջ թիվ կլորացմամբ).
VIII. ձայնային հզորության ճշգրտված մակարդակն արտաքին և ներքին բլոկների համար` արտահայտված 1 պՎտ-ի նկատմամբ դԲ (Ա)-ներով (մինչև ամբողջ թիվ կլորացմամբ) (նշվում է դԲ-ներով):
12. Էներգետիկ արդյունավետության մասով օդի տաքացման օդորակիչների պիտակը պետք է պարունակի հետևյալ տեղեկությունները`
I. արտադրողի անվանումը կամ ապրանքային նշանը (առկայության դեպքում).
II. մոդելի նշագիրը.
III. «տաքացման ռեժիմ» տեքստը և «կարմիր օդափոխիչ» պատկերագիրը` տաքացման ռեժիմի բնութագրերը և օդային ալիքի նշագիրը.
IV. էներգետիկ արդյունավետության դասը.
V. անվանական հզորությունը (կՎտ-ներով) (մինչև մեկ տասնորդական նիշ կլորացմամբ).
VI. սեզոնային էներգետիկ արդյունավետությունը (մինչև մեկ տասնորդական նիշ կլորացմամբ).
VII. էներգիայի տարեկան սպառումը (կՎտ ⋅ ժ-/տ-ներով) (մինչև ամբողջ թիվ կլորացմամբ).
VIII. ձայնային հզորության ճշգրտված մակարդակն արտաքին և ներքին բլոկների համար` արտահայտված 1 պՎտ-ի նկատմամբ դԲ (Ա)-ներով (մինչև ամբողջ թիվ կլորացմամբ) (նշվում է դԲ-ներով):
Էներգետիկ արդյունավետության մասով մի- և երկուղի օդորակիչների պիտակի բովանդակությունը
13. Էներգետիկ արդյունավետության մասով օդորակիչի պիտակը պետք է պարունակի հետևյալ տեղեկությունները`
I. արտադրողի անվանումը կամ ապրանքային նշանը (առկայության դեպքում).
II. մոդելի նշագիրը.
III. «հովացման ռեժիմ» տեքստը և «կապույտ օդափոխիչ» պատկերագիրը` հովացման ռեժիմի բնութագրերը և օդային ալիքի նշագիրը.
«տաքացման ռեժիմ» տեքստը և «կարմիր օդափոխիչ» պատկերագիրը` տաքացման ռեժիմի բնութագրերը.
IV. հովացման և տաքացման ռեժիմների համար էներգետիկ արդյունավետության դասերը.
V. անվանական հզորությունը հովացման և տաքացման ռեժիմում (կՎտ-ներով) (մինչև մեկ տասնորդական նիշ կլորացմամբ).
VI. անվանական էներգետիկ արդյունավետությունը հովացման և տաքացման ռեժիմում (մինչև մեկ տասնորդական նիշ կլորացմամբ).
VII. էներգիայի ամենժամյա սպառումը հովացման և տաքացման համար (կՎտ ⋅ ժ/ժ-երով) (միուղի օդորակիչների համար` մինչև մեկ տասնորդական նիշ կլորացմամբ կամ երկուղի օդորակիչների համար` մինչև ամբողջ թիվ կլորացմամբ).
VIII. ձայնային հզորության ճշգրտված մակարդակն արտաքին և ներքին բլոկների համար` արտահայտված 1 պՎտ-ի նկատմամբ դԲ (Ա)-ներով (մինչև ամբողջ թիվ կլորացմամբ) (նշվում է դԲ-ներով):
14. Էներգետիկ արդյունավետության մասով օդի հովացման օդորակիչի պիտակը պետք է պարունակի հետևյալ տեղեկությունները`
I. արտադրողի անվանումը կամ ապրանքային նշանը (առկայության դեպքում).
II. մոդելի նշագիրը.
III. «հովացման ռեժիմ» տեքստը և «կապույտ օդափոխիչ» պատկերագիրը` հովացման ռեժիմի բնութագրերը.
IV. էներգետիկ արդյունավետության դասը.
V. անվանական հզորությունը (կՎտ-ներով) (մինչև մեկ տասնորդական նիշ կլորացմամբ).
VI. անվանական էներգետիկ արդյունավետությունը հովացման ռեժիմում (մինչև մեկ տասնորդական նիշ կլորացմամբ).
VII. էներգիայի ամենժամյա սպառումը հովացման համար (կՎտ/ժ/տ-երով) (միուղի օդորակիչների համար` մինչև մեկ տասնորդական նիշ կլորացմամբ կամ երկուղի օդորակիչների համար` մինչև ամբողջ թիվ կլորացմամբ).
VIII. ձայնային հզորության ճշգրտված մակարդակն արտաքին և ներքին բլոկների համար` արտահայտված 1 պՎտ-ի նկատմամբ դԲ (Ա)-ներով (մինչև ամբողջ թիվ կլորացմամբ) (նշվում է դԲ-ներով):
15. Էներգետիկ արդյունավետության մասով օդի տաքացման օդորակիչի պիտակը պետք է պարունակի հետևյալ տեղեկությունները`
I. արտադրողի անվանումը կամ ապրանքային նշանը (առկայության դեպքում).
II. մոդելի նշագիրը.
III. «տաքացման ռեժիմ» տեքստը և «կարմիր օդափոխիչ» պատկերագիրը` տաքացման ռեժիմի բնութագրերը.
IV. էներգետիկ արդյունավետության դասը.
V. անվանական հզորությունը (կՎտ-ներով) (մինչև մեկ տասնորդական նիշ կլորացմամբ).
VI. անվանական էներգետիկ արդյունավետությունը (մինչև մեկ տասնորդական նիշ կլորացմամբ).
VII. էներգիայի ամենժամյա սպառումը (կՎտ ⋅ ժ/տ-երով) (մինչև ամբողջ թիվ կլորացմամբ).
VIII. ձայնային հզորության ճշգրտված մակարդակն արտաքին և ներքին բլոկների համար` արտահայտված 1 պՎտ-ի նկատմամբ դԲ (Ա)-ներով (մինչև ամբողջ թիվ կլորացմամբ) (նշվում է դԲ-ներով):
16. Օդորակիչների և օդափոխիչների շահագործման փաստաթղթերի կազմում ներառված տեխնիկական թերթիկը պետք է պարունակի հետևյալ տեղեկությունները`
ա) արտադրողի անվանումը կամ ապրանքային նշանը (առկայության դեպքում).
բ) արտադրողի մոդելի նույնականացման համարը, որում մոդելի նույնականացման համարը նշվում է ծածկագրի տեսքով, որպես կանոն` տառաթվանշանային, որը օդորակիչի կոնկրետ մոդելը տարբերակում է նույն առևտրային նշանի կամ նույն անվանմամբ արտադրողի այլ մոդելներից.
գ) ձայնային հզորության ճշգրտված մակարդակն արտաքին և ներքին բլոկների համար` արտահայտված 1 պՎտ-ի նկատմամբ դԲ (Ա)-ներով (մինչև ամբողջ թիվ կլորացմամբ) (նշվում է դԲ-ներով).
դ) օգտագործվող սառնազդակի անվանումը և գլոբալ տաքացման պոտենցիալը (ԳՏՊ), ինչպես նաև հետևյալ ձևակերպումը` «Սառնազդակի արտահոսքն ազդում է կլիմայի փոփոխության վրա: Ցածր գլոբալ տաքացման պոտենցիալով (ԳՏՊ) սառնազդակը գլոբալ տաքացման վրա պակաս ազդեցություն կունենա, քան բարձր գլոբալ տաքացման պոտենցիալով (ԳՏՊ) սառնազդակը, եթե տեղի ունենա դրա արտահոսքը մթնոլորտ: Տվյալ սարքը պարունակում է [ххх]-ի հավասար ԳՏՊ-ով սառնազդակ: Սա նշանակում է, որ եթե այդ սառնազդակի 1կգ-ը ներթափանցի մթնոլորտ, գլոբալ տաքացման վրա դրա ազդեցությունը [ххх] անգամ ավելի բարձր կլինի, քան 100 տարում 1կգ СO2-ինը: Երբեք մի փորձեք ինքներդ փոխել սառնազդակի շրջապտույտի սխեման և արտադրատեսակն ինքնուրույն մի քանդեք: Միշտ դիմեք պրոֆեսիոնալ մասնագետների օգնությանը».
ե) Եթե արդյունավետությունը հայտարարված է SEER-ի հիման վրա, ապա օդորակիչների տեխնիկական թերթիկում պետք է ներառվի նաև հովացման ռեժիմի մասին հետևյալ տեղեկատվությունը`
- SEER-ը և մոդելի (սարքի մոդել կամ սարքերի համակցություններ) էներգետիկ արդյունավետության դասը հովացման ռեժիմի համար, ինչպես նաև դասի սահմանափակումները.
- հովացման ընթացքում էլեկտրաէներգիայի տարեկան սպառումը հովացման համար (QCE) (կՎտ ⋅ ժ/տ-ներով): Նշվում է հետևյալ կերպ` «Էներգասպառումը «XYZ» կՎտ ⋅ ժ տարում` ստանդարտ փորձարկումների արդյունքների հիման վրա: Փաստացի էներգասպառումը կախված է այն բանից, թե ինչպես է սարքն օգտագործվում և որտեղ է գտնվում»:
- սարքի հաշվարկային բեռնվածքը (Pdesignc), կՎտ, հովացման ռեժիմում.
զ) Եթե արդյունավետությունը հայտարարված է SCOP-ի հիման վրա, ապա օդորակիչների տեխնիկական թերթիկում պետք է ներառվի նաև տաքացման ռեժիմի մասին հետևյալ տեղեկատվությունը`
- SCOP-ը և մոդելի (սարքի մոդել կամ սարքերի համակցություններ) էներգետիկ արդյունավետության դասը տաքացման ռեժիմում, ինչպես նաև դասի սահմանափակումները.
- տաքացման միջին ժամանակահատվածի համար էներգիայի տարեկան սպառումը (QHE): Նշվում է հետևյալ կերպ` «Էներգասպառումը «XYZ» տարում` ստանդարտ փորձարկումների արդյունքների հիման վրա: Էլեկտրաէներգիայի փաստացի սպառումը կախված է այն բանից, թե ինչպես է սարքն օգտագործվում և որտեղ է գտնվում».
- տաքացման նշված այլ ժամանակահատվածներ, որոնց համար սարքը հայտարարվել է որպես նախատեսված նպատակին համապատասխանող` ավելի տաք (կամայական) կամ ավելի սառը (կամայական) ժամանակահատվածների հնարավորություններով.
- սարքի հաշվարկային բեռնվածքը (Pdesignh) (կՎտ-ներով) տաքացման ռեժիմում.
- հայտարարված հզորությունը և ստանդարտ հաշվարկային պայմաններում SCOP-ը հաշվարկելու համար ընդունված` տաքացման պահուստային հզորության նշումը.
է) Եթե արդյունավետությունը հայտարարված է EER-ի կամ СОР-ի հիման վրա, ապա օդորակիչների տեխնիկական թերթիկում պետք է ներառվի նաև հետևյալ տեղեկատվությունը`
- մոդելի էներգետիկ արդյունավետության դասը, ինչպես նաև դասի սահմանափակումները.
- երկու օդատարով օդորակիչների համար ինդիկատիվ էներգասպառումը (QDD) (կՎտ⋅ժ/ժ): Նշվում է հետևյալ կերպ` «Էներգասպառումը «X,Y» կՎտ⋅ժ/ժ` ստանդարտ փորձարկումների արդյունքների հիման վրա: Էլեկտրաէներգիայի փաստացի սպառումը կախված է այն բանից, թե ինչպես է սարքն օգտագործվում և որտեղ է գտնվում».
- մեկ օդատարով օդորակիչների համար ինդիկատիվ էներգասպառումը (QSD) (կՎտ⋅ժ/ժ): Նշվում է հետևյալ կերպ` «Էներգասպառումը «X,Y» կՎտ⋅/ժ/ժ` ստանդարտ փորձարկումների արդյունքների հիման վրա: Էլեկտրաէներգիայի փաստացի սպառումը կախված է այն բանից, թե ինչպես է սարքն օգտագործվում և որտեղ է գտնվում».
- սարքի հովացման հզորությունը (Рrated), կՎտ.
- տաքացման հզորությունը (Рrated), կՎտ:
18. Մեկ տեխնիկական թերթիկում կարող են արտացոլվել միևնույն արտադրողի կողմից մատակարարվող մի շարք մոդելներ:
19. Տեխնիկական թերթիկում պարունակվող տեղեկատվությունը կարող է տրամադրվել պիտակի գունավոր կամ սև ու սպիտակ պատճենի տեսքով: Այդ դեպքում պետք է ներկայացվի նաև սույն պահանջների 10-15-րդ կետերում նշված և պիտակի վրա բացակայող տեղեկատվությունը:
VI. Օդորակիչների էներգետիկ արդյունավետության դասերի սահմանումը
17. Օդորակիչների էներգետիկ արդյունավետության դասը` բացառությամբ մի- և երկուղի օդորակիչների, սահմանվում է 11-րդ աղյուսակին համապատասխան.
Աղյուսակ 11
Օդորակիչների էներգետիկ արդյունավետության դասերը
Էներգետիկ արդյունավետության դասը |
Էներգետիկ արդյունավետությունը հովացման ռեժիմում |
Էներգետիկ արդյունավետությունը տաքացման ռեժիմում |
А +++ |
SEER ≥ 8.50 |
SCOP ≥ 5.10 |
А ++ |
6.10 ≤ SEER< 8.50 |
4.60 ≤ SCOP < 5.10 |
А + |
5.60 ≤ SEER < 6.10 |
4.00 ≤ SCOP < 4.60 |
А |
5.10 ≤ SEER < 5.60 |
3.40 ≤ SCOP < 4.00 |
В |
4.60 ≤ SEER < 5.10 |
3.10 ≤ SCOP< 3.40 |
С |
4.10 ≤ SEER < 4.60 |
2.80 ≤ SCOP < 3.10 |
D |
3.60 ≤ SEER< 4.10 |
2.50 ≤ SCOP < 2.80 |
Е |
3.10 ≤ SEER< 3.60 |
2.20 ≤ SCOP < 2.50 |
F |
2.60 ≤ SEER< 3.10 |
1.90 ≤ SCOP < 2.20 |
G |
SEER < 2.60 |
SCOP < 1.90 |
18. Միուղի օդորակիչների էներգետիկ արդյունավետության դասը սահմանվում է 12-րդ աղյուսակին համապատասխան:
Աղյուսակ 12
Միուղի օդորակիչների էներգետիկ արդյունավետության դասերը
Էներգետիկ արդյունավետության դասը |
Անվանական էներգետիկ արդյունավետությունը հովացման ռեժիմում |
Անվանական էներգետիկ արդյունավետությունը տաքացման ռեժիմում |
А +++ |
EER ≥ 4.10 |
СОР ≥ 3.60 |
А ++ |
3.60 ≤ EER < 4.10 |
3.10 ≤ СОР < 3.60 |
А + |
3.10 ≤ EER < 3.60 |
2.60 ≤ СОР < 3.10 |
A |
2.60 ≤ EER < 3.10 |
2.30 ≤ СОР < 2.60 |
B |
2.40 ≤ EER < 2.60 |
2.00 ≤ СОР < 2.30 |
C |
2.10 ≤ EER < 2.40 |
1.80 ≤ СОР < 2.00 |
D |
1.80 ≤ EER < 2.10 |
1.60 ≤ СОР < 1.80 |
E |
1.60 ≤ EER < 1.80 |
1.40 ≤ СОР < 1.60 |
F |
1.40 ≤ EER < 1.60 |
1.20 ≤ СОР < 1.40 |
G |
EER < 1.40 |
СОР < 1.20 |
13. Երկուղի օդորակիչների էներգետիկ արդյունավետության դասը սահմանվում է 13-րդ աղյուսակին համապատասխան:
Աղյուսակ 13
Երկուղի օդորակիչների էներգետիկ արդյունավետության դասերը
Էներգետիկ արդյունավետության դասը |
Անվանական էներգետիկ արդյունավետությունը հովացման ռեժիմում |
Անվանական էներգետիկ արդյունավետությունը տաքացման ռեժիմում |
А +++ |
ЕЕR ≥ 4.10 |
СОР ≥ 4.60 |
А ++ |
3.60 ≤ ЕЕR < 4.10 |
4.10 ≤ СОР <4.60 |
А + |
3.10 ≤ ЕЕR < 3.60 |
3.60 ≤ СОР < 4.10 |
А |
2.60 ≤ ЕЕR < 3.10 |
3.10 ≤ СОР < 3.60 |
В |
2.40 ≤ ЕЕR < 2.60 |
2.60 ≤ СОР < 3.10 |
С |
2.10 ≤ ЕЕR < 2.40 |
2.40 ≤ СОР < 2.60 |
D |
1.80 ≤ ЕЕR < 2.10 |
2.00 ≤ СОР < 2.40 |
E |
1.60 ≤ ЕЕR < 1.80 |
1.80 ≤ СОР < 2.00 |
F |
1.40 ≤ ЕЕR < 1.60 |
1.60 ≤ СОР < 1.80 |
G |
ЕЕR < 1.40 |
СОР < 1.60 |
Պաշտոնական հրապարակման օրը՝ 22 հունիսի 2022 թվական:
