«Վավերացնում եմ»
Հայաստանի Հանրապետության
Նախագահ Ռ. Քոչարյան
6 հուլիսի 2005 թ.
ՀԱՅԱՍՏԱՆԻ ՀԱՆՐԱՊԵՏՈՒԹՅԱՆ ԿԱՌԱՎԱՐՈՒԹՅՈՒՆ
Ո Ր Ո Շ ՈՒ Մ
9 հունիսի 2005 թվականի N 878-Ն
ՀԱՅԱՍՏԱՆԻ ՀԱՆՐԱՊԵՏՈՒԹՅԱՆ ԼՈՌՈՒ ՄԱՐԶԻ ՍԱՐԱՄԵՋԻ ԳՅՈՒՂԱԿԱՆ ՀԱՄԱՅՆՔԻ ՎԱՐՉԱԿԱՆ ՍԱՀՄԱՆՆԵՐԻ ՆԿԱՐԱԳԻՐԸ ՀԱՍՏԱՏԵԼՈՒ ԵՎ ՍԱՐԱՄԵՋԻ ԳՅՈՒՂԱԿԱՆ ՀԱՄԱՅՆՔԻ ՎԱՐՉԱԿԱՆ ՍԱՀՄԱՆՆԵՐՈՒՄ ԳՏՆՎՈՂ` ՊԵՏԱԿԱՆ ՍԵՓԱԿԱՆՈՒԹՅՈՒՆ ՀԱՆԴԻՍԱՑՈՂ ՀՈՂԱՄԱՍԵՐՆ ԱՆՀԱՏՈՒՅՑ ՍԵՓԱԿԱՆՈՒԹՅԱՆ ԻՐԱՎՈՒՆՔՈՎ ՀԱՄԱՅՆՔԻՆ ՓՈԽԱՆՑԵԼՈՒ ՄԱՍԻՆ
Հայաստանի Հանրապետության հողային օրենսգրքի 34-րդ ու 56-րդ, «Տեղական ինքնակառավարման մասին» Հայաստանի Հանրապետության օրենքի 6-րդ, 47-րդ ու 84-րդ և «Հայաստանի Հանրապետության վարչատարածքային բաժանման մասին» Հայաստանի Հանրապետության օրենքի 6-րդ հոդվածների պահանջներին համապատասխան` Հայաստանի Հանրապետության կառավարությունը որոշում է.
1. Հաստատել Հայաստանի Հանրապետության Լոռու մարզի Սարամեջի գյուղական համայնքի վարչական սահմանների նկարագիրը` համաձայն NN 1 և 2 հավելվածների:
2. Հայաստանի Հանրապետության Լոռու մարզի Սարամեջի գյուղական համայնքի վարչական սահմաններում գտնվող` պետական սեփականություն հանդիսացող 1520.97 հեկտար հողամասերից 1340.56 հեկտարը, որից` գյուղատնտեսական նշանակության` 1249.65 հեկտար, բնակավայրերի հողերի` 75.15 հեկտար, արդյունաբերության, ընդերքօգտագործման և այլ արտադրական նշանակության օբյեկտների` 13.20 հեկտար, էներգետիկայի, տրանսպորտի, կապի և կոմունալ ենթակառուցվածքների օբյեկտների` 0.14 հեկտար, հատուկ պահպանվող տարածքների` 1.50 հեկտար, ջրային հողերի` 0.91 հեկտար, անհատույց սեփականության իրավունքով փոխանցել Սարամեջի գյուղական համայնքին` համաձայն NN 3, 4, 5 և 6 հավելվածների:
3. Սահմանել, որ Հայաստանի Հանրապետության հողային օրենսգրքի 60-րդ հոդվածի պահանջներին համապատասխան`
ա) Հայաստանի Հանրապետության Լոռու մարզի Սարամեջի գյուղական համայնքին անհատույց սեփականության իրավունքով փոխանցվող 1340.56 հեկտար հողերից 42.43 հեկտարը մասնավորեցման ենթակա չէ.
բ) Հայաստանի Հանրապետության Լոռու մարզի Սարամեջի գյուղական համայնքի վարչական սահմաններում գտնվող հողերից 180.41 հեկտարը համարվում է պետական սեփականություն` համաձայն N 7 հավելվածի:
4. Ընդունել ի գիտություն Հայաստանի Հանրապետության Լոռու մարզի Սարամեջի գյուղական համայնքի հողային ֆոնդի առկայության և բաշխման մասին հաշվետվությունը` 2005 թվականի հունվարի 1-ի դրությամբ` համաձայն NN 8 և 9 հավելվածների:
5. Հայաստանի Հանրապետության կառավարությանն առընթեր անշարժ գույքի կադաստրի պետական կոմիտեի նախագահին` սահմանված կարգով ապահովել սկզբնական հաշվառման նյութերի տրամադրումը Հայաստանի Հանրապետության Լոռու մարզի Սարամեջի գյուղական համայնքի ղեկավարին` հողերի ընթացիկ հաշվառումն անցկացնելու և համայնքի հողային հաշվեկշիռը կազմելու համար:
6. Թույլատրել Հայաստանի Հանրապետության կառավարությանն առընթեր անշարժ գույքի կադաստրի պետական կոմիտեի նախագահին Հայաստանի Հանրապետության պետական գեոդեզիական ցանցի հավասարակշռման արդյունքների հիման վրա Հայաստանի Հանրապետության վարչատարածքային միավորների սահմանանիշերի կոորդինատների ժողովածուի հրատարակումից հետո հողային ֆոնդի ընթացիկ հաշվառման ժամանակ Հայաստանի Հանրապետության Լոռու մարզի Սարամեջի գյուղական համայնքի հողային հաշվեկշռում սահմանված կարգով կատարել համապատասխան փոփոխություններ:
7. Հայաստանի Հանրապետության Լոռու մարզպետին` Հայաստանի Հանրապետության կառավարության 2000 թվականի հոկտեմբերի 23-ի N 656 որոշմամբ սահմանված կարգով` սկզբնական հաշվառման տվյալների հիման վրա ապահովել մարզի տարածքում ընթացիկ հաշվառման աշխատանքների իրականացումը:
8. Սույն որոշումն ուժի մեջ է մտնում պաշտոնական հրապարակմանը հաջորդող օրվանից։
|
|
Ա. Մարգարյան |
|
|
|
|
ՀԱՅԱՍՏԱՆԻ ՀԱՆՐԱՊԵՏՈՒԹՅԱՆ ԼՈՌՈՒ ՄԱՐԶԻ ՍԱՐԱՄԵՋԻ ԳՅՈՒՂԱԿԱՆ ՀԱՄԱՅՆՔԻ ՎԱՐՉԱԿԱՆ ՍԱՀՄԱՆՆԵՐԻ ՀԱՏԱԿԱԳԻԾԸ
Հայաստանի Հանրապետության
կառավարության աշխատակազմի
ղեկավար-նախարարՄ. Թոփուզյան
|
|
ՀՀ ԼՈՌՈՒ ՄԱՐԶԻ ՍԱՐԱՄԵՋԻ ԳՅՈՒՂԱԿԱՆ ՀԱՄԱՅՆՔԻ ՎԱՐՉԱԿԱՆ ՍԱՀՄԱՆՆԵՐԻ ՆԿԱՐԱԳՐՈՒԹՅՈՒՆԸ
Սարամեջ գյուղական համայնքը գտնվում է Լոռու մարզի հարավ-արևմտյան մասում:
Հեռավորությունը Վանաձոր քաղաքից` 27 կմ է:
Համայնքը հյուսիս-արևելքից` «Ա»-«Բ» հատվածով սահմանակից է Սպիտակ քաղաքային համայնքին, հարավ-արևելքից` «Բ»-«Գ» հատվածով` Լեռնանցք համայնքին, հարավ-արևելքից` «Գ»-«Դ» հատվածով` Արագածոտնի մարզի Սիփան համայնքին, հարավ-արևմուտքից` «Դ»-«Ա» հատվածով` Ջրաշեն գյուղական համայնքին:
ՍԱՐԱՄԵՋ-ՍՊԻՏԱԿ ՔԱՂԱՔԱՅԻՆ ՀԱՄԱՅՆՔԻ ՍԱՀՄԱՆԱԳԻԾԸ` «Ա»-«Բ»
Սարամեջ, Ջրաշեն գյուղական համայնքների և Սպիտակ քաղաքային համայնքի «Ա» հանգուցային կետից սահմանագիծն անցնում է դեպի հարավ` 133.7 մ, հասնում ջրբաժանի թիվ 1 կետը, այնուհետև ջրբաժանով բարձրանում դեպի հարավ-արևելք` 727.7 մ, հասնում թիվ 2 կետին, այնուհետև նույն ջրբաժանով անցնում դեպի հարավ-արևելք, հասնում թիվ 3 կետին: Թիվ 3 կետից սահմանագիծը, կտրուկ փոխելով ուղղությունը դեպի հարավ-արևելք, ջրբաժանով հասնում է 2220.9 մ նիշ ունեցող բլրի գագաթի թիվ 4 կետին, շարունակվում նույն ուղղությամբ, նույն ջրբաժանով հասնում, անցնում 2272.6 մ նիշ ունեցող բլրի գագաթի թիվ 5, ապա նույն ուղղությամբ թիվ 6 կետերին ու թեքվում դեպի արևելք, անցնում 223.72 մ, հասնում բլրի գագաթի Լեռնանցքի, Սարամեջ գյուղական համայնքների և Սպիտակ քաղաքային համայնքի տարածքների բաժանման «Բ» հանգուցային կետին:
«Ա»-«Բ» սահմանագծի ընդհանուր երկարությունը 3641.26 մ է:
ՍԱՐԱՄԵՋ-ԼԵՌՆԱՆՑՔ ՍԱՀՄԱՆԱԳԻԾԸ` «Բ»-«Գ»
Լեռնանցքի, Սարամեջ գյուղական համայնքների և Սպիտակ քաղաքի «Բ» հանգուցային կետից սահմանագիծը ջրբաժանով անցնում է դեպի հարավ` 1015.37 մ, հասնում 2320.0 մ նիշ ունեցող բլրի գագաթի թիվ 1 կետին: Թիվ 1 կետից սահմանագիծն անցնում է դեպի հարավ-արևելք, ջրբաժանով անցնելով թիվ 2-3 կետերով, հասնում ջրհավաքի թիվ 4 կետին, այնուհետև թեքվում դեպի հարավ-արևմուտք` 569.27 մ, հասնում թիվ 5 կետին, այնուհետև սահմանագիծն անցնում է դեպի հարավ-արևելք ու հասնում 2528.8 մ նիշ ունեցող բլրի գագաթի Լեռնանցք, Սարամեջ գյուղական համայնքների, Արագածոտնի մարզի Սիփան գյուղական համայնքի տարածքների բաժանման «Գ» հանգուցային կետին:
«Բ»-«Գ» սահմանագծի ընդհանուր երկարությունը 3474.58 մ է:
ՍԱՐԱՄԵՋ-ՍԻՓԱՆ ՍԱՀՄԱՆԱԳԻԾԸ` «Գ»-«Դ»
Լեռնանցք, Սարամեջ համայնքների և Արագածոտնի մարզի Սիփան համայնքի «Գ» հանգուցային կետից, 2528.8 մ նիշ ունեցող բլրի գագաթից սահմանագիծը թեքվում է հարավ-արևմուտք, ջրբաժանով իջնում 200.6 մ, հասնում թիվ 1 կետը, որից թեքվում արևմուտք, ջրբաժանով բարձրանում 158.1 մ` մինչև գագաթին գտնվող թիվ 2 կետը, ապա շարունակվում շարժվել նույն ուղղությամբ` ջրբաժանով անցնելով 785.8 մ, հասնելով բլրի գագաթին գտնվող թիվ 3 շրջադարձային կետը, որից թեքվում է հարավ, անցնելով թիվ 4 կետը` 422.7 մ, հասնում 2737.6 մ նիշ ունեցող Կամարդակ բլրի գագաթի Սարամեջ, Ջրաշեն և Արագածոտնի մարզի Սիփան համայնքների տարածքների բաժանման «Դ» հանգուցային կետին:
«Գ»-«Դ» սահմանագծի ընդհանուր երկարությունը 2067.20 մ է:
ՍԱՐԱՄԵՋ-ՋՐԱՇԵՆ ՍԱՀՄԱՆԱԳԻԾԸ` «Դ»-«Ա»
Սարամեջ, Ջրաշեն գյուղական համայնքների և Սպիտակ քաղաքի «Ա» հանգուցային կետից սահմանագիծն անցնում է դեպի հարավ-արևմուտք վարելահողի եզրով հասնում ջրհավաքի թիվ 1 կետին, շարունակվում նույն ջրհավաքով դեպի հարավ-արևմուտք, անցնում թիվ 2 կետով, հասնում թիվ 3 կետին, ապա թեքվում հյուսիս-արևմուտք, միջնակով հասնում թիվ 4 կետին: Թիվ 4 կետից սահմանագիծը, հատելով դաշտային ճանապարհը, հասնում է անտառի և վարելահողի հատման թիվ 6 կետին: Թիվ 6 կետից ջրբաժանով անցնում է 1754.6 մ նիշ ունեցող բլրի գագաթի թիվ 7 կետով, շարունակվում նույն ուղղությամբ, անցնում 335.84 մ, հասնում թիվ 8 կետին, կտրուկ փոխելով ուղղությունը դեպի արևելք, անցնում 177.24 մ, հասնում թիվ 9 կետին: Թիվ 9 կետից սահմանագիծն անցնում է դեպի հարավ, ջրբաժանով հասնում 1890.8 մ նիշ ունեցող « Սարջրի գյորդան" թիվ 10 կետին: Թիվ 10 կետից սահմանագիծն անցնում է ջրբաժանով, հասնում թիվ 11 կետին, այնուհետև նույն ջրբաժանով հասնում 1886.7 մ նիշ ունեցող թիվ 12 կետին, այնուհետև ջրբաժանով հասնում 1886.7 մ նիշ ունեցող թիվ 13 կետին, ապա, ջրբաժանով անցնելով բլուրների գագաթներով` թիվ 14-16 կետերը, հասնում 1925.7 մ նիշ ունեցող բլրի գագաթի թիվ 17 կետին: Թիվ 17 կետից ջրբաժանով սահմանագիծն անցնում է դեպի հարավ-արևմուտք, անցնելով թիվ 18-19 կետը, հասնում բլրի գագաթի 2007.0 մ նիշ ունեցող թիվ 20 կետին: Թիվ 20 կետից դարձյալ ջրբաժանով սահմանագիծն անցնում է դեպի հարավ, բլրի գագաթներով անցնելով թիվ 21 կետը, հասնում 2044.8 մ նիշ ունեցող բլրի գագաթի թիվ 22 կետին: Թիվ 22 կետից սահմանագիծն անցնում է դեպի հարավ, ջրբաժանով անցնելով թիվ 23-24 կետերը, հասնում 2290.6 մ նիշ ունեցող «Բոդեյ Բրուն» թիվ 25 կետին, այնուհետև թեքվում դեպի հարավ-արևելք` նույն ջրբաժանի շարունակությամբ, բլրի գագաթներով անցնելով թիվ 26-27 կետերը, հասնում 2310.0 մ նիշ ունեցող բլրի գագաթի թիվ 28 կետին: Թիվ 28 կետից սահմանագիծն անցնում է դեպի արևելք, ջրբաժանով անցնելով թիվ 29-31 կետերը, հասնում «Դ» հանգուցային կետին, որը միևնույն ժամանակ համարվում է Արագածոտնի մարզի Սիփան գյուղական համայնքի հանգուցային կետ:
«Դ»-«Ա» սահմանագծի ընդհանուր երկարությունը 9922.10 մ է:
Հայաստանի Հանրապետության կառավարության աշխատակազմի ղեկավար-նախարար |
Մ. Թոփուզյան |
|
|
ՀԱՅԱՍՏԱՆԻ ՀԱՆՐԱՊԵՏՈՒԹՅԱՆ ԼՈՌՈՒ ՄԱՐԶԻ ՍԱՐԱՄԵՋԻ ԳՅՈՒՂԱԿԱՆ ՀԱՄԱՅՆՔԻ ՀՈՂԱՇԻՆԱՐԱՐԱԿԱՆ ՀԱՏԱԿԱԳԻԾԸ
Հայաստանի Հանրապետության
կառավարության աշխատակազմի
ղեկավար-նախարարՄ. Թոփուզյան
|
|
Ա Ն Վ Ա Ն Ա Ց Ա Ն Կ
ՀԱՅԱՍՏԱՆԻ ՀԱՆՐԱՊԵՏՈՒԹՅԱՆ ԼՈՌՈՒ ՄԱՐԶԻ ՍԱՐԱՄԵՋԻ ԳՅՈՒՂԱԿԱՆ ՀԱՄԱՅՆՔԻ ՎԱՐՉԱԿԱՆ ՍԱՀՄԱՆՆԵՐՈՒՄ ԳՏՆՎՈՂ` ՊԵՏԱԿԱՆ ՍԵՓԱԿԱՆՈՒԹՅՈՒՆ ՀԱՆԴԻՍԱՑՈՂ ՀՈՂԵՐԻՑ ՍԱՐԱՄԵՋԻ ԳՅՈՒՂԱԿԱՆ ՀԱՄԱՅՆՔԻՆ ԱՆՀԱՏՈՒՅՑ ՓՈԽԱՆՑՎՈՂ ՀՈՂԵՐԻ
Հայաստանի Հանրապետության
կառավարության աշխատակազմի
ղեկավար-նախարարՄ. Թոփուզյան
|
|
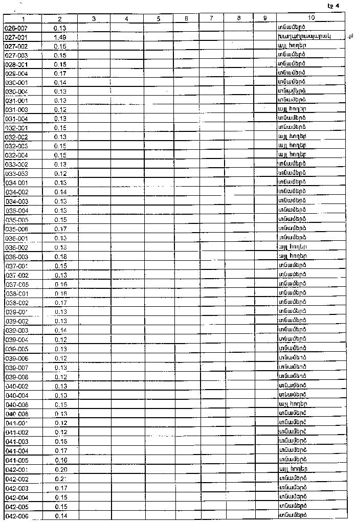
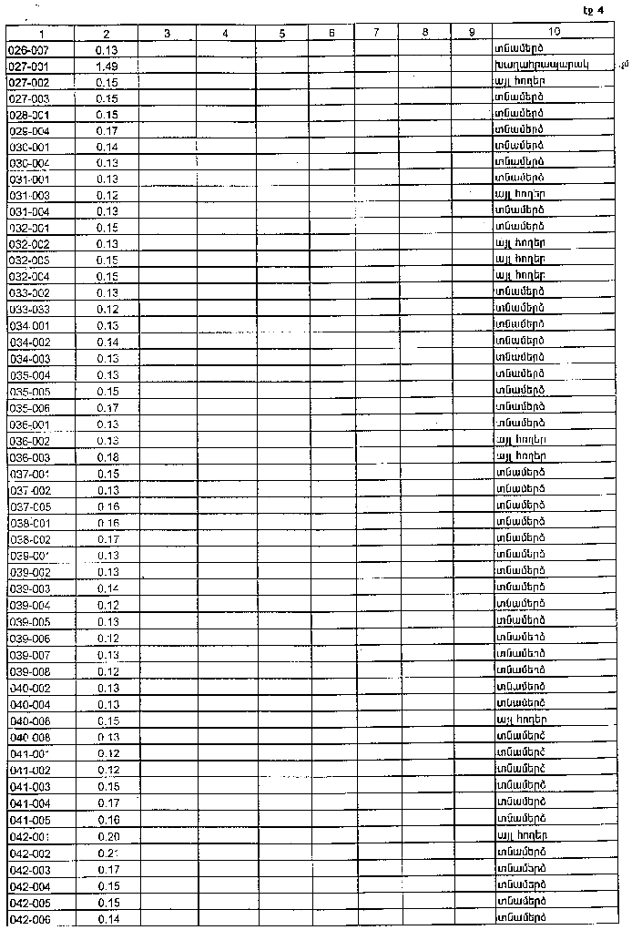
Ց Ա Ն Կ
ՀԱՅԱՍՏԱՆԻ ՀԱՆՐԱՊԵՏՈՒԹՅԱՆ ԼՈՌՈՒ ՄԱՐԶԻ ՍԱՐԱՄԵՋԻ ԳՅՈՒՂԱԿԱՆ ՀԱՄԱՅՆՔԻ ՎԱՐՉԱԿԱՆ ՍԱՀՄԱՆՆԵՐՈՒՄ ԳՏՆՎՈՂ` ՊԵՏԱԿԱՆ ՍԵՓԱԿԱՆՈՒԹՅՈՒՆ ՀԱՆԴԻՍԱՑՈՂ ՀՈՂԵՐԻՑ ՍԱՐԱՄԵՋԻ ԳՅՈՒՂԱԿԱՆ ՀԱՄԱՅՆՔԻՆ ԱՆՀԱՏՈՒՅՑ ՓՈԽԱՆՑՎՈՂ ՀՈՂԵՐԻ
Հայաստանի Հանրապետության
կառավարության աշխատակազմի
ղեկավար-նախարարՄ. Թոփուզյան
|
|
Ց Ա Ն Կ
ՀԱՅԱՍՏԱՆԻ ՀԱՆՐԱՊԵՏՈՒԹՅԱՆ ԼՈՌՈՒ ՄԱՐԶԻ ՍԱՐԱՄԵՋԻ ԳՅՈՒՂԱԿԱՆ ՀԱՄԱՅՆՔԻ ՎԱՐՉԱԿԱՆ ՍԱՀՄԱՆՆԵՐՈՒՄ ԳՏՆՎՈՂ` ՊԵՏԱԿԱՆ ՍԵՓԱԿԱՆՈՒԹՅՈՒՆ ՀԱՆԴԻՍԱՑՈՂ ՀՈՂԵՐԻՑ ՍԱՐԱՄԵՋԻ ԳՅՈՒՂԱԿԱՆ ՀԱՄԱՅՆՔԻՆ ԱՆՀԱՏՈՒՅՑ ՓՈԽԱՆՑՎՈՂ ՀՈՂԵՐԻ (ԸՍՏ ՆՊԱՏԱԿԱՅԻՆ ՆՇԱՆԱԿՈՒԹՅԱՆ)
Հայաստանի Հանրապետության կառավարության աշխատակազմի ղեկավար-նախարար |
Մ. Թոփուզյան |
|
|
Ց Ա Ն Կ
ՀԱՅԱՍՏԱՆԻ ՀԱՆՐԱՊԵՏՈՒԹՅԱՆ ԼՈՌՈՒ ՄԱՐԶԻ ՍԱՐԱՄԵՋԻ ԳՅՈՒՂԱԿԱՆ ՀԱՄԱՅՆՔԻ ՎԱՐՉԱԿԱՆ ՍԱՀՄԱՆՆԵՐՈՒՄ ԳՏՆՎՈՂ` ՊԵՏԱԿԱՆ ՍԵՓԱԿԱՆՈՒԹՅՈՒՆ ՀԱՆԴԻՍԱՑՈՂ ՀՈՂԵՐԻ (ԸՍՏ ՆՊԱՏԱԿԱՅԻՆ ՆՇԱՆԱԿՈՒԹՅԱՆ)
Հայաստանի Հանրապետության կառավարության աշխատակազմի ղեկավար-նախարար |
Մ. Թոփուզյան |
|
|
Հ Ա Շ Վ Ե Տ Վ ՈՒ Թ Յ ՈՒ Ն
ՀԱՅԱՍՏԱՆԻ ՀԱՆՐԱՊԵՏՈՒԹՅԱՆ ԼՈՌՈՒ ՄԱՐԶԻ ՍԱՐԱՄԵՋԻ ԳՅՈՒՂԱԿԱՆ ՀԱՄԱՅՆՔԻ ՀՈՂԱՅԻՆ ՖՈՆԴԻ ԱՌԿԱՅՈՒԹՅԱՆ ԵՎ ԲԱՇԽՄԱՆ ՄԱՍԻՆ
2005 թվականի հունվարի 1-ի դրությամբ
Հայաստանի Հանրապետության կառավարության աշխատակազմի ղեկավար-նախարար |
Մ. Թոփուզյան |
|
|
ՀԱՅԱՍՏԱՆԻ ՀԱՆՐԱՊԵՏՈՒԹՅԱՆ ԼՈՌՈՒ ՄԱՐԶԻ ՍԱՐԱՄԵՋԻ ԳՅՈՒՂԱԿԱՆ ՀԱՄԱՅՆՔԻ ՈՌՈԳՎՈՂ ՀՈՂԵՐԻ ԱՌԿԱՅՈՒԹՅԱՆ ԵՎ ԲԱՇԽՄԱՆ ՄԱՍԻՆ
Հայաստանի Հանրապետության
կառավարության աշխատակազմի
ղեկավար-նախարարՄ. Թոփուզյան