ԵՎՐԱՍԻԱԿԱՆ ՏՆՏԵՍԱԿԱՆ ՀԱՆՁՆԱԺՈՂՈՎ
ԿՈԼԵԳԻԱ
Կ Ա Ր Գ Ա Դ Ր ՈՒ Թ Յ ՈՒ Ն
|
19 դեկտեմբերի 2016 թվականի |
թիվ 211 |
քաղ. Մոսկվա |
«««ԵՎՐԱՍԻԱԿԱՆ ՏՆՏԵՍԱԿԱՆ ՄԻՈՒԹՅԱՆ ՄԱՍԻՆ» 2014 ԹՎԱԿԱՆԻ ՄԱՅԻՍԻ 29-Ի ՊԱՅՄԱՆԱԳՐՈՒՄ ՓՈՓՈԽՈՒԹՅՈՒՆՆԵՐ ԿԱՏԱՐԵԼՈՒ ՄԱՍԻՆ» ԱՐՁԱՆԱԳՐՈՒԹՅԱՆ ՆԱԽԱԳԾԻ ՎԵՐԱԲԵՐՅԱԼ» ԵՎՐԱՍԻԱԿԱՆ ՏՆՏԵՍԱԿԱՆ ՀԱՆՁՆԱԺՈՂՈՎԻ ԽՈՐՀՐԴԻ ԿԱՐԳԱԴՐՈՒԹՅԱՆ ՆԱԽԱԳԾԻ ՄԱՍԻՆ
1. Հավանություն տալ «««Եվրասիական տնտեսական միության մասին» 2014 թվականի մայիսի 29-ի պայմանագրում փոփոխություններ կատարելու մասին» արձանագրության նախագծի վերաբերյալ» Եվրասիական տնտեսական հանձնաժողովի խորհրդի կարգադրության նախագծին (կցվում է) և այն ներկայացնել Եվրասիական տնտեսական հանձնաժողովի խորհրդի քննարկմանը։
2. Սույն կարգադրությունն ուժի մեջ է մտնում Եվրասիական տնտեսական միության պաշտոնական կայքում դրա հրապարակման օրվանից:
|
Եվրասիական տնտեսական հանձնաժողովի կոլեգիայի նախագահ |
Տ. Սարգսյան |
ԵՎՐԱՍԻԱԿԱՆ ՏՆՏԵՍԱԿԱՆ ՀԱՆՁՆԱԺՈՂՈՎ
ԽՈՐՀՈՒՐԴ
Կ Ա Ր Գ Ա Դ Ր ՈՒ Թ Յ ՈՒ Ն
|
« » ի 20 թվականի |
թիվ |
քաղ. |
««Եվրասիական տնտեսական միության մասին» 2014 թվականի մայիսի 29-ի պայմանագրում փոփոխություններ կատարելու մասին» արձանագրության նախագծի վերաբերյալ
«Եվրասիական տնտեսական միության մասին» 2014 թվականի մայիսի 29-ի պայմանագրի 82-րդ հոդվածի 2-րդ կետը, ինչպես նաև «Ղրղզստանի Հանրապետության՝ «Եվրասիական տնտեսական միության մասին» 2014 թվականի մայիսի 29-ի պայմանագրին միանալու կապակցությամբ Ղրղզստանի Հանրապետության կողմից «Եվրասիական տնտեսական միության մասին» 2014 թվականի մայիսի 29-ի պայմանագրի, Եվրասիական տնտեսական միության իրավունքի մաս կազմող առանձին միջազգային պայմանագրերի և Եվրասիական տնտեսական միության մարմինների ակտերի կիրառման պայմանների ու անցումային դրույթների մասին» 2015 թվականի մայիսի 8-ին ստորագրված արձանագրության թիվ 1 հավելվածի 67-րդ կետն իրագործելու նպատակով՝
1. Հավանություն տալ ««Եվրասիական տնտեսական միության մասին» 2014 թվականի մայիսի 29-ի պայմանագրում փոփոխություններ կատարելու մասին» արձանագրության նախագծին։
2. Խնդրանքով դիմել Եվրասիական տնտեսական միության անդամ պետություններին՝ անցկացնել սույն կարգադրության 1-ին կետում նշված արձանագրության ստորագրման համար անհրաժեշտ ներպետական ընթացակարգերը, և արդյունքների մասին մինչև 2017 թվականի ապրիլի 15-ը տեղեկացնել Եվրասիական տնտեսական հանձնաժողովին։
3. Սույն կարգադրությունն ուժի մեջ է մտնում Եվրասիական տնտեսական միության պաշտոնական կայքում այն հրապարակելու օրվանից:
Եվրասիական տնտեսական հանձնաժողովի խորհրդի անդամներ՝
|
Հայաստանի Հանրապետությունից՝ |
Բելառուսի Հանրապետությունից՝ |
Ղազախստանի Հանրապետությունից՝ |
Ղրղզստանի Հանրապետությունից՝ |
Ռուսաստանի Դաշնությունից՝ |
|
|
|
|
|
|
|
Վ. Գաբրիելյան |
Վ. Մատյուշևսկի |
Ա. Մամին |
Օ. Պանկրատով |
Ի. Շուվալով |
Նախագիծ
ԱՐՁԱՆԱԳՐՈՒԹՅՈՒՆ
«Եվրասիական տնտեսական միության մասին» 2014 թվականի մայիսի 29-ի պայմանագրում փոփոխություններ կատարելու մասին
Եվրասիական տնտեսական միության անդամ պետությունները, այսուհետ՝ անդամ պետություններ,
«Եվրասիական տնտեսական միության մասին» 2014 թվականի մայիսի 29-ի պայմանագրի 82-րդ հոդվածի 2-րդ կետն իրագործելու նպատակով,
առաջնորդվելով «Ղրղզստանի Հանրապետության՝ «Եվրասիական տնտեսական միության մասին» 2014 թվականի մայիսի 29-ի պայմանագրին միանալու կապակցությամբ Ղրղզստանի Հանրապետության կողմից «Եվրասիական տնտեսական միության մասին» 2014 թվականի մայիսի 29-ի պայմանագրի, Եվրասիական տնտեսական միության իրավունքի մաս կազմող առանձին միջազգային պայմանագրերի և Եվրասիական տնտեսական միության մարմինների ակտերի կիրառման պայմանների ու անցումային դրույթների մասին» 2015 թվականի մայիսի 8-ին ստորագրված արձանագրության թիվ 1 հավելվածի 67-րդ կետով,
համաձայնեցին հետևյալի մասին.
Հոդված 1
Անդամ պետությունների միջև էլեկտրական էներգիայի (հզորության) միջպետական հաղորդում իրականացնելու մեթոդաբանության մեջ («Եվրասիական տնտեսական միության մասին» 2014 թվականի մայիսի 29-ի պայմանագրի թիվ 21 հավելվածը հանդիսացող «Էլեկտրաէներգետիկայի ոլորտում բնական մենաշնորհների սուբյեկտների ծառայություններին հասանելիության ապահովման, այդ թվում՝ գնագոյացման և սակագնային քաղաքականության հիմունքների մասին» արձանագրության հավելված) կատարել հետևյալ փոփոխությունները.
1. 1-ին բաժինը լրացնել հետևյալ բովանդակությամբ 1.5-րդ կետով՝
«1.5. Ղրղզստանի Հանրապետության տարածքում:
1.5.1. Ղրղզստանի Հանրապետության ազգային էլեկտրական ցանցով (այսուհետ՝ Ղրղզստանի ԱԷՑ) ՄՊՀ-ի տարեկան կանխատեսվող ծավալները որոշվում են ՄՊՀ-ի իրականացման համար լիազորված կազմակերպության կողմից (այսուհետ՝ Ղրղզստանի ԱԷՑ-ի կառավարման հարցերով կազմակերպություն)՝ հայտի հիման վրա:
1.5.2. Առաջիկա օրացուցային տարվա համար հայտը ներկայացվում է նախորդող տարվա ապրիլի 1-ից ոչ ուշ։ Հայտի մեջ նշվում է ՄՊՀ-ի և առավելագույն հզորության տարեկան ծավալը՝ ամիսների բաշխմամբ և Ղրղզստանի Հանրապետության սահմանին էլեկտրական էներգիայի ընդունման և հանձնման կետերի նշմամբ։
1.5.3. Հայտն ուսումնասիրելիս Ղրղզստանի ԱԷՑ-ի կառավարման հարցերով կազմակերպությունն առաջնորդվում է Ղրղզստանի ԱԷՑ-ի առկա տեխնիկական հնարավորության մեծությամբ, որը որոշվում է սույն մեթոդաբանությանը համապատասխան։ ՄՊՀ-ի հայտագրվող մեծությունը Ղրղզստանի ԱԷՑ-ի առկա տեխնիկական հնարավորության մեծությունն ընդհանուր առմամբ տարեկան կտրվածքով կամ տարվա որևէ ամսվա համար գերազանցելու դեպքում Ղրղզստանի ԱԷՑ-ի կառավարման հարցերով կազմակերպությունը հայտ ներկայացրած կազմակերպությանն ուղարկում է հիմնավորված մերժում։
1.5.4. ՄՊՀ-ի հայտագրված ծավալները, որոնք համաձայնեցվել են Ղրղզստանի ԱԷՑ-ի կառավարման հարցերով կազմակերպության հետ, ձևակերպվում են որպես էլեկտրական էներգիայի հաղորդման պայմանագրի հավելված և հաշվի են առնվում էլեկտրական էներգիայի հաղորդման ծառայությունների սակագները հաշվարկելու ժամանակ։
1.5.5. ՄՊՀ-ի համար նախատեսվող էլեկտրական էներգիայի ծավալները կարող են ճշգրտվել անդամ պետությունների լիազորված կազմակերպությունների համաձայնեցմամբ՝ մինչև պլանավորվող մատակարարման տարվան նախորդող տարվա նոյեմբերի 1-ը։»։
2. 2-րդ բաժնում՝
ա) 2.2.2-րդ ենթակետը «Ղազախստանի ՄԷՀ-ի միջև,» բառերից հետո լրացնել «Ղրղզստանի էներգահամակարգի (Ղրղզստանի ԷՀ) և Ղազախստանի ՄԷՀ-ի միջև,» բառերով.
բ) 2.2.3-րդ ենթակետում՝
առաջին պարբերությունը շարադրել հետևյալ խմբագրությամբ՝
«2.2.3. Հաշվարկային մոդելը Ռուսաստանի ՄԷՀ-ի, Ղազախստանի ՄԷՀ-ի, Ղրղզստանի ԷՀ-ի, Բելառուսի ՄԷՀ-ի, Հայաստանի ԷԷՀ-ի և երրորդ պետությունների էներգահամակարգերի տեխնոլոգիապես փոխկապակցված այն մասերի և (կամ) համարժեքների մաթեմատիկական մոդելն է, որոնց միջոցով իրականացվում է Ռուսաստանի ՄԷՀ-ի և Հայաստանի ԷԷՀ-ի միջև էլեկտրական էներգիայի (հզորության) հաղորդումը՝ պլանավորման համար անհրաժեշտ ծավալով, և ներառում է հետևյալ նկարագրությունը՝».
[Փոփոխությունը վերաբերում է միայն ռուսերենին]
գ) 2.2.6-րդ ենթակետը «Ղազախստանի ՄԷՀ-ի համակարգային օպերատորի հետ» բառերից հետո լրացնել «, և Ղազախստանի ՄԷՀ-ի համակարգային օպերատորի և Ղրղզստանի ԱԷՑ-ի կառավարման հարցերով կազմակերպության կողմից երրորդ երկրների այն համակարգային օպերատորների համաձայնությամբ, որոնց էներգահամակարգերն աշխատում են զուգահեռաբար՝ Կենտրոնական Ասիայի միացյալ էներգետիկական համակարգի շրջանակներում» բառերով.
դ) 2.3.1-րդ ենթակետում՝
երրորդ պարբերությունը «Ղազախստանի ՄԷՀ-ի համակարգային օպերատորի հետ» բառերից հետո լրացնել «, այդ թվում՝ Ղրղզստանի Հանրապետության և Ղազախստանի Հանրապետության միջև պետական սահմանով էլեկտրաէներգիայի (հզորության) և ՄՊՀ-ի մատակարարումների հայտագրված ծավալները հաշվառելու համար.» բառերով.
չորրորդ պարբերությունը «Ղազախստանի ՄԷՀ-ի համակարգային օպերատորից ստացված» բառերից հետո լրացնել «, այդ թվում՝ Ղրղզստանի Հանրապետության և Ղազախստանի Հանրապետության միջև պետական սահմանով էլեկտրաէներգիայի (հզորության) և ՄՊՀ-ի մատակարարումների հայտագրված ծավալները հաշվի առնող» բառերով.
վերջին պարբերությունը «Ղազախստանի ՄԷՀ-ի համակարգային օպերատորին» բառերից հետո լրացնել «, Ղրղզստանի ԱԷՑ-ի կառավարման հարցերով կազմակերպությանը» բառերով.
ե) 2.3.2, 2.3.3 և 2.4.1-րդ ենթակետերը համապատասխան հոլովով «Ղազախստանի ՄԷՀ-ի համակարգային օպերատոր» բառերից հետո լրացնել համապատասխան հոլովով «, Ղրղզստանի ԱԷՑ-ի կառավարման հարցերով կազմակերպություն» բառերով.
զ) 2.4.2-րդ ենթակետի երկրորդ պարբերությունը շարադրել հետևյալ խմբագրությամբ՝
«Հայաստանի ԷԷՀ-ի համակարգային օպերատորը, Ղրղզստանի ԱԷՑ-ի կառավարման հարցերով կազմակերպությունը կազմում և ներկայացնում են պլանավորման համակարգողին Հայաստանի ԷԷՀ-ի և Ղրղզստանի ԷՀ-ի՝ հաշվարկային մոդելում ներառված էլեկտրացանցային սարքավորումների վերանորոգումների գրաֆիկները։ Հայաստանի ԷԷՀ-ի և Ղրղզստանի ԷՀ-ի՝ հաշվարկային մոդելում ներառված էլեկտրացանցային սարքավորումների վերանորոգումների գրաֆիկները պլանավորման համակարգողի հետ համաձայնեցման ենթակա չեն։».
է) 2.4.3-րդ ենթակետը «Ղազախստանի ՄԷՀ-ի համակարգային օպերատորը» բառերից հետո լրացնել «, այդ թվում՝ Ղրղզստանի Հանրապետության և Ղազախստանի Հանրապետության միջև պետական սահմանով էլեկտրաէներգիայի (հզորության) և ՄՊՀ-ի մատակարարումների հայտագրված ծավալները հաշվառելու համար» բառերով.
ը) 2.4.4-րդ ենթակետը «Ղազախստանի ՄԷՀ» բառերից հետո լրացնել «,Ղրղզստանի ԷՀ - Ղազախստանի ՄԷՀ» բառերով.
թ) 2.4.5, 2.5.1 և 2.6.1-րդ ենթակետերը համապատասխան հոլովով «Ղազախստանի ՄԷՀ-ի համակարգային օպերատոր» բառերից հետո լրացնել համապատասխան հոլովով «, Ղրղզստանի ԱԷՑ-ի կառավարման հարցերով կազմակերպություն» բառերով.
ժ) 2.6.2-րդ ենթակետում՝
առաջին պարբերությունը «Ղազախստանի ՄԷՀ-ի համակարգային օպերատորը» բառերից հետո լրացնել «, այդ թվում՝ հաշվի առնելով Ղրղզստանի Հանրապետության և Ղազախստանի Հանրապետության միջև պետական սահմանով էլեկտրաէներգիայի (հզորության) և ՄՊՀ-ի մատակարարումների հայտագրված ծավալները՝ Հայաստանի ԷԷՀ-ի համակարգային օպերատորը» բառերով.
երրորդ պարբերությունը «Ղազախստանի ՄԷՀ-ի համակարգային օպերատորի կողմից» բառերից հետո լրացնել «, Ղրղզստանի ԱԷՑ-ի կառավարման հարցերով կազմակերպության, Հայաստանի ԷԷՀ-ի համակարգային օպերատորի կողմից» բառերով.
հինգերորդ պարբերությունում՝
«Ղազախստանի ՄԷՀ-ի համակարգային օպերատորի հետ համաձայնեցված» բառերից հետո լրացնել «, այդ թվում՝ Ղրղզստանի Հանրապետության և Ղազախստանի Հանրապետության միջև պետական սահմանով էլեկտրաէներգիայի (հզորության) և ՄՊՀ-ի մատակարարումների հայտագրված ծավալների նկատմամբ,» բառերը.
«Բելառուսի ՄԷՀ-ի, Ղազախստանի ՄԷՀ-ի» բառերից հետո լրացնել « և Ղրղզստանի ԷՀ-ի» բառերը.
ժա) 2.6.3-րդ ենթակետը «Ղազախստանի ՄԷՀ-ի համակարգային օպերատորի կողմից» բառերից հետո լրացնել «, այդ թվում՝ հաշվի առնելով Ղրղզստանի Հանրապետության և Ղազախստանի Հանրապետության միջև պետական սահմանով էլեկտրաէներգիայի (հզորության) և ՄՊՀ-ի մատակարարումների հայտագրված ծավալները» բառերով.
ժբ) 2.6.5 և 2.6.6-րդ ենթակետերը համապատասխան հոլովով «Ղազախստանի ՄԷՀ-ի համակարգային օպերատոր» բառերից հետո լրացնել համապատասխան հոլովով «, Ղրղզստանի ԱԷՑ-ի կառավարման հարցերով կազմակերպություն» բառերով.
ժգ) 2.6.7-րդ ենթակետի առաջին պարբերությունը «Ղազախստանի ՄԷՀ-ի համակարգային օպերատորը» բառերից հետո լրացնել «, այդ թվում՝ հաշվի առնելով Ղրղզստանի Հանրապետության և Ղազախստանի Հանրապետության միջև պետական սահմանով էլեկտրաէներգիայի (հզորության) և ՄՊՀ-ի մատակարարումների հայտագրված ծավալները» բառերով։
3. 3-րդ բաժինը լրացնել հետևյալ բովանդակությամբ 3.5-րդ կետով՝
«3.5. Ղրղզստանի Հանրապետության տարածքում:
Ղրղզստանի Հանրապետության տարածքում ՄՊՀ կազմակերպումն ու իրականացումը վերապահվում են Ղրղզստանի ԱԷՑ-ի կառավարման հարցերով կազմակերպությանը, որն իրականացնում է հետևյալ գործառույթները՝
- 110-500 կՎ լարման ազգային էլեկտրական ցանցերով էլեկտրական էներգիայի հաղորդման գծով ծառայությունների մատուցում.
- ազգային էլեկտրական ցանցերի օպերատիվ-կարգավարական կառավարում.
- Ղրղզստանի Հանրապետությունում էլեկտրական էներգիայի և հզորության արտադրության և սպառման ռեժիմների կառավարում իրական ժամանակի ռեժիմում.
- հարակից էներգահամակարգերի սուբյեկտներին հաճախականության կարգավորման (հզորության փոխհոսքերի օրական ժամանակացույցների միջև անհամամասնության շտկման) գծով ծառայությունների մատուցում.
- սահմանակից պետությունների էլեկտրաէներգետիկական համակարգերի հետ փոխգործակցություն զուգահեռ աշխատանքի ռեժիմների կառավարման և կայունության ապահովման գծով։»։
4. 4-րդ բաժինը լրացնել հետևյալ բովանդակությամբ 4.5-րդ կետով՝
«4.5. Ղրղզստանի Հանրապետության տարածքում:
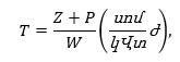
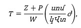
4.5.1. Ղրղզստանի Հանրապետության օրենսդրությանը համապատասխան՝ ազգային էլեկտրական ցանցերով էլեկտրական էներգիայի հաղորդման գծով ծառայությունների, այդ թվում՝ անդամ պետությունների միջև ՄՊՀ-ի ծառայությունների սակագինը հաշվարկվում է հետևյալ բանաձևով՝
որտեղ՝
T-ն՝ ազգային էլեկտրական ցանցերով էլեկտրական էներգիայի հաղորդման գծով ծառայությունների սակագինն է (սոմ/կՎտժ).
Z-ն՝ էլեկտրական էներգիայի հաղորդման ծառայությունների համար օրենսդրությամբ սահմանված կարգով որոշվող Ղրղզստանի ԱԷՑ-ի կառավարման հարցերով կազմակերպության ընդհանուր տարեկան ծախսերն են (մլն սոմ).
P-ն՝ շահույթի տարեկան մակարդակը (մլն սոմ).
W-ն՝ պայմանագրերով հայտագրված էլեկտրական էներգիայի հաղորդման հանրագումարային ծավալն է(մլն կՎտժ)։
4.5.2. Ընդհանուր տարեկան ծախսերի մեջ ներառվում են վերանորոգման և շահագործման սպասարկման ծախսերը (հաշվի առնելով նյութական, աշխատանքային և այլ ծախսեր), պարտքի սպասարկումը (վարկեր) և ակտիվներում ներդրված միջոցների ամորտիզացիան, կապիտալ ներդրումները, էլեկտրական էներգիայի կորուստների փոխհատուցման գծով ծախսերը, էլեկտրաէներգիայի գնումը, պետական մարմիններին կատարված մասհանումները և այլն:
Էլեկտրական էներգիայի հաղորդման ծառայությունների սակագնի մեջ ներառվող ծախսերը որոշվում են Ղրղզստանի Հանրապետության օրենսդրությանը համապատասխան:»:
5. 5-րդ բաժինը լրացնել հետևյալ բովանդակությամբ 5.5-րդ կետով՝
«5.5. Ղրղզստանի Հանրապետության տարածքում:
Անդամ պետությունների միջև ՄՊՀ-ի ծառայությունների սակագնի ձևավորման ժամանակ հաշվի չեն առնվում ծախսերը՝ Ղրղզստանի Հանրապետության օրենսդրությանը համապատասխան։»:
6. 6-րդ բաժնում՝
ա) 6.3.1.1-ին ենթակետի առաջին պարբերությունը «կամ Ղազախստանի Հանրապետության» բառերից հետո լրացնել «, կամ Ղրղզստանի Հանրապետության» բառերով, «ծառայությունների» բառից առաջ լրացնել «սուբյեկտների» բառով.
բ) 6.3.1.2-րդ ենթակետը «անդամ պետությունների այն կազմակերպությունների միջև» բառերից առաջ լրացնել «Սահմանակից» բառով.
գ) լրացնել հետևյալ բովանդակությամբ 6.6-րդ կետը՝
«6.6. Ղրղզստանի Հանրապետության տարածքում:
Ղրղզստանի Հանրապետության տարածքում անդամ պետությունների միջև ՄՊՀ-ն իրականացվում է էլեկտրական էներգիայի հաղորդման ծառայությունների մատուցման պայմանագրերի հիման վրա, որոնք կնքվում են Ղրղզստանի ԱԷՑ-ի կառավարման հարցերով կազմակերպության կողմից՝ սույն մեթոդաբանությանը համապատասխան։»։
7. 9-րդ բաժնում՝
ա) երկրորդ պարբերությունը «Ղազախստանի ՄԷՀ-ի համակարգային օպերատորի» բառերից հետո լրացնել «, Ղրղզստանի ԱԷՑ-ի կառավարման հարցերով կազմակերպության կողմից» բառերով.
բ) տասներորդ պարբերությունը շարադրել հետևյալ խմբագրությամբ՝
«Այն դեպքում, երբ ՄՊՀ-ի իրականացման ժամանակ չի պահանջվում էլեկտրական էներգիայի (հզորության) հաղորդում Հայաստանի Հանրապետության և Ռուսաստանի Դաշնության միջև և (կամ) Ղրղզստանի Հանրապետության և Ռուսաստանի Դաշնության միջև, շեղումների փոխհատուցման նպատակով գնված և վաճառված էլեկտրական էներգիայի (հզորության)՝ հաշվարկի ժամանակ օգտագործվող քանակական և գնային պարամետրերը հաստատվում են Ռուսաստանի Դաշնության առևտրային ենթակառուցվածքի կազմակերպությունների հաշվետու փաստաթղթերով։».
գ) տասներորդ պարբերությունից հետո լրացնել հետևյալ բովանդակությամբ պարբերություն.
«Այն դեպքում, երբ ՄՊՀ-ի իրականացման ժամանակ պահանջվում է էլեկտրական էներգիայի (հզորության) հաղորդում Ղրղզստանի Հանրապետության և Ռուսաստանի Դաշնության միջև, Ռուսաստանի Դաշնության սահմանին մատակարարման կետերում շեղումների փոխհատուցման նպատակով գնված և վաճառված էլեկտրական էներգիայի (հզորության)՝ հաշվարկի ժամանակ օգտագործվող քանակական և գնային պարամետրերը հաստատվում են Ռուսաստանի Դաշնության առևտրային ենթակառուցվածքի կազմակերպությունների հաշվետու փաստաթղթերով, իսկ Ղազախստանի Հանրապետության և Ղրղզստանի Հանրապետության սահմանով՝ Ղազախստանի Հանրապետության համակարգային օպերատորի և Ղրղզստանի ԱԷՑ-ի կառավարման հարցերով կազմակերպության միջև կազմված հաշվետու փաստաթղթերով։»։
Հոդված 2
Սույն արձանագրությունն ուժի մեջ է մտնում սույն արձանագրությունն ուժի մեջ մտնելու համար անհրաժեշտ ներպետական ընթացակարգերն անդամ պետությունների կողմից կատարվելու մասին վերջին գրավոր ծանուցումն ավանդապահի կողմից դիվանագիտական ուղիներով ստանալու օրվանից, բայց ոչ շուտ, քան ««Եվրասիական տնտեսական միության մասին» 2014 թվականի մայիսի 29-ի պայմանագրում փոփոխություններ կատարելու մասին» 20__թվականի ______-ին ստորագրված արձանագրությունն ուժի մեջ մտնելու օրը:
Կատարված է _________ քաղաքում 2017 թվականի ________ ___-ին, մեկ բնօրինակից՝ ռուսերենով։
Սույն արձանագրության բնօրինակը պահվում է Եվրասիական տնտեսական հանձնաժողովում, որը՝ որպես սույն արձանագրության ավանդապահ, յուրաքանչյուր անդամ պետության կուղարկի դրա հաստատված պատճենը։
Եվրասիական տնտեսական հանձնաժողովի խորհրդի անդամներ՝
|
Հայաստանի Հանրապետությունից՝ |
Բելառուսի Հանրապետությունից՝ |
Ղազախստանի Հանրապետությունից՝ |
Ղրղզստանի Հանրապետությունից՝ |
Ռուսաստանի Դաշնությունից՝ |