ՀԱՅԱՍՏԱՆԻ ՀԱՆՐԱՊԵՏՈՒԹՅՈՒՆ
ՎՃՌԱԲԵԿ ԴԱՏԱՐԱՆ
ՀՀ վերաքննիչ քաղաքացիական դատարանի որոշում Սնանկության գործ թիվ ԵԿԴ/0217/04/16 Սնանկության գործ թիվ ԵԿԴ/0217/04/16 Դատավորներ՝
Նախագահող դատավոր՝ Ս. Միքայելյան
Ա. Սմբատյան
Հ. Ենոքյան
Ո Ր Ո Շ ՈՒ Մ
ՀԱՅԱՍՏԱՆԻ ՀԱՆՐԱՊԵՏՈՒԹՅԱՆ ԱՆՈՒՆԻՑ
Հայաստանի Հանրապետության վճռաբեկ դատարանի քաղաքացիական և վարչական պալատը
(այսուհետ` Վճռաբեկ դատարան) հետևյալ կազմով`
նախագահող |
Ռ. Հակոբյան | |
|
զեկուցող |
Ն. Տավարացյան |
|
|
Ս. ԱՆՏՈՆՅԱՆ |
|
|
Վ. Ավանեսյան |
|
|
Ա. Բարսեղյան |
|
|
Մ. Դրմեյան |
|
|
Ե. Խունդկարյան |
|
|
Գ. Հակոբյան |
|
|
Տ. Պետրոսյան |
|
|
Է. Սեդրակյան |
2019 թվականի հունվարի 10-ին
գրավոր ընթացակարգով քննելով ՀՀ կառավարությանն առընթեր պետական եկամուտների կոմիտեի (այսուհետ՝ Կոմիտե) վճռաբեկ բողոքը ՀՀ վերաքննիչ քաղաքացիական դատարանի 22.03.2018 թվականի որոշման դեմ՝ ըստ դիմումի Նոյեմ Մարտիրոսյանի ընդդեմ Սամվել Սահակյանի՝ սնանկ ճանաչելու պահանջի մասին,
Պ Ա Ր Զ Ե Ց
1. Գործի դատավարական նախապատմությունը
Դիմելով դատարան` Նոյեմ Մարտիրոսյանը պահանջել է Սամվել Սահակյանին սնանկ ճանաչել:
Երևանի Կենտրոն և Նորք-Մարաշ վարչական շրջանների ընդհանուր իրավասության դատարանի 05.08.2016 թվականի վճռով դիմումը բավարարվել է:
Երևանի Կենտրոն և Նորք-Մարաշ վարչական շրջանների ընդհանուր իրավասության դատարանը (դատավոր՝ Կ. Պետրոսյան) (այսուհետ` Դատարան) 09.10.2017 թվականի «Միջանկյալ բաշխման ծրագրի դեմ բերված առարկությունները քննության առնելու մասին» որոշմամբ Կոմիտեի ներկայացրած առարկությունը մերժել է` Սամվել Սահակյանի սնանկության գործով կառավարիչ Մայիս Հայրապետյանի կողմից 28.07.2017 թվականին ներկայացված միջանկյալ բաշխման ծրագիրը թողնելով անփոփոխ:
ՀՀ վերաքննիչ քաղաքացիական դատարանի (այսուհետ` Վերաքննիչ դատարան) 22.03.2018 թվականի որոշմամբ Կոմիտեի վերաքննիչ բողոքը մերժվել է, և Դատարանի 09.10.2017 թվականի «Միջանկյալ բաշխման ծրագրի դեմ բերված առարկությունը քննության առնելու մասին» որոշումը թողնվել է օրինական ուժի մեջ:
Սույն գործով վճռաբեկ բողոք է ներկայացրել Կոմիտեն։
Վճռաբեկ բողոքի պատասխան չի ներկայացվել։
2. Վճռաբեկ բողոքի հիմքերը, հիմնավորումները և պահանջը
Սույն վճռաբեկ բողոքը քննվում է հետևյալ հիմքի սահմաններում ներքոհիշյալ հիմնավորումներով.
Վերաքննիչ դատարանը խախտել է «Սնանկության մասին» ՀՀ օրենքի 30-րդ հոդվածի 3-րդ մասը, 80-րդ և 82-րդ հոդվածները:
Բողոք բերած անձը նշված պնդումը պատճառաբանել է հետևյալ փաստարկներով.
Ստորադաս դատարաններն անտեսել են այն հանգամանքը, որ կառավարչի վարձատրությանն ուղղվող գումարի նկատմամբ ևս կիրառվել է «Սնանկության մասին» ՀՀ օրենքի 30-րդ հոդվածը, այսինքն՝ կառավարչի վարձատրության չափը դիտվել է որպես պահանջի բավարարում, և այդ գումարի նկատմամբ համապատասխան տոկոսադրույքների չափերով կրկին կառավարչին վարձատրություն է հաշվարկվել: Մինչդեռ սնանկության գործով կառավարիչը վարձատրվում է իր կողմից կատարված աշխատանքների կամ մատուցած ծառայությունների դիմաց:
Կառավարչի վարձատրության հաշվարկման բազան պետք է լինի պահանջների բավարարմանն ուղղված գումարը, մինչդեռ կառավարիչը վարձատրությունը հաշվարկելիս հիմք է ընդունել ոչ թե պարտատերերի պահանջների բավարարման չափը՝ 21.560.279 ՀՀ դրամը, այլ՝ պարտապանի գույքի վաճառքից և ակտիվների հավաքագրումից առաջացած միջոցների ամբողջ գումարը՝ 29.630.000 ՀՀ դրամը, որի հետևանքով կառավարչի վարձատրությունն ավել է հաշվարկվել:
Վերոգրյալի հիման վրա բողոք բերած անձը պահանջել է բեկանել և փոփոխել Վերաքննիչ դատարանի 22.03.2018 թվականի որոշումը։
3. Վճռաբեկ բողոքի քննության համար նշանակություն ունեցող փաստերը
Վճռաբեկ բողոքի քննության համար էական նշանակություն ունեն հետևյալ փաստերը`
1) Երևանի Կենտրոն և Նորք-Մարաշ վարչական շրջանների ընդհանուր իրավասության դատարանի 15.08.2016 թվականի որոշմամբ Մայիս Հայրապետյանը նշանակվել է Սամվել Սահակյանի սնանկության գործով կառավարիչ (հավելված, գ.թ. 6-7).
2) Երևանի Կենտրոն և Նորք-Մարաշ վարչական շրջանների ընդհանուր իրավասության դատարանի 06.10.2016 թվականի որոշմամբ հաստատվել է պահանջների վերջնական ցուցակը` ըստ հետևյալ առաջնահերթության և ապահովվածության (հավելված, գ.թ. 8-9)`
1. ՀՀ ԿԱ ՊԵԿ - 8.862.798 ՀՀ դրամ - «է» հերթ
2. Նոյեմ Մարտիրոսյան - 65.000 ԱՄՆ դոլար և
28.800.000 ՀՀ դրամ - «է» հերթ
3. «Ամերիաբանկ» ՓԲԸ - 21.155,75 ԱՄՆ դոլար - ապահովված պահանջ
4. Դատական ծախսեր/պետական տուրք/ - 100.000 ՀՀ դրամ - «դ» հերթ
3) Դրամական պարտավորության կատարումն ապահովելու նպատակով գրավադրված գույքը՝ Երևանի Հերացու փողոցի թիվ 10 շենքի 43-րդ հասցեի շինությունը վաճառվել է 29.630.000 ՀՀ դրամով (հավելված, գ.թ. 22):
4) Սնանկության գործով կառավարիչ Մայիս Հայրապետյանի կողմից 28.07.2017 թվականին Դատարան է ներկայացվել գրավադրված գույքի իրացումից ստացված միջոցների միջանկյալ բաշխման ծրագիրը՝ հետևյալ բովանդակությամբ.
- ապահովված պարտատիրոջ պահանջ` 10.073.164 ՀՀ դրամ,
- կառավարչի վարձատրություն՝ 2.870.400 ՀՀ դրամ,
- վարչական ծախսեր, այդ թվում` գույքի պահպանման և տնօրինման համար անհրաժեշտ ծախսեր՝ 260.000 ՀՀ դրամ,
- դատական ծախսեր՝ 100.000 ՀՀ դրամ,
- ընթացիկ անուղղակի հարկային պարտավորությունները՝ կապված պարտապանի գույքի վաճառքի հետ՝ 4.939.321 ՀՀ դրամ,
- չապահովված հերթ՝
Ն. Մարտիրոսյան՝ 9.915.900 ՀՀ դրամ (համամասնորեն),
ՀՀ ԿԱ ՊԵԿ՝ 1.471.215 ՀՀ դրամ (համամասնորեն) (հավելված, գ.թ. 20-21):
4. Վճռաբեկ դատարանի պատճառաբանությունները և եզրահանգումները
Վճռաբեկ դատարանն արձանագրում է, որ սույն վճռաբեկ բողոքը վարույթ ընդունելը պայմանավորված է ՀՀ քաղաքացիական դատավարության օրենսգրքի 394-րդ հոդվածի 1-ին մասի 1-ին կետով նախատեսված հիմքի առկայությամբ, այն է՝ բողոքում բարձրացված հարցի վերաբերյալ վճռաբեկ դատարանի որոշումը կարող է էական նշանակություն ունենալ օրենքի և այլ նորմատիվ իրավական ակտերի միատեսակ կիրառության համար, և գտնում է, որ տվյալ դեպքում Վճռաբեկ դատարանի արտահայտած իրավական դիրքորոշումները` պարտապանի գույքի իրացումից ստացված միջոցները բաշխելու վերաբերյալ, կարևոր նշանակություն կունենան նմանատիպ գործերով միասնական և կանխատեսելի դատական պրակտիկա ձևավորելու համար:
Վերոգրյալով պայմանավորված՝ Վճռաբեկ դատարանը, վերահաստատելով նախկինում արտահայտած իրավական դիրքորոշումները, հարկ է համարում կրկին անդրադառնալ սնանկության գործով միջանկյալ բաշխման ծրագրով կառավարչի վարձատրության հաշվարկման առանձնահատկություններին:
«Սնանկության մասին» ՀՀ օրենքի 79-րդ հոդվածի համաձայն` պարտապանի գույքի վաճառքից (օտարումից) ստացված (փոխհատուցված) միջոցները փոխանցվում են պարտապանի սնանկության հատուկ հաշվին, իսկ անդորրագրերը հանձնվում են կառավարչին:
«Սնանկության մասին» ՀՀ օրենքի 80-րդ հոդվածի 1-ին մասի համաձայն` պարտապանի գույքի վաճառքից (օտարումից) ստացված (փոխհատուցված) միջոցները բաշխվում են նույն օրենքով սահմանված հերթականությամբ` կառավարչի կողմից հաստատված և պարտատերերի կողմից ընդունված (չառարկված) միջանկյալ բաշխման ծրագրին համապատասխան: Նույն հոդվածի 2-րդ մասի համաձայն` պարտապանի պարտավորությունների դիմաց գրավադրված գույքի իրացումից ստացված միջոցներից արտահերթ վճարվում են գույքի պահպանման և փոխանցման հետ կապված ծախսերը, ինչպես նաև կառավարչի վարձատրությունը: Նույն հոդվածի 5-րդ մասի համաձայն՝ եթե պարտատերը (պարտատերերը) բաշխման ծրագրի օրինակն ստանալու կամ հայտարարությունը հրապարակելուց հետո` 7 օրվա ընթացքում, բաշխման ծրագրի վերաբերյալ գրավոր առարկություն է ներկայացնում դատարան, ապա դատավորն առարկությունն ստանալուց հետո` յոթ օրվա ընթացքում, հրավիրում է դատական նիստ, որի տեղի և ժամանակի մասին կառավարչին, պարտապանին և պարտատերերին ծանուցում է իրավաբանական անձանց պետական գրանցման մասին տվյալներ հրապարակող մամուլում` նիստից առնվազն երեք օր առաջ տրվող հայտարարությամբ կամ ծանուցագիր ուղարկելու միջոցով: Նույն հոդվածի 6-րդ մասի համաձայն՝ առարկությունների քննարկման արդյունքում դատարանը որոշում է կայացնում կառավարչի ներկայացրած միջանկյալ բաշխման ծրագիրն անփոփոխ թողնելու, փոփոխելու կամ մերժելու վերաբերյալ:
«Սնանկության մասին» ՀՀ օրենքի 82-րդ հոդվածի 1-ին մասի «ա» կետի համաձայն` պարտատերերի չապահովված պահանջները բավարարվում են հետևյալ հերթականությամբ` կառավարչի վարձատրությունը և վարչական ծախսերը, այդ թվում`
- գույքի պահպանման և տնօրինման համար անհրաժեշտ ծախսերը (սնանկության դիմումը ներկայացնելու օրվանից մինչև ֆինանսական առողջացման ծրագրի նախագծի հաստատումն ընկած ժամանակահատվածում ֆինանսավորումները),
- վարչական աշխատողների աշխատավարձը, եկամտային հարկի վճարումները և պարտադիր սոցիալական վճարները,
- վարչական ապարատը պահպանելու համար այլ անհրաժեշտ ծախսերը,
- պարտադիր սոցիալական վճարները,
- աշխատավարձի, եկամտային հարկի և պարտադիր սոցիալական վճարների վերաբերյալ փաստաթղթերի արխիվացման ծախսերը…:
«Սնանկության մասին» ՀՀ օրենքի 30-րդ հոդվածի 1-ին մասի համաձայն` կառավարչի վարձատրությունը կատարվում է պարտապանի դրամական միջոցներից, պարտապանի, երրորդ անձանց գույքի վաճառքից (օտարումից) կամ ակտիվների (այդ թվում` դեբիտորական պարտքերի) հավաքագրումից գոյացած միջոցներից, չներառելով գույքի իրացումից ծագող հարկային պարտավորությունների գումարը:
Նույն հոդվածի 3-րդ մասի համաձայն`կառավարչի վարձատրությունը սահմանվում է դատարանի որոշմամբ, պարտատերերի պահանջների բավարարման չափի հետևյալ տոկոսադրույքներով`
ա) մինչև 25 միլիոն դրամ` 10 տոկոս.
բ) 25-50 միլիոն դրամ` 2.500.000 դրամին գումարած 25 միլիոն դրամը գերազանցող գումարի 8 տոկոսը.
գ) 50-75 միլիոն դրամ` 4.500.000 դրամին գումարած 50 միլիոն դրամը գերազանցող գումարի 7 տոկոսը.
դ) 75-100 միլիոն դրամ` 6.250.000 դրամին գումարած 75 միլիոն դրամը գերազանցող գումարի 6 տոկոսը.
ե) 100-500 միլիոն դրամ` 7.750.000 դրամին գումարած 100 միլիոն դրամը գերազանցող գումարի 4 տոկոսը.
զ) 500 միլիոն դրամից ավելին` 23.750.000 դրամին գումարած 500 միլիոն դրամը գերազանցող գումարի 3 տոկոսը:
ՀՀ վճռաբեկ դատարանը, «ՎՏԲ-Հայաստան բանկ» ՓԲԸ-ն ընդդեմ «ՓՐԱՅՄ ԼԻԳԱ ՄԱՐԿԵՏ» ՓԲԸ-ի գործով որոշմամբ անդրադառնալով վերը նշված իրավական նորմերի մեկնաբանությանը, արձանագրել է, որ սնանկության գործով կառավարչի կողմից պարտապանին պատկանող գույքի վաճառք իրականացնելուց հետո դրանից ստացված միջոցները փոխանցվում են պարտապանի սնանկության հատուկ հաշվին, որոնք բաշխվում են նույն օրենքով սահմանված հերթականությամբ` կառավարչի կողմից հաստատված և պարտատերերի կողմից ընդունված (չառարկված) միջանկյալ բաշխման ծրագրին համապատասխան:
Միևնույն ժամանակ օրենսդիրը որոշակի բացառություն է կատարել այն գույքի վաճառքն իրականացնելուց հետո ստացված միջոցների բաշխման մասով, որը գրավ է դրվել սնանկ ճանաչված պարտապանի պարտավորությունների դիմաց` արձանագրելով, որ նման գույքի վաճառքի դեպքում ստացված միջոցներից արտահերթ վճարվում են միայն գույքի պահպանման և փոխանցման հետ կապված ծախսերը, ինչպես նաև կառավարչի վարձատրությունը, որից բխում է, որ մնացած գումարն ուղղվում է ապահովված պահանջի բավարարմանը: Ավելին` օրենսդիրն արտահերթ վճարման ենթակա ծախսերի մեջ որպես վարչական ծախս ներառել է միայն գրավի առարկա գույքի պահպանման և փոխանցման հետ կապված ծախսերը` բացառելով «Սնանկության մասին» ՀՀ օրենքի 82-րդ հոդվածի 1-ին մասի «ա» կետում նշված` մնացած վարչական ծախսերի, այդ թվում` գույքի տնօրինման համար անհրաժեշտ ծախսերի (սնանկության դիմումը ներկայացնելու օրվանից մինչև ֆինանսական առողջացման ծրագրի նախագծի հաստատումն ընկած ժամանակահատվածում ֆինանսավորումները), վարչական աշխատողների աշխատավարձի, եկամտային հարկի վճարումների և պարտադիր սոցիալական վճարների, վարչական ապարատը պահպանելու համար այլ անհրաժեշտ ծախսերի, պարտադիր սոցիալական վճարների, աշխատավարձի, եկամտային հարկի և պարտադիր սոցիալական վճարների վերաբերյալ փաստաթղթերի արխիվացման ծախսերի ներառումը վարչական ծախսերի մեջ:
Նույն որոշմամբ ՀՀ վճռաբեկ դատարանը նշել է, որ կառավարչի վարձատրությունը կատարվում է պարտապանի դրամական միջոցներից, պարտապանի, երրորդ անձանց գույքի վաճառքից (օտարումից) կամ ակտիվների (այդ թվում` դեբիտորական պարտքերի) հավաքագրումից գոյացած միջոցներից` չներառելով գույքի իրացումից ծագող հարկային պարտավորությունների գումարը:
Օրենսդիրը նաև հստակ կարգավորել է ինչպես կառավարչի վարձատրությունը սահմանող մարմնի, այնպես էլ այդ վարձատրության չափի հարցերը` ամրագրելով, որ վարձատրության չափը սահմանվում է դատարանի որոշմամբ` ելնելով պարտատերերի պահանջների բավարարման չափից որոշակի տոկոսադրույքներով: Այսինքն` տվյալ դեպքում կառավարչի վարձատրության չափն անմիջականորեն կախվածության մեջ է գտնվում միայն պարտատերերի բավարարված պահանջների չափից, և վարձատրության չափը որոշելիս պետք է պարզել, թե որ պարտատերերի պահանջներն են բավարարվել և ինչ չափով:
ՀՀ վճռաբեկ դատարանն արձանագրել է, որ ինչպես սնանկության կառավարիչը` իրեն տրվելիք վարձատրության գումարի մասով, այնպես էլ վարչական ծախսերի հասցեատերերը` դրանց դիմաց տրվելիք հատուցման մասով, «Սնանկության մասին» ՀՀ օրենքի իմաստով պարտատերեր (պահանջատերեր) չեն հետևյալ պատճառաբանությամբ.
«Սնանկության մասին» ՀՀ օրենքը ենթարկելով վերլուծության, այն մեկնաբանելով դրանում պարունակվող բառերի և արտահայտությունների տառացի նշանակությամբ` ՀՀ վճռաբեկ դատարանն արձանագրել է, որ «պահանջատեր» եզրույթն օգտագործելիս օրենսդիրը մի դեպքում ի նկատի է ունեցել սնանկության վերաբերյալ դիմումում նշված պարտատիրոջը, մյուս դեպքում` պարտապանի նկատմամբ գրանցման նպատակով պահանջ ներկայացրած պարտատիրոջը, իսկ մեկ այլ դեպքում` արդեն պարտատերերի ցուցակում ընդգրկված անձին: Բացի այդ, օրենսդիրը տարբեր ձևակերպումներ է օգտագործել նաև սնանկության կառավարչին, վարչական ծախսերի հասցեատերերին և պահանջատերերին սնանկության վարույթում պարտապանի գույքի և այլ ակտիվների հավաքագրման ու իրացման արդյունքում ստացված դրամական միջոցները վճարելիս: Այսպես, վարչական ծախսերի հասցեատերերին տրվելիք գումարի մասով օրենսդիրն օգտագործել է «ծախսերի վճարում», կառավարչին տրվելիք գումարի մասով` «վարձատրության վճարում», իսկ վերը նշված պահանջատերերին տրվելիք գումարների մասով`«պահանջի բավարարում» ձևակերպումները: Ընդ որում, նման տարբերակումը պայմանավորված է նաև նրանով, որ ի տարբերություն սնանկության կառավարչի և վարչական ծախսերի հասցեատերերի, որոնց վճարման ենթակա գումարները կարող են առաջանալ միայն սնանկ ճանաչելու մասին դիմումը դատարան ներկայացնելուց հետո, պահանջատիրոջ պահանջը կարող է վերաբերել ինչպես մինչ այդ դիմումը դատարան ներկայացնելու ժամանակահատվածին, այնպես էլ դրանից հետո: Բացի այդ, պարտատիրոջը բավարարում տալու համար պարտադիր պայման է վերջինիս կողմից նույն օրենքով սահմանված կարգով և ժամկետում համապատասխան պահանջի ներկայացումը: Մինչդեռ կառավարչի և վարչական ծախսերի հասցեատերերի դեպքում նման պահանջը բացակայում է:
Ավելին՝ օրենսդիրն անգամ նախատեսել է, որ եթե կառավարիչն իրականացնում է իր լիազորությունները, սակայն պարտապանը գույք չունի, կամ նրա գույքի արժեքը պակաս է նվազագույն աշխատավարձի հիսնապատիկից, կառավարչին փոխհատուցումը տրամադրվում է ՀՀ պետական բյուջեից: Հետևաբար կառավարիչը վարձատրվում է իր կատարած աշխատանքի համար, որը չի կարող նույնացվել պարտատիրոջ պահանջների հետ, որոնք, որպես կանոն, ծագում են նախքան պարտապանին սնանկ ճանաչելը, անգամ պայմանավորում են պարտապանի սնանկության հատկանիշների առաջացումը:
Նշվածից ելնելով՝ ՀՀ վճռաբեկ դատարանն արձանագրել է, որ սնանկության կառավարչին հասանելիք վարձատրության գումարը և վարչական ծախսերի հասցեատերերին վճարվելիք հատուցումները չեն կարող դիտվել պահանջի բավարարում ու այդ գումարների դիմաց կառավարչին տրվել վարձատրություն:
Վերոգրյալի հիման վրա ՀՀ վճռաբեկ դատարանը փաստել է, որ կառավարչի վարձատրության չափը պետք է որոշվի հետևյալ կերպ.
Նկատի ունենալով այն, որ ի սկզբանե կառավարչին հայտնի են միայն պարտապանի դրամական միջոցների, պարտապանի և երրորդ անձանց գույքի վաճառքից կամ ակտիվների հավաքագրումից ստացված միջոցների գումարը և վարչական ծախսերի չափը, իսկ գրավադրված գույքի դեպքում՝ միայն դրա պահպանման և փոխանցման հետ կապված ծախսերի չափը, ապա այդ միջոցներից պետք է հանել համապատասխան վարչական ծախսերը: Դրանից հետո ստացված գումարի մի մասը պետք է ուղղվի պարտատիրոջ պահանջների բավարարմանը և կառավարչի վարձատրությանը:
«Սնանկության մասին» ՀՀ օրենքի 30-րդ հոդվածի 3-րդ մասի «ա» կետի դեպքում հաշվարկը կորոշվի հետևյալ բանաձևով ՝
ՄՀ = ՎԾ+ՊԳ+ԿՎ
Որտեղ «ՄՀ»-ն պարտապանի դրամական միջոցների, պարտապանի և երրորդ անձանց գույքի վաճառքից կամ ակտիվների հավաքագրումից ստացված միջոցների հանրագումարն է,
«ՎԾ»-ն` համապատասխան վարչական ծախսերը,
«ՊԳ»-ն` պարտատերերի պահանջների բավարարմանն ուղղվելիք գումարի չափը,
«ԿՎ»-ն` կառավարչի վարձատրության չափը, որի բանաձևն է`
ԿՎ = ՊԳ x 10%
Կառավարչի վարձատրությունը պետք է որոշվի պարտատիրոջ պահանջների բավարարման չափից համապատասխան տոկոսադրույքի չափով: Նկատի ունենալով, որ ի սկզբանե այդ գումարն անհայտ է, որոշակի բարդություն կարող են ներկայացնել այն դեպքերը, երբ ստացված միջոցները կազմում են այնպիսի գումար, երբ առերևույթ, առանց հաշվարկի հնարավոր չէ պարզել, թե «Սնանկության մասին» ՀՀ օրենքի 30-րդ հոդվածի 3-րդ մասով սահմանված որ կետն է գործելու:
Այս դեպքի համար ՀՀ վճռաբեկ դատարանը փաստել է, որ օրենսդիրն արդեն իսկ կատարել է այդ հաշվարկը: Հիմք ընդունելով վերոնշյալ հոդվածի կարգավորումը՝ ՀՀ վճռաբեկ դատարանն արձանագրել է, որ.
1) եթե «ՄՀ-ՎԾ»-ն փոքր է 27.500.000 ՀՀ դրամից (25.000.000+2.500.000), ապա կիրառվում է «Սնանկության մասին» ՀՀ օրենքի 30-րդ հոդվածի 3-րդ մասի «ա» կետի հաշվարկը,
2) եթե «ՄՀ-ՎԾ»-ն մեծ է 27.500.000 ՀՀ դրամից կամ հավասար է դրան և միաժամանակ փոքր է 54.500.000 ՀՀ դրամից (50.000.000+4.500.000), ապա կիրառվում է «Սնանկության մասին» ՀՀ օրենքի 30-րդ հոդվածի 3-րդ մասի «բ» կետի հաշվարկը,
3) եթե «ՄՀ-ՎԾ»-ն մեծ է 54.500.000 ՀՀ դրամից կամ հավասար է դրան և միաժամանակ փոքր է 81.250.000 ՀՀ դրամից (75.000.000+6.250.000), ապա կիրառվում է «Սնանկության մասին» ՀՀ օրենքի 30-րդ հոդվածի 3-րդ մասի «գ» կետի հաշվարկը,
4) եթե «ՄՀ-ՎԾ»-ն մեծ է 81.250.000 ՀՀ դրամից կամ հավասար է դրան և միաժամանակ փոքր է 107.750.000 ՀՀ դրամից (100.000.000+7.750.000), ապա կիրառվում է «Սնանկության մասին» ՀՀ օրենքի 30-րդ հոդվածի 3-րդ մասի «դ» կետի հաշվարկը,
5) եթե «ՄՀ-ՎԾ»-ն մեծ է 107.750.000 ՀՀ դրամից կամ հավասար է դրան և միաժամանակ փոքր է 523.750.000 ՀՀ դրամից (500.000.000+23.750.000), ապա կիրառվում է «Սնանկության մասին» ՀՀ օրենքի 30-րդ հոդվածի 3-րդ մասի «ե» կետի հաշվարկը,
6) եթե «ՄՀ-ՎԾ»-ն մեծ է 523.750.000 ՀՀ դրամից կամ հավասար է դրան, ապա կիրառվում է «Սնանկության մասին» ՀՀ օրենքի 30-րդ հոդվածի 3-րդ մասի «զ» կետի հաշվարկը:
Ընդ որում, «Սնանկության մասին» ՀՀ օրենքի 30-րդ հոդվածի 3-րդ մասի «բ-զ» կետերի դեպքում գործում է նույն սկզբունքը, ինչ նույն մասի «ա» կետի դեպքում, պարզապես ստացված միջոցներից հանվում են նաև օրենքով սահմանված վարձատրության հստակ չափերը (այն է՝ «բ» կետի դեպքում՝ 2.500.000 ՀՀ դրամը, «գ» կետի դեպքում՝ 4.500.000 ՀՀ դրամը և այլն):
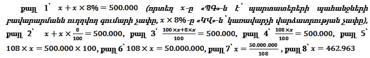
Օրինակ, եթե «ՄՀ-ՎԾ»-ը հավասար է 28.000.000 ՀՀ դրամի, ապա կառավարչի վարձատրությունը հաշվելու համար նախ 28.000.000 ՀՀ դրամից պետք է հանել 2.500.000 ՀՀ դրամը: Ստացված 25.500.000 ՀՀ դրամը գերազանցում է 25.000.000 ՀՀ դրամը 500.000 ՀՀ դրամով: Հետևաբար կառավարչի վարձատրությունը պետք է հաշվվի հետևյալ կերպ.
Այսինքն՝ 500.000 ՀՀ դրամից պարտատերերին ուղղվող գումարի չափը կկազմի 462.963 ՀՀ դրամ, որից 8%-ը՝ 37.037 ՀՀ դրամը, կուղղվի կառավարչի վարձատրությանը: Հետևաբար 28.000.000 ՀՀ դրամ գումարից պարտատերերին կուղղվի 25.462.963 ՀՀ դրամ (25.000.000+462.963), իսկ կառավարչին՝ 2.537.037 ՀՀ դրամ (2.500.000+37.037) (տե՛ս, թիվ ԵԿԴ/0075/04/15 քաղաքացիական գործով ՀՀ վճռաբեկ դատարանի 07.04.2018 թվականի որոշումը):
Վճռաբեկ դատարանի իրավական դիրքորոշումների կիրառումը սույն գործի փաստերի նկատմամբ.
Սույն գործի փաստերի համաձայն` դրամական պարտավորության կատարումն ապահովելու նպատակով գրավադրված գույքը՝ Երևանի Հերացու փողոցի թիվ 10 շենքի 43-րդ հասցեի շինությունը, վաճառվել է 29.630.000 ՀՀ դրամով: Սնանկության գործով կառավարիչ Մայիս Հայրապետյանը Դատարան է ներկայացրել իր կողմից հաստատված հետևյալ բովանդակությամբ միջանկյալ բաշխման ծրագիրը`
- ապահովված պարտատիրոջ պահանջ` 10.073.164 ՀՀ դրամ,
- կառավարչի վարձատրություն՝ 2.870.400 ՀՀ դրամ,
- վարչական ծախսեր, այդ թվում` գույքի պահպանման և տնօրինման համար անհրաժեշտ ծախսեր - 260.000 ՀՀ դրամ,
- դատական ծախսեր՝ 100.000 ՀՀ դրամ,
- ընթացիկ անուղղակի հարկային պարտավորությունները՝ կապված պարտապանի գույքի վաճառքի հետ՝ 4.939.321 ՀՀ դրամ,
- չապահովված հերթ՝ Ն. Մարտիրոսյան 9.915.900 ՀՀ դրամ (համամասնորեն),
ՀՀ ԿԱ ՊԵԿ 1.471.215 ՀՀ դրամ (համամասնորեն):
Դատարանը, քննության առնելով միջանկյալ բաշխման ծրագրի դեմ Կոմիտեի բերած առարկությունը, 09.10.2017 թվականին որոշում է կայացրել միջանկյալ բաշխման ծրագիրն անփոփոխ թողնելու մասին` պատճառաբանելով նաև, որ կառավարչի վարձատրության չափի հաշվարկը կատարվել է «Սնանկության մասին» ՀՀ օրենքի 30-րդ հոդվածի 3-րդ մասի կարգով` բավարարվող պահանջի չափի մեջ ներառելով նաև պարտատերերի պահանջների բավարարման չափի՝ օրենքով սահմանված համապատասխան տոկոսը՝ նկատի ունենալով «Սնանկության մասին» ՀՀ օրենքի 82-րդ հոդվածի 1-ին մասի «ա» կետով նախատեսված պահանջը:
Վերաքննիչ դատարանը, պատճառաբանելով, որ «Սնանկության մասին» ՀՀ օրենքի 30-րդ հոդվածի 3-րդ մասով հաշվարկվող կառավարչի վարձատրության գումարը, որպես չապահովված պահանջ, ընդգրկվում է նույն օրենքի 82-րդ հոդվածի 1-ին մասի «ա» հերթում, գտել է, որ միջանկյալ բաշխման ծրագիրը կազմվել է սահմանված կանոնների պահպանմամբ, ուստի Դատարանի 09.10.2017 թվականի որոշումը թողել է օրինական ուժի մեջ:
Վերը շարադրված իրավական դիրքորոշումների լույսի ներքո գնահատելով Վերաքննիչ դատարանի եզրահանգումների հիմնավորվածությունը՝ Վճռաբեկ դատարանն արձանագրում է հետևյալը.
Սույն գործով սնանկության կառավարիչ Մայիս Հայրապետյանի ներկայացրած միջանկյալ բաշխման ծրագրի համաձայն՝ հավաքագրված միջոցների ընդհանուր գումարը կազմել է 29.630.000 ՀՀ դրամ, որից կառավարչի վարձատրությունը հաշվարկվել է ոչ թե սույն որոշմամբ արտահայտված իրավական դիրքորոշումների հիման վրա, այլ անմիջականորեն 29.630.000 ՀՀ դրամի նկատմամբ հաշվարկելով «Սնանկության մասին» ՀՀ օրենքի 30-րդ հոդվածի 3-րդ մասի «բ» կետով սահմանված տոկոսը՝ սույն որոշմամբ ներկայացված բանաձևին հակառակ:
Հետևաբար Վճռաբեկ դատարանն արձանագրում է, որ սնանկության գործով կառավարիչ Մայիս Հայրապետյանի ներկայացրած միջանկյալ բաշխման ծրագրում կառավարչի վարձատրությունը հաշվարկվել է սույն որոշմամբ արտահայտած իրավական դիրքորոշումներին հակառակ՝ նկատի ունենալով, որ տվյալ դեպքում կառավարչի վարձատրության չափը կախվածության մեջ չի դրվել այն հանգամանքից, թե ինչ չափով են բավարարվում պարտատերերի պահանջները:
Ելնելով վերոգրյալից` Վճռաբեկ դատարանը գտնում է, որ հիմնավոր է բողոք բերած անձի այն փաստարկը, որ Վերաքննիչ դատարանը խախտել է «Սնանկության մասին» ՀՀ օրենքի 30-րդ, 80-րդ և 82-րդ հոդվածները:
Այսպիսով, վճռաբեկ բողոքի հիմքի առկայությունը Վճռաբեկ դատարանը դիտում է բավարար՝ ՀՀ քաղաքացիական դատավարության օրենսգրքի 390-րդ հոդվածի 2-րդ մասի ուժով Վերաքննիչ դատարանի որոշումը բեկանելու և գործը՝ Սամվել Սահակյանի սնանկության գործով կառավարիչ Մայիս Հայրապետյանի ներկայացրած միջանկյալ բաշխման ծրագիրը քննարկելու մասով, նոր քննության ուղարկելու համար:
Ելնելով վերոգրյալից և ղեկավարվելով ՀՀ քաղաքացիական դատավարության օրենսգրքի 405-րդ, 406-րդ և 408-րդ հոդվածներով՝ Վճռաբեկ դատարանը
Ո Ր Ո Շ Ե Ց
1. Վճռաբեկ բողոքը բավարարել: Բեկանել ՀՀ վերաքննիչ քաղաքացիական դատարանի 22.03.2018 թվականի որոշումը և գործը՝ Սամվել Սահակյանի սնանկության գործով կառավարիչ Մայիս Հայրապետյանի ներկայացրած միջանկյալ բաշխման ծրագիրը քննարկելու մասով, ուղարկել ՀՀ սնանկության դատարան՝ նոր քննության:
(1-ին կետը փոփ. 08.02.19 թիվ ԵԿԴ/0217/04/16)
2. Որոշումն օրինական ուժի մեջ է մտնում կայացման պահից, վերջնական է և ենթակա չէ բողոքարկման:
Նախագահող |
Ռ. Հակոբյան |
Զեկուցող |
Ն. Տավարացյան |
Ս. Անտոնյան | |
Վ. Ավանեսյան | |
Ա. Բարսեղյան | |
Մ. Դրմեյան | |
Ե. Խունդկարյան | |
Գ. Հակոբյան | |
Տ. Պետրոսյան | |
Է. Սեդրակյան |
