ՀԱՅԱՍՏԱՆԻ ՀԱՆՐԱՊԵՏՈՒԹՅՈՒՆ
ՎԻՃԱԿԱԳՐՈՒԹՅԱՆ ՊԵՏԱԿԱՆ ԽՈՐՀՈՒՐԴ
19 հոկտեմբերի 2018 թ. |
թիվ 28-Ն |
Ո Ր Ո Շ ՈՒ Մ
«ՀԻԴՐՈԷԼԵԿՏՐԱԿԱՅԱՆԻ ԳՈՐԾՈՒՆԵՈՒԹՅԱՆ ՄԱՍԻՆ» ՁԵՎ 1-ՀԷԿ (ՏԱՐԵԿԱՆ) ՎԻՃԱԿԱԳՐԱԿԱՆ ՀԱՇՎԵՏՎՈՒԹՅԱՆ ՁԵՎՆ ՈՒ ԼՐԱՑՄԱՆ ՀՐԱՀԱՆԳԸ ՀԱՍՏԱՏԵԼՈՒ ԵՎ ՀԱՅԱՍՏԱՆԻ ՀԱՆՐԱՊԵՏՈՒԹՅԱՆ ՎԻՃԱԿԱԳՐՈՒԹՅԱՆ ՊԵՏԱԿԱՆ ԽՈՐՀՐԴԻ 2016 ԹՎԱԿԱՆԻ ՆՈՅԵՄԲԵՐԻ 14-Ի ԹԻՎ 17-Ն ՈՐՈՇՈՒՄՆ ՈՒԺԸ ԿՈՐՑՐԱԾ ՃԱՆԱՉԵԼՈՒ ՄԱՍԻՆ
Ղեկավարվելով «Պաշտոնական վիճակագրության մասին» օրենքի 10-րդ հոդվածի 3-րդ մասի 1-ին կետով և 18-րդ հոդվածի 4-րդ մասով, ինչպես նաև «Նորմատիվ իրավական ակտերի մասին» օրենքի 37-րդ հոդվածի 1-ին մասի դրույթներով՝ Հայաստանի Հանրապետության վիճակագրության պետական խորհուրդը որոշում է.
1. Հաստատել «Հիդրոէլեկտրակայանի գործունեության մասին» Ձև 1-ՀԷԿ (տարեկան) վիճակագրական հաշվետվության ձևը՝ համաձայն հավելված 1-ի:
2. Հաստատել «Հիդրոէլեկտրակայանի գործունեության մասին» Ձև 1-ՀԷԿ (տարեկան) վիճակագրական հաշվետվության ձևի լրացման հրահանգը՝ համաձայն հավելված 2-ի:
3. Ուժը կորցրած ճանաչել Հայաստանի Հանրապետության վիճակագրության պետական խորհրդի 2016 թվականի նոյեմբերի 14-ի ««Հիդրոէլեկտրակայանի գործունեության մասին» Ձև 1-ՀԷԿ (տարեկան) պետական վիճակագրական հաշվետվության ձևն ու լրացման հրահանգը հաստատելու և Հայաստանի Հանրապետության վիճակագրության պետական խորհրդի 2004 թվականի դեկտեմբերի 29-ի թիվ 24-Ն որոշումն ուժը կորցրած ճանաչելու մասին» թիվ 17-Ն որոշումը:
4. Սույն որոշումն ուժի մեջ է մտնում 2019 թվականի հունվարի 1-ից:
Նախագահ՝
Ս. Մնացականյան
Հավելված 1 |
ՁԵՎ 1- ՀԷՀ
(տարեկան)
|
ՀԱՅԱՍՏԱՆԻ ՀԱՆՐԱՊԵՏՈՒԹՅԱՆ ՎԻՃԱԿԱԳՐԱԿԱՆ ԿՈՄԻՏԵ ՎԻՃԱԿԱԳՐԱԿԱՆ ՀԱՇՎԵՏՎՈՒԹՅՈՒՆ ՀԻԴՐՈԷԼԵԿՏՐԱԿԱՅԱՆԻ ԳՈՐԾՈՒՆԵՈՒԹՅԱՆ ՄԱՍԻՆ 20 թ. |
Ներկայացվում է համաձայն «Պաշտոնական վիճակագրության մասին» օրենքի և Հայաստանի Հանրապետության վիճակագրության պետական խորհրդի 2016 թ. հունիսի 20-ի թիվ 05-Ն որոշման: | |||||||||||||||||||||||||||||||||||||||||||||||||||||||||||||
Հաշվետվության ներկայացման ժամկետը` մինչև հաշվետու տարվան հաջորդող ապրիլի 1-ը | |||||||||||||||||||||||||||||||||||||||||||||||||||||||||||||
Ներկայացնում է __________________________________________________________________ (լրիվ անվանումը) Կազմակերպաիրավական տեսակը______________________________________________________
Գործունեության իրականացման վայրի Մարզը/ք. Երևան ______________________________________________________________ Համայնքը____________________________________________________________________ Բնակավայրը/Երևան քաղաքի վարչական շրջանը __________________________________
Հեռախոսահամար(ներ) ___________________________________________________ Էլեկտրոնային փոստ ________________________________@__________________ | |||||||||||||||||||||||||||||||||||||||||||||||||||||||||||||
ՏՐԱՄԱԴՐՎԱԾ ՏԵՂԵԿՈՒԹՅՈՒՆՆԵՐԻ ԳԱՂՏՆԻՈՒԹՅԱՆ ՊԱՀՊԱՆՈՒՄԸ ԵՐԱՇԽԱՎՈՐՎՈՒՄ Է ՕՐԵՆՔՈՎ | |||||||||||||||||||||||||||||||||||||||||||||||||||||||||||||
Դիտարկումների համար անհրաժեշտ վիճակագրական հաշվետվությունները սահմանված ժամկետում չներկայացնելու կամ սահմանված կարգի խախտումով (ոչ արժանահավատ տվյալներ, դրանց ոչ ամբողջականորեն արտացոլում և այլ աղավաղումներ) ներկայացնելու (անկախ ժամկետից) համար վիճակագրական հաշվետվություններ ներկայացնողները ենթարկվում են պատասխանատվության` օրենքով սահմանված կարգով: |
1. Ընդհանուր տեղեկություններ |
Ցուցանիշները |
Տողի |
Հիդրոէլեկտրակայանի տեղակայված հզորու-թյունը տարեվերջին, կՎտ |
Հիդրոէլեկտրակայանի օգտագործվող հզորու-թյունը տարեվերջին, կՎտ |
Հիդրոէլեկտրակայանի միջին աշխատանքային հզորությունը հաշվետու տարում, կՎտ |
Ա |
Բ |
1 |
2 |
3 |
11 |
Ցուցանիշները |
Տողի |
Հիդրոգեներատորային միջին տեղակայված հզորությունը հաշվետու տարում, կՎտ |
Հաշվետու տարում միջին տեղակայված հզորության օգտագործման ժամերի թիվը, |
Տարվա համար տեղա-կայված հզորության սահմանափակման մեծությունը՝ պատճառի նշումով, կՎտ |
Ա |
Բ |
4 |
5 |
6 |
11 |
2. Տվյալներ շահագործման վերաբերյալ
|
Ղեկավար` |
__________________________ |
____________________ | |
(Ազգանուն, անուն) |
(Ստորագրություն) | ||
Լրացնող (գլխավոր հաշվապահ կամ այլ լիազորված անձ)` |
__________________________ |
_____________________ | |
(Ազգանուն, անուն) |
(Ստորագրություն) | ||
«___ »__________20 թ. (լրացման ամսաթիվը) |
Հավելված 2 |
Հ Ր Ա Հ Ա Ն Գ
«ՀԻԴՐՈԷԼԵԿՏՐԱԿԱՅԱՆԻ ԳՈՐԾՈՒՆԵՈՒԹՅԱՆ ՄԱՍԻՆ»
ՁԵՎ 1-ՀԷԿ (ՏԱՐԵԿԱՆ)
ՎԻՃԱԿԱԳՐԱԿԱՆ ՀԱՇՎԵՏՎՈՒԹՅԱՆ ԼՐԱՑՄԱՆ
I. ԸՆԴՀԱՆՈՒՐ ԴՐՈՒՅԹՆԵՐ
1. Սույն հրահանգը կարգավորում է «Հիդրոէլեկտրակայանի գործունեության մասին» Ձև 1-ՀԷԿ (տարեկան) վիճակագրական հաշվետվության (այսուհետ` հաշվետվություն) լրացման կարգի հետ կապված հարաբերությունները:
2. Հաշվետվությունը ներկայացնում են բոլոր հիդրոէլեկտրակայանները՝ անկախ հզորությունից, որոնք այդ մասին իրազեկվում են Հայաստանի Հանրապետության վիճակագրության պետական խորհրդի 2016 թվականի հունիսի 20-ի թիվ 05-Ն որոշմամբ հաստատված կարգի դրույթներին համապատասխան:
3. Հաշվետվության լրացման համար հիմք են հանդիսանում հաշվապահական հաշվառումը կարգավորող օրենքներով և այլ իրավական ակտերով սահմանված նորմերը, եթե Հայաստանի Հանրապետության օրենսդրությամբ այլ բան սահմանված չէ:
4. Հաշվետվության դիմային էջի «Փաստացի գործունեության հիմնական տեսակի» ծածկագիրը լրացնում են հաշվետվություն ներկայացնող իրավաբանական անձինք, հիմնարկները, անհատ ձեռնարկատերերը՝ համաձայն «Տնտեսական գործունեության տեսակների դասակարգչի» 5-նիշ խմբավորման:
5. Հաշվետվությունը ներկայացվում է Հայաստանի Հանրապետության վիճակագրական կոմիտե՝ հաշվետվության ձևի վրա նշված ժամկետում և պարբերականությամբ:
6. Հաշվետվությունում տվյալները բերվում են հաշվետվական ձևում նշված չափի միավորներով:
7. Հաշվետվությունը ստորագրում է կազմակերպության ղեկավարը, ինչպես նաև նշվում է կատարողի (գլխավոր հաշվապահ կամ դրա համար լիազորված այլ աշխատակից) ազգանունն ու հեռախոսի համարը:
8. Հաշվետվությունը սահմանված ժամկետում չներկայացնելու կամ սահմանված կարգի խախտումով (ոչ արժանահավատ տվյալներ, դրանց ոչ ամբողջականորեն արտացոլում և այլ աղավաղումներ) ներկայացնելու (անկախ ժամկետից) համար վիճակագրական հաշվետվություններ ներկայացնողները ենթարկվում են պատասխանատվության` օրենքով սահմանված կարգով:
9. Վիճակագրական տվյալների ներկայացման հետ կապված այլ հարցերը կարգավորվում են Հայաստանի Հանրապետության օրենսդրությամբ:
II. ԸՆԴՀԱՆՈՒՐ ՏԵՂԵԿՈՒԹՅՈՒՆՆԵՐ
10. Հիդրոէլեկտրակայանի տեղակայված հզորությունը տարեվերջին որոշվում է հիդրոէլեկտրակայանում տեղակայված բոլոր էլեկտրագեներատորների նոմինալ ակտիվ հզորության հանրագումարով: Այն դեպքում, երբ տուրբինի հզորությունը փոքր է հիդրոգեներատորի նոմինալ հզորությունից, հիդրոագրեգատի տեղակայված հզորությունը հաշվարկվում է տուրբինի նոմինալ հզորությամբ, ճշտված, նոմինալ ռեժիմով աշխատող գեներատորի օգտակար գործողության գործակցով: Հիդրոէլեկտրակայանների տեղակայված հզորությունը կարող է փոխվել միայն համապատասխան փաստաթղթերով ձևակերպված, նոր տուրբինների կամ գեներատորների տեղակայման, հների ապամոնտաժման կամ գործող գեներատորների կամ տուրբինների վերագնահատման դեպքում:
11. Հիդրոէլեկտրակայանի առկա հզորությունը տարեվերջին որոշվում է որպես ագրեգատների տեղակայված հզորության և այդ հզորության օգտագործումը արգելակող գոյություն ունեցող սահմանափակումների տարբերությամբ:
12. Հաշվետու տարում հիդրոէլեկտրակայանի միջին աշխատանքային հզորությունը որոշվում է միջին տարեկան տեղակայված հզորության փոքրացումով, սարքավորումների պլանային և արտապլանային (ներառյալ վթարային) նորոգման, կոնսերվացման և տեխնիկական վերազինման հետևանքով սարքավորումների շարքից դուրս գալու, ինչպես նաև հիդրոէլեկտրակայանում տեղի ունեցող հզորության սահմանափակումների հետևանքով, հզորության միջին տարեկան նվազման մեծությամբ՝
Pմիջ | Pմիջ | - | Pմիջ | - | Pմիջ | - | Pմիջ | - | Pմիջ | - | Pմիջ | |
աշխ. | = | տեղ. | պլ.նոր. | արտ. | կոնս. | տեխ. | սահմ. | |||||
պլ.նոր. | վերազ. |
13. Պլանային նորոգման պատճառով հիդրոագրեգատների հզորության միջին տարեկան նվազման մեծությունը հաշվարկվում է հետևյալ բանաձևով՝
որտեղ՝ Pyi - նորոգման ենթակա հիդրոագրեգատների տեղակայված հզորությունն է
Tպլ.նորոգ. - հիդրոագրեգատների պլանային նորոգման տևողությունը (փաստացի), օրերով
365 - տարվա տևողությունն օրերով: Նույն ձևով է հաշվարկվում արտապլանային նորոգումների, կոնսերվացման և տեխնիկական վերազինման և վերակառուցման պատճառով հզորության միջին տարեկան նվազման մեծությունները:
14. Հզորության սահմանափակումների պատճառով հզորության միջին տարեկան նվազման մեծությունը հաշվարկվում է հետևյալ բանաձևով՝
որտեղ՝ Pսահմ. - հիդրոէլեկտրակայանի տեղակայված հզորության սահմանափակման մեծությունն է
Tսահմ. - սահմանափակ հզորությամբ գործելու ժամանակը, օրերով:
15. Հիդրոագրեգատների միջին տեղակայված հզորությունը հաշվետու տարում հաշվարկվում է հետևյալ բանաձով՝
որտեղ՝ P1, P2...Pi - ՀԷԿ-ի հզորությունն է (կՎտ) համապատասխանաբար t1, t2 … ti (օրեր) ժամանակահատվածներում, ընդ որում t1+ t2 +…+ ti գումարը = 365 օրվա (կամ 366):
16. Եթե տարվա ընթացքում հիդրոէլեկտրակայանում չեն տեղակայվել նոր հիդրոագրեգատներ և չեն ապամոնտաժվել հները, ապա հիդրոագրեգատների միջին տեղակայված հզորության մեծությունը հաշվետու տարում համընկնում է հաշվետու տարվա վերջին հիդրոէլեկտրակայանի տեղակայված հզորության ցուցանիշի հետ:
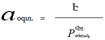
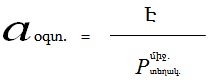
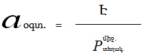
17. Հաշվետու տարում միջին տեղակայված հզորության օգտագործման ժամերի թիվը որոշվում է հետևյալ բանաձևով՝
որտեղ՝ է - հաշվետու տարում բոլոր հիդրոագրեգատների կողմից թողարկված էլեկտրաէներգիայի ընդհանուր քանակն է (բաժ. 2, տող 32):
III. ՏՎՅԱԼՆԵՐ ՇԱՀԱԳՈՐԾՄԱՆ ՎԵՐԱԲԵՐՅԱԼ
18. Առավելագույն ծանրաբեռնվածությունը` դա հաշվետու տարում հիդրոէլեկտրակայանի կողմից կրած ակտիվ ծանրաբեռնվածության ամենամեծ մեծությունն է, որը արձանագրվել է օրական ամփոփագրերում համապատասխան սարքերով:
19. Թողարկված է էլեկտրաէներգիա՝ հիդրոէլեկտրակայանների կողմից թողարկված էլեկտրաէներգիայի քանակն է, որը որոշվում է հիդրոագրեգատների հաշվիչների ցուցմունքներով, հաշվետու տարվա վերջի և սկզբի դրությամբ:
20. Հոսանքաձողերից բաց թողնված էլեկտրաէներգիայի քանակը որոշվում է թողարկված էլեկտրաէներգիայի քանակի և սեփական կարիքների համար ծախսված էլեկտրաէներգիայի տարբերությամբ:
21. Սեփական կարիքների համար էլեկտրաէներգիայի ծախսը՝ դա հիդրոէլեկտրակայանի աշխատանքը ապահովող, առանձին օժանդակ տեղակայանքների կողմից սպառած էլեկտրաէներգիայի ընդհանուր քանակն է:
22. Էլեկտրաէներգիայի տեսակարար ծախսը սեփական արտադրական կարիքների համար (էլեկտրաէներգիայի թողարկման համար) որոշվում է սեփական կարիքների համար էլեկտրաէներգիայի ծախսի մեծության (տող 34) և թողարկված էլեկտրաէներգիայի քանակի (տող 32) հարաբերությամբ և արդյունքը բազմապատկելով 100:
