ԵՎՐԱՍԻԱԿԱՆ ՏՆՏԵՍԱԿԱՆ ՀԱՆՁՆԱԺՈՂՈՎ
ԿՈԼԵԳԻԱ
Ո Ր Ո Շ ՈՒ Մ
10 մայիսի 2016 թվականի |
թիվ 38 |
քաղ. Մոսկվա |
«ԵՎՐԱՍԻԱԿԱՆ ՏՆՏԵՍԱԿԱՆ ՄԻՈՒԹՅԱՆ ՀԱՄԱՊԱՏԱՍԽԱՆՈՒԹՅԱՆ ԳՆԱՀԱՏՄԱՆ ՄԱՐՄԻՆՆԵՐԻ (ԱՅԴ ԹՎՈՒՄ՝ ՀԱՎԱՍՏԱԳՐՄԱՆ ՄԱՐՄԻՆՆԵՐԻ, ՓՈՐՁԱՐԿՄԱՆ ԼԱԲՈՐԱՏՈՐԻԱՆԵՐԻ (ԿԵՆՏՐՈՆՆԵՐԻ)) ՄԻԱՍՆԱԿԱՆ ՌԵԵՍՏՐԻ ՁԵՎԱՎՈՐՈՒՄ ԵՎ ՎԱՐՈՒՄ» ԸՆԴՀԱՆՈՒՐ ԳՈՐԾԸՆԹԱՑՆ ԱՐՏԱՔԻՆ ԵՎ ՓՈԽԱԴԱՐՁ ԱՌԵՎՏՐԻ ԻՆՏԵԳՐՎԱԾ ՏԵՂԵԿԱՏՎԱԿԱՆ ՀԱՄԱԿԱՐԳԻ ՄԻՋՈՑՆԵՐՈՎ ԻՐԱԳՈՐԾԵԼԻՍ ՏԵՂԵԿԱՏՎԱԿԱՆ ՓՈԽԳՈՐԾԱԿՑՈՒԹՅՈՒՆԸ ԿԱՆՈՆԱԿԱՐԳՈՂ ՏԵԽՆՈԼՈԳԻԱԿԱՆ ՓԱՍՏԱԹՂԹԵՐԻ ՄԱՍԻՆ
«Եվրասիական տնտեսական միության շրջանակներում տեղեկատվական հաղորդակցական տեխնոլոգիաների և տեղեկատվական փոխգործակցության մասին» արձանագրության («Եվրասիական տնտեսական միության մասին» 2014 թվականի մայիսի 29-ի պայմանագրի թիվ 3 հավելված) 30-րդ կետին համապատասխան և ղեկավարվելով Եվրասիական տնտեսական հանձնաժողովի կոլեգիայի 2014 թվականի նոյեմբերի 6-ի թիվ 200 որոշմամբ՝ Եվրասիական տնտեսական հանձնաժողովի կոլեգիան որոշեց.
1. Հաստատել կից ներկայացվող՝
«Եվրասիական տնտեսական միության համապատասխանության գնահատման մարմինների (այդ թվում՝ հավաստագրման մարմինների, փորձարկման լաբորատորիաների (կենտրոնների)) միասնական ռեեստրի ձևավորում և վարում» ընդհանուր գործընթացն արտաքին և փոխադարձ առևտրի ինտեգրված տեղեկատվական համակարգի միջոցներով իրագործելիս տեղեկատվական փոխգործակցության կանոնները.
«Եվրասիական տնտեսական միության համապատասխանության գնահատման մարմինների (այդ թվում՝ հավաստագրման մարմինների, փորձարկման լաբորատորիաների (կենտրոնների)) միասնական ռեեստրի ձևավորում և վարում» ընդհանուր գործընթացն արտաքին և փոխադարձ առևտրի ինտեգրված տեղեկատվական համակարգի միջոցներով իրագործելիս Եվրասիական տնտեսական միության անդամ պետությունների լիազորված մարմինների և Եվրասիական տնտեսական հանձնաժողովի միջև տեղեկատվական փոխգործակցության կանոնակարգը.
«Եվրասիական տնտեսական միության համապատասխանության գնահատման մարմինների (այդ թվում՝ հավաստագրման մարմինների, փորձարկման լաբորատորիաների (կենտրոնների)) միասնական ռեեստրի ձևավորում և վարում» ընդհանուր գործընթացն արտաքին և փոխադարձ առևտրի ինտեգրված տեղեկատվական համակարգի միջոցներով իրագործելու համար օգտագործվող էլեկտրոնային փաստաթղթերի և տեղեկությունների ձևաչափերի ու կառուցվածքների նկարագրությունը.
«Եվրասիական տնտեսական միության համապատասխանության գնահատման մարմինների (այդ թվում՝ հավաստագրման մարմինների, փորձարկման լաբորատորիաների (կենտրոնների)) միասնական ռեեստրի ձևավորում և վարում» ընդհանուր գործընթացին միանալու կարգը:
2. Սահմանել, որ սույն Որոշմամբ հաստատված նկարագրությամբ նախատեսված էլեկտրոնային փաստաթղթերի և տեղեկությունների կառուցվածքների տեխնիկական սխեմաների մշակումը և արտաքին ու փոխադարձ առևտրի ինտեգրված տեղեկատվական համակարգում տեղեկատվական փոխգործակցության իրագործման ժամանակ օգտագործվող էլեկտրոնային փաստաթղթերի և տեղեկությունների կառուցվածքների ռեեստրում դրանց ներառման ապահովումն իրականացվում են Եվրասիական տնտեսական հանձնաժողովի այն դեպարտամենտի կողմից, որի իրավասության մեջ է մտնում Եվրասիական տնտեսական միության ինտեգրված տեղեկատվական համակարգի ստեղծմանն ու զարգացմանն ուղղված աշխատանքների համակարգումը:
3. Սույն Որոշումն ուժի մեջ է մտնում դրա պաշտոնական հրապարակման օրվանից 180 օրացուցային օրը լրանալուց հետո:
Եվրասիական տնտեսական հանձնաժողովի կոլեգիայի նախագահ` |
Տ. Սարգսյան |
ՀԱՍՏԱՏՎԱԾ ԵՆ Եվրասիական տնտեսական հանձնաժողովիկոլեգիայի 2016 թվականի մայիսի 10-ի թիվ 38 որոշմամբ |
ԿԱՆՈՆՆԵՐ
«Եվրասիական տնտեսական միության համապատասխանության գնահատման մարմինների (այդ թվում՝ հավաստագրման մարմինների, փորձարկման լաբորատորիաների (կենտրոնների)) միասնական ռեեստրի ձևավորում և վարում» ընդհանուր գործընթացն արտաքին և փոխադարձ առևտրի ինտեգրված տեղեկատվական համակարգի միջոցներով իրագործելիս տեղեկատվական փոխգործակցության
I. Ընդհանուր դրույթներ
1. Սույն Կանոնները մշակվել են Եվրասիական տնտեսական միության (այսուհետ՝ Միություն) իրավունքի մաս կազմող հետևյալ ակտերին համապատասխան՝
«Եվրասիական տնտեսական միության մասին» 2014 թվականի մայիսի 29-ի պայմանագիր.
Մաքսային միության հանձնաժողովի 2010 թվականի հունիսի 18-ի «Մաքսային միությունում տեխնիկական կարգավորման մասին» թիվ 319 որոշում.
Մաքսային միության հանձնաժողովի 2011 թվականի ապրիլի 7-ի «Մաքսային միության շրջանակներում միասնական փաստաթղթերի տրամադրմամբ համապատասխանության պարտադիր գնահատման (հաստատման) ենթակա արտադրանքի միասնական ցանկի մասին» թիվ 620 որոշում.
Եվրասիական տնտեսական հանձնաժողովի կոլեգիայի 2014 թվականի նոյեմբերի 6-ի «Ընդհանուր գործընթացներն արտաքին և փոխադարձ առևտրի ինտեգրված տեղեկատվական համակարգի միջոցներով իրագործելիս տեղեկատվական փոխգործակցությունը կանոնակարգող տեխնոլոգիական փաստաթղթերի մասին» թիվ 200 որոշում.
Եվրասիական տնտեսական հանձնաժողովի կոլեգիայի 2015 թվականի հունվարի 27-ի «Արտաքին և փոխադարձ առևտրի ինտեգրված տեղեկատվական համակարգում տվյալների էլեկտրոնային փոխանակման կանոնները հաստատելու մասին» թիվ 5 որոշում.
Եվրասիական տնտեսական հանձնաժողովի կոլեգիայի 2015 թվականի ապրիլի 14-ի «Եվրասիական տնտեսական միության շրջանակներում ընդհանուր գործընթացների ցանկի և Եվրասիական տնտեսական հանձնաժողովի կոլեգիայի 2014 թվականի օգոստոսի 19-ի թիվ 132 որոշման մեջ փոփոխություն կատարելու մասին» թիվ 29 որոշում.
Եվրասիական տնտեսական հանձնաժողովի կոլեգիայի 2015 թվականի հունիսի 9-ի «Եվրասիական տնտեսական միության շրջանակներում ընդհանուր գործընթացների վերլուծության, օպտիմալացման, ներդաշնակեցման և նկարագրության մեթոդիկայի մասին» թիվ 63 որոշում.
Եվրասիական տնտեսական հանձնաժողովի կոլեգիայի 2015 թվականի սեպտեմբերի 28-ի «Եվրասիական տնտեսական միության անդամ պետությունների պետական իշխանության մարմինների՝ միմյանց միջև և Եվրասիական տնտեսական հանձնաժողովի հետ անդրսահմանային փոխգործակցության ընթացքում էլեկտրոնային փաստաթղթերի փոխանակման մասին հիմնադրույթի հաստատման մասին» թիվ 125 որոշում։
II. Կիրառության ոլորտը
2. Սույն Կանոնները մշակվել են «Եվրասիական տնտեսական միության համապատասխանության գնահատման մարմինների (այդ թվում՝ հավաստագրման մարմինների, փորձարկման լաբորատորիաների (կենտրոնների)) միասնական ռեեստրի ձևավորում և վարում» ընդհանուր գործընթացի (այսուհետ՝ ընդհանուր գործընթաց) մասնակիցների միջև տեղեկատվական փոխգործակցության կարգն ու պայմանները, այդ թվում՝ այդ ընդհանուր գործընթացի շրջանակներում կատարվող ընթացակարգերի նկարագրությունը սահմանելու նպատակներով։
3. Սույն Կանոնները կիրառվում են ընդհանուր գործընթացի մասնակիցների կողմից ընդհանուր գործընթացի շրջանակներում ընթացակարգերի և գործառնությունների կատարման կարգը վերահսկելիս, ինչպես նաև ընդհանուր գործընթացի իրագործումն ապահովող տեղեկատվական համակարգերի բաղադրիչները նախագծելիս, մշակելիս և լրամշակելիս։
III. Հիմնական հասկացությունները
4. Սույն Կանոնների նպատակներով օգտագործվում են հասկացություններ, որոնք ունեն հետևյալ իմաստը՝
«ավտորիզացում»՝ ընդհանուր գործընթացի մասնակցին որոշակի գործողությունների կատարման իրավունքների տրամադրում.
«միասնական ռեեստր»՝ Միության համապատասխանության գնահատման մարմինների (այդ թվում՝ հավաստագրման մարմինների, փորձարկման լաբորատորիաների (կենտրոնների)) միասնական ռեեստր, որը համապատասխանության մարմինների վերաբերյալ տեղեկություններ պարունակող և ազգային այնպիսի մասերից կազմված տեղեկատվական ռեսուրս է, որոնց ձևավորումն ու վարումն ապահովվում են Միության անդամ պետությունների լիազորված մարմինների կողմից.
«համապատասխանության գնահատման մարմիններ»՝ մարմիններ (այդ թվում՝ հավաստագրման մարմիններ, փորձարկման լաբորատորիաներ (կենտրոններ)), որոնք համապատասխանության գնահատում իրականացնելու համար հավատարմագրված և (կամ) լիազորված են Միության անդամ պետությունների օրենսդրությանը համապատասխան:
Սույն Կանոններում օգտագործվող «ընդհանուր գործընթացի ընթացակարգերի խումբ», «ընդհանուր գործընթացի տեղեկատվական օբյեկտ», «կատարող», «ընդհանուր գործընթացի գործառնություն», «ընդհանուր գործընթացի ընթացակարգ» և «ընդհանուր գործընթացի մասնակից» հասկացությունները կիրառվում են Եվրասիական տնտեսական հանձնաժողովի կոլեգիայի 2015 թվականի հունիսի 9-ի թիվ 63 որոշմամբ հաստատված՝ Եվրասիական տնտեսական միության շրջանակներում ընդհանուր գործընթացների վերլուծության, օպտիմալացման, ներդաշնակեցման և նկարագրության մեթոդիկայով սահմանված իմաստներով։
IV. Ընդհանուր գործընթացի վերաբերյալ հիմնական տեղեկությունները
5. Ընդհանուր գործընթացի լրիվ անվանումը՝ «Եվրասիական տնտեսական միության համապատասխանության գնահատման մարմինների (այդ թվում՝ հավաստագրման մարմինների, փորձարկման լաբորատորիաների (կենտրոնների)) միասնական ռեեստրի ձևավորում և վարում»։
6. Ընդհանուր գործընթացի ծածկագրային նշագիրը՝ P.TS.02, տարբերակ՝ 1.0.0։
1. Ընդհանուր գործընթացի նպատակը և խնդիրները
7. Ընդհանուր գործընթացի նպատակն ընդհանուր ռեեստրից տեղեկությունների ձևավորման և ընդհանուր գործընթացի մասնակիցներին դրանց ներկայացման մեխանիզմների կատարելագործումն է։
8. Ընդհանուր գործընթացի նպատակին հասնելու համար անհրաժեշտ է լուծել հետևյալ խնդիրները՝
ա) ապահովել Եվրասիական տնտեսական հանձնաժողովի (այսուհետ՝ Հանձնաժողով) կողմից արտաքին և փոխադարձ առևտրի ինտեգրված տեղեկատվական համակարգի (այսուհետ՝ ինտեգրված համակարգ) միջոցներով Միության անդամ պետությունների (այսուհետ՝ անդամ պետություններ) լիազորված մարմիններից միասնական ռեեստրի ազգային մասերից տեղեկությունների ստացումն ու դրանց հրապարակումը Միության տեղեկատվական պորտալում.
բ) ապահովել շահագրգիռ անձանց կողմից Միության տեղեկատվական պորտալում համապատասխանության գնահատման մարմինների վերաբերյալ տեղեկությունների ստացման հնարավորությունը.
գ) ապահովել անդամ պետությունների լիազորված մարմինների կողմից ինտեգրված համակարգի միջոցներով միասնական ռեեստրից համապատասխանության գնահատման մարմինների վերաբերյալ տեղեկությունների ստացումը.
դ) ապահովել միասնական դասակարգիչների և տեղեկատուների օգտագործումը։
2. Ընդհանուր գործընթացի մասնակիցները
9. Ընդհանուր գործընթացի մասնակիցների ցանկը բերված է 1-ին աղյուսակում:
Աղյուսակ 1
Ընդհանուր գործընթացի մասնակիցների ցանկը
Ծածկագրային նշագիրը |
Անվանումը |
Նկարագրությունը | |
1 |
2 |
3 | |
Р.АСТ.001 |
Հանձնաժողով |
Միության մարմին, որն ապահովում է Միության տեղեկատվական պորտալում միասնական ռեեստրի ազգային մասերից վերցված տեղեկությունների հասանելիությունը, տեղեկություններն ստանում է միասնական ռեեստրի ազգային մասերից և ապահովում է տեղեկությունների հրապարակումը Միության տեղեկատվական պորտալում | |
P.TS.02.ACT.001 |
անդամ պետության լիազորված մարմին |
անդամ պետության լիազորված մարմին, որն իրականացնում է միասնական ռեեստրի ազգային մասի ձևավորումն ու վարումը և միասնական ռեեստրի ազգային մասից տեղեկությունները ներկայացնում է Հանձնաժողով, ինչպես նաև Հանձնաժողովից կատարում է միասնական ռեեստրից համապատասխանության գնահատման մարմինների վերաբերյալ տեղեկությունների հարցումը | |
P.TS.02.ACT.002 |
շահագրգիռ անձ |
իրավաբանական կամ ֆիզիկական անձ, որը Միության տեղեկատվական պորտալում հարցում է կատարում և ստանում տեղեկություններ միասնական ռեեստրից |
3. Ընդհանուր գործընթացի կառուցվածքը
10. Ընդհանուր գործընթացն ըստ իրենց նշանակության խմբավորված ընթացակարգերի ամբողջություն է՝
ա) միասնական ռեեստրի ձևավորման և վարման ընթացակարգեր.
բ) միասնական ռեեստրից տեղեկությունների ներկայացման ընթացակարգեր:
11. Ընդհանուր գործընթացի ընթացակարգերը կատարելիս իրականացվում են անդամ պետությունների լիազորված մարմիններից ստացված՝ միասնական ռեեստրի ազգային մասերից տեղեկությունների հիման վրա միասնական ռեեստրի ձևավորումն ու վարումը, ինչպես նաև անդամ պետությունների լիազորված մարմիններ և շահագրգիռ անձանց՝ միասնական ռեեստրում ներառված համապատասխանության գնահատման մարմինների վերաբերյալ տեղեկությունների ներկայացումը:
Միասնական ռեեստրը ձևավորելիս և վարելիս կատարվում են ընդհանուր գործընթացի՝ միասնական ռեեստրի ձևավորման և վարման ընթացակարգերի խմբում ներառված հետևյալ ընթացակարգերը՝
միասնական ռեեստրում տեղեկությունների ներառում.
միասնական ռեեստրում պարունակվող տեղեկությունների փոփոխում:
Անդամ պետությունների լիազորված մարմիններ տեղեկություններ ներկայացնելիս կատարվում են ընդհանուր գործընթացի՝ միասնական ռեեստրից տեղեկություններ ներկայացնելու ընթացակարգերի խմբում ներառված հետևյալ ընթացակարգերը՝
միասնական ռեեստրի թարմացման ամսաթվի և ժամի մասին տեղեկությունների ստացում. միասնական ռեեստրից տեղեկությունների ստացում. միասնական ռեեստրից փոփոխված տեղեկությունների ստացում։ Նշված տեղեկությունները ներկայացվում են Եվրասիական տնտեսական հանձնաժողովի կոլեգիայի 2016 թվականի մայիսի 10-ի թիվ 38 որոշմամբ հաստատված՝ «Եվրասիական տնտեսական միության համապատասխանության գնահատման մարմինների (այդ թվում՝ հավաստագրման մարմինների, փորձարկման լաբորատորիաների (կենտրոնների)) միասնական ռեեստրի ձևավորում և վարում» ընդհանուր գործընթացն արտաքին և փոխադարձ առևտրի ինտեգրված տեղեկատվական համակարգի միջոցներով իրագործելիս Եվրասիական տնտեսական միության անդամ պետությունների լիազորված մարմինների և Եվրասիական տնտեսական հանձնաժողովի միջև տեղեկատվական փոխգործակցության կանոնակարգին (այսուհետ՝ Տեղեկատվական փոխգործակցության կանոնակարգ) համապատասխան:
Ներկայացվող տեղեկությունների ձևաչափը և կառուցվածքը պետք է համապատասխանեն Եվրասիական տնտեսական հանձնաժողովի կոլեգիայի 2016 թվականի մայիսի 10-ի թիվ 38 որոշմամբ հաստատված՝ «Եվրասիական տնտեսական միության համապատասխանության գնահատման մարմինների (այդ թվում՝ հավաստագրման մարմինների, փորձարկման լաբորատորիաների (կենտրոնների)) միասնական ռեեստրի ձևավորում և վարում» ընդհանուր գործընթացն արտաքին և փոխադարձ առևտրի ինտեգրված տեղեկատվական համակարգի միջոցներով իրագործելու համար օգտագործվող Էլեկտրոնային փաստաթղթերի և տեղեկությունների ձևաչափերի ու կառուցվածքների նկարագրությանը (այսուհետ՝ Էլեկտրոնային փաստաթղթերի և տեղեկությունների ձևաչափերի ու կառուցվածքների նկարագրություն)։
Անդամ պետությունների լիազորված մարմինների և Հանձնաժողովի միջև տեղեկատվական փոխգործակցությունն իրականացվում է ինտեգրված համակարգի օգտագործմամբ: Շահագրգիռ անձանց կողմից միասնական ռեեստրում պարունակվող տեղեկություններին հասանելիությունն իրականացվում է Միության տեղեկատվական պորտալի միջոցով:
12. Ընդհանուր գործընթացի կառուցվածքի բերված նկարագրությունը ներկայացված է 1-ին նկարում։
Նկ. 1. Ընդհանուր գործընթացի կառուցվածքը
13. Ընդհանուր գործընթացի՝ ըստ իրենց նշանակության խմբավորված ընթացակարգերի կատարման կարգը, այդ թվում՝ գործառնությունների մանրամասնած նկարագրությունը բերված է սույն Կանոնների VIII բաժնում։
14. Ընթացակարգերի յուրաքանչյուր խմբի համար բերվում է ընդհանուր գործընթացի ընթացակարգերի միջև առկա կապերը և դրանց կատարման կարգն արտացոլող ընդհանուր սխեման։ Ընթացակարգերի ընդհանուր սխեման կազմված է UML (մոդելավորման միասնականացված լեզու՝ Unified Modeling Language) գրաֆիկական նոտացիայի օգտագործմամբ և ապահովված է տեքստային նկարագրությամբ։
4. Միասնական ռեեստրի ձևավորման և վարման ընթացակարգերի խումբը
15. Միասնական ռեեստրի ձևավորման և վարման ընթացակարգերի կատարումն սկսվում է միասնական ռեեստրի ազգային մասում ներառելու կամ դրանում փոփոխություններ կատարելու համար տեղեկություններն անդամ պետության լիազորված մարմնի կողմից ստանալու պահից։
Միասնական ռեեստրի ազգային մասում նոր տեղեկություններ ներառելու դեպքում կատարվում է «Միասնական ռեեստրում տեղեկությունների ներառում» ընթացակարգը (P.TS.02.PRC.001):
Միասնական ռեեստրի ազգային մասում պարունակվող տեղեկությունների մեջ փոփոխություններ կատարելու դեպքում կատարվում է «Միասնական ռեեստրում պարունակվող տեղեկությունների փոփոխում» ընթացակարգը (P.TS.02.PRC.002):
16. Միասնական ռեեստրի ձևավորման և վարման ընթացակարգերի խմբի բերված նկարագրությունը ներկայացված է 2-րդ նկարում։
Նկ. 2. Միասնական ռեեստրի ձևավորման և վարման ընթացակարգերի խմբի ընդհանուր սխեման
17. Միասնական ռեեստրի ձևավորման և վարման ընթացակարգերի խմբում ներառված՝ ընդհանուր գործընթացի ընթացակարգերի ցանկը բերված է 2-րդ աղյուսակում։
Աղյուսակ 2
Միասնական ռեեստրի ձևավորման և վարման ընթացակարգերի խմբում ներառված՝ ընդհանուր գործընթացի ընթացակարգերի ցանկը
Ծածկագրային նշագիրը |
Անվանումը |
Նկարագրությունը |
1 |
2 |
3 |
P.TS.02.PRC.001 |
միասնական ռեեստրում տեղեկությունների ներառում |
ընթացակարգի կատարման ընթացքում անդամ պետության լիազորված մարմնի կողմից ձևակերպվում և Հանձնաժողով են ներկայացվում միասնական ռեեստրում ներառելու համար տեղեկությունները |
P.TS.02.PRC.002 |
միասնական ռեեստրում պարունակվող տեղեկությունների փոփոխում |
ընթացակարգի կատարման ընթացքում անդամ պետության լիազորված մարմնի կողմից ձևակերպվում և Հանձնաժողով են ներկայացվում միասնական ռեեստրում փոփոխություններ կատարելու համար տեղեկությունները |
5. Միասնական ռեեստրից տեղեկություններ ներկայացնելու ընթացակարգերի խումբը
18. Միասնական ռեեստրից տեղեկություններ ներկայացնելու ընթացակարգերը կատարվում են անդամ պետությունների լիազորված մարմինների տեղեկատվական համակարգերից համապատասխան հարցումներ ստանալու դեպքում:
Միասնական ռեեստրից տեղեկությունների ներկայացման ընթացակարգերի կատարման շրջանակներում մշակվում են հարցումների հետևյալ տեսակները՝
միասնական ռեեստրից փոփոխված տեղեկություններն անդամ պետության լիազորված մարմնի կողմից ստանալու անհրաժեշտության գնահատման նպատակներով կատարվող՝ միասնական ռեեստրի թարմացման ամսաթվի և ժամի մասին տեղեկությունների հարցում.
միասնական ռեեստրից որոշակի ամսաթվի դրությամբ արդիական տեղեկություններն անդամ պետության լիազորված մարմնի կողմից ստանալու նպատակներով կատարվող՝ միասնական ռեեստրից տեղեկությունների հարցում. Միասնական ռեեստրից տեղեկությունները կարող են հարցվել ինչպես ընթացիկ ամսաթվի, այնպես էլ հարցման մեջ նշված ամսաթվի դրությամբ.
միասնական ռեեստրից փոփոխված տեղեկությունների հարցում, որի դեպքում հարցվում են կա՛մ միասնական ռեեստրում պարունակվող տեղեկություններն ամբողջ ծավալով (հաշվի առնելով պատմական տվյալները) կա՛մ այն տեղեկությունները, որոնց ավելացումը կամ փոփոխումը տեղի է ունեցել հարցման մեջ նշված միասնական ռեեստրի ազգային մասի թարմացման ամսաթվից և ժամից սկսած՝ մինչև ինտեգրված համակարգի օգտագործմամբ հարցումը կատարելու պահը: Միասնական ռեեստրից տեղեկությունների՝ ամբողջ ծավալով հարցումն օգտագործվում է տեղեկությունները անդամ պետության լիազորված մարմնի տեղեկատվական համակարգ նախնական բեռնման ժամանակ, օրինակ՝ ընդհանուր գործընթացն սկսելիս, նոր անդամ պետությանը դրանում ընդգրկելիս, խափանումից հետո տեղեկատվությունը վերականգնելիս։ Այդ դեպքում միասնական ռեեստրի ազգային մասում տեղեկությունների թարմացման ամսաթիվը և ժամը չեն նշվում հարցման մեջ:
Հարցումն իրականացնելիս կատարվում է հետևյալ ընթացակարգերից որևէ մեկը՝
«Միասնական ռեեստրի թարմացման ամսաթվի և ժամի մասին տեղեկությունների ստացում» (P.TS.02.PRC.003).
«Միասնական ռեեստրից տեղեկությունների ստացում» (P.TS.02.PRC.004).
«Միասնական ռեեստրից փոփոխված տեղեկությունների ստացում» (P.TS.02.PRC.005)։
Նշված ընթացակարգերը կարող են կատարվել հաջորդաբար («Միասնական ռեեստրի թարմացման ամսաթվի և ժամի մասին տեղեկությունների ստացում» ընթացակարգ (P.TS.02.PRC.003), այնուհետև՝ «Միասնական ռեեստրից փոփոխված տեղեկությունների ստացում» ընթացակարգ (P.TS.02.PRC.003)), կամ յուրաքանչյուր ընթացակարգը կարող է կատարվել մյուս ընթացակարգերից առանձին՝ կախված հարցումն իրականացնելու նպատակներից։
19. Միասնական ռեեստրից տեղեկություններ ներկայացնելու ընթացակարգերի խմբի նկարագրությունը ներկայացված է 3-րդ նկարում։
Նկ. 3. Միասնական ռեեստրից տեղեկություններ ներկայացնելու ընթացակարգերի խմբի ընդհանուր սխեման
20. Միասնական ռեեստրից տեղեկություններ ներկայացնելու ընթացակարգերի խմբում ներառված՝ ընդհանուր գործընթացի ընթացակարգերի ցանկը բերված է 3-րդ աղյուսակում:
Աղյուսակ 3
Միասնական ռեեստրից տեղեկություններ ներկայացնելու ընթացակարգերի խմբում ներառված՝ ընդհանուր գործընթացի ընթացակարգերի ցանկը
Ծածկագրային նշագիրը |
Անվանումը |
Նկարագրությունը |
1 |
2 |
3 |
P.TS.02.PRC.003 |
միասնական ռեեստրի թարմացման ամսաթվի և ժամի մասին տեղեկությունների ստացում |
ընթացակարգը նախատեսված է անդամ պետության տեղեկատվական համակարգում պահվող՝ համապատասխանության գնահատման մարմինների վերաբերյալ տեղեկությունները |
միասնական ռեեստրից համապատասխան տեղեկությունների հետ սինքրոնացնելու անհրաժեշտությունն անդամ պետության լիազորված մարմնի կողմից գնահատելու համար | ||
P.TS.02.PRC.004 |
միասնական ռեեստրից տեղեկությունների ստացում |
ընթացակարգը նախատեսված է միասնական ռեեստրում պարունակվող՝ համապատասխանության գնահատման մարմինների վերաբերյալ տեղեկությունները որոշակի ամսաթվի դրությամբ ստանալու համար |
P.TS.02.PRC.005 |
միասնական ռեեստրից փոփոխված տեղեկությունների ստացում |
ընթացակարգը նախատեսված է միասնական ռեեստրում պարունակվող՝ համապատասխանության գնահատման մարմինների վերաբերյալ փոփոխված տեղեկությունների ստացման համար |
V. Ընդհանուր գործընթացի տեղեկատվական օբյեկտները
21. Տեղեկատվական այն օբյեկտների ցանկը, որոնց մասին կամ որոնցից տեղեկությունները փոխանցվում են ընդհանուր գործընթացի մասնակիցների միջև տեղեկատվական փոխգործակցության ընթացքում, բերված է 4-րդ աղյուսակում:
Աղյուսակ 4
Տեղեկատվական օբյեկտների ցանկը
Ծածկագրային նշագիրը |
Անվանումը |
Նկարագրությունը |
1 |
2 |
3 |
P.TS.02.BEN.001 |
միասնական ռեեստր |
միասնական ռեեստրի ազգային մասում պարունակվող՝ համապատասխանության գնահատման մարմինների վերաբերյալ տեղեկություններ |
VI. Ընդհանուր գործընթացի մասնակիցների պատասխանատվությունը
22. Տեղեկատվական փոխգործակցությանը մասնակցող Հանձնաժողովի աշխատակիցները և պաշտոնատար անձինք տեղեկությունների ամբողջական ու ժամանակին փոխանցումն ապահովելուն ուղղված պահանջները չկատարելու համար ենթարկվում են կարգապահական պատասխանատվության՝
«Եվրասիական տնտեսական միության մասին» 2014 թվականի մայիսի 29-ի պայմանագրին, Միության իրավունքի մաս կազմող այլ միջազգային պայմանագրերին և ակտերին համապատասխան, իսկ անդամ պետության լիազորված մարմինների պաշտոնատար անձինք և աշխատակիցները՝ անդամ պետության օրենսդրությանը համապատասխան:
VII. Ընդհանուր գործընթացի տեղեկատուներ և դասակարգիչներ
23. Ընդհանուր գործընթացի տեղեկատուների և դասակարգիչների ցանկը բերված է 5-րդ աղյուսակում:
Աղյուսակ 5
Ընդհանուր գործընթացի տեղեկատուների և դասակարգիչների ցանկը
Ծածկագրային նշագիրը |
Անվանումը |
Տեսակը |
Նկարագրությունը |
1 |
2 |
3 |
4 |
P.CLS.003 |
Եվրասիական տնտեսական միության արտաքին տնտեսական գործունեության միասնական ապրանքային անվանացանկ (ԵԱՏՄ ԱՏԳ ԱԱ) |
դասակարգիչ |
պարունակում է ապրանքների ծածկագրերի և անվանումների ցանկը, որը մշակվել է Համաշխարհային մաքսային կազմակերպության՝ ապրանքների նկարագրման և ծածկագրման ներդաշնակեցված համակարգի և Անկախ պետությունների համագործակցության Արտաքին տնտեսական գործունեության միասնական ապրանքային անվանացանկի հիման վրա։ |
P.CLS.008 |
կապի տեսակների դասակարգիչ |
դասակարգիչ |
պարունակում է կապի տեսակների ծածկագրերի և անվանումների ցանկը (ներդաշնակեցված է ՄԱԿ ԱԷՊԿ-ի «Communication Channel Code» դասակարգչի հետ) |
P.CLS.019 |
աշխարհի երկրների միջազգային դասակարգիչ |
դասակարգիչ |
պարունակում է աշխարհի երկրների ծածկագրերի և անվանումների ցանկը՝ ISO 3166-1 ստանդարտին համապատասխան |
P.CLS.024 |
լեզուների դասակարգիչ |
դասակարգիչ |
պարունակում է լեզուների ծածկագրերի և անվանումների ցանկը՝ ISO 639-1 ստանդարտին համապատասխան |
P.CLS.048 |
հասցեների տեսակների դասակարգիչ |
դասակարգիչ |
պարունակում է հասցեների տեսակների ծածկագրերի և անվանումների ցանկը |
P.CLS.053 |
էլեկտրոնային փաստաթղթերի և տեղեկությունների մշակման արդյունքի տեսակների դասակարգիչ |
դասակարգիչ |
պարունակում է էլեկտրոնային փաստաթղթերի և տեղեկությունների մշակման արդյունքի տեսակների ծածկագրերի և անվանումների ցանկը |
P.CLS.056 |
Եվրասիական տնտեսական միության տեխնիկական կանոնակարգերի (Մաքսային միության տեխնիկական կանոնակարգերի) ցանկը |
տեղեկատու |
պարունակում է Միության տեխնիկական կանոնակարգերի (Մաքսային միության տեխնիկական կանոնակարգերի) համարների և անվանումների ցանկը |
P.CLS.058 |
փաստաթղթի գործողության կարգավիճակի դասակարգիչ |
դասակարգիչ |
պարունակում է փաստաթղթի գործողության կարգավիճակի ծածկագրերի և անվանումների ցանկը |
P.CLS.068 |
տնտեսավարող սուբյեկտների նույնականացման մեթոդների տեղեկատու |
տեղեկատու |
պարունակում է տնտեսավարող սուբյեկտների նույնականացման մեթոդների նույնացուցիչների և անվանումների ցանկը |
P.TS.02.CLS.001 |
համապատասխանության գնահատման մարմինների տեսակների դասակարգիչ |
դասակարգիչ |
պարունակում է համապատասխանության գնահատման մարմինների տեսակների ծածկագրերի և անվանումների ցանկը |
VIII. Ընդհանուր գործընթացի ընթացակարգերը 1. Միասնական ռեեստրի ձևավորման և վարման ընթացակարգերը «Միասնական ռեեստրում տեղեկությունների ներառում» ընթացակարգ (P.TS.02.PRC.001).
24. «Միասնական ռեեստրում տեղեկությունների ներառում» ընթացակարգի (P.TS.02.PRC.001) կատարման սխեման ներկայացված է 4-րդ նկարում։
Նկ. 4. «Միասնական ռեեստրում տեղեկությունների ներառում» ընթացակարգի (P.TS.02.PRC.001) կատարման սխեման
25. «Միասնական ռեեստրում տեղեկությունների ներառում» ընթացակարգը (P.TS.02.PRC.001) կատարվում է անդամ պետության լիազորված մարմնի կողմից՝ միասնական ռեեստրի ազգային մասում համապատասխանության գնահատման նոր մարմնի մասին տեղեկությունները ներառելիս։
26. Առաջին հերթին կատարվում է «Միասնական ռեեստրում ներառելու համար տեղեկությունների ներկայացում» գործառնությունը (P.TS.02.0PR.001), որի կատարման արդյունքներով անդամ պետության լիազորված մարմնի կողմից ձևակերպվում և Հանձնաժողով են ներկայացվում միասնական ռեեստրի ազգային մասում ներառված տեղեկությունները՝ միասնական ռեեստրում դրանք ներառելու համար:
27. Միասնական ռեեստրի ազզային մասում ներառված տեղեկությունները Հանձնաժողովի կողմից ստանալու դեպքում կատարվում է «Միասնական ռեեստրում ներառելու համար տեղեկությունների ընդունում և մշակում» գործառնությունը (P.TS.02.0PR.002), որի կատարման արդյունքներով Հանձնաժողովն ստանում է նշված տեղեկությունները, կատարում է դրանց մշակումը և տեղեկությունները ներկայացրած անդամ պետության լիազորված մարմին է ուղարկում տեղեկությունների մշակման արդյունքների մասին ծանուցում:
28. Տեղեկությունների մշակման արդյունքների մասին ծանուցումն անդամ պետության լիազորված մարմնի կողմից ստանալու դեպքում կատարվում է «Միասնական ռեեստրում տեղեկությունների ներառման արդյունքների մասին ծանուցման ստացում» գործառնությունը (P.TS.02.0PR.003), որի կատարման արդյունքներով տեղեկություններն ուղարկած անդամ պետության լիազորված մարմինը մշակում է տեղեկությունների մշակման արդյունքների մասին ստացված ծանուցումը:
29. «Միասնական ռեեստրում ներառելու համար տեղեկությունների ընդունում և մշակում» գործառնությունը (P.TS.02.0PR.002) կատարելու դեպքում կատարվում է «Միասնական ռեեստրում ներառված տեղեկությունների հրապարակում» գործառնությունը (P.TS.02.0PR.004), որի կատարման արդյունքներով Հանձնաժողովն ապահովում է միասնական ռեեստրում ներառված տեղեկությունների հրապարակումը Միության տեղեկատվական պորտալում:
30. «Միասնական ռեեստրում տեղեկությունների ներառում» ընթացակարգի (P.TS.02.PRC.001) կատարման արդյունք է համարվում համապատասխանության գնահատման մարմինների վերաբերյալ տեղեկությունների ներառումը միասնական ռեեստրում և նշված տեղեկությունների հրապարակումը Միության տեղեկատվական պորտալում:
31. «Միասնական ռեեստրում տեղեկությունների ներառում» ընթացակարգի (P.TS.02.PRC.001) շրջանակներում կատարվող՝ ընդհանուր գործընթացի գործառնությունների ցանկը բերված է 6-րդ աղյուսակում։
Աղյուսակ 6
«Միասնական ռեեստրում տեղեկությունների ներառում» ընթացակարգի (P.TS.02.PRC.001) շրջանակներում կատարվող՝ ընդհանուր գործընթացի գործառնությունների ցանկը
Ծածկագրային նշագիրը |
Անվանումը |
Նկարագրությունը |
1 |
2 |
3 |
P.TS.02.0PR.001 |
միասնական ռեեստրում ներառելու համար տեղեկությունների ներկայացում |
բերված է սույն Կանոնների 7-րդ աղյուսակում |
P.TS.02.0PR.002 |
տեղեկությունների ընդունում և մշակում՝ միասնական ռեեստրում ներառելու համար |
բերված է սույն Կանոնների 8-րդ աղյուսակում |
P.TS.02.0PR.003 |
միասնական ռեեստրում տեղեկությունների ներառման արդյունքների մասին ծանուցման ստացում |
բերված է սույն Կանոնների 9-րդ աղյուսակում |
P.TS.02.0PR.004 |
միասնական ռեեստրում ներառված տեղեկությունների հրապարակում |
բերված է սույն Կանոնների 10-րդ աղյուսակում |
Աղյուսակ 7
«Միասնական ռեեստրում ներառելու համար տեղեկությունների ներկայացում» գործառնության (P.TS.02.0PR.001) նկարագրությունը
Թիվ ը/կ |
Տարրի նշագիրը |
Նկարագրությունը |
1 |
2 |
3 |
1 |
Ծածկագրային նշագիրը |
P.TS.02.0PR.001 |
2 |
Գործառնության անվանումը |
միասնական ռեեստրում ներառելու համար տեղեկությունների ներկայացում |
3 |
Կատարողը |
անդամ պետության լիազորված մարմին |
4 |
Կատարման պայմանները |
կատարվում է միասնական ռեեստրի ազգային մասում տեղեկությունները ներառելիս |
5 |
Սահմանափակումները |
ներկայացվող տեղեկությունների ձևաչափը և կառուցվածքը պետք է համապատասխանեն Էլեկտրոնային փաստաթղթերի և տեղեկությունների ձևաչափերի ու կառուցվածքների նկարագրությանը |
6 |
Գործառնության նկարագրությունը |
կատարողը ձևակերպում է միասնական ռեեստրի ազգային մասում ներառված տեղեկությունները, և դրանք ուղարկում է Հանձնաժողով՝ Տեղեկատվական փոխգործակցության կանոնակարգին համապատասխան |
7 |
Արդյունքները |
միասնական ռեեստրի ազգային մասում ներառված տեղեկությունները ներկայացվել են Հանձնաժողով |
Աղյուսակ 8
«Միասնական ռեեստրում ներառելու համար տեղեկությունների ընդունում և մշակում» գործառնության (P.TS.02.0PR.002) նկարագրությունը
Թիվ ը/կ |
Տարրի նշագիրը |
Նկարագրությունը |
1 |
2 |
3 |
1 |
Ծածկագրային նշագիրը |
P.TS.02.0PR.002 |
2 |
Գործառնության անվանումը |
տեղեկությունների ընդունում և մշակում՝ միասնական ռեեստրում ներառելու համար |
3 |
Կատարողը |
Հանձնաժողով |
4 |
Կատարման պայմանները |
կատարվում է միասնական ռեեստրի ազգային մասում ներառված տեղեկություններն ստանալիս («Միասնական ռեեստրում ներառելու համար տեղեկությունների ներկայացում» գործառնություն (P.TS.02.0PR.001)) |
5 |
Սահմանափակումները |
պահանջվում է ավտորիզացում, տեղեկությունները ներկայացվում են միայն անդամ պետությունների լիազորված մարմինների կողմից: Ներկայացված տեղեկությունների ձևաչափը և կառուցվածքը պետք է համապատասխանեն Էլեկտրոնային փաստաթղթերի և տեղեկությունների ձևաչափերի ու կառուցվածքների նկարագրությանը։ Էլեկտրոնային փաստաթղթերի (տեղեկությունների) վավերապայմանները պետք է համապատասխանեն Տեղեկատվական փոխգործակցության կանոնակարգի IX բաժնով նախատեսված պահանջներին |
6 |
Գործառնության նկարագրությունը |
կատարողն ընդունում է տեղեկությունները և ստուգում է դրանք՝ Տեղեկատվական փոխգործակցության կանոնակարգին համապատասխան: Ստուգումը հաջողությամբ կատարելու դեպքում կատարողն իրականացնում է միասնական ռեեստրում տեղեկությունների ներառումը, լրացնում է |
ստացված տեղեկությունների թարմացման ամսաթիվն ու ժամը և տեղեկությունները ներկայացրած անդամ պետություն է ուղարկում տեղեկությունների մշակման արդյունքների մասին ծանուցում՝ նշելով տեղեկությունների ներառմանը համապատասխանող՝ մշակման արդյունքի ծածկագիրը՝ Տեղեկատվական փոխգործակցության կանոնակարգին համապատասխան։ | ||
7 |
Արդյունքները |
միասնական ռեեստրի ազգային մասում ներառված տեղեկությունները մշակվել են, տեղեկությունների մշակման արդյունքների մասին ծանուցումն ուղարկվել է անդամ պետության լիազորված մարմին |
Աղյուսակ 9
«Միասնական ռեեստրում տեղեկությունների ներառման արդյունքների մասին ծանուցման ստացում» գործառնության
(P.TS.02.0PR.003) նկարագրությունը
Թիվ ը/կ |
Տարրի նշագիրը |
Նկարագրությունը |
1 |
2 |
3 |
1 |
Ծածկագրային նշագիրը |
P.TS.02.0PR.003 |
2 |
Գործառնության անվանումը |
միասնական ռեեստրում տեղեկությունների ներառման արդյունքների մասին ծանուցման ստացում |
3 |
Կատարողը |
անդամ պետության լիազորված մարմին |
4 |
Կատարման պայմանները |
կատարվում է տեղեկությունների մշակման արդյունքների մասին ծանուցումը կատարողի կողմից ստանալիս |
5 |
Սահմանափակումները |
ներկայացվող տեղեկությունների ձևաչափը և կառուցվածքը պետք է համապատասխանեն Էլեկտրոնային փաստաթղթերի և տեղեկությունների ձևաչափերի ու կառուցվածքների նկարագրությանը |
6 |
Գործառնության նկարագրությունը |
կատարողն ընդունում է ծանուցումը և ստուգում այն՝ Տեղեկատվական փոխգործակցության կանոնակարգին համապատասխան |
7 |
Արդյունքները |
ներկայացված տեղեկությունների մշակման արդյունքների մասին ծանուցումն ստացվել է |
Աղյուսակ 10
«Միասնական ռեեստրում ներառված տեղեկությունների հրապարակում» գործառնության (P.TS.02.0PR.004) նկարագրությունը
Թիվ ը/կ |
Տարրի նշագիրը |
Նկարագրությունը |
1 |
2 |
3 |
1 |
Ծածկագրային նշագիրը |
P.TS.02.0PR.004 |
2 |
Գործառնության անվանումը |
միասնական ռեեստրում ներառված տեղեկությունների հրապարակում |
3 |
Կատարողը |
Հանձնաժողով |
4 |
Կատարման պայմանները |
կատարվում է միասնական ռեեստրի ազգային մասում ներառված տեղեկություններն ընդունելուց և մշակելուց հետո («Միասնական ռեեստրում ներառելու համար տեղեկությունների ընդունում և մշակում» գործառնություն (P.TS.02.0PR.002)) |
5 |
Սահմանափակումները |
- |
6 |
Գործառնության նկարագրությունը |
կատարողն ապահովում է Միության տեղեկատվական պորտալում միասնական ռեեստրում ներառված տեղեկությունների հրապարակումը |
7 |
Արդյունքները |
միասնական ռեեստրում ներառված տեղեկությունները հրապարակվել են Միության տեղեկատվական պորտալում |
«Միասնական ռեեստրում պարունակվող տեղեկությունների փոփոխում» ընթացակարգ (P.TS.02.PRC.002)
32. «Միասնական ռեեստրում պարունակվող տեղեկությունների փոփոխում» ընթացակարգի (P.TS.02.PRC.002) կատարման սխեման ներկայացված է 5-րդ նկարում։
Նկ. 5. «Միասնական ռեեստրում պարունակվող տեղեկությունների փոփոխում» ընթացակարգի (P.TS.02.PRC.002) կատարման սխեման
33. «Միասնական ռեեստրում պարունակվող տեղեկությունների փոփոխում» ընթացակարգը (P.TS.02.PRC.002) կատարվում է անդամ պետության լիազորված մարմնի կողմից՝ միասնական ռեեստրի ազգային մասում համապատասխանության գնահատման մարմնի վերաբերյալ տեղեկությունները փոփոխելիս։
34. Առաջին հերթին կատարվում է «Միասնական ռեեստրում փոփոխություններ կատարելու համար տեղեկությունների ներկայացում» գործառնությունը (P.TS.02.0PR.005), որի կատարման արդյունքներով անդամ պետության լիազորված մարմնի կողմից ձևակերպվում և Հանձնաժողով են ներկայացվում միասնական ռեեստրի ազգային մասում փոփոխված տեղեկությունները՝ միասնական ռեեստրում փոփոխություններ կատարելու համար:
35. Միասնական ռեեստրի ազզային մասում փոփոխված տեղեկությունները Հանձնաժողովի կողմից ստանալու դեպքում կատարվում է «Միասնական ռեեստրում փոփոխություններ կատարելու համար տեղեկությունների ընդունում և մշակում» գործառնությունը (P.TS.02.0PR.006), որի կատարման արդյունքներով Հանձնաժողովն ստանում է նշված տեղեկությունները, կատարում է դրանց մշակումը՝ պահպանելով փոփոխությունների պատմությունը, և տեղեկությունները ներկայացրած անդամ պետության լիազորված մարմին է ուղարկում տեղեկությունների մշակման արդյունքների մասին ծանուցում:
36. Ներկայացված տեղեկությունների մշակման արդյունքների մասին ծանուցումն անդամ պետության լիազորված մարմնի կողմից ստանալու դեպքում կատարվում է «Միասնական ռեեստրում տեղեկությունների փոփոխության արդյունքների մասին ծանուցման ստացում» գործառնությունը (P.TS.02.0PR.007), որի կատարման արդյունքներով տեղեկություններն ուղարկած անդամ պետության լիազորված մարմինը մշակում է տեղեկությունների մշակման արդյունքների մասին ստացված ծանուցումը:
37. «Միասնական ռեեստրում փոփոխություններ կատարելու համար տեղեկությունների ընդունում և մշակում» գործառնությունը (P.TS.02.0PR.006) կատարելու դեպքում կատարվում է «Միասնական ռեեստրում փոփոխված տեղեկությունների հրապարակում» գործառնությունը (P.TS.02.0PR.008), որի կատարման արդյունքներով Հանձնաժողովն ապահովում է միասնական ռեեստրում փոփոխված տեղեկությունների հրապարակումը Միության տեղեկատվական պորտալում:
38. «Միասնական ռեեստրում տեղեկությունների փոփոխում» ընթացակարգի (P.TS.02.PRC.002) կատարման արդյունք է համարվում միասնական ռեեստրում համապատասխանության գնահատման մարմինների վերաբերյալ տեղեկությունների փոփոխությունը և նշված տեղեկությունների հրապարակումը Միության տեղեկատվական պորտալում՝ փոփոխությունների պատմությանը դիտելու հնարավորությամբ:
39. «Միասնական ռեեստրում պարունակվող տեղեկությունների փոփոխում» ընթացակարգի (P.TS.02.PRC.002) շրջանակներում կատարվող՝ ընդհանուր գործընթացի գործառնությունների ցանկը բերված է 11-րդ աղյուսակում։
Աղյուսակ 11
«Միասնական ռեեստրում պարունակվող տեղեկությունների փոփոխում» ընթացակարգի (P.TS.02.PRC.002) շրջանակներում կատարվող՝ ընդհանուր գործընթացի գործառնությունների ցանկը
Ծածկագրային նշագիրը |
Անվանումը |
Նկարագրությունը |
1 |
2 |
3 |
P.TS.02.0PR.005 |
միասնական ռեեստրում փոփոխություններ կատարելու համար տեղեկությունների ներկայացում |
բերված է սույն Կանոնների 12-րդ աղյուսակում |
P.TS.02.0PR.006 |
միասնական ռեեստրում փոփոխություններ կատարելու համար տեղեկությունների ընդունում և մշակում |
բերված է սույն Կանոնների 13-րդ աղյուսակում |
P.TS.02.0PR.007 |
միասնական ռեեստրում տեղեկությունների փոփոխման արդյունքների մասին ծանուցման ստացում |
բերված է սույն Կանոնների 14-րդ աղյուսակում |
P.TS.02.0PR.008 |
միասնական ռեեստրում փոփոխված տեղեկությունների հրապարակում |
բերված է սույն Կանոնների 15-րդ աղյուսակում |
Աղյուսակ 12
«Միասնական ռեեստրում փոփոխություններ կատարելու համար տեղեկությունների ներկայացում» գործառնության
(P.TS.02.0PR.005) նկարագրությունը
Թիվ ը/կ |
Տարրի նշագիրը |
Նկարագրությունը | |
1 |
2 |
3 | |
1 |
Ծածկագրային նշագիրը |
P.TS.02.0PR.005 | |
2 |
Գործառնության անվանումը |
միասնական ռեեստրում փոփոխություններ կատարելու համար տեղեկությունների ներկայացում | |
3 |
Կատարողը |
անդամ պետության լիազորված մարմին | |
4 |
Կատարման պայմանները |
կատարվում է միասնական ռեեստրի ազգային մասում համապատասխանության գնահատման մարմինների վերաբերյալ տեղեկությունները փոփոխելիս | |
5 |
Սահմանափակումները |
ներկայացվող տեղեկությունների ձևաչափը և կառուցվածքը պետք է համապատասխանեն Էլեկտրոնային փաստաթղթերի և տեղեկությունների ձևաչափերի ու կառուցվածքների նկարագրությանը | |
6 |
Գործառնության նկարագրությունը |
կատարողը ձևակերպում է միասնական ռեեստրի ազգային մասում փոփոխված տեղեկությունները, և դրանք ուղարկում է Հանձնաժողով՝ Տեղեկատվական փոխգործակցության կանոնակարգին համապատասխան | |
7 |
Արդյունքները |
միասնական ռեեստրի ազգային մասում փոփոխված տեղեկությունները ներկայացվել են Հանձնաժողով |
Աղյուսակ 13
«Միասնական ռեեստրում փոփոխություններ կատարելու համար տեղեկությունների ընդունում և մշակում» գործառնության (P.TS.02.0PR.006) նկարագրությունը
Թիվ ը/կ |
Տարրի նշագիրը |
Նկարագրությունը | |
1 |
2 |
3 | |
1 |
Ծածկագրային նշագիրը |
P.TS.02.0PR.006 | |
2 |
Գործառնության անվանումը |
միասնական ռեեստրում փոփոխություններ կատարելու համար տեղեկությունների ընդունում և մշակում | |
3 |
Կատարողը |
Հանձնաժողով | |
4 |
Կատարման պայմանները |
կատարվում է միասնական ռեեստրի ազգային մասում փոփոխված տեղեկություններն ստանալիս («Միասնական ռեեստրում փոփոխություններ կատարելու համար տեղեկությունների ներկայացում» գործառնություն (P.TS.02.0PR.005)) | |
5 |
Սահմանափակումները |
Պահանջվում է ավտորիզացում, տեղեկությունները ներկայացվում են միայն անդամ պետությունների լիազորված մարմինների կողմից: Ներկայացված տեղեկությունների ձևաչափը և կառուցվածքը պետք է համապատասխանեն Էլեկտրոնային փաստաթղթերի և տեղեկությունների ձևաչափերի ու կառուցվածքների նկարագրությանը։ Էլեկտրոնային փաստաթղթերի (տեղեկությունների) վավերապայմանները պետք է համապատասխանեն Տեղեկատվական փոխգործակցության կանոնակարգի IX բաժնով նախատեսված պահանջներին | |
6 |
Գործառնության նկարագրությունը |
կատարողն ընդունում է տեղեկությունները և ստուգում դրանք՝ Տեղեկատվական փոխգործակցության կանոնակարգին համապատասխան: Ստուգումը հաջողությամբ կատարելու դեպքում կատարողը լրացնում է միասնական ռեեստրում փոփոխված տեղեկությունների գործողության ավարտի ամսաթիվը և ժամը՝ ստացված տեղեկությունների գործողության մեկնարկի ամսաթվի և ժամի արժեքով։ Արդյունքում՝ միասնական ռեեստրում փոփոխվող տեղեկությունները պահպանվում են փոփոխությունների պատմությանը դիտելու հնարավորությունն ապահովելու համար և անհասանելի են դառնում հետագա մշակման համար. իրականացնում է ստացված տեղեկությունների ներառումը միասնական ռեեստրում, լրացնում է փոփոխվող տեղեկությունների թարմացման ամսաթիվն ու ժամը. տեղեկությունները ներկայացնող անդամ պետություն է ուղարկում տեղեկությունների մշակման արդյունքների մասին ծանուցում՝ նշելով տեղեկությունների փոփոխությանը համապատասխանող՝ տեղեկությունների մշակման արդյունքի ծածկագիրը՝ Տեղեկատվական փոխգործակցության կանոնակարգին համապատասխան։ | |
7 |
Արդյունքները |
միասնական ռեեստրի ազգային մասում փոփոխված տեղեկությունները մշակվել են, ներկայացված տեղեկությունների մշակման արդյունքների մասին ծանուցումն ուղարկվել է անդամ պետության լիազորված մարմին |
Աղյուսակ 14
«Միասնական ռեեստրում տեղեկությունների փոփոխման արդյունքների մասին ծանուցման ստացում» գործառնության (P.TS.02.0PR.007) նկարագրությունը
Թիվ ը/կ |
Տարրի նշագիրը |
Նկարագրությունը | |
1 |
2 |
3 | |
1 |
Ծածկագրային նշագիրը |
P.TS.02.0PR.007 | |
2 |
Գործառնության անվանումը |
միասնական ռեեստրում տեղեկությունների փոփոխման արդյունքների մասին ծանուցման ստացում | |
3 |
Կատարողը |
անդամ պետության լիազորված մարմին | |
4 |
Կատարման պայմանները |
կատարվում է տեղեկությունների մշակման արդյունքների մասին ծանուցումը կատարողի կողմից ստանալիս | |
5 |
Սահմանափակումները |
ներկայացվող տեղեկությունների ձևաչափը և կառուցվածքը պետք է համապատասխանեն Էլեկտրոնային փաստաթղթերի և տեղեկությունների ձևաչափերի ու կառուցվածքների նկարագրությանը | |
6 |
Գործառնության նկարագրությունը |
կատարողն ընդունում է ծանուցումը և ստուգում այն՝ Տեղեկատվական փոխգործակցության կանոնակարգին համապատասխան | |
7 |
Արդյունքները |
ներկայացված տեղեկությունների մշակման արդյունքների մասին ծանուցումն ստացվել է |
Աղյուսակ 15
«Միասնական ռեեստրում փոփոխված տեղեկությունների հրապարակում» գործառնության (P.TS.02.0PR.008) նկարագրությունը
Թիվ ը/կ |
Տարրի նշագիրը |
Նկարագրությունը |
1 |
2 |
3 |
1 |
Ծածկագրային նշագիրը |
P.TS.02.0PR.008 |
2 |
Գործառնության անվանումը |
միասնական ռեեստրում փոփոխված տեղեկությունների հրապարակում |
3 |
Կատարողը |
Հանձնաժողով |
4 |
Կատարման պայմանները |
կատարվում է միասնական ռեեստրի ազգային մասում փոփոխված տեղեկություններն ընդունելիս և մշակելիս («Միասնական ռեեստրում փոփոխություններ կատարելու համար տեղեկությունների ընդունում և մշակում» գործառնություն (P.TS.02.0PR.006)) |
5 |
Սահմանափակումները |
- |
6 |
Գործառնության նկարագրությունը |
կատարողն ապահովում է միասնական ռեեստրում փոփոխված տեղեկությունների հրապարակումը Միության տեղեկատվական պորտալում |
7 |
Արդյունքները |
միասնական ռեեստրում փոփոխված տեղեկությունները հրապարակվել են Միության տեղեկատվական պորտալում |
2. Միասնական ռեեստրից տեղեկությունների ներկայացման ընթացակարգերը «Միասնական ռեեստրի թարմացման ամսաթվի և ժամի մասին տեղեկությունների ստացում» ընթացակարգ (P.TS.02.PRC.003)
40. «Միասնական ռեեստրի թարմացման ամսաթվի և ժամի մասին տեղեկությունների ստացում» ընթացակարգի (P.TS.02.PRC.003) կատարման սխեման ներկայացված է 6-րդ նկարում։
Նկ. 6. «Միասնական ռեեստրի թարմացման ամսաթվի և ժամի մասին տեղեկությունների ստացում» (P.TS.02.PRC.003) ընթացակարգի կատարման սխեման
41. «Միասնական ռեեստրի թարմացման ամսաթվի և ժամի մասին տեղեկությունների ստացում» (P.TS.02.PRC.003) ընթացակարգը կատարվում է անդամ պետության լիազորված մարմնի կողմից՝ միասնական ռեեստրի վիճակի (վերջին թարմացման ամսաթվի և ժամի) մասին տեղեկություններ ստանալու նպատակով։
42. Առաջին հերթին կատարվում է «Միասնական ռեեստրի թարմացման ամսաթվի և ժամի մասին տեղեկությունների հարցում» գործառնությունը (P.TS.02.0PR.009), որի կատարման արդյունքներով անդամ պետության լիազորված մարմինը ձևակերպում ու Հանձնաժողով է ուղարկում միասնական ռեեստրի թարմացման ամսաթվի և ժամի մասին տեղեկությունների ներկայացման հարցումը։
43. Միասնական ռեեստրի թարմացման ամսաթվի և ժամի մասին տեղեկությունները Հանձնաժողովի կողմից ստանալու դեպքում կատարվում է «Միասնական ռեեստրի թարմացման ամսաթվի և ժամի մասին տեղեկությունների մշակում և ներկայացում» գործառնությունը (P.TS.02.0PR.010), որի կատարման արդյունքներով Հանձնաժողովն անդամ պետության լիազորված մարմին է ուղարկում միասնական ռեեստրի թարմացման ամսաթվի և ժամի մասին տեղեկությունները:
44. Միասնական ռեեստրի թարմացման ամսաթվի և ժամի մասին տեղեկություններն անդամ պետության լիազորված մարմնի կողմից ստանալու դեպքում կատարվում է «Միասնական ռեեստրի թարմացման ամսաթվի և ժամի մասին տեղեկությունների ընդունում ու մշակում» գործառնությունը (P.TS.02.OPR.011), որի կատարման արդյունքներով անդամ պետության լիազորված մարմինը, որը միասնական ռեեստրի թարմացման ամսաթվի և ժամի մասին տեղեկությունները ներկայացնելու հարցում է ուղարկել, իրականացնում է միասնական ռեեստրի թարմացման ամսաթվի ու ժամի մասին ստացված տեղեկությունների մշակում։
45. «Միասնական ռեեստրի թարմացման ամսաթվի և ժամի մասին տեղեկությունների ստացում» ընթացակարգի (P.TS.02.PRC.003) կատարման արդյունք է համարվում անդամ պետության լիազորված մարմնի կողմից միասնական ռեեստրի թարմացման ամսաթվի և ժամի մասին տեղեկությունների ստացումը։
46. «Միասնական ռեեստրի թարմացման ամսաթվի և ժամի մասին տեղեկությունների ստացում» ընթացակարգի (P.TS.02.PRC.003) շրջանակներում կատարվող ընդհանուր գործընթացի գործառնությունների ցանկը բերված է 16-րդ աղյուսակում։
Աղյուսակ 16
«Միասնական ռեեստրի թարմացման ամսաթվի և ժամի մասին տեղեկությունների ստացում» ընթացակարգի (P.TS.02.PRC.003) շրջանակներում կատարվող ընդհանուր գործընթացի գործառնությունների ցանկը
Ծածկագրային նշագիրը |
Անվանումը |
Նկարագրությունը |
1 |
2 |
3 |
P.TS.02.0PR.009 |
միասնական ռեեստրի թարմացման ամսաթվի և ժամի մասին տեղեկությունների հարցում |
բերված է սույն Կանոնների 17-րդ աղյուսակում |
P.TS.02.0PR.010 |
միասնական ռեեստրի թարմացման ամսաթվի և ժամի մասին տեղեկությունների մշակում ու ներկայացում |
բերված է սույն Կանոնների 18-րդ աղյուսակում |
P.TS.02.OPR.011 |
միասնական ռեեստրի թարմացման ամսաթվի և ժամի մասին տեղեկությունների ընդունում ու մշակում |
բերված է սույն Կանոնների 19-րդ աղյուսակում |
Աղյուսակ 17
«Միասնական ռեեստրի թարմացման ամսաթվի և ժամի մասին տեղեկությունների հարցում» գործառնության
(P.TS.02.0PR.009) նկարագրությունը
Թիվ ը/կ |
Տարրի նշագիրը |
Նկարագրությունը | |
1 |
2 |
3 | |
1 |
Ծածկագրային նշագիրը |
P.TS.02.0PR.009 | |
2 |
Գործառնության անվանումը |
միասնական ռեեստրի թարմացման ամսաթվի և ժամի մասին տեղեկությունների հարցում | |
3 |
Կատարողը |
անդամ պետության լիազորված մարմին | |
4 |
Կատարման պայմանները |
կատարվում է միասնական ռեեստրի թարմացման ամսաթվի և ժամի մասին տեղեկություններն ստանալու անհրաժեշտության դեպքում | |
5 |
Սահմանափակումները |
հարցվող տեղեկությունների ձևաչափն ու կառուցվածքը պետք է համապատասխանեն Էլեկտրոնային փաստաթղթերի և տեղեկությունների ձևաչափերի ու կառուցվածքների նկարագրությանը | |
6 |
Գործառնության նկարագրությունը |
կատարողը ձևակերպում և Հանձնաժողով է ուղարկում միասնական ռեեստրի վերջին թարմացման ամսաթվի և ժամի մասին տեղեկությունների ներկայացման հարցում՝ Տեղեկատվական փոխգործակցության կանոնակարգին համապատասխան | |
7 |
Արդյունքները |
միասնական ռեեստրի թարմացման ամսաթվի և ժամի մասին տեղեկությունների հարցում |
Աղյուսակ 18
«Միասնական ռեեստրի թարմացման ամսաթվի և ժամի մասին տեղեկությունների մշակում և ներկայացում» գործառնության (P.TS.02.OPR.010)նկարագրությունը
Թիվ ը/կ |
Տարրի նշագիրը |
Նկարագրությունը |
1 |
2 |
3 |
1 |
Ծածկագրային նշագիրը |
P.TS.02.0PR.010 |
2 |
Գործառնության անվանումը |
միասնական ռեեստրի թարմացման ամսաթվի և ժամի մասին տեղեկությունների մշակում ու ներկայացում |
3 |
Կատարողը |
Հանձնաժողով |
4 |
Կատարման պայմանները |
կատարվում է միասնական ռեեստրի թարմացման ամսաթվի և ժամի մասին տեղեկությունների հարցում ստանալիս («Միասնական ռեեստրի թարմացման ամսաթվի և ժամի մասին տեղեկությունների հարցում» գործառնություն (P.TS.02.0PR.009)) |
5 |
Սահմանափակումները |
Պահանջվում է ավտորիզացում, տեղեկությունները հարցվում են միայն անդամ պետությունների լիազորված մարմինների կողմից: Ներկայացվող տեղեկությունների ձևաչափը և կառուցվածքը պետք է համապատասխանեն Էլեկտրոնային փաստաթղթերի և տեղեկությունների ձևաչափերի ու կառուցվածքների նկարագրությանը |
6 |
Գործառնության նկարագրությունը |
կատարողն ստուգում է ստացված հարցումը՝ Տեղեկատվական փոխգործակցության կանոնակարգին համապատասխան։ Ստուգումը հաջողությամբ կատարելու դեպքում կատարողը ձևակերպում է տեղեկությունները և ուղարկում է հարցման պատասխանը՝ Տեղեկատվական փոխգործակցության Կանոնակարգին համապատասխան |
7 |
Արդյունքները |
միասնական ռեեստրի թարմացման ամսաթվի և ժամի մասին տեղեկությունները ներկայացվել են անդամ պետության լիազորված մարմին |
Աղյուսակ 19
«Միասնական ռեեստրի թարմացման ամսաթվի և ժամի մասին տեղեկությունների ընդունում և մշակում» գործառնության (P.TS.02.OPR.011) նկարագրությունը
Թիվ ը/կ |
Տարրի նշագիրը |
Նկարագրությունը |
1 |
2 |
3 |
1 |
Ծածկագրային նշագիրը |
P.TS.02.OPR.011 |
2 |
Գործառնության անվանումը |
միասնական ռեեստրի թարմացման ամսաթվի և ժամի մասին տեղեկությունների ընդունում և մշակում |
3 |
Կատարողը |
անդամ պետության լիազորված մարմին |
4 |
Կատարման պայմանները |
կատարվում է միասնական ռեեստրի թարմացման ամսաթվի և ժամի մասին տեղեկությունները կատարողի կողմից ստանալիս |
5 |
Սահմանափակումները |
ներկայացվող տեղեկությունների ձևաչափը և կառուցվածքը պետք է համապատասխանեն Էլեկտրոնային փաստաթղթերի և տեղեկությունների ձևաչափերի ու կառուցվածքների նկարագրությանը |
6 |
Գործառնության նկարագրությունը |
կատարողն իրականացնում է միասնական ռեեստրի թարմացման ամսաթվի և ժամի մասին ստացված տեղեկությունների մշակում |
7 |
Արդյունքները |
միասնական ռեեստրի թարմացման ամսաթվի և ժամի մասին տեղեկություններն ստացվել են |
«Միասնական ռեեստրից տեղեկությունների ստացում» ընթացակարգ (P.TS.02.PRC.004)
47. «Միասնական ռեեստրից տեղեկությունների ստացում» ընթացակարգի (P.TS.02.PRC.004) կատարման սխեման ներկայացված է 7-րդ նկարում։
Նկ. 7. «Միասնական ռեեստրից տեղեկությունների ստացում» ընթացակարգի (P.TS.02.PRC.004) կատարման սխեման
48. «Միասնական ռեեստրից տեղեկությունների ստացում» ընթացակարգը (P.TS.02.PRC.004) կատարվում է անդամ պետության լիազորված մարմնի կողմից՝ միասնական ռեեստրից տեղեկություններ ստանալու նպատակով:
49. Առաջին հերթին կատարվում է «Միասնական ռեեստրից տեղեկությունների հարցում» գործառնությունը (P.TS.02.0PR.012), որի կատարման արդյունքներով անդամ պետության լիազորված մարմինը ձևակերպում և Հանձնաժողով է ուղարկում միասնական ռեեստրից տեղեկությունների ներկայացման հարցումը։
50. Միասնական ռեեստրից տեղեկությունների ներկայացման հարցումը Հանձնաժողովի կողմից ստանալու դեպքում կատարվում է «Միասնական ռեեստրից տեղեկությունների մշակում և ներկայացում» գործառնությունը (P.TS.02.0PR.013), որի կատարման արդյունքներով Հանձնաժողովը ձևակերպում և անդամ պետության լիազորված մարմին է ուղարկում միասնական ռեեստրից տեղեկությունները կամ հարցման պարամետրերը բավարարող տեղեկությունների բացակայության մասին ծանուցում։
51. Անդամ պետության լիազորված մարմնի կողմից միասնական ռեեստրից տեղեկություններ ստանալու դեպքում կատարվում է «Միասնական ռեեստրից տեղեկությունների ընդունում և մշակում» գործառնությունը (P.TS.02.0PR.014), որի կատարման արդյունքներով միասնական ռեեստրից տեղեկությունների ներկայացման հարցում ուղարկած անդամ պետության լիազորված մարմինն իրականացնում է միասնական ռեեստրից ստացված տեղեկությունների կամ հարցման պարամետրերը բավարարող տեղեկությունների բացակայության մասին ծանուցման մշակումը։
52. «Միասնական ռեեստրից տեղեկությունների ստացում» ընթացակարգի (P.TS.02.PRC.004) կատարման արդյունք է համարվում անդամ պետության լիազորված մարմնի կողմից միասնական ռեեստրից տեղեկությունների կամ հարցման պարամետրերը բավարարող տեղեկությունների բացակայության մասին ծանուցման ստացումը։
53. «Միասնական ռեեստրից տեղեկությունների ստացում» ընթացակարգի (P.TS.02.PRC.004) շրջանակներում կատարվող՝ ընդհանուր գործընթացի գործառնությունների ցանկը բերված է 20-րդ աղյուսակում։
Աղյուսակ 20
«Միասնական ռեեստրից տեղեկությունների ստացում» ընթացակարգի (P.TS.02.PRC.004) շրջանակներում կատարվող՝ ընդհանուր գործընթացի գործառնությունների ցանկը
Ծածկագրային նշագիրը |
Անվանումը |
Նկարագրությունը |
1 |
2 |
3 |
P.TS.02.0PR.012 |
միասնական ռեեստրից տեղեկությունների հարցում |
բերված է սույն Կանոնների 21-րդ աղյուսակում |
P.TS.02.0PR.013 |
միասնական ռեեստրից տեղեկությունների մշակում և ներկայացում |
բերված է սույն Կանոնների 22-րդ աղյուսակում |
P.TS.02.0PR.014 |
միասնական ռեեստրից տեղեկությունների ընդունում և մշակում |
բերված է սույն Կանոնների 23-րդ աղյուսակում |
Աղյուսակ 21
«Միասնական ռեեստրից տեղեկությունների հարցում» գործառնության (P.TS.02.0PR.012) նկարագրությունը
Թիվ ը/կ |
Տարրի նշագիրը |
Նկարագրությունը |
1 |
2 |
3 |
1 |
Ծածկագրային նշագիրը |
P.TS.02.0PR.012 |
2 |
Գործառնության անվանումը |
միասնական ռեեստրից տեղեկությունների հարցում |
3 |
Կատարողը |
անդամ պետության լիազորված մարմին |
4 |
Կատարման պայմանները |
կատարվում է միասնական ռեեստրից տեղեկություններ ստանալու անհրաժեշտության դեպքում |
5 |
Սահմանափակումները |
հարցվող տեղեկությունների ձևաչափն ու կառուցվածքը պետք է համապատասխանեն Էլեկտրոնային փաստաթղթերի և տեղեկությունների ձևաչափերի ու կառուցվածքների նկարագրությանը |
6 |
Գործառնության նկարագրությունը |
կատարողը ձևակերպում և Հանձնաժողով է ուղարկում անդամ պետության միասնական ռեեստրից կամ ամբողջ միասնական ռեեստրից տեղեկությունների ներկայացման հարցումը՝ հարցման մեջ նշված ամսաթվի դրությամբ կամ ընթացիկ ամսաթվի դրությամբ, եթե ամսաթիվը նշված չէ հարցման մեջ՝ Տեղեկատվական փոխգործակցության կանոնակարգին համապատասխան: |
7 |
Արդյունքները |
միասնական ռեեստրից տեղեկությունների հարցումն ուղարկվել է |
Աղյուսակ 22
«Միասնական ռեեստրից փոփոխված տեղեկությունների մշակում և ներկայացում» գործառնության (P.TS.02.0PR.013) նկարագրությունը
Թիվ ը/կ |
Տարրի նշագիրը |
Նկարագրությունը |
1 |
2 |
3 |
1 |
Ծածկագրային նշագիրը |
P.TS.02.0PR.013 |
2 |
Գործառնության անվանումը |
միասնական ռեեստրից տեղեկությունների մշակում և ներկայացում |
3 |
Կատարողը |
Հանձնաժողով |
4 |
Կատարման պայմանները |
կատարվում է միասնական ռեեստրից տեղեկությունների ներկայացման հարցումն ստանալիս («Միասնական ռեեստրից տեղեկությունների հարցում» գործառնություն (P.TS.02.0PR.012)) |
5 |
Սահմանափակումները |
Պահանջվում է ավտորիզացում, տեղեկությունները հարցվում են միայն անդամ պետությունների լիազորված մարմինների կողմից: Ներկայացվող տեղեկությունների ձևաչափը և կառուցվածքը պետք է համապատասխանեն Էլեկտրոնային փաստաթղթերի և տեղեկությունների ձևաչափերի ու կառուցվածքների նկարագրությանը |
6 |
Գործառնության նկարագրությունը |
կատարողն ստուգում է ստացված հարցումը՝ Տեղեկատվական փոխգործակցության կանոնակարգին համապատասխան։ Ստուգումը հաջողությամբ կատարելու դեպքում կատարողը ձևակերպում է անդամ պետության կամ ամբողջ միասնական ռեեստրի տեղեկությունները՝ կախված հարցման պայմաններից, և ուղարկում հարցման պատասխանը՝ Տեղեկատվական փոխգործակցության կանոնակարգին համապատասխան։ Հարցմանը պատասխան ներկայացնելիս կարող են ուղարկվել հաղորդագրություններ՝ միասնական ռեեստրից համապատասխանության գնահատման մարմինների վերաբերյալ փոփոխված տեղեկություններով. հարցման պարամետրերը բավարարող տեղեկությունների բացակայության (հարցման մեջ նշված՝ ամսաթվի և ժամի վերաբերյալ տեղեկությունների բացակայություն) մասին ծանուցմամբ՝ նշելով տեղեկությունների բացակայությանը համապատասխանող՝ տեղեկությունների մշակման արդյունքների ծածկագիրը։ Եթե հարցման մեջ ամսաթիվը և ժամը նշված չեն, ապա ներկայացվում են ընթացիկ ամսաթվի և ժամի դրությամբ արդիական տեղեկություններ։ |
7 |
Արդյունքները |
անդամ պետության լիազորված մարմին տեղեկություններն ուղարկվել են կամ ուղարկվել է հարցման պարամետրերը բավարարող տեղեկությունների բացակայության մասին ծանուցում |
Աղյուսակ 23
«Միասնական ռեեստրից տեղեկությունների ընդունում և մշակում» գործառնության (P.TS.02.0PR.014) նկարագրությունը
Թիվ ը/կ |
Տարրի նշագիրը |
Նկարագրությունը |
1 |
2 |
3 |
1 |
Ծածկագրային նշագիրը |
P.TS.02.0PR.014 |
2 |
Գործառնության անվանումը |
միասնական ռեեստրից տեղեկությունների ընդունում և մշակում |
3 |
Կատարողը |
անդամ պետության լիազորված մարմին |
4 |
Կատարման պայմանները |
կատարվում է միասնական ռեեստրից տեղեկություններ կամ դրանց բացակայության մասին ծանուցում ստանալու դեպքում |
5 |
Սահմանափակումները |
ստացվող տեղեկությունների ձևաչափն ու կառուցվածքը պետք է համապատասխանեն Էլեկտրոնային փաստաթղթերի և տեղեկությունների ձևաչափերի ու կառուցվածքների նկարագրությանը |
6 |
Գործառնության նկարագրությունը |
կատարողն իրականացնում է ստացված տեղեկությունների մշակում՝ Տեղեկատվական փոխգործակցության կանոնակարգին համապատասխան |
7 |
Արդյունքները |
միասնական ռեեստրից տեղեկությունները կամ հարցման պարամետրերը բավարարող տեղեկությունների բացակայության մասին ծանուցումն ստացվել են |
«Միասնական ռեեստրից փոփոխված տեղեկությունների ստացում» ընթացակարգ (P.TS.02.PRC.005)
54. «Միասնական ռեեստրից փոփոխված տեղեկությունների ստացում» ընթացակարգի (P.TS.02.PRC.005) կատարման սխեման ներկայացված է 8-րդ նկարում։
Նկ. 8. «Միասնական ռեեստրից փոփոխված տեղեկությունների ստացում» ընթացակարգի (P.TS.02.PRC.005) կատարման սխեման
55. «Միասնական ռեեստրից փոփոխված տեղեկությունների ստացում» ընթացակարգը (P.TS.02.PRC.005) կատարվում է՝ անդամ պետության լիազորված մարմնի կողմից միասնական ռեեստրից այն տեղեկություններն ստանալու նպատակներով, որոնց ներառումը կամ փոփոխումը տեղի է ունեցել հարցման մեջ նշված պահից մինչև այդ հարցումը կատարելու պահը։ Ընթացակարգը կատարվում է նաև այն դեպքում, երբ «Միասնական ռեեստրի թարմացման ամսաթվի և ժամի մասին տեղեկությունների ստացում» ընթացակարգը (P.TS.02.PRC.003) կատարելու արդյունքում հայտնաբերվել է, որ անդամ պետության լիազորված մարմնի կողմից միասնական ռեեստրից տեղեկություններ ստանալու ամսաթիվը և ժամն ավելի վաղ են, քան միասնական ռեեստրի վերջին թարմացման ամսաթիվը և ժամը։
56. Առաջին հերթին կատարվում է «Միասնական ռեեստրից փոփոխված տեղեկությունների հարցում» գործառնությունը (P.TS.02.0PR.015), որի կատարման արդյունքներով անդամ պետության լիազորված մարմինը ձևակերպում և Հանձնաժողով է ուղարկում միասնական ռեեստրից փոփոխված տեղեկությունների ներկայացման հարցումը։
57. Միասնական ռեեստրից փոփոխված տեղեկությունների ներկայացման հարցումը Հանձնաժողովի կողմից ստանալու դեպքում կատարվում է «Միասնական ռեեստրից փոփոխված տեղեկությունների մշակում և ներկայացում» գործառնությունը (P.TS.02.0PR.016), որի կատարման արդյունքներով Հանձնաժողովը ձևակերպում և անդամ պետության լիազորված մարմին է ուղարկում միասնական ռեեստրում՝ հարցման մեջ նշված ամսաթվից փոփոխված տեղեկությունները կամ հարցման պարամետրերը բավարարող տեղեկությունների բացակայության մասին ծանուցում։
58. Անդամ պետության լիազորված մարմնի կողմից միասնական ռեեստրում փոփոխված տեղեկությունները կամ հարցման պարամետրերը բավարարող տեղեկությունների բացակայության մասին ծանուցումն ստանալու դեպքում կատարվում է «Միասնական ռեեստրից փոփոխված տեղեկությունների ընդունում և մշակում» գործառնությունը (P.TS.02.0PR.017), որի կատարման արդյունքներով միասնական ռեեստրում փոփոխված տեղեկությունների ներկայացման հարցումն ուղարկած անդամ պետության լիազորված մարմինն իրականացնում է ստացված տեղեկությունների կամ հարցման պարամետրերը բավարարող տեղեկությունների բացակայության մասին ծանուցման մշակումը։
59. «Միասնական ռեեստրից փոփոխված տեղեկությունների ստացում» ընթացակարգի (P.TS.02.PRC.005) կատարման արդյունք է համարվում անդամ պետության լիազորված մարմնի կողմից միասնական ռեեստրում փոփոխված տեղեկությունների կամ հարցման պարամետրերը բավարարող տեղեկությունների բացակայության մասին ծանուցման ստացումը։
60. «Միասնական ռեեստրից փոփոխված տեղեկությունների ստացում» ընթացակարգի (P.TS.02.PRC.005) շրջանակներում կատարվող՝ ընդհանուր գործընթացի գործառնությունների ցանկը բերված է 24-րդ աղյուսակում։
Աղյուսակ 24
«Միասնական ռեեստրից փոփոխված տեղեկությունների ստացում» ընթացակարգի (P.TS.02.PRC.005) շրջանակներում կատարվող՝ ընդհանուր գործընթացի գործառնությունների ցանկը
Ծածկագրային նշագիրը |
Անվանումը |
Նկարագրությունը |
1 |
2 |
3 |
P.TS.02.0PR.015 |
միասնական ռեեստրից փոփոխված տեղեկությունների հարցում |
բերված է սույն Կանոնների 25-րդ աղյուսակում |
P.TS.02.0PR.016 |
միասնական ռեեստրից փոփոխված տեղեկությունների մշակում և ներկայացում |
բերված է սույն Կանոնների 26-րդ աղյուսակում |
P.TS.02.0PR.017 |
միասնական ռեեստրից փոփոխված տեղեկությունների ընդունում և մշակում |
բերված է սույն Կանոնների 27-րդ աղյուսակում |
Աղյուսակ 25
«Միասնական ռեեստրից փոփոխված տեղեկությունների հարցում» գործառնության (P.TS.02.0PR.015) նկարագրությունը
Թիվ ը/կ |
Տարրի նշագիրը |
Նկարագրությունը |
1 |
2 |
3 |
1 |
Ծածկագրային նշագիրը |
P.TS.02.0PR.015 |
2 |
Գործառնության անվանումը |
միասնական ռեեստրից փոփոխված տեղեկությունների հարցում |
3 |
Կատարողը |
անդամ պետության լիազորված մարմին |
4 |
Կատարման պայմանները |
կատարվում է միասնական ռեեստրից փոփոխված տեղեկություններն ստանալու անհրաժեշտության դեպքում |
5 |
Սահմանափակումները |
հարցվող տեղեկությունների ձևաչափն ու կառուցվածքը պետք է համապատասխանեն Էլեկտրոնային փաստաթղթերի և տեղեկությունների ձևաչափերի ու կառուցվածքների նկարագրությանը |
6 |
Գործառնության նկարագրությունը |
կատարողը ձևակերպում և Հանձնաժողով է ուղարկում անդամ պետության միասնական ռեեստրից կամ ամբողջ միասնական ռեեստրից փոփոխված տեղեկությունների ներկայացման հարցումը՝ սկսած հարցման մեջ նշված՝ թարմացման ամսաթվից և օրվանից մինչև հարցումը կատարելու պահը՝ Տեղեկատվական փոխգործակցության կանոնակարգին համապատասխան։ Միասնական ռեեստրում պարունակվող տեղեկություններն ամբողջ ծավալով (հաշվի առնելով պատմական տվյալները) ստանալու անհրաժեշտության դեպքում հարցման մեջ չեն նշվում թարմացման ամսաթիվը և ժամը։ Որոշակի անդամ պետությունների կողմից ներկայացված տեղեկությունների հիման վրա միասնական ռեեստրում ներառված տեղեկությունների ներկայացման անհրաժեշտության դեպքում հարցման մեջ նշվում են անդամ պետությունների ծածկագրերը |
7 |
Արդյունքները |
միասնական ռեեստրում փոփոխված տեղեկությունների ստացման հարցումն ուղարկվել է |
Աղյուսակ 26
«Միասնական ռեեստրից փոփոխված տեղեկությունների մշակում և ներկայացում» գործառնության (P.TS.02.0PR.016) նկարագրությունը
Թիվ ը/կ |
Տարրի նշագիրը |
Նկարագրությունը | |
1 |
2 |
3 | |
1 |
Ծածկագրային նշագիրը |
P.TS.02.0PR.016 | |
2 |
Գործառնության անվանումը |
միասնական ռեեստրից փոփոխված տեղեկությունների մշակում և ներկայացում | |
3 |
Կատարողը |
Հանձնաժողով | |
4 |
Կատարման պայմանները |
կատարվում է միասնական ռեեստրից փոփոխված տեղեկությունների ստացման հարցումն ստանալու դեպքում («Միասնական ռեեստրից փոփոխված տեղեկությունների հարցում» գործառնություն (P.TS.02.OPR.015)) | |
5 |
Սահմանափակումները |
պահանջվում է ավտորիզացում, տեղեկությունները հարցվում են միայն անդամ պետությունների լիազորված մարմինների կողմից: Ներկայացվող տեղեկությունների ձևաչափն ու կառուցվածքը պետք է համապատասխանեն էլեկտրոնային փաստաթղթերի և տեղեկությունների ձևաչափերի ու կառուցվածքների նկարագրությանը | |
6 |
Գործառնության նկարագրությունը |
կատարողն ստուգում է ստացված հարցումը՝ Տեղեկատվական փոխգործակցության կանոնակարգին համապատասխան։ Ստուգումը հաջողությամբ կատարելու դեպքում կատարողն ուղարկում է անդամ պետության կամ ամբողջ միասնական ռեեստրի վերաբերյալ հարցման պատասխանը՝ կախված հարցման պայմաններից՝ Տեղեկատվական փոխգործակցության կանոնակարգին համապատասխան։ Հարցմանը պատասխան ներկայացնելիս կարող են ուղարկվել հաղորդագրություններ՝ միասնական ռեեստրից փոփոխված տեղեկություններով՝ սկսած հարցման մեջ նշված՝ թարմացման ամսաթվից և ժամից. հարցման պարամետրերը բավարարող տեղեկությունների բացակայության (հարցման մեջ նշված՝ թարմացման ամսաթվից և ժամից սկսած փոփոխված տեղեկությունների բացակայություն) մասին ծանուցմամբ՝ նշելով տեղեկությունների բացակայությանը համապատասխանող՝ տեղեկությունների մշակման արդյունքների ծածկագիրը։ Եթե ամսաթիվը և ժամը նշված չեն հարցման մեջ, ապա ներկայացվում են միասնական ռեեստրից բոլոր տեղեկությունները՝ իրենց փոփոխությունների պատմության հետ։ | |
7 |
Արդյունքները |
անդամ պետության լիազորված մարմին են ներկայացվել միասնական ռեեստրից փոփոխված տեղեկությունները կամ ուղարկվել է հարցման պարամետրերը բավարարող տեղեկությունների բացակայության մասին ծանուցում |
Աղյուսակ 27
«Միասնական ռեեստրից փոփոխված տեղեկությունների ընդունում և մշակում» գործառնության (P.TS.02.0PR.017) նկարագրությունը
Թիվ ը/կ |
Տարրի նշագիրը |
Նկարագրությունը |
1 |
2 |
3 |
1 |
Ծածկագրային նշագիրը |
P.TS.02.0PR.017 |
2 |
Գործառնության անվանումը |
միասնական ռեեստրից փոփոխված տեղեկությունների ընդունում և մշակում |
3 |
Կատարողը |
անդամ պետության լիազորված մարմին |
4 |
Կատարման պայմանները |
կատարվում է միասնական ռեեստրում փոփոխված տեղեկությունները կամ դրանց բացակայության մասին ծանուցումն ստանալու դեպքում |
5 |
Սահմանափակումները |
ներկայացվող տեղեկությունների ձևաչափը և կառուցվածքը պետք է համապատասխանեն Էլեկտրոնային փաստաթղթերի և տեղեկությունների ձևաչափերի ու կառուցվածքների նկարագրությանը |
6 |
Գործառնության նկարագրությունը |
կատարողն իրականացնում է ստացված տեղեկությունների մշակում՝ Տեղեկատվական փոխգործակցության կանոնակարգին համապատասխան |
7 |
Արդյունքները |
միասնական ռեեստրից փոփոխված տեղեկությունները կամ հարցման պարամետրերը բավարարող տեղեկությունների բացակայության մասին ծանուցումն ստացվել են |
IX. Գործողությունների կարգն արտակարգ իրավիճակներում
61. Ընդհանուր գործընթացի ընթացակարգերը կատարելիս հնարավոր են բացառիկ իրավիճակներ, որոնց ժամանակ տվյալների մշակումը չի կարող անցկացվել սովորական ռեժիմով: Դա կարող է տեղի ունենալ տեխնիկական խափանումների, կառուցվածքային ու ձևաչափատրամաբանական հսկողության սխալների առաջացման և այլ դեպքերում:
62. Կառուցվածքային և ձևաչափատրամաբանական հսկողության սխալների առաջացման դեպքում անդամ պետության լիազորված մարմինը Էլեկտրոնային փաստաթղթերի և տեղեկությունների ձևաչափերի ու կառուցվածքների նկարագրությանը և էլեկտրոնային փաստաթղթերի ու տեղեկությունների լրացման նկատմամբ ներկայացվող պահանջներին համապատասխանության մասով իրականացնում է այն հաղորդագրության ստուգում, որի առնչությամբ ստացվել է սխալի մասին ծանուցում՝ Տեղեկատվական փոխգործակցության կանոնակարգին համապատասխան: Նշված փաստաթղթերի պահանջներին տեղեկությունների անհամապատասխանության հայտնաբերման դեպքում անդամ պետության լիազորված մարմինն անհրաժեշտ միջոցներ է ձեռնարկում՝ հայտնաբերված սխալը սահմանված կարգին համապատասխան վերացնելու համար։
63. Արտակարգ իրավիճակների կարգավորման նպատակներով անդամ պետությունները միմյանց և Հանձնաժողովին տեղեկացնում են այն անդամ պետությունների լիազորված մարմինների մասին, որոնց իրավասության շրջանակներում է սույն Կանոններով նախատեսված պահանջների կատարումը, ինչպես նաև ներկայացնում են տեղեկություններ ընդհանուր գործընթացն իրագործելու ժամանակ տեխնիկական աջակցություն ապահովելու համար պատասխանատու անձանց մասին:
ՀԱՍՏԱՏՎԱԾ Է Եվրասիական տնտեսական հանձնաժողովի կոլեգիայի 2016 թվականի մայիսի 10-ի թիվ 38 որոշմամբ |
ԿԱՆՈՆԱԿԱՐԳ
«Եվրասիական տնտեսական միության համապատասխանության գնահատման մարմինների (այդ թվում՝ հավաստագրման մարմինների, փորձարկման լաբորատորիաների (կենտրոնների)) միասնական ռեեստրի ձևավորում և վարում» ընդհանուր գործընթացն արտաքին և փոխադարձ առևտրի ինտեգրված տեղեկատվական համակարգի միջոցներով իրագործելիս Եվրասիական տնտեսական միության անդամ պետությունների լիազորված մարմինների և Եվրասիական տնտեսական հանձնաժողովի միջև տեղեկատվական փոխգործակցության
I. Ընդհանուր դրույթներ
1. Սույն Կանոնակարգը մշակվել է Եվրասիական տնտեսական միության (այսուհետ՝ Միություն) իրավունքի մաս կազմող հետևյալ ակտերին համապատասխան՝
«Եվրասիական տնտեսական միության մասին» 2014 թվականի մայիսի 29-ի պայմանագիր.
Մաքսային միության հանձնաժողովի 2010 թվականի հունիսի 18-ի «Մաքսային միությունում տեխնիկական կարգավորման մասին» թիվ 319 որոշում.
Մաքսային միության հանձնաժողովի 2011 թվականի ապրիլի 7-ի «Մաքսային միության շրջանակներում միասնական փաստաթղթերի տրամադրմամբ համապատասխանության պարտադիր գնահատման (հաստատման) ենթակա արտադրանքի միասնական ցանկի մասին» թիվ 620 որոշում.
Եվրասիական տնտեսական հանձնաժողովի կոլեգիայի 2014 թվականի նոյեմբերի 6-ի «Ընդհանուր գործընթացներն արտաքին և փոխադարձ առևտրի ինտեգրված տեղեկատվական համակարգի միջոցներով իրագործելիս տեղեկատվական փոխգործակցությունը կանոնակարգող տեխնոլոգիական փաստաթղթերի մասին» թիվ 200 որոշում.
Եվրասիական տնտեսական հանձնաժողովի կոլեգիայի 2015 թվականի հունվարի 27-ի «Արտաքին և փոխադարձ առևտրի ինտեգրված տեղեկատվական համակարգում տվյալների էլեկտրոնային փոխանակման կանոնները հաստատելու մասին» թիվ 5 որոշում.
Եվրասիական տնտեսական հանձնաժողովի կոլեգիայի 2015 թվականի ապրիլի 14-ի «Եվրասիական տնտեսական միության շրջանակներում ընդհանուր գործընթացների ցանկի և Եվրասիական տնտեսական հանձնաժողովի կոլեգիայի 2014 թվականի օգոստոսի 19-ի թիվ 132 որոշման մեջ փոփոխություն կատարելու մասին» թիվ 29 որոշում.
Եվրասիական տնտեսական հանձնաժողովի կոլեգիայի 2015 թվականի հունիսի 9-ի «Եվրասիական տնտեսական միության շրջանակներում ընդհանուր գործընթացների վերլուծության, օպտիմալացման, ներդաշնակեցման և նկարագրության մեթոդիկայի մասին» թիվ 63 որոշում.
Եվրասիական տնտեսական հանձնաժողովի կոլեգիայի 2015 թվականի սեպտեմբերի 28-ի «Եվրասիական տնտեսական միության անդամ պետությունների պետական իշխանության մարմինների՝ միմյանց միջև և Եվրասիական տնտեսական հանձնաժողովի հետ անդրսահմանային փոխգործակցության ընթացքում էլեկտրոնային փաստաթղթերի փոխանակման մասին հիմնադրույթի հաստատման մասին» թիվ 125 որոշում։
II. Կիրառության ոլորտը
2. Սույն Կանոնակարգը մշակվել է ընդհանուր գործընթացի մասնակիցների կողմից «Եվրասիական տնտեսական միության համապատասխանության գնահատման մարմինների (այդ թվում՝ հավաստագրման մարմինների, փորձարկման լաբորատորիաների (կենտրոնների)) միասնական ռեեստրի ձևավորում և վարում» ընդհանուր գործընթացի (այսուհետ՝ ընդհանուր գործընթաց) տրանզակցիաների կատարման կարգի և պայմանների, ինչպես նաև դրանց կատարման մեջ իրենց դերի միատեսակ ընկալումն ապահովելու նպատակներով:
3. Սույն Կանոնակարգով սահմանվում է ընդհանուր գործընթացի մասնակիցների միջև տեղեկատվական փոխգործակցության իրագործմանն անմիջականորեն ուղղված՝ ընդհանուր գործընթացի գործառնությունների կատարման կարգին և պայմաններին ներկայացվող պահանջները։
4. Սույն Կանոնակարգը կիրառվում է ընդհանուր գործընթացի մասնակիցների կողմից ընդհանուր գործընթացի շրջանակներում ընթացակարգերի և գործառնությունների կատարման կարգը վերահսկելիս, ինչպես նաև ընդհանուր գործընթացի իրագործումն ապահովող տեղեկատվական համակարգերի բաղադրիչները նախագծելիս, մշակելիս և լրամշակելիս։
III. Հիմնական հասկացությունները
5. Սույն Կանոնակարգում օգտագործվող «նախաձեռնող», «սկզբնավորող գործառնություն», «ընդունող գործառնություն», «ռեսպոնդենտ», «ընդհանուր գործընթացի հաղորդագրություն» և «ընդհանուր գործընթացի տրանզակցիա» հասկացությունները գործածվում են Եվրասիական տնտեսական հանձնաժողովի կոլեգիայի 2015 թվականի հունիսի 9-ի թիվ 63 որոշմամբ հաստատված՝ Եվրասիական տնտեսական միության շրջանակներում ընդհանուր գործընթացների վերլուծության, օպտիմալացման, ներդաշնակեցման և նկարագրության մեթոդիկայով սահմանված իմաստներով։
Սույն Կանոնակարգում օգտագործվող այլ հասկացություններ կիրառվում են Եվրասիական տնտեսական հանձնաժողովի կոլեգիայի 2016 թվականի մայիսի 10-ի թիվ 38 որոշմամբ հաստատված՝ «Եվրասիական տնտեսական միության համապատասխանության գնահատման մարմինների (այդ թվում՝ հավաստագրման մարմինների, փորձարկման լաբորատորիաների (կենտրոնների)) միասնական ռեեստրի ձևավորում և վարում» ընդհանուր գործընթացն արտաքին և փոխադարձ առևտրի ինտեգրված տեղեկատվական համակարգի միջոցներով իրագործելիս Տեղեկատվական փոխգործակցության կանոնների (այսուհետ՝ Տեղեկատվական փոխգործակցության կանոններ) 4-րդ կետում սահմանված իմաստներով:
IV. Ընդհանուր գործընթացի շրջանակներում տեղեկատվական փոխգործակցության վերաբերյալ հիմնական տեղեկությունները
1. Տեղեկատվական փոխգործակցության մասնակիցները
6. Ընդհանուր գործընթացի շրջանակներում տեղեկատվական փոխգործակցության մասնակիցների դերերի ցանկը բերված է 1-ին աղյուսակում։
Աղյուսակ 1
Տեղեկատվական փոխգործակցության մասնակիցների դերերի ցանկը
Դերի անվանումը |
Դերի նկարագրությունը |
Դերը կատարող մասնակիցը |
1 |
2 |
3 |
Տեղեկությունների տիրապետող |
ներկայացնում է Միության համապատասխանության գնահատման մարմինների (այդ թվում՝ հավաստագրման մարմինների, փորձարկման լաբորատորիաների (կենտրոնների)) միասնական ռեեստրի (այսուհետ՝ միասնական ռեեստր) ազգային մասից տեղեկությունները |
Միության անդամ պետության լիազորված մարմին (P.TS.02.ACT.001) |
Համակարգող |
միասնական ռեեստրի ազգային մասից ստանում է տեղեկություններ և ապահովում է տեղեկությունների հրապարակումը Միության տեղեկատվական պորտալում |
Եվրասիական տնտեսական հանձնաժողով (Р.АСТ.001) |
Տեղեկություններ օգտագործող |
ընդհանուր գործընթացի արտաքին և փոխադարձ առևտրի ինտեգրված տեղեկատվական համակարգի միջոցով ուղարկում է հարցում և միասնական ռեեստրից ստանում է տեղեկություններ |
Միության անդամ պետության լիազորված մարմին (P.TS.02.ACT.001) |
2. Տեղեկատվական փոխգործակցության կառուցվածքը
7. Միության անդամ պետությունների լիազորված մարմինների և Եվրասիական տնտեսական հանձնաժողովի միջև (այսուհետ համապատասխանաբար՝ անդամ պետությունների լիազորված մարմիններ, Հանձնաժողով) ընդհանուր գործընթացի շրջանակներում տեղեկատվական փոխգործակցությունն իրականացվում է ընդհանուր գործընթացի ընթացակարգերին համապատասխան՝
միասնական ռեեստրի ձևավորում և վարում.
միասնական ռեեստրից տեղեկությունների ներկայացում։
Անդամ պետությունների լիազորված մարմինների և Հանձնաժողովի միջև տեղեկատվական փոխգործակցության կառուցվածքը ներկայացված է 1-ին նկարում:
Նկ. 1. Անդամ պետությունների լիազորված մարմինների և Հանձնաժողովի միջև տեղեկատվական փոխգործակցության կառուցվածքը
8. Անդամ պետությունների լիազորված մարմինների և Հանձնաժողովի միջև տեղեկատվական փոխգործակցությունն իրագործվում է ընդհանուր գործընթացի շրջանակներում: Ընդհանուր գործընթացի կառուցվածքը սահմանված է Տեղեկատվական փոխգործակցության կանոններում:
9. Տեղեկատվական փոխգործակցությամբ սահմանվում է ընդհանուր գործընթացի այն տրանզակցիաների կատարման կարգը, որոնցից յուրաքանչյուրն ընդհանուր գործընթացի մասնակիցների միջև ընդհանուր գործընթացի տեղեկատվական օբյեկտի վիճակների սինքրոնացման նպատակներով հաղորդագրությունների փոխանակում է։ Յուրաքանչյուր տեղեկատվական փոխգործակցության համար սահմանված են ընդհանուր գործընթացի գործառնությունների և այդ գործառնություններին համապատասխանող տրանզակցիաների միջև փոխադարձ կապերը:
10. Ընդհանուր գործընթացի տրանզակցիա կատարելիս նախաձեռնողն իր կողմից իրականացվող գործառնության (սկզբնավորող գործառնության) շրջանակներում ռեսպոնդենտին է ուղարկում հաղորդագրություն-հարցում, որին ի պատասխան ռեսպոնդենտն իր կողմից իրականացվող գործառնության (ընդունող գործառնության) շրջանակներում կարող է ուղարկել կամ չուղարկել հաղորդագրություն-պատասխան՝ կախված ընդհանուր գործընթացի տրանզակցիայի ձևանմուշից։ Հաղորդագրության կազմում տվյալների կառուցվածքը պետք է համապատասխանի Եվրասիական տնտեսական հանձնաժողովի կոլեգիայի 2016 թվականի մայիսի 10-ի թիվ 38 որոշմամբ հաստատված՝ «Եվրասիական տնտեսական միության համապատասխանության գնահատման մարմինների (այդ թվում՝ հավաստագրման մարմինների, փորձարկման լաբորատորիաների (կենտրոնների)) միասնական ռեեստրի ձևավորում և վարում» ընդհանուր գործընթացն արտաքին և փոխադարձ առևտրի ինտեգրված տեղեկատվական համակարգի միջոցներով իրագործելու համար օգտագործվող Էլեկտրոնային փաստաթղթերի և տեղեկությունների ձևաչափերի ու կառուցվածքների նկարագրությանը (այսուհետ՝ Էլեկտրոնային փաստաթղթերի և տեղեկությունների ձևաչափերի ու կառուցվածքների նկարագրություն)։
11. Ընդհանուր գործընթացի տրանզակցիաները կատարվում են ընդհանուր գործընթացի տրանզակցիաների տրված պարամետրերին համապատասխան, ինչպես սահմանված է սույն Կանոնակարգով։
V. Տեղեկատվական փոխգործակցությունն ընթացակարգերի խմբերի շրջանակներում
1. Տեղեկատվական փոխգործակցությունը՝ միասնական ռեեստրը ձևավորելիս և վարելիս
12. Միասնական ռեեստրը ձևավորելիս և վարելիս ընդհանուր գործընթացի տրանզակցիաների կատարման սխեման ներկայացված է 2-րդ նկարում։ Ընդհանուր գործընթացի յուրաքանչյուր ընթացակարգի համար 2-րդ աղյուսակում բերված է ընդհանուր գործընթացի գործառնությունների, տեղեկատվական օբյեկտների միջանկյալ և վերջնական վիճակների ու ընդհանուր գործընթացի տրանզակցիաների միջև կապը։
Նկ. 2. Ընդհանուր գործընթացի տրանզակցիաների կատարման սխեման՝ միասնական ռեեստրը ձևավորելիս և վարելիս
Աղյուսակ 2
Ընդհանուր գործընթացի տրանզակցիաների ցանկը՝ միասնական ռեեստրը ձևավորելիս և վարելիս
Թիվ ը/կ |
Նախաձեռնողի կողմից կատարվող գործառնությունը |
Ընդհանուր գործընթացի տեղեկատվական օբյեկտի միջանկյալ վիճակը |
Ռեսպոնդենտի կողմից կատարվող գործառնությունը |
Ընդհանուր գործընթացի տեղեկատվական օբյեկտի վերջնական վիճակը |
Ընդհանուր գործընթացի տրանզակցիան |
1 |
2 |
3 |
4 |
5 |
6 |
1 |
Միասնական ռեեստրում տեղեկությունների ներառում (P.TS.02.PRC.001) | ||||
1.1 |
Միասնական ռեեստրում ներառելու համար տեղեկությունների ներկայացում (P.TS.02.0PR.001)։ Միասնական ռեեստրում տեղեկությունների ներառման արդյունքների մասին ծանուցման ստացում (P.TS.02.0PR.003) |
միասնական ռեեստր (P.TS.02.BEN.001)` տեղեկությունները փոխանցվել են միասնական ռեեստրում ներառելու համար |
միասնական ռեեստրում ներառելու համար տեղեկությունների ընդունում և մշակում (P.TS.02.0PR.002) |
միասնական ռեեստր (P.TS.02.BEN.001)` տեղեկությունները մշակվել են |
միասնական ռեեստրում ներառելու համար համապատասխանության գնահատման մարմինների վերաբերյալ տեղեկությունների փոխանցում (P.TS.02.TRN.001) |
2 |
Միասնական ռեեստրում տեղեկությունների փոփոխում (P.TS.02.PRC.002) | ||||
2.1. |
Միասնական ռեեստրում փոփոխություններ կատարելու համար տեղեկությունների ներկայացում (P.TS.02.0PR.005): Միասնական ռեեստրում տեղեկությունների փոփոխման արդյունքների մասին ծանուցման ստացում (P.TS.02.0PR.007) |
միասնական ռեեստր (P.TS.02.BEN.001)` տեղեկությունները փոխանցվել են՝ միասնական ռեեստրում փոփոխություններ կատարելու համար |
միասնական ռեեստրում փոփոխություններ կատարելու համար տեղեկությունների ընդունում և մշակում (P.TS.02.0PR.006) |
միասնական ռեեստր (P.TS.02.BEN.001)` տեղեկությունները մշակվել են |
միասնական ռեեստրում փոփոխություններ կատարելու համար համապատասխանության գնահատման մարմինների վերաբերյալ տեղեկությունների փոխանցում (P.TS.02.TRN.002) |
2. Տեղեկատվական փոխգործակցությունը՝ միասնական ռեեստրից տեղեկություններ ներկայացնելիս
13. Միասնական ռեեստրից տեղեկություններն անդամ պետությունների լիազորված մարմիններ ներկայացնելիս ընդհանուր գործընթացի տրանզակցիաների կատարման սխեման ներկայացված է 3-րդ նկարում։ Ընդհանուր գործընթացի յուրաքանչյուր ընթացակարգի համար 3-րդ աղյուսակում բերված է ընդհանուր գործընթացի գործառնությունների, տեղեկատվական օբյեկտների միջանկյալ և վերջնական վիճակների ու ընդհանուր գործընթացի տրանզակցիաների միջև կապը։
Նկ. 3. Ընդհանուր գործընթացի տրանզակցիաների կատարման սխեման՝ միասնական ռեեստրից տեղեկությունները ներկայացնելիս
Աղյուսակ 3
Ընդհանուր գործընթացի տրանզակցիաների ցանկը՝ միասնական ռեեստրից տեղեկությունները ներկայացնելիս
Թիվ ը/կ |
Նախաձեռնողի կողմից կատարվող գործառնությունը |
Ընդհանուր գործընթացի տեղեկատվական օբյեկտի միջանկյալ վիճակը |
Ռեսպոնդենտի կողմից կատարվող գործառնությունը |
Ընդհանուր գործընթացի տեղեկատվական օբյեկտի վերջնական վիճակը |
Ընդհանուր գործընթացի տրանզակցիան |
1 |
2 |
3 |
4 |
5 |
6 |
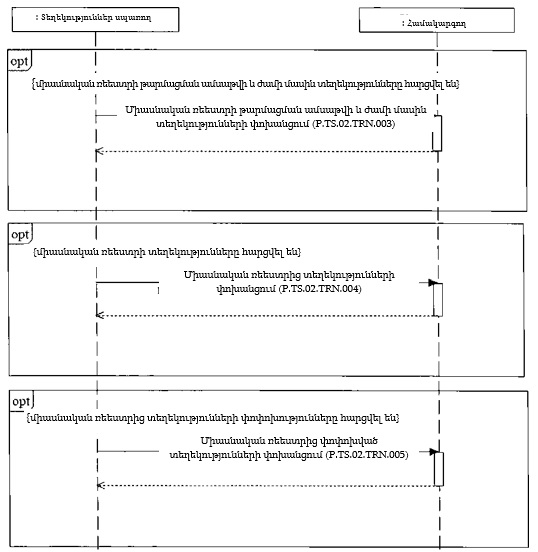
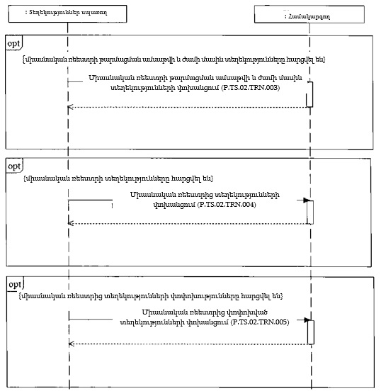
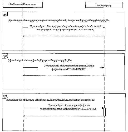
1 |
Միասնական ռեեստրի թարմացման ամսաթվի և ժամի մասին տեղեկությունների ստացում (P.TS.02.PRC.003) | ||||
1.1 |
Միասնական ռեեստրի թարմացման ամսաթվի և ժամի մասին տեղեկությունների հարցում (P.TS.02.0PR.009): Միասնական ռեեստրի թարմացման ամսաթվի և ժամի մասին տեղեկությունների ընդունում և մշակում (P.TS.02.OPR.011) |
միասնական ռեեստր (P.TS.02.BEN.001)` միասնական ռեեստրի թարմացման ամսաթիվն ու ժամը հարցված են |
միասնական ռեեստրի թարմացման ամսաթվի և ժամի մասին տեղեկությունների մշակում ու ներկայացում (P.TS.02.OPR.010) |
միասնական ռեեստր (P.TS.02.BEN.001)՝ միասնական ռեեստրի թարմացման ամսաթիվն ու ժամը ներկայացված են |
միասնական ռեեստրի թարմացման ամսաթվի և ժամի մասին տեղեկությունների փոխանցում (P.TS.02.TRN.003) |
2 |
Միասնական ռեեստրից տեղեկությունների ստացում (P.TS.02.PRC.004) | ||||
2.1. |
Միասնական ռեեստրից տեղեկությունների հարցում (P.TS.02.0PR.012)։ Միասնական ռեեստրից տեղեկությունների ընդունում և մշակում (P.TS.02.0PR.014) |
միասնական ռեեստր (P.TS.02.BEN.001)` տեղեկությունները հարցվել են |
միասնական ռեեստրից տեղեկությունների մշակում և ներկայացում (P.TS.02.0PR.013) |
միասնական ռեեստր (P.TS.02.BEN.001)` տեղեկությունները բացակայում են: Միասնական ռեեստր (P.TS.02.BEN.001)` տեղեկությունները ներկայացված են |
միասնական ռեեստրից տեղեկությունների փոխանցում (P.TS.02.TRN.004) |
3 |
Միասնական ռեեստրից փոփոխված տեղեկությունների ստացում (P.TS.02.PRC.005) | ||||
3.1 |
Միասնական ռեեստրից փոփոխված տեղեկությունների հարցում (P.TS.02.0PR.015)։ Միասնական ռեեստրից փոփոխված տեղեկությունների ընդունում և մշակում (P.TS.02.OPR.017) |
միասնական ռեեստր (P.TS.02.BEN.001)` տեղեկությունների փոփոխությունները հարցված են |
միասնական ռեեստրից փոփոխված տեղեկությունների մշակում և ներկայացում (P.TS.02.0PR.016) |
միասնական ռեեստր (P.TS.02.BEN.001)` տեղեկությունների փոփոխությունները բացակայում են։ Միասնական ռեեստր (P.TS.02.BEN.001)՝ տեղեկությունների փոփոխությունները ներկայացված են |
միասնական ռեեստրից փոփոխված տեղեկությունների փոխանցում (P.TS.02.TRN.005) |
VI. Ընդհանուր գործընթացի հաղորդագրությունների նկարագրությունը
14. Ընդհանուր գործընթացն իրագործելիս տեղեկատվական փոխգործակցության շրջանակներում փոխանցվող՝ ընդհանուր գործընթացի հաղորդագրությունների ցանկը բերված է 4-րդ աղյուսակում։ Հաղորդագրության կազմում տվյալների կառուցվածքը պետք է համապատասխանի Էլեկտրոնային փաստաթղթերի և տեղեկությունների ձևաչափերի ու կառուցվածքների նկարագրությանը։ Էլեկտրոնային փաստաթղթերի և տեղեկությունների ձևաչափերի ու կառուցվածքների նկարագրության մեջ համապատասխան կառուցվածքին հղումը սահմանվում է ըստ 4-րդ աղյուսակի 3-րդ սյունակի նշանակության:
Աղյուսակ 4
Ընդհանուր գործընթացի հաղորդագրությունների ցանկը
Ծածկագրային նշագիրը |
Անվանումը |
Էլեկտրոնային փաստաթղթի (տեղեկությունների) կառուցվածքը |
1 |
2 |
3 |
P.TS.02.MSG.001 |
միասնական ռեեստրում ներառելու համար համապատասխանության գնահատման մարմինների վերաբերյալ տեղեկություններ |
համապատասխանության գնահատման մարմինների միասնական ռեեստրի տեղեկություններ (R.TR.TS.02.001) |
P.TS.02.MSG.002 |
միասնական ռեեստրում փոփոխություններ կատարելու համար համապատասխանության գնահատման մարմինների վերաբերյալ տեղեկություններ |
համապատասխանության գնահատման մարմինների միասնական ռեեստրի տեղեկություններ (R.TR.TS.02.001) |
P.TS.02.MSG.003 |
միասնական ռեեստրի թարմացման մասին ծանուցում |
մշակման արդյունքի մասին ծանուցում (R.006) |
P.TS.02.MSG.004 |
միասնական ռեեստրի վիճակի մասին տեղեկությունների հարցում |
ընդհանուր ռեսուրսի արդիականացման վիճակ (R.007) |
P.TS.02.MSG.005 |
միասնական ռեեստրի վիճակի մասին տեղեկություններ |
ընդհանուր ռեսուրսի արդիականացման վիճակ (R.007) |
P.TS.02.MSG.006 |
միասնական ռեեստրից համապատասխանության գնահատման մարմինների վերաբերյալ տեղեկությունների հարցում |
ընդհանուր ռեսուրսի արդիականացման վիճակ (R.007) |
P.TS.02.MSG.007 |
միասնական ռեեստրից համապատասխանության գնահատման մարմինների վերաբերյալ տեղեկություններ |
համապատասխանության գնահատման մարմինների միասնական ռեեստրի տեղեկություններ (R.TR.TS.02.001) |
P.TS.02.MSG.008 |
միասնական ռեեստրից համապատասխանության գնահատման մարմինների վերաբերյալ փոփոխված տեղեկությունների հարցում |
ընդհանուր ռեսուրսի արդիականացման վիճակ (R.007) |
P.TS.02.MSG.009 |
միասնական ռեեստրից համապատասխանության գնահատման մարմինների վերաբերյալ փոփոխված տեղեկություններ |
համապատասխանության գնահատման մարմինների միասնական ռեեստրի տեղեկություններ (R.TR.TS.02.001) |
P.TS.02.MSG.010 |
միասնական ռեեստրում համապատասխանության գնահատման մարմինների վերաբերյալ հարցվող տեղեկությունների բացակայության մասին ծանուցում |
մշակման արդյունքի մասին ծանուցում (R.006) |
VII. Ընդհանուր գործընթացի տրանզակցիաների նկարագրությունը
1. «Միասնական ռեեստրում ներառելու համար համապատասխանության գնահատման մարմինների վերաբերյալ տեղեկությունների փոխանցում» ընդհանուր գործընթացի տրանզակցիան (P.TS.02.TRN.001)
15. «Միասնական ռեեստրում ներառելու համար համապատասխանության գնահատման մարմինների վերաբերյալ տեղեկությունների փոխանցում» ընդհանուր գործընթացի տրանզակցիան (P.TS.02.TRN.001) կատարվում է նախաձեռնողի կողմից ռեսպոնդենտին համապատասխան տեղեկությունները փոխանցելու համար: Ընդհանուր գործընթացի նշված տրանզակցիայի կատարման սխեման ներկայացված է 4-րդ նկարում։ Ընդհանուր գործընթացի տրանզակցիայի պարամետրերը բերված են 5-րդ աղյուսակում։
Նկ. 4. «Միասնական ռեեստրում ներառելու համար համապատասխանության գնահատման մարմինների վերաբերյալ տեղեկությունների փոխանցում» ընդհանուր գործընթացի տրանզակցիայի (P.TS.02.TRN.001) կատարման սխեման
Աղյուսակ 5
«Միասնական ռեեստրում ներառելու համար համապատասխանության գնահատման մարմինների վերաբերյալ տեղեկությունների փոխանցում» ընդհանուր գործընթացի տրանզակցիայի
(P.TS.02.TRN.001) նկարագրությունը
Թիվ ը/կ |
Պարտադիր տարրը |
Նկարագրությունը |
1 |
2 |
3 |
1 |
Ծածկագրային նշագիրը |
P.TS.02.TRN.001 |
2 |
Ընդհանուր գործընթացի տրանզակցիայի անվանումը |
միասնական ռեեստրում ներառելու համար համապատասխանության գնահատման մարմինների վերաբերյալ տեղեկությունների փոխանցում |
3 |
Ընդհանուր գործընթացի տրանզակցիայի ձևանմուշը |
հարցում/պատասխան |
4 |
Սկզբնավորող դերը |
նախաձեռնող |
5 |
Սկզբնավորող գործառնությունը |
միասնական ռեեստրում ներառելու համար տեղեկությունների ներկայացում |
6 |
Արձագանքող դերը |
ռեսպոնդենտ |
7 |
Ընդունող գործառնությունը |
միասնական ռեեստրում ներառելու համար տեղեկությունների ընդունում և մշակում |
8 |
Ընդհանուր գործընթացի տրանզակցիայի կատարման արդյունքը |
միասնական ռեեստր (P.TS.02.BEN.001)՝ տեղեկությունները մշակվել են |
9 |
Ընդհանուր գործընթացի տրանզակցիայի պարամետրերը՝ |
|
ստացումը հաստատելու համար ժամանակը |
- | |
մշակման ընդունումը հաստատելու ժամանակը |
20 րոպե | |
պատասխանին սպասելու ժամանակը |
4 ժ | |
ավտորիզացման հատկանիշը |
այո | |
կրկնությունների քանակը |
3 | |
10 |
Ընդհանուր գործընթացի տրանզակցիայի հաղորդագրությունները՝ |
|
սկզբնավորող հաղորդագրություն |
միասնական ռեեստրում ներառելու համար համապատասխանության գնահատման մարմինների վերաբերյալ տեղեկություններ (P.TS.02.MSG.001) | |
պատասխան հաղորդագրություն |
միասնական ռեեստրի թարմացման մասին ծանուցում (P.TS.02.MSG.003) | |
11 |
Ընդհանուր գործընթացի տրանզակցիայի հաղորդագրությունների պարամետրերը՝ |
|
ԷԹՍ հատկանիշ |
ոչ (բացառությամբ այն դեպքերի, երբ ընդհանուր գործընթացի շրջանակներում տեղեկատվական փոխգործակցության իրականացման ժամանակ ԷԹՍ-ի կիրառումը նախատեսված է Հանձնաժողովի կոլեգիայի համապատասխան որոշմամբ)՝ P.TS.02.MSG.001-ի համար | |
ոչ՝ P.TS.02.MSG.003-ի համար | ||
սխալ ԷԹՍ-ով էլեկտրոնային փաստաթղթի փոխանցում |
ոչ |
2. «Միասնական ռեեստրում ներառելու համար համապատասխանության գնահատման մարմինների վերաբերյալ տեղեկությունների փոխանցում» ընդհանուր գործընթացի տրանզակցիան (P.TS.02.TRN.002)
16. «Միասնական ռեեստրում փոփոխություններ կատարելու համար համապատասխանության գնահատման մարմինների վերաբերյալ տեղեկությունների փոխանցում» ընդհանուր գործընթացի տրանզակցիան (P.TS.02.TRN.002) կատարվում է նախաձեռնողի կողմից ռեսպոնդենտին համապատասխան տեղեկությունները փոխանցելու համար: Ընդհանուր գործընթացի նշված տրանզակցիայի կատարման սխեման ներկայացված է 5-րդ նկարում։ Ընդհանուր գործընթացի տրանզակցիայի պարամետրերը բերված են 6-րդ աղյուսակում։
Նկ. 5. «Միասնական ռեեստրում ներառելու համար համապատասխանության գնահատման մարմինների վերաբերյալ տեղեկությունների փոխանցում» ընդհանուր գործընթացի տրանզակցիայի (P.TS.02.TRN.002) կատարման սխեման
Աղյուսակ 6
«Միասնական ռեեստրում ներառելու համար համապատասխանության գնահատման մարմինների վերաբերյալ տեղեկությունների փոխանցում» ընդհանուր գործընթացի տրանզակցիայի (P.TS.02.TRN.002) նկարագրությունը
Թիվ ը/կ |
Պարտադիր տարրը |
Նկարագրությունը |
1 |
2 |
3 |
1 |
Ծածկագրային նշագիրը |
P.TS.02.TRN.002 |
2 |
Ընդհանուր գործընթացի տրանզակցիայի անվանումը |
միասնական ռեեստրում փոփոխություններ կատարելու համար համապատասխանության գնահատման մարմինների վերաբերյալ տեղեկությունների փոխանցում |
3 |
Ընդհանուր գործընթացի տրանզակցիայի ձևանմուշը |
հարցում/պատասխան |
4 |
Սկզբնավորող դերը |
նախաձեռնող |
5 |
Սկզբնավորող գործառնությունը |
միասնական ռեեստրում փոփոխություններ կատարելու համար տեղեկությունների ներկայացում |
6 |
Արձագանքող դերը |
ռեսպոնդենտ |
7 |
Ընդունող գործառնությունը |
միասնական ռեեստրում փոփոխություններ կատարելու համար տեղեկությունների ընդունում և մշակում |
8 |
Ընդհանուր գործընթացի տրանզակցիայի կատարման արդյունքը |
միասնական ռեեստր (P.TS.02.BEN.001)՝ տեղեկությունները մշակվել են |
9 |
Ընդհանուր գործընթացի տրանզակցիայի պարամետրերը՝ |
|
ստացումը հաստատելու համար ժամանակը |
- | |
մշակման ընդունումը հաստատելու ժամանակը |
20 րոպե | |
պատասխանին սպասելու ժամանակը |
4 ժ | |
ավտորիզացման հատկանիշը |
այո | |
կրկնությունների քանակը |
3 | |
10 |
Ընդհանուր գործընթացի տրանզակցիայի հաղորդագրությունները՝ |
|
սկզբնավորող հաղորդագրություն |
համապատասխանության գնահատման մարմինների վերաբերյալ տեղեկություններ՝ փոփոխությունների համար (P.TS.02.MSG.002) | |
պատասխան հաղորդագրություն |
միասնական ռեեստրի թարմացման մասին ծանուցում (P.TS.02.MSG.003) | |
11 |
Ընդհանուր գործընթացի տրանզակցիայի հաղորդագրությունների պարամետրերը՝ |
|
ԷԹՍ հատկանիշ |
ոչ (բացառությամբ այն դեպքերի, երբ ընդհանուր գործընթացի շրջանակներում տեղեկատվական փոխգործակցության իրականացման ժամանակ ԷԹՍ-ի կիրառումը նախատեսված է Հանձնաժողովի կոլեգիայի համապատասխան որոշմամբ)՝ P.TS.02.MSG.002-ի համար | |
ոչ՝ P.TS.02.MSG.003-ի համար | ||
սխալ ԷԹՍ-ով էլեկտրոնային փաստաթղթի փոխանցում |
ոչ |
3. «Միասնական ռեեստրի թարմացման ամսաթվի և ժամի մասին տեղեկությունների փոխանցում» ընդհանուր գործընթացի տրանզակցիան (P.TS.02.TRN.003)
17. «Միասնական ռեեստրի թարմացման ամսաթվի և ժամի մասին տեղեկությունների փոխանցում» ընդհանուր գործընթացի տրանզակցիան (P.TS.02.TRN.003) կատարվում է նախաձեռնողի հարցմամբ ռեսպոնդենտի կողմից համապատասխան տեղեկություններ ներկայացնելու համար։ Ընդհանուր գործընթացի նշված տրանզակցիայի կատարման սխեման ներկայացված է 6-րդ նկարում։ Ընդհանուր գործընթացի տրանզակցիայի պարամետրերը բերված են 7-րդ աղյուսակում։
Նկ. 6. «Միասնական ռեեստրի թարմացման ամսաթվի և ժամի մասին տեղեկությունների փոխանցում» ընդհանուր գործընթացի տրանզակցիայի (P.TS.02.TRN.003) կատարման սխեման
Աղյուսակ 7
«Միասնական ռեեստրի թարմացման ամսաթվի և ժամի մասին տեղեկությունների փոխանցում» ընդհանուր գործընթացի տրանզակցիայի (P.TS.02.TRN.003) նկարագրությունը
Թիվ ը/կ |
Պարտադիր տարրը |
Նկարագրությունը |
1 |
2 |
3 |
1 |
Ծածկագրային նշագիրը |
P.TS.02.TRN.003 |
2 |
Ընդհանուր գործընթացի տրանզակցիայի անվանումը |
միասնական ռեեստրի թարմացման ամսաթվի և ժամի մասին տեղեկությունների փոխանցում |
3 |
Ընդհանուր գործընթացի տրանզակցիայի ձևանմուշը |
հարցում/պատասխան |
4 |
Սկզբնավորող դերը |
նախաձեռնող |
5 |
Սկզբնավորող գործառնությունը |
միասնական ռեեստրի թարմացման ամսաթվի և ժամի մասին տեղեկությունների հարցում |
6 |
Արձագանքող դերը |
ռեսպոնդենտ |
7 |
Ընդունող գործառնությունը |
միասնական ռեեստրի թարմացման ամսաթվի և ժամի մասին տեղեկությունների մշակում ու ներկայացում |
8 |
Ընդհանուր գործընթացի տրանզակցիայի կատարման արդյունքը |
միասնական ռեեստր (P.TS.02.BEN.001)` թարմացման ամսաթիվը և ժամը ներկայացված են |
9 |
Ընդհանուր գործընթացի տրանզակցիայի պարամետրերը՝ |
|
ստացումը հաստատելու համար ժամանակը |
- | |
մշակման ընդունումը հաստատելու ժամանակը |
- | |
պատասխանին սպասելու ժամանակը |
4 ժ | |
ավտորիզացման հատկանիշը |
այո | |
կրկնությունների քանակը |
3 | |
10 |
Ընդհանուր գործընթացի տրանզակցիայի հաղորդագրությունները՝ |
|
սկզբնավորող հաղորդագրություն |
միասնական ռեեստրի վիճակի մասին տեղեկությունների հարցում (P.TS.02.MSG.004) | |
պատասխան հաղորդագրություն |
միասնական ռեեստրի վիճակի մասին տեղեկություններ (P.TS.02.MSG.005) | |
11 |
Ընդհանուր գործընթացի տրանզակցիայի հաղորդագրությունների պարամետրերը՝ |
|
ԷԹՍ հատկանիշ |
ոչ | |
սխալ ԷԹՍ-ով էլեկտրոնային փաստաթղթի փոխանցում |
ոչ |
4.«Միասնական ռեեստրից տեղեկությունների փոխանցում» ընդհանուր գործընթացի տրանզակցիան (P.TS.02.TRN.004)
18. «Միասնական ռեեստրից տեղեկությունների փոխանցում» ընդհանուր գործընթացի տրանզակցիան (P.TS.02.TRN.004) կատարվում է նախաձեռնողի հարցմամբ ռեսպոնդենտի կողմից համապատասխան տեղեկություններ ներկայացնելու համար։ Ընդհանուր գործընթացի նշված տրանզակցիայի կատարման սխեման ներկայացված է 7-րդ նկարում։ Ընդհանուր գործընթացի տրանզակցիայի պարամետրերը բերված են 8-րդ աղյուսակում։
Նկ. 7. «Միասնական ռեեստրից տեղեկությունների փոխանցում» (P.TS.02.TRN.004) ընդհանուր գործընթացի տրանզակցիայի կատարման սխեման
Աղյուսակ 8
«Միասնական ռեեստրից տեղեկությունների փոխանցում» ընդհանուր գործընթացի տրանզակցիայի (P.TS.02.TRN.004) նկարագրությունը
Թիվ ը/կ |
Պարտադիր տարրը |
Նկարագրությունը |
1 |
2 |
3 |
1 |
Ծածկագրային նշագիրը |
P.TS.02.TRN.004 |
2 |
Ընդհանուր գործընթացի տրանզակցիայի անվանումը |
միասնական ռեեստրից տեղեկությունների փոխանցում |
3 |
Ընդհանուր գործընթացի տրանզակցիայի ձևանմուշը |
հարցում/պատասխան |
4 |
Սկզբնավորող դերը |
նախաձեռնող |
5 |
Սկզբնավորող գործառնությունը |
միասնական ռեեստրից տեղեկությունների հարցում |
6 |
Արձագանքող դերը |
ռեսպոնդենտ |
7 |
Ընդունող գործառնությունը |
միասնական ռեեստրից տեղեկությունների մշակում և ներկայացում |
8 |
Ընդհանուր գործընթացի տրանզակցիայի կատարման արդյունքը |
միասնական ռեեստր (P.TS.02.BEN.001)՝ միասնական ռեեստրում տեղեկությունները բացակայում են (P.TS.02.BEN.001)՝ տեղեկությունները ներկայացված են |
9 |
Ընդհանուր գործընթացի տրանզակցիայի պարամետրերը՝ |
|
ստացումը հաստատելու համար ժամանակը |
- | |
մշակման ընդունումը հաստատելու ժամանակը |
20 րոպե | |
պատասխանին սպասելու ժամանակը |
4 ժ | |
ավտորիզացման հատկանիշը |
այո | |
կրկնությունների քանակը |
3 | |
10 |
Ընդհանուր գործընթացի տրանզակցիայի հաղորդագրությունները՝ |
|
սկզբնավորող հաղորդագրություն |
միասնական ռեեստրից համապատասխանության գնահատման մարմինների վերաբերյալ տեղեկությունների հարցում (P.TS.02.MSG.006) | |
պատասխան հաղորդագրություն |
միասնական ռեեստրից համապատասխանության գնահատման մարմինների վերաբերյալ տեղեկություններ (P.TS.02.MSG.007) | |
միասնական ռեեստրում համապատասխանության գնահատման մարմինների վերաբերյալ հարցվող տեղեկությունների բացակայության մասին ծանուցում (P.TS.02.MSG.011) | ||
11 |
Ընդհանուր գործընթացի տրանզակցիայի հաղորդագրությունների պարամետրերը՝ |
|
ԷԹՍ հատկանիշ |
ոչ | |
սխալ ԷԹՍ-ով էլեկտրոնային փաստաթղթի փոխանցում |
ոչ |
5. «Միասնական ռեեստրից փոփոխված տեղեկությունների փոխանցում» ընդհանուր գործընթացի տրանզակցիան (P.TS.02.TRN.005)
19. «Միասնական ռեեստրից փոփոխված տեղեկությունների փոխանցում» ընդհանուր գործընթացի տրանզակցիան (P.TS.02.TRN.005) կատարվում է նախաձեռնողի հարցմամբ ռեսպոնդենտի կողմից համապատասխան տեղեկություններ ներկայացնելու համար։ Ընդհանուր գործընթացի նշված տրանզակցիայի կատարման սխեման ներկայացված է 8-րդ նկարում։ Ընդհանուր գործընթացի տրանզակցիայի պարամետրերը բերված են 9-րդ աղյուսակում։
Նկ. 8. «Միասնական ռեեստրից փոփոխված տեղեկությունների փոխանցում» ընդհանուր գործընթացի տրանզակցիայի (P.TS.02.TRN.005) կատարման սխեման
Աղյուսակ 9
«Միասնական ռեեստրից փոփոխված տեղեկությունների փոխանցում» ընդհանուր գործընթացի տրանզակցիայի
(P.TS.02.TRN.005) նկարագրությունը
Թիվ ը/կ |
Պարտադիր տարրը |
Նկարագրությունը |
1 |
2 |
3 |
1 |
Ծածկագրային նշագիրը |
P.TS.02.TRN.005 |
2 |
Ընդհանուր գործընթացի տրանզակցիայի անվանումը |
միասնական ռեեստրից փոփոխված տեղեկությունների փոխանցում |
3 |
Ընդհանուր գործընթացի տրանզակցիայի ձևանմուշը |
հարցում/պատասխան |
4 |
Սկզբնավորող դերը |
նախաձեռնող |
5 |
Սկզբնավորող գործառնությունը |
միասնական ռեեստրից փոփոխված տեղեկությունների հարցում |
6 |
Արձագանքող դերը |
ռեսպոնդենտ |
7 |
Ընդունող գործառնությունը |
միասնական ռեեստրից փոփոխված տեղեկությունների մշակում և ներկայացում |
8 |
Ընդհանուր գործընթացի տրանզակցիայի կատարման արդյունքը |
միասնական ռեեստր (P.TS.02.BEN.001)՝ տեղեկությունների փոփոխությունները բացակայում են |
միասնական ռեեստր (P.TS.02.BEN.001)՝ տեղեկությունների փոփոխությունները ներկայացված են | ||
9 |
Ընդհանուր գործընթացի տրանզակցիայի պարամետրերը՝ |
|
ստացումը հաստատելու համար ժամանակը |
- | |
մշակման ընդունումը հաստատելու ժամանակը |
20 րոպե | |
պատասխանին սպասելու ժամանակը |
4 ժ | |
ավտորիզացման հատկանիշը |
այո | |
կրկնությունների քանակը |
3 | |
10 |
Ընդհանուր գործընթացի տրանզակցիայի հաղորդագրությունները՝ |
|
կզբնավորող հաղորդագրություն |
միասնական ռեեստրից համապատասխանության գնահատման մարմինների վերաբերյալ փոփոխված տեղեկությունների հարցում (P.TS.02.MSG.008) | |
պատասխան հաղորդագրություն |
միասնական ռեեստրից համապատասխանության գնահատման մարմինների վերաբերյալ փոփոխված տեղեկություններ (P.TS.02.MSG.009) | |
միասնական ռեեստրում համապատասխանության գնահատման մարմինների վերաբերյալ հարցվող տեղեկությունների բացակայության մասին ծանուցում (P.TS.02.MSG.010) | ||
11 |
Ընդհանուր գործընթացի տրանզակցիայի հաղորդագրությունների պարամետրերը՝ |
|
ԷԹՍ հատկանիշ |
ոչ | |
սխալ ԷԹՍ-ով էլեկտրոնային փաստաթղթի փոխանցում |
ոչ |
VIII. Արտակարգ իրավիճակներում գործողությունների կարգը
20. Ընդհանուր գործընթացի շրջանակներում տեղեկատվական փոխգործակցության ժամանակ հնարավոր են այնպիսի արտակարգ իրավիճակներ, երբ տվյալների մշակումը չի կարող կատարվել սովորական ռեժիմով։ Արտակարգ իրավիճակներն առաջանում են տեխնիկական խափանումների, սպասման ժամանակը լրանալու և այլ դեպքերում: Ընդհանուր գործընթացի մասնակցի կողմից արտակարգ իրավիճակի առաջացման պատճառների վերաբերյալ մեկնաբանություններ և այն կարգավորելու վերաբերյալ առաջարկություններ ստանալու համար պետք է նախատեսված լինի արտաքին և փոխադարձ առևտրի ինտեգրված տեղեկատվական համակարգի աջակցության ծառայություն համապատասխան հարցում ուղարկելու հնարավորությունը։ Արտակարգ իրավիճակի կարգավորման վերաբերյալ ընդհանուր առաջարկությունները բերված են 10-րդ աղյուսակում։
21. Անդամ պետության լիազորված մարմինն անցկացնում է Էլեկտրոնային փաստաթղթերի և տեղեկությունների ձևաչափերի ու կառուցվածքների նկարագրությանը և սույն կանոնակարգի IX բաժնում նշված էլեկտրոնային փաստաթղթերի և տեղեկությունների լրացմանը ներկայացվող պահանջներին համապատասխանության մասով այն հաղորդագրության ստուգումը, որի կապակցությամբ ստացվել է սխալի մասին ծանուցումը: Նշված պահանջներին անհամապատասխանություն հայտնաբերելու դեպքում անդամ պետության լիազորված մարմինը ձեռնարկում է բոլոր անհրաժեշտ միջոցները՝ հայտնաբերված սխալը վերացնելու համար։ Անհամապատասխանություն չհայտնաբերելու դեպքում անդամ պետության լիազորված մարմինն այդ արտակարգ իրավիճակի նկարագրությամբ հաղորդագրություն է ուղարկում արտաքին և փոխադարձ առևտրի ինտեգրված տեղեկատվական համակարգի աջակցության ծառայություն։
Աղյուսակ 10
Գործողություններն արտակարգ իրավիճակներում
Արտակարգ իրավիճակի ծածկագիրը |
Արտակարգ իրավիճակի նկարագրությունը |
Արտակարգ իրավիճակի պատճառները |
Արտակարգ իրավիճակի առաջացման դեպքում գործողությունների նկարագրությունը |
1 |
2 |
3 |
4 |
Р.ЕХС.002 |
ընդհանուր գործընթացի երկկողմ տրանզակցիայի նախաձեռնողը կրկնությունների համաձայնեցված քանակը լրանալուց հետո պատասխան հաղորդագրություն չի ստացել |
հաղորդագրությունների առաքման ժամանակ տրանսպորտային համակարգում տեխնիկական խափանումներ կամ ծրագրային ապահովման համակարգային սխալ |
անհրաժեշտ է հարցում ուղարկել ազգային հատվածի տեխնիկական աջակցման այն ծառայություն, որտեղ ձևավորվել է հաղորդագրությունը |
Р.ЕХС.004 |
ընդհանուր գործընթացի տրանզակցիայի նախաձեռնողը սխալի մասին ծանուցում է ստացել |
տեղեկատուներն ու դասակարգիչները չեն սինքրոնացվել, կամ էլեկտրոնային փաստաթղթերի (տեղեկությունների) XML սխեմաները չեն թարմացվել |
ընդհանուր գործընթացի տրանզակցիայի նախաձեռնողին հարկավոր է սինքրոնացնել օգտագործվող տեղեկատուներն ու դասակարգիչները կամ թարմացնել էլեկտրոնային փաստաթղթերի (տեղեկությունների) XML սխեմաները։ Եթե տեղեկատուներն ու դասակարգիչները սինքրոնացվել են, էլեկտրոնային փաստաթղթերի (տեղեկությունների) XML սխեմաները թարմացվել են, ապա անհրաժեշտ է հարցում ուղարկել ընդունող մասնակցի աջակցության ծառայություն |
IX. Էլեկտրոնային փաստաթղթերի և տեղեկությունների լրացմանը ներկայացվող պահանջները
22. «Ներառելու համար համապատասխանության գնահատման մարմինների վերաբերյալ տեղեկություններ» (P.TS.02.MSG.001) հաղորդագրությամբ փոխանցվող «Համապատասխանության գնահատման մարմինների միասնական ռեեստրի տեղեկություններ» (R.TR.TS.02.001) էլեկտրոնային փաստաթղթերի (տեղեկությունների) վավերապայմանների լրացմանը ներկայացվող պահանջները բերված են 11-րդ աղյուսակում։
Աղյուսակ 11
«Ներառելու համար համապատասխանության գնահատման մարմինների վերաբերյալ տեղեկություններ» (P.TS.02.MSG.001) հաղորդագրությամբ փոխանցվող «Համապատասխանության գնահատման մարմինների միասնական ռեեստրի տեղեկություններ» (R.TR.TS.02.001) էլեկտրոնային փաստաթղթերի (տեղեկությունների) վավերապայմանների լրացմանը ներկայացվող պահանջները
Պահանջի ծածկագիրը |
Պահանջի ձևակերպումը | |
1 |
«Համապատասխանության գնահատման մարմինը» (tredo: ConformityAuthorityDetails) վավերապայմանը պետք է պարունակի 1 արժեք | |
2 |
«Ընդհանուր ռեսուրսի գրառման տեխնոլոգիական բնութագրերը» (ccdo:ResourceItemStatusDetails) բաղադրյալ վավերապայմանի կազմում «Մեկնարկի ամսաթիվը և ժամը» (csdo:StartDateTime) վավերապայմանը պետք է լրացված լինի | |
3 |
«Ընդհանուր ռեսուրսի գրառման տեխնոլոգիական բնութագրերը» (ccdo:ResourceItemStatusDetails) բաղադրյալ վավերապայմանի կազմում «Ավարտի ամսաթիվը և ժամը» (csdo:EndDateTime) վավերապայմանը չի լրացվում | |
4 |
միասնական ռեեստրում «Համապատասխանության գրանցման մարմինը» (trcdoiConformityAuthorityDetails) բաղադրյալ վավերապայմանի կազմում չպետք է պարունակվեն «Երկրի ծածկագիրը» (csdo։UnifiedCountryCode) և «Տնտեսավարող սուբյեկտի նույնականացուցիչը» (csdo: BusinessEntityld) վավերապայմանների նույն արժեքով համապատասխանության գնահատման մարմինների վերաբերյալ տեղեկություններ, որոնցում «Ընդհանուր ռեսուրսի գրառման տեխնոլոգիական բնութագրերը» (ccdo:ResourceItemStatusDetails) բաղադրյալ վավերապայմանի կազմում «Վերջնական ամսաթիվը և ժամը» (csdo:EndDateTime) վավերապայմանը լրացված չէ | |
5 |
«ԱԱՀ» (ccdo։FullNameDetails) բաղադրյալ վավերապայմանի կազմում «Անուն» (csdo։FirstName) վավերապայմանը պետք է լրացված լինի | |
6 |
«ԱԱՀ» (ccdo։FullNameDetails) բաղադրյալ վավերապայմանի կազմում «Ազգանուն» (csdo։FirstName) վավերապայմանը պետք է լրացված լինի | |
7 |
եթե «Հավատարմագրման ոլորտը» (tredo։AccreditationAreaDetails) բաղադրյալ վավերապայմանի կազմում «Արտադրանքը միասնական ցանկում ներառելու հատկանիշը» (trsdo:SingleListProductIndicator) վավերապայմանը պարունակում է «ճիշտ է» արժեքին համապատասխանող արժեք, ապա «Հավատարմագրման ոլորտը» (trcdo:AccreditationAreaDetails) բաղադրյալ վավերապայմանի կազմում «Տեխնիկական կանոնակարգի համարը» (trsdo:TechnicalRegulationId) վավերապայմանը չի լրացվում, այլապես «Հավատարմագրման ոլորտը» (trcdo:AccreditationAreaDetails) բաղադրյալ վավերապայմանի կազմում «Տեխնիկական կանոնակարգի համարը» (trsdo:TechnicalRegulationId) վավերապայմանը պետք է պարունակի առնվազն 1 արժեք | |
8 |
«Հավատարմագրման ոլորտը» (trcdo: AccreditationAreaDetails) բաղադրյալ վավերապայմանի կազմում «Արտադրանքի անվանումը» (csdo:ProductName) վավերապայմանը պետք է լրացված լինի | |
9 |
«Փաստաթղթի վերաբերյալ տեղեկություններ» (trcdo:DocInformationDetails) բաղադրյալ վավերապայմանի կազմում «Փաստաթղթի ամսաթիվը» (csdo:DocCreationDate) վավերապայմանը պետք է լրացված լինի | |
10 |
եթե «Փաստաթղթի գործողության կարգավիճակը» (trcdo:DocStatusDetails) բաղադրյալ վավերապայմանի կազմում «Փաստաթղթի գործողության կարգավիճակի ծածկագիրը» (trsdo:DocStatusCode) վավերապայմանը պարունակում է «1» արժեքը, ապա «Փաստաթղթի գործողության կարգավիճակը» (trcdo:DocStatusDetails) բաղադրյալ վավերապայմանի կազմում «Մեկնարկի ամսաթիվը» (csdo:StartDate) վավերապայմանը չի լրացվում | |
11 |
եթե «Փաստաթղթի գործողության կարգավիճակը» (trcdo:DocStatusDetails) բաղադրյալ վավերապայմանի կազմում «Փաստաթղթի գործողության կարգավիճակի ծածկագիրը» (trsdo:DocStatusCode) վավերապայմանը պարունակում է «3» արժեքը, ապա «Փաստաթղթի գործողության կարգավիճակը» (trcdo:DocStatusDetails) բաղադրյալ վավերապայմանի կազմում «Ավարտի ամսաթիվը» (csdo:EndDate) վավերապայմանը չի լրացվում | |
12 |
եթե «Փաստաթղթի գործողության կարգավիճակը» (trcdo:DocStatusDetails) բաղադրյալ վավերապայմանի կազմում «Փաստաթղթի գործողության կարգավիճակի ծածկագիրը» (trsdo:DocStatusCode) վավերապայմանը պարունակում է «2» կամ «3» արժեքը, ապա «Փաստաթղթի գործողության կարգավիճակը» (trcdo:DocStatusDetails) բաղադրյալ վավերապայմանի կազմում «Մեկնարկի ամսաթիվը» (csdo:StartDate) վավերապայմանը պետք է լրացված լինի | |
13 |
եթե «Փաստաթղթի գործողության կարգավիճակը» (trcdo:DocStatusDetails) բաղադրյալ վավերապայմանի կազմում «Փաստաթղթի գործողության կարգավիճակի ծածկագիրը» (trsdo:DocStatusCode) վավերապայմանը պարունակում է «2» կամ «4» արժեքը, ապա «Փաստաթղթի գործողության կարգավիճակը» (trcdo:DocStatusDetails) բաղադրյալ վավերապայմանի կազմում «Ավարտի ամսաթիվը» (csdo:EndDate) վավերապայմանը պետք է լրացված լինի | |
14 |
եթե «Փաստաթղթի գործողության կարգավիճակը» (trcdo:DocStatusDetails) բաղադրյալ վավերապայմանի կազմում «Փաստաթղթի գործողության կարգավիճակի ծածկագիրը» (trsdo:DocStatusCode) վավերապայմանը պարունակում է «4» արժեքը, ապա «Փաստաթղթի գործողության կարգավիճակը» (trcdo:DocStatusDetails) բաղադրյալ վավերապայմանի կազմում «Մեկնարկի ամսաթիվը» (csdo:StartDate) վավերապայմանը չի լրացվում | |
16 |
«Փաստաթղթի գործողության կարգավիճակը» (trcdo:DocStatusDetails) բաղադրյալ վավերապայմանի կազմում «Փաստաթղթի գործողության կարգավիճակի ծածկագիրը» (trsdo:DocStatusCode) վավերապայմանի արժեքը պետք է համապատասխանի հետևյալ արժեքներից մեկին՝ «1»՝ գործում է. «2»՝ կասեցվել է. «3»՝ դադարեցվել է. «4»՝ երկարաձգվել է. «5»՝ վերականգնվել է | |
17 |
համապատասխանության գնահատման մարմինների տեսակների դասակարգիչները Միության նորմատիվ-տեղեկատվական տեղեկությունների ռեեստրում ներառելու դեպքում «Համապատասխանության գնահատման մարմինը» բաղադրյալ վավերապայմանի կազմում (trcdo:ConformityAuthorityDetails) «Համապատասխանության գնահատման մարմինների տեսակների ծածկագիրը» (trsdo: ConformityAuthorityKindCode) վավերապայմանը պետք է լրացված լինի | |
18 |
Միության նորմատիվ-տեղեկատվական տեղեկությունների ռեեստրում համապատասխանության գնահատման մարմինների տեսակների դասակարգիչների բացակայության դեպքում «Համապատասխանության գնահատման մարմինը» բաղադրյալ վավերապայմանի կազմում (trcdo:ConformityAuthorityDetails) «Համապատասխանության գնահատման մարմնի տեսակի անվանումը» (trsdo:Conformity AuthorityKindName) վավերապայմանը պետք է լրացված լինի | |
19 |
եթե «Համապատասխանության գնահատման մարմինը» բաղադրյալ վավերապայմանի կազմում (trcdo:ConformityAuthorityDetails) «Համապատասխանության գնահատման մարմնի տեսակի ծածկագիրը» (trsdo։ConformityAuthorityKindCode) կամ «Համապատասխանության գնահատման մարմնի տեսակի անվանումը» վավերապայմանի արժեքը պարունակում է «փորձարկման լաբորատորիա» համապատասխանության գնահատման մարմնի տեսակին համապատասխանող արժեք, ապա «Հավատարմագրման ոլորտը» (trcdo: AccreditationAreaDetails) վավերապայմանը պետք է պարունակի «Փորձարկման մեթոդի անվանումը» (trsdo:ТestingMethodName) վավերապայմանի 1-ից ոչ պակաս արժեք | |
20 |
եթե «Համապատասխանության գնահատման մարմինը» բաղադրյալ վավերապայմանի կազմում (trcdo:ConformityAuthorityDetails) «Համապատասխանության գնահատման մարմնի տեսակի ծածկագիրը» (trsdo։ConformityAuthorityKindCode) կամ «Համապատասխանության գնահատման մարմնի տեսակի անվանումը» վավերապայմանի արժեքը չի պարունակում «փորձարկման լաբորատորիա» համապատասխանության գնահատման մարմնի տեսակին համապատասխանող արժեք, ապա «Հավատարմագրման ոլորտը» (trcdo: AccreditationAreaDetails) բաղադրյալ վավերապայմանի կազմում «Փորձարկման մեթոդի անվանումը» (trsdo:ТestingMethodName) վավերապայմանը չի լրացվում | |
21 |
եթե «Համապատասխանության գնահատման մարմինը» բաղադրյալ վավերապայմանի կազմում (trcdo:ConformityAuthorityDetails) «Համապատասխանության գնահատման մարմնի տեսակի ծածկագիրը» (trsdo։ConformityAuthorityKindCode) կամ «Համապատասխանության գնահատման մարմնի տեսակի անվանումը» վավերապայմանի արժեքը չի պարունակում «փորձարկման լաբորատորիա» համապատասխանության գնահատման մարմնի տեսակին համապատասխանող արժեք, ապա «Հսկվող ցուցանիշի անվանումը» (trsdo:ControlledIndicatorName) վավերապայմանը չի լրացվում | |
22 |
«Համապատասխանության գնահատման մարմինը» (trcdo:ConformityAuthorityDetails) բաղադրյալ վավերապայմանի կազմում «Համապատասխանության գնահատման մարմնի տեսակի անվանումը» (trsdo:ConformityAuthorityKindName) վավերապայմանը պետք է պարունակի «հավաստագրման մարմին» կամ «փորձարկման լաբորատորիա» արժեքը | |
23 |
համապատասխանության գնահատման մարմինների տեսակների դասակարգիչները Միության նորմատիվ-տեղեկատվական տեղեկությունների ռեեստրում ներառելու դեպքում «Համապատասխանության գնահատման մարմինը» բաղադրյալ վավերապայմանի կազմում (trcdo:ConformityAuthorityDetails) «Համապատասխանության գնահատման մարմնի տեսակի ծածկագիրը» (trsdo:Conformity AuthorityKindName) վավերապայմանի արժեքը պետք համապատասխանի նշված դասակարգչի համապատասխանության գնահատման մարմնի տեսակի ծածկագրին | |
24 |
«Երկրի ծածկագիրը» (csdo:UnifiedCountryCode) վավերապայմանի արժեքը պետք է համապատասխանի աշխարհի երկրների դասակարգչում նշված երկրի ծածկագրին, որը պարունակում է աշխարհի երկրների ծածկագրերի և անվանումների ցանկը՝ ISO 3166-1 ստանդարտին համապատասխան | |
25 |
եթե «Երկրի ծածկագիրը» (csdo:UnifiedCountryCode) վավերապայմանը լրացված է, ապա դրա կազմում առկա «Դասակարգչի նույնականացուցիչը» (codeListld ատրիբուտ) ատրիբուտի արժեքը պետք է պարունակի Տեղեկատվական փոխգործակցության կանոնների VII բաժնում նշված՝ աշխարհի երկրների դասակարգչի ծածկագրային նշագիրը | |
26 |
«Կոնտակտային վավերապայմանը» (ccdo: UnifiedCommunicationDetails) վավերապայմանը պետք է պարունակի «էլեկտրոնային փոստ» կապի տեսակին համապատասխանող՝ «Կապի տեսակի ծածկագիրը» (csdo: UnifiedCommunicationChannelCode) վավերապայմանի արժեք պարունակող 1-ից ոչ պակաս արժեք և «հեռախոս» կապի տեսակին համապատասխանող՝ «Կապի տեսակի ծածկագիրը» (csdo: UnifiedCommunicationChannelCode) վավերապայմանի արժեք պարունակող 1-ից ոչ պակաս արժեք | |
27 |
«Կոնտակտային վավերապայմանը» (ccdo:UnifiedCommunicationDetails) բաղադրյալ վավերապայմանի կազմում «Կապի տեսակի անվանումը» (csdo:CommunicationChannel Name) վավերապայմանը չի լրացվում | |
28 |
եթե «Կապի տեսակի ծածկագիրը» (csdo:UnifiedCommunicationChannelCode) վավերապայմանը լրացված է, ապա դրա կազմում առկա «Դասակարգչի նույնականացուցիչը» (codeListld ատրիբուտ) ատրիբուտի արժեքը պետք է պարունակի Տեղեկատվական փոխգործակցության կանոնների VII բաժնում նշված՝ կապի տեսակների դասակարգչի ծածկագրային նշագիրը | |
29 |
«Կոնտակտային վավերապայմանը» (ccdo:UnifiedCommunicationDetails) բաղադրյալ վավերապայմանի կազմում «Կապի տեսակի ծածկագիրը» (csdo:UnifiedCommunicationChannelCode) վավերապայմանի արժեքը պետք է համապատասխանի հետևյալ արժեքներից մեկին՝ ТЕ՝ հեռախոս. ЕМ՝ էլեկտրոնային փոստ. FX՝ հեռատպիչ | |
30 |
տնտեսավարող սուբյեկտների նույնականացման մեթոդի նույնականացուցչի արժեքը (kindld ատրիբուտ) պետք է համապատասխանի տնտեսավարող սուբյեկտների նույնականացման մեթոդների տեղեկատուի հետևյալ արժեքներից մեկին՝ ՊԳՀՀ՝ պետական գրանցման հիմնական համար (Ռուսաստանի Դաշնության համար) ԱՁՊԳՀՀ՝ անհատ ձեռնարկատիրոջ պետական գրանցման հիմնական համար (Ռուսաստանի Դաշնության համար) ՊԿՄՀԴ՝ Բելառուսի Հանրապետության՝ «Պետական իշխանության և կառավարման մարմիններ» համապետական դասակարգիչ (Բելառուսի Հանրապետության համար) ԻԱՁՀԴ՝ Բելառուսի Հանրապետության՝ «Իրավաբանական անձինք և անհատ ձեռնարկատերեր» համապետական դասակարգիչ (Բելառուսի Հանրապետության համար) ԲՆՀ՝ բիզնես-նույնականացման համար (Ղազախստանի Հանրապետության համար) ՁԿՀԴ՝ ձեռնարկությունների և կազմակերպությունների համահանրապետական դասակարգիչ (Ղրղզստանի Հանրապետության համար) ԻԱՊՌ՝ իրավաբանական անձանց պետական ռեեստր (Հայաստանի Հանրապետության համար) | |
31 |
«Հասցե» (ccdo:AddressV4Details) բաղադրյալ վավերապայմանի կազմում «Հասցեն տեքստային ձևով» (csdo:AddressText) վավերապայմանը չի լրացվում | |
32 |
«Հասցե» (ccdo:AddressV4Details) բաղադրյալ վավերապայմանի կազմում «Հասցեի տեսակի ծածկագիրը» (csdo:AddressKindCode) վավերապայմանը պետք է լրացված լինի | |
33 |
«Հասցե» (ccdo:AddressV4Details) բաղադրյալ վավերապայմանի կազմում «Հասցեի տեսակի ծածկագիրը» (csdo:AddressKindCode) վավերապայմանի արժեքը պետք է համապատասխանի հետևյալ արժեքներից մեկին՝ «1»՝ գրանցման հասցե. «2»՝ փաստացի հասցե | |
34 |
Միության տեխնիկական կանոնակարգերի (Մաքսային միության տեխնիկական կանոնակարգերի) ցանկը Միության նորմատիվ-տեղեկատվական տեղեկությունների ռեեստրում ներառելիս «Տեխնիկական կանոնակարգի համարը» (trsdo:TechnicalRegulationId) վավերապայմանի արժեքը պետք է համապատասխանի նշված ցանկում առկա՝ Միության տեխնիկական կանոնակարգի (Մաքսային միության տեխնիկական կանոնակարգի) համարին |
23. «Փոփոխելու համար համապատասխանության գնահատման մարմինների վերաբերյալ տեղեկություններ» (P.TS.02.MSG.002) հաղորդագրությամբ փոխանցվող «Համապատասխանության գնահատման մարմինների միասնական ռեեստրի տեղեկություններ» (R.TR.TS.02.001) էլեկտրոնային փաստաթղթերի (տեղեկությունների) վավերապայմանների լրացմանը ներկայացվող պահանջները բերված են 12-րդ աղյուսակում։
Աղյուսակ 12
«Փոփոխելու համար համապատասխանության գնահատման մարմինների վերաբերյալ տեղեկություններ» (P.TS.02.MSG.002) հաղորդագրությամբ փոխանցվող «Համապատասխանության գնահատման մարմինների միասնական ռեեստրից տեղեկություններ» (R.TR.TS.02.001) էլեկտրոնային փաստաթղթերի (տեղեկությունների) վավերապայմանների լրացմանը ներկայացվող պահանջները
Պահանջի ծածկագիրը |
Պահանջի ձևակերպումը |
1 |
«Համապատասխանության գնահատման մարմինը» (trcdo: ConfomiityAuthorityDetails) վավերապայմանը պետք է պարունակի 1 արժեք |
2 |
«Ընդհանուր ռեսուրսի գրառման տեխնոլոգիական բնութագրեր» (ccdo:ResourceItemStatusDetails) բաղադրյալ վավերապայմանի կազմում «Մեկնարկի ամսաթիվը և ժամը» (csdo:StartDateTime) վավերապայմանը պետք է լրացված լինի |
3 |
«Ընդհանուր ռեսուրսի գրառման տեխնոլոգիական բնութագրեր» (ccdo:ResourceItemStatusDetails) բաղադրյալ վավերապայմանի կազմում «Ավարտի ամսաթիվը և ժամը» (csdo:EndDateTime) վավերապայմանը չի լրացվում |
4 |
միասնական ռեեստրում պետք է պարունակվեն «Երկրի ծածկագիրը» (csdo։UnifiedCountryCode) և «Տնտեսավարող սուբյեկտի նույնականացուցիչը» (csdo: BusinessEntityld) վավերապայմանների նույն արժեքով համապատասխանության գնահատման մարմինների վերաբերյալ տեղեկություններ, որոնցում «Ընդհանուր ռեսուրսի գրառման տեխնոլոգիական բնութագրեր» (ccdo:ResourceItemStatusDetails) բաղադրյալ վավերապայմանի կազմում «Վերջնական ամսաթիվը և ժամը» (csdo։EndDateTime) վավերապայմանը լրացված չէ, իսկ «Մեկնարկի ամսաթիվը և ժամը» (csdo:StartDateTime) վավերապայմանի արժեքը փոխանցվող տեղեկություններում փոքր կամ հավասար է այդ վավերապայմանի արժեքին |
5 |
«ԱԱՀ» (ccdo:FullNameDetails) բաղադրյալ վավերապայմանի կազմում «Անուն» (csdo:FirstName) վավերապայմանը պետք է լրացված լինի |
6 |
«ԱԱՀ» (ccdo:FullNameDetails) բաղադրյալ վավերապայմանի կազմում «Ազգանուն» (csdo:LastName) վավերապայմանը պետք է լրացված լինի |
7 |
եթե «Հավատարմագրման ոլորտը» (trcdo:AccreditationAreaDetails) բաղադրյալ վավերապայմանի կազմում «Արտադրանքը միասնական ցանկում ընդգրկելու հատկանիշը» (trsdo:SingleListProductIndicator) վավերապայմանի արժեքը պարունակում է «ճիշտ է» արժեքին համապատասխանող արժեք, ապա «Հավատարմագրման ոլորտը» (trcdo: AccreditationArea Details) բաղադրյալ վավերապայմանի կազմում «Տեխնիկական կանոնակարգի համարը» (trsdo:TechnicalRegulationId) վավերապայմանը չի լրացվում, այլապես «Հավատարմագրման ոլորտը» (trcdo: AccreditationAreaDetails) բաղադրյալ վավերապայմանի կազմում «Տեխնիկական կանոնակարգի համարը» (trsdo:TechnicalRegulationId) վավերապայմանը պետք է պարունակի 1-ից ոչ պակաս արժեք |
8 |
«Հավատարմագրման ոլորտը» (trcdo: AccreditationAreaDetails) բաղադրյալ վավերապայմանի կազմում «Արտադրանքի անվանումը» (csdo:ProductName) վավերապայմանը պետք է լրացված լինի |
9 |
«Փաստաթղթի մասին տեղեկություններ» (trcdo:DocInformationDetails) բաղադրյալ վավերապայմանի կազմում «Փաստաթղթի ամսաթիվը» (csdo:DocCreationDate) վավերապայմանը պետք է լրացված լինի |
10 |
եթե «Փաստաթղթի գործողության կարգավիճակը» (trcdo:DocStatusDetails) բաղադրյալ վավերապայմանի կազմում «Փաստաթղթի գործողության կարգավիճակի ծածկագիրը» (trsdo:DocStatusCode) վավերապայմանը պարունակում է «1» արժեքը, ապա «Փաստաթղթի գործողության կարգավիճակը» (trcdo:DocStatusDetails) բաղադրյալ վավերապայմանի կազմում «Մեկնարկի ամսաթիվը» (csdo:StartDate) վավերապայմանը չի լրացվում |
11 |
եթե «Փաստաթղթի գործողության կարգավիճակը» (trcdo:DocStatusDetails) բաղադրյալ վավերապայմանի կազմում «Փաստաթղթի գործողության կարգավիճակի ծածկագիրը» (trsdo:DocStatusCode) վավերապայմանի արժեքը պարունակում է «3» արժեքը, ապա «Փաստաթղթի գործողության կարգավիճակը» (trcdo:DocStatusDetails) բաղադրյալ վավերապայմանի կազմում «Ավարտի ամսաթիվը» (csdo:EndDate) վավերապայմանը չի լրացվում |
12 |
եթե «Փաստաթղթի գործողության կարգավիճակը» (trcdo:DocStatusDetails) բաղադրյալ վավերապայմանի կազմում «Փաստաթղթի գործողության կարգավիճակի ծածկագիրը» (trsdo:DocStatusCode) վավերապայմանի արժեքը պարունակում է «2» կամ «3» արժեքը, ապա «Փաստաթղթի գործողության կարգավիճակը» (trcdo:DocStatusDetails) բաղադրյալ վավերապայմանի կազմում «Մեկնարկի ամսաթիվը» (csdo:StartDate) վավերապայմանը պետք է լրացված լինի |
13 |
եթե «Փաստաթղթի գործողության կարգավիճակը» (trcdo:DocStatusDetails) բաղադրյալ վավերապայմանի կազմում «Փաստաթղթի գործողության կարգավիճակի ծածկագիրը» (trsdo:DocStatusCode) վավերապայմանի արժեքը պարունակում է «2» կամ «4» արժեքը, ապա «Փաստաթղթի գործողության կարգավիճակը» (trcdo:DocStatusDetails) բաղադրյալ վավերապայմանի կազմում «Ավարտի ամսաթիվը» (csdo:EndDate) վավերապայմանը պետք է լրացված լինի |
14 |
եթե «Փաստաթղթի գործողության կարգավիճակը» (trcdo:DocStatusDetails) բաղադրյալ վավերապայմանի կազմում «Փաստաթղթի գործողության կարգավիճակի ծածկագիրը» (trsdo:DocStatusCode) վավերապայմանի արժեքը պարունակում է «4» արժեքը, ապա «Փաստաթղթի գործողության կարգավիճակը» (trcdo:DocStatusDetails) բաղադրյալ վավերապայմանի կազմում «Մեկնարկի ամսաթիվը» (csdo:StartDate) վավերապայմանը չի լրացվում |
15 |
«Փաստաթղթի գործողության կարգավիճակը» (trcdo:DocStatusDetails) բաղադրյալ վավերապայմանի կազմում «Փաստաթղթի գործողության կարգավիճակի ծածկագիրը» (trsdo:DocStatusCode) վավերապայմանը պետք է լրացված լինի |
16 |
«Փաստաթղթի գործողության կարգավիճակը» (trcdo:DocStatusDetails) բաղադրյալ վավերապայմանի կազմում «Փաստաթղթի գործողության կարգավիճակի ծածկագիրը» (trsdo:DocStatusCode) վավերապայմանի արժեքը պետք է համապատասխանի հետևյալ արժեքներից մեկին՝ «1»՝ գործում է. «2»՝ կասեցվել է. «3»՝ դադարեցվել է. «4»՝ երկարաձգվել է. «5»՝ վերականգնվել է |
17 |
համապատասխանության գնահատման մարմինների տեսակների դասակարգիչները Միության նորմատիվ-տեղեկատվական տեղեկությունների ռեեստրում ներառելու դեպքում «Համապատասխանության գնահատման մարմինը» բաղադրյալ վավերապայմանի կազմում (trcdo:ConformityAuthorityDetails) «Համապատասխանության գնահատման մարմնի տեսակի ծածկագիրը» (trsdo: ConformityAuthorityKindCode) վավերապայմանը պետք է լրացված լինի |
18 |
Միության նորմատիվ-տեղեկատվական տեղեկությունների ռեեստրում համապատասխանության գնահատման մարմինների տեսակների դասակարգիչների բացակայության դեպքում «Համապատասխանության գնահատման մարմինը» (trcdo:ConformityAuthorityDetails) բաղադրյալ վավերապայմանի կազմում «Համապատասխանության գնահատման մարմնի տեսակի անվանումը» (trsdo: ConformityAuthorityKindCode) վավերապայմանը պետք է լրացված լինի |
19 |
եթե «Համապատասխանության գնահատման մարմինը» (trcdo:ConformityAuthorityDetails) բաղադրյալ վավերապայմանի կազմում «Համապատասխանության գնահատման մարմնի տեսակի ծածկագիրը» (trsdo։ConformityAuthorityKindCode) կամ «Համապատասխանության գնահատման մարմնի տեսակի անվանումը» (trsdo: Conformity AuthorityKindName) վավերապայմանի արժեքը պարունակում է «փորձարկման լաբորատորիա» համապատասխանության գնահատման մարմնի տեսակին համապատասխանող արժեք, ապա «Հավատարմագրման ոլորտը» (trcdo: AccreditationAreaDetails) վավերապայմանը պետք է պարունակի «Փորձարկման մեթոդի անվանումը» (trsdo:ТestingMethodName) վավերապայմանի 1-ից ոչ պակաս արժեք |
20 |
եթե «Համապատասխանության գնահատման մարմինը» (trcdo: ConformityAuthorityDetails) բաղադրյալ վավերապայմանի կազմում Համապատասխանության գնահատման մարմնի տեսակի ծածկագիրը» (trsdo։ConformityAuthorityKindCode) կամ «Համապատասխանության գնահատման մարմնի տեսակի անվանումը» (trsdo: Conformity AuthorityKindName) վավերապայմանի արժեքը չի պարունակում «փորձարկման լաբորատորիա» համապատասխանության գնահատման մարմնի տեսակին համապատասխանող արժեք, ապա «Հավատարմագրման ոլորտը» (trcdo:AccreditationAreaDetails) բաղադրյալ վավերապայմանի կազմում «Փորձարկման մեթոդի անվանումը» (trsdo:TestingMethodName) վավերապայմանը չի լրացվում |
21 |
եթե «Համապատասխանության գնահատման մարմինը» (trcdo: ConformityAuthorityDetails) բաղադրյալ վավերապայմանի կազմում «Համապատասխանության գնահատման մարմնի տեսակի ծածկագիրը» (trsdo։ConformityAuthorityKindCode) կամ «Համապատասխանության գնահատման մարմնի տեսակի անվանումը» (trsdo: Conformity AuthorityKindName) վավերապայմանի արժեքը չի պարունակում «փորձարկման լաբորատորիա» համապատասխանության գնահատման մարմնի տեսակին համապատասխանող արժեք, ապա «Հսկվող ցուցանիշի անվանումը» (trsdo:ControlledIndicatorName) վավերապայմանը չի լրացվում |
22 |
«Համապատասխանության գնահատման մարմինը» (trcdo: ConformityAuthorityDetails) բաղադրյալ վավերապայմանի կազմում «Համապատասխանության գնահատման մարմնի տեսակի անվանումը» (trsdo:Conformity AuthorityKindName) վավերապայմանը պետք է պարունակի «համապատասխանության մարմին» կամ «փորձարկման լաբորատորիա» արժեքը |
23 |
համապատասխանության գնահատման տեսակների դասակարգիչը Միության նորմատիվ-տեղեկատվական տեղեկությունների ռեեստրում ներառելու դեպքում «Համապատասխանության գնահատման մարմինը» (trcdo:ConformityAuthorityDetails) բաղադրյալ վավերապայմանի կազմում «Համապատասխանության գնահատման մարմնի տեսակի ծածկագիրը» (trsdo:ConformityAuthorityKindCode) վավերապայմանի արժեքը պետք է համապատասխանի նշված դասակարգչի համապատասխանության գնահատման մարմնի տեսակի ծածկագրին |
24 |
«Երկրի ծածկագիրը» (csdo:UnifiedCountryCode) վավերապայմանի արժեքը պետք է համապատասխանի աշխարհի երկրների դասակարգչում նշված երկրի ծածկագրին, որը պարունակում է աշխարհի երկրների ծածկագրերի և անվանումների ցանկը՝ ISO 3166-1 ստանդարտին համապատասխան |
25 |
եթե «Երկրի ծածկագիրը» (csdo:UnifiedCountryCode) վավերապայմանը լրացված է, ապա դրա կազմում առկա «Դասակարգչի նույնականացուցիչը» (codeListld ատրիբուտ) ատրիբուտի արժեքը պետք է պարունակի Տեղեկատվական փոխգործակցության կանոնների VII բաժնում նշված՝ աշխարհի երկրների դասակարգչի ծածկագրային նշագիրը |
26 |
«Կոնտակտային վավերապայմանը» (ccdo: UnifiedCommunicationDetails) վավերապայմանը պետք է պարունակի «էլեկտրոնային փոստ» կապի տեսակին համապատասխանող «Կապի տեսակի ծածկագիրը» (csdo: UnifiedCommunicationChannelCode) վավերապայմանի արժեք պարունակող 1-ից ոչ պակաս արժեք և «հեռախոս» կապի տեսակին համապատասխանող «Կապի տեսակի ծածկագիրը» (csdo: UnifiedCommunicationChannelCode) վավերապայմանի արժեք պարունակող 1-ից ոչ պակաս արժեք |
27 |
«Կոնտակտային վավերապայմանը» (ccdo:UnifiedCommunicationDetails) բաղադրյալ վավերապայմանի կազմում «Կապի տեսակի անվանումը» (csdo:CommunicationChannelName) վավերապայմանը չի լրացվում |
28 |
եթե «Կապի տեսակի ծածկագիրը» (csdo:UnifiedCommunicationChannelCode) վավերապայմանը լրացված է, ապա դրա կազմում առկա «Դասակարգչի նույնականացուցիչը» (codeListld ատրիբուտ) ատրիբուտի արժեքը պետք է պարունակի Տեղեկատվական փոխգործակցության կանոնների VII բաժնում նշված՝ կապի տեսակների դասակարգչի ծածկագրային նշագիրը |
29 |
«Կոնտակտային վավերապայմանը» (ccdo:UnifiedCommunicationDetails) բաղադրյալ վավերապայմանի կազմում «Կապի տեսակի ծածկագիրը» (csdo:UnifiedCommunicationChannelCode) վավերապայմանի արժեքը պետք է համապատասխանի հետևյալ արժեքներից մեկին՝ ТЕ՝ հեռախոս. ЕМ՝ էլեկտրոնային փոստ. FX՝ հեռատպիչ |
30 |
տնտեսավարող սուբյեկտների նույնականացման մեթոդի նույնականացուցչի արժեքը (kindld ատրիբուտ) պետք է համապատասխանի տնտեսավարող սուբյեկտների նույնականացման մեթոդների տեղեկատուի հետևյալ արժեքներից մեկին՝ ՊԳՀՀ՝ պետական գրանցման հիմնական համար (Ռուսաստանի Դաշնության համար) ԱՁՊԳՀՀ՝ անհատ ձեռնարկատիրոջ պետական գրանցման հիմնական համար (Ռուսաստանի Դաշնության համար) ՊԿՄՀԴ՝ Բելառուսի Հանրապետության՝ «Պետական իշխանության և կառավարման մարմիններ» համապետական դասակարգիչ (Բելառուսի Հանրապետության համար) ԻԱՁՀԴ՝ Բելառուսի Հանրապետության՝ «Իրավաբանական անձինք և անհատ ձեռնարկատերեր» համապետական դասակարգիչ (Բելառուսի Հանրապետության համար). ԲՆՀ՝ բիզնես-նույնականացման համար (Ղազախստանի Հանրապետության համար) ՁԿՀԴ՝ ձեռնարկությունների և կազմակերպությունների համահանրապետական դասակարգիչ (Ղրղզստանի Հանրապետության համար) |
ԻԱՊՌ՝ իրավաբանական անձանց պետական ռեեստր (Հայաստանի Հանրապետության համար) | |
31 |
«Հասցե» (ccdo:AddressV4Details) բաղադրյալ վավերապայմանի կազմում «Հասցեն տեքստային ձևով» (csdo:AddressText) վավերապայմանը չի լրացվում |
32 |
«Հասցե» (ccdo:AddressV4Details) բաղադրյալ վավերապայմանի կազմում «Հասցեի տեսակի ծածկագիրը» (csdo:AddressKindCode) վավերապայմանը պետք է լրացված լինի |
33 |
«Հասցե» (ccdo:AddressV4Details) բաղադրյալ վավերապայմանի կազմում «Հասցեի տեսակի ծածկագիրը» (csdo:AddressKindCode) վավերապայմանի արժեքը պետք է համապատասխանի հետևյալ արժեքներից մեկին՝ «1»՝ գրանցման հասցե. «2»՝ փաստացի հասցե |
34 |
Միության տեխնիկական կանոնակարգերի (Մաքսային միության տեխնիկական կանոնակարգերի) ցանկը Միության նորմատիվ-տեղեկատվական տեղեկությունների ռեեստրում ներառելիս «Տեխնիկական կանոնակարգի համարը» (trsdo:TechnicalRegulationId) վավերապայմանի արժեքը պետք է համապատասխանի նշված ցանկում առկա՝ Միության տեխնիկական կանոնակարգի (Մաքսային միության տեխնիկական կանոնակարգի) համարին |
ՀԱՍՏԱՏՎԱԾ Է Եվրասիական տնտեսական հանձնաժողովիկոլեգիայի 2016 թվականի մայիսի 10-ի թիվ 38 որոշմամբ |
ՆԿԱՐԱԳՐՈՒԹՅՈՒՆ
«Եվրասիական տնտեսական միության համապատասխանության գնահատման մարմինների (այդ թվում՝ հավաստագրման մարմինների, փորձարկման լաբորատորիաների (կենտրոնների)) միասնական ռեեստրի ձևավորում և վարում» ընդհանուր գործընթացն արտաքին և փոխադարձ առևտրի ինտեգրված տեղեկատվական համակարգի միջոցներով իրագործելու համար օգտագործվող էլեկտրոնային փաստաթղթերի և տեղեկությունների ձևաչափերի ու կառուցվածքների
I. Ընդհանուր դրույթներ
1. Սույն Նկարագրությունը մշակվել է Եվրասիական տնտեսական միության իրավունքի մաս կազմող հետևյալ ակտերին համապատասխան՝
«Եվրասիական տնտեսական միության մասին» 2014 թվականի մայիսի 29-ի պայմանագիր.
Մաքսային միության հանձնաժողովի 2010 թվականի հունիսի 18-ի թիվ «Մաքսային միությունում տեխնիկական կարգավորման մասին» 319 որոշում.
Մաքսային միության հանձնաժողովի 2011 թվականի ապրիլի 7-ի «Մաքսային միության շրջանակներում միասնական փաստաթղթերի տրամադրմամբ համապատասխանության պարտադիր գնահատման (հաստատման) ենթակա արտադրանքի միասնական ցանկի մասին» թիվ 620 որոշում.
Եվրասիական տնտեսական հանձնաժողովի կոլեգիայի 2014 թվականի նոյեմբերի 6-ի «Ընդհանուր գործընթացներն արտաքին և փոխադարձ առևտրի ինտեգրված տեղեկատվական համակարգի միջոցներով իրագործելիս տեղեկատվական փոխգործակցությունը կանոնակարգող տեխնոլոգիական փաստաթղթերի մասին» թիվ 200 որոշում.
Եվրասիական տնտեսական հանձնաժողովի կոլեգիայի 2015 թվականի հունվարի 27-ի «Արտաքին և փոխադարձ առևտրի ինտեգրված տեղեկատվական համակարգում տվյալների էլեկտրոնային փոխանակման կանոնները հաստատելու մասին» թիվ 5 որոշում.
Եվրասիական տնտեսական հանձնաժողովի կոլեգիայի 2015 թվականի ապրիլի 14-ի «Եվրասիական տնտեսական միության շրջանակներում ընդհանուր գործընթացների ցանկի և Եվրասիական տնտեսական հանձնաժողովի կոլեգիայի 2014 թվականի օգոստոսի 19-ի թիվ 132 որոշման մեջ փոփոխություն կատարելու մասին» թիվ 29 որոշում.
Եվրասիական տնտեսական հանձնաժողովի կոլեգիայի 2015 թվականի հունիսի 9-ի «Եվրասիական տնտեսական միության շրջանակներում ընդհանուր գործընթացների վերլուծության, օպտիմալացման, ներդաշնակեցման և նկարագրության մեթոդիկայի մասին» թիվ 63 որոշում.
Եվրասիական տնտեսական հանձնաժողովի կոլեգիայի 2015 թվականի սեպտեմբերի 28-ի «Եվրասիական տնտեսական միության անդամ պետությունների պետական իշխանության մարմինների՝ միմյանց միջև և Եվրասիական տնտեսական հանձնաժողովի հետ անդրսահմանային փոխգործակցության ընթացքում էլեկտրոնային փաստաթղթերի փոխանակման մասին հիմնադրույթը հաստատելու մասին» թիվ 125 որոշում։
II. Կիրառության ոլորտը
2. Սույն Նկարագրությամբ սահմանվում են «Եվրասիական տնտեսական միության համապատասխանության գնահատման մարմինների (այդ թվում՝ հավաստագրման մարմինների, փորձարկման լաբորատորիաների (կենտրոնների)) միասնական ռեեստրի ձևավորում և վարում» ընդհանուր գործընթացի (այսուհետ՝ ընդհանուր գործընթաց) շրջանակներում տեղեկատվական փոխգործակցության ժամանակ օգտագործվող էլեկտրոնային փաստաթղթերի և տեղեկությունների ձևաչափերին ու կառուցվածքներին ներկայացվող պահանջները։
3. Սույն Նկարագրությունը կիրառվում է արտաքին ու փոխադարձ առևտրի ինտեգրված տեղեկատվական համակարգի (այսուհետ՝ ինտեգրված համակարգ) միջոցներով ընդհանուր գործընթացի ընթացակարգերն իրականացնելիս տեղեկատվական համակարգերի բաղադրիչների նախագծման, մշակման և լրամշակման ժամանակ:
4. Էլեկտրոնային փաստաթղթերի և տեղեկությունների ձևաչափերի ու կառուցվածքների նկարագրությունը ներկայացվում է աղյուսակի տեսքով՝ վավերապայմանների ամբողջական կազմի նշմամբ՝ հաշվի առնելով ստորակարգության մակարդակներն ընդհուպ մինչև պարզ (անտրոհելի) վավերապայմանները:
5. Աղյուսակում նկարագրվում է էլեկտրոնային փաստաթղթերի (տեղեկությունների) վավերապայմանների (այսուհետ` վավերապայմաններ) և տվյալների մոդելի տարրերի միանշանակ համապատասխանությունը:
6. Աղյուսակում կազմավորվում են հետևյալ դաշտերը (վանդակները)՝
«ստորակարգային համար»՝ վավերապայմանի հերթական համարը.
«վավերապայմանի անուն»՝ վավերապայմանի հաստատունացած կամ պաշտոնական բառային նշագիրը.
«վավերապայմանի նկարագրություն»՝ վավերապայմանի իմաստը (իմաստաբանությունը) պարզաբանող տեքստ.
«նույնականացուցիչ»՝ վավերապայմանին համապատասխանող՝ տվյալների մոդելում տվյալների տարրի նույնականացուցիչը.
«արժեքների ոլորտ»՝ վավերապայմանի հնարավոր արժեքների բառային նկարագրությունը.
«բազմ.»՝ վավերապայմանների բազմաքանակություն. վավերապայմանի պարտադիր (կամընտրովի) լինելը և հնարավոր կրկնությունների քանակը:
7. Վավերապայմանների բազմաքանակությունը նշելու համար օգտագործվում են հետևյալ նշագրերը.
1՝ վավերապայմանը պարտադիր է, կրկնություններ չեն թույլատրվում.
n՝ վավերապայմանը պարտադիր է, պետք է կրկնվի n անգամ (n > 1).
1..* վավերապայմանը պարտադիր է, կարող է կրկնվել առանց սահմանափակումների.
n..* վավերապայմանը պարտադիր է, պետք է կրկնվի ոչ պակաս, քան n անգամ (n > 1).
n..m՝ վավերապայմանը պարտադիր է, պետք է կրկնվի ոչ պակաս, քան n անգամ, և ոչ ավելի, քան m անգամ (n > 1, m > n).
0..1՝ վավերապայմանը կամընտրական է, կրկնություններ չեն թույլատրվում.
0..* վավերապայմանը կամընտրական է, կարող է կրկնվել առանց սահմանափակումների.
0..m՝ վավերապայմանը կամընտրական է, կարող է կրկնվել ոչ ավելի, քան m անգամ (m > 1):
III. Հիմնական հասկացությունները
8. Սույն Նկարագրության նպատակներով օգտագործվում են հասկացություններ, որոնք ունեն հետևյալ իմաստը.
«վավերապայման»՝ էլեկտրոնային փաստաթղթի (տեղեկությունների) տվյալների միավոր, որը որոշակի համատեքստում համարվում է անբաժանելի.
«ԵԱՏՄ ԱՏԳ ԱԱ»՝ Եվրասիական տնտեսական միության արտաքին տնտեսական գործունեության միասնական ապրանքային անվանացանկ։
Սույն Նկարագրության մեջ օգտագործվող «տվյալների բազիսային մոդել», «տվյալների մոդել», «առարկայական ոլորտի տվյալների մոդել», «առարկայական ոլորտ» և «էլեկտրոնային փաստաթղթերի և տեղեկությունների կառուցվածքների ռեեստր» հասկացությունները գործածվում են Եվրասիական տնտեսական հանձնաժողովի կոլեգիայի 2015 թվականի հունիսի 9–ի թիվ 63 որոշմամբ հաստատված՝ Եվրասիական տնտեսական միության շրջանակներում ընդհանուր գործընթացների վերլուծության, օպտիմալացման, ներդաշնակեցման և նկարագրության մեթոդիկայով սահմանված իմաստներով։
Սույն Նկարագրությունում օգտագործվող այլ հասկացություններ կիրառվում են Եվրասիական տնտեսական հանձնաժողովի կոլեգիայի 2016 թվականի մայիսի 10-ի թիվ 38 որոշմամբ հաստատված՝ «Եվրասիական տնտեսական միության համապատասխանության գնահատման մարմինների (այդ թվում՝ հավաստագրման մարմինների, փորձարկման լաբորատորիաների (կենտրոնների)) միասնական ռեեստրի ձևավորում և վարում» ընդհանուր գործընթացն արտաքին և փոխադարձ առևտրի ինտեգրված տեղեկատվական համակարգի միջոցներով իրագործելիս Տեղեկատվական փոխգործակցության կանոնների 4-րդ կետում սահմանված իմաստներով։
Սույն Նկարագրության 4-րդ, 7-րդ և 10-րդ աղյուսակներում Տեղեկատվական փոխգործակցության կանոնակարգ ասելով հասկացվում է Եվրասիական տնտեսական հանձնաժողովի կոլեգիայի 2016 թվականի մայիսի 10-ի թիվ 38 որոշմամբ հաստատված՝ «Եվրասիական տնտեսական միության համապատասխանության գնահատման մարմինների (այդ թվում՝ հավաստագրման մարմինների, փորձարկման լաբորատորիաների (կենտրոնների)) միասնական ռեեստրի ձևավորում և վարում» ընդհանուր գործընթացն արտաքին և փոխադարձ առևտրի ինտեգրված տեղեկատվական համակարգի միջոցներով իրագործելիս Եվրասիական տնտեսական միության անդամ պետությունների լիազորված մարմինների և Եվրասիական տնտեսական հանձնաժողովի միջև տեղեկատվական փոխգործակցության կանոնակարգը:
IV. Էլեկտրոնային փաստաթղթերի և տեղեկությունների կառուցվածքները
9. Էլեկտրոնային փաստաթղթերի և տեղեկությունների կառուցվածքների ցանկը բերված է 1-ին աղյուսակում:
Աղյուսակ 1
Էլեկտրոնային փաստաթղթերի և տեղեկությունների կառուցվածքների ցանկ
թիվ ը/կ |
Նույնականացուցիչը |
Անունը |
Անվանումների տարածությունը |
1 |
2 |
3 |
4 |
1 |
Էլեկտրոնային փաստաթղթերի և տեղեկությունների կառուցվածքները բազիսային մոդելում | ||
1.1 |
R.006 |
մշակման արդյունքի մասին ծանուցում |
um:EEC:R:ProcessingResultDetails:vY.Y.Y |
1.2 |
R.007 |
ընդհանուր ռեսուրսի արդիականացման վիճակ |
um:EEC:R:ResourceStatusDetailsivY.Y.Y |
2 |
Էլեկտրոնային փաստաթղթերի և տեղեկությունների կառուցվածքները «Տեխնիկական կարգավորում» առարկայական ոլորտում | ||
2.1 |
R.TR.TS.02.001 |
համապատասխանության գնահատման մարմինների միասնական ռեեստրի տեղեկություններ |
um:EEC:R:TR:TS:02:AuthorityCertificationRegistryDetails:v1.0.0 |
էլեկտրոնային փաստաթղթերի և տեղեկությունների կառուցվածքների անվանումների տարածություններում «Y.Y.Y» պայմանանշանները համապատասխանում են Եվրասիական տնտեսական հանձնաժողովի կոլեգիայի 2016 թվականի մայիսի 10-ի թիվ 38 որոշման 2-րդ կետին համապատասխան՝ էլեկտրոնային փաստաթղթի (տեղեկությունների) կառուցվածքի տեխնիկական սխեմայի մշակման և հաստատման ժամանակ օգտագործված տվյալների բազիսային մոդելի տարբերակի համարին համապատասխան սահմանվող էլեկտրոնային փաստաթղթի (տեղեկությունների) կառուցվածքի տարբերակի համարին:
1. Էլեկտրոնային փաստաթղթերի և տեղեկությունների կառուցվածքները բազիսային մոդելում
10. «Մշակման արդյունքի մասին ծանուցում» (R.006) էլեկտրոնային փաստաթղթի (տեղեկությունների) կառուցվածքի նկարագրությունը բերված է 2-րդ աղյուսակում:
Աղյուսակ 2
«Մշակման արդյունքի մասին ծանուցում» (R.006) էլեկտրոնային փաստաթղթի (տեղեկությունների) կառուցվածքի նկարագրություն
թիվ ը/կ |
Տարրի նշագիրը |
Նկարագրությունը |
1 |
2 |
3 |
1 |
Անունը |
մշակման արդյունքի մասին ծանուցում |
2 |
Նույնականացուցիչը |
R.006 |
3 |
Տարբերակը |
Y.Y.Y |
4 |
Սահմանումը |
ռեսպոնդենտի կողմից հարցումը մշակելու արդյունքի մասին տեղեկություններ |
5 |
Օգտագործումը |
- |
6 |
Անվանումների տարածության նույնականացուցիչը |
um:EEC:R:ProcessingResultDetails:vY.Y.Y |
7 |
XML փաստաթղթի հիմնական տարրը |
ProcessingResultDetails |
8 |
XML սխեմայի նիշքի (ֆայլի) անունը |
EEC_R_ProcessingResultDetails_vY.Y.Y.xsd |
էլեկտրոնային փաստաթղթերի և տեղեկությունների կառուցվածքների անվանումների տարածություններում «Y.Y.Y» պայմանանշանները համապատասխանում են Եվրասիական տնտեսական հանձնաժողովի կոլեգիայի 2016 թվականի մայիսի 10-ի թիվ 38 որոշման 2-րդ կետին համապատասխան՝ էլեկտրոնային փաստաթղթի (տեղեկությունների) կառուցվածքի տեխնիկական սխեմայի մշակման և հաստատման ժամանակ օգտագործված տվյալների բազիսային մոդելի տարբերակի համարին համապատասխան սահմանվող էլեկտրոնային փաստաթղթի (տեղեկությունների) կառուցվածքի տարբերակի համարին:
11. Ներմուծվող անվանումների տարածությունները բերված են 3–րդ աղյուսակում։
Աղյուսակ 3
Ներմուծվող անվանումների տարածությունները
թիվ ը/կ |
Անվանումների տարածության նույնականացուցիչը |
Նախածանցը |
1 |
2 |
3 |
1 |
um:EEC:M:ComplexDataObjects:vX.X.X |
ccdo |
2 |
um:EEC:M:SimpleDataObjects:vX.X.X |
csdo |
Ներմուծվող անվանումների տարածություններում «X.X.X» պայմանանշանները համապատասխանում են Եվրասիական տնտեսական հանձնաժողովի կոլեգիայի 2016 թվականի մայիսի 10-ի թիվ 38 որոշման 2-րդ կետին համապատասխան՝ էլեկտրոնային փաստաթղթի (տեղեկությունների) կառուցվածքի տեխնիկական սխեմայի մշակման և հաստատման ժամանակ օգտագործված տվյալների բազիսային մոդելի տարբերակի համարին:
12. «Մշակման արդյունքի մասին ծանուցում» (R.006) էլեկտրոնային փաստաթղթի (տեղեկությունների) կառուցվածքի վավերապայմանների կազմը բերված է 4–րդ աղյուսակում:
Աղյուսակ 4
«Մշակման արդյունքի մասին ծանուցում» (R.006) էլեկտրոնային փաստաթղթի (տեղեկությունների) կառուցվածքի վավերապայմանների կազմը
Վավերապայմանի անունը |
Վավերապայմանի նկարագրությունը |
Նույնականացուցիչը |
Տվյալների տիպը |
Բազմ. | |
1. Էլեկտրոնային փաստաթղթի (տեղեկությունների) վերնագիրը (ccdo։ EDocHeader) |
էլեկտրոնային փաստաթղթի (տեղեկությունների) տեխնոլոգիկական վավերապայմանների ամբողջությունը |
M.CDE.90001 |
ccdo:EDocHeaderType (M.CDT.90001) Որոշվում է ներդրված տարրերի արժեքների ոլորտներով |
1 | |
1.1. Ընդհանուր գործընթացի հաղորդագրության ծածկագիրը (csdo։ InfEnvelopeCode) |
ընդհանուր գործընթացի հաղորդագրության ծածկագրային նշագիրը |
M.SDE.90010 |
csdo։ InfEnvelopeCodeT уре (M.SDT.90004) Ծածկագրի արժեքը՝ Տեղեկատվական փոխգործակցության կանոնակարգին համապատասխան: Ձևանմուշ՝ P\.[A-Z]{2}\.[0- 9]{2}\.MSG\.[0-9]{3} |
1 | |
1.2 Էլեկտրոնային փաստաթղթի (տեղեկությունների) ծածկագիրը (csdo։ EDocCode) |
էլեկտրոնային փաստաթղթի (տեղեկությունների) ծածկագրային նշագիրը՝ էլեկտրոնային փաստաթղթերի և տեղեկությունների կառուցվածքների ռեեստրին համապատասխան |
M.SDE.90001 |
csdo:EDocCodeType (M.SDT.90001) Ծածկագրի արժեքը՝ էլեկտրոնային փաստաթղթերի և տեղեկությունների կառուցվածքների ռեեստրին համապատասխան: Ձևանմուշ՝ R(Y[A-Z] |2}\.[A-Z] {2}\.[0- 9]{2})?\.[0-9]{3} |
1 | |
1.3. Էլեկտրոնային փաստաթղթի (տեղեկությունների) նույնականացուցիչը (csdo: EDocId) |
էլեկտրոնային փաստաթուղթը (տեղեկությունները) միանշանակ նույնականացնող պայմանանշանների տողը |
M.SDE.90007 |
csdo: UniversallyUniqueIdType (M.SDT.90003) Նույնականացուցչի արժեքը՝ ISO/IEC 9834-8 ստանդարտին համապատասխան։ Ձևանմուշ՝ [0-9a-fA-F] (8}-[0-9a-fA- F] {4}-[0-9a-fA-F] {4}-[0-9a-fA-F] {4}- [0-9a-fA-F]{12} |
1 | |
1.4. Սկզբնական էլեկտրոնային փաստաթղթի (տեղեկությունների) նույնականացուցիչը (csdo: EDocRefId) |
էլեկտրոնային փաստաթղթի (տեղեկությունների) նույնականացուցիչը, որին ի պատասխան ձևավորվել է տվյալ էլեկտրոնային փաստաթուղթը (տեղեկությունները) |
M.SDE.90008 |
csdo: UniversallyUniqueIdType (M.SDT.90003) Նույնականացուցչի արժեքը՝ ISO/IEC 9834-8 ստանդարտին համապատասխան։ Ձևանմուշ՝ [0-9a-fA-F]{8}-[0-9a-fA- F] {4}-[0-9a-fA-F] {4}-[0-9a-fA-F] {4}- [0-9a-fA-F]{12} |
0..1 | |
1.5. Էլեկտրոնային փաստաթղթի (տեղեկությունների) ամսաթիվը և ժամը (csdo: EDocDateTime) |
էլեկտրոնային փաստաթղթի (տեղեկությունների) ստեղծման ամսաթիվը և ժամը |
M.SDE.90002 |
bdt:DateTimeType (M.BDT.00006) Ամսաթվի և ժամի նշագիրը՝ ԳՕՍՏ ԻՍՕ 8601–2001-ին համապատասխան |
1 | |
1.6. Լեզվի ծածկագիրը (csdo: LanguageCode) |
լեզվի ծածկագրային նշագիրը |
M.SDE.00051 |
csdo։ LanguageCodeType (M.SDT.00051) Լեզվի երկտառանի ծածկագիրը՝ ISO 639-1 ստանդարտին համապատասխան: Ձևանմուշ՝ [a-z] {2} |
0..1 | |
2. Ամսաթիվը և ժամը (csdo: ЕventDateTime) |
տեղեկությունների մշակումն ավարտելու ամսաթիվը և ժամը |
M.SDE.00132 |
bdt: DateTimeType (M.BDT.00006) Ամսաթվի և ժամի նշագիրը՝ ԳՕՍՏ ԻՍՕ 8601–2001-ին համապատասխան |
1 | |
3. Մշակման արդյունքի ծածկագիրը (csdo: ProcessingResultV2Code) |
ստացված էլեկտրոնային փաստաթղթի (տեղեկությունների)՝ ընդհանուր գործընթացի մասնակցի տեղեկատվական համակարգի միջոցով մշակման արդյունքի ծածկագրային նշագիրը |
M.SDE.90014 |
csdo: ProcessingResultCodeV2Tуре (M.SDT.90006) Ծածկագրի արժեքը՝ էլեկտրոնային փաստաթղթերի և տեղեկությունների մշակման արդյունքների դասակարգչին համապատասխան |
1 | |
4. Նկարագրությունը (csdo: DescriptionText) |
տեղեկությունների մշակման արդյունքի նկարագրությունն ազատ ձևով |
M.SDE.00002 |
csdo: Text4000Type (M.SDT.00088) Պայմանանշանների տողը։ Նվազ. երկարությունը՝ 1. Առավ. երկարությունը՝ 4000 |
0..1 |
13. «Ընդհանուր ռեսուրսի արդիականացման վիճակ» (R.007) էլեկտրոնային փաստաթղթի (տեղեկությունների) կառուցվածքի նկարագրությունը բերված է 5-րդ աղյուսակում:
Աղյուսակ 5
«Ընդհանուր ռեսուրսի արդիականացման վիճակ» (R.007) էլեկտրոնային փաստաթղթի (տեղեկությունների) կառուցվածքի նկարագրությունը
թիվ ը/կ |
Տարրի նշագիրը |
Նկարագրությունը |
1 |
2 |
3 |
1 |
Անունը |
ընդհանուր ռեսուրսի արդիականացման վիճակը |
2 |
Նույնականացուցիչը |
R.007 |
3 |
Տարբերակը |
Y.Y.Y |
4 |
Սահմանումը |
տեղեկություններ՝ ընդհանուր ռեսուրսի արդիականացման համար |
5 |
Օգտագործումը |
օգտագործվում է ընդհանուր ռեսուրսի թարմացման ամսաթվի և ժամի հարցման և այդ հարցմանը պատասխանի համար, ինչպես նաև ընդհանուր ռեսուրսից արդիական կամ ամբողջական (փոփոխված, թարմացված) տեղեկությունների հարցման համար |
6 |
Անվանումների տարածության նույնականացուցիչը |
um:EEC:R:ResourceStatusDetails:vY.Y.Y |
7 |
XML փաստաթղթի հիմնական տարրը |
ResourceStatusDetails |
8 |
XML սխեմայի նիշքի (ֆայլի) անվանումը |
EEC_R_ResourceStatusDetails_vY.Y.Y.xsd |
էլեկտրոնային փաստաթղթերի և տեղեկությունների կառուցվածքների անվանումների տարածություններում «Y.Y.Y» պայմանանշանները համապատասխանում են Եվրասիական տնտեսական հանձնաժողովի կոլեգիայի 2016 թվականի մայիսի 10-ի թիվ 38 որոշման 2-րդ կետին համապատասխան էլեկտրոնային փաստաթղթի (տեղեկությունների) կառուցվածքի տեխնիկական սխեմայի մշակման և հաստատման ժամանակ օգտագործված տվյալների բազիսային մոդելի տարբերակի համարին համապատասխան սահմանվող էլեկտրոնային փաստաթղթի (տեղեկությունների) կառուցվածքի տարբերակի համարին:
14. Ներմուծվող անվանումների տարածությունները բերված են 6–րդ աղյուսակում։
Աղյուսակ 6
Ներմուծվող անվանումների տարածությունները
թիվ ը/կ |
Անվանումների տարածության նույնականացուցիչը |
Նախածանցը |
1 |
2 |
3 |
1 |
um:EEC:M:ComplexDataObjects:vX.X.X |
ccdo |
2 |
um:EEC:M:SimpleDataObjects:vX.X.X |
csdo |
Ներմուծվող անվանումների տարածություններում «X.X.X» պայմանանշանները համապատասխանում են Եվրասիական տնտեսական հանձնաժողովի կոլեգիայի 2016 թվականի մայիսի 10-ի թիվ 38 որոշման 2-րդ կետին համապատասխան էլեկտրոնային փաստաթղթի (տեղեկությունների) կառուցվածքի տեխնիկական սխեմայի մշակման և հաստատման ժամանակ օգտագործված տվյալների բազիսային մոդելի տարբերակի համարին:
15. «Ընդհանուր ռեսուրսի արդիականացման վիճակ» (R.007) էլեկտրոնային փաստաթղթի (տեղեկությունների) կառուցվածքի վավերապայմանների կազմը բերված է 7–րդ աղյուսակում:
Աղյուսակ 7
«Ընդհանուր ռեսուրսի արդիականացման վիճակ» (R.007) էլեկտրոնային փաստաթղթի (տեղեկությունների) կառուցվածքի վավերապայմանների կազմը
Վավերապայմանի անունը |
Վավերապայմանի նկարագրությունը |
Նույնականացուցիչը |
Տվյալների տիպը |
Բազմ. |
1. Էլեկտրոնային փաստաթղթի (տեղեկությունների) վերնագիրը (ccdo: EDocHeader) |
էլեկտրոնային փաստաթղթի (տեղեկությունների) տեխնոլոգիկական վավերապայմանների ամբողջությունը |
M.CDE.90001 |
ccdo:EDocHeaderType (M.CDT.90001) Որոշվում է ներդրված տարրերի արժեքների ոլորտներով |
1 |
1.1. Ընդհանուր գործընթացի հաղորդագրության ծածկագիրը (csdo:InfEnvelopeCode) |
ընդհանուր գործընթացի հաղորդագրության ծածկագրային նշագիրը |
M.SDE.90010 |
csdo։ InfEnvelopeCodeType (M.SDT.90004) Ծածկագրի արժեքը՝ Տեղեկատվական փոխգործակցության կանոնակարգին համապատասխան: Ձևանմուշ՝ P\.[A-Z]{2}\.[0- 9]{2}\.MSG\.[0-9]{3} |
1 |
1.2. Էլեկտրոնային փաստաթղթի (տեղեկությունների) ծածկագիրը (csdo:EDocCode) |
էլեկտրոնային փաստաթղթի (տեղեկությունների) ծածկագրային նշագիրը՝ էլեկտրոնային փաստաթղթերի և տեղեկությունների կառուցվածքների ռեեստրին համապատասխան |
M.SDE.90001 |
csdo:EDocCodeType (M.SDT.90001) Ծածկագրի արժեքը՝ էլեկտրոնային փաստաթղթերի և տեղեկությունների կառուցվածքների ռեեստրին համապատասխան: Ձևանմուշ՝ R(\.[A-Z]{2}\.[A-Z]{2}\.[0- 9]{2})?\.[0-9]{3} |
1 |
1.3. Էլեկտրոնային փաստաթղթի (տեղեկությունների) նույնականացուցիչը (csdo:EDocId) |
էլեկտրոնային փաստաթուղթը (տեղեկությունները) միանշանակ նույնականացնող պայմանանշանների տողը |
M.SDE.90007 |
csdo:UniversallyUniqueIdType (M.SDT.90003) Նույնականացուցչի արժեքը՝ ISO/IEC 9834-8 ստանդարտին համապատասխան։ Ձևանմուշ՝ [0-9a-fA-F]{8}-[0-9a-fA- F] {4}-[0-9a-fA-F] {4}-[0-9a-fA-F] {4}- [0-9a-fA-F]{12} |
1 |
1.4. Սկզբնական էլեկտրոնային փաստաթղթի (տեղեկությունների) նույնականացուցիչը (csdo։EDocRefld) |
էլեկտրոնային փաստաթղթի (տեղեկությունների) նույնականացուցիչը, որին ի պատասխան ձևավորվել է տվյալ էլեկտրոնային փաստաթուղթը (տեղեկությունները) |
M.SDE.90008 |
csdo:UniversallyUniqueIdType (M.SDT.90003) Նույնականացուցչի արժեքը՝ ISO/IEC 9834-8 ստանդարտին համապատասխան։ Ձևանմուշ՝ [0-9a-fA-F]{8}-[0-9a-fA- F] {4}-[0-9a-fA-F] (4}-[0-9a-fA-F] {4}- [0-9a-fA-F]{12} |
0..1 |
1.5. Էլեկտրոնային փաստաթղթի (տեղեկությունների) ամսաթիվը և ժամը (csdo:EDocDateTime) |
էլեկտրոնային փաստաթղթի (տեղեկությունների) ստեղծման ամսաթիվը և ժամը |
M.SDE.90002 |
bdt:DateTimeType (M.BDT.00006) Ամսաթվի և ժամի նշագիրը՝ ԳՕՍՏ ԻՍՕ 8601–2001-ին համապատասխան |
1 |
1.6. Լեզվի ծածկագիրը (csdo: LanguageCode) |
լեզվի ծածկագրային նշագիրը |
M.SDE.00051 |
csdo։ LanguageCodeType (M.SDT.00051) Լեզվի երկտառանի ծածկագիրը՝ ISO 639-1 ստանդարտին համապատասխան: Ձևանմուշ՝ [a-z] {2} |
0..1 |
2. Թարմացման ամսաթիվը և ժամը (csdo։UpdateDateTime) |
ընդհանուր ռեսուրսի (ռեեստրի, ցանկի, տվյալների բազայի) թարմացման ամսաթիվն ու ժամը |
M.SDE.00079 |
bdt:DateTimeType (M.BDT.00006) Ամսաթվի և ժամի նշագիրը՝ ԳՕՍՏ ԻՍՕ 8601–2001-ին համապատասխան |
0..1 |
3. Երկրի ծածկագիրը (csdo:UnifiedCountryCode) |
տեղեկություններն ընդհանուր ռեսուրս (ռեեստր, ցանկ, տվյալների բազա) ներկայացրած երկրի ծածկագրային նշագիրը |
M.SDE.00162 |
csdo:UnifiedCountryCodeType (M.SDT.00112) Երկտառանի ծածկագրի արժեքը՝ աշխարհի երկրների դասակարգչին համապատասխան, որը սահմանված է «Տեղեկատուի (դասակարգչի) նույնականացուցիչ» ատրիբուտով։ Ձևանմուշ՝ [A-Z]{2} |
0..* |
ա) տեղեկատուի (դասակարգչի) նույնականացուցիչը (codeListld ատրիբուտ) |
տեղեկատուի (դասակարգչի) նշագիրը, որին համապատասխան նշված է ծածկագիրը |
csdo։ReferenceDataldType (M.SDT.00091) Պայմանանշանների նորմալացված տող, որը չի պարունակում տողի (#xA) և սյունատների (#x9) ընդհատման պայմանանշաններ: Նվազ. երկարությունը՝ 1. Առավ. երկարությունը՝ 20 |
1 |
2. Էլեկտրոնային փաստաթղթերի և տեղեկությունների կառուցվածքները «Տեխնիկական կարգավորում» առարկայական ոլորտում
16. «Համապատասխանության գնահատման մարմինների միասնական ռեեստրի տեղեկություններ» (R.TR.TS.02.001) էլեկտրոնային փաստաթղթի (տեղեկությունների) կառուցվածքի նկարագրությունը բերված է 8–րդ աղյուսակում։
Աղյուսակ 8
«Համապատասխանության գնահատման մարմինների միասնական ռեեստրի տեղեկություններ» (R.TR.TS.02.001) էլեկտրոնային փաստաթղթի (տեղեկությունների) կառուցվածքի նկարագրությունը
թիվ ը/կ |
Տարրի նշագիրը |
Նկարագրությունը |
1 |
2 |
3 |
1 |
Անունը |
համապատասխանության գնահատման մարմինների միասնական ռեեստրի տեղեկություններ |
2 |
Նույնականացուցիչը |
R.TR.TS.02.001 |
3 |
Տարբերակը |
1.0.0 |
4 |
Սահմանումը |
Մաքսային միության և Միասնական տնտեսական տարածքի համապատասխանության գնահատման մարմինների, այդ թվում՝ հավաստագրման մարմինների և փորձարկման լաբորատորիաների (կենտրոնների), համապատասխանության գնահատման լիազորված (հայտագրված) մարմինների մասին տեղեկություններ |
5 |
Օգտագործումը |
- |
6 |
Անվանումների տարածության նույնականացուցիչը |
um:EEC:R:TR:TS:02:AuthorityCertificationRegistryDetails:vl.0.0 |
7 |
XML փաստաթղթի հիմնական տարրը |
AuthorityCertificationRegistryDetails |
8 |
XML սխեմայի նիշքի (ֆայլի) անվանումը |
EEC_R_TR_TS_02_AuthorityCertificationRegistryDetails_vl.0.0.xsd |
17. Ներմուծվող անվանումների տարածությունները բերված են 9–րդ աղյուսակում։
Աղյուսակ 9
Ներմուծվող անվանումների տարածությունները
թիվ ը/կ |
Անվանումների տարածության նույնականացուցիչը |
Նախածանցը |
1 |
2 |
3 |
1 |
urn:EEC:M:BaseDataTypes:vX.X.X |
bdt |
2 |
um:EEC:M:ComplexDataObjects:vX.X.X |
ccdo |
3 |
um:EEC:M:SimpleDataObjects:vX.X.X |
csdo |
4 |
urn:EEC:M:TR:ComplexDataObjects:vX.X.X |
trcdo |
5 |
urn:EEC:M:TR:SimpleDataObjects:vX.X.X |
trsdo |
Ներմուծվող անվանումների տարածություններում «X.X.X» պայմանանշանները համապատասխանում են Եվրասիական տնտեսական հանձնաժողովի կոլեգիայի 2016 թվականի մայիսի 10–ի թիվ 38 որոշման 2–րդ կետին համապատասխան էլեկտրոնային փաստաթղթի (տեղեկությունների) կառուցվածքի տեխնիկական սխեմայի մշակման և հաստատման ժամանակ օգտագործված տվյալների բազիսային մոդելի և առարկայական ոլորտի տվյալների մոդելի տարբերակի համարին:
18. «Համապատասխանության գնահատման մարմինների միասնական ռեեստրի տեղեկություններ» (R.TR.TS.02.001) էլեկտրոնային փաստաթղթի (տեղեկությունների) կառուցվածքի վավերապայմանների կազմը բերված է 10-րդ աղյուսակում։
Աղյուսակ 10
«Համապատասխանության գնահատման մարմինների միասնական ռեեստրի տեղեկություններ» (R.TR.TS.02.001) էլեկտրոնային փաստաթղթի (տեղեկությունների) կառուցվածքի վավերապայմանների կազմը
Վավերապայմանի անունը |
Վավերապայմանի նկարագրությունը |
Նույնականացուցիչը |
Տվյալների տիպը |
Բազմ. | ||||
1. Էլեկտրոնային փաստաթղթի (տեղեկությունների) վերնագիրը (ccdo: EDocHeader) |
էլեկտրոնային փաստաթղթի (տեղեկությունների) տեխնոլոգիկական վավերապայմանների ամբողջությունը |
M.CDE.90001 |
ccdo: EDocHeaderType (M.CDT.90001) Որոշվում է ներդրված տարրերի արժեքների տիրույթներով |
1 | ||||
1.1. Ընդհանուր գործընթացի հաղորդագրության ծածկագիրը (csdo: InfEnvelopeCode) |
ընդհանուր գործընթացի հաղորդագրության ծածկագրային նշագիրը |
M.SDE.90010 |
csdo: InfEnvelopeCodeTуре (M.SDT.90004) Ծածկագրի արժեքը՝ Տեղեկատվական փոխգործակցության կանոնակարգին համապատասխան: Ձևանմուշ՝ P\.[A-Z]{2}\.[0- 9]{2}\.MSG\.[0-9]{3} |
1 | ||||
1.2. Էլեկտրոնային փաստաթղթի (տեղեկությունների) ծածկագիրը (csdo: EDocCode) |
էլեկտրոնային փաստաթղթի (տեղեկությունների) ծածկագրային նշագիրը՝ էլեկտրոնային փաստաթղթերի և տեղեկությունների կառուցվածքների ռեեստրին համապատասխան |
M.SDE.90001 |
csdo: EDocCodeType (M.SDT.90001) Ծածկագրի արժեքը՝ էլեկտրոնային փաստաթղթերի և տեղեկությունների կառուցվածքների ռեեստրին համապատասխան: Ձևանմուշ՝ R(\.[A-Z]{2}\.[A-Z]{2}\.[0- 9]{2})?\.[0-9]{3} |
1 | ||||
1.3. Էլեկտրոնային փաստաթղթի (տեղեկությունների) նույնականացուցիչը (csdo: EDocId) |
էլեկտրոնային փաստաթուղթը (տեղեկությունները) միանշանակ նույնականացնող պայմանանշանների տողը |
M.SDE.90007 |
csdo: UniversallyUniqueIdType (M.SDT.90003) Նույնականացուցչի արժեքը՝ ISO/IEC 9834-8 ստանդարտին համապատասխան։ Ձևանմուշ՝ [0-9a-fA-F]{8}-[0-9a-fA- F] {4}-[0-9a-fA-F] {4}-[0-9a-fA-F] {4}- [0-9a-fA-F]{12} |
1 | ||||
1.4. Սկզբնական էլեկտրոնային փաստաթղթի (տեղեկությունների) նույնականացուցիչը (csdo։ EDocRefld) |
էլեկտրոնային փաստաթղթի (տեղեկությունների) նույնականացուցիչը, որին ի պատասխան ձևավորվել է տվյալ էլեկտրոնային փաստաթուղթը (տեղեկությունները) |
M.SDE.90008 |
csdo: UniversallyUniqueIdType (M.SDT.90003) Նույնականացուցչի նշանակությունը՝ ISO/IEC 9834-8 ստանդարտին համապատասխան։ Ձևանմուշ՝ [0-9a-fA-F]{8}-[0-9a-fA- F] {4}-[0-9a-fA-F] {4}-[0-9a-fA-F] {4}- [0-9a-fA-F]{12} |
0..1 | ||||
1.5. Էլեկտրոնային փաստաթղթի (տեղեկությունների) ամսաթիվը և ժամը (csdo։ EDocDateTime) |
էլեկտրոնային փաստաթղթի (տեղեկությունների) ստեղծման ամսաթիվը և ժամը |
M.SDE.90002 |
bdt: DateTimeType (M.BDT.00006) Ամսաթվի և ժամի նշագիրը՝ ԳՕՍՏ ԻՍՕ 8601–2001-ին համապատասխան |
1 | ||||
1.6. Լեզվի ծածկագիրը (csdo: LanguageCode) |
լեզվի ծածկագրային նշագիրը |
M.SDE.00051 |
csdo: LanguageCodeType (M.SDT.00051) Լեզվի երկտառանի ծածկագիրը՝ ISO 639-1 ստանդարտին համապատասխան: Ձևանմուշ՝ [a-z] {2} |
0..1 | ||||
2. Համապատասխանության գնահատման մարմինը (trcdo։ ConformityAuthorityDetails) |
Մաքսային միության տեխնիկական կանոնակարգերի պահանջներին համապատասխանության գնահատում անցկացնելու համար լիազորված մարմինների մասին տեղեկատվություն |
M.TR.CDE.00008 |
trcdo: ConformityAuthorityDetailsType (M.TR.CDT.00007) Որոշվում է ներդրված տարրերի արժեքների ոլորտներով |
1..* | ||||
2.1. Երկրի ծածկագիրը (csdo։ UnifiedCountryCode) |
տնտեսավարող սուբյեկտի գրանցման երկրի ծածկագրային նշագիրը |
M.SDE.00162 |
csdo։ UnifiedCountryCodeType (M.SDT.00112) Երկտառանի ծածկագրի արժեքը՝ աշխարհի երկրների դասակարգչին համապատասխան, որը սահմանված է «Տեղեկատուի (դասակարգչի) նույնականացուցիչ» ատրիբուտով։ Ձևանմուշ՝ [A-Z]{2} |
1 | ||||
ա) տեղեկատուի (դասակարգչի) նույնականացուցիչը (codeListld ատրիբուտ) |
տեղեկատուի (դասակարգչի) նշագիրը, որին համապատասխան նշված է ծածկագիրը |
- |
csdo։ ReferenceDataldTуре (M.SDT.00091) Պայմանանշանների նորմալացված տող, որը չի պարունակում տողի (#xA) և սյունատների (#x9) ընդհատման պայմանանշաններ: Նվազ. երկարությունը՝ 1. Առավ. երկարությունը՝ 20 |
1 | ||||
2.2. Տնտեսավարող սուբյեկտի անվանումը (csdo: BusinessEntityName) |
տնտեսավարող սուբյեկտի ամբողջական անվանումը |
M.SDE.00187 |
csdo: Name300Type (M.SDT.00056) Պայմանանշանների նորմալացված տող, որը չի պարունակում տողի (#xA) և սյունատների (#x9) ընդհատման պայմանանշաններ: Նվազ. երկարությունը՝ 1. Առավ. երկարությունը՝ 300 |
1 | ||||
2.3. Տնտեսավարող սուբյեկտի կրճատ անվանումը (csdo: BusinessEntityBriefName) |
տնտեսավարող սուբյեկտի կրճատ անվանումը |
M.SDE.00188 |
csdo: Name120Type (M.SDT.00055) Պայմանանշանների նորմալացված տող, որը չի պարունակում տողի (#xA) և սյունատների (#x9) ընդհատման պայմանանշաններ: Նվազ. երկարությունը՝ 1. Առավ. երկարությունը՝ 120 |
0..1 | ||||
2.4. Կազմակերպաիրավական ձևի անվանումը (csdo: BusinessEntityTypeName) |
այն կազմակերպաիրավական ձևի անվանումը, որում գրանցված է կազմակերպությունը |
M.SDE.00090 |
csdo: Name300Type (M.SDT.00056) Պայմանանշանների նորմալացված տող, որը չի պարունակում տողի (#xA) և սյունատների (#x9) ընդհատման պայմանանշաններ: Նվազ. երկարությունը՝ 1. Առավ. երկարությունը՝ 300 |
0..1 | ||||
2.5. Տնտեսավարող սուբյեկտի նույնականացուցիչը (csdo: BusinessEntityId) |
պետական գրանցման ժամանակ ըստ ռեեստրի (գրանցամատյանի) տրված գրանցման համարը (ծածկագիրը) |
M.SDE.00189 |
csdo։ BusinessEntityldTуре (M.SDT.00157) Պայմանանշանների նորմալացված տողը: Նվազ. երկարությունը՝ 1. Առավ. երկարությունը՝ 20 |
1 | ||||
ա) նույնականացման մեթոդ (ատրիբուտ kindId) |
տնտեսավարող սուբյեկտների նույնականացման մեթոդը |
- |
csdo։ BusinessEntityldKindldTуре (M.SDT.00158) Տնտեսավարող սուբյեկտների նույնականացման մեթոդների տեղեկատուից նույնականացուցչի արժեքը |
1 | ||||
2.6. Հասցեն (ccdo: AddressV4Details) |
տնտեսավարող սուբյեկտի հասցեն |
M.CDE.00076 |
ccdo: AddressDetailsV4Type (M.CDT.00079) Որոշվում է ներդրված տարրերի արժեքների ոլորտներով |
1..* | ||||
2.6.1. Հասցեի տեսակի ծածկագիրը (csdo: AddressKindCode) |
հասցեի տեսակի ծածկագրային նշագիրը |
M.SDE.00192 |
csdo։ AddressKindCodeTуре (M.SDT.00162) Ծածկագրի արժեքը՝ հասցեների տեսակների դասակարգչին համապատասխան: Նվազ. երկարությունը՝ 1. Առավ. երկարությունը՝ 20 |
0..1 | ||||
2.6.2. Երկրի ծածկագիրը (csdo։ UnifiedCountryCode) |
երկրի ծածկագրային նշագիրը |
M.SDE.00162 |
csdo: UnifiedCountryCodeType (M.SDT.00112) Երկտառանի ծածկագրի արժեքը՝ աշխարհի երկրների դասակարգչին համապատասխան, որը սահմանված է «Տեղեկատուի (դասակարգչի) նույնականացուցիչ» ատրիբուտով։ Ձևանմուշ՝ [A-Z]{2} |
0..1 | ||||
ա) տեղեկատուի (դասակարգչի) նույնականացուցիչը (ատրիբուտ codeListId) |
տեղեկատուի (դասակարգչի) նշագիրը, որին համապատասխան նշված է ծածկագիրը |
- |
csdo: ReferenceDataIdTуре (M.SDT.00091) Պայմանանշանների նորմալացված տող, որը չի պարունակում տողի (#xA) և սյունատների (#x9) ընդհատման պայմանանշաններ: Նվազ. երկարությունը՝ 1. Առավ. երկարությունը՝ 20 |
1 | ||||
2.6.3. Տարածքի ծածկագիրը (csdo: TerritoryCode) |
վարչատարածքային բաժանման միավորի ծածկագիրը |
M.SDE.00031 |
csdo: ТerritoryCodeType (M.SDT.00031) Պայմանանշանների նորմալացված տողը: Նվազ. երկարությունը՝ 1. Առավ. երկարությունը՝ 17 |
0..1 | ||||
2.6.4. Տարածաշրջանը (csdo: RegionName) |
առաջին մակարդակի վարչատարածքային բաժանման միավորի անվանումը |
M.SDE.00007 |
csdo: Name120Type (M.SDT.00055) Պայմանանշանների նորմալացված տող, որը չի պարունակում տողի (#xA) և սյունատների (#x9) ընդհատման պայմանանշաններ: Նվազ. երկարությունը՝ 1. Առավ. երկարությունը՝ 120 |
0..1 | ||||
2.6.5. Շրջանը (csdo։ DistrictName) |
երկրորդ մակարդակի վարչատարածքային բաժանման միավորի անվանումը |
M.SDE.00008 |
csdo: Name120Type (M.SDT.00055) Պայմանանշանների նորմալացված տող, որը չի պարունակում տողի (#xA) և սյունատների (#x9) ընդհատման պայմանանշաններ: Նվազ. երկարությունը՝ 1. Առավ. երկարությունը՝ 120 |
0..1 | ||||
2.6.6. Քաղաքը (csdo: CityName) |
քաղաքի անվանումը |
M.SDE.00009 |
csdo: Name120Type (M.SDT.00055) Պայմանանշանների նորմալացված տող, որը չի պարունակում տողի (#xA) և սյունատների (#x9) ընդհատման պայմանանշաններ: Նվազ. երկարությունը՝ 1. Առավ. երկարությունը՝ 120 |
0..1 | ||||
2.6.7. Բնակավայրը (csdo: SettlementName) |
բնակավայրի անվանումը |
M.SDE.00057 |
csdo: Name120Type (M.SDT.00055) Պայմանանշանների նորմալացված տող, որը չի պարունակում տողի (#xA) և սյունատների (#x9) ընդհատման պայմանանշաններ: Նվազ. երկարությունը՝ 1. Առավ. երկարությունը՝ 120 |
0..1 | ||||
2.6.8. Փողոցը (csdo: StreetName) |
քաղաքային ենթակառուցվածքի փողոցաճանապարհային ցանցի տարրի անվանումը |
M.SDE.00010 |
csdo: Name120Type (M.SDT.00055) Պայմանանշանների նորմալացված տող, որը չի պարունակում տողի (#xA) և սյունատների (#x9) ընդհատման պայմանանշաններ: Նվազ. երկարությունը՝ 1. Առավ. երկարությունը՝ 120 |
0..1 | ||||
2.6.9. Շենքի համարը (csdo: BuildingNumberId) |
շենքի, մասնաշենքի, շինության նշագիրը |
M.SDE.00011 |
csdo: Id50Type (M.SDT.00093) Պայմանանշանների նորմալացված տողը։ Նվազ. երկարությունը՝ 1. Առավ. երկարությունը՝ 50 |
0..1 | ||||
2.6.10. Շինության համարը (csdo: RoomNumberId) |
գրասենյակի կամ բնակարանի նշագիրը |
M.SDE.00012 |
csdo:I d20Type (M.SDT.00092) Պայմանանշանների նորմալացված տողը: Նվազ. երկարությունը՝ 1. Առավ. երկարությունը՝ 20 |
0..1 | ||||
2.6.11. Փոստային դասիչը (csdo։ PostCode) |
փոստային կապի ձեռնարկության փոստային դասիչը |
M.SDE.00006 |
csdo: PostCodeType (M.SDT.00006) Պայմանանշանների նորմալացված տողը: Ձևանմուշ՝ [A-Z0-9][A-Z0-9 -]{1,8}[А-Z0-9] |
0..1 | ||||
2.6.12. Բաժանորդային արկղի համարը (csdo։ PostOfficeBoxId) |
փոստային կապի ձեռնարկության բաժանորդային արկղի համարը |
M.SDE.00013 |
csdo: Id20Type (M.SDT.00092) Պայմանանշանների նորմալացված տողը: Նվազ. երկարությունը՝ 1. Առավ. երկարությունը՝ 20 |
0..1 | ||||
2.6.13. Հասցեն՝ տեքստային ձևով (csdo: AddressText) |
հասցեի տարրերի հավաքածուն՝ ներկայացված ազատ ձևով՝ տեքստի տեսքով |
M.SDE.00005 |
csdo: Тext1000Туре (M.SDT.00071) Պայմանանշանների տողը։ Նվազ. երկարությունը՝ 1. Առավ. երկարությունը՝ 1000 |
0..1 | ||||
2.7. Կոնտակտային վավերապայմանը (ccdo: UnifiedCommunicationDetails) |
տնտեսավարող սուբյեկտի կոնտակտային վավերապայմանը |
M.CDE.00059 |
ccdo: UnifiedCommunicationDetailsType (M.CDT.00065) Որոշվում է ներդրված տարրերի արժեքների ոլորտներով |
1..* | ||||
2.7.1. Կապի տեսակի ծածկագիրը (csdo: UnifiedCommunicationChannelCode) |
կապի միջոցի (կապուղու) տեսակի (հեռախոս, ֆաքս, էլեկտրոնային փոստ և այլն) ծածկագրային նշագիրը |
M.SDE.00193 |
csdo: UnifiedCode20Type (M.SDT.00140) Ծածկագրի արժեքը՝ տեղեկատուին (դասակարգչին) համապատասխան, որը սահմանված է «Տեղեկատուի (դասակարգչի) նույնականացուցիչ» ատրիբուտով։ Նվազ. երկարությունը՝ 1. Առավ. երկարությունը՝ 20 |
0..1 | ||||
ա) տեղեկատուի (դասակարգչի) նույնականացուցիչ (ատրիբուտ codeListId) |
տեղեկատուի (դասակարգչի) նշագիրը, որին համապատասխան նշված է ծածկագիրը |
- |
csdo: ReferenceDataIdTуре (M.SDT.00091) Պայմանանշանների նորմալացված տող, որը չի պարունակում տողի (#xA) և սյունատների (#x9) ընդհատման պայմանանշաններ: Նվազ. երկարությունը՝ 1. Առավ. երկարությունը՝ 20 |
1 | ||||
2.7.2. Կապի տեսակի անվանումը (csdo: CommunicationChannel Name) |
կապի միջոցի (կապուղու) տեսակի (հեռախոս, ֆաքս, էլեկտրոնային փոստ և այլն) անվանումը |
M.SDE.00093 |
csdo: Name120Type (M.SDT.00055) Պայմանանշանների նորմալացված տող, որը չի պարունակում տողի (#xA) և սյունատների (#x9) ընդհատման պայմանանշաններ: Նվազ. երկարությունը՝ 1. Առավ. երկարությունը՝ 120 |
0..1 | ||||
2.7.3. Կապուղու նույնականացուցիչը (csdo։ CommunicationChannelId) |
կապուղին նույնականացնող պայմանանշանների հաջորդականությունը (հեռախոսահամարի, ֆաքսի, էլեկտրոնային փոստի հասցեի և այլնի նշում) |
M.SDE.00015 |
csdo։ CommunicationChannelIdType (M.SDT.00015) Պայմանանշանների նորմալացված տողը: Նվազ. երկարությունը՝ 1. Առավ. երկարությունը՝ 1000 |
1..* | ||||
2.8. Համապատասխանության գնահատման մարմնի տեսակի ծածկագիրը (trsdo: ConformityAuthorityKindCode) |
Եվրասիական տնտեսական միության տեխնիկական կանոնակարգերի (Մաքսային միության տեխնիկական կանոնակարգերի) պահանջներին տեխնիկական կարգավորման օբյեկտների համապատասխանության գնահատման մարմնի տեսակի ծածկագրային նշագիրը |
M.TR.SDE.00004 |
trsdo: ConformityAuthorityKindCodeType (M.TR.SDT.00002) Ծածկագրի արժեքը՝ համապատասխանության գնահատման մարմինների տեսակների դասակարգչին համապատասխան։ Ձևանմուշ՝ \d{2} |
0..1 | ||||
2.9. Համապատասխանության գնահատման մարմնի տեսակի անվանումը (trsdo։ ConformityAuthorityKindName) |
համապատասխանության գնահատման մարմնի տեսակի անվանումը |
M.TR.SDE.00266 |
csdo: Name120Type (M.SDT.00055) Պայմանանշանների նորմալացված տող, որը չի պարունակում տողի (#xA) և սյունատների (#x9) ընդհատման պայմանանշաններ: Նվազ. երկարությունը՝ 1. Առավ. երկարությունը՝ 120 |
0..1 | ||||
2.10. ԱԱՀ (ccdo։ FullNameDetails) |
համապատասխանության գնահատման մարմնի ղեկավարի ազգանունը, անունը, հայրանունը |
M.CDE.00029 |
ccdo: FullNameDetailsType (M.CDT.00016) Որոշվում է ներդրված տարրերի արժեքների ոլորտներով |
1 | ||||
2.10.1. Անունը (csdo: FirstName) |
ֆիզիկական անձի անունը |
M.SDE.00109 |
csdo: Name120Type (M.SDT.00055) Պայմանանշանների նորմալացված տող, որը չի պարունակում տողի (#xA) և սյունատների (#x9) ընդհատման պայմանանշաններ: Նվազ. երկարությունը՝ 1. Առավ. երկարությունը՝ 120 |
0..1 | ||||
2.10.2. Հայրանունը (csdo։ MiddleName) |
ֆիզիկական անձի հայրանունը (երկրորդ կամ միջին անունը) |
M.SDE.00111 |
csdo: Name120Type (M.SDT.00055) Պայմանանշանների նորմալացված տող, որը չի պարունակում տողի (#xA) և սյունատների (#x9) ընդհատման պայմանանշաններ: Նվազ. երկարությունը՝ 1. Առավ. երկարությունը՝ 120 |
0..1 | ||||
2.10.3. Ազգանունը (csdo: LastName) |
ֆիզիկական անձի ազգանունը |
M.SDE.00110 |
csdo: Name120Type (M.SDT.00055) Պայմանանշանների նորմալացված տող, որը չի պարունակում տողի (#xA) և սյունատների (#x9) ընդհատման պայմանանշաններ: Նվազ. երկարությունը՝ 1. Առավ. երկարությունը՝ 120 |
0..1 | ||||
2.11. Հավատարմագրման վկայականը (trcdo: AccreditationCertificate Details) |
հավատարմագրման մարմնի կողմից համապատասխանության գնահատման մարմնի՝ համապատասխանության գնահատման որոշակի ոլորտում աշխատանքներ կատարելու իրավասության պաշտոնական ճանաչումը հավաստող փաստաթղթի մասին տեղեկատվություն |
M.TR.CDE.00015 |
trcdo: VehicleIdentityNumberDetailsType (M.TR.CDT.00225) Որոշվում է ներդրված տարրերի արժեքների ոլորտներով |
1 | ||||
2.11.1. Փաստաթղթի համարը (csdo։ DocId) |
փաստաթղթի գրանցման ժամանակ դրան տրվող թվային կամ տառաթվային նշագիրը |
M.SDE.00044 |
csdo: Id50Type (M.SDT.00093) Պայմանանշանների նորմալացված տողը։ Նվազ. երկարությունը՝ 1. Առավ. երկարությունը՝ 50 |
1 | ||||
2.11.2. Փաստաթղթի գործողության ժամկետի սկզբի ամսաթիվը (csdo։ DocStartDate) |
փաստաթղթի գործողության ժամկետի սկզբի ամսաթիվը |
M.SDE.00137 |
bdt: DateType (M.BDT.00005) Ամսաթվի նշագիրը՝ ԳՕՍՏ ԻՍՕ 8601–2001-ին համապատասխան |
1 | ||||
2.11.3. Փաստաթղթի գործողության ժամկետը լրանալու ամսաթիվը (csdo: DocValidityDate) |
փաստաթղթի գործողության ժամկետը լրանալու ամսաթիվը |
M.SDE.00052 |
bdt: DateType (M.BDT.00005) Ամսաթվի նշագիրը՝ ԳՕՍՏ ԻՍՕ 8601–2001-ին համապատասխան |
1 | ||||
2.11.4. Հավատարմագրման վկայականի վերաձևակերպման պատճառը (trsdo։ ReissuingReasonName) |
համապատասխանության գնահատման մարմնի հավատարմագրման գործող վկայականը հավատարմագրման մարմնի կողմից վերաձևակերպելու պատճառի անվանումը |
M.TR.SDE.00017 |
csdo: Name120Type (M.SDT.00055) Պայմանանշանների նորմալացված տող, որը չի պարունակում տողի (#xA) և սյունատների (#x9) ընդհատման պայմանանշաններ: Նվազ. երկարությունը՝ 1. Առավ. երկարությունը՝ 120 |
0..1 |
Վավերապայմանի անունը |
Վավերապայմանի նկարագրությունը |
Նույնականացուցիչը |
Տվյալների տիպը |
Բազմ. |
2.11.5. Փաստաթղթի գործողության կարգավիճակը (trcdo: DocStatusDetails) |
հավատարմագրման վկայականի գործողության կարգավիճակի մասին տեղեկություններ |
M.TR.CDE.00040 |
trcdo: DocStatusDetailsType (M.TR.CDT.00030) Որոշվում է ներդրված տարրերի արժեքների ոլորտներով |
1 |
* 1. Փաստաթղթի գործողության կարգավիճակի ծածկագիրը (trsdo: DocStatusCode) |
փաստաթղթի գործողության կարգավիճակի ծածկագրային նշագիրը |
M.TR.SDE.00053 |
trsdo: DocStatusCodeType (M.TR.SDT.00015) Ծածկագրի արժեքը՝ փաստաթղթի գործողության կարգավիճակի դասակարգչին համապատասխան: Ձևանմուշ՝ \d |
0..1 |
*.2. Փաստաթղթի մասին տեղեկությունները (trcdo: DocInformationDetails) |
այն փաստաթղթի մասին տեղեկատվություն, որի հիման վրա սահմանվել է փաստաթղթի գործողության կարգավիճակը |
M.TR.CDE.00026 |
trcdo: DocInformationDetailsTуре (M.TR.CDT.00018) Որոշվում է ներդրված տարրերի արժեքների ոլորտներով |
0..1 |
*.2.1. Փաստաթղթի անվանումը (csdo։ DocName) |
այն փաստաթղթի անվանումը, որն անհրաժեշտության դեպքում ներառում է փաստաթղթի տեսակը, այն ընդունած մարմնի (կազմակերպության) անվանումը և փաստաթղթի սեփական անվանումը |
M.SDE.00108 |
csdo: Name500Type (M.SDT.00134) Պայմանանշանների նորմալացված տողը, որը չի պարունակում տողի (#xA) և սյունատների (#x9) ընդհատման պայմանանշաններ: Նվազ. երկարությունը՝ 1. Առավ. երկարությունը՝ 500 |
1 |
*.2.2. Փաստաթղթի ամսաթիվը (csdo: DocCreationDate) |
փաստաթղթի տրամադրման ամսաթիվը |
M.SDE.00045 |
bdt: DateType (M.BDT.00005) Ամսաթվի նշագիրը՝ ԳՕՍՏ ԻՍՕ 8601–2001-ին համապատասխան |
0..1 |
*.2.3. Փաստաթղթի համարը (csdo: DocId) |
փաստաթղթի գրանցման ժամանակ դրան տրվող թվային կամ տառաթվային նշագիրը |
M.SDE.00044 |
csdo: Id50Type (M.SDT.00093) Պայմանանշանների նորմալացված տողը։ Նվազ. երկարությունը՝ 1. Առավ. երկարությունը՝ 50 |
0..1 |
*.3. Մեկնարկի ամսաթիվը (csdo: StartDate) |
կարգավիճակի գործողության մեկնարկի ամսաթիվը |
M.SDE.00073 |
bdt: DateType (M.BDT.00005) Ամսաթվի նշագիրը՝ ԳՕՍՏ ԻՍՕ 8601–2001-ին համապատասխան |
0..1 |
*.4. Ավարտի ամսաթիվը (csdo: EndDate) |
կարգավիճակի գործողության ավարտի ամսաթիվը |
M.SDE.00074 |
bdt: DateType (M.BDT.00005) Ամսաթվի նշագիրը՝ ԳՕՍՏ ԻՍՕ 8601–2001-ին համապատասխան |
0..1 |
*.5. Ծանոթագրությունը (csdo։ NoteText) |
փաստաթղթի գործողության կարգավիճակի փոփոխության պատճառի նկարագրությունը |
M.SDE.00076 |
csdo: Тext4000Tуре (M.SDT.00088) Պայմանանշանների տողը: Նվազ. երկարությունը՝ 1. Առավ. երկարությունը՝ 4000 |
0..1 |
2.12. Հավատարմագրման ոլորտը (trcdo։ AccreditationAreaDetails) |
համապատասխանության գնահատման մարմնի հավատարմագրման ոլորտի մասին տեղեկատվություն |
M.TR.CDE.00025 |
trcdo: AccreditationAreaDetailsType (M.TR.CDT.00017) Որոշվում է ներդրված տարրերի արժեքների ոլորտներով |
1..* |
2.12.1. Արտադրանքը միասնական ցանկում ընդգրկելու հատկանիշը (trsdo։ SingleListProductlndicator) |
միասնական ձևով համապատասխանության հավաստագրերի ու համապատասխանության հայտարարագրերի տրամադրմամբ համապատասխանության պարտադիր հաստատման ենթակա արտադրանքի միասնական ցանկում արտադրանք ընդգրկելու հատկանիշը՝ 1. արտադրանքն ընդգրկվել է միասնական ցանկում. 0. արտադրանքը հանվել է միասնական ցանկից |
M.TR.SDE.00222 |
bdt: IndicatorType (M.BDT.00013) Երկու արժեքներից մեկը՝ «true» (ճիշտ է) կամ «false» (սխալ է) |
1 |
2.12.2. Տեխնիկական կանոնակարգի համարը (trsdo: TechnicalRegulationId) |
Եվրասիական տնտեսական միության տեխնիկական կանոնակարգի (Մաքսային միության տեխնիկական կանոնակարգի) համարը |
M.TR.SDE.00037 |
trsdo: ТechnicalRegulationldTуре (M.TR.SDT.00012) Եվրասիական տնտեսական միության տեխնիկական կանոնակարգերի (Մաքսային միության տեխնիկական կանոնակարգերի) ցանկից համարի նշանակությունը Ձևանմուշ՝ ТР (ТС|ЕАЭС) \d{3}Ad{4} |
0..* |
2.12.3. Ապրանքի ծածկագիրը՝ ըստ ԵԱՏՄ ԱՏԳ ԱԱ-ի (csdo: CommodityCode) |
Եվրասիական տնտեսական միության արտաքին տնտեսական գործունեության միասնական ապրանքային անվանացանկին համապատասխան ապրանքների խմբերի (դասերի) ծածկագրային նշագիրը |
M.SDE.00091 |
csdo: CommodityCodeTуре (M.SDT.00065) ԵՍՏՄ ԱՏԳ ԱԱ–ից ծածկագրի արժեքը՝ 2, 4, 6, 8, 9 կամ 10 նիշերի մակարդակով։ Ձևանմուշ՝ \d{2}|\d{4}|\d{6}|\d{8,10} |
1..* |
2.12.4. Մթերքի անվանումը (csdo: ProductName) |
համապատասխանության գնահատման մարմնի հավատարմագրման ոլորտում ընդգրկված արտադրանքի բառային նշագիրը |
M.SDE.00152 |
csdo: Name300Type (M.SDT.00056) Պայմանանշանների նորմալացված տողը, որը չի պարունակում տողի (#xA) և սյունատների (#x9) ընդհատման պայմանանշաններ: Նվազ. երկարությունը՝ 1. Առավ. երկարությունը՝ 300 |
0..* |
2.12.5. Փորձարկման մեթոդի անվանումը (trsdo: TestingMethodName) |
տեխնիկական կարգավորման օբյեկտի փորձարկման մեթոդի անվանումը |
M.TR.SDE.00013 |
csdo: Name300Type (M.SDT.00056) Պայմանանշանների նորմալացված տողը, որը չի պարունակում տողի (#xA) և սյունատների (#x9) ընդհատման պայմանանշաններ: Նվազ. երկարությունը՝ 1. Առավ. երկարությունը՝ 300 |
0..* |
2.12.6. Հսկվող ցուցանիշի անվանումը (trsdo: ControlledIndicatorName) |
փորձարկումներ անցկացնելիս հսկվող բնութագրերի անվանումները |
M.TR.SDE.00049 |
csdo: Name120Type (M.SDT.00055) Պայմանանշանների նորմալացված տողը, որը չի պարունակում տողի (#xA) և սյունատների (#x9) ընդհատման պայմանանշաններ: Նվազ. երկարությունը՝ 1. Առավ. երկարությունը՝ 120 |
0..* |
2.12.7. Հսկվող ցուցանիշները և հսկողության մեթոդները կանոնակարգող փաստաթղթի մասին տեղեկություններ (trcdo: ControlledIndicator RegulatingDocDetails) |
նորմատիվ իրավական ակտի և (կամ) տեխնիկական նորմատիվ իրավական ակտի, հսկվող ցուցանիշները և հսկողության մեթոդները կանոնակարգող նորմատիվ փաստաթղթի մասին տեղեկատվություն |
M.TR.CDE.00097 |
trcdo: DocInformationDetailsTуре (M.TR.CDT.00018) Որոշվում է ներդրված տարրերի արժեքների ոլորտներով |
0..* |
*. 1. Փաստաթղթի անվանումը (csdo: DocName) |
այն փաստաթղթի անվանումը, որն անհրաժեշտության դեպքում ներառում է փաստաթղթի տեսակը, այն ընդունած մարմնի (կազմակերպության) անվանումը և փաստաթղթի սեփական անվանումը |
M.SDE.00108 |
csdo: Name500Type (M.SDT.00134) Պայմանանշանների նորմալացված տողը, որը չի պարունակում տողի (#xA) և սյունատների (#x9) ընդհատման պայմանանշաններ: Նվազ. երկարությունը՝ 1. Առավ. երկարությունը՝ 500 |
1 |
*.2. Փաստաթղթի ամսաթիվը (csdo: DocCreationDate) |
փաստաթղթի տրամադրման ամսաթիվը |
M.SDE.00045 |
bdt: DateType (M.BDT.00005) Ամսաթվի նշագիրը՝ ԳՕՍՏ ԻՍՕ 8601–2001-ին համապատասխան |
0..1 |
*.3. Փաստաթղթի համարը (csdo: DocId) |
փաստաթղթի գրանցման ժամանակ դրան տրվող թվային կամ տառաթվային նշագիրը |
M.SDE.00044 |
csdo: Id50Type (M.SDT.00093) Պայմանանշանների նորմալացված տողը։ Նվազ. երկարությունը՝ 1. Առավ. երկարությունը՝ 50 |
0..1 |
2.12.8. Ծանոթագրությունը (csdo։ NoteText) |
հավատարմագրման ոլորտի փոփոխությունների նկարագրությունը |
M.SDE.00076 |
csdo: Text4000Type (M.SDT.00088) Պայմանանշանների տողը։ Նվազ. երկարությունը՝ 1. Առավ. երկարությունը՝ 4000 |
0..1 |
2.12.9. Փաստաթղթի մասին տեղեկությունները (trcdo: DocumentDetails) |
հավատարմագրման ոլորտի փոփոխությունների վերաբերյալ փաստաթղթի մասին տեղեկատվություն |
M.TR.CDE.00026 |
trcdo: DocInformationDetailsTуре (M.TR.CDT.00018) Որոշվում է ներդրված տարրերի արժեքների ոլորտներով |
0..1 |
*. 1. Փաստաթղթի անվանումը (csdo: DocName) |
այն փաստաթղթի անվանումը, որն անհրաժեշտության դեպքում ընդգրկում է փաստաթղթի տեսակը, այն ընդունած մարմնի (կազմակերպության) անվանումը և փաստաթղթի սեփական անվանումը |
M.SDE.00108 |
csdo: Name500Type (M.SDT.00134) Պայմանանշանների նորմալացված տողը, որը չի պարունակում տողի (#xA) և սյունատների (#x9) ընդհատման պայմանանշաններ: Նվազ. երկարությունը՝ 1. Առավ. երկարությունը՝ 500 |
1 |
*.2. Փաստաթղթի ամսաթիվը (csdo: DocCreationDate) |
Փաստաթղթի տրամադրման ամսաթիվը |
M.SDE.00045 |
bdt: DateType (M.BDT.00005) Ամսաթվի նշագիրը՝ ԳՕՍՏ ԻՍՕ 8601–2001-ին համապատասխան |
0..1 |
*.3. Փաստաթղթի համարը (csdo: DocId) |
փաստաթղթի գրանցման ժամանակ դրան տրվող թվային կամ տառաթվային նշագիրը |
M.SDE.00044 |
csdo: Id50Type (M.SDT.00093) Պայմանանշանների նորմալացված տողը։ Նվազ. երկարությունը՝ 1. Առավ. երկարությունը՝ 50 |
0..1 |
2.13. Փաստաթղթի մասին տեղեկությունները (trcdo: DocInformationDetails) |
Եվրասիական տնտեսական միության համապատասխանության գնահատման մարմինների (այդ թվում՝ հավաստագրման մարմինների, փորձարկման լաբորատորիաների (կենտրոնների)) միասնական ռեեստրում համապատասխանության գնահատման մարմինը ներառելու վերաբերյալ փաստաթղթի մասին տեղեկատվություն |
M.TR.CDE.00026 |
trcdo: DocInformationDetailsType (M.TR.CDT.00018) Որոշվում է ներդրված տարրերի արժեքների ոլորտներով |
0..1 |
2.13.1. Փաստաթղթի անվանում (csdo: DocName) |
այն փաստաթղթի անվանումը, որն անհրաժեշտության դեպքում ներառում է փաստաթղթի տեսակը, այն ընդունած մարմնի (կազմակերպության) անվանումը և փաստաթղթի սեփական անվանումը |
M.SDE.00108 |
csdo: Name500Type (M.SDT.00134) Պայմանանշանների նորմալացված տողը, որը չի պարունակում տողի (#xA) և սյունատների (#x9) ընդհատման պայմանանշաններ: Նվազ. երկարությունը՝ 1. Առավ. երկարությունը՝ 500 |
1 |
2.13.2. Փաստաթղթի ամսաթիվը (csdo: DocCreationDate) |
փաստաթղթի տրամադրման ամսաթիվը |
M.SDE.00045 |
bdt: DateType (M.BDT.00005) Ամսաթվի նշագիրը՝ ԳՕՍՏ ԻՍՕ 8601–2001-ին համապատասխան |
0..1 |
2.13.3. Փաստաթղթի համարը (csdo: DocId) |
փաստաթղթի գրանցման ժամանակ դրան տրվող թվային կամ տառաթվային նշագիրը |
M.SDE.00044 |
csdo: Id50Type (M.SDT.00093) Պայմանանշանների նորմալացված տողը։ Նվազ. երկարությունը՝ 1. Առավ. երկարությունը՝ 50 |
0..1 |
2.14. Ընդհանուր ռեսուրսի գրառման տեխնոլոգիական բնութագրերը (ccdo: ResourceItemStatusDetails) |
Եվրասիական տնտեսական միության համապատասխանության գնահատման մարմինների (այդ թվում՝ սերտիֆիկացման մարմինների, փորձարկման լաբորատորիաների (կենտրոնների)) միասնական ռեեստրի գրառման մասին տեղեկատվություն |
M.CDE.00032 |
ccdo: ResourceItemStatusDetailsType (M.CDT.00033) Որոշվում է ներդրված տարրերի արժեքների ոլորտներով |
1 |
2.14.1. Գործողության ժամանակահատվածը (ccdo: ValidityPeriodDetails) |
ընդհանուր ռեսուրսի (ռեեստրի, ցանկի, տվյալների բազայի) գրառման գործողության ժամանակահատվածը |
M.CDE.00033 |
ccdo: PeriodDetailsType (M.CDT.00026) Որոշվում է ներդրված տարրերի արժեքների ոլորտներով |
0..1 |
*. 1. Մեկնարկի ամսաթիվը և ժամը (csdo: StartDateTime) |
մեկնարկի ամսաթիվը և ժամը |
M.SDE.00133 |
bdt: DateTimeType (M.BDT.00006) Ամսաթվի և ժամի նշագիրը՝ ԳՕՍՏ ԻՍՕ 8601–2001-ին համապատասխան |
0..1 |
*.2. Ավարտի ամսաթիվը և ժամը (csdo։ EndDateTime) |
ավարտի ամսաթիվը և ժամը |
M.SDE.00134 |
bdt: DateTimeType (M.BDT.00006) Ամսաթվի և ժամի նշագիրը՝ ԳՕՍՏ ԻՍՕ 8601–2001-ին համապատասխան |
0..1 |
2.14.2. Թարմացման ամսաթիվը և ժամը (csdo: UpdateDateTime) |
ընդհանուր ռեսուրսի (ռեեստրի, ցանկի, տվյալների բազայի) գրառման թարմացման ամսաթիվը և ժամը |
M.SDE.00079 |
bdt: DateTimeType (M.BDT.00006) Ամսաթվի և ժամի նշագիրը՝ ԳՕՍՏ ԻՍՕ 8601–2001-ին համապատասխան |
0..1 |
ՀԱՍՏԱՏՎԱԾ Է Եվրասիական տնտեսական հանձնաժողովի կոլեգիայի 2016 թվականի մայիսի 10-ի թիվ 38 որոշմամբ |
ԿԱՐԳ
«Եվրասիական տնտեսական միության համապատասխանության գնահատման մարմինների (այդ թվում՝ սերտիֆիկացման մարմինների, փորձարկման լաբորատորիաների (կենտրոնների)) միասնական ռեեստրի ձևավորում և վարում» ընդհանուր գործընթացին միանալու
I. Ընդհանուր դրույթներ
1. Սույն Կարգը մշակվել է Եվրասիական տնտեսական միության (այսուհետ՝ Միություն) իրավունքի մաս կազմող հետևյալ ակտերին համապատասխան՝
«Եվրասիական տնտեսական միության մասին» 2014 թվականի մայիսի 29-ի պայմանագիր.
Մաքսային միության հանձնաժողովի 2010 թվականի հունիսի 18-ի «Մաքսային միությունում տեխնիկական կարգավորման մասին» թիվ 319 որոշում.
Մաքսային միության հանձնաժողովի 2011 թվականի ապրիլի 7-ի «Մաքսային միության շրջանակներում միասնական փաստաթղթերի տրամադրմամբ համապատասխանության պարտադիր գնահատման (հաստատման) ենթակա արտադրանքի միասնական ցանկի մասին» թիվ 620 որոշում.
Եվրասիական տնտեսական հանձնաժողովի կոլեգիայի 2014 թվականի նոյեմբերի 6-ի «Ընդհանուր գործընթացներն արտաքին և փոխադարձ առևտրի ինտեգրված տեղեկատվական համակարգի միջոցներով իրագործելիս տեղեկատվական փոխգործակցությունը կանոնակարգող տեխնոլոգիական փաստաթղթերի մասին» թիվ 200 որոշում.
Եվրասիական տնտեսական հանձնաժողովի կոլեգիայի 2015 թվականի հունվարի 27-ի թիվ «Արտաքին և փոխադարձ առևտրի ինտեգրված տեղեկատվական համակարգում տվյալների էլեկտրոնային փոխանակման կանոնները հաստատելու մասին» թիվ 5 որոշում.
Եվրասիական տնտեսական հանձնաժողովի կոլեգիայի 2015 թվականի ապրիլի 14-ի «Եվրասիական տնտեսական միության շրջանակներում ընդհանուր գործընթացների ցանկի և Եվրասիական տնտեսական հանձնաժողովի կոլեգիայի 2014 թվականի օգոստոսի 19-ի թիվ 132 որոշման մեջ փոփոխություն կատարելու մասին» թիվ 29 որոշում.
Եվրասիական տնտեսական հանձնաժողովի կոլեգիայի 2015 թվականի հունիսի 9-ի «Եվրասիական տնտեսական միության շրջանակներում ընդհանուր գործընթացների վերլուծության, օպտիմալացման, ներդաշնակեցման և նկարագրության մեթոդիկայի մասին» թիվ 63 որոշում.
Եվրասիական տնտեսական հանձնաժողովի կոլեգիայի 2015 թվականի սեպտեմբերի 28-ի «Եվրասիական տնտեսական միության անդամ պետությունների պետական իշխանության մարմինների՝ միմյանց միջև և Եվրասիական տնտեսական հանձնաժողովի հետ անդրսահմանային փոխգործակցության ընթացքում էլեկտրոնային փաստաթղթերի փոխանակման մասին հիմնադրույթը հաստատելու մասին» թիվ 125 որոշում։
II. Կիրառության ոլորտը
2. Սույն Կարգով սահմանվում են «Եվրասիական տնտեսական միության համապատասխանության գնահատման մարմինների (այդ թվում՝ հավաստագրման մարմինների, փորձարկման լաբորատորիաների (կենտրոնների)) միասնական ռեեստրի ձևավորում և վարում» ընդհանուր գործընթացին (այսուհետ՝ ընդհանուր գործընթաց) (P.TS.02) նոր մասնակցի միանալու դեպքում տեղեկատվական փոխգործակցությանը ներկայացվող պահանջները։
3. Սույն Կարգում սահմանված ընթացակարգերն իրականացվում են միաժամանակ կամ ընդհանուր գործընթացին նոր մասնակցի միանալու դեպքում՝ որոշակի ժամանակահատվածում:
III. Հիմնական հասկացությունները
4. Սույն Կարգում օգտագործվող հասկացություններն ունեն հետևյալ իմաստը՝
«արտաքին և փոխադարձ առևտրի ինտեգրված տեղեկատվական համակարգի գործունեությունն ապահովելիս կիրառվող փաստաթղթեր»՝ Եվրասիական տնտեսական հանձնաժողովի կողմից՝ «Եվրասիական տնտեսական միության շրջանակներում տեղեկատվական-հաղորդակցական տեխնոլոգիաների և տեղեկատվական փոխգործակցության մասին» արձանագրության (Եվրասիական տնտեսական միության 2014 թվականի մայիսի 29-ի պայմանագրի թիվ 3 հավելված) 30-րդ կետին համապատասխան մշակվող և հաստատվող տեխնիկական, տեխնոլոգիական, մեթոդական և կազմակերպչական փաստաթղթեր.
«ընդհանուր գործընթացն իրագործելիս տեղեկատվական փոխգործակցությունը կանոնակարգող տեխնոլոգիական փաստաթղթեր»՝ Եվրասիական տնտեսական հանձնաժողովի կոլեգիայի 2014 թվականի նոյեմբերի 6-ի թիվ 200 որոշմամբ հաստատված՝ տեխնոլոգիական փաստաթղթերի տիպային ցանկում ներառված փաստաթղթեր։
Սույն Կարգում օգտագործվող այլ հասկացություններ կիրառվում են Եվրասիական տնտեսական հանձնաժողովի կոլեգիայի 2016 թվականի մայիսի 10-ի թիվ 38 որոշմամբ հաստատված՝ «Եվրասիական տնտեսական միության համապատասխանության գնահատման մարմինների (այդ թվում՝ հավաստագրման մարմինների, փորձարկման լաբորատորիաների (կենտրոնների)) միասնական ռեեստրի ձևավորում և վարում» ընդհանուր գործընթացն արտաքին և փոխադարձ առևտրի ինտեգրված տեղեկատվական համակարգի միջոցներով իրագործելիս Տեղեկատվական փոխգործակցության կանոնների այսուհետ՝ Տեղեկատվական փոխգործակցության կանոններ) 4-րդ կետում սահմանված իմաստներով:
IV. Փոխգործակցության մասնակիցները
5. Փոխգործակցության մասնակիցների դերերը, ընդհանուր գործընթացին միանալու ընթացակարգերն իրենց կողմից իրականացնելիս, բերված են աղյուսակում։
Աղյուսակ
Փոխգործակցության մասնակիցների դերերը
Թիվ ը/կ |
Դերերի անվանումը |
Դերերի նկարագրությունը |
Դերը կատարող մասնակիցը |
1 |
2 |
3 |
4 |
1 |
Ընդհանուր գործընթացին միացող մասնակիցը |
միանում է ընդհանուր գործընթացին, ստանում է անհրաժեշտ տեղեկատուներ և դասակարգիչներ, ինչպես նաև պատասխանատու է Միության համապատասխանության գնահատման մարմինների (այդ թվում՝ հավաստագրման մարմինների, փորձարկման լաբորատորիաների (կենտրոնների)) միասնական ռեեստրի ազգային մասից տեղեկությունների (փոփոխված տեղեկությունների) ներկայացման համար |
Միության անդամ պետության լիազորված մարմին (P.TS.02.ACT.001) |
2 |
Միության համապատասխանության գնահատման մարմինների (այդ թվում՝ հավաստագրման մարմինների, փորձարկման լաբորատորիաների (կենտրոնների)) միասնական ռեեստրի ադմինիստրատոր |
Միության անդամ պետության լիազորված մարմին է ներկայացնում Եվրասիական տնտեսական հանձնաժողովի կողմից տարածվող տեղեկատուներն ու դասակարգիչները և ապահովում է Միության համապատասխանության գնահատման մարմինների (այդ թվում՝ հավաստագրման մարմինների, փորձարկման լաբորատորիաների (կենտրոնների)) միասնական ռեեստրից տեղեկությունների հրապարակումը Միության տեղեկատվական պորտալում |
Եվրասիական տնտեսական հանձնաժողով (Р.АСТ.001) |
V. Միանալու ընթացակարգի նկարագրությունը
1. Ընդհանուր պահանջները
6. Մինչև ընդհանուր գործընթացին միանալու ընթացակարգն իրականացնելը՝ ընդհանուր գործընթացին միացող մասնակցի կողմից պետք է կատարվեն արտաքին և փոխադարձ առևտրի ինտեգրված տեղեկատվական համակարգի գործունեության ապահովման ժամանակ կիրառվող փաստաթղթերով սահմանված՝ ընդհանուր գործընթացն իրագործելու և տեղեկատվական փոխգործակցությունն ապահովելու համար անհրաժեշտ պահանջները, ինչպես նաև Միության անդամ պետության (այսուհետ՝ անդամ պետության) օրենսդրության պահանջները, որոնցով ազգային հատվածի շրջանակներում կանոնակարգվում է տեղեկատվական փոխգործակցությունը։
7. Ընդհանուր գործընթացին միանալու ընթացակարգն իրականացվում է հետևյալ կարգով՝
ա) անդամ պետության՝ ընդհանուր գործընթացի շրջանակներում տեղեկատվական փոխգործակցության ապահովման համար պատասխանատու լիազորված մարմնի նշանակում.
բ) ընդհանուր գործընթացին միացող մասնակցի կողմից՝ Տեղեկատվական փոխգործակցության Կանոնների VII բաժնում նշված՝ Եվրասիական տնտեսական միության հանձնաժողովի կողմից (այսուհետ՝ Հանձնաժողով) տարածվող տեղեկատուների և դասակարգիչների ստացում.
գ) ընդհանուր գործընթացին միացող մասնակցի կողմից Միության համապատասխանության գնահատման մարմինների (այդ թվում՝ հավաստագրման մարմինների, փորձարկման լաբորատորիաների (կենտրոնների)) միասնական ռեեստրի (այսուհետ՝ միասնական ռեեստր) ազգային մասից տեղեկությունների պատրաստում և միասնական ռեեստրի ադմինիստրատորին փոխանցում՝ միասնական ռեեստրում նախնական ընդգրկման և Միության տեղեկատվական պորտալում հրապարակման համար.
դ) միասնական ռեեստրի ադմինիստրատորի կողմից միասնական ռեեստրի ազգային մասից տեղեկությունների ստացման և հաջող մշակման փաստի հաստատում:
8. Միասնական ռեեստրի ազգային մասից տեղեկությունները ներկայացվում են XML փաստաթղթի տեսքով: Փոխանցվող XML փաստաթղթի կառուցվածքը և վավերապայմանների կազմը պետք է համապատասխանեն Եվրասիական տնտեսական հանձնաժողովի կոլեգիայի 2016 թվականի մայիսի 10-ի թիվ 38 որոշմամբ հաստատված՝ «Եվրասիական տնտեսական միության համապատասխանության գնահատման մարմինների (այդ թվում՝ հավաստագրման մարմինների, փորձարկման լաբորատորիաների (կենտրոնների)) միասնական ռեեստրի ձևավորում և վարում» ընդհանուր գործընթացն արտաքին և փոխադարձ առևտրի ինտեգրված տեղեկատվական համակարգի միջոցներով իրագործելու համար օգտագործվող Էլեկտրոնային փաստաթղթերի և տեղեկությունների ձևաչափերի ու կառուցվածքների նկարագրության մեջ (այսուհետ՝ Էլեկտրոնային փաստաթղթերի և տեղեկությունների ձևաչափերի ու կառուցվածքների նկարագրություն) բերված՝ «Համապատասխանության գնահատման մարմինների միասնական ռեեստրից տեղեկություններ» (R.TR.TS.02.001) էլեկտրոնային փաստաթղթի (տեղեկությունների) կառուցվածքին:
9. Միասնական ռեեստրի ազգային մասից տեղեկություններ պարունակող XML փաստաթղթի առանձին վավերապայմանները լրացնելիս պահպանվում են «Համապատասխանության գնահատման մարմինների միասնական ռեեստրից տեղեկություններ» (R.TR.TS.02.001) հաղորդագրությամբ փոխանցվող տեղեկությունների նկատմամբ Եվրասիական տնտեսական հանձնաժողովի կոլեգիայի 2016 թվականի մայիսի 10-ի թիվ 38 որոշմամբ հաստատված՝ «Եվրասիական տնտեսական միության համապատասխանության գնահատման մարմինների (այդ թվում՝ հավաստագրման մարմինների, փորձարկման լաբորատորիաների (կենտրոնների)) միասնական ռեեստրի ձևավորում և վարում» ընդհանուր գործընթացն արտաքին և փոխադարձ առևտրի ինտեգրված տեղեկատվական համակարգի միջոցներով իրագործելիս՝ Եվրասիական տնտեսական միության անդամ պետությունների լիազորված մարմինների և
Եվրասիական տնտեսական հանձնաժողովի միջև տեղեկատվական փոխգործակցության կանոնակարգով (այսուհետ՝ Տեղեկատվական փոխգործակցության կանոնակարգ) սահմանված պահանջները՝ հաշվի առնելով հետևյալ առանձնահատկությունները՝
ա) միասնական ռեեստրի ազգային մասից տեղեկություններ պարունակող XML փաստաթղթի առանձին վավերապայմանների լրացման նկատմամբ չեն կիրառվում 1, 3 և 5 ծածկագրերն ունեցող պահանջները.
գ) «Ընդհանուր գործընթացի հաղորդագրության ծածկագիրը» (csdo:InfEnvelopeCode) վավերապայմանի համար սահմանվում է «P.TS.02.MSG.000» արժեքը.
դ) այն դեպքում, երբ լրացվում է «Ավարտի ամսաթիվ և ժամ» (csdo:EndDateTime) վավերապայմանը, դրա արժեքը պետք է լինի «Մեկնարկի ամսաթիվ և ժամ» (csdo:StartDateTime) վավերապայմանի արժեքից ավելի կամ դրան հավասար:
10. Միասնական ռեեստրի ադմինիստրատորը հաստատում է միասնական ռեեստրի ազգային մասից տեղեկությունների ստացումը և հաջող մշակումը: Սխալների բացակայության դեպքում միասնական ռեեստրի ադմինիստրատորը թարմացնում է միասնական ռեեստրում առկա տեղեկությունները և թարմացված տեղեկությունները հրապարակում է Միության տեղեկատվական պորտալում։
11. Սխալների նկարագրությունը պարունակող՝ միասնական ռեեստրի ազգային մասից տեղեկությունների մշակման հաղորդակարգի ստացման դեպքում (այսուհետ՝ տեղեկությունների մշակման հաղորդակարգ) ընդհանուր գործընթացին միացող մասնակիցը վերացնում է սխալները և կրկնում միասնական ռեեստրի ազգային մասից տեղեկություններ պարունակող XML փաստաթուղթը միասնական ռեեստրի ադմինիստրատորին փոխանցելու գործընթացը:
12. Տեղեկությունների մշակման հաղորդակարգը կազմվում է ռուսերենով և փոխանցվում է ընդհանուր գործընթացին միացող մասնակցին էլեկտրոնային փոստի այն հասցեով, որի վերաբերյալ տեղեկատվությունն ընդհանուր գործընթացին միացող մասնակիցը տրամադրում է միասնական ռեեստրի ադմինիստրատորին՝ մինչև միացման ընթացակարգի կատարումը:
13. Սույն Կարգի 6-12-րդ կետերին համապատասխան պահանջների պահպանման և գործողությունների հաջող կատարման դեպքում ընդհանուր գործընթացին միացող մասնակցի և միասնական ռեեստրի ադմինստրատորի միջև տեղեկությունների հետագա փոխանակումը կատարվում է այն տեխնոլոգիական փաստաթղթերին համապատասխան, որոնցով ընդհանուր գործընթացն իրագործելիս կանոնակարգվում է տեղեկատվական փոխգործակցությունը:
14. Մինչև ընդհանուր գործընթացին միացող մասնակցի կողմից սույն Կարգի 6-րդ կետով սահմանված պահանջների կատարումը և սույն Կարգի 7-12-րդ կետերով նախատեսված գործողությունները հաջող կատարելու պայմանով հետագա տեղեկատվական փոխգործակցությունն ապահովվում են սույն բաժնի 2-րդ ենթաբաժնում նշված պահանջներին համապատասխան (այսուհետ` ժամանակավոր սխեմայով փոխգործակցություն):
15. Ժամանակավոր սխեմայով փոխգործակցությունն ընդհանուր գործընթացին միացող մասնակցի կողմից իրականացվում է 1 տարուց ոչ ավելի: Նշված ժամկետի ընթացքում ընդհանուր գործընթացին միացող մասնակցի կողմից կատարվում են սույն Կարգի 6-րդ կետով սահմանված պահանջները: Ընդհանուր գործընթացին միացող մասնակցի կողմից սույն Կարգի 6-րդ կետով սահմանված պահանջների կատարման նպատակով ժամանակավոր սխեմայով փոխգործակցության ժամկետը երկարաձգելու մասին որոշումն ընդունվում է Հանձնաժողովի կոլեգիայի կողմից՝ ընդհանուր գործընթացին միացող մասնակցի դիմումի հիման վրա:
2. Ժամանակավոր սխեմայով փոխգործակցությունը
16. Միասնական ռեեստրի ազգային մասում փոփոխություններ կատարելու դեպքում ընդհանուր գործընթացին միացող մասնակիցը միասնական ռեեստրի ազգային մասից փոփոխված տեղեկությունները փոխանցում է միասնական ռեեստրի ադմինիստրատորին XML փաստաթղթի տեսքով (այսուհետ՝ տեղեկությունների փոփոխման մասին էլեկտրոնային ծանուցում)։ Տեղեկությունների փոփոխման մասին էլեկտրոնային ծանուցման կառուցվածքը պետք է համապատասխանի սույն բաժնի 1-ին ենթաբաժնով սահմանված պահանջներին:
17. Տեղեկությունների փոփոխման մասին էլեկտրոնային ծանուցման առանձին վավերապայմանների լրացմանը ներկայացվող պահանջները պետք է համապատասխանեն «Ներառելու համար համապատասխանության գնահատման մարմինների մասին տեղեկություններ» (P.TS.02.MSG.001) և «Փոփոխելու համար համապատասխանության գնահատման մարմինների մասին տեղեկություններ» (P.TS.02.MSG.002) հաղորդագրություններով փոխանցվող տեղեկությունների նկատմամբ Տեղեկատվական փոխգործակցության կանոնակարգով սահմանված պահանջներին։
18. Տեղեկությունների փոփոխման մասին էլեկտրոնային ծանուցման մշակումը Հանձնաժողովում իրականացվում է սույն բաժնի 1-ին ենթաբաժնի 10-12 կետերին համապատասխան։
3. Փոխանցման պարամետրերին ներկայացվող պահանջները
19. Միասնական ռեեստրի ազգային մասից տեղեկություններ պարունակող XML փաստաթղթի և տեղեկությունների փոփոխման մասին էլեկտրոնային ծանուցման փոխանցումն իրականացվում է էլեկտրոնային փոստով (Հանձնաժողովի էլեկտրոնային փոստի հասցեն՝ dept_techregulation@eecommission.org)։
20. Միասնական ռեեստրի ազգային մասից տեղեկություններ պարունակող XML փաստաթուղթը, տեղեկությունների փոփոխման մասին էլեկտրոնային ծանուցումը և դրանց մշակման արձանագրությունները կազմելիս օգտագործվում է UTF-8 ծածկագրումը:
21. Միասնական ռեեստրի ազգային մասից տեղեկություններ պարունակող նիշքի (ֆայլի) անվանման կառուցվածքը պետք է ունենա հետևյալ տեսքը՝ RTS02_XXYYYYMMDDhhmm.xml, որտեղ՝
ա) R՝ հաստատուն արժեք, որով նշվում է սկզբնական բեռնման համար տեղեկությունների ներկայացումը.
բ) TS02՝ հաստատուն արժեք, որով նշվում է ընդհանուր գործընթացի ծածկագիրը.
գ) XX՝ Տեղեկատվական փոխգործակցության կանոնների VII բաժնում նշված աշխարհի երկրների դասակարգչին համապատասխան այն անդամ պետության տառային ծածկագիրը, որի լիազորված մարմինը ներկայացնում է տեղեկությունները.
դ) YYYYMMDD՝ նիշքի (ֆայլի) ձևավորման ամսաթիվ (տարի, ամիս, օր).
ե) hhmm՝ նիշքի (ֆայլի) ձևավորման ժամ (ժամեր, րոպեներ):
22. Տեղեկությունների փոփոխման մասին էլեկտրոնային ծանուցման տեղեկություններ պարունակող նիշքի (ֆայլի) անվանման կառուցվածքը պետք է ունենա հետևյալ տեսքը՝ TS02_XXYYYYMMDDhhmm.xml, որտեղ՝
ա) TS02՝ հաստատուն արժեք, որով նշվում է ընդհանուր գործընթացի ծածկագիրը.
բ) XX՝ Տեղեկատվական փոխգործակցության կանոնների VII բաժնում նշված աշխարհի երկրների դասակարգչին համապատասխան այն անդամ պետության տառային ծածկագիրը, որի լիազորված մարմինը ներկայացնում է տեղեկությունները.
գ) YYYYMMDD՝ նիշքի (ֆայլի) ձևավորման ամսաթիվ (տարի, ամիս, օր).
դ) hhmm՝ նիշքի (ֆայլի) ձևավորման ժամ (ժամեր, րոպեներ):
23. Նիշքերի փոխանցումը էլեկտրոնային փոստով իրականացվում է արխիվային նիշքի տեսքով՝ ZIP ձևաչափով (ալգորիթմը պետք է լինի 2.0 տարբերակից ոչ ցածր, իսկ նիշքի ընդլայնումը՝ *.zip): Արխիվային նիշքի անվանումը պետք է համապատասխանի սույն Կարգի 21-րդ և 22-րդ կետերով սահմանված պահանջներին (օրինակ, RTS02_BY201410061733.zip արխիվը պետք է պարունակի RTS02_BY201410061733.xml նիշքը)։ Էլեկտրոնային փոստի հաղորդագրության թեմայում նշվում են էլեկտրոնային փաստաթղթի (տեղեկությունների) կառուցվածքի ծածկագիրը և տարբերակը՝ Էլեկտրոնային փաստաթղթերի և տեղեկությունների ձևաչափերի ու կառուցվածքների նկարագրությանը համապատասխան (օրինակ՝ R_TR_TS_02_001_V_x_y_z, որտեղ «x_y_z»՝ էլեկտրոնային փաստաթղթի կառուցվածքի տարբերակի համարն է), ինչպես նաև՝ ռեեստրի անվանումը՝ «Համապատասխանության գնահատման մարմինների միասնական ռեեստր»:
24. Տեղեկությունների մշակման հաղորդակարգը փոխանցվում է տեքստային նիշքի տեսքով: Նիշքի անվանումը (առանց ընդլայնումը հաշվի առնելու) պետք է համապատասխանի մշակվող նիշքի անվանը: Նիշքի ընդլայնումը պետք է ունենա «.txt» արժեքը:
Պաշտոնական հրապարակման օրը՝ 22 հունիսի 2022 թվական:
